Економіко-організаційна характеристика товариства з обмеженою відповідальністю 'АІР'

  • Вид работы:
    Отчет по практике
  • Предмет:
    Финансы, деньги, кредит
  • Язык:
    Украинский
    ,
    Формат файла:
    MS Word
    33,59 Кб
  • Опубликовано:
    2016-11-30
Вы можете узнать стоимость помощи в написании студенческой работы.
Помощь в написании работы, которую точно примут!

Економіко-організаційна характеристика товариства з обмеженою відповідальністю 'АІР'

Зміст

 

Вступ

. Економіко-організаційна характеристика товариства з обмеженою відповідальністю «АІР»

. Діагностика фінансового стану ТОВ «АІР»

. Аналіз організаційної структури ТОВ «АІР»

. Організація охорони праці і техніки безпеки на підприємстві

. Соціальні гарантії працівників ТОВ «АIР»

. Характеристика організації зовнішньоекономічної діяльності на підприємстві

. Оцінка динаміки зовнішньоекономічної діяльності підприємства

Висновок

Використана література

 

Вступ


Згідно з законом України “Про освіту” та галузевою складовою державного стандарту України з вищої освіти за напрямком підготовки “Менеджмент”, обов’язковою складовою освітньо-професійної підготовки студентів вищих навчальних закладів освіти є практична підготовка.

Відповідно виробнича практика є невід’ємною складовою практичної підготовки фахівця з менеджменту зовнішньоекономічної діяльності.

Метою проходження практики на підприємстві є формування у студентів професійних знань і навичок щодо прийняття самостійних рішень під час професійної діяльності в реальних ринкових умовах ,на базі знань набутих під час навчання. Також поглиблення та закріплення в студентів теоретичних знань з таких предметів, як: економіка підприємства, менеджмент, маркетинг, управління персоналом, з основ зовнішньоекономічної діяльності, митної справи; опанування студентами сучасними прийомами , методами та знаряддями праці в галузі їх майбутньої професії; виховання потреби систематично поповнювати свої знання та творчого їх застосовувати у практичній діяльності.

В основному ми звертаємось до таких джерел, як: Закон України «Про зовнішньоекономічну діяльність», «Про статут підприємства»,розглянемо статут підприємства, контракт (договір купівлі-продажу ), розглянемо порядок оформлення вантажно-митних декларацій.

Слід зауважити і підкреслити, хто є суб’єктами зовнішньоекономічної діяльності. Звернемось до статті №3 закону України «Про зовнішньоекономічну діяльність»[1].

Суб’єктами зовнішньоекономічної діяльності в Україні є:

·   Фізичні особи - громадяни України ,іноземні громадяни та особи без громадянства , які мають цивільну правоздатність і дієздатність згідно із законами України і постійно проживають на території України(тобто резиденти та нерезиденти);

·   Юридичні особи , зареєстровані як такі в Україні і які мають постійне місцезнаходження на території України (підприємства, організації та об’єднання всіх видів , включаючи акціонерні та інші види господарських товариств, асоціації, спілки, консорціуми, концерни, торговельні доми, посередницькі та консультаційні фірми, кооперативи, кредитно-фінансові установи, міжнародні об’єднання, організації та інші), у тому числі юридичні особи, майно та/або капітал яких є повністю у власності іноземних суб’єктів господарської діяльності;

·   Об’єднання фізичних, юридичних, фізичних і юридичних осіб, які не є юридичними особами згідно із законами України, але які мають постійне місцезнаходження на території України і яким цивільно-правовими законами не заборонено здійснювати господарську діяльність;

·   Структурні одиниці суб’єктів господарської діяльності України, іноземних суб’єктів господарської діяльності, які не є юридичними особами згідно із законами України (філії, відділення тощо), але мають постійне місцезнаходження на території України;

·   Спільні підприємства за участю суб’єктів господарської діяльності України та іноземних суб’єктів господарської діяльності, зареєстровані , як такі які мають постійне місцезнаходження на території України;

·   Інші суб’єкти господарської діяльності, передбачені законами України.

Україна в особі її органів, місцеві органи влади й управління в особі створених ними зовнішньоекономічних організацій, які беруть участь у господарській діяльності, а також інші держави, які беруть участь у господарській діяльності на території України, діють як юридичні особи згідно із частиною 4 статті другої цього закону і законами України.

Розглянемо функціонування митних органів при здійсненні зовнішньоекономічної діяльності на основі статті №13 закону України “Про зовнішньоекономічну діяльність”[1].

Україна здійснює митне регулювання зовнішньоекономічної діяльності на своїй території. Митну політику України визначає Верховна Рада України.

Митне регулювання зовнішньоекономічної діяльності згідно із цим Законом, законами України та міжнародними договорами України.

Територія України становить єдиний митний простір на якому діють митні правила України, з додержанням зобов’язань, що випливають з участі України в митному союзі.

Для того, щоб програма зовнішньоекономічної діяльності здійснювалась належним чином потрібно визначити міру відповідальності суб’єктів зовнішньоекономічної діяльності. Загальні засади відповідальності суб’єктів зовнішньоекономічної діяльності зазначені в статті №32. Україна як держава і всі суб’єкти зовнішньоекономічної діяльності та іноземні суб’єкти господарської діяльності несуть відповідальність за порушення цього або пов’язаних з ним законів України та/або своїх зобов’язань, які випливають з договорів (контрактів), тільки на умовах і в порядку, визначених законами України.

Україна як держава не несе відповідальності за дії суб’єктів зовнішньоекономічної діяльності.

Суб’єкти зовнішньоекономічної діяльності не несуть відповідальності за дії України як держави.

Якщо Україна бере участь у зовнішньоекономічній діяльності як суб’єкт такої діяльності згідно зі статтею №3 цього Закону, вона несе відповідальність на загальних та рівноправних засадах з іншими суб’єктами зовнішньоекономічної діяльності.

Усі справи та питання щодо визначення відповідальності, які виникають при застосуванні цього та пов’язаних з ним законів України, підсудні судовим органам України.

Суб’єкти зовнішньоекономічної діяльності та іноземні суб’єкти господарської діяльності мають право на судовий розгляд зазначених справ та питань.

Стаття №33: У сфері зовнішньоекономічної діяльності, що визначається цим та пов’язаними з ним законами України, можуть застосовуватися такі види відповідальності:

-        майнова відповідальність;

         кримінальна відповідальність.

Майнова відповідальність застосовується у формі матеріального відшкодування прямих, побічних збитків, упущеної вигоди, матеріального відшкодування моральної шкоди, а також майнових санкцій.

Якщо порушення суб’єктами зовнішньоекономічної діяльності або іноземними суб’єктами господарської діяльності цього або пов’язаних з ним законів України призвели до виникнення збитків, утрати вигоди або/та моральної шкоди в інших таких суб’єктів або держави, суб’єкти, що порушили закон, несуть матеріальну відповідальність у повному обсязі.

Кримінальна відповідальність у зовнішньоекономічній діяльності запроваджується тільки у випадках, передбачених кримінальним законодавством України.

Отже прийнявши до уваги законодавчу базу щодо зовнішньоекономічної діяльності можна братись до розгляду робочої програми та поставлених перед нами завдань.

1. Економіко-організаційна характеристика товариства з обмеженою відповідальністю «АІР»

Товариство з обмеженою відповідальністю (ТОВ) «АІР» (надалі «Товариство») створене на основі колективної форми власності в 25.11.2008р., у відповідності до Закону України «Про господарські товариства», Закону України «Про підприємства в Україні»[3].

Місце знаходження Товариства:

, місто Донецк, вулиця Сігова, будинок 2.

Учасником Товариства є: громадянин України Александров Володимир Аркадійович.

Внутрішня організаційна структура Товариства має такий вигляд:

Схема 1.1


Діяльність Товариства здійснюється у відповідності до Закону України «Про господарські товариства», інших законодавчих актів України, установчого договору про створення і діяльність Товариства і Статуту. Воно є юридичною особою, здійснює господарську та іншу діяльність від свого імені на принципах повного господарського розрахунку, має самостійний баланс, розрахунковий та інші рахунки в установах банків, печатку з своїм найменуванням, необхідні штампи і власні бланки.

Товариство може набувати майнових та особистих немайнових прав, вступати в зобов’язання, виступати в суді, арбітражному суді та третейському суді від свого імені. Має право створювати на території України та за її межами філії, представництва, а також дочірні підприємства відповідно до чинного законодавства України, самостійно здійснювати зовнішньоекономічну діяльність у відповідності з чинним законодавством України.

Товариство не відповідає по зобов’язаннях держави і учасників. Держава не відповідає по зобов’язаннях Товариства. Учасники несуть відповідальність по зобов’язаннях Товариства в межах їх вкладів.

Метою Товариства є отримання прибутків від фінансово-господарської діяльності і задоволення на їх основі інтересів засновників, а також економічних і соціальних інтересів працівників, від здійснення виробничої діяльності та надання послуг населенню:

·   Поставка продукції, виконання робіт, надання послуг в кредит, надання фінансової допомоги на умовах, передбачених домовленістю сторін;

·   Купівля-продаж, обмін, лізингові та консигнаційні операції;

·        Інвестування розробок нових зразків і технологій для виробництва товарів народного споживання, виробництво цих товарів, а також виробів виробничо-технічного, навчального та наукового призначення, продукції народних промислів, створення програм інноваційного та цільового призначення, в тому числі колективів - розробників нової техніки, технологій, “ноу-хау”, а також окремих авторів.

·   Утворення власної виробничої бази для виробництва продукції, товарів, виконання та надання послуг, в тому числі шляхом участі в різного роду підприємствах (включаючи спільні підприємства та комерційні об’єднання);

·   Здійснення бартерних (товарообмінних) операцій на території України та за її межами в порядку, встановленому законодавством;

·        Фінансування проектно-дослідницьких робіт, розробки проектно-конструкторської документації, будівництва та експлуатації, готелів, магазинів, житлових будинків, спортивних комплексів та споруд, об’єктів соціального та культурно-побутового призначення;

·        Вивчення споживчого попиту та пропозицій на товари та продукцію власного виробництва та третіх осіб, а також надання послуг і виконання робіт з маркетингу, інформаційно-консультаційна діяльність;

·        Організація рекламно-видавницької, рекламно-виставкової, торгово-комерційної, редакційно-видавницької, екскурсійної та туристичної діяльності, в тому числі організація та проведення комерційних семінарів, бізнес-турів, виставок-продажів, аукціонів за участю вітчизняних та іноземних громадян і юридичних осіб;

·        Здійснення від свого імені та за власний рахунок, а також за дорученням клієнтів торговельних та торговельно-посередницьких операцій щодо матеріальних цінностей, рухомого та нерухомого майна, цінних паперів, кредитних ресурсів та валюти, об’єктів інтелектуальної власності (брокерська діяльність), а також операцій щодо оптової та роздрібної купівлі-продажу (дилерська діяльність), в тому числі на товарних, товарно-сировинних, фондових та інших біржах на території України та за її межами;

·        Оптово-збутова та торгово-посередницька діяльність;

·   Організація роздрібної торгівлі та громадського харчування;

·   Виконання ремонтно-будівельних робіт;

·   Аудіо-та відеозапис;

·   Зовнішньоекономічна діяльність;

·   Ремонт та технічне обслуговування автомобілів;

·   Комісійна та роздрібна торгівля автомототехнікою;

·   Маркетингові та брокерські послуги;

·        Матеріально-технічне забезпечення ресурсами, сировиною, обладнанням підприємств та громадян;

·        Надання транспортних послуг з перевезення вантажів та пасажирів власним і орендованим транспортом та міжнародні перевезення;

·   Відкриття пунктів обміну валюти;

·   Медичне обслуговування населення;

·        Організація культурно-масового та спортивно-оздоровчого відпочинку, ігрового бізнесу, проведення конкурсів, лотерей;

·   Закупівля сільгоспродукції у населення;

·   Проведення благодійницьких міроприємств;

·   Організація виставок-ярмарок;

·   Рекламна діяльність;

·        Окремими видами підприємництва фірма займається тільки на підставі спеціальних дозволів (ліцензій);

·        У випадках передбачених законодавством Товариство вибирає ліцензії на право займатися відповідними видами діяльності.

Для забезпечення діяльності Товариства за рахунок грошового вкладу Учасника утворюється Статутний капітал в розмірі 335000 (триста тридцять п’ять тисяч) гривень 00 копійок.

В утворенні статутного капіталу бере участь:

Александров Володимир Аркадійович - на суму 335000 (триста тридцять п’ять тисяч) гривень 00 копійок, що становить 100% Статутного капіталу товариства.

Всі грошові і майнові кошти, надані у користування Товариству, інвестиції у Товариство, крім вкладів до Статутного капіталу Товариства, знаходяться у власності тих Учасників, які їх внесли.

Товариство має право змінювати (збільшувати або зменшувати) розмір статутного фонду. Збільшення статутного фонду може бути здійснено лише після внесення повністю всіма учасниками своїх вкладів.

Зменшення статутного фонду при наявності заперечень кредиторів товариства не допускається.

Рішення Товариства про збільшення розміру статутного фонду набирає чинності з дня внесення цих змін до державного реєстру, а при зменшенні розміру статутного фонду - не раніш як через три місяці після державної реєстрації і публікації про це в установленому порядку.

Додаткові внески учасників не впливають на розмір їх частки у статутному фонді, вказаному в цьому статуті і в установчому договорі.

Учасник Товариства може за згодою решти учасників відступити свою частку (її частину) одному, чи кільком учасникам цього Товариства або третім особам. Учасники Товариства користуються переважним правом придбання частки (її частини). Учасник, який її відступив, пропорційно їх часткам в статутному фонді або в іншому погодженому між ними розмірі. Передача частки (її частини) третім особам можлива тільки після повного внесення вкладу Учасником, який її відступає. Частка учасника товариства після повного внесення ним вкладу може бути придбана самим Товариством. У цьому разі воно зобов’язане передати її іншим Учасникам або третім особам в строк, що не перевищує 1-го року.

По одностайному рішенню зборів всіх учасників, Товариство має право здати в оренду, продати або подарувати набуте майно товариства як основних, так і обігових коштів другим юридичним, або фізичним особам.

При виході учасника з Товариства йому виплачується вартість частини майна Товариства, пропорційна його частці в статутному фонді.

Джерелами формування майна Товариства є:

• вклади Учасників в Статутний фонд;

•        прибуток, одержаний від реалізації власної продукції, робіт і послуг та інших видів господарської діяльності;

•        прибутки від реалізації цінних паперів, випущених в установленому порядку;

•        цільових та інвестиційних безповоротних грошових і майнових внесків, добровільних пожертвувань, спонсорських внесків, які надходять від українських та іноземних організацій і громадян;

•        інші джерела, не заборонені чинним законодавством України.

Учасники Товариства є власниками майна, внесеного ними в Товариство, отриманих прибутків, а також іншого майна, одержаного або придбаного Товариством за іншими підставами, не забороненими чинним законодавством України.

Порядок розподілу прибутків визначається Договором про створення і діяльність Товариства.

 

2. Діагностика фінансового стану ТОВ «АІР»

Фінансово-економічний стан - одна з найважливіших характеристик діяльності підприємства, це результат взаємодії всіх елементів системи фінансових відносин підприємства, сукупності виробничо-господарських факторів. Він визначається системою показників, які відображають наявність, розміщення і використання фінансових ресурсів та залежить від результатів виробничої, комерційної та фінансово-господарської діяльності підприємства.

Систематична, об’єктивна оцінка фінансового стану підприємств, їхньої ліквідності, платоспроможності й фінансової стійкості необхідна для пошуку шляхів підвищення і зміцнення фінансової стабільності, яка в свою чергу є однією з умов підвищення доходності та прибутковості будь-якого підприємства.

Для ефективного функціонування підприємства його фінансова діяльність має бути спрямована на забезпечення систематичного надходження та ефективного використання фінансових ресурсів, досягнення раціонального співвідношення власних і залучених коштів, дотримання розрахункової і кредитної дисципліни, фінансової стійкості.

Метою аналізу фінансового стану підприємства є пошук резервів підвищення рентабельності виробництва для забезпечення спроможності виконання підприємством своїх зобов’язань перед бюджетом, банком та іншими установами.

Фінансово-економічний стан підприємства необхідно систематично оцінювати з використанням різних методів, прийомів і методик аналізу.

Основними завданнями аналізу фінансового стану є:

дослідження рентабельності та фінансової стійкості підприємства;

дослідження ефективності використання майна (капіталу) підприємства, забезпечення підприємства власними оборотними коштами;

визначення динаміки стану ліквідності, платоспроможності та фінансової стійкості підприємства;

оцінка становища суб’єкта господарювання на фінансовому ринку та кількісна оцінка його конкурентоспроможності;

визначення ефективності використання фінансових ресурсів.

Основними напрямками аналізу фінансово-економічного стану підприємства є:

економічна оцінка балансу підприємства;

характеристика майна підприємства та джерел його формування;

аналіз ліквідності та платоспроможності підприємства;

аналіз фінансової стійкості та стабільності підприємства;

аналіз ділової активності підприємства;

аналіз фінансових результатів і прибутковості діяльності.

Результати фінансового стану підприємства є необхідними для розробки планів і прогнозів його фінансового оздоровлення. [13]

Інформаційною базою для проведення фінансового аналізу стану підприємства головним чином є бухгалтерська документація. В першу чергу це форма №1 «Баланс підприємства» (дод. А) та форма №2 «Звіт про фінансові результати» (дод. Б).

Отже, проведемо аналіз фінансового стану ТОВ «АІР». Результати даного аналізу виразимо у вигляді зведених таблиць та діаграм. Проведення фінансового аналізу починається з горизонтального та вертикального аналізу балансу. Аналіз балансу ТОВ «АІР» буде проведений у трьох напрямках:

.        Вертикальний аналіз балансу - метод визначення питомої ваги окремих статей балансу.

.        Горизонтальний аналіз балансу - аналіз тенденцій (метод зіставлення абсолютних величин у часі).

.        Аналіз ліквідності підприємства.

Для характеристики фінансової стійкості підприємства доцільно використовувати, в першу чергу, такі показники:

.        Коефіцієнт автономії (фінансової незалежності) показує, яку частину у загальних вкладеннях у підприємство складає власний капітал. Він характеризує фінансову незалежність підприємства від зовнішніх джерел фінансування його діяльності та визначається за співвідношенням власного капіталу до підсумку балансу.

Коефіцієнт фінансової автономії розраховується за такою формулою:

Кавт = ряд 380ф1/ ряд 640 ф1;

2.       Коефіцієнт фінансової залежності розраховується за такою формулою:

Кзал=ряд640ф1/ряд380ф1;

.        Коефіцієнт фінансового ризику відбиває рівень ризику діяльності фірми і її залежності від позикового капіталу.

Кф.р.=(ряд 480ф1+ряд620ф1)/ряд380ф1.

.        Коефіцієнт маневреності власного капіталу показує, яка частина власного капіталу показує, яка частина власного капіталу використовується для фінансування поточної діяльності, тобто яку частину вкладено в оборотні кошти, а яку - капіталізовано.

Значення цього показника може змінюватися залежно від структури капіталу і галузевої належності підприємства. [13 c.15-28]

Коефіцієнт маневреності власного капіталу розраховується за такою формулою:

Кман.=(ряд 380ф1- ряд 080ф1)/ ряд 380ф1.

Таблиця 2.1

Фінансова стійкість підприємства

№ п/п

Найменування показника

2011р.

2012р.

2013р.

Відхилення (+,-)

Значення що рекомендуються тенденція зміни

1

2

3

4

5

6=4-3

7=5-4

8

Аналіз фінансової стійкості підприємства

1.

Коефіцієнт фінансової автономії

0,31

0,56

0,48

0,25

-0,08

Критичне значення - 0,5, збільшення

2.

Коефіцієнт фінансової залежності

3,24

1,75

2,08

-1,49

0,33

Критичне значення - 2, зниження

3.

Коефіцієнт фінансового ризику

0,91

0,54

0,68

-0,41

-0,14

≤0,5, критичне значення - 1

4.

Коефіцієнт маневренності власного капіталу

0,98

0,94

0,81

-0,04

-0,13

≤0,5, збільшення


Судячи з таблиці 2.1 можна спостерігати таку тенденцію: що у 2011 році коефіцієнт був нижче ніж критичне значення 0,5, а у 2012-2013 рр. став вищим, спостерігались невеликі коливання, але нижче критичного значення коефіцієнт не опускався, що свідчить про підвищення частки власних коштів у вкладених активах.

Коефіцієнт фінансової залежності у 2011 році був вищий за норму. Критичне значення дорівнює 2, рекомендується зниження. У 2012-2013рр. підприємство стає менш залежним, оскільки у цих роках цей показник зменшився.

Коефіцієнт фінансового ризику у 2011 році був вищий за норму. Протягом 2012-2013рр. стан покращився, але також рекомендується зниження даного показника. Ризик діяльності компанії і її залежність від позикового капіталу трохи зменшився.

Коефіцієнт маневреності власного капіталу коливався, та був вищий ніж критичне значення. У 2012-2013 роках стан підприємства покращився.

Взагалі можна сказати, що фінансовий стан підприємства у 2010 році був не стабільний. У 2012-2013рр. фінансовий стан трохи покращився.

Аналіз ліквідності проводиться за допомогою розрахунків наступних коефіцієнтів:

. Коефіцієнт загальної ліквідності показує, яку частину поточних зобов’язань підприємство спроможне погасити, якщо воно реалізує усі свої оборотні активи, в тому числі і матеріальні запаси. Цей коефіцієнт показує також, скільки гривень оборотних коштів приходиться на кожну гривню поточних зобов’язань. [13 c.15-28]

Коефіцієнт загальної ліквідності розраховується за такою формулою:

Кз(п) = (ряд 280 ф1- ряд 080 ф1)/ряд 620 ф1+ ряд 430 ф1+ ряд 630 ф1;

2. Коефіцієнт термінової ліквідності показує, яку частину поточних зобов’язань підприємство спроможне погасити за рахунок найбільш ліквідних оборотних коштів - грошових коштів та їх еквівалентів, фінансових інвестицій та кредиторської заборгованості. Цей показник показує платіжні можливості підприємства щодо погашення поточних зобов’язань за умови своєчасного здійснення розрахунків з дебіторами.

Коефіцієнт термінової ліквідності розраховується за такою формулою:

Кпром(терм). = ряд 260 ф1-ряд 100 ф1-ряд 110 ф1- ряд 120 ф1- ряд 250ф1/ ряд 620 ф1+ ряд 430 ф1+ ряд 630 ф1;

3. Коефіцієнт абсолютної ліквідності показує, яку частину поточних зобов’язань підприємство може погасити своїми коштами негайно.

Коефіцієнт абсолютної ліквідності розраховується за такою формулою:

Каб = ряд 220ф1+ ряд 230 ф1+ ряд 240 ф1/ ряд 620 ф1+ ряд 430 ф1+ ряд 630 ф1;

Таблиця 2.2

Ліквідність підприємства

№ п/п

Найменування

2011р.

2012р.

2013р.

Відхилення

Значення, що рекомендуються; тенденція зміни

1

2

3

4

5

6=3-2

7=5-4

8

Аналіз ліквідності

1

Коефіцієнт загальної (поточної) ліквідності

1,43

2,25

1,74

0,82

-0,51

Рекомендоване значення - >1

2

Коефіцієнт термінової ліквідності

1,18

1,1

1,21

-0,08

0,11

Рекомендоване значення - 0,7 - 1,5

3

Коефіцієнт абсолютної ліквідності

0,28

0,31

0,29

0,03

-0,02

Рекомендоване значення - 0,2 0,35


З таблиці 3.2 видно, що загальний коефіцієнт ліквідності досить високий, особливо у 2013 році, на кожну гривню поточних зобов’язань припадає 1,74 гривні поточних активів.

Коефіцієнт термінової ліквідності знаходиться на досить високому, але не досить стабільний, протягом 2011-2013 рр. він коливається, але у 2013 році він досягає найвищого значення за всі роки - 1,21.

Коефіцієнт абсолютної ліквідності також досить високий, але також нестабільний. Протягом 2011-2012 років він дуже високий, а у 2013 році спадає.

По аналізу ліквідності можна сказати, що підприємство виконує рекомендовані показники, що впливають на його загальну діяльність, коефіцієнти досить високі.

Аналіз рентабельності підприємства.

Рентабельність - це показник, що характеризує економічну ефективність. Економічна ефективність - відносний показник, що прирівнює отриманий ефект з витратами або ресурсами, використаними для досягнення цього ефекту.

. Рентабельність сукупного капіталу характеризує прибутковість господарської діяльності і розраховується як відношення загального прибутку до підсумку балансу. Він показує, скільки прибутку приносить кожна гривня, інвестована (вкладена) в активи.

Рентабельність сукупного капіталу розраховується за такою формулою:

RROA = ряд170 ф2 / ряд 640 ф1;

2. Рентабельність власного капіталу характеризує чистий прибуток на 1 грн. власних коштів.

Рентабельність власного капіталу розраховується за такою формулою:

RROE = ряд 220 ф2 / ряд 380 ф1;

3. Валова рентабельність продажів показує ефективність господарської діяльності й цінової політики підприємства, тобто скільки припадає валового прибутку на одиницю доходу.

Валова рентабельність продажів розраховується за такою формулою:

RGPM = ряд 050 ф2 / ряд 035 ф2;

4. Операційна рентабельність продажів - коефіцієнт, що показує скільки припадає операційного прибутку на одиницю доходу.

Операційна рентабельність продажів розраховується за такою формулою:

ROIM = ряд 100 ф2 / ряд 035 ф2;

5. Чиста рентабельність продажу характеризує ефективність усіх видів діяльності підприємства: операційної, інвестиційної й фінансової.

Чиста рентабельність продажів розраховується за такою формулою:

RNPN = ряд 220 ф2 / ряд 035 ф2; [13 c.15-28]

Таблиця 2.3

Аналіз рентабельності підприємства

№ п/п

Найменування

2011р.

2012р.

2013р.

Відхилення (+,-)

Значення що рекомендується; тенденція зміни

1

2

3

4

5

6=4-3

7=5-4

8

Аналіз рентабельності підприємства

1.

Рентабельність сукупного капіталу

0,05

0,02

0,04

-0,03

0,02

>0, збільшення

2.

Рентабельність власного капіталу

0,16

0,19

0,24

0,03

0,05

>0, збільшення

3.

Валова рентабельність продажів

0,25

0,21

0,29

-0,04

0,08

>0, збільшення

4.

Операційна рентабельність продажів

0,13

0,18

0,20

0,05

0,02

>0, збільшення

5.

Чиста рентабельність продажів

0,11

0,10

0,13

-0,01

0,02

>0, збільшення


При проведенні аналізу рентабельності підприємства, який приведений в таблиці 2.3, були розраховані показники і отримані данні, по яким можна зробити наступний висновок, що підприємство досить рентабельне про що свідчать незначні коливання показників рентабельності.

Якщо ж казати про самі коефіцієнти то з діаграми видно те, що коефіцієнти рентабельності сукупного капіталу і рентабельність власного капіталу збільшуються за досліджуваний період, а саме 2012-2013 роки.

Щодо інших коефіцієнтів то можна сказати наступне, коефіцієнт валової рентабельність продажів поступово зростав, коефіцієнт операційної рентабельності продажів за досліджуваний період коливався, то підвищувався, то знову знижувався. Аналогічна ситуація склалася з розрахунком останнього коефіцієнта чистої рентабельності, він також як і попередній коливався, то вниз, то в гору.

Аналіз ділової активності підприємства був проведений за допомогою розрахунків наступних коефіцієнтів:

.        Коефіцієнт оборотності активів показує ефективність використання фірмою всіх наявних ресурсів не залежно від джерел їх залучення, характеризує наскільки ефективно використовуються підприємством активи з погляду обсягу реалізації, тому що показує скільки гривень реалізації припадає на кожну гривню, вкладену в активи підприємства. Чим вище цей коефіцієнт, тим ефективніше використовуються активи.

Коефіцієнтів оборотності активів розраховується за такою формулою:

Коб.а= ряд 035 ф2 / (1/2(гр. 3ряд 280 ф1 + гр. 4ряд 280 ф1);

2.       Коефіцієнт оборотності дебіторської заборгованості показує, скільки оборотів необхідно компанії для оплати наявної заборгованості.

Коефіцієнт оборотності дебіторської заборгованості розраховується за такою формулою:

Коб.а д.з.= ряд 035 ф2 / (1/2(гр. 3ряд 160 ф1 + гр. 4ряд 160 ф1);

.        Коефіцієнт оборотності основних коштів (фондовіддача) - показує ефективність використання основних засобів підприємства.

Коефіцієнт оборотності основних коштів (фондовіддача) розраховується за такою формулою:

Кф = ряд 040 ф2 / (1/2(гр. 3ряд 30 ф1 + гр. 4ряд 30 ф1);

Таблиця 2.4

Ділова активність підприємства

№ п/п

Найменування показника

2011р.

2012р.

2013р.

Відхилення (+,-)

Значення що рекомендується; тенденція зміни

1

2

3

5

5

6=4-3

7=5-4

8

Аналіз ділової активності підприємства

1

Коефіцієнтів оборотності активів

2,4

1.9

2.5

-0,5

0,6

2

Коефіцієнт оборотності дебіторської заборгованості

2,1

2.46

2.76

0,36

0,3

Збільшення

3

Коефіцієнт оборотності основних коштів

9,53

7,55

12,13

-1,98

4,58

Збільшення


З таблиці 2.4 можна побачити, що коефіцієнти оборотності активів коливався, але у 2013 році прийняв найбільше значення, що свідчить про те, що збільшилась кількість разів за звітний період, коли відбувається повний цикл виробництва та обігу, що приносить відповідний ефекту вигляді прибутку. Коефіцієнт оборотності дебіторської заборгованості протягом 2011-2013рр. збільшувався, що свідчить про те, що збільшувалась кількість разів в середньому протягом звітного періоду коли дебіторська заборгованість перетворювалася у грошові кошти. Коефіцієнт оборотності основних коштів вказує на те, що у 2012 році був невеликий спад фондовіддачі, а у 2013 році спостерігається підвищення фондовіддачі, тобто рівень реалізації туристичного продукту у тур фірмі став вище.

Взагалі з даних таблиць можна сказати, що підприємство достатньо стійке та незалежне.

3. Аналіз організаційної структури ТОВ «АІР»

У Товаристві створюються органи управління і контрольний орган.

Органами управління Товариства є:

         Вищий орган - Загальні Збори Учасників;

         Виконавчий орган - Директор;

         Контрольний орган - Ревізійна комісія.

Вищим органом Товариства є загальні збори його учасників. Учасник Товариства вправі передати свої повноваження на зборах іншому Учаснику.

Учасники мають кількість голосів, пропорційну розміру їх часток в Статутному капіталі, з розрахунку один відсоток - один голос.

Загальні збори Учасників Товариства обирають голову Товариства.

До компетенції загальних зборів Товариства належить:

а) визначення основних напрямків діяльності Товариства і затвердження його планів і звітів про їх виконання;

б) внесення змін до Статуту Товариства;

в) обрання та відкликання членів виконавчого органу і ревізійної комісії;

г) затвердження річних планів діяльності Товариства, включаючи його дочірні підприємства, затвердження звітів і висновків ревізійної комісії, порядку розподілу прибутку, визначення порядку покриття збитків;

д) створення, реорганізація та ліквідація дочірніх підприємств, філій та представництв, затвердження їх статутів і положень;

е) винесення рішень про притягнення до майнової відповідальності посадових осіб Товариства;

є) затвердження правил процедури та інших внутрішніх документів Товариства, визначення організаційної структури Товариства;

ж) визначення умов оплати праці службових осіб Товариства, його дочірніх підприємств, філій та представництв;

з) встановлення розміру, форми і порядку внесення Учасниками додаткових вкладів;

и) вирішення питання про придбання Товариством частки учасника;

і) виключення учасника з товариства та прийняття Учасника в товариство.

З питань, зазначених в підпунктах «а», «б», «і» цього пункту потрібна одностайність загальних зборів учасників. З решти питань рішення приймається простою більшістю голосів.[16]

Загальні збори учасників вважаються повноважними, якщо на них присутні учасники, що володіють у сукупності 60% голосів, а з питань, які потребують одностайності, - всі учасники. Загальні збори учасників Товариства скликаються не рідше двох разів на рік.

Прийняття рішень загальними зборами Учасників Товариства, а також скликання позачергових зборів та інші процедурні питання здійснюються у відповідності з вимогами Закону України «Про господарські товариства» і затвердженими правилами процедури.

Виконавчим органом Товариства є директор. Директор вирішує всі питання діяльності Товариства, за винятком тих, що належать до виключної компетенції зборів учасників. Збори учасників можуть винести рішення про передачу частини повноважень, що належать їм, до компетенції директора, який підзвітний зборам учасників і організовує виконання їх рішень. Він не вправі приймати рішення, обов’язкові для учасників Товариства.

Директор діє від імені Товариства в межах, встановлених Законом України «Про господарські товариства», цим статутом і установчим договором. Має право без довіреності виконувати дії від імені Товариства.

Контроль за діяльністю директора здійснює ревізійна комісія, що утворюється зборами учасників Товариства. Директор не може бути членом ревізійної комісії, а також Головою загальних зборів учасників.

Зміни до установчих документів Товариства приймаються зборами його учасників. Зміни вважаються прийнятими при одностайності зборів учасників. Про зміни, які вносяться в установчі документи Товариства, Товариство зобов’язане повідомити орган, що провів реєстрацію.

З метою забезпечення виконання статутних завдань Товариство має право здійснювати експортно-імпортні операції, створювати спільні підприємства із закордонними фірмами і організаціями, відкривати філії, представництва за межами України.

Товариство забезпечує умови праці на робочому місці, безпеку технологічних процесів, стан засобів колективного та індивідуального захисту, що використовується працівниками, а також санітарно-побутові умови відповідно нормативних актів про охорону праці.

Усі громадяни, які своєю працею беруть участь в діяльності Товариства на підставі трудового договору (контракту, угоди), а також на інших засадах, становлять трудовий колектив. Соціальні та трудові права трудового колективу Товариства гарантуються чинним законодавством України.

Реорганізація (злиття, приєднання, поділ, виділення, перетворення) відбувається за рішенням зборів його учасників, при цьому вся сукупність прав та обов’язків Товариства переходить до його правонаступників.

Товариство ліквідується у випадках:

а) за рішенням зборів учасників Товариства;

б) за рішенням арбітражного суду у випадках:

·   визнання його банкрутом;

·   за поданням органів, що контролюють діяльність Товариства, у разі систематичного або групового порушення ним законодавства та інше.

Ліквідація Товариства провадиться призначеною ним ліквідаційною комісією, а у випадках банкрутства та припинення діяльності Товариства за рішенням суду або арбітражного суду - ліквідаційною комісією, що призначається цими органами.

4. Організація охорони праці і техніки безпеки на підприємстві

В організації охорони праці на підприємстві беруть участь роботодавці, їх заступники, головні спеціалісти, керівники виробничих дільниць, окремих структурних підрозділів та служб, профспілки та інші органи, що певним чином впливають на організацію охорони праці.

Згідно з Законом України «Про охорону праці» та нормативно-правовими актами з охорони праці безпосередню відповідальність за охорону життя і здоров`я працюючих у Товаристві несе директор ТОВ «АІР», який забезпечує функціонування системи управління охороною праці.[6]

Директор у мережі Товариства в цілому:

забезпечує дотримання вимог законодавства про права працівників в сфері охорони праці;

створює відповідні служби і призначає посадових осіб, що забезпечують вирішення конкретних питань охорони праці, затверджує інструкції про їхні обов'язки, права й відповідальність за виконання покладених на них функцій, а також контролює їхнє дотримання;

організує розроблення при участі сторін колективний договір і через відповідні служби реалізовує комплексні заходи для досягнення встановлених нормативів та підвищення існуючого рівня охорони праці;

організує виконання необхідних профілактичних заходів відповідно до обставин, що змінюються;

упроваджує прогресивні технології, досягнення науки і техніки, засоби механізації й автоматизації виробництва, вимоги ергономіки, позитивний досвід з охороні праці;

організує забезпечення належного стану будівель і споруд, виробничого устаткування, моніторинг за їхнім технологічним станом;

забезпечує усунення причин, що викликають нещасні випадки, професійні захворювання, аварії і організовує здійснення профілактичних заходів, які визначені комісіями з розслідування цих випадків;

організує проведення аудиту охорони праці, лабораторних досліджень умов праці, оцінку технічного стану виробничого устаткування, атестацію робочих місць на відповідність нормативно-правовим актам з охорони праці в порядку і терміни, обумовлені законодавством;

затверджує положення, інструкції, інші акти з охорони праці, що діють у межах Товариства і встановлює правила виконання робіт і поводження працівників на території підприємства, у виробничих приміщеннях, робочих місцях відповідно до нормативно-правових актів з охорони праці, забезпечує безкоштовно працівників нормативно-правовими актами й актами підприємства з охорони праці;

організує пропаганду безпечних прийомів праці і співробітництво з працівниками в сфері охорони праці;

залучає у разі потреби професійні аварійно-рятувальні формування при виникненні на підприємстві аварій і нещасних випадків. [6]

Обов’язки з охорони праці директора Товариства, директорів філій, працівників викладено у Положенні про розподіл обов'язків з питань охорони праці у ТОВ “АІР»”.


5. Соціальні гарантії працівників ТОВ «АIР»

Найкращим соціальним захистом для людини є забезпеченість її роботою та гідною заробітною платою. Однак обов’язковою умовою забезпечення соціальних гарантій працівників є сплата роботодавцем внесків на загальнообов’язкове державне соціальне страхування. Без сплати страхових внесків підприємством працівник не зможе отримати допомогу по тимчасовій втраті працездатності, період несплачених внесків не зарахується до страхового стажу, необхідного для призначення пенсії.       

ТОВ «АІР» дотримується вимог законодавства та вчасно і в повному обсязі сплачує обов’язкові платежі до Фонду, чим забезпечує право на призначення пенсій своїм працівникам та своєчасність виплати пенсій теперішнім пенсіонерам.

У формуванні мотивації працівників і підвищенні ефективності їх роботи особливе місце займає соціальна політика підприємства.

ТОВ «АIР» реалізує пільги і гарантії в рамках соціального захисту працівників, встановлені чинним законодавством (соціальне страхування за віком, у випадку тимчасової непрацездатності, безробіття та ін), а також надає своїм співробітникам додаткові пільги, які відносяться до елементів матеріального і морального стимулювання. Надання додаткових пільг і заохочення соціального характеру, понад обов'язкових за законодавством, проводиться з метою реалізації принципів соціальної кадрової політики, на основі тарифних угод між адміністрацією і профкомом, а також спеціальних положень колективного договору.

Крім того, підприємство надає своїм працівникам додаткові пільги, що відносяться до елементів матеріального стимулювання. Надання додаткових пільг та послуг соціального характеру, понад обов'язкові виплати, проводиться за ініціативою адміністрації, яка втілює в життя принципи соціальної кадрової політики, та в результаті тарифних угод між адміністрацією та профкомом.

Як інструмент мотивації та стимулювання працівників, соціальна політика ТОВ «АIР» передбачає прийняття рішень, які стосуються наступних аспектів:

вибір форм надання пільг, послуг, виплат та їх видів;

- оцінка величини можливих виплат, виходячи із поставлених завдань та фінансових можливостей підприємства;

- диференціація розмірів виплат за категоріями персоналу залежно від стажу, кваліфікації, виробничих показників і особистих обставин співробітників.

Перелік виплат, пільг та послуг соціального характеру, які надаються у ТОВ «АIР» в різних формах та затверджений у Колективному договорі, що передбачає:

додаткові оплачувані відпустки працівникам тривалістю від 1-го до

-х днів при вступі в шлюб, народження дитини, смерті рідних по крові та шлюбу;

- надання оплачуваних навчальних відпусток особам, що поєднують роботу з навчанням;

- оплата навчання працівників на курсах та семінарах;

- первинне медичне обслуговування іногороднім;

- дотації та допомога у зв'язку з непрацездатністю;

- грошова винагорода, що надається в зв'язку з особистими урочистостями, круглими датами трудової діяльності або святами (грошові суми або подарунки);

- надання у використання службового автомобіля;

- грошові виплати при виході працівника на пенсію, з урахуванням займаної посади та трудового стажу працівника на підприємстві;

- матеріальну допомога молодим спеціалістам, що винаймають житло;

- надання допомоги в екстремальних ситуаціях.

- виплачує одноразові допомоги при виході на пенсію в розмірі двох посадових окладів;

         - виплачує премії до святкових дат (23 лютого, 8 березня, до ювілею підприємства);

         - проводить виплати при народженні дитини, виплати жінкам, які знаходяться у відпустці по догляду за дитиною - з ціллю підвищення народжуваності;

         - проводиться виплата матеріальної допомоги до відпустки в розмірі ставки;

         - заохочення до ювілеїв (50,55,60-річчя для жінок та 50,60-річчя для чоловіків), тощо.

Соціальна політика є складовою частиною механізму вдосконалення якості робочої сили та умов її ефективного використання. Об'єктом реалізації соціальної політики є не тільки працюючі співробітники, а й ветерани праці підприємства, які вийшли на пенсію.

6. Характеристика організації зовнішньоекономічної діяльності на підприємстві

фінансовий стан зовнішньоекономічний

Підприємство на зовнішньому ринку - це якісно нове явище для української економіки. Вихід на зовнішній ринок самостійних господарюючих суб'єктів повинен сприяти пристосуванню економіки до системи світогосподарських відносин, до формування економіки відкритого типу.

Зовнішньоекономічна діяльність підприємства здійснюється за такими основними напрямками:

         вихід на зовнішній ринок;

         експортно-імпортні поставки товарів, послуг і капіталу;

         валютно-фінансові і кредитні операції;

         створення й участь у діяльності спільних підприємств;

         міжнародний маркетинг;

         моніторинг національної економічної політики й економіки світогосподарських зв'язків.

Організація ЗЕД - дуже складна і клопітка робота. Вона вимагає уважного опрацювання таких питань як кон'юнктура ринку, потенціальні покупці і продавці, встановлення ділових контактів з ними, проведених переговорів, підписання угод і т.д.

Тому, для ефективного керівництва ЗЕД на рівні підприємства, необхідна адекватна до умов його роботи структура управління. Слово "структура" означає каркас, основу. Будь-яке підприємство має відповідний каркас, що пов'язує всі його підрозділи, служби, органи.

Розрізняють:

організаційно-виробничу структуру;

структуру управління;

організаційну структуру підприємства.

На будь-якому підприємстві є системи, які управляють і якими управляють. До першої відносяться органи, служби, апарат управління. До іншої - виробничі підрозділи (цехи, участки, відділи).[18]

Організаційно-виробнича структура відображає побудову системи, якою управляють, структура управління - системи, яка управляє, а організаційна структура підприємства - побудову і взаємозв'язок двох даних систем.

Таким чином, структура управління ЗЕД відображає побудову системи управління в даній сфері, тобто органи, служби, апарат, що здійснює управління ЗЕД.

Апарат управління будується з урахуванням необхідного оновлення ланок (по горизонталі) і ступенів чи рівнів управління (по вертикалі). Ланка управління - це структурний підрозділ чи окремі спеціалісти, що виконують відповідні функції управління.

Організаційна структура управління ЗЕД як складова частина внутріфірмового управління визначається, насамперед, загальною стратегією підприємства, а також стратегією ЗЕД як її складової. Загально прийнято вважати стратегію засобом виживання підприємства шляхом адаптування до середовища, а структуру - конструкцією, що її підтримує. Ланки ланцюга "середовище - стратегія - структура" взаємопов'язані і взаємозумовлені. Якщо вони не відповідають одне одному, то під загрозу ставиться саме існування підприємства.[18]

Організаційна структура управління ЗЕД визначається тією метою і завданнями, які вона покликана вирішувати. ЇЇ мета - максималізація прибутку на довготривалий період за рахунок ефективної участі в міжнародному підприємництві. Організаційна структура управління ЗЕД, як і внутріфірмового управління, повинна постійно розвиватися і вдосконалюватися, пристосовуватися до змін у зовнішньому середовищі і сфері управління. Її форми і методи не можуть залишатися незмінними.

На виробничих підприємствах, що приймають активну участь у зовнішньоекономічній діяльності, зовнішньоекономічний апарат в даний час існує в основному в двох формах:

. Відділу зовнішньоекономічної діяльності (ЗЕД) в рамках діючого апарату управління.

. Зовнішньоторгової підприємства (ЗТФ).

На підприємстві ТОВ «АІР» існуює відділ зовнішньоекономічної діяльності Відділ не являється самостійним структурним підрозділом підприємства. Він являє собою частину апарату управління. Його головне завдання полягає в управлінні ЗЕД як елементом єдиної цілісної системи внутріфірмового управління. Цей відділ не займається безпосередньо транспортуванням вантажів, митними процедурами і т. д. Він існує для планування, організації і координації ЗЕД.

Головними завданнями відділу ЗЕД підприємства є:

. Участь в розробці стратегії ЗЕД підприємства.

. Сприяння розвитку ЗЕД підприємства з метою прискорення його соціально-економічного розвитку.

.Забезпечення виконання зобов'язань, що випливають з договорів та угод із зарубіжними партнерами.

.Вивчення коньюктури іноземних ринків, збір і накопичення відповідної інформації.

. Організація експортно-імпортних операцій, забезпечення їх ефективності.

. Здійснення рекламної діяльності.

Відповідно до завдань визначаються функції відділу ЗЕД і формується оргструктура управління. ВЗЕЗ зазвичай очолює начальник відділу. Відділ складається із ланок ( секторів і спеціалістів).

Кожен із секторів (груп) має свої конкретні завдання і виконує відповідні функції.

Наприклад, комерційний сектор забезпечує: виконання зобов'язань по міжнародних контрактах і угодах, участь у підготовці і проведенні комерційних переговорів; організацію поставок згідно контракту і контроль за їх виконанням та ін.

Сектор маркетингу як ведуча служба підприємства вивчає кон'юнктуру світових товарних ринків, приймає участь у визначенні цін на експортну продукцію, в розробці і здійсненні рекламних заходів, аналізі конкурентів, можливостей руху товару і т. ін. Завдання науково-технічного сектору: вивчати діючі на світовому ринку технічні вимоги до товару; аналізувати технічний рівень і якість продукції, її конкурентоздатність; брати участь в розробці пропозицій по оновленню виробництва, випуску нової продукції; забезпечувати технічне обслуговування експортної продукції та ін.

7. Оцінка динаміки зовнішньоекономічної діяльності підприємства

Як вже відмічалося, для більш повної характеристики експортної роботи підприємства, експорт товарів і послуг за звітний рік зіставляється з експортом за попередній рік. Таке зіставлення доцільно провести за декілька років (наприклад, за 5-10). Мета такого дослідження - встановити, які зміни сталися в товарній структурі експорту, в розвитку нових видів експорту і його географічному напрямі, як змінився обсяг експорту в поточних і в постійних (базових) цінах, як змінилися в середньому експортні ціни. При вивченні динаміки експорту за ряд років обчислюються також темпи приросту експорту за кожний рік і середньорічний темп приросту експорту за весь період, що вивчається.

Дані про експорт за роки, що вивчаються групуються по країнах і по товарах в аналітичних таблицях. По кожному рядку таблиці (країна, товар або підсумок) обчислюються індекси вартості, фізичного об'єму і цін. Ці індекси й покажуть, в якій мірі й де змінилися вартість і фізичний обсяг експорту й середні експортні ціни.

Для отримання відповіді на питання про зміну вартісної структури експорту по країнах і по товарах складаються таблиці, де по кожному рядку (країна або товар) показуються для кожного порівнюваного року сума експорту в тисячах гривень і її питома вага в процентах до загального підсумку.

По товарних групах, що включають і кількісно і якісно порівнянні товари (наприклад, нафтопродукти: бензин, дизельне паливо, мазут), можна обчислити індекс кількісної структури, що визначається по формулі [9, 135]:


де     q1 - кількість товарів поточного періоду;

p0 - базові ціни цих товарів;

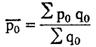
- середня ціна товарів базового періоду;

Середня ціна обчислюється по формулі [9, 135]:


Якщо індекс кількісної структури виявиться більшим одиниці, то це буде означати, що в межах товарної групи підвищилася частка кількості більш дорогих товарів за рахунок зниження частки більш дешевих товарів. При зворотній зміні структури індекс виявиться меншим одиниці.

Приведемо для прикладу дані про експорт підприємством товарів за поточний і попередній періоди [9, 136].

Таблиця 7.1

Товар

2012

2013


Кількість, шт.

Ціна за одиницю, грн.

Сума, тис. грн.

Кількість, шт.

Ціна за одиницю, грн.

Сума, тис. грн.

ОРУ110

2

16500,0

33000,0

5

16500,0

82500,0

Трансформатор тока TAG

5

50000,0

250000,0

6

50000,0

300000,0

ВА 88-35 ЗР200А

400

560,0

224000,0

400

580,0

232000,0

Разом

407

-

 507000,0

411

-

614500,0

 

За даними наведеної таблиці визначаємо тенденцію розвитку експорту даної групи товарів (для підсумку) по вартості і структурі. Встановимо, як змінився обсяг експорту в незмінних цінах (фізичний об'єм) і як змінилися в середньому ціни на товари цієї групи. Визначимо міру впливу чинників кількості, ціни і структур на збільшення вартості експорту товарів даної групи на 107,5 тис. грн. (614500-507000).

Обчислимо п'ять індексів:

індекс вартості (Ірq) [9, 136]:


Ір=614500/507000 = 1,21;

індекс цін (Ір) [9, 136]:


Ір=614500/(5*16500+6*50000+400*560)=614500/606500 = 1,013;

Сума 614,5 тис. грн. показує вартість імпортних товарів за 2013 рік (кількість і ціни 2013 року), а сума 606,5 тис. грн. - результат перерахунку експорту кількостей за 2013 рік по цінах 2012 року. Порівняння цих сум дозволить визначити, як позначилася зміна цін на величині вартості експорту товарів. Експортні ціни зросли в середньому на 1.3% (індекс цін в процентах рівний 98.4). Отже, зменшення вартості за рахунок зниження цін на 1.3% склало - 8 тисяч гривень (614500-606500);

індекс фізичного об'єму (Iq) [9, 136]:


Iq=606500/507000 = 1,19;

Звідси приріст імпорту за рахунок зміни вартості об'єму в незмінних цінах становив 99,5 тисяч гривень (606500-507000). Останній індекс являє собою добуток індексу кількості і індексу структури, тобто зміна фізичного об'єму викликається сукупною зміною кількості і кількісної структури товарів. Вплив кожного з цих чинників треба визначити окремо,

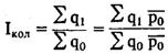
індекс кількості (Ікол) [9, 136]:


Перш ніж обчислити Ікол треба визначити середню ціну товарів 1998 року:

Σр0q0=1245 грн/шт






Σq0





Отже,

Ікол = 1,009*(411*1245/407*1245) = (511982/506999)

Таким чином, приріст вартості товару за рахунок зміни його кількості становив 4,983 тисяч гривень;

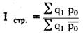
індекс структури (Істр) [9, 136]:

Істр = (5*16500+6*50000+400*560)/511982=1,1

Звідси приріст вартості за рахунок зміни структури рівний 94,500 тисяч гривень (606500-51200). Складання кількості і структури і дасть величину фізичного об'єму: (94,5+94,5) = 189 тисяч гривень.

Отже, вартість імпорту (експортна виручка) групи товарів, що аналізується за рік збільшилася, що сталося під впливом:

·   зміни кількісної структури імпорту, що виразилася в підвищенні питомої ваги кількості більш цінного товару 1, що дало додатково 94,5 тисяч гривень;

·   зростання загальної кількості імппортованих товарів, що збільшило вартість імппорту товарів ще на 94,5 тисяч гривень;

Висновок

В даному звіті розглядається прибутковість діяльності ТОВ «АІР». Метою є дослідження та оцінка рівня прибутковості та оцінка зовнішньоекономічної діяльності підприємства.

Товариство з обмеженою відповідальністю «АІР» спеціалізується на імпорті електричного устаткування та забезпечення ним тепловіих електростанцій.

Організаційно-виробнича структура ТОВ «АІР» забезпечує нормальне функціонування підприємства, тобто у належній мірі створює умови для виробництва продукції та надання послуг споживачам та сприяє успішній роботі управлінського персоналу.

Аналіз основних фінансово-економічних показників діяльності ТОВ «АІР» за останні 3 років показав, що рівень виручки від реалізації продукції залежить від обсягу товарної продукції, цін на неї та рівня продуктивності праці на підприємстві. Все це, а також і ринкові умови становлять величину загального прибутку. Рівень фондовіддачі свідчить про погіршення ефективності використання основних засобів. Для ТОВ «АІР» важливе значення має дослідження причин росту витрат з метою пошуку резервів для нейтралізації їх впливу, що позитивно вплине на прибуток та рентабельність підприємства. Тому, важливим питанням є розширення ринків збуту, діапазону, а також застосування ефективної системи маркетингу.

Також, аналіз виявив як позитивне, так і негативне у фінансовому стані підприємства:

Позитивне:

-        відбулося зростання величини сформованих оборотних активів,

підприємства за рахунок власних коштів;

-        відбулося зростання кредиторської заборгованості, при скороченні короткострокових позик, що зменшує витрати по кредитам підприємства.

Негативне:

-  дебіторська заборгованість збільшилась на 238,0тис. грн., що, можливо, спричинилось зниженням платоспроможності споживачів продукції підприємства;

-        поточні фінансові інвестиції ще на початок року були сформовані за рахунок додаткових коштів; за звітний період залучення цього джерела збільшилось 1,9 разів.

Отже, можна зробити висновок ,що ТОВ «АІР» володіє достатніми довгостроковими джерелами фінансування для забезпечення найменш ліквідних запасів; на ТОВ «АІР» відбулося зростання фінансової незалежності від позикових джерел фінансування, що свідчить про зростання прибутковості підприємства, ефективності управління підприємством; відбулося зменшення частки позикових коштів у сукупній величині джерел фінансування; ТОВ «АІР» має більш ніж достатньо власних коштів для покриття, погашення позикової заборгованості.

Стосовно зовнішньоекономічної діяльності підприємства, ТОВ «АІР» має налагоджені зв’язки із постачальниками країн Європи та СНГ, а також постійну клієнтську базу по всій території України.

ТОВ «АІР» постійно співпрацює з Росією, Латвією, Німеччиною ті Італією - найбільшими виробниками обладнання для енергетичної галузі.

 

Використана література:


1. Закон України « Про зовнішньоекономічну діяльність» // Відомості Верховної Ради (ВВР). - 1991. - N 29. - ст. 377.

. Закон України « Про господарське товариство» // Відомості Верховної Ради (ВВР).

. Закон України «Про підприємства в Україні» // Відомості Верховної Ради (ВВР).

. Закон України « Про статут підприємства» // Відомості Верховної Ради (ВВР).

. Закон України «Про загальнообов’язкове державне соціальне страхування від нещасного випадку на виробництві та професійного захворювання, які спричинили втрату працездатності» від 23 вересня 1999г. № 1105-ХIV.

. Закон України «Про охорону праці» // Відомості Верховної Ради (ВВР).

. Андрушків М.І., Реверчук Н.Й., Савенко І.Л. Становлення підприємництва в умовах ринкової економіки. - К.: Молодь, 1994. - 324 с.

. Башнянин Г.І. та ін. Політична економія: Підручник для вузів / Г.І. Башнянин, П.Ю. Лазур, В.С. Медведєв. - К.: Ніка-Центр, Ельга, 2000. - 442 с.

. Григорьев Ю.А. Учет, анализ и контроль внешнеэкономической деятельности и валютных операций. - М.: ПАИМС, 1993. - 208 с.

. Гальчинський А.С., Єщенко П.С., Палкін Ю.І. Основи економічної теорії: Підручник. - К.: Вища школа, 1995. - 471 с.

. Григорьев Ю.А. Учет, анализ и контроль внешнеэкономической деятельности и валютных операций. - М.: ПАИМС, 1993. - 208 с.

. Загальна економіка: Підручник / За ред. І.Ф. Радіонової. - К.: Знання, 2005. - 234 с.

13. Кононенко О. "Аналіз фінансової звітності" (3-е издание, 2005 г.)

14. Козик В.В. та ін. Міжнародні економічні відносини: Навч. посіб. / В.В. Козик, Л.А. Панкова, Н.Б. Даниленко. - К.: Знання-Прес, 2000.

. Международные экономические отношения: Учеб. пособ. / Под ред. В.Е. Рыбалкина. - М.: журн. "Внешнеэкономический бюллетень", 2007.

. Основы предпринимательской деятельности / Под ред. Ю. Осипова.- М.: Прогресс 2002. - 432 с.

. Петрович Й.М. Економіка виробничого підприємництва. - К.: Знання, 2001. - 462 с.

. Покропивний С.Ф., Колот В.М. Підприємництво: стратегія, організація, ефективність. - К.: КНЕУ, 1998. - 352 с.

. Управління зовнішньоекономічною діяльністю. - К., 2010

Похожие работы на - Економіко-організаційна характеристика товариства з обмеженою відповідальністю 'АІР'

 

Не нашли материал для своей работы?
Поможем написать уникальную работу
Без плагиата!
Без нейросетей!