Основы управления качеством
Основы управления качеством
1.Значение стандартизации и сертификации
Система
качества – совокупность организационной структуры, распределения
ответственности, процессов, процедур и ресурсов, обеспечивающая общее
руководство качеством. Это определение дано в международном стандарте ИСО 8402.
Иностранный
клиент для заключения контракта на поставку продукции выдвигает требование о
наличии у производителя системы качества и системы качества о наличии сертификата
на систему качества, выданного авторитетным сертифицирующим органом.
Управление
качеством во многом базируется на стандартизации. Стандартизация представляет
собой нормативный способ управления. Ее воздействие на объект осуществляется
путем установления норм и правил, оформленных в виде нормативных документов,
имеющих юридическую силу.
Стандарт
– это нормативно-технический документ, устанавливающий основные требования к
качеству продукции.
Немаловажная
роль в управлении качеством принадлежит техническим условиям.
Технические
условия – это нормативно-технический документ, устанавливающий дополнительные к
государственным стандартам, а при их отсутствии самостоятельные требования к
качественным показателям продукции, а также приравниваемые к этому документу
техническое описание, рецептура, образец-эталон
Стандарты
определяют порядок и методы планирования повышения качества продукции на всех
этапах жизненного цикла, устанавливают требования к средствам и методам
контроля и оценки качества.
Управление
качеством продукции осуществляется на основе государственных, международных,
отраслевых стандартов и стандартов предприятий.
Международные
организации по стандартизации и качеству продукции
Превышение
предложения над спросом, конкурентная борьба за покупателя привели к
необходимости выработки объективных показателей, позволяющих оценить
способность фирмы производить продукцию с необходимыми качественными
характеристикам.. При этом качество изготовляемой и поставляемой продукции
должно быть стабильным, устойчивым в течение всего времени действия контракта.
Гарантом стабильности является наличие у фирмы-производителя системы качества,
соответствующей международно-признанным стандартам.
Международная
организация по стандартизации (ИСО) создана в 1946 г. ОНН на заседании Комитета
по координации стандартов ООН с целью содействия стандартизации в мировом
масштабе для облегчения международного товарообмена и взаимопомощи; для
расширения сотрудничества в области интеллектуальной, научной, технической,
экономической деятельности.
Основным
видом деятельности ИСО является разработка международных стандартов. Стандарты
ИСО являются добровольными к применению. Однако их использование в национальной
стандартизации связано с расширением экспорта, рынка сбыта, поддержания
конкурентоспособности выпускаемой продукции.
Международная
электротехническая комиссия (МЭК).
Создана
в 1906 г. в Лондоне. После создания в 1946 г. ИСО присоединилась к ней на
автономных правах, сохранив независимость в финансовых и организационных вопросах.
Занимается стандартизацией в области электротехники, электроники, радиосвязи,
приборостроения. ИСО – во всех остальных отраслях.
Целями
МЭК является содействие международному сотрудничеству в решении вопросов
стандартизации в области электротехники, радиоэлектроники. Основной задачей
является разработка международных стандартов в соответствующей области.
Современные
методы менеджмента качества находят все большее применение на российских
предприятиях. Однако еще имеется отставание от зарубежных фирм.
Например,
сертификации продукции (независимое подтверждение соответствия продукции
установленным требованиям) в странах с рыночной экономикой внедрена в начале
80-х годов. В России закон "О сертификации продукции и услуг"
появился в 1992 г.
Первые
редакции международных стандартов ИСО серии 9000 вышли. К началу 90-х годов
сертификация систем качества за рубежом приняла массовый характер. В России
первый сертификат на систему качества выдан в 1994 г.
С
середины 90-х годов специалисты и практики за рубежом связывают современные
методы менеджмента качества с методологией TQM – всеобщим (всеохватывающим,
тотальным) менеджментом качества.
Сертификация
системы качества заключается в подтверждении ее соответствия определенным
требованиям, которые установил/ принял на себя изготовитель
(самостоятельно
или под воздействием внешних обстоятельств, например, по требованию заказчика).
Требования
к качеству определены Международной организацией по стандартизации (МОС или
ИСО) – англ. International Standard Organization – ISO. Требования к системам
качества содержатся в стандартах ИСО серии 9000:
ИСО
9000 "Общее руководство качеством и стандарты по обеспечению качества.
Руководящие указания по выбору и применению."
ИСО
9001 "Система качества. Модель для обеспечения качества при проектировании
и (или) разработке, производстве, монтаже и обслуживании".
ИСО
9002 "Система качества. Модель для обеспечения качества при производстве и
монтаже."
ИСО
9003 "Система качества.. Модель для обеспечения качества при окончательном
контроле и испытаниях."
ИСО
9004 "Общее руководство качеством и элементы системы качества. Руководящие
Указания".
Основу
Государственной системы стандартизации Российской Федерации (ГСС) составляют
пять стандартов:
ГОСТ
Р 1.0-92 "Государственная система стандартизации Российской Федерации.
Основные положения.
ГОСТ
Р 1.2-92 "Государственная система стандартизации Российской Федерации.
Порядок разработки государственных стандартов."
ГОСТ
Р 1.3-92 "Государственная система Российской Федерации. Порядок
согласования, утверждения и регистрации технических условий".
ГОСТ
Р 1.4-92 "Государственная система Российской Федерации. Стандарты
предприятия. Общие положения."
ГОСТ
Р 5 "Государственная система Российской Федерации. Общие требования к
построению, изложению, оформлению и содержанию стандартов."
В
России действуют три государственных стандарта качества:
ГОСТ
40.9001-88 "Система качества. Модель для обеспечения качества при
проектировании и (или) разработке, производстве, монтаже и обслуживании"
ГОСТ
40.9002-88 "Система качества. Модель для обеспечения качества при
производстве и монтаже."
ГОСТ
40.9003-88 "Система качества. Модель для обеспечения качества при
окончательном контроле и испытаниях".
В
Государственные стандарты Российской Федерации включены следующие положения:
Требования
к качеству продукции, работ и услуг, обеспечивающие безопасность для жизни,
здоровья и имущества, охрану окружающей среды, обязательные требования техники
безопасности и производственной санитарии.
Требования
совместимости и взаимозаменяемости продукции.
Методы
контроля требований к качеству продукции, работ и услуг, обеспечивающих их
безопасность для жизни, здоровья и имущества, охрану окружающей среды,
совместимость и взаимозаменяемость продукции.
Основные
потребительские и эксплуатационные свойства продукции, требования к упаковке,
маркировке, транспортировке и хранению, утилизации.
Положения,
обеспечивающие техническое единство при разработке, производстве, эксплуатации
продукции и оказании услуг, правила обеспечения качества продукции, сохранность
и рациональное использование всех видов ресурсов, термины, определения и другие
общетехнические правила и нормы.
Условия
подготовки систем качества к сертификации:
Наличие
точно установленных процедур.
Незначительное
число возвратов/отклонений.
Наличие
испытательных лабораторий.
Высокая
производительность.
Наличие
на предприятиях менеджеров по качеству.
Применение
статистических методов контроля процессов.
Наличие
документально оформленных процедур
Наличие
организационно оформленных систем качества
Наличие
отдела качества
Организация
контроля за продукцией
Точное
определение ответственности.
Организация
выявления дефектов.
Сертифицированная
система менеджмента качества является гарантией высокой стабильности и
устойчивости качества продукции, выпускаемой поставщиком.
Наличие
сертификата на систему качества является необходимым условием для сохранения
конкурентных преимуществ на рынке.
1.
Отсутствие проблем с управлением производством.
2.
Мало претензий от заказчиков.
Варианты
оценки заказчиком системы менеджмента качества поставщика:
Клиент
удовлетворен утверждением о наличии у поставщика системы качества.
Клиент
просит представить документы в подтверждении такого утверждения.
Клиент
хочет проверить и оценить сам систему качества поставщика.
Клиент
требует сертификации системы качества органом, которому он доверяет.
2. Система качества
Система
качества создается и внедряется как средство, обеспечивающее проведение
определенной политики и достижение поставленной цели.
Политика
предприятия в области качества формируется высшим руководством предприятия.
В
системе качества функционируют заказчик (потребитель) и поставщик
(изготовитель).
Система
качества, обеспечивающая политику предприятия и достижение цели в области
качества включает:
Маркетинг,
поиск и изучение рынка.
Проектирование
и /или разработка технических требований, разработка продукции.
Материально-техническое
снабжение.
Подготовка
и разработка технических процессов.
Производство.
Контроль,
проведение испытаний и обследований.
Упаковка
и хранение.
Реализация
и распределение
Монтаж
и эксплуатация.
Техническая
помощь в обслуживании.
Утилизация
после использования.
Первичным
является формирование и документальное оформление руководством фирмы
(предприятия) политики в области качества.
При
формировании политики могут быть следующие направления:
улучшение
экономического положения предприятия за счет улучшения качества;
расширение
или завоевание новых рынков сбыта;
достижение
технического уровня продукции, превышающего уровень ведущих предприятий и фирм;
снижение
дефектности и др.
Политика
в области качества должна быть изложена в специальном документе, оформлена в
виде программы.
Общая
система управления качеством может иметь подсистемы по отдельным видам
продукции или деятельности фирмы.
Деятельность
по гарантии качества включает:
планирование
и проектирование;
проектирование
технологических процессов и подготовка производства;
изготовление;
проверка
качества;
предотвращение
ухудшения качества;
реклама;
сбыт;
послепродажное
обслуживание;
получение
информации от потребителя;
проверка
системы гарантии качества.
Пример.
Агрегатный завод провел работу по внедрению системы управления качеством
продукции в связи с возрастающей конкуренцией на рынке сбыта. Работа проходила
по следующей схеме.
В
конце мая Генеральным директором подписано "Руководство по качеству
агрегатного завода". В документе содержатся основные положения по
управлению, обеспечению и улучшению качества продукции завода, касающиеся всех
производственных подразделений, служб маркетинга, проектирования и сбыта.
Создана
служба качества, координирующая все подразделения предприятия в области
качества. Служба качества разрабатывает методические рекомендации по качеству.
Функционально и административно эта служба подчиняется только Генеральному
директору.
Служба
качества построена в соответствии со стандартами ISO 9001.
Функциональная
подчиненность служб завода службе качества показана на рис. 6.1.
Рис.
1. Функциональная подчиненность служб завода службе качества
Таким
образом в функциональном подчинении службы качества находятся: служба
маркетинга, дирекция по развитию, дирекция по производству, дирекция по
экономике и финансам, дирекция по персоналу, отдел сбыта.
Руководство
предприятия не только контролирует соответствие качества международным
стандартам, но стремится к постоянному совершенствованию качества.
Специализированные
службы изучают потребности потребителей и их требования к качеству продукции.
Несоответствие
качества продукции определенным стандартам выявляется непосредственно в
процессе производства. Для этого контроль качества осуществляется по всей
технологической цепочке:
входной
контроль материалов и комплектующих изделий обеспечивается соответствующими
лабораториями;
в
производствах завода совмещаются методы активного контроля, встроенные в
технологическое оборудование, а также выборочный или полный контроль по
операциям и окончательный контроль готовых изделий;
лаборатории
оснащены специальными стендами для периодических испытаний изделий.
При
этом руководили предприятия отдают приоритет предупреждению отклонений качества
от стандартов, а не выявлению и устранению.
Весь
персонал вовлекается в работу по качеству. Для этого разработаны меры по
повышению мотивации работников, включающие гибкую систему поощрений и
взысканий, повышение квалификации.
Подготовка
кадров дифференцирована по категориям работников: руководящий персонал,
технический персонал работники службы качества, производственные рабочие.
Установлены
жесткие требования к руководящему персоналу, предполагающие дисциплинарные и
материальные меры за упущения в работе по качеству, за нежелание или неумение
выполнять свои обязанности.
Руководство
по качеству четко описывает функции каждого из подразделений завода и
обязанности руководителей подразделений, предусматривает конкретную
ответственность за невыполнение инструкций.
Отработана
система проверки качества при продаже продукции и покупке материалов и
комплектующих изделий. Для этого составляется договор.
При
продаже изделий предприятия службой качества, юридическим бюро,
финансово-экономическим отделом тщательно анализируются потребности предприятия
и пожелания клиента.
3. Структурирование функции качества
Каждое
изделие должно отражать основные функциональные и стимулирующие характеристики
качества. При этом речь идет о том качестве, которое определяется потребителем.
Нужно исходить из того, что покупатель вряд ли будет говорить о многих
показателях качества. Его интересует не больше двух-трех. Поэтому возникает
проблема инженерного воплощения качества в изделие.
Для
решения этой проблемы применяется метод Структурирования Функции Качества (СФК).
СФК
разработан в Японии в конце 60-х годов. Одной из первых его применила МИЦУБИСИ
на строительной верфи в Кобэ. В последствии этот метод получил широкое
распространение в корпорации Форда.
Структурирование
функции качества корпорация Форда определяет следующим образом:
"Средство
планирования для перевода характеристик качества, которые требует покупатель
(т.е. его желания, потребности, ожидания), в подходящие черты изделия.
Модель
СФК разработана доктором Ф Яукухара. Процесс СФК состоит из четырех фаз:
Планирование
разработки изделия.
Структурирование
проекта.
Планирование
технологического процесса.
Планирование
производства.
Фаза
1. Планирование разработки изделия
Требования
покупателя устанавливаются, осмысливаются и переводятся на язык инженерного
проектирования в термины, которые называются Косвенными Показателями Качества.
Наиболее важные их них используются для следующей фазы.
Фаза
2. Структурирование проекта
Рассматриваются
различные концепции разработки изделия, которое удовлетворяло бы требованиям
структурирования, и отбираются лучшая. Затем проект детализируется, при этом
особое внимание уделяется существенным характеристикам изделия, которые
вычислены по требованиям покупателей, структурированным в фазе 1. Детали
разработки изделия затем структурируются в фазе 3.
Фаза
3. Планирование технологического процесса
Рассматривается
технологический процесс разработки изделия. После отбора наиболее подходящих
концепций процесса, способного производить изделия с учетом тех характеристик,
которые уже структурированы, процесс детализируется в терминах существенных
операций и параметров. Эти характеристики затем структурируются в следующей
фазе.
На
этой заключительной фазе рассматриваются методы управления процессом. Эти
методы должны обеспечить производство изделий в соответствии с их важнейшими
характеристиками, определенными в фазе 2 и, следовательно, удовлетворяющими
требованиям покупателя.
Следовательно,
в течение всего 4-фазового процесса СФК для проекта изделия, разработки
процесса и его инженерного обеспечения создается изделие, удовлетворяющее
требованиям покупателя.
СФК
требует знаний и опыта из различных областей и может осуществляться коллективом
специалистов разных специальностей.
4. Текущее управление качеством
Текущее
управление качеством связано с контролем технологических процессов.
Определяются контрольные параметры технологического процесса. Выход за пределы
допустимого диапазона контрольных параметров может привести к выпуску
бракованной продукции. Отклонения параметров происходят под воздействием
случайных факторов. Для контроля качества технологических процессов применяются
статистические методы. Наиболее распространены:
Диаграмма
Парето. Используется для оценки частоты появления брака (отклонения в размерах
деталей, некачественное сырье, нарушение технологического процесса и др.).
Опыт
исследования частоты брака показывает, что малое число видов брака составляет
большую долю общего числа.
Суммарная
частота появления брака категории "прочие" не должна превышать 10%,
т. е. в прочие должны входить виды брака, суммарная доля которых не превышает
10%.
Схема
Исикавы – "рыбий скелет".
Отражает
логическую структуру отношений между элементами, этапами, работами,
составляющими изучаемый технологический процесс. Схема строится по принципу
четырех компонентов, влияющих на качество продукции: материал, машины, сырье,
люди. При ее построении факторы располагаются по значимости (ближе к цели
строится более значимый фактор). При этом каждый фактор проходи свой цикл
предварительной обработки и может быть разбит на более мелкие, на более
детализированные схемы. (см. схему).
Операции,
составляющие обработку показаны стрелками Каждая стрелка сопряжена с оценками
тех или иных показателей. Например, изделие нагревается возникает необходимость
в контроле температурного режима. "Рыбий скелет является инструментом
логического решения задачи.
Схема
может применяться при анализе качества изделий в целом, а также отдельных
этапов его изготовления.
Контрольные
листки, в которых содержатся сведения о технологических процессах.
Применяются
гистограммы, контрольные карты и др.
Контрольные
карты являются одним из основных инструментов в обширном арсенале
статистических методов контроля качества.
Одним
из основных инструментов в обширном арсенале статистических методов контроля
качества являются контрольные карты. Принято считать, что идея контрольной
карты принадлежит известному американскому статистику Уолтеру Л. Шухарту. Она
была высказана в 1924 г. и обстоятельно описана в 1931 г. Первоначально они
использовались для регистрации результатов измерений требуемых свойств
продукции. Выход параметра за границы поля допуска свидетельствовал о
необходимости остановки производства и проведении корректировки процесса в соответствии
со знаниями специалиста, управляющего производством.
Это
давало информацию о том, когда кто, на каком оборудовании получал брак в
прошлом.
Однако,
в этом случае решение о корректировке принималось тогда, когда брак уже был
получен. Поэтому важно было найти процедуру, которая бы накапливала информацию
не только для ретроспективного исследования, но и для использования при
принятии решений. Это предложение опубликовал американский статистик И. Пейдж в
1954 г. Карты, которые используются при принятии решений называются
кумулятивными.
Контрольная
карта (рис. 3.5) состоит из центральной линии, двух контрольных пределов (над и
под центральной линией) и значений характеристики (показателя качества),
нанесенных на карту для представления состояния процесса.
Рис.
5. Контрольная карта
В
определенные периоды времени отбирают (все подряд; выборочно; периодически из
непрерывного потока и т. д.) n изготовленных изделий и измеряют контролируемый
параметр.
Результаты
измерений наносят на контрольную карту, и в зависимости от этого значения
принимают решение о корректировке процесса или о продолжении процесса без
корректировок.
Сигналом
о возможной разналадке технологического процесса могут служить:
выход
точки за контрольные пределы (точка 6); (процесс вышел из-под контроля);
расположение
группы последовательных точек около одной контрольной границы, но не выход за
нее (11, 12, 13, 14), что свидетельствует о нарушении уровня настройки
оборудования;
сильное
рассеяние точек (15, 16, 17, 18, 19, 20) на контрольной карте относительно
средней линии, что свидетельствует о снижении точности технологического
процесса.
При
наличии сигнала о нарушении производственного процесса должна быть выявлена и
устранена причина нарушения.
Таким
образом, контрольные карты используются для выявления определенной причины, но
не случайной.
Под
определенной причиной следует понимать существование факторов, которые
допускают изучение. Разумеется, что таких факторов следует избегать.
Вариация
же, обусловленная случайными причинами необходима, она неизбежно встречается в
любом процессе, даже если технологическая операция проводится с использованием
стандартных методов и сырья. Исключение случайных причин вариации невозможно
технически или экономически нецелесообразно.
Часто
при определении факторов, влияющих на какой-либо результативный показатель,
характеризующий качество используют схемы Исикава.
Они
были предложены профессором Токийского университета Каору Исикава в 1953 г. при
анализе различных мнений инженеров. Иначе схему Исикава называют диаграммой
причин и результатов, диаграммой "рыбий скелет", деревом и т. д.
Она
состоит из показателя качества, характеризующего результат и факторных
показателей (рис. 3.6).
Построение
диаграмм включает следующие этапы:
выбор
результативного показателя, характеризующего качество изделия (процесса и т.
д.);
выбор
главных причин, влияющих на показатель качества. Их необходимо поместить в
прямоугольники ("большие кости");
выбор
вторичных причин ("средние кости"), влияющих на главные;
выбор
(описание) причин третичного порядка ("мелкие кости"), которые влияют
на вторичные;
ранжирование
факторов по их значимости и выделение наиболее важных.
Диаграммы
причин и результатов имеют универсальное применение. Так, они широко
применяются при выделении наиболее значимых факторов, влияющих, например, на
производительность труда.
Отмечается,
что число существенных дефектов незначительно и вызываются они, как правило,
небольшим количеством причин. Таким образом, выяснив причины появления
немногочисленных существенно важных дефектов, можно устранить почти все потери.
Рис.
6. Структура диаграммы причин и результатов
Эта
проблема может решаться с помощью диаграмм Парето.
Различают
два вида диаграмм Парето:
1.
По результатам деятельности. Они служат для выявления главной проблемы и
отражают нежелательные результаты деятельности (дефекты, отказы и т. д.);
2.
По причинам (факторам). Они отражают причины проблем, которые возникают в ходе
производства.
Рекомендуется
строить много диаграмм Парето, используя различные способы классификации как
результатов, так и причин приводящим к этим результатам. Лучшей следует считать
такую диаграмму, которая выявляет немногочисленные, существенно важные факторы,
что и является целью анализа Парето.
Построение
диаграмм Парето включает следующие этапы:
Выбор
вида диаграммы (по результатам деятельности или по причинам (факторам).
Классификация
результатов (причин). Разумеется, что любая классификация имеет элемент
условности, однако, большинство наблюдаемых единиц какой-либо совокупности не
должны попадать и строку "прочие".
Определение
метода и периода сбора данных.
Разработка
контрольного листка для регистрации данных с перечислением видов собираемой
информации. В нем необходимо предусмотреть свободное место для графической
регистрации данных.
Ранжирование
данных, полученных по каждому проверяемому признаку в порядке значимости.
Группу "прочие" следует приводить в последней строке вне зависимости
от того, насколько большим получилось число.
Построение
столбиковой диаграммы (рис. 3.7).
Рис.
3.7. Связь между видами дефектов и числом дефектных изделий
Значительный
интерес представляет построение диаграмм ПАРЕТО в сочетании с диаграммой причин
и следствий.
Выявление
главных факторов, влияющих на качество продукции позволяет увязать показатели
производственного качества с каким-либо показателем, характеризующим
потребительское качество.
Для
такой увязки возможно применение регрессионного анализа.
Например,
в результате специально организованных наблюдений за результатами носки обуви и
последующей статистической обработки полученных данных, было установлено, что
срок службы обуви (у), зависит от двух переменных: плотности материала подошвы
в г/см3 (х1) и предела прочности сцепления подошвы с верхом обуви в кг/см2
(х2). Вариация этих факторов на 84,6% объясняет вариацию результативного
признака (множественный коэффициент коррекции R = 0,92), а уравнение регрессии
имеет вид:
у
= 6,0 + 4,0 * х1 + 12 * х2
Таким
образом, уже в процессе производства зная характеристики факторов х1 и х2 можно
прогнозировать срок службы обуви. Улучшая вышеназванные параметры, можно
увеличить срок носки обуви. Исходя из необходимого срока службы обуви, можно
выбирать технологически допустимые и экономически оптимальные уровни признаков
производственного качества.
Наибольшее
практическое распространение имеет характеристика качества изучаемого процесса
путем оценки качества результата этого процесса В этом случае речь о контроле
качества изделий, деталей, получаемых на той или иной операции. Наибольшее
распространение имеют несплошные методы контроля, а наиболее эффективны те из
них, которые базируются на теории выборочного метода наблюдения.
Рассмотрим
пример.
На
электроламповом заводе цех производит электролампочки.
Для
проверки качеств ламп отбирают совокупность 25 штук и подвергают испытанию на
специальном стенде (меняется напряжение, стенд подвергается вибрации и т. д.).
Каждый час снимают показания о продолжительности горения ламп. Получены
следующие результаты:
6;
6; 4; 5; 7;
5;
7; 7; 6; 4;
5;
6; 8; 7; 5;
7;
6; 5; 6; 6.
Прежде
всего необходимо построить ряд распределения.
|
Продолжительность горения (х)
|
частота (f)
|
x*f
|
|
|
В % к итогу
|
Накопленный процент
|
|
4
|
2
|
8
|
4
|
8
|
8
|
8
|
|
5
|
6
|
30
|
6
|
6
|
24
|
32
|
|
6
|
9
|
54
|
0
|
0
|
36
|
68
|
|
7
|
6
|
42
|
6
|
6
|
24
|
92
|
|
8
|
2
|
16
|
4
|
8
|
8
|
100
|
|
|
25
|
150
|
20
|
28
|
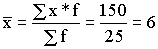
100
|
–
|
Затем
следует определить
1)
среднюю продолжительность горения ламп:
часов;
2)
Моду (вариант, который чаще всего встречается в статистическом ряду). Она равна
6;
3)
Медиану (значение, которое расположено в середине ряди. Это такое значение
ряда, которое делит его численность на две равные части). Медиана равна, также
6.
Построим
кривую распределения (полигон) (рис. 3.8).
Рис.
3.8. Распределение ламп по продолжительности горения
Определим
размах:
R
= Хmax – Хmin = 4 часа.
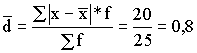
Он
характеризует пределы изменения варьирующего признака. Среднее абсолютное
отклонение:
часа.
Это
средняя мера отклонения каждого значения признака от средней.
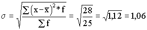
Среднее
квадратическое отклонение:
часа.
Рассчитаем
коэффициенты вариации:
1)
по размаху:
2)
по среднему абсолютному отклонению:
;
3)
по среднему квадратическому отношению:
.
С
точки зрения качества продукции, коэффициенты вариации должны быть
минимальными.
Так
как завод интересует не качество контрольных ламп, а всех ламп, возникает
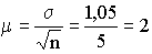
вопрос о расчете средней ошибки выборки:
часа,
)
и от числа от отобранных единицsкоторая
зависит от колеблемости признака ( (n).
=
DПредельная ошибка выборки
. Доверительное число t
показывает, что расхождение не превышаетmt*
кратную ему ошибку выборки. С вероятностью 0,954 можно утверждать, что разность
между выборочной и генеральной не превысит двух величин средней ошибки выборки,
то есть в 954 случаях ошибка репрезентативности не выйдет за
.m2
;
.
Таким
образом, с вероятностью 0,954 ожидается, что средняя продолжительность горения
будет не меньше, чем 5,6 часа и не больше, чем 6,4 часа. С точки зрения
качества продукции необходимо стремиться к уменьшению этих отклонений.
Обычно
при статистическом контроле качества допустимый уровень качества, который
определяется количеством изделий, прошедших контроль и имевших качество ниже
минимально приемлемого, колеблется от 0,5% до 1% изделий. Однако, для компаний,
которые стремятся выпускать продукцию только высшего качества этот уровень
может быть недостаточным. Например, "Toyota" стремится свести уровень
брака к нулю, имея в виду, что хотя и выпускаются миллионы автомобилей, но
каждый покупатель приобретает лишь один из них. Поэтому наряду со
статистическими методами контроля качества на фирме разработаны простые
средства контроля качества всех изготавливаемых деталей (TQM). Статистический
контроль качества в первую очередь применяется в отделениях фирмы, где
продукция изготавливается партиями. Например, в лоток высокоскоростного
автоматического процесса после обработки поступает 50 или 100 деталей, из
которых контроль проходят только первая и последняя. Если обе детали не имеют
дефектов, то все детали считаются хорошими. Однако, если последняя деталь
окажется бракованной, то будет найдена и первая дефектная деталь в партии, а
весь брак будет изъят. Для того, чтобы ни одна партия не избежала контроля,
пресс автоматически отключается после обработки очередной партии заготовок.
Применение выборочного статистического контроля имеет эффект всеобъемлющего
тогда, когда каждая производственная операция выполняется стабильно благодаря
тщательной отладке оборудования, использованию качественного сырья и т. д.
Большую
роль в обеспечении качества играет статистический приемочный контроль.
6.5.
Статистический приемочный контроль по альтернативному признаку. Стандарты
статистического приемочного контроля.
Основной
характеристикой партии изделий по альтернативному признаку является генеральная
доля дефектных изделий.
,
где
D
– число дефектных изделий в партии объемом N изделий.
В
практике статистического контроля генеральная доля q неизвестна и ее следует
оценить по результатам контроля случайной выборки объемом n изделий, из которых
m дефектных.
Под
планом статистического контроля понимают систему правил, указывающих методы
отбора изделий для проверки, и условия, при которых партию следует примять,
забраковать или продолжить контроль.
Различают
следующие виды планов статистического контроля партии продукции по
альтернативному признаку:
одноступенчатые
планы, согласно которым, если среди n случайно отобранных изделий число
дефектных m окажется не больше приемочного числа С (m
C), то партия принимается; в противном случае
партия бракуется;
двухступенчатые
планы, согласно которым, если среди n1 случайно отобранных изделий число
дефектных m1 окажется не больше приемочного числа C1 (m1
C1), то партия принимается; если m1
1, где d1 – браковочное
число, то партия бракуется. Если же C1
m1
d1, то принимается решение о взятии второй
выборки объемом n2. Тогда, если суммарное число изделий в двух выборках (m1 +
m2)
C2, то партия принимается,
в противном случае партия бракуется по данным двух выборок;
многоступенчатые
планы являются логическим продолжением двухступенчатых. Первоначально берется
партия объемом n1 и определяется число дефектных изделий m1.Если m1
C1, то партия принимается.
Если C1
m1
d1(D1
C1+1), то партия бракуется. Если C1
m1
d1, то принимается решение о взятии второй
выборки объемом n2. Пусть среди n1 + n2 имеется m2 дефектных. Тогда, если m2
c2, где c2 – второе
приемочное число, партия принимается; если m2
d2 (d2
c2 + 1), то партия бракуется. При c2
m2
d2 принимается решение о взятии третьей выборки.
Дальнейший контроль проводится по аналогичной схеме, за исключением последнего
k-того шага. На k-м шаге, если среди
проконтролированных изделий выборки оказалось mk
дефектных и mk
ck, то
партия принимается; если же m k
ck, то партия бракуется. В многоступенчатых
планах число шагов k принимается, что n1 =n2=...= nk;
последовательный
контроль, при котором решение о контролируемой партии принимается после оценки
качества выборок, общее число которых заранее не установлено и определяется в
процессе которая по результатам предыдущих выборок.
Одноступенчатые
планы проще в смысле организации контроля на производстве. Двухступенчатые,
многоступенчатые и последовательные планы контроля обеспечивают при том же
объеме выборки большую точность принимаемых решений, но они более сложны в
организационном плане.
Задача
выборочного приемочного контроля фактически сводится к статистической проверке
гипотезы о том, что доля дефектных изделий q в партии равна допустимой величине
qo, т. е. H0::q = q0.
Задача
правильного выбора плана статистического контроля состоит в том, чтобы сделать
ошибки первого и второго рода маловероятными. Напомним, что ошибки первого рода
связаны с возможностью ошибочно забраковать партию изделий; ошибки второго рода
связаны с возможностью ошибочно пропустить бракованную партию
Стандарты
статистического приемочного контроля
Для
успешного применения статистических методов контроля качества продукции большое
значение имеет наличие соответствующих руководств и стандартов, которые должны
быть доступны широкому кругу инженерно-технических работников. Стандарты на
статистический приемочный контроль обеспечивают возможность объективно
сравнивать уровни качества партий однотипной продукции как во времени, так и по
различным предприятиям.
Остановимся
на основных требованиях к стандартам по статистическому приемочному контролю.
Прежде
всего стандарт должен содержать достаточно большое число планов, имеющих
различные оперативные характеристики. Это важно, так как позволит выбирать
планы контроля с учетом особенностей производства и требований потребителя к
качеству продукции. Желательно, чтобы в стандарте были указаны различные типы
планов: одноступенчатые, двухступенчатые, многоступенчатые, планы
последовательного контроля и т. д.
Основными
элементами стандартов по приемочному контролю являются:
1.
Таблицы планов выборочного контроля, применяемые в условиях нормального хода
производства, а также планов для усиленного контроля в условиях разладок и для
облегчения контроля при достижении высокого качества.
2.
Правила выбора планов с учетом особенностей контроля.
3.Правила
перехода с нормального контроля на усиленный или облегченный и обратного
перехода при нормальном ходе производства.
4.Методы
вычисления последующих оценок показателей качества контролируемого процесса.
В
зависимости от гарантий, обеспечиваемых планами приемочного контроля, различают
следующие методы построения планов:
устанавливают
значения риска поставщика
и
риска потребителя
и
выдвигают требование, чтобы оперативная характеристика P(q) прошла
приблизительно через две точки: q0,
и qm,
, где q0 и qm – соответственно приемлемый и
браковочный уровни качества,, Этот план называют компромиссным, так как он
обеспечивает защиту интересов как потребителя, так и поставщика. При малых
значениях
и
объем выборки должен быть
большим;
выбирают
одну точку на кривой оперативной характеристики и принимают одно или несколько
дополнительных независимых условий.
Первая
система планов статистического приемочного контроля, нашедшая широкое
применение в промышленности, была разработана Доджем и Ролигом. Планы этой
системы предусматривают сплошной контроль изделий из забракованных партий и
замену дефектных изделий годными.
Во
многих странах получил распространение американский стандарт МИЛ-СТД-ЛО5Д.
Отечественный стандарт ГОСТ-18242-72 по построению близок к американскому и
содержит планы одноступенчатого и двухступенчатого приемочного контроля. В
основу стандарта положено понятие приемлемого уровня качества (ПРУК) q0,
которое рассматривается как максимально допустимая потребителем доля дефектных
изделий в партии, изготовленной при нормальном ходе производства. Вероятность
забраковать партию с долей
дефектных изделий, равной q0, для планов стандарта мала и уменьшается по мере
возрастания объема выборки. Для большинства планов
не превышает 0,05.
При
контроле изделий по нескольким признакам стандарт рекомендует классифицировать
дефекты на три класса: критические, значительные и малозначительные.
Выводы
Система
управления качеством представляет собой совокупность управленческих органов и
объектов управления, мероприятий, методов и средств, направленных на
установление, обеспечение и поддержание высокого уровня продукции.
Система
управления качеством должна удовлетворять требованиям стандартов ISO 9000.
Большую
роль в контроле качества играют статистические методы.
В
контроле качества с успехом применяются контрольные карты.
Диаграммы
Парето служат для выявления немногочисленных, существенно важных дефектов и
причин их возникновения.
Список литературы
Для
подготовки данной работы были использованы материалы с сайта http://www.cfin.ru/