Анализ конструкции высокотемпературного черного тела и исследование методов абсолютной и относительной радиометрии

  • Вид работы:
    Дипломная (ВКР)
  • Предмет:
    Информатика, ВТ, телекоммуникации
  • Язык:
    Русский
    ,
    Формат файла:
    MS Word
    477,54 Кб
  • Опубликовано:
    2017-09-04
Вы можете узнать стоимость помощи в написании студенческой работы.
Помощь в написании работы, которую точно примут!

Анализ конструкции высокотемпературного черного тела и исследование методов абсолютной и относительной радиометрии

Введение

Высокотемпературные реперные точки обладают очень высокой стабильностью своих характеристик, что позволяет использовать их при создании и обеспечении устойчивого функционирования эталонных устройств в области радиометрии и бесконтактной термометрии. Результаты измерений, полученные с использованием уникальных свойств реперных точек, могут быть использованы в различных сферах научной и оборонной деятельности. Одной из таких сфер являются космические исследования. При помощи высокостабильных значений характеристик реперных точек проводятся процессы калибровки и градуировки бортовой оптико-электронной спектрорадиометрической аппаратуры космических летательных аппаратов для ДЗЗ.

Оптико-электронная аппаратура позволяет фиксировать, распознавать и классифицировать различные источники излучения. При этом есть возможность, с достаточно высокой точностью определить причину возникновения такого источника излучения и оценить его основные характеристики. Например, отличить естественную причину возникновения излучения от техногенной, и предпринять необходимые меры и корректирующие действия по осуществлению процессов дальнейшего наблюдения и контроля, а также предотвращения либо уменьшения вредного влияния на жизнедеятельность человека.

В основе методов исследования Земли и других планет солнечной системы содержатся измерения параметров и характеристик собственного и отраженного электромагнитного излучения исследуемых природных объектов.

Дистанционные исследования Земли с помощью аппаратуры, установленной на летательных аппаратах, открывают возможности решить совершенно новые задачи во многих сферах реального сектора экономики, начиная с сельского хозяйства и заканчивая геологическим мониторингом земли. Открываются новые возможности для поиска новых мест залегания природных ресурсов, обнаружения очагов лесных пожаров и предсказания возможных природных катаклизмов.

При помощи оптикоэлектронной аппаратуры, установленной на межпланетных станциях, была получена качественно новая и ценная научная информация при изучении ряда планет солнечной системы.

Несмотря на то, что аппаратура функционирует в условиях открытого космоса, важнейшие процессы, такие как: разработка, изготовление, калибровка, тестирование - протекают на Земле.

В данной работе рассмотрены процессы калибровки и температурной градуировки ИК-радиометров - приборов, предназначенных для измерения энергетической яркости источника по тепловому потоку в инфракрасном диапазоне.

При калибровке ИК радиометров используется такой эталонный источник излучения как многокамерное черное тело. Многокамерное черное тело предназначено для использования в качестве высокотемпературного нагревателя для высокотемпературных реперных точек на основе метало-углеродных эвтектических и перетектических соединений, что в свою очередь позволяет использовать его в качестве эталонного планковского излучателя для воспроизведения и передачи единиц Спектральной плотности энергетической яркости (СПЭЯ), Спектральной плотности энергетической освещенности (СПЭО), Силы света и др.

В настоящее время многокамерные модели черных тел используются в национальных метрологических институтах России (ФГУП «ВНИИМ», ФГУП «ВНИИОФИ»), а также Японии (NMIJ)- NMIJ (Япония) и ВНИИМ (Россия) для исследований высокотемпературных реперных точек.

ФГУП «ВНИИОФИ» использует черные тела для воспроизведения единицы СПЭЯ в спектральном диапазоне 300 - 2500 нм и последующей калибровке спектрорадиометров космического базирования. При этом если черное тело является нагревателем, то ячейка, наполненная эвтектической или перетектической смесью, является источником излучения. Наполнитель этих ячеек представляет собой смесь метало-углеродных соединений, называемых эвтектиками.

Сейчас, в международной температурной шкале зарегистрировано 18 реперных точек, каждой из которых соответствует свой металло-углеродный состав. Следует отметить, что в отличие от 1997 года, когда международная температурная шкала насчитывала 11 таких точек, и температура измерялась при фиксировании излучения, получавшимся при расплавлении чистых металлов, сейчас, чистые металлы заменяются смесями (сплавами). Подобное решение открыло возможность исследовать температуры переходных процессов, лежащие в более высоких температурных диапазонах.

При калибровке фильтрового инфракрасного радиометра, был использован государственный первичный эталон ГЭТ 179-2010.

В процессе выполнения междисциплинарной работы, были решены следующие задачи:

Разработка и внедрение методов и средств калибровки пирометра TSP-5, который заменил модель TSP-3. Было проведено исследование спектральной чувствительности TSP-5.

Применительно к эталонной установке для измерения СПЭЯ и СПЭО, были проведены внедрение и исследование характеристик белого лазера марки Fianum-40, что позволило расширить пределы исследуемого диапазона длин волн.

Были исследованы метрологические характеристики ячейки, заполненной эвтектикой Re-C. (Рений). Данные, полученные в ходе измерений, были предоставлены японским коллегам из NMIJ(National Metrological Institute of Japan).

Была проведена калибровка характеристик фильтрового ИК радиометра с использованием первичного государственного эталона ГЭТ213-2014.

В заключение приведены рекомендации по внедрению и дальнейшему использованию полученных результатов исследований и разработок.

1. Конструкция высокотемпературного черного тела

Конструкция в разрезе разработанного на основе излучателя из пиролитического графита ВЧТ ВВ3200pg приведена на рис. 1.

Рис. 1. Конструкция ВЧТ BB3200pg

Излучатель 16 представляет собой цилиндр, собранный из отдельных пирографитовых колец, с внешним и внутренним диаметрами 53 и 37 мм, соответственно. Излучающая полость образована стенками цилиндра, коническим дном 15 (угол при вершине равен 1200) и плоской выходной диафрагмой 17. За дном расположены два плоских тепловых экрана 14, предотвращающие потерю тепла в сторону заднего электрода 9 и выходного окна 1. С обеих сторон излучатель ограничен парами пирографитовых шайб 19 и 13 диаметром 63 мм и опорными графитовыми деталями 21 и 12. Задняя графитовая деталь 12 имеет конусную посадку и опирается на графитовый наконечник 11 заднего электрода 9. Графитовая деталь 21 опирается на фланец 24, который является передним электродом. Излучатель окружен теплоизоляционным экраном 26, состоящим из двух графитовых цилиндров, между которыми уложено большое количество слоев графитовой ткани.

Излучатель нагревается электрическим током, проходящим непосредственно по его телу. Клемма переднего электрода расположена на переднем фланце 24, клемма заднего электрода 29 - на латунном диске 4. Ток течет по пути: блок питания - клемма заднего электрода 29, - латунный диск 4, - гибкие медные ленты 2, - задний электрод 9, - наконечник заднего электрода 11, - задняя графитовая деталь 12, - излучатель 16,- передняя графитовая деталь 21, - передний фланец 24, - клемма переднего электрода.

При нагреве до температуры 3200К длина излучателя увеличивается примерно на 20 мм. Поэтому задний электрод 9 сделан подвижным и скользит по фторопластовым шайбам 23 и 28. Излучатель 16 удерживается между электродами давлением пружины 7. Пружина опирается одной стороной на латунный диск 4 и другой стороной на опорный диск 8, жестко соединенный с электродом 9. Вместе с колпаком 30, трубой 5 и латунным диском 4 вся система крепления заднего электрода представляет собой отдельную конструкцию, соединенную с задним фланцем 10.

Отверстие 23 в переднем фланце является выходным окном для излучения черного тела. Черное тело собрано в водоохлаждаемой камере, состоящей из цилиндрической части 25, переднего 24 и заднего 10 фланцев. Фланцы электрически изолированы от цилиндрической части с помощью диэлектрических втулок 27. Труба 5, латунный диск 4 и колпак 30 электрически изолированы друг от друга с помощью диэлектрических втулок и фторопластовых прокладок. Таким образом, цилиндрическая часть камеры 25, задний фланец 10, труба 5 и колпак 30 электрически изолированы от электродов.

Цилиндрическая часть камеры 25, фланцы 24 и 10, труба 5, латунный диск 4 и колпак 30 соединены между собой с помощью вакуумных уплотнений. Отверстие колпака 30 вакуумно закрыто кварцевым стеклом 1. Выходное отверстие 23 также может быть вакуумно закрыто кварцевым стеклом 22 с помощью накидной гайки 20. Таким образом, конструкция черного тела представляет собой единый вакуумный объем. Перед началом работы объем ВВ3200pg откачивается и затем заполняется аргоном. Штуцер подачи аргона находится на колпаке 30. Аргон заполняет всю конструкцию внутри колпака 30 и трубы 5 и через канал заднего электрода попадает внутрь камеры 25, заполняет ее и выходит из выходного отверстия 23.

Описанная конструкция позволяет легко заменять отдельные элементы излучателя и модифицировать его, приспосабливая под конкретные задачи.

BB3200pg является практически идеальным эталонным источником для калибровки вольфрамовых галогенных ламп по СПЭО. При температуре примерно 3100 - 3150 К в сочетании с диафрагмой диаметром примерно 8 мм это черное тело воспроизводит уровни СПЭО, сравнимые со СПЭО лампы мощностью 1 кВт в широком спектральном диапазоне.

BB3200pg участвовало в международных экспериментах, хорошо исследовано и входит в состав национальных эталонов единиц СПЭЯ и СПЭО Германии, Великобритании и Китая.

. Метрологические исследования эталонных пирографитовых высокотемпературных черных тел

Совершенствование первичного радиометрического эталона, направленное, в первую очередь, на повышение точности и достоверности воспроизведения и передачи размеров единиц спектральной плотности энергетической яркости (СПЭЯ) и энергетической освещенности (СПЭО) в диапазоне длин волн (0.2 - 2.5) мкм, потребовало разработки и создания во ВНИИОФИ нового класса высокотемпературных черных тел (ВЧТ) с излучающей полостью из пиролитического графита. В ходе этих работ необходимо было провести оценку неизотермичности и эффективной излучательной способности полости ВЧТ.

Прямое измерение распределения температуры вдоль излучающей полости ВЧТ является чрезвычайно сложной задачей. Косвенная информация о степени остаточной неизотермичности может быть получена посредством измерения распределения неоднородности яркости по апертуре или части излучающей поверхности полости, а также освещенности, создаваемой ВЧТ на некотором расстоянии от апертуры.

В настоящей статье приведены результаты экспериментальных исследований однородности распределения яркости и освещенности и определения эффективной излучательной способности полости базового пирографитового ВЧТ ВВ3200.

. Исследование однородности распределения яркости и освещенности

Измерения однородности распределения яркости о освещенности были выполнены во время совместных исследования специалистами ВНИИОФИ, Национальной Физической лаборатории (NPL, Великобритания) и Физико-техническим институтом (PTB, Германия).

На рис. 2 приведены распределения яркости по апертуре ВЧТ, выполненные с помощью разработанного в NPL яркостного фильтрового радиометра.

Рис. 2. Распределение яркости по апертуре ВЧТ

Узкополосным интерференционным фильтром на длине волны 800 нм. Однородность яркости апертуры улучшается с ростом температуры. Используя программное обеспечения STEEP-3 для расчета методом Монте-Карло эффективных излучательных способностей неизотермических полостей была проведена оценка неизотермичности визируемого части дна полости, которая показала, что максимальной отклонение от температуры в центре дна при рабочих температурах ВВ3200pg выше 2800 К не превышает 1.2 К, при температурах (2000 - 2500) К - увеличивается и достигает примерно 1.8 К, а при дальнейшем понижении температуры до 1370 К - вновь уменьшается до примерно 1.2 К.

На рис. 3 представлены распределения освещенности создаваемой ВЧТ ВВ3200pg с апертурой диаметром 15 мм в плоскости, перпендикулярной оси полости, на расстоянии 700 мм от апертуры, измеренные с помощью разработанного в PTB широкополосного фильтрового детектора в видимой области спектра.

Рис. 3. Распределение освещенности создаваемой ВЧТ BB3200pg

Идеальное абсолютное черное тело излучало бы как ламбертовский источник, и распределение освещенности, создаваемое им описывается формулой:

E(x)/E(o) = cos4(α) = (x/(x2+h2))4,

где E(o) и E(x) - освещенности в точке с координатой 0, лежащей на оси полсти, и в точке на расстоянии x от оси, α - угол между осью и линией, соединяющей точку x, h - расстояние от апертуры до плоскости, в которой исследуется распределение освещенности. Из рис. 3 видно, что в пределах области сканирования ±15 мм, находясь в рамках которой приемник регистрирует излучение, приходящее только со дна полости, распределение освещенности, создаваемое ВВ3200pg, отличается от ламбертовского меньше, чем на 0.1%. Расчет методом Монте-Карло распределений энергетической освещенности для модельных распределений температуры позволил оценить неизотермичность дна примерно в (1.5 - 2.0) К.

По результатам коллективного (ВНИИОФИ, NPL и PTB) исследования ВЧТ типа ВВ3200 был сделан вывод, что оба черных тела (BB3200pg и BB3200c) достаточно просты в эксплуатации и продемонстрировали приемлемую на уровне эталонных излучателей равнояркость: неравномерность СПЭО не превышала 0.2%, а СПЭЯ - 0.1% (для ВВ3200с несколько выше - 0.5%) и были рекомендованы к применению в первичных эталонах единиц СПЭЯ и СПЭО.

Рис. 4

Распределение СПЭЯ вдоль цилиндрической стенки излучающей полости ВВ3200pg было измерено в более позднем эксперименте во ВНИИОФИ без участия иностранных партнеров с помощью яркостного радиометра на длине волны 550 нм. Радиометр визировался на боковую стенку под углом к оси симметрии полости, и сканирование производилось путем перемещения радиометра параллельно этой оси. Измерения были выполнены при нескольких углах в пределах от 5 до 11 градусов. На рис. 4 представлено измеренное таким образом распределение СПЭЯ вдоль цилиндрической стенки полости на участке 150 мм начиная от местоположения дна и рассчитанная методом Монте-Карло соответствующая ему оценка распределения температуры.

На основании полученных в результате описанных выше экспериментов распределений температуры вдоль стенок излучающей полости ВВ3200pg методом Монте-Карло была оценена излучательная способность этой ВЧТ, которая в видимой области спектра составила 0.9995±0.0005.

Рис. 5 Распределение спектральной эффективности по длине волны ВЧТ BB3200pg

Измерение эффективной излучательной способности ВЧТ в УФ диапазоне спектра методом относительных измерений спектральных яркостей.

Невозможность точного измерения градиента температуры вдоль излучающей полости ВЧТ и отсутствие достаточно надежных данных об оптических свойствах углеродных материалов приводит к значительной неопределенности в расчетах эффективной излучательной способности εeff(λ) полости в УФ области спектра. На рис. 6 приведены эффективные излучательные способности черного тела ВВ3200pg, рассчитанные в спектральном диапазоне (200 - 800) нм для различных моделей распределения температуры и излучательной способности графита как материала дна излучающей полости, приведенных в табл. 1 и 2, соответственно. Из рис. 5 видно, что в длинноволновой части видимой области разброс значений εeff(λ) составляет всего ±0.05%, тогда как в УФ диапазоне достигает 2%.

Рис. 6. Эффективная излучательная способность ВЧТ

Таблица 1. Модели распределения температуры вдоль излучающей полости ВВ3200pg, используемые при расчетах εeff(λ), результаты которых приведены на рис. 6

Координата поверхности излучающей полости

Температура, К


Т1

Т2

Т3

Т4

0

2850

2850

2850

2850

0.08

2856

2853

2847

2844

0.12

2890

2860

2840

2830

0.67

2900

2870

2800

2750

0.96

2750

2700

2670

2600

1

2650

2600

2580

2500


Таблица 2. Модели спектральной зависимости излучательной способности графита, используемые при расчетах εeff(λ), результаты которых приведены на рис. 6

Длина волны, нм

Излучательная способность


Е1

Е2

Е3

Е4

220

0.74

0.85

0.75

0.8

230

0.75

0.843

0.76

0.8

250

0.79

0.84

0.77

0.8

270

0.80

0.838

0.782

0.8

300

0.805

0.83

0.78

0.8

500

0.8

0.82

0.79

0.8

800

0.8

0.81

0.80

0.8


Предлагаемый метод определения εeff(λ) основан на сличении спектральных яркостей исследуемого неизотермичного ВЧТ с соответствующими спектральными яркостями заведомо более изотермичного (в идеальном случае практически неизотермичного) черного тела, спектральные эффективные излучательные способности которого могут быть рассчитаны с достаточной точностью.

Пусть К1 и К2 - отношения значений СПЭЯ исследуемого ВЧТ к значениям СПЭЯ «эталонного» черного тела на длинах волн λ1 и λ2, где λ2 лежит в УФ; ε1(λ1,Т1) и ε1(λ2,Т1) - значения спектральной эффективной излучательной способности исследуемого ВЧТ, а ε2(λ1,Т2) и ε2(λ2,Т2) - значения спектральной эффективной излучательной способности «эталонного» черного тела на этих длинах волн; Т1 и Т2 - температуры исследуемого ВЧТ и «эталонного» черного тела. Тогда, в случае приближения Вина:


Если ε1(λ1,Т1), ε2(λ1,Т2) и ε2(λ2,Т2) могут быть вычислены расчетным путем, а К1 и К2 - экспериментально определены, то ε1(λ2,Т1) находится по формуле:

 (1)

При этом погрешность определения ε1(λ2,Т1) равна:


Если температуры Т1 и Т2 близки друг к другу, то значения К1, К2, ε1(λ1,Т1), ε2(λ1,Т2) и ε2(λ2,Т2) близки к единице и тогда d ε1(λ2,Т1) можно записать как:


С помощью описанного метода была измерена εeff(λ) черного тела ВВ3200pg. В качестве «эталонного» было использовано графитовое ВЧТ ВВ22Р со специально разработанным вкладышем (рис. 6). Помещенный в уже достаточно однородную полость пассивно нагреваемый только радиационным теплообменом вкладыш обладает более высокой степенью изотермичности, чем полость ВВ3200pg. Размеры полости вкладыша таковы: глубина и диаметр цилиндрической части - 100 и 11 мм, соответственно; диаметр выходного отверстия - 7 мм; угол при вершине конического дна - 120°.

На рис. 7 приведены значения εeff(λ) полости вкладыша, рассчитанные для различных моделей распределения температуры, приведенных в табл. 3. Как видно из рис. 6 εeff(λ) полости вкладыша в спектральном диапазоне (220-800) нм для всех рассматриваемых модельных распределений температуры лежит в пределах 0.9997 - 1.0000.

Рис. 7. Значения εeff(λ) полости вкладыша

Таблица 3. Модели распределения температуры вдоль излучающей вкладыша ВВ22р, используемые при расчетах εeff(λ), результаты которых приведены на рис. 6

Координата поверхности излучающей полости

Температура, К


Т1

Т2

Т3

Т4

0

2850

2850

2850

2850

0.06

2852

2855

2847

2855

0.50

2845

2860

2825

2865

0.98

2810

2820

2785

2830

1

2810

2820

2785

2830


Схема эксперимента была построена так, что оба ВЧТ располагались на оптическом столе напротив друг друга. Плоское поворотное зеркало, расположенное между ними, поочередно отбрасывало излучение одного из них на сферическое зеркало, фокусирующее изображение выходных диафрагм излучающих полостей ВЧТ на входную щель двойного дифракционного монохроматора. Монохроматизированное излучение принималось фотоэлектронным умножителем, сигнал которого поступал на усилитель фототока, затем на вольтметр, и регистрировался компьютером, где производилась обработка и регистрация данных. Температуры Т1 и Т2 ВЧТ были примерно равны (разница не превышала 2,5 К), и составляли ≈ 2850 К. Опорная длина волны λ1 равнялась 800 нм, длины волн λ2, на которых производились измерения εeff(λ), лежали в диапазоне (220 - 650) нм. Во время измерений ВЧТ находились в режиме стабилизации температуры.

Тем не менее, чтобы скомпенсировать возможный остаточный дрейф, измерения выполнялись сначала в последовательности от 800 нм к 220 нм, а затем в обратном направлении. В результате погрешность измерения отношений во всем спектральном диапазоне не превышала 0,1%.

На рис. 8 (нижняя кривая) приведен спектр полученных экспериментально отношений спектральных яркостей ВЧТ ВВ3200pg и «эталонного» ВЧТ ВВ22Р с вкладышем.

Рис. 8. Спектр отношений спектральных яркостей ВЧТ ВВ3200pg и «эталонного» ВЧТ ВВ22Р с вкладышем

С использованием этих экспериментальных данных, по формуле (1) были вычислены значения εeff(λ) ВВ3200pg. При этом на основании расчетов, результаты которых приведены на рис. 4 и 6, остальные параметры, входящие в формулу, были приняты равными: ε1(800нм,Т1) = 0.9996, ε2(800нм,Т2) = ε2(λ2,Т2) = 0.99975. Результаты вычислений представлены верхней кривой на рис. 7.

Составляющие погрешности оценивались как: dK800 = 0.05%, dK220 = 0.1%, dε1(800нм,Т1) = 0.03%, dε2(800нм,Т2) = 0.01%, dε2(220,Т2) = 0.03%. Результирующая погрешность определения спектральной эффективной излучательной способности ВВ3200pg составила от 0.08% на длине волны 650 нм до 0.3% на длине волны 220 нм.

С точностью полученной погрешности эффективную излучательную способность ВЧТ ВВ3200pg во всем спектральном диапазоне (220 - 800) нм можно принять равной 1.000. Эти результаты хорошо согласуются с данными работы, где методом прямого измерения рассеянного лазерного излучения было найдено, что для температур выше 2500 К нормальная спектральная излучательная способность ВВ3200pg в диапазоне длин волн (325 - 1064) нм превышает 0.9997.

Совершенствование “эталонного” ВЧТ (например, использование для этих целей черных тел на точках фазовых переходов плавления и затвердевания высокотемпературных эвтектик Ir-C, Re-C и Os-C) и системы регистрации сигналов в несколько раз увеличит точность метода. В таблице 4 приведены ожидаемые погрешности метода, и их составляющие.

Таблица 4. Погрешности определения спектральной эффективной излучательной способности методом сравнительных измерений спектральных яркостей черных тел.

λ2

dK1(800нм) %

dK2(λ2) %

dε1(800нм,Т1) %

dε2(800нм,Т2) %

dε2(λ2,Т2) %

dε1(λ2,Т1) %

650

0.005

0.01

0.03

0.005

0.005

0.04

500

0.005

0.015

0.03

0.005

0.005

0.05

400

0.005

0.02

0.03

0.005

0.006

0.07

300

0.005

0.03

0.03

0.005

0.008

0.09

250

0.005

0.05

0.03

0.005

0.01

0.11

220

0.005

0.08

0.03

0.005

0.015

0.14

200

0.005

0.1

0.03

0.005

0.02

0.15


Использование высокотемпературных фазовых переходов эвтектик для прецизионного воспроизведения радиометрических величин в видимой и УФ области спектра.

В эталонной радиометрии все возрастающую роль играют шкалы спектральных плотностей энергетической яркости (СПЭЯ) и энергетической освещенности (СПЭО) некогерентного оптического излучения в диапазоне длин волн (0,2 - 2,5) мкм. Особый интерес вызывает проблема повышения точности измерений этих величин в области воздушного ультрафиолета, поскольку широко используются источники и приемники УФ излучения в технологических процессах, медицине, биологии и пр.

В России создана и успешно функционирует система обеспечения единства измерений СПЭЯ и СПЭО, возглавляемая Государственным первичным радиометрическим эталоном, основу которого составляют высокотемпературные черные тела (ВЧТ).

Во Всероссийском НИИ оптико-физических измерений (ВНИИОФИ) в течение трех десятилетий разрабатывались и совершенствовались конструкции ВЧТ, представляющие собой заключенную в водоохлаждаемый корпус и окруженную теплоизолирующим слоем излучающую полость, сформированную внутренними стенками полого цилиндрического излучателя, выполненного из термостойкого материала и нагреваемого электрическим током, проходящим непосредственно по стенкам излучателя. Использование пиролитического графита в качестве материала излучателя позволило достичь рабочей температуры ВЧТ 3500 К.

Благодаря своим высоким метрологическим характеристикам ВЧТ ВНИИОФИ получили международное признание ведущих радиометрических центров (NIST, США; NPL, Великобритания; PTB, Германия). Однако по-прежнему одним из основных источников погрешностей эталонных ВЧТ является остаточная неизотермичность излучающей полости.

Вместе с тем черные тела, работающие при фиксированных температурах фазовых переходов плавления и затвердевания чистых металлов, продолжают широко использоваться в пирометрии и радиометрии. Например, черные тела при точках затвердевания алюминия, серебра, золота, меди реализуют наиболее высокотемпературные реперные точки международной температурной шкалы МТШ-90 и служат для экстраполяции шкалы в область более высоких температур.

Самая высокотемпературная из этих фиксированных точек (медь) имеет температуру 1357,77 К. Применение черных тел с такими низкими температурами в радиометрии видимой области весьма затруднено, а в УФ - практически нереально. Тем не менее, этот тип черных тел является одним из самых совершенных благодаря почти идеальной изотермичности излучающей полости в точке фазового перехода (а, следовательно, и высокой точности расчетов излучающей способности полости) и высокой воспроизводимости его температуры. Поэтому появление высокотемпературных фазовых переходов и разработка на их основе эталонных ВЧТ может сыграть большую роль в дальнейшем развитии прецизионной радиометрии в видимой и УФ областях спектра.

Выше точки меди были рекомендованы в качестве вторичных эталонов для реперов МТШ-90 точки затвердевания никеля (1728 К), палладия (1828,0 К) и платины (2041,4 К). Однако практическая реализация черных тел на этих точках встретила серьёзные трудности из-за того, что в качестве материала тигля, где плавятся металлы, используется графит, а согласно бинарным фазовым диаграммам даже небольшое количество углерода, попадающее из стенок тигля в металл, существенно снижает его температуру плавления. Использование тиглей из окиси алюминия позволяет избежать проблемы углеродного загрязнения, однако изготовление полости черного тела из этого материала невозможно из-за его чрезвычайно низкой излучательной способности.

Недавно был предложен альтернативный метод реализации высокотемпературных фиксированных точек, основанный на использовании в качестве материала фазового перехода не чистых металлов, а соединений металлов и углерода (эвтектик). При этом графитовый тигель не будет служить источником загрязнения, поскольку углерод сам входит в состав материала фиксированной точки. Кроме того, использование обладающего высокой излучательной способностью графита в качестве материала капсулы фиксированной точки сильно упрощает реализацию чернотельной полости. Исследования плато плавления и затвердевания шести фиксированных точек на основе эвтектик железо-углерод (Fe-C), никель-углерод (Ni-C), палладий-углерод (Pd-C), родий-углерод (Rh-C), платина-углерод (Pt-C) и рутений-углерод (Ru-C) с соответствующими температурами 1153, 1329, 1492, 1657, 1738, 1953 ºC, подтвердили большую перспективность нового метода, более ранних работах была высказана возможность создания более высокотемпературных фиксированных точек на базе иридий-углерод (Ir-C), рений-углерод (Re-C) и осмий-углерод (Os-C) с температурами плавления,, 2569 К, 2778 К и 3005 К, соответственно. Черные тела на столь высокотемпературных фазовых переходах в случае их реализации могли бы найти широкое применение в радиометрии как в видимой, так и в УФ областях спектра, и существенно повысить точности воспроизведения и передачи размеров единиц радиометрических величин.

Вышеизложенное явилось причиной постановки во ВНИИОФИ работ по исследованиям ВЧТ на точках фазовых переходов плавления/затвердевания эвтектик Ir-Cи Re-C и измерениям температур этих переходов.

Капсулы с эвтектиками были изготовлены в Национальной Исследовательской Лаборатории Метрологии (NRLM) Японии и предоставлены для исследования во ВНИИОФИ на основании двусторонней договоренности о сотрудничестве. Обе капсулы (одна с Ir-Cи одна с Re-C) идентичны по форме и размерам и изготовлены из сверхчистого графита 99.9995%. Внешне капсула представляет собой цилиндр длиной 64 мм и диаметром 24 мм. Внутреннее ее пространство, заполненное материалом эвтектики, имеет длину 50 мм и диаметр 16 мм. Эвтектика окружает цилиндрическую полость диаметром 4 мм и глубиной 43 мм с коническим дном (угол конуса - 120º). Эвтектика приготовлена путем смешивания порошкообразного металла с графитовой пудрой. Чистота иридия и рения составляла 99.9%, чистота графитовой пудры - 99.9995%. Процентное содержание (весовое) углерода в эвтектиках Ir-C и Re-C составляло 1.6% и 2.0%, соответственно. Порошкообразная смесь засыпалась в капсулу, и расплавлялась. После охлаждения капсула открывалась, и добавлялась новая порция порошка, после чего опять проводилась плавка, и так до тех пор, пока капсула полностью не заполнялась материалом эвтектики. Окончательно капсула Ir-Cсодержала 82.5 грамма эвтектики, а капсула Re-C- 80.8 г, соответственно.

Для нагрева капсул с эвтектиками было использовано разработанное во ВНИИОФИ ВЧТ ВВ3200pg с максимальной рабочей температурой 3200 К. Капсула с эвтектикой помещалась горизонтально внутри излучающей полости стандартного излучателя ВВ3200pg, собранного из пирографитовых колец (Рис. 2). Для этого был изготовлен специальный графитовый цилиндрический вкладыш, кольцеобразный выступ которого зажимался между кольцами излучателя, благодаря чему вкладыш фиксировался внутри полости в подвешенном состоянии. Капсула помещалась во внутреннее пространство вкладыша, и фиксировалась двумя перегородками - одной сплошной, а другой с отверстием достаточного диаметра, чтобы не ограничивать выходное отверстие излучающей полости капсулы.

Капсула с эвтектикой нагревалась путем радиационного обмена со стенками излучателя ВВ3200pg, который, в свою очередь, разогревался прямым пропусканием постоянного электрического тока. Температуре плавления Ir-Cсоответствовал ток примерно 420 А, а температуре плавления Re-C - примерно 470 А. Время нагрева от комнатной температуры до температуры плавления эвтектики составляло примерно 1.5 часа, время остывания - более 2 часов.

Измерения температуры и спектральной яркости проводились с помощью прецизионного яркостного пирометра TSP-2, устройство которого показано на рис. 3. Изображение объекта фокусируется на полевую диафрагму прямоугольной формы размером 0.6х0.8 мм2. Излучение, прошедшее сквозь диафрагму, попадает на приемную головку, состоящую из кремниевого фотодиода с интерференционным фильтром, собранными в едином термостатированном корпусе. Эффективная длина волны чувствительности головки - 650 нм; полуширина пропускания фильтра - примерно 20 нм; нестабильность температуры при термостатировании измерительной головки - 0,02 К. Выходной сигнал измерительной головки подается на усилитель фототока, встроенный в корпус пирометра. Оптический канал визирования позволяет точно наводить и фокусировать пирометр на объект. Высокое качество всех составляющих оптической и измерительной схемы пирометра обеспечивает его высокую долговременную стабильность и низкий уровень шумов. Пирометр был откалиброван в абсолютных единицах температуры с помощью четного тела при фиксированной температуре затвердевания меди 1357,77 К. Погрешность калибровки в диапазоне температур (2500 - 2800) К не превышала 2 К.

На рис. 4 показана схема установки, использованной при исследовании фазовых переходов эвтектик. Черное тело ВВ3200pg с капсулой, содержащей эвтектику, и пирометр TSP-2 располагались на едином оптическом столе друг против друга. Расстояние от входного зрачка пирометра до выходного отверстия излучающей полости исследуемой капсулы равнялось примерно 950 мм, так что наблюдаемое пирометром пятно составляло 1,3х1,9 мм2. ВВ3200pg питалось от блока питания, управляемого компьютером. Усиленный сигнал пирометра подавался на измерительный высокостабильный вольтметр и регистрировался вторым компьютером автоматически примерно каждые 1.5 с, при этом производилась первичная обработка результатов измерений. Полная информация об измерениях (время, сигнал пирометра, пересчитанная температура и др.) записывалась в файл. Для текущего анализа измерений программа строила на экране монитора график зависимости температуры от времени. Окончательная обработка результатов измерений проводилась на основании анализа записанных файлов.

Особое внимание было уделено исследованиям воспроизводимости СПЭЯ черных тел на основе Ir-Cи Re-C в точках плавления и затвердевания эвтектик и зависимости значений СПЭЯ в этих точках от скорости нагрева и охлаждения капсул с эвтектиками. При этом в качестве точки плавления рассматривалась точка минимума первой производной зависимости сигнала пирометра от времени. В таблице 5 приведены результаты измерений воспроизводимости СПЭЯ черных тел на точках плавления и затвердевания Ir-C и Re-C для всех проведенных серий измерений, в таблице 6 - вариации СПЭЯ этих черных тел при значительных изменениях скоростей нагрева и охлаждения.

Таблица 5. Воспроизводимость СПЭЯ (650 нм) черных тел на фазовых переходах Ir-C и Re-C

Тип фазового перехода

Число измерений

СКО, %

Диапазон скоростей нагрева/охлаждения, K/мин.

Ir-C плавление

10

0.006

4.7 - 6.9

Ir-C затвердевание

10

0.007

2 - 3

Re-C плавление

15

0.004

4 - 7


14

0.004

3 - 8

Re-C затвердевание

12

0.01

0.5 - 1.5


14

0.03

1.9 - 5.1


Таблица 6 Вариация СПЭЯ (650 нм) черных тел на фазовых переходах Ir-C и Re-C при больших изменениях скоростей нагрева и охлаждения

Тип фазового перехода

Число измерений

СКО, %

Диапазон скоростей нагрева/охлаждения, K/мин.

Ir-C плавление

7

0.02

1.2 - 9.0

Ir-C затвердевание

7

0.02

1.2 - 13.0

Re-C плавление

8

0.01

1.9 - 15.0

Re-C затвердевание

8

0.02

2 - 10


Невоспроизводимость черных тел Ir-C и Re-C оказалась рекордно малой: СКО всего лишь 0,004 - 0,01 %. И даже в большом диапазоне скоростей нагрева/охлаждения разброс составляет порядка 0,02%. Такие уровни воспроизводимости демонстрируют лишь черные тела на точках затвердевания чистых металлов. С использованием эвтектик температурный диапазон рекордных точностей, характерных для радиометрии черных тел на фазовых переходах, распространяется до уровня 2748 К, а в случае успешного исследования Os-C - и до 3000 К.

Приведенные здесь исследования были проведены только на одной паре чернотельных капсул Ir-C и Re-C. Если полученные значения воспроизводимости подтвердятся в экспериментах с другими, независимо изготовленными, черными телами на основе Ir-C и Re-C, а также, если значения температур плавления и затвердевания, удут повторяться с высокой точностью от образца к образцу, то их применения в радиометрии видимой и УФ областей спектра, а также в фотометрии и термометрии, будут очень широкими.

. Сопоставление методов абсолютной и относительной радиометрии

Проведенный анализ существующих в настоящее время абсолютных и относительных радиометрических методов измерения термодинамической температуры высокотемпературного черного тела позволяет сделать следующие выводы:

. В настоящее время практически реализованы и экспериментально исследованы только абсолютные радиометрические методы. Относительные методы остаются на стадии теоретических исследований и предварительных точностных оценок.

. Относительные методы нельзя считать достаточно исследованными и, следовательно, надежными при реализации температурной шкалы. По существующим на сегодняшний день точностным оценкам относительные радиометрические методы приближаются к абсолютным методам, но не превосходят их.

Таким образом, с учетом мирового опыта, предпочтение следует отдать абсолютным методам, основанным на измерении абсолютной спектральной чувствительности фильтровых радиометров. Учитывая опыт и технические возможности ФГУП «ВНИИОФИ», в качестве основного метода следует выбрать метод «освещенности». Кроме того, в качестве дополнительного следует провести экспериментальные исследования по реализации метода «яркости».остав экспериментального образца.

Состав стационарного комплекта экспериментального образца, в части оборудования, разрабатываемого соисполнителем ФГУП «ВНИИОФИ», приведен в таблице 7.

Таблица 7. Состав экспериментального образца

№ п/п

Наименование составной части

Кол-во

Назначение

1

Ампула реперной точки Co-C

1

Новая точка температурной шкалы в области высокой температуры

2

Ампула реперной точки Re-C

1

Новая точка температурной шкалы в области высокой температуры

3

Ампула реперной точки WC-C

1

Новая точка температурной шкалы в области высокой температуры


Составные части экспериментального образца, разрабатываемые ВНИИОФИ, обеспечат возможность воспроизведения фазовых переходов плавления эвтектики Co-C, эвтектики Re-C и перитектики WC-C. Температуры фазовых переходов, составляющие примерно 1597 К (Co-C), 2748 К (Re-C) и 3021 К (WC-C), будут уточняться на 2-м и 3-м этапах СЧ НИР при измерении термодинамической температуры методом первичной радиометрии с наивысшей точностью.

Эскизы прототипов ампул реперных точек, приведены на рисунке 9. Конструкция ампул реперных точек для экспериментального образца будет уточняться на 2-м этапе СЧ НИР по согласованию с заказчиком (ФГУП «ВНИИМ им. Д.И. Менделеева»). Основные характеристики ампул приведены в таблице 8.

Рисунок 9 - Эскиз прототипов ампул высокотемпературных реперных точек с характерными размерами

Таблица 8. Предварительные характеристики ампул высокотемпературных реперных точек, разрабатываемых для экспериментального образца

Внешний диаметр ампулы

24 мм

Длина ампулы

45 мм

Форма излучающей полости

Цилиндро-коническая

Диаметр выходного отверстия полости

Излучающая способность

0,9997

Толщина стенки полости

£2 мм

Тип ампулы

Гибридный


Составные части экспериментального образца, приведенные в таблице 9. будут разработаны и изготовлены во ФГУП «ВНИИОФИ», и переданы в ФГУП «ВНИИМ им. Д.И. Менделеева».

Для разработки и изготовления ампул из состава экспериментального образца будет использовано оборудование, перечисленное в таблице 9, которое принадлежит ФГУП «ВНИИОФИ» и не подлежит передаче во ФГУП «ВНИИМ им. Д.И. Менделеева».

Таблица 9. Оборудование ФГУП «ВНИИОФИ», которое будет использовано при изготовлении ампул из состава экспериментального образца

№ п/п

Наименование оборудования

1

Герметичный бокс

2

Печь высокотемпературная вертикальная

3

Пирометр TSP-1

4

Весы лабораторные


Для исследования ампул был изготовлен макет высокотемпературной печи и модернизирован радиационный термометр. При исследовании воспроизводимости реперных точек будет использовано оборудование, перечисленное в таблице 10.

Таблица 10. Оборудование ФГУП «ВНИИОФИ», которое будет использовано при исследовании воспроизводимости реперных точек

№ п/п

Наименование оборудования

1

Макет высокотемпературной печи

2

Радиационный термометр LP4 (или TSP-2)

3

Комплект юстировочных и столиков оптических столов


Для измерения термодинамической температуры фазовых переходов ампул Co-C, Re-C и WC-C будет использовано оборудование, принадлежащее ФГУП «ВНИИОФИ» и частично входящее в состав государственных первичных эталонов единиц радиометрических величин, или приобретенное не в рамках настоящего контракта. Перечень оборудования приведен в таблице 11.

Таблица 11. Оборудование ФГУП «ВНИИОФИ», которое было использовано при измерении термодинамической температуры ВТРТ

№ п/п

Наименование оборудования

1

Криогенный радиометр

2

Трэп-детектор

3

Спектральной компаратор для измерения спектральной чувствительности трэп-детектора посредством сличения с криогенным радиометром

4

Набор фильтровых радиометров

5

Установка из состава ГЭТ213-2014 для измерения чувстви-тельности к спектральной освещенности фильтровых радиометров путем сличения с трэп-детектором.

6

Источник излучения типа «белый лазер»

7

Высокотемпературная МЧТ, оптический стенд, платформа перемещения и измерительные приборы из состава ГЭТ 86-2010

8

Радиационный термометр (LP4 или TSP-2)


Криогенный радиометр. Система радиометра состоит из абсолютного криогенного радиометра и вакуумной камеры приемников излучения, в которой могут быть установлены до 5 приемников излучения.

5. Калибровка пирометра TSP-2 по световому потоку. Измерение спектральной чувствительности пирометра

Для выбора коэффициентов корректировки, пирометр TSP-2 был откалиброван по световому потоку на установке ASTRA с использованием монохроматора U-1000.

Спектральная чувствительность пирометра была измерена на длинах волн от 360 нм до 725 нм. Использовались дифракционные решетки с количеством штрихов 1500 и 800 соответственно.

Суть эксперимента заключалась в выявлении расхождений текущей спектральной чувствительности пирометра с результатами калибровки 2015 года и последующей выборки коэффициентов корректировки для занесения их в программу управления установкой, предназначенной для измерения СПЭЯ СПЭО.

Измерения проводились в течение нескольких дней, а волновой диапазон был разбит на две части.

От 560 нм до 725 нм - диапазон, при котором использовался первый тип решетки с количеством штрихов 1500 нм.

Для диапазона 360 нм - 725 нм использовалась дифракционная решетка с количеством штрихов 800 нм. Измеряемая величина длины волны (истинная) отличается от задаваемой монохроматору (приведенной) и рассчитывается посредством умножения истинной длины волны на соответствующие коэффициенты. В результате измерений был получен “колокол” на котором виден диапазон лучшей чувствительности, были получены корректировочные коэффициенты для пирометра.

. Исследование воспроизводимости реперной точки Ru-C

Проведены измерения яркостной температуры ячейки реперной точки Ru-C. Ячейка изготовлена в NMIJ (Япония) и передана японской стороной во ВНИИОФИ для проведения измерений. Ячейка содержит излучающую полость диаметром 3 мм, окруженную сплавом Ru-C, и служит для воспроизведения температуры плавления этого сплава, составляющей примерно 2227 К.

Для реализации фазового перехода плавления во ВНИИОФИ использована высокотемпературная печь типа BB3500YY, в которую помещалась ячейка. Измерения яркостной температуры проводилось методом сравнения с яркостной температурой другой ячейки, работающей при температуре фазового перехода затвердевания меди Cu (1357.77 К согласно МТШ-90). Ячейки сравнивались с помощью яркостного радиационного термометра (далее, пирометр) TSP-2. Конструкции обеих ячеек были идентичны, а условия их измерения максимально приближены друг к другу, а именно, обе ячейки нагревались в одной и той же печи, пирометр использовался на одном и тем же фокусной расстоянии, временной промежуток между измерениями ячеек был минимален. Все это позволило минимизировать неопределенности измерений.

Температура Ru-C определялась из соотношения:

,

Где:

 - относительная спектральная чувствительность пирометра,

 - рассчитанная по формуле Планка СПЭЯ четного тела при искомой температуре плавления Ru-C,

 - рассчитанная по формуле Планка СПЭЯ четного тела при температуре затвердевания меди Cu,

- излучательная способность полости медной ячейки с учетом влияния печи,

- сигнал пирометра при наблюдении ячейки Ru-C в точке перегиба плато плавления,

- сигнал пирометра при наблюдении плато затвердевания медной ячейки,

- поправочный коэффициент, связанный с нелинейностью пирометра,

- поправочный коэффициент, связанный с так называемым эффектом влияния размера источника (sizeofsourceeffect - SSE).

Для реализации метода было необходимо, прежде всего, измерить относительную спектральную чувствительность пирометра, что было сделано сравнением с эталонным приемником с использованием спектрального компаратора. Расхождение между несколькими независимыми измерениями позволило оценить неопределенность, связанную с измерением спектральной чувствительности, которая составила 0,17 К.

Излучательная способность оценена как 0,9998 со стандартной неопределенностью 0,00005 с помощью специального программного обеспечения STEEP-3, использующего метод Монте-Карло.

Сигналы и  были определены в результате измерения пирометром циклов фазовых переходов плавления и затвердевания ячеек Ru-Cи Cuсоответственно. Для вычислений по формуле были взяты средние значения, полученные по нескольким изменениям. Разброс между индивидуальными измерениями учтен как составляющая неопределенности.

Рисунок 10 - Относительная спектральная чувствительность пирометра TSP

Рисунок 11 - Измеренные пирометром TSP-2 циклы плавления-затвердевания Ru-C

Коэффициент связан, в основном, с несогласованностью пределов усиления пирометра. Он был измерен и составил 0,998685.

Коэффициентопределен в результате нескольких дополнительных измерений: 1) зависимости сигнала пирометра от размера наблюдаемего источника излучения (рисунок 12), 2) распределение наблюдаемой яркости печи от координаты в направлении перпендикулярном оси, измеренное в процессе плавления Ru-C, 3) аналогичное распределение яркости, измеренное во время плато затвердевания (рисунок 13). На основании сделанных измерений коэффициент был оценен как 0,9997 со стандартной неопределенностью 0,0002.

Рисунок 12 - Зависимость сигнала пирометра TSP-2 от размера диаметра наблюдаемого источника излучения

Рисунок 13 - Зависимость сигнала пирометра TSP-2 от размера диаметра наблюдаемого источника излучения

Подставив полученные в результате проведенных измерений значения в формула и проведя вычисления, была получена величина искомой яркостной температуры, которая составила 2226,85 К с расширенной неопределенностью 0,36 К.

Расчет температуры Ru-C.

Температура плавления Ru-C была рассчитана по следующей формуле:

,

 - спектральная чувствительность пирометраTSP 2.

 - Спектральное излучение высокотемпературного черного тела для ,

 - Спектральное излучение высокотемпературного черного тела для  = 1357.76 K

= 0.9998 - Излучательная способность ячейки Cu + печь,

- сигнал TSP-2 в точке плавления Ru-C. Среднее значение, полученное из результатов измерений за два дня.

- сигнал TSP-2 в точке кристаллизации Cu. Было взято среднее значение, полученное из результатов трех измерений.

= 0.998685 - TSP-2 коэффициент корректировки.

= 0.9997 - SSE корректировка.

Измерение температуры Ru-C.

Температура излучения (без учета излучательной способности).

T90(Ru-C)=2226.86K; U(k=2) = 0.32K

Температура с учетом излучательной способности ячейки Ru-C.

εRu-C= 0.9997(Ru-C, ε= 0.9997)=2226.86 K + 0.09 K = 2226.95 K; U(k=2) = 0.32 K.

εRu-C= 0.9998.(Ru-C, ε= 0.9998)=2226.86 K + 0.06 K = 2226.92 K; U(k=2) = 0.32 K.

Получилось добиться уменьшения погрешностей, по сравнению с измерениями 2014 года. Новые коэффициенты калибровки пирометра, внесенные в программу управления установкой, позволили снизить неопределенность почти на 0.1 единицы величины.

В процессе калибровки пирометра по световому потоку было выявлено незначительное отклонение от результатов 2014 года. Данная погрешность принято считать технической, и объясняется она тем, что оборудование со временем может “уходить” от первоначальной точки калибровки.

. Исследование реперной точки Re-C

В рамках исследования температуры высокотемпературных точек, основанного на измерении температуры переходных процессов эвтектических смесей МЕ-С, во ВНИИОФИ было проведено экспериментальное заполнение ячейки эвтектикой Re-C.

Этот эксперимент является значительным в силу того, что именно во ВИИОФИ было проведено первое за все время заполнение ячейки такой эвтектикой.

Было проведено заполнение двух ячеек. Ячейки различались между собой длиной излучающей полости, а соответственно и общими габаритами.

Было проведено заполнение двух типов ячеек. Длина излучающей полости большей ячейки было равным 68 мм. Конструкция данной ячейки представлена на рис. 14.

Ячейка была изготовлена в Японском государственном метрологическом институте и предоставлена ВНИИОФИ для проведения экспериментального заполнения. Работа выполнялась в рамках проекта по международным сличениям в которой ВНИИОФИ выступает пилотом.

Рисунок 14 - Конструкция ячейки VNIIOFI 22-BBK. D14-68

Ранее с такой большой ячейкой опыта работы не было. То есть данное заполнение проводилось, впервые за всю историю исследований высокотемпературных реперных точек.

Заполнение ячейки D14-68 проводилось методом ручного заполнения. Заранее вычисленное соотношение массы металла Рения вручную смешивалось с вычисленной методом пропорции, массой углерода. Полученная смесь засыпалась в ячейку, а сама ячейка устанавливалась в вертикальное высокотемпературное черное тело, где происходил процесс плавления. Выбор вертикального высокотемпературного черного тела обусловлен тем, что, при проведении данного процесса в горизонтальном ВЧТ, существовала значительная вероятность появления воздушных карманов в заполняемой ячейке. Выбор вертикального ВЧТ полностью не исключает, но значительно уменьшает вероятность возникновения воздушных пузырей.

Заполнение проводилось в несколько циклов. После первого цикла, в ячейке все же появились воздушные полости, что внесло свои коррективы в процесс заполнения и плавления во второй раз. Было засыпано меньшее количество порошка а температура печи поддерживалась на уровне 2475оС более 15 минут. В итоге, количество воздушных карманов удалось уменьшить.

Стоит упомянуть, что в итоге, заполнение оказалось неудачным. Дно ячейки было проплавлено и произошла утечка расплава Re-C из заполняемого объема.

Причины:

)        Масса засыпаемого порошка, ближе к завершению заполнения стала слишком велика, что могло повлечь за собой возникновение дефектов в заполняемом объеме.

)        Смесь, получаемая в результате процесса ручного смешивания не является гомогенной (однородной). Поскольку материал ячейки - пиролитический графит- смесь графита с углеродом, смесь Re-C, при начале процесса плавления выбирает небольшую часть углерода из стенок заполняемого объема ячейки в областях, где концентрация С в смеси эвтектики наименьшая.

В результате многократно повторяемого процесса засыпания-плавления, под конец заполнения днище ячейки, которое также теряло углерод в процессе заполнения, не выдержало и дало трещину.

Чтобы избежать повторения проблемы, при новом заполнении была взята ячейка с меньшей длиной излучающей полости, а также было решено проводить заполнение методом прокапывания.

Рисунок 15 - Сборочный чертеж ячейки VNIIOFI 22-BBK. D14-54

Для реализации данного метода был изготовлен плавильный тигель, в который засыпалась смесь Re-C. После засыпания, заполненный тигель накручивался на ячейку, после чего конструкция помещалась в ВЧТ.

Смесь плавилась внутри тигля, попутно стекая сквозь отверстие в днище, в заполняемы объем ячейки. Данный метод позволяет уменьшить количество выбираемого из стенок ячейки углерода, компенсировав его C из стенок тигля. То есть в сам заполняемый объем попадает уже гомогенный расплав, который равномерно распределяется по заполняемому объему.

Чтобы показать, как выглядит процесс заполнения на температурной шкале, на рис 16 представлен график температуры.

Рисунок 16 - График зависимости время/температура для ячейки Re-C

График охватывает процесс полностью. От начала плавления смеси, до момента ее кристаллизации. Весь процесс, без учета предварительного разогрева печи и выхода на температуру, близкую к температуре плавления, занимает около 35 - 40 минут.

Стоит обратить внимание на участок графика, где начинается процесс плавления.

Обычно, полка плавления выглядит плавной и имеет точку в которой ясно фиксируется выход температуры на уровень, при котором начинается плавление эвтектики. Но здесь мы видим явные скачки температуры, фиксируемой пирометром. Это связано с тем, что внутри тигля, на поверхность которого, сфокусирован пирометр, находится, помимо смеси, еще и расплав, полученный в результате предыдущего заполнения. Расплав, при плавлении, полностью не вытекает из тигля в ячейку. Остается малый слой на самом донышке тигля.

Рисунок 17 - Плавление, спекание смеси внутри тигля

Температурные колебания на графике вызваны тем, что, первоначально происходит вытекания оставшегося слоя расплава, под давлением порошка. Пирометр сфокусирован на поверхности смеси в тигле. Во время вытекания остаточного расплава, смесь локально проваливается, что приводит к изменению расстояния от измеряемой поверхности до пирометра.

Это выражается локальным провалом фокуса пирометра и приводит к колебаниям температуры, информацию о которой передает обратная связь. То есть, температура смеси остается неизменной, просто в области, на которую сфокусирован пирометр, появляются небольшие кратеры, которые и показываются на графике температуры.

Визуально, при наблюдении за процессом через окуляр пирометра, это выглядит как возникновения небольших черных областей. Эти области как раз и являются местами, в которых порошок оседает.

В процессе построения графиков и обсчета полученных данных получилось сформировать отчет, по проведенному эксперименту, результаты которого будут включены в итоговый отчет по предстоящим международным сличениям.

Заполнения прошло успешно, был получен равномерный слиток рения. Температура плавления, зафиксированная в температурной шкале была воспроизведена с точность до сотой градуса Цельсия. Ячейка никак не пострадала и само заполнение в целом можно считать успешным.

Был разработан специальный тигель для осуществления заполнения прокапыванием. Данный метод позволяет добиться наиболее гомогенного распределения расплава в полости ячейки и избежать появления воздушных карманов. Такой способ является наиболее длительным и связан с определенными рисками, как, например, невозможность контролировать процесс заполнения после включения высокотемпературного черного тела.

Экспериментальным путем был выявлен метод, наиболее подходящий для заполнения ячеек такого типа. По проделанной работе был составлен отчет, который был направлен в VNIIMJ (Японский государственный метрологический институт).

. Процесс предполетной калибровки многозональных сканирующих систем

Процесс предполетной калибровки МСС включает в себя абсолютную и относительную радиометрические калибровки, геометрическую калибровку и спектральную калибровку.

Абсолютная радиометрическая калибровка - это определение калибровочного коэффициента для калибруемого прибора путем сравнения с эталоном единицы физической величины, в данном случае - с эталоном единицы СПЭЯ.

Относительная радиометрическая калибровка - определение чувствительности калибруемого средства измерения к воздействию эталонного источника, размеры воспроизводимых единиц которого не используются в данном методе калибровки.

Геометрическая калибровка - выявление корреляции между физическими размерами объекта, наблюдаемого с помощью аппаратуры, подлежащей калибровке, и выходными данными этого прибора.

Спектральная калибровка - определение изменения радиометрической характеристики каждого спектрального канала по отношению к другому спектральному каналу калибруемого средства измерений, а также определение полосы пропускания канала и длины волны излучения, при которой его чувствительность максимальна.

В процессе предполетных калибровок осуществляются следующие процессы:

         измерение темнового тока всех каналов;

         измерение относительной спектральной характеристики всех каналов;

         установление эффективной спектральной полосы каждого канала;

         определение длины волны максимальной чувствительности канала;

         измерение коэффициента абсолютной радиометрической калибровки;

         определение эквивалентной шумовой яркости каждого канала в ультрафиолетовой, видимой и ближней инфракрасной областях спектра;

         определение эквивалентной шумовой разницы температур для каналов, работающих в средней и дальней инфракрасной областях спектра;

         измерение мгновенного угла поля зрения, полного угла поля зрения, линейности углов позиционирования и спектрального разрешения.

При радиометрической калибровке особенности оптических схем МСС делают невозможным непосредственное их сличение со вторичными эталонами, аттестованными по Государственному эталону. Для геометрического согласования оптических схем многозональных сканирующих радиометров и вторичных эталонов создаются специальные поверочные установки или так называемые градуировочные стенды. Комплекс требований, предъявляемых к градуировочным стендам и конкретной методике обусловлен тем, что градуировка МСС должна производиться по источнику с известным спектральным распределениям СПЭЯ и, кроме того, излучение источника должно заполнять, как и в эксплуатационных условиях, телесный угол поля зрения прибора.

В России наибольшее распространение получил метод градуировки МСС с использованием в качестве источника сплошного спектра неполной фотометрической сферы, СПЭЯ которой можной определить спектральным компарированием со вторичным эталоном единицы СПЭЯ.

Многоспектральные сканирующие системы обладают рядом специфических особенностей, требующих использования специальных приемов и устройств при калибровках.

Ниже рассмотрены несколько Российских установок, предназначенных для радиометрических калибровок.

Установка “Поиск” для радиометрической калибровки многозональных сканирующих систем.

Установка Поиск была создана для радиометрической калибровки в абсолютных энергетических единицах МСС <<Фрагмент>>, предназначенной для дистанционных измерений полей яркости излучения Земли.

Диффузным излучателем служит интегрирующая сфера диаметром 600 мм. Ее внутренняя поверхность покрыта сульфатом бария, облучается расположенными равномерно снаружи четырьмя галогенными лампами КГМ 12-100. Для обеспечения равномерности освещения в плоскости выходного отверстия интегрирующей сферы установлено опаловое стекло МС 13. Неравномерность распределения яркости не более 0,5 %.

Излучателем второго источника является ленточная стабилизированная светоизмерительная лампа СИ8-200У. Выходная щель монохроматора расположена в фокальной плоскости сферического зеркального коллиматора со световым диаметром 255 мм и фокусным расстоянием 800мм.

Эталонным источником служит светоизмерительная лампа СИ10-300У, помещенная в водоохлаждаемый светозащищенный корпус. Лампа калибруется по эталону единицы СПЭЯ.

Стабильность источников излучения контролируется двумя кремниевыми фотодетекторами, периодически вводимыми в оптический тракт установки.

Таблица 12. Основные составляющие погрешности установки “Поиск”

Источник погрешности

Значение погрешности

- невоспроизводимость установки длин волн на шкале монохроматора

± 0,3 нм

- неоднородность распределения энергетической яркости на выходе диффузного излучателя

0,5%

- угловая неоднородность распределения энергетической яркости диффузного излучателя

0,3% в пределах 5о

- нелинейность компаратора

0,3%

- нестабильность компаратора

0,4%

- невоспроизводимость относительной спектральной характеристики мнохроматического источника

1,5%

- невоспроизводимость относительной спектральной характеристики диффузного источника

1,5%

- невоспроизводимость абсолютной спектральной характеристики диффузного источника

1,5 %

- влияние рассеяния света

0,5% при длине волны 0,35 мкм.


Установка была введена в эксплуатацию в 1978 году и использовалась для калибровки МСС “Фрагмент”, многоспектральной камеры МКФ, самолетной сканирующей системы С-500 и др. аэрокосмической аппаратуры.

Установка Крона-С для калибровки авиационных и спутниковых спектрометров.

Установка Крона-С была разработана в НПО Планета совместно с ВНИИОФИ. Она использовалась для проведения калибровок авиационного спектрометра Аист, МСС типа ИСОХ-111 Болгарской АН и других подобных приборов.

Установка позволяет определять абсолютную спектральную и интегральную чувствительности по эталонному источнику излучения, а также проверять линейность характеристики преобразования спектрорадиометра в пределах динамического диапазона любого канала.

Установка состоит из:

монохроматический источник для определения относительной спектральной чувствительности градуируемых каналов радиометра;

широкоапертурного диффузного излучателя сплошного спектра для определения абсолютной спектральной чувствительности радиометров;

эталонного излучателя единицы СПЭЯ;

источника белого света для определения фотоэлектрической чувствительности градуируемых приборов;

компаратора потоков излучения источников;

источника питания систем контроля, регулирования, сбора и обработки данных.

Относительная спектральная чувствительность каналов градуируемого радиометра измеряется по его отклику на излучение монохроматического источника, имитирующего удаленный протяженный излучатель с известной относительной СПЭЯ.

Абсолютная спектральная чувствительность каналов в максимуме и интегральная чувствительность определяются расчетно по их откликам на излучение широкоапертурного диффузного источника с известной абсолютной СПЭЯ.

Линейность характеристики преобразования спектрорадиометра проверяется с использованием источника белого света. Этот источник позволяет регулировать интенсивность его излучения более чем на два порядка без изменений спектрального состава.

Исследования источников излучения установки Крона-С показали, что погрешность определения СПЭЯ источника монохроматического потока зависит от длины волны. В диапазоне (0,4-1,0) мкм, являющемся рабочим участком спектра для космических МСС, погрешность этого источника не превышает 5% при доверительной вероятности 0.95.

Описанные установки и методы, предназначены для определения метрологических характеристик и параметров многозональных сканирующих спектрорадиометров. Исследования проводятся в УФ видимой и ИК ближней областях спектра. Градуировка МСС в этих спектральных диапазонах производится по вторичным эталонным источникам излучения.

. Эталонные источники излучения для калибровки инфракрасных радиометров

Абсолютное черное тело (АЧТ) в теории, является идеальным источником сравнения при дистанционных измерениях характеристик теплового излучения исследуемых объектов и определения их энергетических параметров. При градуировке ИК радиометров собственного теплового излучения природных образований методом близко расположенного пространственно-протяженного источника излучения с меняющейся температурой в качестве источника излучения, используют калиброванную по эталонному образцу МЧТ с большой излучающей поверхностью.

Попытка заменить МЧТ полостью больших размеров с одним отверстием нецелесообразна. Конструкция обладает чрезвычайно громоздкими габаритами, большой энергозатратностью и трудностью поддержания равномерности нагрева стенок полости. Такой излучатель, так же, не может быть применен для бортовой калибровки ИК радиометра. В связи с вышеописанными причинами, при разработке МЧТ с большой излучающей поверхностью используется принцип многокамерности. Многокамерность - конструкция, в которой одну большую излучательную полость заменяют набором небольших полостей или ячеек.

К ММЧТ предъявляется множество требований, которые, в большой степени, определяют ее эксплуатационные характеристики. Основным требованием является возможность получения максимально близкого к единице коэффициента излучения и его равномерность по площади, достижение минимального градиента температуры по высоте элементов излучающей поверхности, небольшая масса модели, для использования ее в качестве бортового калибровочного излучателя.

Выбор формы ячеек зависит от технологичности их изготовления, так как отношение площади отверстия к площади всей поверхности, оказывающее немалое влияние на коэффициент излучения полости, одинаково для рассматриваемых форм ячеек в случае одинаковых углов при вершинах пирамид или конусов.

Формирование излучающей поверхности ярко выраженными полостями связано с возникновением перегородок между ними. Это конструктивное решение не позволяет устранить негативное влияние торцов перегородок, образованных при пересечении боковых поверхностей ячеек, на коэффициент излучения ММЧТ.

На фоне конструкции с ярко выраженными полостями гораздо выгоднее смотрится конструкция с неявно выраженными полостями. Излучающая поверхность такой ММЧТ сформирована путем нарезки повторяющейся структуры из конусовидных или пирамидальных “зубцов”. В следующем разделе будет рассмотрена конструкция излучающей полости, использующая пирамидальные элементы для формирования излучающей полости. В сравнении с конусовидными элементами, пирамидки более просты к изготовлению и не уступают аналогичному варианту в части обеспечения минимального градиента температуры по высоте элементов излучающей поверхности. Такая конструкция обладает меньшим весом, более высоким коэффициентом излучения, что определяет оптимальность ее использования при создании бортового калибровочного излучателя ММЧТ.

Оптимальная модель многокамерного черного тела.

Важным фактором, определяющим степень совершенства МЧТ, является равномерность распределения температуры вдоль излучающей полости.

При работе с неглубокими полостями, наиболее характерными и рациональными при осуществлении принципа многокамерности, неравномерное распределение температуры оказывает значительное влияние на воспроизводимость эталонной единицы. Иначе говоря, отклонение эффективной излучательной единицы от эталонной, приводит к возникновению погрешности более чем 1%. При этом мы не учитываем распределение температуры по боковой поверхности неглубоких полостей.

То есть - неизотермичность модели черного тела оказывает ощутимое влияние на воспроизводимость энергетических параметров излучения. Для уменьшения погрешности необходимо учитывать и по возможности уменьшать неравномерность распределения температуры. В результате, удалось улучшить технические характеристики калибровочных и градуировочных систем, излучателей. В конечном счете получается уменьшить погрешность при измерении энергетических параметров излучения природных образований, явлений.

Решающую роль для ММЧТ при появлении погрешностей при воспроизведении энергетических параметров излучения играет неравномерное распределение температуры на плоскостях конструктивных элементов поверхности излучения. При попытке решить эту проблему методом значительного усложнения конструкции многокамерной модели черного тела, основные изменения коснуться непосредственно излучателя, что, в свою очередь чревато увеличением габарит и веса конструкции. А это неприемлемо, особенно для конструкций калибровочных излучателей космических аппаратов. Данная модификация неизбежно повлечет за собой увеличение массы и размера калибровочного излучателя космического аппарата, что, при предполагаемых условиях эксплуатации недопустимо. Наиболее приемлимым решением является разработка конструкции излучателя с учетом неравномерности температуры, определяемой на основе расчета погрешностей.

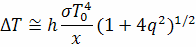
Для оценки неравномерности температуры предлагается использовать формулу:

высокотемпературный реперный пирометр калибровка

,

T0 - температура основания элемента излучающей поверхности;

x - коэффициент теплопроводности материала;

q - отношение высоты h элемента излучающей поверхности к шагу нарезки b.

Данное выражение позволяет рассчитать максимальную допустимую высоту элементов поверхности излучения в зависимости от допустимой разности температур  оснований и вершин этих элементов. Данное соотношение справедливо в том случае, если отдельно рассматривается поток теплового излучения единичного формообразующего элемента излучающей поверхности ММЧТ без учета процесса радиационного теплообмена с другими элементами. Весь процесс, условно эквивалентен процессу, в котором тепловое излучение со всей площади поверхности рассматриваемого элемента покидает МЧТ.

В действительности же, каждый формообразующий элемент излучающей поверхности участвует в процессе радиационного теплообмена. Этот процесс уменьшает температурный градиент и значительно снижает потери объемной плотности лучистой энергии внутри полости. Эффективная площадь излучающей поверхности ММЧТ соответствует площади проекции этой поверхности на плоскость выходной апертуры ММЧТ, которая, в свою очередь, опирается на вершины формообразующих элементов излучающей поверхности.

При более подробном анализе приходится учитывать тепловые потери, обусловленные излучением с площади боковой излучающей поверхности. Так же необходимо учитывать теплопотерю на сигнальных выводах контактных датчиков. Однако, в ММЧТ, за счет много большей площади излучающей полости относительно площади боковой образующей, площадь таких контактных датчиков достаточно мала, для того, чтобы считать потери на них несущественными.

Помимо процесса радиационного теплообмена, площади излучательной поверхности, необходимо учитывать следующие параметры, влияющие на корректность калибровки ИК радиометров:

         Конструктивные параметры элементов излучательной поверхности.

Элементы излучательной поверхности ММЧТ преимущественно имеют пирамидальную форму, что, в свою очередь приводит к необходимости выбору наиболее оптимального соотношения высоты “зубча” к площади его основания, а также, к выбору оптимального шага нарезки. При правильном выборе соотношения этих величин возможно добиться равномерного распределения температуры, а следовательно добиться понижения плотности фонового излучения.

         Фоновое излучение на выходном отверстии камеры.

При выборе оптимальных конструктивных параметров элементов излучательной поверхности, уровень фонового излучения понижается, что уменьшает погрешность при энергетической градуировке ИК радиометра. Объясняется это тем, что чрезмерно большое фоновое излучение, как в поле видимости радиометра так и за его пределами, вызывают соответствующий сигнал на выходе прибора, который необходимо учитывать при построении градуировочной характеристики. Решением данной проблемы является создание охлаждаемой вакуумной камеры градуировочной установки, которая будет наиболее приближенно имитировать условия работы прибора. То есть открытый космос. В качестве охлаждающего вещества используется жидкий азот. Такой способ охлаждения позволяет поддерживать температуру установки около 120К.

         Материал излучающей поверхности МЧТ.

Выбор материала, из которого будет изготавливаться излучающая полость МЧТ является не менее важным фактором. В качестве материала используется алюминиевый сплав с последующим чернящим анодным оксидированием. При использовании вышеописанного материал возможно считать, что в диапазоне исследуемых природных объектов Земли и бортовых температур от 220 до 320 К коэффициенты излучения окиси алюминия и коэффициенты теплопроводности алюминиевых сплавов могут считаться постоянными, ввиду их невысокого относительного изменения в указанном температурном диапазоне (3-5%). Также, оптимальный шаг нарезки элементов излучающей поверхности будет обратно пропорционален температуре в соотношении 3/2.

         Выбор температурной точки оптимизации конструктивных параметров формообразующих элементов излучающей поверхности ММЧТ.

Этот вопрос может быть решен на основе определения характера отклонения температурной зависимости, при постоянных значениях шага нарезки излучательных элементов.

Обобщая вышесказанное можно сказать, что, для улучшения метрологических характеристик градуировочных и калибровочных излучателей ИК радиометров при разработке ММЧТ необходимо учитывать и использовать возможность осуществления взаимной компенсации влияния таких источников погрешности, как неравномерность температуры по высоте формообразующих элементов излучающей поверхности и неточность обработки этих элементов. Выбор материала, способа охлаждения и температурной точки оптимизации, играют ключевую роль в создании оптимальной ММЧТ.

Заключение

Процесс калибровки бортовой аппаратуры включает в себя множество сторонних процессов, и задействует множество сторонних установок. Также необходимо большое количество предварительных экспериментов. Любая из установок, использующаяся в процессе калибровки и градуировки бортовой аппаратуры для дистанционного зондирования Земли из космоса, нуждается в обеспечении точности и единства воспроизводимых и измеряемых ими величин.

В работе было рассмотрено высокотемпературное черное тело, использующееся в качестве эталонного нагревателя для измерения температуры высокотемпературных реперных точек. В результате этих исследований выявляются показания температур, на основании которых изготавливаются эталонные излучатели, такие как МЧТ. ММЧТ, рассмотренная в работе - улучшенная, и приспособленная под определенные нужды МЧТ.

В результате выполнения курсовой работы магистра было:

Исследована конструкция высокотемпературного черного тела.

Было произведено исследование и сопоставление методов абсолютной и относительной радиометрии.

Было проведено принципиально новое, экспериментальное заполнение ячейки эвтектикой Re-C. Были выявлены и устранены возникшие при проведении эксперимента проблемы.

Были рассмотрены и изучены существующие Российские установки, предназначены для калибровки, градуировки бортовой космической аппаратуры.

Было проведено исследования путей создания оптимальной многокамерной модели черного тела.

Было разработано покрытие излучательной полости ММЧТ, позволявшее устранить ряд проблем с фоновым тепловым излучением и получить наиболее равномерный температурный градиент.

Результаты данной работы могут быть использованы при осуществлении наземной калибровки бортовых ИК радиометров, и другой бортовой космической аппаратуры. Также, данные технологии могут найти применение в медицинской промышленности, в сфере сельского хозяйства, а также в оборонной сфере.

Литература

1.       Эпштейн М.И Спектральные измерения в электровакуумной технике. - М.Энергия, 1970.

.        Якушенков Ю.Г. Основы теории и расчета оптико-электронных приборов. - М: Советское радио, 1971.

.        Сафронов Ю.П., Андрианов Ю.Г. Инфракрасная техника и космос. - М.: Советское радио, 1978.

.        Белозеров А.Ф., Омелаев А.И., Филиппов В.Л. Современные направления применения ИК радиометров и тепловизоров в научных исследованиях и технике. Оптический журнал 1998.

.        Богданов А.А. Основные разновидности радиометров, применяемых при дистанционных исследованиях Земли, и их градуировка в единицах.М.: Атомиздат, 1979.

.        Мусяков В.Л. Рождественский А.В. О терминологии в оптико-электронном приборостроении. ОМП, 1983.

.        Ганкевич А.В. Общие принципы построения космической системы для исследования земных ресурсов и контроля состояния окружающей среды. М.: Наука, 1976.

.        Аксютов Л.Н. Градуировка радиометров в абсолютных лучистых величинах. ОПМ, 1968.

.        Аксютов Л.Н. Способы градуировки радиометров. ОПМ, 1969.

.        Балабан В.С. Методика градуировки телерадиометров в абсолютных энергетических единицах. М.:ВНИИФТРИ, 1989.

.        Сагдеев Р.З. Космические исследования и изучение природных ресурсов Земли. М.: Наука 1976.

Похожие работы на - Анализ конструкции высокотемпературного черного тела и исследование методов абсолютной и относительной радиометрии

 

Не нашли материал для своей работы?
Поможем написать уникальную работу
Без плагиата!
Без нейросетей!