Портфельный эффект разворота
Введение
За последние несколько десятилетий в мировой экономике, в частности на
финансовых рынках, произошли глобальные изменения. Научно-технический прогресс
XX века, характеризующийся появлением новых технологий, стал одной из движущих
сил, способствующих развитию финансовых рынков. Использование компьютеров для
более эффективного анализа и использования информации, развитие финансовой
инфраструктуры, совершенствование профессиональных знаний в области финансов
привели к повышению эффективности финансовых рынков.
Тем не менее, на сегодняшний день необходимым условием для нормального
функционирования финансовых рынков является использование человеческих
ресурсов, что свидетельствует в пользу сохранения определенного уровня
неэффективности рынков.
Исследования в области экспериментальной психологии и поведенческих
финансов утверждают, что люди привыкли переоценивать либо недооценивать
значимость новой информации, появившейся на рынке в свободном доступе. Самое
распространенное правило у участников рынка, касающееся прогнозирования
вероятности появления того или иного события, которое оказывает определенное
воздействие на результаты сделок, можно охарактеризовать следующим образом:
«Распределение вероятности появления события основывается на догадках и предположениях,
базирующихся в основном на исторических данных и имеющих мало общего с
реальностью». Явное противоречие данного правила с теоремой Байеса, которая
является критерием для определения математически точной вероятности появления
того или иного события, а следовательно уровня адекватной реакции участника
рынка, свидетельствует о наличии на финансовых рынках «человеческого фактора»,
привносящего определенный уровень неэффективности.
Неэффективность в базовом понимании прежде всего заключается в наличии определенных
аномалий на финансовом рынке, которые не согласуются с гипотезой эффективности
рынка [Fama, 1970], одной из базовых концепций неоклассической теории финансов.
Согласно слабой форме данной гипотезы, рыночная стоимость актива полностью
отражает общедоступную на данный момент прошлую информацию о состоянии рынка,
что свидетельствует об отсутствии возможностей для систематического получения
статистически и экономически значимой арбитражной прибыли. Любая аномалия,
существующая на финансовом рынке и являющаяся антиподом гипотезы эффективности
рынка, заключается в систематическом несоответствии рыночной и справедливой цен
активов.
Несмотря на совершенствование финансовых рынков и рост их эффективности,
на рынке продолжают существовать и систематически приносить арбитражную прибыль
некоторые виды аномалий даже после их обнаружения. Особо известными примерами
среди них являются:
· эффект «января», согласно которому активы, показавшие
довольно плохие результаты относительно рынка в конце отчетного периода (как
правило, третья декада декабря), систематически «обгоняют» его в начале
следующего отчетного периода (как правило, первая декада января). Объяснение
существования данной аномалии довольно простое. Эффект января является
результатом массовых продаж, совершаемых в конце отчетного периода с целью
формального «улучшения» отчетности, сокращения налогов и привлечения наличности
в период новогодних праздников. Именно увеличение предложения активов на рынке
и снижает их котировки. Однако, в начале следующего года эти же активы
выкупаются в связи с низкой стоимостью.
· моментум эффект, предполагающий наличие инерционности в
динамике цен активов и заключающийся в систематическом превосходстве
доходностей портфеля, сформированного из активов одного класса по лучшим
прошлым результатам инвестирования (портфель победителей), над портфелем,
сформированным из активов того же класса по худшим прошлым результатам
инвестирования (портфель проигравших). Согласно результатам множества
исследований, данная аномалия присуща для среднесрочного временного горизонта
(3-12 месяцев).
· эффект разворота тенденции к средней доходности (далее в
работе будет упоминаться как портфельный эффект разворота) аналогично моментум
эффекту предполагает наличие инерционности в динамике цен активов, однако по
своей природе имеет кардинальные отличия. Суть данного эффекта заключается в
систематическом превышении результатов инвестирования в портфель,
сформированный из активов одного класса по худшим прошлым результатам, над
результатами инвестирования в портфель, состоящий из активов того же класса, но
отобранных по лучшим прошлым результатам. Причины возникновения этих двух
аномалий весьма загадочны, они будут рассмотрены и изучены в следующей главе
работы.
Стоит отметить, что эффект разворота по объектам исследования имеет два
подхода к трактовке:
· эффект разворота как существование автокорреляции в ценах
отдельных активов. Исследование данного эффекта предполагает изучение динамики
цены одного актива на основе временного ряда и определение моментов недооценки
и переоценки его стоимости на всем исследуемом периоде;
· портфельный эффект разворота, выявляемый через сопоставление
и сравнение результатов инвестирования двух портфелей из активов одного класса,
формируемых на основе результатов прошлого инвестирования. Согласно результатам
прошлых исследований, портфельный эффект разворота наблюдается на краткосрочном
(от нескольких недель до месяца) и долгосрочном (3-5 лет) временном периоде.
Следует отметить, что последние две аномалии, рассмотренные ранее, сильно
взаимосвязаны, хотя и описывают два противоположных эффекта: обе основаны на
изучении исторических данных, имеют схожие методы изучения и тестирования. В
современной науке именно эти два эффекта стали изучаться наиболее широко и
повсеместно на примере финансовых рынков США, Европы, Японии и некоторых других
развитых и развивающихся рынков капитала.
Актуальность исследования.
Возможность предсказания динамики цен биржевых активов является одной из
основных тем в области ценообразования активов. Эмпирические свидетельства
успешных торговых стратегий, показывавших устойчивые в течение длительного
периода времени результаты инвестирования, вызывают особый интерес не только в
научных кругах, но и в прикладных исследованиях.
Изучение портфельного эффекта разворота как одного из наиболее устойчивых
рыночных аномалий приобретает всеобщий характер в финансовой литературе и
тестируется на практике многими финансистами. Изучение этой рыночной аномалии
представляет большой интерес в связи с тем, что данный эффект сохраняет свой
статус даже после обнаружения на многих рынках капитала, что позволяет строить
на его основе хорошо структурированные и учитывающие множество характеристик
рынка инвестиционные стратегии (используемые такими финансовыми институтами, как
инвестиционные банки, хежд-фонды, паевые инвестиционные фонды и т.д.).
Портфельный эффект разворота нашел подтверждение на многих фондовых
рынках, как развитых (Япония, Германия [Schiereck, DeBondt, США), так и и
развивающихся (Китай, Индия,). Тем не менее, отсутствие исследовательских работ
по изучению зависимости статистической значимости портфельного эффекта
разворота и уровня развитости рынка капитала представляет собой больший интерес
в современной науке (ведь как было указано ранее, на менее развитых, а значит
менее эффективных рынках капитала, «сила» и распространенность рыночных
аномалий должна возрастать). Однако, накопленные эмпирические исследования на
развивающихся рынках капитала показывают неоднозначные результаты по наличию
данной рыночной аномалии, что требует их дальнейшего изучения.
Ко всему прочему, российский фондовый рынок, как один из представителей
развивающихся рынков капитала, еще не был проанализирован на предмет выявления
наличия и анализа портфельного эффекта разворота. Это обосновывает актуальность
темы данного исследования.
Немаловажной задачей перед постановкой цели исследования является выбор
рынков капитала, на основе которых будет тестироваться портфельный эффект
разворота. Данный выбор будет осуществлен на основе следующего критерия: с
целью увеличить вероятность того, что эффект разворота для определенного рынка
будет являться уникальной аномалией по своему происхождению, необходимо выбрать
наименее интегрированные между собой рынки капитала, но являющихся
высококапитализированными (что свидетельствует в пользу наличия качественных
данных). Под данный критерий также подходит наибольшая географическая
отдаленность выбранных фондовых рынков. Поэтому, в качестве развивающихся
рынков капитала будут выбраны рынки России, Турции, Мексики и Бразилии; а в
качестве развитых - рынки США, Германии, Великобритании и Гонконга -
практически все рынки капитала с примерно одинаковым уровнем развития находятся
на разных континентах.
Итак, малое число работ по развивающимся рынкам (из исследования начались
только с 2000-ых годов), их неоднозначные выводы, необходимость исследования
зависимости «силы» эффекта разворота от уровня развитости фондового рынка,
отсутствие исследований по российскому рынку капитала определили выбор темы
исследования, его объекта и предмета, а также постановку исследовательской цели
и задач.
Объект исследования - доходность обыкновенных акций публичных компаний
фондовых рынков России, Мексики, Бразилии, США, Германии и Гонконга.
Предмет исследования - портфельный эффект разворота и параметры для
построения основанной на нем прибыльной стратегии, детерминанты анормальной
прибыли арбитражного портфеля, построенного на основе прошлой доходности
обыкновенных акций выбранных рынков капитала.
Цель исследования: выявление наличия краткосрочного и долгосрочного
портфельного эффекта разворота к средней доходности в динамике цен акций
выбранных рынков капитала с учетом разнообразия элементов дизайна стратегии,
сравнительный анализ полученных результатов.
Для достижения поставленной цели решаются следующие задачи:
· определение основных элементов дизайна стратегии разворота и
подходов к тестированию портфельного эффекта разворота;
· выявление детерминант отбора акций в инвестиционную стратегию
через анализ значимости состояния экономики, эффекта января, величины
транзакционных издержек в торговых стратегиях;
· построение инвестиционной стратегии на основе портфельного
эффекта разворота для обыкновенных акций из выбранных рынков капитала,
используя язык программирования R, и исследование на наличие экономически и
статистически значимых результатов инвестирования (арбитражной прибыли);
· нахождение оптимальных значений элементов дизайна
инвестиционной стратегии, позволяющих получить максимальные результаты
инвестирования в арбитражный портфель;
· проведение сравнительного анализа полученных результатов
инвестирования для развитых и развивающихся рынков капитала;
Теоретическая и методологическая основа
Теоретической основой исследования являются работы российских и
зарубежных исследователей и финансистов в области теории ценообразования,
поведенческих финансов, гипотезы эффективности рынка, корпоративных финансов и
технического анализа.
В качестве методологической основы исследования были использованы методы
обобщения, сравнения, методы статистического и эконометрического анализа. Для
моделирования торговых стратегий разного дизайна с учетом транзакционных
издержек использовался язык программирования R с целью обработки большого
массива данных. Для создания автономного программного обеспечения, позволяющего
провести симуляцию процесса инвестирования в арбитражный портфель,
использовался язык программирования С#, являющийся одним из основных
инструментов количественных финансистов и IT-специалистов в современных
хедж-фондах.
Информационная база исследования охватывает данные провайдера финансовой
информации Yahoo Finance, Банка России, ОАО «Московская Биржа».
Структура работы.
Исследовательская работа состоит из введения, трех глав (обзор
литературы, методология исследования, эмпирические результаты), заключения,
библиографического списка, приложения.
1. Обзор
литературы
1.1 Ранние
фундаментальные исследования
Существование рыночных аномалий, предполагающих наличие инерционности в
динамике цен разных видов активов (не только фондового рынка, но и товарного,
срочного и т.д.) противоречит современным теориям финансовых рынков и
образованных на их основе моделей ценообразования [Lewellen, 2010]. Согласно
многим исследованиям [McQueen, 1996], реакция игроков рынка на приходящие
новости не является моментальной, притом она появляется, хотя и с задержкой,
без связи с действием фундаментальных факторов. Наличие такого рыночного
несовершенства порождает инерционность в динамике цен биржевых активов.
Признание существования инерционности позволило выстраивать стратегии
инвестирования на основе не только отдельных активов, но и портфелей.
Идею о построении арбитражного портфеля, формируемого по прошлым
результатам инвестирования, одними из первых использовали Де Бондт и Тайлер [De
Bondt, Thaler, 1985]. Целью их исследования являлось тестирование
инвестиционной стратегии, основанной на долгосрочном портфельном эффекте
разворота на примере американского фондового рынка, более конкретно акций
публичных компаний, котирующихся на Нью-Йоркской фондовой бирже (NYSE).
Тестовая выборка включает в себя месячные данные по дневным ценам закрытия
торгов 100 обыкновенных акций за период с 1926 по 1982 годы. Элементы стратегии
состоят из выбора:
· методики построения портфелей победителей и проигравших, а
именно выбора определенного количества акций для каждого портфеля из всего
имеющегося списка, а также учета их весов внутри портфеля;
· временного окна периода формирования;
· временного окна периода инвестирования.
С целью достижения высокого уровня диверсификации арбитражного портфеля
исследователями были выбраны портфели победителей и проигравших, включающих в
себя по 35 акций разных эмитентов с максимальными и минимальными результатами
инвестирования за определенный период. Доля каждого актива в соответствующих
портфелях была одинаковой с целью уклонения от смещения результатов
инвестирования и увеличения рисков потенциальных потерь по активам, имеющим
большие доли в портфелях.
Период формирования портфелей был выбран исходя из собственных
предположений и принимал значения в (1,2,3,5) лет. Выбор таких временных окон
является не самым эффективным способом обнаружения оптимального значения
периода формирования портфелей, при котором достигается максимальная доходность
инвестирования, а следовательно имеется некоторая вероятность не обнаружения
портфельного эффекта разворота, даже если аномалия на рынке существует (иначе
говоря отвержение верной гипотезы). Тем не менее, выбор таких периодов
формирования портфеля является допустимым с точки зрения отсутствия необходимых
инструментов для осуществления анализа большого массива данных (такая ситуация
вполне реалистична для 80-ых годов прошлого столетия).
С целью избавления от эффекта автокорреляции в динамике цен акций,
наличие которого не позволяет применять статистики для тестирования значимости
уровня арбитражных доходностей, авторами исследования было принято решение не
использовать перекрывающиеся периоды формирования портфелей, что в свою очередь
уменьшает длину тестируемой выборки. Такое нововведение является полезным, однако
негативно влияет на качество результатов инвестирования для больших периодов
формирования портфелей. Также нельзя забывать о том, что сокращение изначальной
выборки данных по дневным ценам закрытия также негативно сказывается на
качестве результатов и влияет на возможность обнаружения портфельного эффекта
разворота. В свою очередь стоит отметить, что для применения статистик
требуется выполнение предположения о неизменности функции распределения
доходностей акций, которое в большинстве случаев для временных рядов не
выполняется. Однако, для малых периодов формирования использование данного
предположения допустимо в связи с незначительностью его влияния на итоговые
результаты.
С другой стороны, выбор целогодичного периода формирования портфеля может
быть использован для достижения цели, связанной с тестированием значимости
эффекта января на результаты инвестирования. Выбор нецелогодичного периода
формирования портфеля «смывает» значимость эффекта января, смещая и сильно
сглаживая (то есть такая ситуация связана с потерей информации) результаты по
поиску портфельного эффекта разворота.
В связи с поиском долгосрочного портфельного эффекта разворота период
инвестирования выбран в пределах пяти лет, что является логичным в связи с
желанием уменьшить издержки обработки и анализа данных.
Одной из существенных ошибок в методологии авторов является использование
логарифмических доходностей акций в процессе исследования аномалий с целью
приближения их эмпирических функций распределения к нормальному. Недостаток
такого подхода заключается в том, что при больших значениях логарифмической
доходности ошибки аппроксимации в обычную доходность, используемой
исследователями для подготовки информативных таблиц, слишком большие, что
приводит к смещению результатов исследования. Использование логарифмических
доходностей является достаточно распространенным явлением в финансовой
литературе, что заставляет сомневаться в результатах исследований.
Стоит отметить, что выбор таких элементов стратегии является корректным,
исследование было выполнено на достаточно высоком уровне (если не учитывать
существование некоторых недостатков). Результаты инвестирования в арбитражный
портфель оказались следующими:
· выбор величины периода формирования портфеля значительно
сказывается на результатах инвестирования в арбитражный портфель. Увеличение
данного временного окна приводит к росту арбитражной доходности портфеля. Как
указано на рис.1, выбор однолетнего периода формирования портфеля является
причиной отрицательной кумулятивной арбиражной доходности в период с 4 по 12
месяцы инвестирования. Это связано с тем, что на данном временном промежутке
наблюдается противоположный эффекту разворота моментум эффект, снижающий
результативность стратегии. После 12-ого месяца инвестирования на рис.1 можно наблюдать
(для 1-летнего периода формирования портфеля) разворот кумулятивной доходности
в сторону нулевой отметки и постепенный переход в область положительных
доходностей. Такая ситуация на рынке впервые была изучена в работе Де Бондта и
Тайлера и названа “долгосрочным портфельным эффектом разворота к средней
доходности”.
· На рис.1 также можно заметить наличие эффекта января,
характеризующийся высокими результатами инвестирования в арбитражный портфель в
январе (1-ый и 13-ый месяцы инвестирования) и низкими - в декабре (12-ый и
24-ый месяцы инвестирования). Наличие этой рыночной аномалии способствовало
увеличению кумулятивной доходности арбитражного портфеля и негативно сказалось
на значимости портфельного эффекта разворота.
· долгосрочный портфельный эффект разворота на американском
фондовом рынке в период с 1926 по 1982 годы существовал, оптимальным периодом
формирования стратегии являлся выбор 3-5 летнего временного окна. Кумулятивная
доходность арбитражного портфеля при таких параметрах и выборе 24-месячного
периода инвестирования составляет 19%, статистически и экономически значимый
результат.
доходность
разворот инвестирование портфель
Рис. 1. Кумулятивная доходность инвестирования в арбитражный портфель для
периода формирования в 1, 2, 3 года, % (нижний график - для однолетнего периода
формирования, верхний - для трехлетнего)
Стоит отметить, что улучшения результатов данного исследования можно
достичь путем введения своеобразного лагового периода продолжительностью в один
год между периодом формирования и инвестирования, в течение которого не
открывают позиции по арбитражному портфелю.
Также одной из наиболее значимых работ в области изучения эффекта
разворота является исследование Джегадиша [Jegadeesh, 1990]. Структурные
элементы инвестиционной стратегии в данном исследовании были выбраны похожим
образом, однако с целью увеличения ожидаемых доходностей арбитражного портфеля,
в портфели победителей и проигравших были отобраны лишь 20% акций (акции,
входящие в первый и десятый дециль по уровню исторической доходности за
определенный период формирования). Нововведениями данной работы являются:
· выбор коротких периодов формирования и инвестирования
арбитражных портфелей с целью поиска краткосрочного портфельного эффекта
разворота;
· использование моделей ценообразования активов для определения
более точного значения арбитражной доходности портфеля (так как в данном случае
учитывается несовпадение величины рисков рыночного портфеля и арбитражного
портфеля, что не было учтено в работе Де Бондта и Тайлера, 1985). В работе
тестировались две модели:
o Модифицированная модель ценообразования активов CAPM, в
которую был добавлен фактор анормальной доходности:
где
- премия за рыночный риск,
- случайная ошибка модели,
- арбитражная доходность портфеля
- общая доходность портфеля
- безрисковая ставка процента.
Отсутствие краткосрочного портфельного эффекта разворота проверялось на
основе гипотезы
.
o Регрессионная модель вида
где
- случайная ошибка модели,
- арбитражная доходность портфеля
- общая доходность портфеля
- доходность портфелей, образованных из акций низко-,
средне- и высококапитализированных компаний, входящих в арбитражный порфтель.
- безрисковая ставка процента.
Данная модель в отличие от модифицированной модели CAPM, не полностью учитывает
величину рыночных рисков, что может существенно исказить результаты по поиску
арбитражной доходности, а соответственно и эффекта разворота.
Результаты, полученные в ходе использования данных американского
фондового рынка в период с 1934 по 1986 годы, свидетельствуют о наличии
краткосрочного эффекта разворота, наблюдаемого при инвестировании на период от
нескольких недель до месяца и периода формирования в 1 месяц. Доходности такой
стратегии составляют около 2,2% месячных. Также была замечена слабая, но
статистически значимая зависимость результатов от размера компаний, чьи акции
входят в арбитражный портфель.
Аналогичное исследование было проведено под руководством Леманна. В
отличие от прошлых исследований автором было решено рассматривать в качестве
весов акций, входящих в арбитражный портфель, прошлые результаты доходностей:
акции с самыми низкими результатами имели самую высокую долю в портфеле
победителей, аналогично акции с самыми высокими результатами - наибольшую долю
в портфеле проигравших. Данное нововведение было использовано с целью проверки
гипотезы о влиянии степени отклонения доходностей акций от среднерыночной на
значимость краткосрочного портфельного эффекта разворота. Стоит отметить, что
период формирования, на основе которого происходит отбор акций в портфели
победителей и проигравших, не обязательно совпадает с периодом, используемым
для определения долей акций в них. Результаты, полученные в процессе
использования данных американского фондового рынка в период с 1962 по 1986
годы, свидетельствуют о наличии краткосрочного эффекта разворота при выборе
периодов инвестирования и формирования в 1 неделю, доходность стратегии
варьируется в пределах 0,2-0,5% недельных.
Исследование Леманна является одной из самых первых работ, в которых была
проведена попытка учесть транзакционные издержки, связанные с процессом
инвестирования в арбитражный портфель. Учет таких издержек является необходимым
условием при поиске рыночных аномалий. Однако, эта попытка была связана лишь с
поиском такого уровня транзакционных издержек, который сохранял значимость
арбитражной доходности, а следовательно и эффекта разворота.
Согласно выводам, полученным в работе, эффект разворота существует в
случае, если сумма транзакционных издержек за операцию не превышают 2% от суммы
инвестирования. Это свидетельствует о том, что наличие эффекта разворота
зависит от количества совершенных сделок на рынке (их увеличение приводит к
снижению вероятности обнаружения аномалии).
По итогам исследования автором был получен результат о наличии
краткосрочного эффекта разворота на американском фондовом рынке, использование
которого в инвестиционной стратегии позволяет при оптимальных ее параметрах
(4-недельный период формирования и инвестирования) достичь уровня доходности в
1,9% месячных.
Немаловажное значение в процессе исследования рыночных аномалий также
принадлежит изучению моментум эффекта, проверка наличия которого во многом
схожа с поиском эффекта разворота. Изучение работ по поиску моментум эффекта,
по своей природе противоположного эффекту разворота и заключающегося в
систематическом превосходстве доходностей портфеля победителей, сформированного
из активов одного класса по лучшим прошлым результатам инвестирования, над
портфелем проигравших, сформированного из активов того же класса по худшим
прошлым результатам инвестирования, необходимо в связи с схожестью построенных
на основе этих аномалий инвестиционных стратегий и их структурных элементов.
Пионерами в исследовании портфельного моментум эффекта являются Джегадиш
и Титман, которые одними из первых проверили гипотезу о наличии инерционности
цен финансовых активов (в данном случае акций, образующих арбитражный портфель)
и протестировали существование моментум эффекта на основе данных американского
фондового рынка в период с 1965 по 1989 годы.
Результаты, полученные в процессе исследования, свидетельствуют о наличии
моментум эффекта в период инвестирования с 3 по 12 месяцев.
Притом доходность такой инвестиционной стратегии достигает максимума при
равенстве периода формирования и инвестирования арбитражного портфеля (месячная
доходность в среднем составляет около 1,3 % ).
Из всего вышесказанного следует, что эффект разворота и моментум эффект
являются взаимочередующимися во врмени аномалиями, существование которых
способствует снижению эффективности инвестирования при использовании стратегии,
основанной на учете только одного из данных эффектов. Подтверждением такого
вывода также является рис.1. На нем видно, что для периода формирования
арбитражного портфеля в 1 месяц:
· в течение первого месяца инвестирования наблюдается
положительная арбитражная доходность, что свидетельствует о наличии
краткосрочного портфельного эффекта разворота;
· со второго месяца инвестирования происходит разворот динамики
кумулятивной доходности, начинает набирать силу моментум эффект, достигая
своего пика в 11-12 месяцах инвестирования;
· с 12-ого месяца инвестирования наблюдается обратный разворот
динамики кумулятивной доходности в сторону положительной полуоси,
подтверждающий наличие долгосрочного портфельного эффекта разворота,
действующего в течение следующих 1-3 лет.
Следовательно, для проверки наличия долгосрочного эффекта разворота
целесообразно использовать лаговый период между периодом формирования и
инвестирования, в течение которого не стоит открывать позиции по арбитражному
портфелю с целью избавления от действия моментум эффекта. Длительность такого
периода зависит от выбора рынка, элементов стратегии и может составлять от 1-3
до 9-12 месяцев. Критерии его выбора будут более подробно изучены в следующей
главе.
Большую значимость имеют также работы, связанные с поиском аномалий (как
эффекта разворота, так и моментум эффекта) с использованием инвестиционных
стратегий, учитывающих выбор определенных параметров при присвоении весов акций
в арбитражном портфеле. К примеру, Коражик и Садка [Korajczyk, Sadka, 2004]
представили эмпирические свидетельства того, что аномалии сильнее проявляют
себя при равном взвешивании акций в арбитражном портфеле, нежели при учете
капитализации. Это связано с тем, что эффект разворота присущ прежде всего
компаниям с малой капитализацией. Результаты стратегии на основе моментум
эффекта свидетельствуют о наличии арбитражной доходности при выборе периодов
формирования и инвестирования в (11;3),(5;6) месяцев на уровне 0,7% месячных.
Аналогичные результаты также были получены ранее Ло и МакКинли Итоги их
исследования свидетельствуют о возможности получить смещенные результаты при
взвешивании акций в портфеле с учетом рыночной капитализации компаний в связи с
возникающими запаздывающими/опережающими эффектами.
Все рассмотренные ранее работы являются базовыми, на основе которых
строятся все ныне существующие исследования. Они являются фундаментом для
определения основных методов исследования, построения инвестиционной стратегии,
базирующейся на использовании рыночных аномалий, ее структурных элементов и
т.д. Далее в этой главе большее внимание будет уделено результатам, полученным
в процессе исследований, а также их сравнительному анализу.
1.2 Портфельный
эффект разворота на развитых рынках капитала
Наибольший интерес для нашего исследования представляют работы по поиску
портфельного эффекта разворота на тех рынках капитала, которые являются менее
интегрированными либо географически отдаленными друг от друга, как было указано
в целях и задачах.
Одной из наиболее интересных работ с точки зрения поиска как
краткосрочного, так и долгосрочного эффекта разворота является исследование
Чоу, Вей, Чанга [Chou, Wei, Chung, 2010]. Объектом исследования являлась
доходность обыкновенных акций публичных компаний Токийского фондового рынка
(TSE) за период с 1975 по 1997 годы. Выбор данного рынка объясняется высоким
уровнем капитализации - более 85% капитализации всего японского рынка капитала
(около 11 трлн. долл. США). Одним из преимуществ данной работы является
использование дивидендной доходности при подсчете доходности арбитражного
портфеля. В связи с наличием большой выборки акций, котирующихся на TSE,
авторами было решено использовать квантильный метод образования портфелей
победителей и проигравших с уровнем 10%. Период формирования и инвестирования
был равен соответственно 1,3,6,9,12,24,36 месяцев, что позволило построить 49
инвестиционных стратегий.
Нововведением в данной работе является попытка исследователей проверить
зависимость наличия портфельного эффекта разворота от состояния рынка. Согласно
установленной гипотезе, период роста рынка в отличие от периода его
застоя/падения характеризуется более высокими результатами инвестирования в
арбитражный портфель. Основная задача, которую необходимо решить перед
тестированием гипотезы, заключается в методе определения состояния рынка. Как
правило, он основан на использовании исторических данных:
· если кумулятивная доходность рынка за последние q месяцев
положительна, то рынок считать растущим, в противном случае падающим;
· период в q месяцев не обязательно совпадает с периодом
формирования арбитражного портфеля.
Недочетом такого метода определения состояния рынка его грубая
аппроксимация. К примеру, возможна ситуация, при которой в течение последнего
месяца наблюдается оживление рынка, однако за последние q месяцев кумулятивная
доходность принимает отрицательные значения. В результате при использовании
такого подхода состояние рынка будет рассматриваться как «стагнация/падение»
наперекор действительности.
Таблица 1. Месячная доходность арбитражного портфеля, %
Источник: составлено автором на основе результатов исследования
Исследователями были выбраны значения q, равные 12 и 36 месяцам.
Проанализировав результаты исследования можно прийти к выводу о том, что
влияние состояния экономики на наличие эффекта разворота велико: в период роста
арбитражная доходность портфеля для разных периодов формирования портфеля
статистически и экономически значима и составляет в среднем от 0,5 до 1,7%
месячных, что также свидетельствует в пользу отсутствия моментум эффекта на
японском фондовом рынке.
Однако, в период падения фондового рынка арбитражная доходность
инвестиционной стратегии становится не только незначимой, но и отрицательной.
Итого, на японском фондовом рынке несмотря на отсутствие моментум эффекта
наиболее сильно развитым является краткосрочный эффект разворота, нежели
долгосрочный.
Наибольшее количество исследований по поиску аномалий было проведено на
основе данных американского фондового рынка. Одна из таких работ принадлежит
Гарсиа-Феиджо и Дженсену.
Она основана на использовании данных доходностей обыкновенных акций
Нью-Йоркской фондовой биржы в период с 1963 по 2010 годы. Основной целью работы
является поиск долгосрочного портфельного эффекта разворота и объяснение его
природы.
Отличие данной работы от остальных заключается не только в выборе
исследуемого рынка капитала, но также и установленными гипотезами. По мнению
авторов работы инвесторы заинтересованы примерно в трех факторах риска, а не
только в одном (CAPM,). Рисками, к которым привязаны цены акций, и которые в
сочетании наиболее полно описывают процесс ценообразования, являются рынок,
размер и уровень неоцененности компании. Следовательно, арбитражная доходность
должна быть “очищена” от премий за принятие вышеперечисленных рисков.
Следующим нововведением данной работы является учет январского эффекта в
арбитражной доходности портфеля с целью избавления от переоценки значимости
эффекта разворота.
Учитывая все вышесказанное, модель тестирования значимости эффекта
разворота имеет следующий вид:
где
- премия за рыночный риск,
- разность между доходностями средневзвешенных портфелей
акций малой и большой капитализации,
- разность между доходностями средневзвешенных портфелей
акций с большим и малым отношением балансовой стоимости к рыночной стоимости
- дамми-переменная, указывающая наличие/отсутствие эффекта
января (для месяца января принимает значение 1, для остальных - 0)
- арбитражная доходность портфеля
- общая доходность портфеля
Эта модель, фактически являющейся модификацией модели ценообразования
Фамы и Френча, безусловно признана одним из лучших способов определения
значимости портфельного эффекта разворота. Однако наличие множества регрессоров
может негативно сказаться на свойствах оценок модели (несмещенность,
состоятельность) в связи с появлением проблем с гетероскедастичностью,
мультиколлинеарностью. Для получения удовлетворительных результатов необходимо
провести проверку на отсутствие таких проблем (чего не было сделано в работе).
Второстепенной гипотезой, тестируемой в работе, является проверка выбора
акций, входящих в портфель победителей и проигравших - действительно ли
необходимо использовать акции компаний, показавших наилучшие и наихудшие
результаты. Для проверки данной гипотезы все акции, котирующиеся на рынке, были
разделены на 5 портфелей в зависимости от прошлых результатов. Крайние портфели
соответственно представляли собой портфели проигравших и победителей.
Таблица 2. Средняя месячная доходность портфелей, образованных на основе
прошлых результатов, %
Источник: составлено автором на основе результатов исследования
Согласно результатам (Таблица 2), наблюдается монотонное убывание
среднемесячной доходности портфелей, образованных на основе прошлых результатов
(для периода формирования от 13 до 60 месяцев). Это свидетельствует в пользу
гипотезы о выборе для арбитражного портфеля акций, показавших ранее наихудшие и
наилучшие результаты.
Более интересные результаты были получены в процессе тестирования модели
ценообразования. Из таблицы 3 видно, что доля объясненной дисперсии в общей
доле дисперсии составляет более 80%, что свидетельствует о хорошей
объяснительной силе рассматриваемой модели.
Стоит отметить, что эффект разворота для арбитражного портфеля является
незначимым (хотя для портфеля победителей значим). Неоднозначным также является
результат по оценке значимости рыночного риска - хотя и для портфеля
победителей, и для портфеля проигравших рыночный риск имеет важное значения в
процессе ценообразования, однако для арбитражного портфеля значимость этого
фактора исчезает.
Также стоит отметить, что дополнительные факторы, включенные в модель
ценообразования Фамы и Френча, а именно факторы размера и недооцененности
компании являются статистически значимыми.
Самый важный результат данного исследования также заключается в том, что
январский эффект очень сильно влияет на нахождение эффекта разворота. Как видно
из таблицы 3, январский эффект присущ прежде всего для акций, которые в прошлом
показывали наихудшие результаты. Этому есть логическое объяснение: как правило,
в конце отчетного периода (в декабре) компании стараются избавиться от наиболее
рискованных активов с целью улучшения своих позиций в финансовой отчетности. В
целом в январе доходность арбитражного портфеля на 5 процентных пунктов выше
(хотя фактически данная аномалия не наблюдается для портфеля победителей).
Итого стоит отметить, что результаты по поиску эффекта разворота на
американском фондовом рынке в период с 1963 по 2010 годы являются
неудовлетворительными в связи с усреднением среднемесячной доходности
арбитражного портфеля по всех периодам его формирования. Данное действие
недопустимо по причине возможного наличия на рынке моментум эффекта.
Таблица 3. Результаты тестирования модели ценообразования для портфелей
Источник: составлено автором на основе результатов исследования
Также большой интерес для исследования представляют работы, основанные на
использовании данных европейского рынка капитала. Одной из таких работ
принадлежит Ву, Ли, Хамиллу [Wu, Li, Hamill, 2012], целью которой является
поиск долгосрочного портфельного эффекта разворота на Лондонской фондовой бирже
(LSE). Выборка данных, использованной в этой работе, включает все акции, входящие
в фондовый индекс FTSE в период с 1970 по 2009 годы.
Основными гипотезами работы, требующих проверки, являются:
· Доходность арбитражного портфеля является положительной на
всем периоде инвестирования;
· Выбор акций, входящих в арбитражный портфель, зависит от
прошлых результатов.
Согласно результатам исследования (Таблица 4), среднемесячная
сверхдоходность (то же, что и арбитражная доходность) арбитражного портфеля
является экономически и статистически значимым на периоде инвестирования с 13
по 60 месяцев и составляет 0,2%, что свидетельствует о наличии долгосрочного
эффекта разворота. Тем не менее, итоги по поиску краткосрочного эффекта
разворота являются незначимыми.
Также аналогично прошлой работе результаты арбитражного портфеля
наилучшие при выборе акций, кумулятивные доходности за период формирования
которых были максимальны и минимальны.
Таблица 4. Среднемесячная доходность арбитражного портфеля, усредненная
по всем периодам формирования, %
Источник: составлено автором на основе результатов исследования
При поиске эффекта разворота исследователями было совершено две ошибки:
· усреднение среднемесячных доходностей арбитражного портфеля
по всем периодам формирования, что приводит к смещению результатов;
· усреднение среднемесячных доходностей арбитражного портфеля
по периодам инвестирования с 1 по 12 месяцев - именно в этом периоде на
большинстве рынков наблюдается наличие краткосрочного эффекта разворота и
моменту эффекта, - вследствие чего исчезает значимость арбитражной доходности.
Также было проведено немало исследований по поиску портфельного эффекта
разворота на азиатских рынках. Наиболее развитым среди них по праву считается
рынок капитала Гонконга. Именно на основе данных этого рынка и было проведено
исследование Танга и Занга [Tang, Zhang, 2014]. Выборка данных в этой работе
включает все акции, котирующиеся на фондовой бирже Гонконга (HKSE) в период с
декабря 1999 по февраль 2012 года. Отличием данной работы от всех остальных
является использование недельных цен закрытия, нежели месячных. Это прежде
всего связано с тем, что такое ранжирование доходностей позволяет более точно
определить наличие краткосрочного эффекта разворота, наблюдаемого в
инвестиционный период с 1 по 4-7 недель.
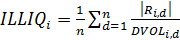
Нововведением данной работы является попытка учесть в поиске
краткосрочного эффекта разворота уровень ликвидности акций, входящих в
арбитражный портфель. Методика данной проверки заключается в отборе наиболее и
наименее ликвидных акций и сравнение результатов инвестирования в арбитражные
портфели, образованные на основе таких акций. Модель, позволяющая определить
уровень ликвидности акции, имеет следующий вид:
,
где
- уровень неликвидности акции i,
- дневная доходность акции i в торговый день d,
- объем торгов акции i в торговый день d,- количество
торговых дней в одной неделе.
Проранжированные в возрастающем порядке по критерию
акции делятся на три одинаковых по
количеству акций портфеля: акции с самыми большими значениями данного
показателя отправляются в портфель неликвидных акций, с самыми маленькими - в
портфель ликвидных акций. Оставшиеся акции в совокупности составляют портфель
умеренной ликвидности. Далее все три портфеля проходят отбор на выявление
портфелей победителей и проигравших (квантильный метод), в следствие чего
образуются 3 арбитражных портфеля, включающие в себя акции с разным уровнем
ликвидности.
Таблица 5. Средненедельная доходность арбитражного портфеля для периода
формирования в 4 недели, %
Источник: составлено автором на основе результатов исследования
Результаты, полученные в процессе исследования (Таблица 5),
свидетельствуют о том, что с ростом уровня ликвидности акций арбитражная
доходность портфеля снижается. Такие выводы не противоречат действительности в
связи с тем, что инвесторы требуют премию за низкий уровень ликвидности. Стоит
заметить, что эта премия фактически является одним из видов транзакционных
издержек, которые нужно учитывать при поиске рыночных аномалий.
Общие выводы работы касательно наличия эффекта разворота на рынке
капитала Гонконга свидетельствуют о том, что при выборе периода формирования
арбитражного портфеля в 4 недели статистически значимой доходности по стратегии
не имеется.
Таблица 5.1. Средненедельная доходность арбитражного портфеля для периода
формирования в 4 недели, %
Недостатком данного исследования является использование лишь 4-недельного
периода формирования арбитражного портфеля, что недостаточно для проведения
полноценного анализа портфельного эффекта разворота. Ко всему прочему, вывод
результатов происходит на основе логарифмических доходностей, использование
которых приводит к сильному смещению результатов.
Немаловажное значение в области исследований рыночных аномалий
принадлежит работе Хамида и Миана [Hameed, Mian, 2015]. Целью данной работы
является обнаружение портфельного эффекта разворота на американском фондовом
рынке на основе данных о доходностях акций, котирующихся на Нью-Йоркской и
NASDAQ фондовых биржах в период с 1968 по 2010 годы.
Особенностью данной работы является проверка наличия эффекта разворота с
использованием как модели CAPM, так и трехфакторной модели ценообразования Фамы
и Френча при разных способах учета весов акций в арбитражном портфеле.
Таблица 6. Среднемесячная доходность арбитражного портфеля, усредненная
по всем периодам формирования, %
Источник: составлено автором на основе результатов исследования
Выводы, полученные исследователями, свидетельствуют о наличии эффекта
разворота - в данном случае нет возможности точно утверждать, о каком именно
эффекте разворота идет речь вследствие усреднения среднемесячных доходностей
арбитражного портфеля на всех периодах его формирования. Введение
дополнительных факторов риска в модель CAPM существенно не изменило результаты:
для обоих методов учета весов акций в арбитражном портфеле значение месячной
арбитражной доходности находится в пределах 0,7%. Стоит заметить, что учет
весов акций в портфеле по уровню капитализации компании существенно ухудшает
результаты инвестиционной стратегии, хотя и в этом случае арбитражная
доходность остается статистически и экономически значимой.
Подводя итоги следует отметить, что на развитых рынках капитала, в
частности на фондовых рынках США, Англии, Японии, Гонконга, были найдены
подтверждения наличия портфельного эффекта разворота, как краткосрочного (США,
Англия, Япония, Гонконг), так и долгосрочного (США, Япония), значимость которых
во многом зависит от подбора соответствующих элементов инвестиционной
стратегии. Однако, сравнение результатов по фондовым рынкам не представляется
возможным как вследствие использования разных методов оценок арбитражных
доходностей, так и их подсчета в национальных валютах без перевода на единый
валютный курс.
1.3 Портфельный
эффект разворота на развивающихся рынках капитала
Исследование развивающихся рынков капитала на предмет поиска таких
рыночных аномалий, как эффект разворота тенденции к средней доходности и
моментум эффект, началось довольно недавно, что объясняет использование похожих
методов построения инвестиционных стратегий и тестирования значимости аномалий.
Отличительной особенностью также является тот факт, что исследований по
странам, которые входят в «наш список», практически не было выполнено.
Все же, одним из наиболее изученных развивающихся рынков капитала на
данный момент является фондовый рынок Китая. Одна из работ из этой области
принадлежит исследователям Ши, Чанк, Шоу. Выборка данных, использованных в
исследовании, включает в себя месячные доходности по обыкновенным акциям класса
А, котирующимся на Шанхайской (SHSE) и Шэньчженьской (SZSE) фондовых биржах в
период с января 1997 по декабрь 2012 года.
Нововведением данной работы является исключение из выборки данных по
доходностям акций за первый месяц после проведения IPO с целью исключения
влияния второстепенных факторов (отскок цены) на значимость портфельного
эффекта разворота.
Также стоит отметить, что исследователи в данной работе провели проверку
результатов на робастность - влияние на результаты инвестирования выбора доли
акций для портфелей победителей и проигравших из общей выборки данных (как мы
помним, в большинство работ данная проверка не проводилась, использовалась
заранее заданная величина - квантиль, дециль и т.д.).
Для упрощения анализа и обработки входных данных исследователями был
ограничен выбор периодов инвестирования и формирования портфелей- изучались
только те стратегии, в которых данные периоды совпадали. Такое изменение
методики негативно сказывается на результатах тестирования значимости эффекта
разворота.
Результаты исследования показали сравнительно небольшие (Таблица 7)
среднемесячные доходности арбитражного портфеля при выборе 10% доли акций в
портфеле победителей и проигравших практически для любого периода формирования
и инвестирования.
В данной работе недостаточно внимания было уделено корректировке величины
арбитражной доходности на эффект размера компании, не говоря уже о
корректировке на рыночной риск. В этом плане качество работы не превосходит
уровень работ 1990-ых годов.
Таблица 7. Среднемесячная доходность арбитражного портфеля, %
Источник: составлено автором на основе результатов исследования
Следующей работой по изучению эффекта разворота, на сей раз рынка
капитала Индии, является исследование Каура [Kaur, 2014]. Изюминкой данной
работы является поиск аномалий не на рынке в целом, а на отдельных отраслях
экономики. Данный шаг скорее непригоден для практических целей вследствие
снижения уровня диверсификации арбитражного портфеля, однако для
исследовательских целей является достаточно актуальным.
Выборка данных, на основе которых происходит анализ, включают в себя
месячные доходности обыкновенных акций, входящих в индекс S&P CNX 500.
Изначально авторами эта выборка была разделена на две части в зависимости от
принадлежности к отрасли - акции класса «промышленность» и класса «сервис и
услуги».
Аналогично предшествующим работам, исследование основано на использовании
логарифмических доходностей акций, что крайне недопустимо в связи с смещением
результатов.
Согласно полученным результатам (Таблица 8), арбитражная доходность
портфеля, образованного из акций класса «производство» существенно превосходит
результаты инвестирования в портфель класса «услуги и сервис» при любом периоде
инвестирования и формирования арбитражного портфеля. Такой вывод получен по
следующим причинам:
· Индия является страной с относительно развитыми отраслями
промышленности (сфера услуг находится на начальном этапе развития).
Следовательно, потенциал роста компаний в этом секторе выше в связи с хорошо
развитой инфраструктурой, что и подтверждается относительно высокими темпами
роста компаний «проигравших».
· Менее стабильная экономическая ситуация в данном секторе (как
и во всем мире, не только в Индии) связана с принятием бо¢льших рисков. Отсутствие
корректировок арбитражной доходности на рыночный риск приводит к некорректным
результатам.
Таблица 8. Среднемесячная доходность арбитражного портфеля, %
Источник: составлено автором на основе результатов исследования
В случае принятия данной методики нахождения арбитражной доходности
портфеля можно утверждать о наличии краткосрочного эффекта разворота,
постепенно переходящего в долгосрочный вследствие отсутствия моментум эффекта.
Гипотеза о достижении максимальных результатов инвестирования в
арбитражный портфель при равенстве периода инвестирования и формирования
отвергается - согласно таблице 8 на фондовом рынке наблюдается противоположная
ситуация (максимальные результаты инвестирования для каждого периода
формирования портфеля обозначены серым цветом).
Аналогичное исследование по поиску эффекта разворота на Малазийском рынке
капитала было проведено Али, Ахмадом и Анусакумаром [Ali, Ahmad, Anusakumar,
2013]. Используемые данные работы состоят из недельных доходностей обыкновенных
акций фондовой биржи Bursa Malaysia за период с 2000 по 2010 годы (итого 510
компаний). Целью работы является поиск краткосрочного эффекта разворота в
отраслях экономики.
В процессе обработки данных все акции были разделены на 9 основных групп
в зависимости от сферы деятельности компаний: строительство, потребительские
товары, финансы, промышленность, сельское хозяйство, недвижимость, высокие
технологии, торговля и услуги и остальные. По причине поиска краткосрочного
эффекта разворота авторами рассматриваются периоды формирования и инвестирования,
ограниченные рамками 1-4 недель. В связи с большим количеством котирующихся на
бирже компаний авторами было решено отобрать крайние 10% акций в портфели
победителей и проигравших, отранжированных по прошлым результатам.
Данное исследование, как и практически все остальные, тестирующие наличие
эффекта разворота на развивающихся рынках капитала, не основано на
использовании моделей для корректировки на такие факторы рисков, как рыночный,
эффект размера компании, сезонность, состояние экономики, не учитываются
транзакционные издержки, отсутствует проверка результатов на робастность и т.д.
Тем не менее, постановка задачи исследования (тестирование аномалии на основе
отраслевых данных) является корректной и актуальной.
Таблица 9. Средненедельная доходность арбитражного портфеля, усредненная
по всем периодам формирования, %
Источник: составлено автором на основе результатов исследования
В случае принятия авторского метода тестирования эффекта разворота можно
утверждать, что на малазийском фондовом рынке существует краткосрочный эффект
разворота в течение периода инвестирования с 1 по 4 недели (исходя из
результатов таблицы 9 скорее аномалия наблюдается и для периода более 4
недель).
Наиболее интересными являются результаты, демонстрирующие наличие
краткосрочного эффекта разворота для отраслей экономики. Стоит отметить, что
значимость аномалии больше всего проявляется для таких секторов, как
потребительские товары, промышленность и недвижимость. Однако в таких секторах,
как финансы, сельское хозяйство, высокие технологии ее значимость ниже
среднерыночных показателей. Здесь явно прослеживается положительная корреляция
между развитостью отраслей малазийской экономики и значимостью краткосрочного
эффекта разворота.
Все предшествующие работы были направлены на изучение аномалий на
отдельных рынках капитала, а некоторые даже отраслей региональных экономик.
Следующая работа [Liu, Wang, Peng, Huang, 2008], которая будет рассмотрена,
отличается от всех остальных объектом исследования - рассматриваются месячные
доходности обыкновенных акций компаний, функционирующих на всем
Азиатско-Тихоокеанском регионе, включающий в себя развитые (Япония, Гонконг,
Сингапур) и развивающиеся рынки капитала (Тайвань, Таиланд, Малайзия, Филиппины
и Южная Корея), в период с 1990 по 2005 годы.
Хотя и эта работа не отличается от остальных использованием сложных
моделей ценообразования и проверкой результатов на робастность, сама идея
изучения аномалий на всем регионе довольно интересная. В отличие от предшествующих
работ авторами было решено не усреднять арбитражные доходности стратегий по
всем периодам формирования портфеля. Периоды инвестирования и формирования
арбитражного портфеля находятся в пределах 1-36 месяцев, что также позволяет
осуществить поиск моментум эффекта и долгосрочного эффекта разворота.
Результаты, полученные в процессе исследования, сильно варьируются: для
развитых рынков капитала характерно наличие как кратко-, долгосрочного эффекта
разворота, так и моментум эффекта. В противоположность таким выводам для
развивающихся рынков капитала ни одной аномалии в явном виде нельзя обнаружить
- в кратко-, долгосрочном периодах наблюдается отрицательная арбитражная
доходность инвестиционной стратегии, направленной на поиск эффекта разворота, в
среднесрочном - положительная.
Также стоит отметить, что для региона в течение исследуемого периода было
характерно отсутствие январского эффекта.
Несмотря на наличие достаточно большого объема литературы на заданную
тему, на сегодняшний день ни для одной работы объектом изучения не являлся
российский фондовый рынок. Тем не менее, на основе данных российского рынка
капитала было проведено исследование по поиску моментум эффекта, рассмотрение
которого обязательно в рамках изучения эффекта разворота. Прежде всего это
связано с тем, что результаты такой работы могут послужить теоретической базой
для тестирования портфельного эффекта разворота на российском рынке капитала.
Тестирование моментум эффекта в этой работе происходит на основе
построения портфелей победителей и проигравших и открытия по ним длинной и
короткой позиции соответственно. Портфели победителей и проигравших
сформированы по децильной методике, веса акций средневзвешенные. В связи с тем,
что моментум эффект на большинстве рынков капитала наблюдается в среднесрочной
перспективе, периоды формирования и инвестирования лежат в пределах 3-12
месяцев.
Используемые данные включают в себя месячные доходности обыкновенных
акций, обращающихся на фондовых биржах ММВБ, РТС и «Санкт-Петербург», в период
с 2004 по 2012 годы. Стоит отметить, в отличие от предшествующих исследований
наличия рыночных аномалий, исследователями проходит проверка результатов на
робастность (влияние выбора методики отбора акций в портфели победителей и
проигравших и т.д.)
Одной из основных гипотез, проверяемых в работе, является влияние выбора
рассматриваемого периода на значимость моментум эффекта. Для проверки данной
гипотезы исследуемый период был разделен на две части: период интенсивного
роста (2004-2007 гг.) и период кризиса/застоя (2008-2012 гг.).
Таблица 10. Доходность арбитражного портфеля с корректировкой на
безрисковую ставку, %

Результаты, полученные в процессе исследования, свидетельствуют о наличии
моментум эффекта в течение периода интенсивного роста для всех периодов
формирования портфеля. Однако, данный вывод не распространяется на период
кризиса и застоя, хотя доходность арбитражного портфеля незначима (скорее всего
это связано с отсутствием большого объема наблюдений), но для всех периодов
формирования и инвестирования принимает отрицательное значение, что
свидетельствует о возможном присутствии на рынке капитала краткосрочного
портфельного эффекта разворота, постепенно переходящего в долгосрочный.
Тем не менее, при проведении исследования по поиску эффекта разворота
следует обратить внимание на выбор лагового периода, позволяющего избавиться от
влияния моментум эффекта на результаты инвестирования.
Итак, подводя итоги по результатам предшествующих исследованиям по
тестированию эффекта разворота на развивающихся и развитых рынках капитала,
стоит отметить, что на каждом рынке наблюдается наличие статистически и
экономически значимой аномалии (Таблица 10.1), независимо от выбора методики ее
поиска. Наибольшее количество работ направлено на изучение американского
фондового рынка, результаты которых варьируются в пределах 0,7-1% для длинных
периодов формирования и инвестирования арбитражного портфеля, для краткосрочных
- 1,5-2,2% месячных. Результаты по данному рынку значимо превышают доходности
остальных рынков вне зависимости от их уровня развитости. Примечательным
является тот факт, что для Азиатско-Тихоокеанского региона доходность стратегии
в среднем равна 0,3% месячных для любых периодов инвестирования и формирования
портфеля. Однако, значимость моментум эффекта на развитых рынках меньшая по
сравнению с развивающимися (0,7% против 1,5% месячных соответственно).
Изначально установленная гипотеза о наличии положительной зависимости
доходностей стратегий как на основе эффекта разворота вследствие больших рисков
и меньшей эффективности развивающихся рыков не оправдалась (только для
стратегии на основе моментум эффекта) в явном виде не оправдалась из-за низких
доходностей стратегии на Азиатско-Тихоокеанском регионе.
Таблица 10.1. Доходности арбитражного портфеля для разных рынков
капитала, %
Источник: составлено автором на основе результатов исследования
Отметим основные ошибки, имеющиеся в рассмотренных работах:
· использование логарифмических доходностей, что приводит к
значительному смещению результатов вследствие аппроксимирования к обычной
доходности;
· использование дневных цен закрытия при подсчете доходностей
без корректировки на дивидендные выплаты, деления (split) или объединения
акций;
· отсутствие корректировок результатов на транзакционные
издержки;
· проведение исследования без учета возможного существования
моментум эффекта, что приводит к смещенным результатам поиска долгосрочного
эффекта разворота;
· отсутствие корректировок на факторы риска (даже таких
простых, как рыночный риск);
· использование данных по котировкам акций, котирующихся на
бирже - хотя данное действие и допустимо, но нежелательно. Это связано с тем,
что на фондовой бирже могут обращаться акции компаний, не имеющих никакого
отношения к рынку капитала рассматриваемой страны. В связи с этим более
предпочтительным вариантом отбора данных является использование фондовых
индексов.
Подтверждение наличия эффекта разворота и моментум эффекта на большинстве
изученных рынков капитала заставляет задуматься над причинами его появления, а
также сохранением устойчивых результатов инвестирования даже после его
обнаружения.
1.4 Природа
эффекта разворота и факторы, объясняющие его существование
Эффект разворота к средней доходности имеет особое значение в рамках
гипотезы эффективного рынка (ГЭР). В поисках рационального объяснения
существования этой рыночной аномалии одни из сторонников ГЭР связывают
получение высоких доходностей с принятием повышенного риска, будь то это фактор
размера компании или фактор уровня ликвидности ее акций на бирже. [Conrad,
Kaul, 1998]. Есть также направления исследований природы эффекта разворота,
объясняющие его наличие успешным подбором данных [MacKinlay, 1995].
Однако более поздние исследования опровергают попытки рационального
объяснения существования эффекта разворота. Точки зрения в таких работах
подкрепляются тем, что даже в случае тестирования инвестиционных стратегий на
трехфакторной модели ценообразования Фамы и Френча значение арбитражной
доходности (как правило, в таких моделях оно обозначается как
) остается статистически и
экономически значимой.
Однако, к такой логике рассуждения можно легко придраться, аргументировав
наличием множества других факторов (к примеру, наличием эффекта января или
эффектом состояния экономики), включение которых в модель ценообразования может
нивелировать значение арбитражной доходности. Это означает, что устоявшиеся и
широко используемые модели ценообразования учитывают не все риски (что может
быть подтверждено значением
-долей объясненной дисперсии доходности арбитражного портфеля
при заданной модификации модели).
Более конкретное исследование природы эффекта разворота с точки зрения
рационального подхода было предложено Конрадом и Каулом (1998). Согласно
установленной гипотезе, доходность инвестиционной стратегии может состоять из
трех основных компонент:
· вариация ожидаемых доходностей акций среди компаний (S);
· автокорреляции доходностей (О), то есть на основе прошлых
доходностей акций можно спрогнозировать их будущие доходности;
· автокорреляции кросс-секционных данных (С), то есть
отрицательной корреляции между доходностью отдельной акции с лагированными
доходностями остальных входящих в арбитражный портфель акций.
Результаты исследования показали, что доходность арбитражного портфеля
сильно зависит от вариации ожидаемых доходностей акций и практически не зависит
от автокорреляции их доходностей. Данный вывод очень полезен, так как
фактически утвердительно отвечает на вопрос о возможности использования
статистик при тестировании значимости эффекта разворота.
Существуют также и иные работы, пытающиеся объяснить природу аномалий с
точки зрения рационального объяснения. К примеру, в работе Антониоу имеется
подтверждение тому, что настроение инвесторов может помочь в прогнозировании
доходностей арбитражного портфеля, построенного с целью нахождения эффекта
разворота. Остатки регрессии, в которой в качестве эндогенной переменной
выступает индекс уверенности (Conference Board Consumer Confidence Index), а в
качестве экзогенных - макроэкономические показатели, использованные в работах
Бакера и Вуглера, представляют собой некий аналог настроения инвесторов - когда
на рынке наблюдаются оптимистичные настроения, результаты инвестирования в
арбитражный портфель в среднем выше, чем при пессимистичных настроениях.
Также важные выводы были получены в работе Садки и Пастера и Стэмбафа,
согласно которым более половины кросс-секционной вариации доходностей
инвестиционных стратегий, основанных на поиске моментум эффекта и эффекта
разворота, объясняется таким фактором риска, как уровень ликвидности.
Пожалуй, одним из наиболее существенных факторов, которые может объяснять
существование арбитражных доходностей портфелей, является ограничение коротких
продаж акций. Под этим прежде всего подразумеваются различные затраты и риски,
связанные с открытием коротких позиций. Одним из наиболее наглядных примеров
этому является китайский фондовый рынок, на котором в августе 2015 года
фондовыми биржами были приняты следующие меры: инвесторам, открывающим короткие
позиции по акциям, необходимо ждать сутки, чтобы расплатиться с владельцами
акций. Такие шаги привели к увеличению рисков и затрат прежде всего у
спекулянтов, осуществляющих частые операции на рынке. Подтверждением такой
точки зрения являются результаты исследования Александера, согласно которым
пренебрежение таким фактором риска приводит к существенному смещению результатов
инвестиционной стратегии, направленной на поиск рыночной аномалии (портфельного
эффекта разворота).
Однако, несмотря на достаточное количество работ, приводящих веские
аргументы в пользу рационального объяснения природы эффекта разворота (как краткосрочного,
так и долгосрочного), существует направление изучения данной проблемы в области
теории поведенческих финансов. Данная теория не вписывается в рамки широко
распространенной и всесторонне используемой неоклассической теории финансов. Ее
основное отличие состоит в более мягких и реалистичных предпосылках, одной из
которых является допущение инвесторами систематических ошибок, что отвергает
наличие их рационального поведения.
Одной из наиболее ранних работ, направленных на объяснение природы эффекта
разворота, является исследование Дэниэла, Хиршляйфера и Субрахманьяма. Согласно
результатам исследования, инерция в динамике цен активов (в том числе и акций)
наблюдается по причине излишней самоуверенности инвесторов в оценке их
стоимости. Самоуверенность инвесторов прежде всего предполагает чрезмерную
реакцию на новости, появляющиеся на рынке и влияющие на стоимость открытых
позиций - игроки на рынке склонны приписывать положительные результаты
инвестирования на свое умение строить арбитражные портфели (отбирать
соответствующие акции на рынке капитала), а отрицательные объясняют неудачей и
стечением обстоятельств.
Наиболее интересным является подход Хонга и Стейна. В своей работе
исследователи делят инвесторов на два типа - первые открывают позиции на рынке,
основываясь на данных фундаментального анализа, не принимая во внимание
исторические данные, вторые напротив на основе торговых правил и использования
исторических данных. Авторами тестируется гипотеза, согласно которой
постепенное распространение новостей среди игроков первого типа приводит к
недостаточной реакции со стороны всего рынка. Это значит, что игроки второго
типа не среагируют на появление новостей, пока первая группа инвесторов не
повлияет на стоимость акции (информация об изменении цены, проще говоря, будет
считаться уже частью исторических данных). Стоит отметить, что в нынешних
реалиях данная гипотеза будет отвергнута в связи с тем, что на рынке большая
часть операций осуществляется за счет использования алгоритмов, которые
настроены на использование как исторических данных, так и новостей (через
определенные макроэкономические индикаторы).
Также одной из наиболее значимых исследований в области теории
поведенческих финансов является работа Муcвайлера и Шнeллера, в котором
изучается эффект якорения и его влияния на природу портфельного эффекта
разворота. Согласно результатам исследования, рыночные игроки формируют свое
поведение, исходя из достижения ценами акций максимальных и минимальных
значений за определенный период (неделя, месяц, год и т.д.). Иначе говоря, при
достижении ценой актива уровня сопротивления, инвестором открывается короткая
позиция по данному активу вследствие ожидания падения его цены. Это
свидетельствует о том, что инвесторы склонны покупать акции, которые достигли в
недавнем прошлом своих локальных минимум и продавать акции, достигших локальных
максимумов.
В объяснении природы эффекта разворота также следует учитывать такой
фактор, как роль иностранных инвесторов в ценообразовании финансовых активов (в
нашем случае акций), которые в большинстве случаев консервативны в выборе
объектов инвестирования. Данный фактор может быть смоделирован путем
исследования притоков/оттоков иностранного капитала на фондовый рынок. Однако
вероятное наличие корреляции между фактором состояния рынка и притоком/оттоком
иностранного капитала, а также отсутствие данных (именно месячных, а не
годовых) в открытом доступе для большинства рынков капитала осложняет
тестирование значимости эффекта разворота к этому фактору.
Исходя из вышесказанного следует отметить, что вне зависимости от наличия
нескольких направлений изучения природы рыночных аномалий, все подходы
заслуживают внимания и в той или иной степени дополняют друг друга (даже если
основаны на разных предпосылках).
2. Теоретические
основы построения стратегии разворота к средней доходности
2.1 Дизайн
стратегии разворота к средней доходности
В современной академической литературе наиболее часто используемой и
общепризнанной методикой тестирования эффекта разворота к средней доходности
является построение арбитражного портфеля, сконструированного на основе
портфелей проигравших и победителей, и проверка его результатов инвестирования
на значимость. Метод построения арбитражного портфеля заключается в следующем:
инвестор, анализируя динамику доходностей обыкновенных акций, котирующихся на
фондовом рынке, выбирает те из них, которые показали наихудшие и наилучшие
результаты за определенный период времени. После отбора он открывает «длинную
позицию» по акциям - проигравшим, и «короткую позицию» по акциям - победителям.
Однако, эффективность такой стратегии полностью зависит от правильного выбора
ее элементов:
· период формирования арбитражного портфеля, на основе которого
осуществляется отбор портфелей проигравших и победителей;
· период инвестирования арбитражного портфеля;
· лаговый период, хронологически расположенный между периодом
формирования и инвестирования. Цель данного элемента стратегии заключается в
нивелировании моментум эффекта, снижающего результаты инвестирования
арбитражного портфеля;
· методика построения арбитражного портфеля (выбор доли
котирующихся на рынке акций, включенных в портфели победителей и проигравших).
Далее каждый элемент инвестиционной стратегии будет отдельно рассмотрен и
изучен.
2.1.1 Период
формирования арбитражного портфеля
Основным структурным элементом инвестиционной стратегии является выбор
периода, на основе которого акции будут проранжированы в соответствии с уровнем
доходности и отобраны в соответствующие портфели. Определение оптимального
значения этого периода является ключом к нахождению эффекта разворота на рынке
капитала.
Как было упомянуто ранее, на большинстве рынков капитала были обнаружены
два эффекта разворота, отличающиеся друг от друга периодом держания портфеля, в
котором достигают наибольшей значимости:
· краткосрочный, достигает пика своей «силы» в период держания
портфеля в 2-6 недель. Однако, в связи с уникальностью каждого рынка капитала
этот период может варьироваться от 1 до 9 недель;
· долгосрочный наблюдается при периоде держания портфеля в 2-5
лет.
При тестировании SR эффекта разворота будут использованы данные по
недельным доходностям, в противном случае вероятность его обнаружения
существенно снижается.
После выбора периода формирования акции, котирующиеся на фондовой бирже,
ранжируются в зависимости от уровня доходности и распределяются в портфели
победителей и проигравших.
2.1.2 Период
инвестирования арбитражного портфеля
Следующим элементом инвестиционной стратегии является период
инвестирования арбитражного портфеля (соответствующий открытию длинной позиции
по портфелю проигравших и короткой по портфелю победителей). В академической
литературе ранее рассматривались две методики выбора данного периода:
· выбрать период инвестирования равный периоду формирования
арбитражного портфеля. Смысл такой гипотезы заключается в том, что такая
зависимость между периодом формирования и инвестирования портфеля является
оптимальной с точки зрения максимизации результатов инвестирования. Многие
предшествующие исследования отвергли данную гипотезу;
· рассмотреть всевозможные комбинации значений «период
формирования - период инвестирования». Такая методика является более сложной и
затратной, однако наиболее эффективной с точки зрения тестирования как
краткосрочного, так и долгосрочного эффекта разворота.
При выборе периода инвестирования следует больше обращать внимания на
такие периоды, как 4-5 недель и 2-5 лет, в которых имеется наибольшая
вероятность обнаружения аномалий (получены на основе результатов предшествующих
работ).
2.1.3 Лаговый
период арбитражного портфеля
Как было описано ранее [Jegadeesh, Titman, 2001], на большинстве из
изученных рынков капитала имеется среднесрочный моментум эффект, наблюдающийся
в периоде с 3-12 месяцев инвестирования. Эта аномалия является по своей природе
противоположным эффектом к эффекту разворота, негативно сказывающаяся на
результатах инвестиционной стратегии, направленной на его поиск. Решением
данной проблемы является использование так называемого лагового периода (рис.
2), равного по своей длительности периоду инвестирования, в котором моментум
эффект становится незначим. В течение данного периода после формирования
арбитражного портфеля запрещается открытие каких-либо позиций по нему.
Рис. 2. Жизненный цикл инвестиционной стратегии
2.1.4 Методика
построения портфеля
Следующим элементом инвестиционной стратегии является методика построения
инвестиционной стратегии. В академической литературе широко распространены две
основные методики - квантильная и методика взвешенной относительной силы,
основанные на ранжировании имеющейся выборки акций по определенному критерию.
Квантильная методика подразумевает под собой деление всей имеющейся
выборки на 3 портфеля: в первый и второй портфели (обычно по 10% от всей
выборки) входят акции, показавшие наилучшие и наихудшие результаты за
определенный период формирования. Все оставшиеся акции формируют третий
портфель. В конечном итоге первый и второй портфели образуют арбитражный
портфель (третий в его формировании не участвует). При определенных
обстоятельствах доля дележа выборки акций на портфель победителей и проигравших
может меняться. С целью сохранения высокого уровня диверсификации арбитражного
портфеля выборку акций можно поделить в соотношении 20:60:20 или 30:40:30.
Веса акций внутри портфелей победителей и проигравших могут быть
распределены по-разному в зависимости от установленного критерия. В зарубежной
литературе предпочтение отдается средневзвешенному использованию акций в
портфеле, так как данная методика не только позволяет снизить уровень
смещенности результатов по поиску эффекта разворота, но также является 100%
самофинансируемой (или как принято называть, стратегия «нулевых издержек») -
средства, вырученные от продажи акций, полученных путем открытия коротких
позиций, используются для открытия длинной позиции по портфелю проигравших.
Тем не менее имеются сторонники, предлагающие использовать иной подход
учета весов акций в портфелях: включать в портфель с бо¢льшей долей акции компаний с
наивысшей капитализацией: Однако, данный подход не оправдал себя, вследствие
получения неудовлетворительных результатов по поиску эффекта разворота -
компаниям с большой капитализацией в основном свойственно наличие низким темпов
роста, что негативно сказывается на доходностях акций (но стоит признать, что
такие акции менее волатильны).
Использование методика взвешенной относительной силы в отличие от
квантильной предполагает деление выборки акций на 2 портфеля: акции, доходность
которых была ниже среднерыночной, образуют портфель проигравших, а акции,
показавшие лучшие результаты по сравнению с рынком- портфель победителей. Это
означает, что все акции участвуют в формировании арбитражного портфеля. Однако,
учет весов акций в портфелях осуществляется иным способом, в зависимости от
уровня отклонения доходностей за определенный период формирования от
среднерыночной - чем он выше, тем больше вес акции в портфеле. Недостатки
данного подхода весьма существенны:
· большие транзакционные издержки, связанные с включением в
арбитражный портфель огромное количество акций;
· существенны риски, связанные с возможным ростом волатильности
арбитражного портфеля.
Существенным структурным элементом инвестиционной стратегии является
метод ранжирования акций внутри портфелей. Существует несколько показателей, по
которым может быть произведена ранжирование:
· доходность акций за определенный период формирования Данный
метод является самым распространенным и наиболее результативным;
· соотношению текущей рыночной цены акции и ее максимальной
ценой за последний год. Такой метод прежде всего основан на использовании
результатов исследований в области поведенческих финансов. Согласно результатам
Парка (Park, 2010), активность инвесторов возрастает по мере приближения
текущей цены акции либо к минимальному значению, либо к максимальному за
последний год;
Более предпочтительным является использование первого способа, так как он
является наиболее результативным, а нашей задачей заключается в выборе таких
элементов стратегии, при которых достигается максимальный результат
инвестирования.
2.2 Методология
тестирования эффекта разворота к средней доходности
Немаловажное значение в процессе поиска портфельного эффекта разворота
принадлежит выбору методики тестирования инвестиционной стратегии. Наиболее
широкое распространение в академической литературе получили два подхода:
независимое и пересекающееся ранжирование акций при формировании арбитражного
портфеля. Суть независимого ранжирования заключается в том, что набор акций
меняется с периодом, равным периоду формирования портфеля, что обеспечивает
независимость наблюдений и позволяет использовать статистики для проверки
значимости рыночной аномалии. Выбор же пересекающегося ранжирования акций
наиболее распространен и заключается он в ранжировании акций с периодом в месяц
или неделю (в зависимости от того, какой именно эффект разворота тестируется).
Однако его использование хотя и увеличивает выборку данных, но приводит к
появлению автокорреляции, а следовательно и невозможности использования
статистических инструментов (рис.3).
Стоит заметить, что ранжирование акций происходит на основе данных ex
post, притом данные по доходностям акций в процессе инвестирования носят
характер ex post.
Следующий вопрос, требующий внимания, является выбор в процессе
исследования месячных или недельных доходностей акций. При поиске
краткосрочного эффекта разворота к средней доходности в работах зарубежных
исследователей использовались недельные доходности, так как они включают в себя
больше информации, что увеличивает вероятность нахождения рыночной аномалии и
снижает смещенность оценок среднемесячных доходностей.
Однако, при исследовании долгосрочного эффекта разворота нет смысла
использовать недельные данные по доходностям в связи, так как это связано с
большими затратами.
Рис. 3. Пересекающаяся и независимая методика ранжирования акций в
арбитражный портфель
2.2.1 Корректировка
результатов инвестирования на факторы риска
Первым этапом в тестировании результатов инвестиционной стратегии
является нахождение ее оптимальных параметров. Данный этап прежде всего
заключается в поиске максимальных доходностей арбитражного портфеля без
корректировок на факторы риска, а также в выборе периодов формирования и
инвестирования портфеля, при которых такая доходность достигается. Таким
образом нами будут отсеяны все неоптимальные параметры стратегии, при которых
вероятность нахождения краткосрочного и долгосрочного эффекта разворота
минимальна. В связи с тем, что поиск арбитражных доходностей осуществляется на
основе использования непересекающихся периодов формирования и инвестирования
портфеля, что свидетельствует о явном отсутствии автокорреляции между
отдельными наблюдениями, то проверка значимости доходностей будет осуществлена
с использованием следующих статистических методов:
- среднемесячная доходность арбитражного портфеля с учетом
корректировки на рыночную доходность для каждого периода инвестирования;
- доходность арбитражного портфеля с учетом корректировки на
рыночную доходность для каждого периода инвестирования и момента составления;
- количество акций в арбитражном портфеле;
- уровень значимости.
Первый этап использовался в ранних исследованиях, исполнение данного
этапа необходимо не только в демонстративных целях, но и для сравнения
полученных результатов с выводами более сложных моделей тестирования эффекта
разворота.
Примечание: в случае, если доходности инвестиционной стратегии по итогам
первого итога оказались неудовлетворительными (не имеются статистически и
экономически значимых положительных результатов инвестирования в арбитражный портфель),
то коррекция доходностей по арбитражному портфелю на риски на последующих трех
этапах не требуется в связи с полученными результатами о явном отсутствии
эффекта разворота на рынке капитала. Второй этап представляет собой
корректировку полученных ранее оптимальных результатов инвестирования в
арбитражный портфель на рыночный риск. Самым широко распространенным и
используемым во многих исследованиях методом оценки эффекта разворота является
равновесная модель ценообразования CAPM, предпосылками которой являются:
· отсутствие на рынке возможностей получения арбитражной
доходности;
· эффективный и совершенность рынков;
· существование на рынке единственного фактора риска, в роли
которого выступает чувствительность актива к доходности рынка;
· рациональное поведение участников рынка;
· ожидаемые доходности активов не зависят от времени;
· инвесторы имеют неограниченные возможности по инвестированию
и кредитованию по безрисковой ставке и т.д.
Невыполнение любой из предпосылок означает то, что модель CAPM, как
основы многих существующих ныне моделей ценообразования, основанных на
рациональном объяснении статистически значимых арбитражных доходностей
портфелей, не работоспособна и не отражает те реалии, которые существуют на
рынке. Модель описывается следующим образом
- ожидаемая ставка доходности акции;
- безрисковая ставка процента;
- ожидаемая доходность рыночного актива
- коэффициент чувствительности доходности акции к изменениям
рыночной доходности, является мерой рыночного риска.
Тестирование эффекта разворота с помощью данной модели заключается в
следующем: если модель не выполняется, и наблюдается систематическое превышение
правой части уравнения над левым, то это будет свидетельствовать в пользу того,
что на рынке с высокой долей вероятности существует аномалия. Следовательно,
целью данного этапа является тестирования следующей эконометрической модели на
значимость коэффициента
.
- доходность арбитражного портфеля;
- случайная ошибка модели.
Тем не менее, результаты множества проведенных исследований по поиску
рыночных аномалий свидетельствуют о том, что имеется большое количество иных
факторов, воздействующих на значимость эффекта разворота. Это прежде всего
эффект сезонности, размера компании, ликвидности, состояния рынка (эмпирические
свидетельства о генерировании инвестиционной стратегией положительной
доходности в условиях стабильного роста и отрицательной во времена
стагнации/рецессии экономики) и т.д.
Как было рассмотрено ранее, включение в модель фактора, учитывающего
наличие эффекта января на рынке, а также фактора состояния рынка позволяет не
только увеличить долю объясненной дисперсии доходностей арбитражного портфеля,
но и более корректно провести тестирование эффекта разворота на рынке.
Исходя из всего вышесказанного следует, что задачей третьего этапа
тестирования эффекта разворота заключается в проверке значимости коэффициента
в следующей эконометрической модели:
- дамми-переменная, принимающая значение 1 в январе-месяце и
0 для остальных месяцев года;
- регрессор, описывающий состояние фондового: принимает
значение 1 при условии положительного роста фондового рынка в рассматриваемый
месяц (доходность рынка > 0) и 0 в случае его стагнации/рецессии;
Такие регрессоры модели были выбраны не только с целью повышения качества
тестирования эффекта разворота, но также избегания проблем, которые могли
возникнуть в ходе проведения эконометрического анализа модели (при
использовании метода наименьших квадратов для нахождения оценок регрессии
плохие свойства независимых переменных как мультиколлинеарность и
гетероскедастичность могут стать причиной проблем несостоятельности и
смещенности оценок).
Отличительной особенностью всех предшествующий исследований является
использование моделей ценообразования, в которых предполагается неизменность во
времени значений параметров. В действительности же данная предпосылка является
нереалистичной, так как развитие рынков капитала, изменение новостного фона
приводят к изменению значимости того или иного фактора риска. К тому же,
результаты исследования Росса (1989) свидетельствуют о том, что появление
информации можно описать в виде стохастического процесса. Уровень
систематического риска, фактически зависящего от информационно-новостного фона,
также является стохастической функцией.
Стоит отметить, что предположение о стохастической природе коэффициентов
модели позволяют использовать динамические модели ценообразования финансовых
активов.
Целью четвертого этапа тестирования эффекта разворота приведение к
динамической форме модели (2) путем использования фильтра Калмана. В отличие от
задачи оценки параметров, имеющих фиксированные значения в течение всего
исследуемого периода, в задаче фильтрации требуется оценивать процессы, то есть
находить текущие оценки изменяющегося во времени сигнала, искаженного помехой,
и, в силу этого, недоступного непосредственному измерению.
Наиболее широко используемой динамической модификацией линейных
регрессионных моделей на сегодняшний момент является модель случайного
коэффициента (Kalman filter - random coefficient). Формально модель описывается
следующим образом:
Первое уравнение модели называется уравнением наблюдения, второе
состояния. Важно понимать, что первый временной ряд наблюдаемый, а второй не
наблюдаемый - зависит от первого, но имеются независимые автокоррелированные
возмущения:
.
Идеей, заложенной в данной модели, является то, что коэффициент
являются случайной величиной, в
среднем принимающей значение
. Нахождение оценки коэффициента
и есть основная цель данного этапа
тестирования эффекта разворота (стоит заметить, что она будет отличаться от
той, которая была получена в процессе тестирования модели (2)).
2.2.2 Транзакционные
издержки
Немаловажное значение в теориях рационального объяснения природы эффекта
разворота принадлежит учету транзакционных издержек в арбитражной доходности
инвестиционной стратегии.
Имеется немалое количество работ, результаты которых свидетельствуют о
сохранении значимости рыночной аномалии на некоторых фондовых рынках даже после
корректировок на уровень транзакционных издержек. Однако, у большинства
исследований нет методологии определения уровня этих издержек - к примеру, в
работах Джегадиша и Титмана, Ли и Ху, транзакционные издержки экзогенно
закладываются на уровне 2% от объема капитала, вложенного в создание
арбитражного портфеля. Учитывая, что такой уровень издержек является
переоцененным для американского фондового рынка, значимость арбитражной
доходности инвестиционной стратегии сохранилась. Тем не менее, некоторые
исследователи поддерживают точку зрения, согласно которой при учете всех видов
транзакционных издержек (что очень проблематично) значимость аномалии теряется.
В данной работе предлагается рассмотреть следующие виды транзакционных
издержек, корректирующих величину арбитражной доходности портфеля.
Котируемый бид-аск спред, представляющий собой разницу между ценой аска -
минимальной ценой предложения акции, котируемой дилером (
), и ценой бида - максимальной ценой
спроса
в определенный момент времени.
В этой формуле в качестве знаменателя дроби, которым должна выступать
цена осуществления сделки в рассматриваемый момент времени, была использована
аппроксимация средневзвешенной цены бида и аска. Для оценки бид-аск спреда
используются средние значения таких спредов по акциям, включенным в портфель,
рассчитывающиеся в течение исследуемого периода в конце месяца/недели.
Стоит заметить, что бид-аск спред по своей природе также является одним
из показателей ликвидности акции - чем больше спред, тем менее ликвидна акция.
Брокерская комиссия. Следующей составляющей транзакционных издержек при
осуществлении операций на фондовом рынке, является брокерская комиссия и
выплаты фондовой бирже, взимаемые за обслуживание клиента. Величина данных
издержек несущественна и варьируется в пределах нескольких пунктов (0,01-0,06%)
в зависимости от рассматриваемого рынка капитала. Эта величина может быть
нефиксированной и изменяться в зависимости от объемов сделки.
Издержки, связанные с маржинальным кредитованием коротких позиций. Стоит
заметить, что арбитражная стратегия включает в себя открытие коротких позиций
по портфелю победителей, предметов финансирования которого является
маржинальное кредитование. Ставка маржинального кредитования варьируется не
только в зависимости от объекта, предоставившего займ, но и от периода, на
который он был взят. Стоит отметить, что открытие коротких позиций на
длительный период времени является достаточно затратным (к примеру, если
инвестор на рынке планирует открыть позиции на длительный срок - к примеру, для
получения арбитражной доходности, основанной на долгосрочном эффекте разворота
- доходность инвестиционной стратегии должна превышать издержки маржинального
кредитования, в противном случае не стоит открывать короткую позицию по
портфелю победителей). Как правило, ставки маржинального кредитования близки к
ключевой ставке, поэтому в связи с отсутствием данных по всем рынкам капитала
будет использовано следующее предположение: ставка маржинального кредитования =
ключевая ставка + 1% (что подтверждается эмпирически - ставки MosPrime (данные
по российскому финансовому рынку) при ключевой ставке в 11% находились в
пределах 11,3-12,1% ).
Итак, рассмотренные виды транзакционных издержек являются ключевыми и
составляют основную долю от всех издержек, связанных с осуществлением операций
на фондовом рынке. Стоит также упомянуть об ограничениях коротких продаж,
однако данный фактор оказывает слабое воздействие на показатель арбитражной
доходности в случае выбора высококапитализированных компаний, доля свободно
обращающихся акций которых существенна и поддерживает необходимый уровень
ликвидности на рынке.
Корректировка арбитражной доходности портфеля должна быть произведена
после учета рисков, так как они являются экзогенными. Объяснение этого факта
заключается в следующем: так как основной частью транзакционных издержек
являются издержки, связанные с маржинальным кредитованием, которые растут
экспоненциально с ростом периода инвестирования, то корректировка доходностей
арбитражного портфеля на эти издержки приведет к неузнаваемому их изменению; после
такой корректировки нельзя проводить эконометрический анализ, так как изменение
доходностей до больших по модулю отрицательных значений практически не связано
с изменениями уровня риска.
Существенным фактором при подсчете доходностей акций является использование
дневных цен закрытия, что смещает результаты тестирования эффекта разворота.
Стоит отметить, что большинство сделок в течение торгового дня проходят в
период в конце первой половины и в начале второй половины дня, притом в конце
дня количество сделок резко снижается. Следовательно, наиболее приемлемым
вариантом является либо использование средневзвешенной по объему дневных
торговых цен, либо приближенный к этому метод, характеризующийся использованием
средневзвешенной цен дневного максимума и минимума.
3. Эмпирический
анализ инвестиционной стратегии на выявление эффекта разворота к средней
доходности
Данная глава исследовательской работы представляет собой формализацию
результатов, связанных с выявлением краткосрочного и долгосрочного эффекта
разворота на развитых и развивающихся рынках капитала и проведением
сравнительного анализа. Процесс выявления рыночной аномалии включает в себя
определение статистически значимой арбитражной доходности исследуемого портфеля
при оптимальных параметрах инвестиционной стратегии с учетом транзакционных
издержек и факторов риска. Также в данной главе будут даны практические
рекомендации игрокам рынка по построению инвестиционной стратегии, а именно
определение ее оптимального дизайна - периода формирования портфелей, лагового
периода, доля отобранных акций из всей выборки в портфели победителей и
проигравших, а также иных показателей, связанных с размером компании,
состоянием рынка и т.д.
В работе тестируется на значимость краткосрочный (от 1 до 11 недель) и
долгосрочного (от 1 до 3 лет) портфельный эффект разворота. Выбор
рассматриваемого инвестиционного периода для определения долгосрочного эффекта
разворота осуществлялся на основе длины имеющейся выборки по дневным ценам
закрытия акций (изучение инвестиционного периода с 3 по 5 лет не представляется
возможным в связи с изучением непересекающихся периодов инвестирования и
формирования арбитражного портфеля).
Методика построения арбитражного портфеля заключается в выборе
квантильной методики: для рынков капитала с выбранным набором акций не менее
500 компаний доля отобранных бумаг в портфели победителей и проигравших будет
составлять 5%, 10%, 20%; с набором акций в пределах от 100 до 400 - 10%, 20%,
30%; с набором акций в пределах 50-99 - 20%, 30% соответственно с целью
сохранения достаточного уровня диверсификации арбитражного портфеля. Среди
данных параметров будут выявлены оптимальные с точки зрения максимизации
статистически значимых арбитражных доходностей.
При формировании портфелей проигравших и победителей акции имеют
одинаковый вес, следовательно доходность портфелей вычисляется как
средневзвешенная доходность всех входящих в него акций.
Используемая инвестиционная стратегия является самофинансируемой, то есть
средства от продажи на рынке акций по коротким позициям (портфель победителей)
полностью используются для открытия длинной позиции по портфелю проигравших.
Однако, у такой стратегии имеется существенный минус: при длительном
использовании маржинального кредитования связанные с ним транзакционные издержки
существенно возрастают, что сказывается на доходности портфеля победителей.
Следовательно, необходимо уделить пристальное внимание данному фактору при
тестировании долгосрочного эффекта разворота.
Отличительной особенностью данной работы является использование не
кумулятивных, а среднемесячных доходностей арбитражной стратегии по периодам
инвестирования, что способствует точному определению статистической и
экономической значимости арбитражных доходностей для каждого такого периода.
Также необходимо отметить, что в данной работе рассматриваются инвестиционные
стратегии с всевозможными комбинациями периодов формирования и инвестирования
(по месяцам или неделям) арбитражных портфелей, позволяющие получить более
полную информацию касательно величины арбитражных доходностей.
В процессе тестирования краткосрочного и долгосрочного эффекта разворота
с целью избавления от автокорреляционной зависимости между наблюдениями
использовались непересекающиеся во времени периоды формирования и
инвестирования арбитражных портфелей (в отличие от множества иных работ,
использующих перекрывающиеся данные и проводящие по ним статистические тесты,
что недопустимо без корректировок на автокорреляционную зависимость).
Технически все вычисления произведены с использованием языка программирования
R для статистической обработки имеющихся данных и приведения информативных
таблиц и иллюстраций.
В процессе тестирования эффекта разворота на разных рынках капитала будут
проверены следующие гипотезы:
Гипотеза 1. Арбитражный портфель зарабатывает статистически значимую
доходность, зависящую от выбора параметров инвестиционной стратегии;
Гипотеза 2. В динамике доходности арбитражного портфеля присутствует
эффект января, который влияет на прибыльность инвестиционной стратегии;
Гипотеза 3. Прибыльность инвестиционной стратегии на основе
краткосрочного эффекта разворота зависит от состояния (динамики роста)
фондового рынка;
Гипотеза 4. Статистическая значимость доходности арбитражного портфеля
сохранится после корректировок на факторы риска;
Гипотеза 5. Арбитражная доходность инвестиционной стратегии на основе
эффекта разворота сохранится после учета транзакционных издержек; доходность на
развивающихся рынках капитала будет выше доходности на развитых.
Выполнение Гипотезы 1 является необходимым условием для продолжения
проверки остальных гипотез, так как ее невыполнение будет свидетельствовать об
отсутствии эффекта разворота на рынке капитала. Гипотезы 2-5 прежде всего
направлены на проверку сохранения значимости аномалии после корректировок на факторы
риска и транзакционные издержки, и определение ее зависимости от некоторых
параметров (состояние экономики, наличие эффекта января и т.д.)
3.1 Используемые
данные
Исследование проводится по рынкам капитала России, Мексики, Бразилии,
США, Германии, Гонконга, выбранные по критерию наибольшей географической, что
должно сказаться на увеличении разнообразия портфельного эффекта разворота по
разным рынкам (в связи с разной природой их существования).
В качестве исходных данных используются дневные цены закрытия
обыкновенных акций с корректировкой на возможные выплаты дивидендов,
проведением операций по делению (сплит)/объединению акций. Информация по таким
ценам импортируется с сайта провайдера финансовой информации Yahoo Finance,
имеет обозначение «adjusted close price».
Выборка акций каждого рынка капитала была сформирована на основе входящих
в фондовые индексы акций, а не котирующихся на фондовой бирже. Это связано с
попыткой максимально точно идентифицировать определенный рынок капитала - как
известно, на фондовой бирже могут котироваться акции компаний, основной (или
весь) бизнес которых фактически не расположен в этой стране.
Фондовые индексы рынков капитала, использованные для идентификации
выборок акций:
· S&P 500, в корзину которого включено 500 избранных
акционерных компаний США, имеющих наибольшую капитализацию и уровень
ликвидности. Критерии отбора компаний в данный индекс основан на отборе
компаний с уровнем рыночной капитализации не менее 5.3 млрд. долл. США, объемом
ежегодных торгов, превышающих капитализацию акций компании, находящихся в
свободном обращении.
· DAX100, состоящего из 100 избранных акционерных компаний
Германии, 30 из которых включены в индекс DAX30, 70 - в MDAX, котирующихся на
Франкфуртской фондовой бирже. Акции отобраны по критерию наибольшей
капитализации и ликвидности. На сегодняшний день общая капитализация компаний,
входящих в индекс, превышает 1 трлн. евро
· Hong Kong Hang Seng Index, в который отобраны компании,
котирующиеся на Гонконгской фондовой бирже, имеющие максимальную капитализацию
и долю акций в свободном обращении.
· Индекс ММВБ, включающий в себя 50 наиболее ликвидных акций
крупнейших и динамично развивающихся российских эмитентов, виды экономической
деятельности которых относятся к основным секторам экономики, представленной на
сайте Московской биржи.
· IRT CompMx Index, который состоит из акций 50 наиболее
ликвидных и высококапитализированных компаний, котирующихся на мексиканской
фондовой бирже.
· Bovespa Brazil 50 Index, в корзину которого включены акции
наиболее ликвидных и больших компаний, функционирующих на бразильском фондовом
рынке.
Следует заметить, в общую выборку акций были включены акции наиболее
ликвидных и высококапитализированных компаний фондовых рынков с целью
сокращения транзакционных издержек, связанных с уровнем ликвидности акции
(bid-ask spread), суммарная капитализация которых составляет более 70%
капитализации рынков.
В работе исследуется 16-летний период с января 2000 года по апрель 2016
года. Выбор такого временного окна обусловлен доступностью данных, а также
необходимостью сравнения результатов инвестирования для всех рынков капитала (к
примеру, для российского рынка капитала данные в свободном доступе имеются с
2000 года, что также требует выбора и для остальных рынков данных с таким же временным
окном).
Кроме того, для определения величины бид-аск спреда при корректировке
арбитражных доходностей на транзакционные издержки, данные по ценам ask и bid
(для тех же моментов времени, что и дневные цены закрытия) скачиваются с сайта
провайдера финансовой информации Yahoo Finance.
Данные по безрисковым ставкам процента за рассматриваемый период
используются с официальных сайтов Центральных Банков, а также с сайта
провайдера финансовой информации Yahoo Finance.
3.2 Тестирование
краткосрочного эффекта разворота на рынках капитала
Первый этап в тестировании результатов инвестиционной стратегии направлен
на проверку Гипотезы 1, а именно изучается наличие статистически и экономически
значимой доходности арбитражного портфеля на выбранных рынках капитала,
зависящей от выбора параметров инвестиционной стратегии. Результаты, полученные
на данном этапе, будут использованы в ходе проверки остальных гипотез, а также
проведения исследования на значимость эффекта разворота после корректировок на
факторы риска.
Рассмотрим рис. 3, иллюстрирующий средние результаты превышения
доходностей портфеля проигравших над портфелем победителей для разных периодов
формирования и инвестирования и выборе квантильной методики конструирования
портфелей на уровне 5%, 10%, 20% на американском фондовом рынке. Отметим, что
доходности для любого периода формирования и инвестирования арбитражного
портфеля ниже 1,1% недельных. Стоит заметить, что уменьшение доли акций,
входящих в портфели победителей и проигравших, приводит к росту средненедельной
доходности стратегии. Тем не менее, это также приводит к ухудшению ее
статистической значимости и переходу в разряд отрицательных значений при
длительных периодах инвестирования. Следовательно, оптимальный уровень
квантильной методики среди предложенных вариантов равен 20%.
Таблица. 10. Средненедельные доходности арбитражного портфеля на
американском фондовом рынке при выборе квантильной методики конструирования
портфелей проигравших и победителей на уровне 5%, 10%, 20%.
Набор статистически значимых доходностей инвестиционной стратегии при
выборе 20%-ой квантильной методики формирования портфелей проигравших и
победителей достаточно невелик. Это множество наборов
,
при которых средненедельная доходность варьируется а пределах 0,2-0,7%.
Рассмотрим таблицу 10.1 и 10.2 (в приложении). В отличие от арбитражного
портфеля, портфели проигравших и победителей иллюстрируют статистически значимую
прибыль практически при любом временном окне инвестирования и выборе периода
формирования в 1-3 недели. Причиной снижения прибыльности арбитражного портфеля
являются убытки по короткой позиции портфеля победителей, существование которых
не предполагается в природе эффекта разворота.
Сравним полученные результаты с выводами предшествующих работ. Поиск
краткосрочного эффекта разворота на американском фондовом рынке в период с 1962
по 1986 годы был проведен в исследовании Леманна. Согласно его результатам
эффект разворота был обнаружен для периодов формирования и инвестирования в 4
недели с доходностью стратегии в 1,9% месячных, что эквивалентно 0,45%
недельных. Исходя из этого можем сделать выводы, что эффект разворота стал
более краткосрочным и чуть менее прибыльным.
Похожие результаты были получены по фондовому рынку Германии.
Согласно данным таблицы, максимальные, но в то же время статистически
значимые доходности арбитражного портфеля достигаются при 10%-ой квантильной
методике построения портфелей победителей и проигравших, что не согласуется с
результатами американского рынка капитала. Краткосрочный эффект разворота
присущ для периода инвестирования в 1 неделю и практически для любого
временного окна формирования (1-9 недель). Доходности при таких параметрах
стратегии варьируются в пределах 0.9 - 1.6% недельных, что существенно выше
результатов инвестирования по акциям S&P 500. Важной отличительной
особенностью рынка капитала Германии является прибыльность портфелей
победителей и проигравших: среднемесячные доходности практически неизменны при
варьировании уровня квантильной методики, притом их статистическая значимость
проявляется при выборе периодов инвестирования в 1, 3-7, 9-10 недели и
временного окна формирования в 1-4 недели. Причиной относительно низких
результатов арбитражного портфеля также объясняются убытками короткой позиции
по портфелю победителей.
Гонконгский рынок капитала иллюстрирует меньшую предрасположенность к
наличию краткосрочного эффекта разворота - аналогично рынку Германии оптимальным
уровнем квантильной методики является выбор 20% акций с наибольшей и наименьшей
доходностью за период формирования. Статистически и экономически значимый
уровень доходности соответствует выбору периода инвестирования в 1 неделю и
временного окна формирования в 1-2 недели.
Тем не менее, как и на остальных рынках капитала, более прибыльной формой
вложения средств является открытие длинной позиции по портфелю проигравших, так
как доходности, статистически значимые для всех периодов инвестирования при
выборе 1-недельного временного окна формирования портфеля, превышают как
доходности портфеля победителей, так и арбитражного портфеля.
Полученные результаты о наличии краткосрочного эффекта разворота не
противоречат выводам работы Танга и Занга [Tang, Zhang, 2014], которые не
получили статистически значимых результатов для периода формирования в 4
недели.
Рассмотрим таблицу 11, иллюстрирующую результаты инвестирования в
арбитражный портфель на российском фондовом рынке. Выбор меньшего уровня
квантильной методики формирования портфеля является более предпочтительным
(20%) в связи с появлением как статистически значимых, так и более высоких
результатов инвестирования - на развитых рынках капитала существует trade-off
между значимостью и уровнем доходности (рост доходности приводил к увеличению
ее волатильности, что негативно сказывалось на уровне значимости), что отличает
российский фондовый рынок от остальных.
Таблица 11. Средненедельные доходности арбитражного портфеля на
российском фондовом рынке при выборе квантильной методики на уровне 20%, 30%
Тем не менее, количество значимых доходностей арбитражных портфелей мало:
при выборе периода инвестирования в 1 неделю и временного окна формирования в
1,3 недели.
При выборе остальных комбинаций таких параметров стратегии доходность
арбитражного портфеля становится отрицательной, что свидетельствует о наличии
моментум эффекта (с 3 по 11 месяцы) - также это подтверждают выводы по
таблицам, согласно которым доходность портфеля победителей превышает доходность
портфеля проигравших (притом инвестирование в оба портфеля не приносит
отрицательных результатов).
Для рынка капитала Бразилии явно характерно наличие эффекта разворота для
периода инвестирования в 1 неделю и временного окна формирования в 1-5 недель,
притом изменение доли акций из всей выборки в портфелях победителей и
проигравших не приводит к существенным сдвигам в результатах (Таблица 12).
Таблица 12. Средненедельные доходности арбитражного портфеля на фондовом
рынке Бразилии при выборе квантильной методики на уровне 20%, 30%
Однако, как и на российском фондовом рынке, для рынка капитала Бразилии
характерно наличие статистически значимого моментум эффекта, но значимого при
других значениях параметров инвестиционной стратегии:
Динамика доходностей для портфелей победителей и проигравших сильно
отличается от результатов инвестирования в арбитражный портфель (Таблицы 14.1 и
14.2). Статистически значимые доходности наблюдаются для 3 и четных недель
инвестирования при временном окне формирования в 1-3 недели и в среднем равны
0,3-0,4% недельных.
Похожие результаты получены по фондовому рынку Мексики.
Согласно данным таблицы статистически значимая доходность инвестирования
в арбитражный портфель достигается при выборе периода формирования в 1-3 недели
и временного окна инвестирования в 1 неделю. Оптимальным является выбор 20%
доли акций в портфель победителей и проигравших по квантильной методике. Отличительной
особенностью данного рынка является высокая доходность инвестиционной стратегии
при выборе оптимальных параметров (0.9-1% недельных).
Также стоит отметить, что выбор периода инвестирования более 3 недель в
целом приводит к отрицательным результатам инвестирования в арбитражный
портфель, что свидетельствует о наличии моментум эффекта, приобретающего
значимость при параметрах
)
Рынок капитала Мексики один из немногих, на котором выполняется
изначальная установка стратегии на то, что короткая позиция по портфелю
победителей в будущем будет прибыльной (хотя только для периода инвестирования
в 1 неделю).
Исходя из всего вышесказанного, сделаем выводы.
В таблице 13 приведены доходности арбитражных доходностей, которые
потенциально могли бы стать объектом краткосрочного эффекта разворота после
корректировок на факторы риска и транзакционные издержки.
Выводы, полученные в ходе исследования, свидетельствуют о не отвержении
первой гипотезы: на каждом рынке капитала инвестиционная стратегия приносит
статистически и экономически значимую доходность, зависящую от выбора ее
параметров.
Таблица 13. Оптимальные параметры и среднемесячная доходность
инвестиционной стратегии по арбитражному портфелю для каждого рынка капитала
Практически для каждого рынка капитала оптимальным уровнем квантильной
методики является выбор 20% доли акций из общей выборки для портфелей
победителей и проигравших, что объясняется наличием более высоких доходностей
инвестиционной стратегии и сохранением высокого уровня их значимости. Стоит
заметить, как для развитых, так и для развивающихся стран характерно наличие
краткосрочного эффекта разворота с периодом инвестирования в 1 неделю, притом
оптимальная длина временного окна формирования арбитражного портфеля может
варьироваться от 1 до 10 недель.
При сравнении доходностей портфелей победителей и проигравших было
обнаружено, что открытие короткой позиции по портфелю победителей для всех
рынков капитала при любой комбинации периодов инвестирования и формирования
арбитражного портфеля приносит отрицательную доходность, что не согласуется с
природой эффекта разворота. Отсюда следует, что открытие короткой позиции по
портфелю победителей чревато понесением больших убытков (стоит учесть, что
корректировок на издержки, связанные с маржинальным кредитованием, на данном
этапе не было произведено) Вывод: в связи с превышением результатов
инвестирования проигравших над победителями и отсутствием существенных
транзакционных издержек по портфелю проигравших, желательно открывать только
длинную позицию по нему с выбором периода формирования, равного 1-3 неделям и
временным окном инвестирования в 1-9 недель в зависимости от выбранного рынка
капитала.
Итак, статистическая и экономическая значимость доходностей арбитражного
портфеля и их зависимость от выбора параметров стратегии позволяет перейти ко
остальным этапап тестирования значимости арбитражных доходностей и проверке
гипотез.
Рассмотрим итоговую таблицу результатов тестирования доходностей
арбитражного портфеля. В ходе проведения второго этапа была проверена
значимость доходностей с учетом корректировки на рыночный риск. Результаты
проверки свидетельствуют о явном падении доходностей, но в большинстве случаев
сохранивших свою статистическую и экономическую значимость. Учет рыночного
риска явно был необходим судя по значимости коэффициента Market beta, который
практически для всех выбранных стратегий является значимым на уровне 1% и
принимает значения меньше единицы (в среднем от 0,3 до 0,7), что
свидетельствует о том, что доходности арбитражного портфеля при выборе
оптимальных значений параметров стратегии менее волатильны по сравнению с
рыночной доходностью. Стоит заметить, что изначально высокая разница
доходностей до корректировок между разными рынками капитала после учета
рыночного риска практически сошла на ноль, что свидетельствует о ее объяснении
рыночным риском. Чтобы избежать влияния изменений рыночных рисков во времени на
доходность арбитражного портфеля, был использован фильтр Калмана, учитывающий
флуктуации систематического риска в оценках коэффициентов модели CAPM.
Результаты использования такого метода свидетельствуют о том, что увеличение
временного окна инвестирования в арбитражный портфель приводит к бо¢льшим сдвигам в доходности. Такой
вывод согласуется с реальностью, так как рассматривание более длительного
периода связано с более существенными изменениями функции распределения
доходностей вследствие расширения информационного множества на рынке. Тем не
менее, такая корректировка не привела к существенным изменениям значений
доходностей в связи с рассматриванием стратегий, в которых период
инвестирования в основном принимает значение не более двух недель.
Следующим этапом в тестировании краткосрочного эффекта разворота является
учет таких рыночных параметров, как эффект января (возможно способствующий
повешению доходностей арбитражного портфеля), влияние которого на результаты
стратегии могло учитываться нами как влияние эффекта разворота, а также
воздействие состояния рынка на результаты инвестирования в арбитражный
портфель.
Выводы по таблице свидетельствуют о том, что доходность портфеля
отрицательно зависит от темпов роста
фондового рынка, то есть при росте рынка капитала наблюдается падение
доходностей арбитражного портфеля и наоборот. Такой вывод скорее связан с тем,
что в период роста фондового рынка в основном растут все бумаги в своей цене,
как бывшие победители, так и бывшие проигравшие - следовательно имеет место
сокращение разницы в доходностях портфелей победителей и проигравших, а
следовательно и доходности всего арбитражного портфеля в целом. Интерес тот
факт, что для рынка капитала Гонконга данный параметр является намного менее
значимым и ниже по значению в сравнении с остальными фондовыми рынками.
Объяснение этому кроется в том, что в течение исследуемого периода наблюдался
очень быстрый рост рынка Гонконга, и его локальные падения могли восприниматься
инвесторами как временные, следовательно доходность арбитражного портфеля
не сильно реагировала на такие
изменения рынка. Стоит заметить, что данный параметр по модулю в среднем
принимает большие значения для развивающихся рынков, нежели для развитых - при
росте рынка в среднем арбитражный портфель приносит на 1% доходности (месячных)
меньше, чем при падении рынка. Такое наблюдение скорее связано с уровнем
волатильности фондовых рынков и характером поведения инвесторов: чем более
волатилен рынок (что характерно для развивающихся рынков), тем существеннее
реакция со стороны инвесторов на изменения; к тому же для развивающихся рынков
характерна своеобразная их нестабильность в плане неопределенности перспектив
развития, что сказывается на поведении инвесторов - они более склонны выводить
капитал из развивающихся рынков, нежели развитых.
Заметим, что такие выводы согласуются с прошлыми исследованиями (к
примеру, в работе Тепловой и Миковой моментум эффект как противовположный по
природе эффекту разворота наблюдается на этапе роста рынка, нежели при его
падении). Следовательно, Гипотеза 3, свидетельствующая о влиянии состояния
рынка на результативность стратегии, не отвергается.
Далее рассмотрим возможное влияние эффекта января на результативность
стратегий. Согласно сведениям из таблицы, эффект января либо утратил свою силу
после его обнаружения, либо практически не воздействует на эффективность
стратегии на основе краткосрочного эффекта разворота - вне зависимости от
наличия малого количества стратегий, подтверждающих его влияние, в целом знак коэффициента
при регрессоре не определен для множества стратегий. Следовательно, гипотеза 2
отклоняется. Тем не менее, учет всех рыночных рисков и параметров модели
свидетельствует о явном сохранении как статистической, так и экономической
значимости краткосрочного эффекта разворота на рынках капитала вне зависимости
от уровня их развития, что является подтверждением гипотезы 4.
Последним этапом в тестировании краткосрочного эффекта разворота на
фондовых рынках является учет транзакционных издержек. Эмпирический результат
свидетельствует о том, что для развивающихся рынков капитала они существенно
выше по сравнению с развитыми - основную долю среди них составляют издержки,
связанные с выплатой процентов по маржинальному кредитованию. Выводы из таблицы
свидетельствую о том, что даже корректировка на транзакционные издержки
практически для всех стратегий сохраняет положительный знак доходности
арбитражного портфеля и ее значимость, что свидетельствует о наличии
краткосрочного эффекта разворота на всех рынках капитала. Изначальная разница в
результативности стратегий на разных рынках капитала после корректировок на
риски и транзакционные издержки практически нивелировалась, значит, вся
специфика фондовых рынков была учтена в ней, и итоговый результат по наличию краткосрочного
эффекта разворота эффекта практически для всех рынков одинаковый.
Следовательно, гипотеза 5 частично отвергается по пункту о наличии
различий в значимости эффекта разворота на разных по уровню развития рынках
капитала. Как уже было учтено ранее, вся специфика рынков, включая их уровень
развития, был учтен в величине рисков и транзакционных издержек, что привело к
примерному совпадению результатов на разных рынках капитала.
3.3 Тестирование
долгосрочного эффекта разворота на рынках капитала
Аналогичным образом необходимо провести проверку на наличие долгосрочного
эффекта разворота на рынках капитала. Как было указано ранее, одной из задач
исследования заключается в изучении влияния всех основных параметров стратегии
на ее результативность Методология исследования отличается от поиска
краткосрочного эффекта разворота рассмотрением месячных доходностей акций и
существенным расширением множества комбинаций периода формирования и
инвестирования арбитражного портфеля - с 12 по 36 месяцев. Стоит напомнить, что
получение неудовлетворительных результатов по инвестированию в арбитражный
портфель на период более 12 месяцев, что соответствует отсутствию статистически
значимых положительных доходностей, автоматически приводит к ненадобности
проверки их значимости в втором, третьем, четвертом этапах и корректировок на
транзакционные издержки.
Рассмотрим рис. 4, иллюстрирующий распределение среднемесячных
доходностей арбитражного портфеля для разных комбинаций периодов формирования и
инвестирования с уровнем квантильной методики в 5%, 10%, 20%, а также портфеля
проигравших с уровнем в 10%. (для более детального ознакомления с значениями
доходностей. Согласно шкале распределения доходностей, закрашенная в зеленый
цвет клетка (для определенного периода формирования и инвестирования)
обозначает близкую к 0% месячную доходность стратегии, приближение цвета к
красному - к 4%-ой доходности, к синему - к -4% доходности. Проанализировав
первые три части рисунка можно прийти к выводу, что выбор 5% - ого квантильного
метода связан с относительно более высокими результатами стратегии, так как
именно для такого параметра стратегии наблюдаются более выраженные «красные
островки», намекающие на наличие значимых доходностей арбитражного портфеля.
Однако, данные таблицы отвергают такое предположение, а также
свидетельствуют о наличии моментум эффекта для временного окна инвестирования с
17 по 32 месяца и определенных периодов формирования арбитражного портфеля.
Значимость результатов для параметров (FP, IP) = {(18;22),(18;24)} связано с
наличием нестабильных результатов с «соседними клетками», что фактически
дискредитирует их.

Далее рассмотрим четвертую часть рис.4. По результатам видно, что
доходность проигравших сильно превосходит доходности арбитражного портфеля как
по значимости, так и по значению.
Выбор которых связан с меньшими транзакционными издержками, корректировка
которых приведет к более высоким результатам проигравших, нежели победителей.
Итог: на рассматриваемом временном горизонте для американского фондового
рынка не характерно наличие долгосрочного эффекта разворота даже до
корректировок на факторы риска и транзакционные издержки; более высокие
результаты инвестирования наблюдаются у портфеля проигравших (средняя
доходность из значимых варьируется в пределах от 3 до 8% месячных), что прежде
всего связано с огромными убытками короткой позиции по портфелю победителей.
Результаты тестирования доходностей арбитражного портфеля на рынке
капитала Германии сильно отличаются от результатов по американскому фондовому
рынку. Уменьшение доли акций, включенных в портфели победителей и проигравших,
приводит к увеличению как «красных», так и «синих клеток» в распределении
доходностей арбитражного портфеля, что свидетельствует прежде всего о росте
волатильности доходностей при неизменном среднем значении. Тем не менее, для
уровня квантильной методики в 10% имеется большее количество значимых
доходностей арбитражного портфеля, из которых наиболее стабильными (не
граничащие с отрицательными доходностями для периодов инвестирования) являются
Несмотря на наличие стабильных, статистически и экономически значимых
доходностей арбитражного портфеля, более выраженным является моментум эффект
для временного окна в 24-32 месяца с доходностью в пределах 3-4% месячных.
Тем не менее, как и для американского рынка капитала, убытки короткой
позиции по портфелю победителей являются основной причиной низких результатов
стратегии на основе долгосрочного эффекта разворота.
Итог: наиболее приемлемым с точки зрения результатов инвестирования
является инвестирование только в портфель проигравших, по которому существенно
выше доходность и ниже транзакционные издержки.
Рынок капитала Гонконга демонстрирует самые плохие результаты стратегии
на основе долгосрочного эффекта разворота: для любого уровня квантильной
методики. Для него характерно более характерно наличие моментум эффекта,
достигающий своего пика при выборе периодов инвестирования в 32 - 35 месяцев и
временного окна формирования в 25 - 28 месяцев (доходность стратегии на его
основе варьируется в пределах 2-3%).
Как и для ранее рассмотренных рынков, наиболее приемлемым вариантом
вложения средств является открытие длинной позиции по портфелю проигравших.
Согласно информации, наблюдается строгая отрицательная зависимость между
значениями периодов инвестирования и формирования, выбор которых приносит
максимальную доходность портфеля проигравших (3-7% при выборе периода
инвестирования в 12-24 месяца и периода формирования в 20-27 месяцев).
Выводы, полученные в ходе исследования, кардинально отличаются от
результатов ранее рассмотренных рынков капитала.
Для всей длины рассматриваемого периода инвестирования и формирования
арбитражного портфеля наблюдается резкий и хаотичный перепад доходностей, более
склонных в сторону отрицательных значений вне зависимости от выбора уровня
квантильной методики построения арбитражного портфеля. При таких результатах
нельзя утверждать о наличии долгосрочного эффекта разворота либо моментум
эффекта, так как на рисунках отсутствуют ярко выраженные «островки» одного
цвета, имеется равномерное распределение по всей отрицательных доходностей,
чередующихся с положительными.
Те же выводы применимы для распределения доходностей портфеля проигравших
и победителей. Исследование эмпирической функции распределения доходностей
свидетельствует о том, что достаточно высокая и статистически значимая
доходность для точечных значений периодов формирования и инвестирования таких
портфелей достигается за счет «выбросов» (в основном характерных для периода
финансового кризиса 2008-2009 годов и девальвирования национальной валюты с
октября 2014 по март 2016 год). Итог: на российском фондовом рынке отсутствует
долгосрочный эффект разворота, доходности портфелей победителей и проигравших
статистически не значимы и высоковолатильны.
Изучение рынка капитала Бразилии дало следующие результаты:
Среднемесячные доходности арбитражного портфеля практически не зависят от
выбора доли акций в портфели победителей и проигравших по квантильному методу и
сильно разнятся от выбора того или периода формирования и инвестирования.
Волатильность доходностей существенно ниже для периодов инвестирования с 31 по
36 месяцы, однако остаются незначимыми и по большей части отрицательными.
Важным отличием результатов по бразильскому рынку капитала среди
развивающихся является достаточный уровень стабильности доходностей портфеля
проигравших (рис. 8, часть 3), в основном находящиеся в положительной области.
Итог: отсутствие долгосрочного эффекта разворота по причине высоких убытков по
портфелю победителей; выбор уровня квантильной методики не влияет на доходность
арбитражного портфеля; результаты инвестирования в портфель проигравших
существенно превосходят доходности арбитражного портфеля.
Похожие результаты были получены по рынку капитала Мексики. Основное
отличие данного рынка от остальных развивающихся заключается в большей
стабильности доходностей арбитражных портфелей, хотя и в среднем принимают
отрицательные значения.
Выбор более высокого уровня (30%) квантильной методики построения
портфеля приводит к еще большему сглаживанию доходностей и исчезновению
вероятности нахождения долгосрочного эффекта разворота, поэтому следует выбрать
20%-ый уровень.
Исследование таблицы привело к выводу о том, что количество статистически
и экономически значимых доходностей арбитражного портфеля очень мало, притом
они не образуют «красные островки», свидетельствующие о вероятном наличии
долгосрочного эффекта разворота. Низкие результаты стратегии прежде всего
объясняются высокими убытками короткой позиции по портфелю победителей (притом
это еще без учета рисков и транзакционных издержек).
Тем не менее, результаты открытия лишь длинной позиции по портфелю
проигравших приводит к значительному росту доходностей и появлению их
статистической значимости - для значимых доходностей в среднем на уровне 4-5 %
месячных без учета транзакционных издержек.
Итог: отсутствие долгосрочного эффекта разворота; лучшей альтернативой
является инвестирование в портфель проигравших.
Исследование развитых и развивающихся рынков капитала на предмет наличия
долгосрочного эффекта разворота свидетельствует об отсутствии данной аномалии в
рассматриваемый период времени. Такой вывод прежде всего связан с тем фактом,
что портфель победителей, по которому открывается короткая позиция, приносит
большие убытки еще до корректировок на транзакционные издержки, по большей
части связанные с выплатой средств за использование маржинального кредитования.
Отличие развитых рынков от развивающихся заключается в относительно стабильных
результатах инвестиционной стратегии, основанной на долгосрочном эффекте
разворота. Следовательно, в случае рассматривания долгосрочного горизонта
планирования долгосрочный эффект разворота в явном виде отсутствует, гипотеза 1
отклоняется, смысл тестирования остальных гипотез теряется (что было указано в
методологии).
Тем не менее, корректировка инвестиционной стратегии, заключающейся в
вложении средств только в портфель проигравших, существенно меняет ее
результативность - практически для всех рынков капитала вне зависимости от
уровня развития (кроме России) инвестирование средств в портфель проигравших
при выборе оптимальных параметров стратегии приносит положительную доходность.
Оптимальные параметры и доходности такой стратегии приведены в таблице 16.3.
Стоит отметить, что выбор уровня квантильной методики формирования портфеля
проигравших незначительно корректирует распределение доходностей: при
относительно низких значениях доли входящих в портфель акций происходит рост
средних значений доходностей, однако незначительный рост волатильности не
приводит к существенному снижению их значимости.
Немаловажное значением имеет тот факт, что статистически и экономически
значимые доходности образуют «островки», что свидетельствует об их
стабильности.
Таблица 14. Оптимальные параметры и доходность инвестиционной стратегии
по портфелю проигравших для каждого рынка капитала
Согласно полученным результатам, для большинства рынков капитала наиболее
приемлемой долей акций из всей имеющейся выборки при построении портфелей
проигравших является уровень в 30%, что прежде всего может быть связано с
достижением высокого уровня диверсификации портфеля, меньшим уровнем
волатильности доходностей портфеля проигравших и их более высокой значимостью.
Доходности портфелей проигравших на развитых рынках достаточно высоки,
находятся в пределах 3-6% месячных; аналогичные, но более волатильные
доходности были получены по рынку капитала Мексики (одним из объяснений этому
связано с сильной экономической взаимосвязанностью с американской экономикой,
следовательно и фондовым рынком). Однако, российский и бразильский фондовые
рынки демонстрируют невысокие результаты инвестирования в портфели проигравших.
Такой вывод прежде всего может быть объяснен относительно более глубокими
и продолжительными экономическими спадами экономик данных стран. Кроме
негативного влияния последствий мирового финансового кризиса 2008-2009 годов,
обе страны как одни из самых больших представителей развивающихся экономик, с
начала 2012 годов были под воздействием как внешних, так и внутренних проблем
экономического или политического характера: большой отток иностранного капитала
из стран, что прежде всего сказалось на уровне инвестиций и ВВП; в России
наблюдаются серьезные структурные проблемы экономического характера, в Бразилии
- глубокий политический кризис, негативно сказавшийся на развитии всей
экономики).
Итак, подытожив все результаты, полученные в ходе исследования разных по
уровню развития рынков капитала, отметим, что
· наблюдается краткосрочный эффект разворота для всех
рассматриваемых рынков капитала на временном промежутке в 1-2 недели
(опционально 3-4 недели для США и 7 недель для Мексики), скорректированный на
факторы риска и транзакционные издержки. Значимость данной аномалии практически
одинаковая для всех рынков капитала вследствие учета специфик рынков в процессе
корректировок доходностей арбитражного портфеля на факторы риска и
транзакционные издержки. Результаты характеризуют отсутствие явного влияния на
результативность стратегии эффекта января. Учет состояния фондового рынка
позволяет получить выводы о отрицательном влиянии данного фактора на
результативность стратегии на основе краткосрочного эффекта разворота;
· долгосрочный эффект разворота для временного окна инвестирования
и формирования с 13 по 36 месяцев не наблюдается в связи с понесением больших
убытков по портфелю победителей. Более высокие результаты инвестирования можно
достичь использованием лишь портфеля проигравших, по которому относительно
низкие транзакционные издержки.
Практически для всех рынков (кроме России) открытие длинной позиции по
портфелю проигравших в рассматриваемом периоде является прибыльной стратегией.
Заключение
Широкое распространение стратегий на основе эффекта разворота поставило
под сомнение работоспособность таких устоявшихся финансовых теорий, как
неоклассическая теория финансов, и основанных на ней концепций (как гипотеза
эффективности рынков) и моделей, используемых инвесторами на многих рынках.
Именно поэтому изучение портфельного эффекта разворота как одного из наиболее
устойчивых рыночных аномалий приобретает всеобщий характер в финансовой
литературе и тестируется на практике многими финансистами.
Исходя из актуальности такого рода исследований была поставлена
глобальная цель по выявлению наличия краткосрочного и долгосрочного
портфельного эффектов разворота к средней доходности в динамике цен акций
развитых и развивающихся рынков капитала с учетом разнообразия элементов
дизайна стратегии и проведению сравнительного анализа полученных результатов.
Согласно поставленной цели в процессе исследования были
· определены основные элементы дизайна стратегии разворота и
подходы к тестированию портфельного эффекта разворота;
· выявлены детерминанты отбора акций в инвестиционную стратегию
через анализ значимости состояния экономики, эффекта января, величины
транзакционных издержек в торговых стратегиях;
· построена инвестиционная стратегия на основе портфельного
эффекта разворота для обыкновенных акций из выбранных рынков капитала и найдены
оптимальные значения ее элементов дизайна, при которых достигаются максимальные
результаты инвестирования в арбитражный портфель;
· проведен сравнительный анализ полученных результатов
инвестирования для развитых и развивающихся рынков капитала.
Согласно результатам исследования на выбранных рынках капитала
наблюдается наличие лишь краткосрочного эффекта разворота на временном
промежутке в 1-2 недели. Значимость данной аномалии практически одинаковая для
всех рынков капитала вследствие учета специфик рынков в процессе корректировок
доходностей арбитражного портфеля на факторы риска и транзакционные издержки.
Для всех рынков капитала (кроме гонконгского) свойственно наличие более
значимого эффекта разворота в период падения фондового рынка. Эффект января не воздействует
на значимость краткосрочного эффекта разворота.
Отсутствие долгосрочного эффекта разворота связано прежде всего с плохими
результатами портфеля победителей, что не согласуется с природой данной
аномалии. Для всех рынков вне зависимости от уровня развития более высокие
результаты инвестирования достигаются при использовании портфеля проигравших,
открытие длинной позиции по которому является прибыльной стратегией.
Список
использованной литературы
1. Теплова
Т. В., Микова Е. С. (2013) Особенности моментум-стратегий на российском
фондовом рынке // Финансовые исследования. - № 4. - С. 16-32.
2. Alexander
G.J. (2000) On back-testing ‘‘zero-investment’’ strategies // Journal of
Business. - Vol. 73, No.2. - p. 255-278.
. Ali
R., Ahmad Z., Anusakumar S. (2013) Intra-Sector Return Reversals in the
Malaysian Stock Market // International Journal of Business and Society. -
Vol.14, no.3. - p. 496-513.
4. Amihud
Y. (2002) Iliquidity and stock returns: cross-section and time-series effects//
Journal of Financial Markets. - Vol.5. - p. 31-56.
. Antoniou
C., Doukas J.A., Subrahmanyam A. (2013) Cognitive dissonance, sentiment and
momentum // Journal of financial and quantitative analysis, 2013. - Vol. 48. No.1. -p. 245-275.
6. Baker
M., Wurgler J. (2006) Investor Sentiment and the Cross-Section of Stock Returns
// The Journal of Finance. - Vol.61, no.4. - p. 1645 - 1680.
. Chang,
R.P., McLeavey, D.W., Rhee, S.G. (1995) Short-term abnormal returns of the
contrarian strategy in the Japanese stock market // Journal of Business Finance
and Accounting. - Vol.22. - p. 1035 -1048.
. Cheema
M. A., G. V. Nartea (2013) Momentum Returns, Market States and the 2007
Financial Crisis // Working paper
. Chou
PH, Wei KC, Chung H (2010) Sources of contrarian profits in the Japanese stock
market // Journal of Finance. - Vol.14. - p. 261-286.
. Conrad
J., Kaul G. (1998) An Anatomy of Trading Strategies // Review of Financial
Studies. - Vol. 11. - p. 489-519.
. Daniel
K., Hirshleifer D., Subrahmanyam A. (1998) Investor psychology and security
market under- and over-reactions // Journal of Finance. - Vol. 53. - p.
1839-1886.
. Daniel
K. (2011) Momentum crashes // Columbia Business School Research Paper. - p.
11-03.
. De
Bondt WFM, Thaler RH (1985) Does the stock-market overreact? // Journal of
Finance. - Vol.40. - p. 793-805.
. Fama
E. (1970) Efficient Capital Markets: A Review of Theory and Empirical Work //
Journal of Finance. - Vol. 25, no. 2. - p. 383-417.
. Fama
E., French K. (1992) The cross‐section of expected stock
returns // Journal of Finance. - Vol.47. - p. 427-465.
. Fama
E., French K. (1996) Multifactor explanations of asset pricing anomalies //
Journal of Finance. - Vol.51. - p. 55-84.
. Fong
K., Holden C., Trzcinka C. (2014) What Are the Best Liquidity Proxies for
Global Research? // Working paper, University of New South Wales.
. Garcia-Feijio
L., Jensen G. (2014) The Monetary Environment and Long-Run Reversals in Stock
Returns // The Journal of Financial Research. - Vol.37, no.1. - p. 3-25
. Griffin
J., Martin, J.S. (2003) Momentum investing and business cycle risk: evidence
from pole to pole // Journal of Finance. -Vol. 58, no.6. - p.2515-2547.
. Grundy
B., Martin J. S. (2001) Understanding the nature of the risks and the source of
the rewards to momentum investing // Review of Financial Studies, 2001. -
Vol.14. - p. 29-78.
. Hameed
A., Mian M. (2015) Industries and Stock Return Reversals // Journal of
Financial and Quantitative Analysis. - Vol.50. - p. 89-117.
. Hong
H., Stein J.C. (1999) A unified theory of underreaction, momentum trading and
overreaction in asset markets // Journal of Finance. - Vol. 54. - p. 2143-2184.
. Jegadeesh
N. (1990) Evidence of Predictable Behavior of Security Returns // Journal of
Finance. - Vol.45. - p. 881-898.
. Jegadeesh
N., Titman S. (1993) Returns to buying winners and selling losers: Implications
for stock market efficiency // Journal of Finance. - Vol.48, no.1. - p. 65-91.
. Kang
J, Liu MH, Ni SXY (2002) Contrarian and momentum strategies in the China stock
market: 1993-2000 // Pacific-Basin Finance Journal. - Vol.10. - p. 243-265.
. Kaur
M. (2014) Contrarian Effect and Industry Type in the Indian Stock Market //
Indian Journal of Research. - Vol.3. - p.35-37.
. Korajczyk
R, Sadka R. (2004) Are Momentum Profits Robust to Trading Costs? // Journal of
Finance. - Vol. 54. - p. 1039-1082.
. Lehmann
N. (1990) Fads, Martingales, and Market Efficiency // The Quarterly Journal of
Economics. - vol.105. - p. 1-28.
. Lesmond
D.A., Schill M.J., Zhou C. (2004) The illusory nature of momentum profits//
Journal of Financial Economics. - Vol. 71. - p. 349-380
. Lewellen
J., Nagel S., Shanken J. (2010) A skeptical appraisal of asset pricing tests//
Journal of Financial Economics. - Vol. 96. - p. 175-194.
. Liu
Y., Wang K., Peng S., Huang Y. (2008) The Performance of the Contrarian
Strategy and the Momentum Strategy in the Asia Pacific Region // The
International Journal of Finance. - Vol. 20, no. 3. - p. 4863-4883.
. Lo
A. W, MacKinlay A. C. (1997) Maximizing predictability in the stock and bond
markets // Macroeconomic Dynamics. - Vol. 1. - p. 102-134.
. MacKinlay
C. (1995) Multifactor Models Do Not Explain Deviations from the CAPM // Journal
of Financial Economics. - Vol.38, no.1. - p. 3-28.
. McQueen,
Grant, Michael Pinegar, and Steven Thorley. (1996) Delayed reaction to good
news and the cross-autocorrelation of portfolio returns // Journal of Finance.
- Vol.51, no.3. - p. 889-920.
. Mussweiler
T., Schneller K. (2003) What goes up must go down - How charts influence
decisions to buy and sell stocks // The Behavioral Finance. - Vol. 4, no.3.- p.
121-130.
. Park
S.-C. (2010) The Moving Average Ratio and Momentum // Financial Review- Vol.
45. - p. 415-447.
. Pаstor L., Stаmbaugh R.F. (2003) Liquidity risk and
expected stock returns // Journal of Political Economy. - Vol. 111, no.3. - p.
642-685.
. Ross
S.A. (1989) Information and Volatility: The no-arbitrage martingale approach to
timing and resolution irrelevancy// Journal of Finance. - Vol. 44. - p. 1-18.
. Sadka
R. (2006) Momentum and post-earnings-announcement drift anomalies: The role of
liquidity risk // Journal of Financial Economics. - Vol. 80, No.2. - p.
309-349.
. Satish
V., Saxena A., Palmer M. (2014) Predicting Intraday Trading Volume and Volume
Percentages // Journal of Trading. - Vol.9, no.3. - p. 2-12.
. Schiereck,
DeBondt, Weber (1999) Contrarian and Momentum Straregies in Germany //
Association for Investment Management and Research - p. 104-116.
. Sehga,
S, Balakrishnan I. (2002) Contrarian and Momentum Strategies in the Indian
Capital Market // Vikalpa. - Vol 27, No. 1. - p. 13-19.
. Sharpe
W.F. (1964) Capital Asset Prices: A Theory of Market Equilibrium under
Conditions of Risk // Journal of Finance. - Vol.19, no.3. - p. 425 - 442
. Shi
H-L, Jiang Z-Q, Zhou W-X (2015) Profitability of Contrarian Strategies in the
Chinese Stock Market // PLoS ONE. - Vol.10. - p. 1-22.
. Tang
G., Zhang H. (2014) Stock Return Reversal and Continuance Anomaly: New Evidence
from Hong Kong // Applied Economics. - Vol.46, no.12. - p. 1335-1349.
. Teplova
T., Mikova E. (2015) New evidence of determinants of price momentum in the
Japanese stock market // Research in International Business and Financ.- no.
34.- p. 84-109.
. Wu
Y., Li Y., Hamill (2012) Do Low-Priced Stocks Drive Long-Term Contrarian
Performance on the London Stock Exchange? // The Financial Review. Vol.47. - p. 501-530.
48. Xie
Y., Spears L., Zhe H. (2015) China Limits Stock Market Short Selling to Curb
Volatility // Bloomberg, August 3, 2015.
Приложения
Таблица Средненедельные доходности портфеля победителей на американском
фондовом рынке при выборе квантильной методики на уровне 5%, 10%, 20%.
Источник: составлено автором
Таблица Средненедельные доходности портфеля проигравших на американском
фондовом рынке при выборе квантильной методики на уровне 5%, 10%, 20%.
Источник: составлено автором