Влияние хлебобулочных изделий с использованием ячменной, гречневой, овсяной муки и ячменных хлопьев на послепищевую гликемию у больных с сахарным диабетом типа 2
Влияние
хлебобулочных изделий с использованием ячменной, гречневой, овсяной муки и
ячменных хлопьев на послепищевую гликемию у больных с сахарным диабетом типа 2
Х.Х. Шарафетдинов, М.М. Гаппаров,
Б.С. Каганов, О.А. Плотникова, В.В. Зыкина, Л.А. Шлеленко, О.Е. Тюрина, Ю.В.
Работкин
НИИ питания РАМН, Москва
Оценена динамика послепищевой гликемии у больных
сахарным диабетом типа 2 при потреблении ими хлебобулочных изделий,
разработанных с использованием ячменной, гречневой, овсяной муки и ячменных
хлопьев. Установлено, что потребление хлебобулочных изделий, выпеченных с
использованием ячменной и гречневой муки, сопровождается менее выраженной
послепищевой гликемическойреакцией, чем при стандартной углеводной нагрузке в
случае употребления пшеничного хлеба. Большое повышение послепищевой гликемии
по сравнению с таковой при использовании пшеничного хлеба, содержащего
эквивалентное количество углеводов, отмечено при потреблении хлебобулочных
изделий с ячменными хлопьями.
Ключевые слова: хлебобулочные изделия с
ячменной, гречневой, овсяной мукой, ячменными хлопьями, послепищевая гликемия,
больные с сахарным диабетом типа 2
Сахарный диабет (СД) представляет серьезную
медико-социальную проблему, обусловленную значительной распространенностью
заболевания, неуклонным ростом числа больных, высокой частотой, тяжестью и
прогрессированием сосудистых осложнений. По данным Международной федерации
диабета [5], в настоящее время в мире насчитывается 246 млн больных СД в
возрасте 20-79 лет, из которых 85-95 млн составляют пациенты СД типа 2.
Предполагается, что к 2030 г. общее число больных СД увеличится до 3888 млн
человек [12].
Как известно, хроническая гипергликемия является
причиной развития и прогрессирования сосудистых осложнений, приводящих к ранней
инвалидизации и высокой летальности при СД типа 2. До последнего времени уровни
базальной гликемии и гликированного гемоглобина рассматривались в качестве
основных показателей компенсации имеющихся у больных СД типа 1 и 2 нарушений
углеводного обмена. Исследованиями последних лет установлено, что в достижении
оптимального гликемического контроля и снижении риска развития поздних
сосудистых осложнений важную роль играет послепищевая (постпрандиальная)
гликемия (ППГ) [1, 11], которая ассоциируется с повышенным риском развития
микроангиопатии, увеличением толщины внутренней и средней оболочек артерий
(прежде всего сонной), снижением миокардиального объема крови и скорости
миокардиального кровотока [7, 8, 10]. Наряду с этим в ряде исследований
продемонстрирована тесная взаимосвязь ППГ с развитием окислительного стресса,
воспаления и эндотелиальной дисфункции [1, 9].
С учетом ведущей роли ППГ в механизмах
инициирования и прогрессирования сосудистых осложнений у больных с СД типа 2,
большое значение придается использованию в их питании углеводсодержащих пищевых
продуктов с низким гликемическим индексом (ГИ) [2, 4, 6]. При этом на величину
ГИ существенно влияет не только количественный и качественный состав углеводов,
но и другие входящие в состав этих продуктов пищевые вещества (белок, жир,
пищевые волокна и др.), а также физико-химические свойства и способы
технологической обработки продуктов. Поскольку углеводсодержащие продукты могут
заметно различаться по величине и длительности послепищевой гликемической
реакции, для каждого конкретного пищевого продукта требуется определение ГИ.
Таблица 1. Клиническая характеристика больных СД
типа 2
|
Показатель
|
Средние
данные (М±т)
|
|
Возраст,
годы
|
58,5±2,9
|
|
Длительность
заболевания, годы
|
8,7±1,9
|
|
Масса
тела, кг
|
95,7±6,5
|
|
Индекс
массы тела, кг/м2
|
35,7±2,3
|
|
Артериальное
давление, мм рт. ст. систолическое
|
128,5±5,6
|
|
диастолическое
|
82,9±3,9
|
|
Гликемия,
ммоль/л венозная кровь
|
7,56±0,5
|
|
капиллярная
кровь
|
6,66±0,4
|
Государственный научно-исследовательский
институт хлебопекарной промышленности Россельхозакадемии (Москва) разработал
специализированные диабетические смеси «Вита» с использованием ячменной,
гречневой, овсяной муки и ячменных хлопьев для выпечки хлебобулочных изделий. В
рецептурный состав указанных хлебобулочных изделий входили: для изделий с
ячменной мукой - 70% пшеничной хлебопекарной муки I сорта и 30% ячменной муки
сортовой; для изделий с гречневой мукой - 30% пшеничной хлебопекарной муки I
сорта, 50% ржаной обдирной муки и 20% гречневой муки I сорта;
для изделий с овсяной мукой - 70% пшеничной муки
I сорта и 30% овсяной сортовой муки; для изделий с ячменными хлопьями - 70%
пшеничной хлебопекарной муки I сорта и 30% ячменных хлопьев. Перечисленные
диабетические изделия с ячменной, гречневой и овсяной мукой, а также с ячменными
хлопьями соответствуют требованиям ТУ 9110-462-05747152-07, 9113-46305747152-07
и требованиям СанПиН 2.3.2.1078-01 «Гигиенические требования к безопасности и
пищевой ценности пищевых продуктов».
С учетом вышесказанного целью настоящего
исследования явилась оценка послепищевой гликемической реакции у больных СД
типа 2 при потреблении ими диабетических хлебобулочных изделий «Вита»,
разработанных с использований ячменной, гречневой, овсяной муки и ячменных
хлопьев.
Материал и методы
Работа проведена с участием 20 больных СД типа 2
в возрасте 58,5±2,9 года; длительность заболевания составляла 8,7±1,9 года. У
всех больных имелось ожирение И! степени: индекс массы тела в среднем по группе
составлял 35,7±2,3 кг/м2.
На момент первичного обследования у всех больных
определяли стадию метаболической субкомпенсации: уровень базальной гликемии в
венозной крови в среднем по группе составил 7,56±0,5 ммоль/л, в капиллярной
крови - 6,66± 0,4 ммоль/л. В табл. 1 приведена клиническая характеристика
больных СД типа 2, участвующих в исследовании.
Все больные предварительно были проинформированы
о процедуре настоящего исследования и дали информированное согласие на участие
в нем.
У всех больных СД типа 2, участвующих в
исследовании, проведена оценка ППГ используемых ими хлебобулочных изделий,
выпеченных с добавлением ячменной, гречневой и овсяной муки, ячменных хлопьев.
Данные о химическом составе и энергетической ценности апробированных изделий
представлены в табл. 2.
диабетический смесь мука ячменный
Таблица 2. Химический состав и энергетическая
ценность пшеничного хлеба и хлебобулочных изделий, выпеченных с использованием
ячменной, гречневой, овсяной муки и ячменных хлопьев
|
Показатель
|
|
Содержание
в 100 г продукта
|
|
|
изделия
с добавлением ячменной муки
|
изделия
с добавлением гречневой муки
|
изделия
с добавлением овсяной муки
|
изделия
с добавлением ячменных хлопьев
|
Пшеничный
хлеб
|
|
Белок,
г
|
7,6
|
7,2
|
8,4
|
8,4
|
7,7
|
|
Жир,
г
|
2,2
|
2,5
|
2,7
|
2,4
|
3,0
|
|
Углеводы,
г
|
45,6
|
44,8
|
47,0
|
43,7
|
50,1
|
|
Пищевые
волокна, г
|
5,0
|
5,5
|
4,8
|
3,7
|
3,2
|
|
Витамины,
мг В1
|
0,19
|
0,2
|
0,3
|
0,16
|
|
В2
|
0,1
|
0,11
|
0,11
|
0,25
|
0,05
|
|
РР
|
1,8
|
1,36
|
1,8
|
1,57
|
1,6
|
|
Минеральные
вещества, мг железо
|
0,1
|
2,2
|
0,16
|
1,3
|
2,0
|
|
кальций
|
65,5
|
41,0
|
67,0
|
37,5
|
22,0
|
|
калий
|
140,0
|
230,8
|
148,0
|
125,4
|
131,0
|
|
Энергетическая
ценность, ккал
|
232,6
|
230,5
|
245,9
|
230,0
|
258,2
|
У каждого больного дважды (с интервалом 1 нед),
определяли уровень глюкозы в капиллярной крови натощак (после 14-часового
голодания) и через 30, 60, 120 и 180 мин после потребления указанных выше
диабетических хлебобулочных изделий в количестве, соответствующем 50 г
углеводов. В качестве стандартной углеводной нагрузки использовали пшеничный
хлеб (ПХ), содержащий 50 г углеводов. Выраженность гликемии определяли с
помощью гликометра One
Nobch® Ultra™.
У всех пациентов объем исследования был выполнен полностью, отказов от его
продолжения не было. В процессе исследования больные не принимали
сахароснижающие и другие лекарственные препараты.
Площади под гликемическими кривыми, полученными
в ходе исследования, рассчитывали по общепринятой методике с использованием
следующих формул:
[(А + В/2) х t]
+ [(В + С) х Т/2] + [(С + D)
х T/12]
если последняя точка гликемии (180 мин)
располагалась ниже базального уровня;
[(А + В/2) х t]
+ [(В + С) х Т/2] + (С2 х Т)/2 х (C
+ D)
если предпоследняя и последняя точки гликемии
(120 и 180 мин) располагались ниже базального уровня, где А, В, С, D
- прирост глюкозы крови, т.е. разница между ее базальным уровнем и содержанием
в изученные промежутки времени (t,
T).
На основании полученных данных рассчитывали ГИ
диабетических хлебобулочных изделий.
Полученные данные обрабатывали статистически на
ПЭВМ с использованием прикладных программ БРвв 11,5 для Windows. Результаты
представлены в виде средних величин и их стандартной ошибки (М±т).
Достоверность различий средних величин оценивали по критерию Стьюдента.
Результаты и обсуждение
До начала исследования была проведена дегустация
тестируемых хлебобулочных изделий с оценкой (по 5-балльной системе) их
органолептических качеств и вкусовых свойств. Оценивали внешний вид хлебобулочных
изделий, цвет, запах (аромат), вкус, консистенцию, наличие посторонних
включений; определяли среднюю дегустационную оценку (в баллах). В дегустации
приняли участие 15 человек. Результаты дегустации хлебобулочных изделий,
разработанных с добавлением ячменной, гречневой и овсяной муки, а также
ячменных хлопьев, представлены в табл. 3. Органолептическая оценка тестируемых
хлебобулочных изделий показала, что апробируемые сорта обладают хорошими
органолептическими качествами и вкусовыми свойствами, при этом каких-либо
признаков их непереносимости не отмечено. Наибольший балл получили
хлебобулочные изделия, разработанные с использованием гречневой муки.
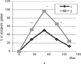
Результаты изучения динамики ППГ у больных СД
типа 2 после потребления тестируемых хлебобулочных изделий и ПХ (контроль)
представлены в табл. 4 и на рис. 1. Видно, что уровень глюкозы в крови
указанных пациентов через 30, 60 и 120 мин после потребления изделий,
выпеченных с использованием ячменной муки, повысился в меньшей степени (в
среднем соответственно на 29,1, 50,9 и 28,9% от исходного уровня), чем при
потреблении ПХ, создающую стандартную углеводную нагрузку (соответственно на
52,0, 96,9 и 66,2% от исходного уровня).
Таблица 3. Результаты дегустации тестируемых
хлебобулочных изделий
|
Хлебобулочные
изделия, выпеченные с добавлением
|
В
Сахарный диабет внешний вид
|
Цвет
|
Запах
(аромат)
|
Пористость
|
Вкус
|
Посторонние
включения
|
Средняя
дегустационная оценка
|
|
Оценка
по 5-балльной системе
|
|
Ячменной
муки
|
4,4±0,15
|
4,0±0,2
|
4,2±0,3
|
4,5±0,3
|
4,2±0,2
|
Нет
|
4,26±0,21
|
|
Гречневой
муки
|
4,7±0,15
|
4,6±0,3
|
4,5±0,3
|
4,8±0,2
|
Нет
|
4,54±0,24
|
|
Овсяной
муки
|
4,6±0,15
|
4,4±0,2
|
4,5±0,3
|
4,5±0,3
|
4,5±0,2
|
Нет
|
4,5±0,2
|
|
Ячменных
хлопьев
|
4,5±0,15
|
4,2±0,2
|
4,2±0,3
|
4,4±0,3
|
4,3±0,2
|
Нет
|
4,32±0,23
|
Таблица 4. Динамика ППГ у больных СД 2 типа при
потреблении ими пшеничного хлеба или хлебобулочных изделий, выпеченных с
использованием ячменной, гречневой, овсяной муки и ячменных хлопьев (ммоль/л)
|
Временной
интервал
|
Изделия,
с использованием ячменной муки
|
Изделия
с использованием гречневой муки
|
Изделия
с использованием овсяной муки
|
Изделия
с использованием ячменных хлопьев
|
|
ПХ
|
ПХ
|
ПХ
|
ПХ
|
|
Натощак
|
7,29±0,5
|
7,25±0,5
|
5,89±0,4
|
6,2±0,5
|
|
6,5±0,5
|
7,47±0,8
|
6,26±0,4
|
6,2±0,7
|
|
30
мин после завтрака
|
9,41
±0,9**
|
8,91±0,9**
|
8,45±0,5
|
10,4±1,3*
|
|
9,86±1,0
|
10,4±0,5
|
9,66±0,6
|
8,4±0,8
|
|
%
от исходного уровня
|
+29,1
|
+23,0
|
+43,5
|
+67,7
|
|
+52,0
|
+39,2
|
+54,3
|
+35,5
|
|
60
мин после завтрака
|
11,0±1,4*
|
9,92±1,0*
|
10,4±0,6
|
13,2±1,6*
|
|
12,8±1,0
|
11,7±1,7
|
11,5±0,96
|
10,8±1,1
|
|
%
от исходного уровня
|
+50,9
|
+36,8
|
+112,9
|
|
+96,9
|
+56,6
|
+83,7
|
+74,2
|
|
120
мин после завтрака
|
9,4±1,0*
|
9,50±0,9
|
8,96±0,9
|
11,3±1,9*
|
|
10,8±1,3
|
10,9±2,2
|
8,89±1,2
|
9,7±1,5
|
|
%
от исходного уровня
|
+28,9
|
+31,0
|
+52,2
|
+82,3
|
|
+66,2
|
+45,9
|
+42,0
|
+56,5
|
|
180
мин после завтрака
|
8,16±0,9
|
8,25±0,9
|
6,46±0,4
|
7,7±1,5
|
|
8,09±1,1
|
8,69±1,6
|
6,55±0,7
|
7,4±1,4
|
|
%
от исходного уровня
|
+11,9
|
+13,8
|
+9,7
|
+24,2
|
|
+24,5
|
+16,3
|
+4,6
|
+19,4
|
Повышение ППГ через 30 и 60 мин после
потребления хлебобулочных изделий с гречневой мукой (в среднем на 23,0 и 36,8%)
было также достоверно меньшим, чем при использовании ПХ (соответственно на 39,2
и 56,6%). Потребление хлебобулочных изделий с ячменными хлопьями сопровождалось
достоверно более высоким уровнем глюкозы в крови через 30, 60 и 120 мин
(повышение на 67,7, 112,9 и 82,3% по сравнению с исходным, в то время как при
стандартной углеводной нагрузке - на 35,5, 74,2 и 56,5%). При потреблении
хлебобулочных изделий с овсяной мукой статистически значимых изменений ППГ у
больных СД типа 2 по сравнению с показателем при стандартной углеводной
нагрузке не отмечено.
Таким образом, результаты проведенного
исследования свидетельствуют о том, что у больных СД типа 2 через 30-120 мин
после употребления ими диабетических хлебобулочных изделий, выпеченных с
использованием ячменной и гречневой муки, наблюдается меньшее повышение уровня
глюкозы в крови, чем после потребления ПХ и хлебобулочных изделий с ячменными
хлопьями; причем в последнем случае уровень ППГ у больных СД типа 2 значительно
выше, чем при использовании ПХ.



Рис. 1. Изменение послепищевой гликемии (в % от
исходного уровня) у больных СД 2 типа при потреблении хлебобулочных изделий с
ячменной, гречневой и овсяной мукой, ячменных хлопьев и пшеничного хлеба
Примечание. 1 - изделия, выпеченные с
использованием: а - ячменной муки, б - гречневой муки, в - овсяной муки, г -
ячменных хлопьев; 2 - пшеничный хлеб (контроль)
Менее выраженная послепищевая гликемическая
реакция при потреблении хлебобулочных изделий с ячменной и гречневой мукой,
по-видимому, связана с определенными различиями в их химическом составе по
сравнению с традиционным ПХ, в частности с меньшим содержании моно- и дисахаридов
и большим - влагоудерживающих пищевых волокон.
Вместе с тем различные физикохимические свойства
тестируемых хлебобулочных изделий и ПХ (рН хлеба, его пористость и т.д.) также
определяют разную степень доступности крахмала для гидролиза в полости тонкой
кишки, что может приводить к усилению или замедлению поступления глюкозы в
кровоток и влиять на высоту ППГ Гликемический эффект хлебобулочных изделий с
овсяной мукой существенно не отличался от послепищевой гликемической реакции
при потреблении традиционного ПХ, что, возможно, объясняется достаточно высоким
содержанием в смеси диабетической «Вита» пшеничной муки, характеризующейся
наиболее выраженным влиянием на уровень ППГ. Хлебобулочные изделия с ячменными
хлопьями не способствовали снижению ППГ у больных СД 2 типа, что, очевидно,
объясняется лучшей доступностью углеводов для переваривания в тонкой кишке при
использовании в составе диабетических смесей «Вита» ячменных хлопьев.
Рис. 2. Изменение площади под гликемической
кривой у больных СД 2 типа при потреблении хлебобулочных изделий с ячменной,
гречневой и овсяной мукой, ячменных хлопьев и пшеничного хлеба
Примечание. * - р<0,05 - изменение по
сравнению с контролем
Сравнительная оценка площадей под гликеми-
ческими кривыми у больных СД типа 2 после потребления тестируемых хлебобулочных
изделий и ПХ (контроль) представлена на рис. 2, из данных которого следует, что
площадь под гликеми- ческой кривой при потреблении хлебобулочных изделий,
выпеченных с использованием ячменной и гречневой муки, была достоверно меньше,
чем при потреблении ПХ (383,3±34,8 и 334,3± 30,1 ммоль/лхмин против 690,0±57,2
и 520,7± 54,0 ммоль/лхмин; р<0,05). При потреблении хлебобулочных изделий,
выпеченных с использованием ячменных хлопьев, отмечено повышение площади под
гликемической кривой по сравнению с таковой при потреблении ПХ (792,0±67,9
против 519,0±51,3 ммоль/лхмин; р<0,05). Площади под гликемической кривой при
потреблении хлебобулочных изделий, изготовленных с использованием овсяной муки
и ПХ, существенно не различались (соответственно 481,1±39,9 и 504,3± 52,0
ммоль/лхмин). ГИ изделий, выпеченных с использованием ячменной, гречневой и
овсяной муки, а также с ячменными хлопьями, составил соответственно 55,56;
64,3; 95,4 и 152,6%.
Таким образом, нами установлено, что при
потреблении хлебобулочных изделий, изготовленных с использованием ячменной и
гречневой муки, наблюдается менее выраженная послепищевая гликемическая
реакция, чем в случае употребления ПХ, создающей стандартную углеводную нагрузку.
При этом степень повышения ППГ у больных СД типа 2 через 30, 60 и 120 мин после
потребления хлебобулочных изделий, изготовленных с использованием ячменнойи
гречневой муки, была достоверно меньше, чем при потреблении ПХ, содержащего
эквивалентное количество углеводов. Следовательно, хлебобулочные изделия,
выпеченные с использованием ячменной и гречневой муки, обладают более низкими
значениями ГИ. Результаты настоящего исследования свидетельствуют о
целесообразности использования смеси «Вита» с ячменной и гречневой мукой для
производства хлебобулочных изделий диабетического назначения с целью снижения
послепищевой (пост- прандиальной) гликемии у больных СД типа 2 и уменьшения у
них риска развития сосудистых осложнений.
Литература
1. Аметов
А.С, Мельник А.В. // РМЖ. - 2007. - Т. 15. - № 27 (308). - С. 2053-2058.
2. Мещерякова
В.А., Шарафетдинов Х.Х., Плотникова О.А., и др. Диетическая терапия больных
сахарным диабетом 2 типа: Метод. рекомендации. - М.: Минздрав, 1999. - 50 с.
. Химический
состав пищевых продуктов. Кн. 2. Справочные таблицы содержания аминокислот,
жирных кислот, витаминов, макро- и микроэлементов, органических кислот и
углеводов / Под ред. И.М. Скурихина, М.Н. Вол- гарева. - М.: Агропромиздат,
1989. - 208 с.
4. Brand-Miller
J, Hayne S, Petocz P. et al.
// Diabetes Care. - 2003. - Vol. 26. - P. 2261-2267.
. Diabetes
Atlas. Executive Summary. 3rd ed. / International Diabetes Federation. -
Brussels: 2006. - 102 р.
6. Foster-Powell
K, Holt S.H.,
Brand-Miller J.C. // Am. J. Clin.
7. Nutr.
- 2002. - Vol. 76. - P. 5-56.
8. Hanefeld
M, Koehler C., Schaper F. et al. // Atherosclerosis. - 1999. - Vol. 144. P.
229-235.
9. Kawano
H., Motoyama T., Hirashima O. et al. // J. Am.
Coll. Cardiol. - 1999. - Vol. 34. - P. 146-154.
10. Monnier
L., Mas E., Ginet C. et al. // JAMA. - 2006. - Vol. 295. - P. 1681-1687.
. Scognamiglio
R., Negut C., De Kreutzenberg S.l/.
et al. // Circulation. - 2005. - Vol. 112. - P. 179-184.
. Shiraiwa
T., Kaneto H., Miyatsuka T. et al. // Biochem. Biophys. Res. Commun. - 2005. -
Vol. 336. - P. 339-345.