Управление затратами на качество в процессе осуществления проектного анализа

  • Вид работы:
    Реферат
  • Предмет:
    Менеджмент
  • Язык:
    Русский
    ,
    Формат файла:
    MS Word
    43,01 kb
  • Опубликовано:
    2009-01-12
Вы можете узнать стоимость помощи в написании студенческой работы.
Помощь в написании работы, которую точно примут!

Управление затратами на качество в процессе осуществления проектного анализа

Управление затратами на качество в процессе осуществления проектного анализа

1. Состав проектного анализа

Анализ любого инновационного проекта состоит из нескольких этапов и включает в себя ряд разделов. Они могут различаться в зависимости от принципа классификации.

Например, по времени проведения проектный анализ можно разделить на:

предварительный;

текущий;

последующий.

Предварительный анализ является самым ответственным. Выявленные и исправленные на данном этапе ошибки не несут существенного вреда предприятию, так как финансовый ущерб будет ограничен суммой средств, затраченных, например, на разработку изделия, технологий, исследование рынка сбыта.

Текущий анализ осуществляется уже в процессе изготовления новой продукции. К этому этапу предприятие затрачивает на новый проект значительно больше средств, чем до его запуска в производстве. Они включают в себя, кроме перечисленных, расходы на оснастку, закупку необходимых основных фондов (оборудования, инвентаря, инструментов и т. д.), материальных ресурсов (основных и вспомогательных материалов, комплектующих изделий и т.п.), затраты на оплату труда (заработная плата с начислениями) и др.

Если производимый инновационный продукт не отвечает требованиям, предъявляемым к его качеству, то возникают следующие ситуации:

1) товар остался у производителя, но есть возможность его реализации другому покупателю:

а) по той же цене. Тогда понесенные затраты будут компенсированы в полной мере и предприятие получит запланированную прибыль;

б) по сниженной цене. Размер фактической прибыли от реализации данной продукции может оказаться меньше запланированной или ее может не быть вовсе, или понесенные затраты не будут компенсированы полностью в зависимости от величины снижения цены;

в) реализация по запланированной или пониженной цене, но дополнительные затраты на исправление барка или доведения изделия до проектного уровня качества. Размер прибыли находится в зависимости от величины дополнительных затрат;

2) товар у производителя, но вследствие его низкого качества, возможность реализации отсутствует:

а) продажа по цене возможного использования. В этом случае незначительно компенсируются затраты на производство;

б) реализация утилизированных материалов. Дополнительные затраты на утилизацию и некоторая компенсация затраченных средств.

Отсюда очевидно большое значение непрерывного текущего анализа продукции, особенно новой, и ее реализации на потребительском рынке.

Последний этап временного анализа – последующий анализ осуществляется, как правило, по истечении отчетного периода, например, года. На нем подводится итог деятельности за период. Выявляются причины и факторы как негативных (низкого качества), так и позитивных (соответствие стандартам, ТУ, мировому уровню) результатов для их избежания в дальнейшем или использования их влияния на повышение качества продукции и снижение затрат.

Обнаруженная на данном этапе некачественная продукция наносит производителю наибольший ущерб. Он складывается из величины производственной себестоимости, коммерческих расходов, затрат на гарантийный ремонт или замену некачественной продукции, оплату штрафов и неустоек (если они предусмотрены договором поставки). Реальный ущерб больше материального вследствие действия морального фактора, наносящего производителю большой вред. В перспективе же длительное производство низкокачественного изделия приведет к падению спроса на продукцию фирмы.

Комплексный итоговый проектный анализ необходимо разделить на этапы – контрольные точки. Это позволит своевременно выявить негативные ситуации и тенденции и избежать повышения издержек фирмы и риска банкротства.

С точки зрения объекта проектный анализ качества изделий может характеризовать различные его стороны. Тогда состав анализа будет, например, следующим:

1. Коммерческий.

2. Технический.

3. Организационный.

4. Социальный.

5. Экологический.

6. Экономический.

Эти виды должны обязательно присутствовать при анализе качества новой продукции. Они позволяют увидеть ее с различных сторон и позиций. Например:

со стороны возможности сбыта и потребности в нем рынка;

с позиции его технических преимуществ и выгоды по сравнению с аналогами или его технической новизны;

с точки зрения возможности его организационного осуществления;

с позиции его социальной значимости для данного предприятия, потребителя, региона, отрасли и государства в целом;

со стороны экологических последствий осуществления данного проекта для региона, в котором располагается предприятие-производитель, или потребителей новой продукции;

с точки зрения его экономической выгоды для производителя и потребителя.

Подобный анализ проводится с помощью количественных и качественных, формальных и неформальных методов и приемов, свойственных каждому конкретному виду.

В организационном, социальном и экологическом широко используется качественный подход и неформальные методы. Это не исключает применение расчетных приемов для вычисления необходимых показателей и графического метода.

Коммерческий и технический виды анализа базируются на сочетании качественного и количественного подходов с применением и неформальных, и формальных методов, а также графического.

В экономическом анализе, основанном преимущественно на методах количественного анализа, широко используется качественный подход, т. е. в нем сочетаются как формальные, так и неформальные методы с преимуществом первых. Для иллюстрации результатов и в качестве средства сравнительного анализа широко применяется графический метод.

Наличие и сочетание подходов и методов зависит от ряда причин. Основными из них являются:

цели и задачи анализа;

наличие и особенности информационной базы анализа;

наличие технической базы и программного обеспечения. Виды проектного анализа новой продукции и ее качества и соответствующие им методы представлены в табл. 7.1.

Таблица 1

Виды и методы проектного анализа новой продукции

Методы

анализа

Виды

анализа

Формальные

Неформальные

 

А

Б

А

Б

Коммерческий

 

+

 

+

Технический

 

+

 

+

Организационный

 

 

+

Социальный

 

 

+

 

Экологический

 

 

+

 

Экономический

+

 

 

+

А – вариант преимущественного использования методов данной группы;

Б – частичное или сочетательное использование методов данной группы;

Знание особенностей методического обеспечения анализа позволит до его начала подобрать персонал соответствующего профессионального уровня, подготовить техническую базу, ее программное обеспечение и иной инструментарий, без которого невозможна всесторонняя разработка нового качественного, особенного сложного в техническом отношении инновационного изделия и его технико-экономического обоснования.

Пример:

Предприятие должно решить вопрос о запуске в производство нового для него изделия – варикана. Круг данных для проведения сравнительного анализа ограничен.

2. Общая характеристика изделия

Варикан – это полупроводниковый прибор, исполняющий роль (или заменяющий) переменного конденсатора, который используется для настройки радиоприемника на требуемую станцию (или частоту).

В радиотехнике и технике много назначения, разрабатываемой с применением электронной комплектации, широко применяются колебательные контуры, состоящие из емкостей (С) (конденсаторов) и индуктивностей (L). LC контуры имеют определенные собственные частоты колебаний. Вращением ручки приемника мы изменяем значение емкости контура и, следовательно, частоту настройки приемника. Таким образом, мы настраиваем приемник на нужную нам станцию.

Переменный конденсатор (ПГ) изготавливается из металлических пластинок или из керамики и имеет большие габариты и массу.

Принцип работы варикана упрощенно можно представить следующим образом.

При приложении к варикану электрического напряжения емкость варикана изменяется в зависимости от величины напряжения, значению которого соответствует определенная величина емкости. Это позволяет электрически плавно изменять частоту контура (LC).

При конструировании радиосхем и иных частотных приборов с применением вариканов открываются широчайшие возможности уменьшения габаритно-весовых характеристик этих приборов. Одновременно возрастают возможности их функционального усложнения и совершенствования потребительских качеств.

Разработка ПГ на полупроводниковых приборах позволяет выполнить блок питания и управления также на полупроводниковых приборах.

Для перекрытия трех диапазонов частот требуется три перестраиваемых генератора на митронах с источниками питания и три перестраиваемых генератора на полупроводниковых приборах с одним боком питания и управления (т. е. варикана).

Перспективы развития электронной техники данного типа очень широки.

3. Коммерческий анализ

Цель коммерческого анализа заключается по сути в оценке предлагаемой рынку продукции конечными потребителями.

Решаемые при этом задачи в общем виде можно свести к следующим:

маркетинг;

источники и условия ресурсного обеспечения;

условия сбыта;

возможность обратной связи с потребителем продукции.

Для управления качеством продукции особенно важно решение последней задачи. Например, отсутствие спроса на новую продукцию может быть обусловлено не ее качеством непосредственно, а характером упаковки, ценой товара, выявив причину в процессе оперативного коммерческого анализа путем опроса или анкетирования потребителей, можно быстро устранить негативную причину: изменить упаковку, найти пути снижения затрат и цены.

Обычно характер информации позволяет провести как качественный, так и количественный коммерческий анализ.

Для оценки конкурентоспособности изделий возможно использование метода балльной оценки. Сравним основные технические характеристики качества широкополостного генератора качающейся частоты, перекрывающего три диапазона частот, (ГКЧ) с генератором традиционного типа (ПГ) Данные для оценки конкурентоспособности нового устройства приведены в табл. 7.2.

Таблица 2

Технические параметры изделий для оценки их конкурентоспособности

Вид продукции

Количество диапазонов

Надежность в работе

Мощность

Качество воспроизведения

Средний балл

ГКЧ

ПГ

3

3

5

3

5

4

5

4

4,5

3,5

Вес, %

20

20

20

40

4

100

Данные табл. 14 в баллах получены экспертным методом с учетом требований зарубежных аналогов к качеству приборов такого типа.

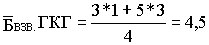
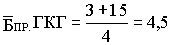
Средний балл рассчитан по формуле средней арифметической простой, но при большем числе параметров качества целесообразно использовать формулу средней арифметической взвешенной.

В идентичности результатов убедимся на нашем примере:

где

– средний балл, рассчитанный по формуле простой средней арифметической;

Б – балл по каждому параметру качества;

n – число параметров;

– средний балл, рассчитанный по формуле средней арифметической взвешенной;

f – частота повторения балов;

– сумма частот (количество параметров).

Тогда:

;

.

Аналогично и по другим расчетам.

Средний балл технических параметров взятых для оценки конкурентоспособности, по ГКЧ на 1 или на

* 100% – 100% = 28,6%

превышает данный показатель у ПГ и на 0,5 балла выше общего среднего показателя. Это свидетельствует о большей конкурентоспособности генератора качающейся частоты с применением варикана в техническом отношении по сравнению с генератором традиционного типа.

Данный метод количественной оценки конкурентоспособности продукции основывается на параметрическом подходе и осуществляется в несколько этапов.

На рассмотренном первом этапе сравниваемым параметрам качества (качественным характеристикам изделия) экспертным путем присваиваются баллы по пятизначной, например, шкале. Затем с помощью абсолютных и относительных величин сравниваются полученные средние баллы.

Последующие этапы сравнения более широкого круга технических параметров и стоимостная оценка баллов будут рассмотрены в параграфе 7.4.

Для обеспечения обратной связи следует разработать вопросники и анкеты, содержащие сведения об удовлетворенности и пожеланиях потребителей относительно качества изделия. Эти сведения собираются и обрабатываются персоналом коммерческих служб предприятий для принятия решения об усовершенствовании продукции.

При проведении полного коммерческого анализа необходимо решить все задачи, отмеченные в начале данного раздела.

4. Технический анализ

В рамках технического анализа инновационных проектов необходимо изучить:

технико-технологические альтернативы;

варианты местоположения производства;

сроки реализации проекта и его фаз;

доступность и достаточность источников сырья, рабочей силы и иных потребляемых ресурсов;

графики проекта.

Все эти вопросы следует изучить на стадии предынвестиционного исследования при разработке краткого технико-экономического обоснования, полного технико-экономического обоснования и при разработке рабочей документации.

Изучение технико-технологических альтернатив касается прежде всего сравнения параметров нового и заменяемого им изделия. Такое сравнение можно провести с помощью качественного или количественного подхода в зависимости от наличия информации. В условиях коммерческой и технико-технологической тайны качественный подход является преобладающим. Однако, это не исключает возможности применения параметрических подходов, аналогичных тем, которые применяются в ценообразовании и при оценке конкурентоспособности продукции. Причем, последнюю можно рассматривать как часть технического анализа.

Для сравнения вариканов и генераторов старого типа в техническом отношении можно предложить следующие технические параметры:

1. Габариты.

2. Способ перестройки.

3. Устойчивость к механическим воздействиям.

4. Трудоемкость.

5. Область применения.

Экспертным путем оценим значимость перечисленных параметров и результаты оформим в таблице 3.

Таблица 3

Технические параметры изделий

Вид продукции

Технические параметры

Средний

 

Габариты

Способ настройки

Устойчивость к мех. возд.

Трудоемкость

Область применения

балл

ГКЧ

ПГ

5

2

5

1

5

4

4

3

4

2

4,6

2,4

Вес показателя, %

35

10

20

15

20

3,5

100

Превышение среднего балла ГКЧ по сравнению с ПГ в

подтверждает огромные преимущества продукции на основе вариканов.

Качественный анализ перечисленных параметров еще раз подтверждает преимущества нового изделия, поскольку оно:

в сотни раз меньше заменяемого;

перестраивается не механически, а электрически;

более устойчиво к механическим воздействиям;

менее трудоемко при монтаже в схемах;

имеет более широкую область применения.

Для наглядности представим данные таблицы 15 графически (рис. 7.1).

Рис. 7.1. Соотношение технических параметров генераторов качающейся частоты и переменных генераторов в баллах

Условные обозначения:

1 – габариты;

2 – способ настройки;

3 – устойчивость к механическим воздействиям;

4 – трудоемкость;

5 – область применения.

5. Организационный, социальный, экологический и экономический анализ

Организационный анализ

Организационный анализ выполняется для оценки внутренних и внешних условий реализации нового инновационного проекта. К внутренним относятся условия, зависящие от деятельности самого предприятия; в частности:

особенности управления;

организационные структуры;

планирование;

комплектование и обучение персонала;

координация деятельности;

информационное обеспечение.

К внешним относятся политическая, правовая, общеэкономическая и научно-техническая (потенциал, потребность и т. п.) обстановка в обществе и регионе.

Основными задачами организационного анализа являются:

1. Определение задач и действий участников проекта относительно политической и правовой обстановки.

2. Оценка управления и организационных структур предприятия с позиции их соответствия задачам проекта.

3. Анализ обеспеченности проекта ресурсами и необходимости перестройки этого обеспечения, повышения квалификации персонала.

4. Выбор оптимальных управленческих решений при выявлении негативных организационных условий реализации инновационного проекта.

Организационный анализ в условиях рыночной экономики существенно отличается от анализа организации внедрения нового изделия в условиях директивной экономики.

Эти отличия обусловлены изменившимися политическими, правовыми и экономическими условиями. Предприятие самостоятельно может формировать систему управления, организационные структуры, планы и т. п.

В этом смысле риск деятельности предприятия существенно возрастает. Однако, риск предприятия ТОР весьма невысок. Это связано прежде всего со стабильностью его юридического статуса. Как оборотное предприятие ТОР не подлежит приватизации. Для реализации нового проекта не требуется организационная перестройка ТОРа или создание новых научно-производственных структур. Кадровая проблема на предприятии, как уже отмечалось, отсутствует. Данный проект не требует переподготовки кадров.

Таким образом, негативные организационные условия реализации данного проекта на этапе предынвестиционного анализа не выявлены.

Социальный анализ

Целью социального анализа является определение пригодности проекта для его потребителей. С помощью социального анализа должна быть обеспечена возможность взаимодействия между производителем и пользователем данной продукции в целях продвижения данного товара и расширения объема его производства в перспективе.

Социальный анализ сосредотачивает свое внимание на четырех основных аспектах:

1. Социокультурные и демографические характеристики населения, затрагиваемого проектом.

2. Организация населения в районе действия инновационного проекта, наличие рабочей силы.

3. Приемлемость проекта для местной культуры (научного потенциала).

4. Стратегия обеспечения необходимых обязательств от групп населения и организаций, пользующихся данным проектом (его результатами).

Социальный анализ проводится с использованием качественного подхода.

В процессе социального анализа были выявлены некоторые негативные тенденции относительно демографических характеристик населения. В поселке, где расположено предприятие изменился возрастной состав населения в сторону увеличения старших возрастных групп. Это означает, что резерв рабочих кадров уменьшился. Более того, для обеспечения качества продукции на операциях по изготовлению варикапов и ГКИ используется, в основном, женский труд до 28-летнего возраста, что связано с профессиональной спецификой (требуется высокая острота зрения и точные "женские" ручки).

Следовательно, кадровые службы должны провести набор кадров со столь специфическими требованиями в Москве, ближайших поселках, воспользовавшись для этого картотеками отделов кадров родственных не загруженных в настоящее время предприятий.

Поскольку продукция может быть использована в средствах связи (телефоны, в том числе сотовые), радиотехники, медицинской техники (кардиостимуляторы) возможно привлечение инвесторов из числа заинтересованных организаций и физических лиц. Вследствие применения новых генераторов в телефонной связи улучшается качество услуги данного вида, что может стимулом инвестирования средств в развитии данного производства и улучшения инфраструктуры, ему способствующей, для местных властей.

Экологический анализ

Экологический анализ в настоящее время занимает особое положение ввиду резкого ухудшения общей экологической обстановки.

Его задачей является выявление потенциального ущерба окружающей среде, наносимого инвестиционным проектом на всех его стадиях, а также мер, необходимых для предотвращения этого ущерба.

Поскольку данный проект осуществляется на базе действующего предприятия, он не требует дополнительных капитальных вложений в новое строительство и с этой стороны не подвергает разрушению окружающую среду.

По сравнению с прежним производством в переоборудуемом цехе производств вариконов является "чистым" производством и экологически безопасно.

Сборка генераторов ГКЧ использует материалы и комплектующие также безвредны для человека и окружающей Среды.

С учетом уменьшения объемов сырья и повышения уровня чистоты производства данная продукция является для предприятия более предпочтительной по сравнению со снимаемой с производства.

Экономический анализ

Экономический анализ является важнейшей составной частью и системы управления качеством, и проектного анализа. И в том, и в другом случае обосновывается целесообразность и эффективность разработки и внедрения в производство продукции, качество которой должно отвечать определенным стандартам и удовлетворять потребителя.

В процессе экономического анализа определяются источники финансирования нового проекта, затраты на его внедрения и эффективность его реализации.

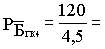
Одним из косвенных показателей эффективности можно считать стоимость единицы качества продукции. Рассчитаем ее для нашего примера.

Пусть цена генератора качающейся частоты с применением варикана составляет 120 ден. ед., а цена переменного генератора – 400 ден. ед.

Тогда стоимость одного среднего балла единицы качества будет равна:

26,67 ден. ед.

ден. ед.

Таким образом при разнице по параметрам качества в 1 балл (4,5 – 3,5) в пользу генератора касающейся частоты цена одного среднего балла переменного генератора обходится значительно выше, чем цена среднего балла генератора качающейся частоты. Разница в цене () составляет:

ден. ед.,

или

.

Следовательно, качество генератора ПГ более, чем в 4 раза (4,286) или на 328,6% дороже, чем качество ГК4. Этим еще раз доказывается более высокая конкурентоспособность нового изделия на базе применения в его конструкции варикапов.

Подтвердим этот вывод определив цену нового изделия воспользовавшись балльным методом по данным табл. 14

ден. ед.

Таким образом, по методу балльной оценки без учета затрат на производство и только на основе параметров качества цена ГКЧ с использованием варикапов должна была бы составить 514,29 ден. ед., а не с 120 ден. ед., с учетом затрат на его производство, что почти в 4 раза ниже балльной цены и является дополнительным доказательством конкурентоспособности новой продукции.

ден. ед.,

или

ден. ед.

Обратим внимание на близость цен, исчисленных по методам балльной оценки и удельной цены. Однако их существенное отличие от цены, базирующейся на себестоимости, позволяет сделать следующий вывод: параметрические методы ценообразования, к которым относятся методы балльной оценки и удельной цены, должны скорее служить для оценки конкурентоспособности продукции, а не для ценообразования без учета фактических затрат на производство и реализацию продукции. В противном случае завышенная цена может стать анти-стимулом спроса на нее и продукция будет неконкурентоспособна по цене.

Результаты проделанных расчетов и их анализ полностью подтверждают этот вывод и позволяет судить о высокой конкурентоспособности варикапов и их использовании в сложной технической продукции для повышения ее качества и снижения затрат на ее производство и цены.

Определение годового экономического эффекта основывается на сопоставлении приведенных затрат по базовому и новому варианту изделий. Оно различается в зависимости от специфики продукции и условий производства [10;12].

Выводы

Одной из проблем качества является управление затратами на него в процессе реализации инновационных проектов.

В управлении затратами на качество в современной теории и практике применяют проектный анализ.

По времени проведения проектный анализ делится на: предварительный, текущий, последующий.

В зависимости от объекта проектный анализ качества изделий может характеризовать различные стороны Тогда выделяют следующие виды анализа: коммерческий, технический, организационный, социальный, экологический, экономический.

Список литературы

Для подготовки данной работы были использованы материалы с сайта http://www.cfin.ru/

Похожие работы на - Управление затратами на качество в процессе осуществления проектного анализа

 

Не нашли материал для своей работы?
Поможем написать уникальную работу
Без плагиата!
Без нейросетей!