Совершенствование организации ремонта колесных пар в Брестском вагонном депо
Введение
Одним из важнейших звеньев транспортной системы
Республики Беларусь является железнодорожный транспорт, основные задачи
которого состоят в полном удовлетворении народного хозяйства и населения в
перевозках, увеличении пропускной и провозной способности железных дорог,
значительном повышении скоростей движения поездов, повышении производительности
труда, снижении себестоимости перевозок и уменьшении удельных капитальных
вложений. От чёткой и слаженной работы железнодорожного транспорта во многом зависит
эффективность работы промышленных и сельскохозяйственных предприятий. В связи с
этим повышаются требования к исследованиям, проектированию, постройке и
техническому содержанию вагонов.
Важная роль в выполнении поставленной задачи
развития железнодорожного транспорта принадлежит вагонному хозяйству и в первую
очередь вагоноремонтным предприятиям, призванным обеспечить постоянную
работоспособность вагонного парка.
Одной из главных стратегических задач, стоящих
перед вагонным хозяйством, является поддержание работоспособности парка
грузовых вагонов за счет повышения качества их ремонта. Наряду с этим
необходимо добиваться снижения эксплуатационных издержек на их содержание, так
как затраты на эксплуатацию и техническое обслуживание вагона на протяжении последней
четверти срока его службы в три раза больше, чем в предыдущий период.
В настоящее время вагоноремонтные предприятия
оснащаются высокопроизводительным оборудованием, поточно-комплексными линиями
по ремонту вагонов, станками автоматами и полуавтоматами по ремонту и
изготовлению деталей.
Производственный цикл вагоноремонтных
предприятий характеризуется большим разнообразием достаточно сложных процессов,
протекающих в различных организационных и технологических сочетаниях и формах.
Сложность процесса усугубляется тем, что в нём участвует значительная
номенклатура материалов, деталей и сборочных единиц, перемещающихся в разных
направлениях, и часть из них − на большие расстояния. В связи с этим на
вагоноремонтном предприятии предусматривается разветвленная система
технологических и транспортных потоков для перемещения каждого изделия после
разборки к месту ремонта, во время ремонта и при обработке с предыдущей
операции на последующую, при перемещении к месту сборки и в процессе сборочных
операций. Поэтому для повышения эффективности плановых ремонтов необходимо
использовать в производстве новейшие научные разработки в области
совершенствования технологии ремонта подвижного состава.
В дипломном проекте на основе анализа передового
опыта ремонта ходовых частей грузовых вагонов, существующей организации
ремонта, литературных источников разработан вариант совершенствования
организации ремонта колесных пар в Брестском вагонном депо на основе применения
комплекса средств механизации и автоматизации работ, позволяющих значительно
улучшить качество ремонта вагонных колесных пар и обеспечить их устойчивую
работу в условиях эксплуатации, улучшить условия и повысить производительность
труда.
1. Вопросы организации и технологии
ремонта грузовых вагонов в депо
.1 Система технического обслуживания
и ремонта грузовых вагонов в Республике Беларусь
По сложившейся терминологии (ГОСТ 18322-78) под
системой технического обслуживания и ремонта грузовых вагонов (СТОИРВ)
понимается совокупность взаимосвязанных технических средств, документации и
исполнителей, необходимых для поддержания и восстановления качества вагонов.
Потеря вагоном работоспособности и потребительских свойств в период
эксплуатации - неотвратимый процесс, протекающий в зависимости от выполненного
объёма работ, долговечности материалов, применённых в конструкции вагона, и
достигнутого уровня сохранности вагонов при производстве
погрузочно-разгрузочных и маневровых работ. Ни одна СТОИРВ, какой бы
эффективной она ни была, не в состоянии полностью сохранить последствия износа,
но призвана значительно сократить процесс физического износа вагона в течение
нормативного срока службы.
В настоящее время в Республике Беларусь
действует планово-предупредительная дифференцированная СТОИРВ, которая согласно
приказу №15Н от 14.01.2003 г. предусматривает следующие виды технического
обслуживания и ремонта грузовых вагонов:
- техническое обслуживание (ТО) вагонов,
находящихся в составах или транзитных поездах, а также порожних вагонов при
подготовке к перевозкам без отцепки их от состава или группы вагонов;
текущий ремонт (ТР-1) порожних вагонов при
комплексной подготовке к перевозкам с отцепкой от состава или группы вагонов и
подачей их на ремонтные пути;
текущий ремонт (ТР-2) груженых или порожних
вагонов с отцепкой их от транзитных и прибывших поездов или от сформированных
составов, выполняемый на путях текущего отцепочного ремонта;
деповской ремонт (ДР) вагонов для восстановления
их работоспособности с заменой или ремонтом отдельных узлов и деталей;
капитальный ремонт (КР) вагонов для
восстановления их ресурса;
капитальный ремонт с продлением срока службы
(КРП) для восстановления их ресурса и продления срока службы вагона.
Брестское вагонное депо специализируется на
ремонте крытых вагонов. В виду отсутствия на Белорусской железной дороге базы
для выполнения капитального ремонта, а также с позиции сохранности вагонного
парка, обеспечения безопасности движения и экономии капитальных затрат, депо
выполняет не только деповской, но и капитальный ремонт грузовых вагонов.
Сроки проведения плановых видов ремонта:
при достижении 110 тыс. км общего пробега, но не
позднее чем через 2 года эксплуатации после производства деповского ремонта
вагона;
при достижении 160 тыс. км общего пробега, но не
позднее чем через 2 года эксплуатации после производства капитального ремонта;
- через 210 тыс. км общего пробега, но не
позднее чем через 3 года эксплуатации после постройки и капитального ремонта с
продлением нормативного срока службы.
Разрешается проследование до станции выгрузки
груженых вагонов с пробегом, превысившим в пути следования установленный
межремонтный норматив, но не более чем на 10 тыс. км.
Работники ПТО вагонных депо для определения
сроков плановых видов ремонта руководствуются «Справочником моделей грузовых
вагонов», а также путем электронного запроса в ГВЦ МПС через автоматизированное
рабочее место (АРМ) ПТО или АРМ грузовой станции [1].
.2 Производственная структура
вагонного депо. Основные и вспомогательные производственные участки
Производственная структура депо − это
состав производственных участков и отделений, вспомогательных и обслуживающих
подразделений с указанием связей между ними.
Структура производственных участков вагонного
депо построена по предметному признаку. Предметная форма специализации участков
упрощает планирование и учет производства, повышает ответственность
исполнителей и руководителей за качество выпускаемой продукции. Поэтому
предъявляются высокие требования к квалификации руководителя участка, который
должен в совершенстве знать технологию производственного процесса, различных
операций обработки, ремонта и сборки выпускаемой продукции, конструкцию
используемого оборудования. Однако производственная структура депо не постоянна
и может изменяться с изменением производственной мощности предприятия, с
внедрением новых технологических процессов, в связи с переходом к ремонту
вагонов других типов.
К основным производственным участкам депо
относятся: вагоносборочный участок, колесно-роликовый участок, тележечный
участок, контрольный пункт автотормозов. К вспомогательным участкам депо
относятся: ремонтно-механический участок, механический участок,
деревообрабтывающий участок, рессорно-кузнечный участок, электросварочный
участок, участок ремонта электросилового оборудования, ремонтный участок.
Вагоносборочный участок
является основным в депо и служит для выполнения разборочных, ремонтных и
сборочных работ. По своей структуре он является тупиковым. В существующем
вагонном депо площадь сборочного участка зачастую используется для выполнения
окрасочных работ, а для ремонта тележек выделен специализированный участок. При
такой организации работ неэффективно используется производственная площадь и
сдерживается рост мощности вагонного депо.
Техническое состояние вагонного парка, четко
выраженная тенденция его старения предъявляют особые требования к техническому
состоянию ходовых частей вагона, это состояние является определяющим при
обосновании его ремонта по пробегу. Технология и организация работ должна
обеспечивать своевременную подачу отремонтированных тележек на сборочные
позиции вагоносборочного участка в соответствии с принятым методом ремонта
вагонов в депо. Технология выполнения трудоёмких ремонтных операций должна быть
рациональной, обеспечивать безусловное выполнение правил и технических условий
на ремонт, высокое качество восстановления ходовых частей вагонов.
В состав тележечного участка входят
несколько специализированных отделений: моечное, разборочное, осмотра и
сортировки деталей; ремонта и комплектовки рам тележки, надрессорных балок,
частей пружинного подвешивания и гасителей колебаний; ремонта, комплектовки и
испытания деталей тормоза; общей сборки, проверки и окраски тележек. Тележки
собираются по принципу взаимозаменяемости с использованием заранее
отремонтированных узлов и деталей. Проверенные после ремонта и окрашенные
тележки передают в вагоносборочный участок для подкатки под кузова
ремонтируемых вагонов или для пополнения оборотного технологического запаса.
Контрольный пункт автотормозов
(АКП) предназначен для ремонта автотормозного оборудования. Тормозное
оборудование в АКП ремонтируют в соответствии с типовым технологическим
процессом, технологическими картами, технологическими нормами и требованиями
инструкций.
Для ремонта тормозного оборудования
предусматривают специализированные ремонтные участки в контрольном пункте
автотормозов: ремонта воздухораспределителей и авторежимов, тормозной арматуры
и авторегуляторов рычажной передачи. Тормозные приборы последовательно
направляют по конвейеру на ремонтные позиции четырех отделений тормозного
участка: наружной очистки и обмывки; разборки и выборочной обмывки; ремонта
воздухораспределителей и авторежимов; испытания отремонтированных
подкомплектов, воздухораспределителей и авторежимов. На принятом после ремонта
и испытания тормозном приборе укрепляют бирку установленной формы и пломбу. На
бирке набивают дату ремонта и условный номер АКП. Номер отремонтированного
прибора и результаты испытаний регистрируют в журнале [2].
Ремонтно-механический участок (РМУ)
предназначен для выполнения работ по техническому обслуживанию и ремонту
оборудования депо. В нем производится также изготовление нестандартной
технологической оснастки.
Механический участок служит
для сортировки деталей вагонов по износу и видам ремонта, механической
обработки отремонтированных деталей, комплектовки сборочных единиц и узлов
вагонов, а также для обеспечения потребности в деталях для ремонта
производственного оборудования, изготовления механизмов и приспособлений,
частичного изготовления метизов и шплинтонов.
Деревообрабатывающий участок (ДОУ)
предназначен для изготовления несъёмного оборудования, дверей крытых вагонов,
сушки и обработки пиломатериалов для нужд депо и ПТО. Ремонт и сборка
деревянных вагонных конструкций проводится в отделении с применением различных
приспособлений, электро- и пневматического инструмента.
Склад пиломатериалов и отделение их обработки
располагается непосредственно у транспортных путей с соблюдением требований
противопожарной безопасности. Для сушки пиломатериалов применяются
высокотемпературные камеры. Пиломатериалы обрабатывают на позициях для
изготовления досок пола и обшивки вагонов.
Рессорно-кузнечный участок
предназначен для ремонта деталей вагонов способом пластической деформации,
восстановления пружин, а также изготовления новых для хозяйственных нужд.
Электросварочный участок предназначен
для восстановления изношенных деталей электронаплавкой и заварки трещин,
допускаемых по правилам выполнения сварочных работ при деповском ремонте
грузовых вагонов.
Участок ремонта электросилового
оборудования депо обеспечивает устойчивую и
бесперебойную работу оборудования, его техническое облуживание и ремонт.
Ремонтный участок,
который выполняет текущий ремонт зданий и сооружений, сетей водоснабжения и
канализации депо, снабжает его электроэнергией, теплом, водой и сжатым воздухом,
осуществляет ремонт и содержание в чистоте спецодежды.
Так же на территории вагонного депо
располагаются обслуживающие подразделения:
компрессорная;
склад;
гаражи;
котельная;
сушилка;
электроподстанция;
административные здания, санитарно-бытовое помещение,
комната отдыха, стоянка личного транспорта работников депо.
1.3 Организация текущего отцепочного
ремонта вагонов в депо
Текущий отцепочный ремонт грузовых вагонов
производится на ПТО Брест - Полесский, ПТО Брест-Северный, ПТО Брест-Восточный
и в цеху текущего ремонта вагонов в депо.
Текущий отцепочный ремонт грузовых вагонов на
станции Брест-Восточный организован на пути № 31.
Путь № 31 для текущего отцепочного ремонта
предназначен для устранения неисправностей, возникающих в процессе эксплуатации
вагонов в период между плановыми видами ремонта или в период от постройки
вагона до первого планового ремонта.
Устранению подлежат неисправности вагонов,
независимо от характера их возникновения: естественный износ деталей и узлов
вагонов, нарушения правил эксплуатации и производства погрузочно-разгрузочных и
маневровых работ, нарушения требований правил и руководств по изготовлению и
ремонту вагонов, их узлов и деталей.
Учет поступления вагонов в текущий отцепочный
ремонт и выпуска их из ремонта ведет оператор ПТО.
Количественный и профессиональный состав
ремонтных бригад, сменность работы установлена руководством вагонного депо в
соответствии с действующими нормативами и с учетом объемов поступления вагонов
в ремонт.
Ремонт вагонов осуществляется комплексной
бригадой, которой руководит осмотрщик-ремонтник вагонов (руководитель смены). В
состав бригады входит осмотрщик-ремонтник вагонов (руководитель смены), слесарь
по ремонту подвижного состава, электросварщик.
Текущий отцепочный ремонт вагонов производится в
основном по способу замены неисправных узлов и деталей новыми или заранее
отремонтированными. Устанавливаемые на вагоны детали, клеймение которых
предусмотрено нормативными документами, должны иметь соответствующие клейма.
Учет неисправностей, с которыми вагоны поступают
в текущий отцепочный ремонта, ведется в соответствии с «Классификатором
основных неисправностей грузовых вагонов». Контроль за соблюдением
технологического процесса и качества текущего отцепочного ремонта вагонов
должны осуществлять начальник ПТО, старший мастер, приемщики вагонов и другие
должностные лица, назначаемые приказом начальника вагонного депо.
Учет поступления вагонов в текущий отцепочный
ремонт и выпуска их из ремонта на ПТО ведет оператор ПТО.
На вагоны, подлежащие текущему отцепочному
ремонту, выдается уведомление формы ВУ-23. Все вагоны, требующие текущего
отцепочного ремонта, учитываются в наличии неисправных. Началом времени
нахождения вагонов в неисправном состоянии считается время обнаружения
неисправного вагона, зафиксированное в уведомление формы ВУ-23.
Номерной учет вагонов, поступивших в текущий
отцепочный ремонт, ведется в Книге номерного учета наличия и ремонта
неисправных вагонов грузового парка формы ВУ-31 оператором депо.
На все вагоны, отремонтированные текущим
отцепочным ремонтом, оформляются уведомления формы ВУ-36. Момент оформления
ВУ-36 считается временем снятия вагонов с учета наличия неисправных. Учет
простоя вагонов в текущем отцепочном ремонте ведется по Книге ВУ-31.
При поступлении грузовых вагонов в текущий
отцепочный ремонт определяется характер возникновения неисправностей.
Согласно приказа № 382 Н от 06.12.2005 года по
случаям поступления вагонов в текущий отцепочный ремонт до истечения 6 месяцев
после деповского и 1 года после капитального ремонта работник ПТО составляет
уведомление на ремонт формы ВУ-23, где указывается причина подачи вагонов в
текущий отцепочный ремонт согласно «Классификатору неисправностей грузовых
вагонов по причинам их возникновения».
При выявлении дефектов узлов и деталей вагонов,
возникших в период гарантийных сроков ответственности по причине низкого
качества изготовления, ремонта или модернизации составляются акты-рекламации
формы ВУ-41.
Вагоны, требующие текущего отцепочного ремонта,
на которые при техническом осмотре выписано уведомление ВУ-23 подаются на
специализированный путь для устранения неисправностей, обнаруженных в грузовых
вагонах. С целью устранения неисправностей, имеющихся у вагона, ремонтный путь
№ 31 оснащен:
воздухопроводом с воздухоразборными колонками и стационарным
краном машиниста;
2-х проводной электросварочной сетью;
стеллажами для запасных частей и материалов;
помещением для обогрева бригады;
дорожками с твердым покрытием.
Руководитель смены осматривает поступившие на
ремонтные пути вагоны с целью выявления всех имеющихся неисправностей и наносит
меловую разметку.
При текущем отцепочном ремонте выполняются
следующие работы: замена неисправных деталей и узлов автосцепного устройства;
крепление расцепного привода; замена тормозных колодок, башмаков, триангелей,
концевых кранов, труб воздухопроводной магистрали, деталей рычажной передачи;
вскрытие и ремонт тормозных цилиндров; регулирование рычажной передачи;
регулирование зазоров между скользунами; крепление воздушной магистрали; ремонт
металлической обшивы; постановка недостающих или замена поврежденных досок
обшивы; устранение уширения или сужения кузова; правка и ремонт сварных стоек,
раскосов, обвязок, кузова; постановка недостающих поперечных или продольных
бортов платформы и их запоров, досок пола и скоб для установки лесных стоек.
После окончания ремонта руководитель смены проверяет качество выполненного
ремонта, затирает меловую надпись и докладывает о выполнении оператору ПТО,
оформляющему ВУ-36.
Организация текущего отцепочного ремонта,
оперативное планирование ремонта вагонов возлагается на начальника ПТО.
Текущий отцепочный ремонт грузовых вагонов в
объеме ТР-1, ТР-2 производится на пути № 31. Режим работы с 8:00 до 20:00.
Ремонт вагонов осуществляется комплексной
бригадой, в составе:
осмотрщик-ремонтник вагонов (руководитель
смены);
слесарь по ремонту подвижного состава;
электросварщик.
Оператор ПТО по указанию руководителя смены
производит ограждение поступивших вагонов после завершения маневров.
С целью предотвращения ухода подвижного состава на
пути станции, закрепление вагонов производит руководитель смены путем установки
тормозных башмаков по одному с каждой стороны группы вагонов. На пути № 101 и
102 цеха текущего ремонта вагонов подаются вагоны, требующие ремонта с
подъемкой, а также замены и постановки узлов и деталей с использованием
козлового крана.
При выпуске вагонов из текущего отцепочного
ремонта за осмотр и обмер колесных пар несут ответственность
осмотрщик-ремонтник вагонов (руководитель смены), либо лица, замещающие их по
приказу и испытанные в знании Руководящего документа по ремонту и техническому
обслуживанию колесных пар с буксовыми узлами грузовых вагонов магистральных
железных дорог колеи 1520 (1524) мм, введенному в действие с 01.01.2013.
Текущий ремонт выполняется в соответствии с
требованиями РД-32 ЦВ-056-97 от 02.09.97 г.
Кузов груженого вагона ремонтировать при наличии
неисправностей, угрожающих безопасности движения, создающих угрозу жизни
обслуживающего персонала, приводящих к потере или порче груза.
Все неисправные узлы и детали кузова
ремонтировать или устанавливать новые (заранее отремонтированные) в том числе:
переходные площадки, косоуры, подножки, лестницы, поручни, дверные упоры,
ограждения верхних площадок и т.д.
Обрывы, трещины сварного шва соединения стойки с
обвязкой или балкой рамы, излом трещин стойки или раскоса ремонтировать в
соответствии с «Инструкцией по сварке и наплавке при ремонте грузовых вагонов и
контейнеров» ЦВ 201-98. Устанавливаемые усиливающие накладки должны быть
типовыми, в соответствии с «Типовым технологическим процессом ремонта сваркой
несущих элементов грузовых вагонов» ТК-47 ПКБ ЦВ.
Перекос или уширение кузова на одну сторону
более 50 мм - устранять. Вагоны, кузова которых не подлежат восстановлению -
исключать из инвентарного парка согласно «Инструкции по исключению грузовых
вагонов из инвентарного парка» РД РБ 09150.18.006-2002.
Кузова порожних специализированных вагонов на
пунктах текущего отцепочного ремонта ремонтировать в объеме, необходимом для их
дальнейшего безаварийного следования до места назначения.
1.4 Расчет параметров поточного
производства
На территории вагоносборочного участка (ВСУ)
проектируемого депо производится деповской ремонт крытых вагонов. Ремонт
осуществляется поточным методом.
На каждой позиции размещаются специализированные
рабочие бригады (одна или несколько), которые выполняют на всех проходящих
через данную позицию вагонах определенный объем (цикл) работ.
Специализированные бригады в процессе работы, как правило, остаются на своей
ремонтной позиции.
В соответствии с выполняемыми
работами каждая позиция оснащается специальными приспособлениями и
обрудованием, стеллажами, инструментом, запасными частями и материалами.
Преимущества выбранной технологии в организации
непрерывного ремонта вагонов, что сокращает время нахождения вагона в ремонте и
позволяет повысить качество ремонта.
Основными параметрами производственного процесса
являются такт выпуска вагонов из ремонта, ритм выпуска вагонов из ремонта,
фронт работы вагоносборочного участка, фронт работы поточной линии,
производственная мощность вагоносборочного участка.
Ритм выпуска вагонов из ремонта
показывает,
какое количество вагонов выпускается из ремонта за определенный период времени
(час, смену, сутки), и определяется по формуле [7]
(1.1)
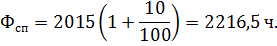
где
-
годовая программа ремонта вагонов,
;
−
действительный годовой фонд времени работы оборудования.
Действительный, или
эффективный, фонд времени работы оборудования определяется по формуле [2]
(1.2)
где
-
расчетное количество рабочих дней в году,
продолжительность
рабочей смены,
- число смен
работы,
- планируемый
коэффициент потерь времени на ремонт оборудования,
Фронт работы вагоносборочного участка
-
количество одновременно ремонтируемых вагонов данного типа, находящихся на
ремонтных путях участка.
Определяется по формуле
(1.3)
где 
- норма простоя вагона в ремонте,
ч.; для деповского ремонта крытого вагона
=16 ч.
Фронтом работы поточной линии
принято
называть количество одновременно ремонтируемых на линии вагонов:
(1.4)
где
− количество
позиций на одной поточной линии,
;
- количество
вагонов, ремонтируемых на одной позиции,
Количество поточных линий определяем по формуле
(1.5)
Такт выпуска вагонов из ремонта
−
интервал времени между соседними моментами перемещения вагонов по позициям
поточной линии:
(1.6)
Производственная
мощность вагоносборочного участка
−
максимально возможная программа на участках:
(1.7)
1.5 Разработка схемы генерального
плана депо
При проектировании депо для выполнения заданной
ремонтной программы предусматривают комплекс основных производственных зданий и
сооружений, вспомогательных и обслуживающих устройств, указываемых на схеме
генерального плана проектируемого вагоноремонтного предприятия. Под генеральным
планом следует понимать графическое изображение территории предприятия со всеми
размещёнными на ней сооружениями, зданиями и различными коммуникациями.
Планировка площади вагоноремонтного предприятия, расположение зданий,
сооружений и транспортных путей должны обеспечивать наиболее благоприятные
условия для производственного процесса и труда на предприятии, рациональное и
экономное использование земельных участков и наибольшую эффективность
капитальных вложений.
При расположении групп зданий и сооружений на
территории депо необходимо соблюдать следующие требования:
- здания административного, хозяйственного и
обслуживающего назначения располагают со стороны наибольших потоков людей,
здания и сооружения с производствами повышенной опасности - с подветренной
стороны к другим зданиям и сооружениям;
здания вспомогательных производств - как
правило, в зоне, соседней с зоной основного производства; деревообрабатывающие
участки (отделения) должны быть удалены от зоны расположения зданий и
сооружений с производствами повышенной пожарной опасности.
В генеральных планах должно быть предусмотрено:
- функциональное зонирование территории с учетом
технологических связей, санитарно-гигиенических и противопожарных требований,
грузооборота, видов транспорта;
- обеспечение рациональных производственных,
транспортных и инженерных связей;
- создание путей для пешеходного сообщения,
обеспечивающих безопасное и с наименьшими затратами времени движения трудящихся
между местами работы;
возможность расширения и реконструкции
предприятия.
Сооружения должны располагаться параллельно
разбивочным осям соседних зданий, сооружений и проездам, при этом разбивочные
оси сооружений следует увязать с унифицированной сеткой колонн, кратной 6 м.
Расстояние между зданиями и сооружениями
принимают наименьшим в соответствии с технологическими, транспортными и другими
условиями, но не менее устанавливаемых противопожарными и
санитарно-гигиеническими требованиями. Наименьшее расстояние между зданиями и
сооружениями применяют в зависимости от степени их огнестойкости.
Наименьшим расстоянием между зданиями и
сооружениями считается расстояние в свету между наружными стенами и
конструкциями (при наличии выступающих конструкций зданий и сооружений более
чем 1 м и выполненных из несгораемых материалов наименьшим расстоянием
считается расстояние между этими конструкциями). Для определения минимального
расстояния необходимо знать степень огнестойкости зданий и сооружений, а также
категорию производства.
Здания и сооружения следует располагать
относительно сторон света и преобладающего направления ветров с учетом
обеспечения наиболее благоприятного естественного освещения, проветривания
площадки предприятия, предотвращения снежных или песчаных заносов. Продольные
оси зданий и световых фонарей следует ориентировать в пределах от 45 до 110 0 к
меридиану.
Разбивочные оси противостоящих зданий,
располагаемых на площадке предприятия, как правило, должны совпадать. К зданиям
и сооружениям по всей длине должен быть обеспечен подъезд пожарных автомобилей
с двух сторон при ширине здания более 18 м. Необходимо максимально использовать
принцип блокировки производственных помещением, т.е. объединять в одном здании
несколько участков и отделений. Блокировка производственных помещений депо
позволяет сократить объём строительных работ, уменьшить протяженность
коммуникаций и сократить транспортные потоки в процессе производства.
Трансформаторные подстанции и распределительные пункты 6−10 кВт,
вентиляционные установки, насосные по перекачке негорючих жидкостей и газов,
промежуточные и расходные склады не рекомендуется проектировать отдельно
стоящими, их рекомендуется размещать в производственных зданиях.
Необходимо также предусмотреть сооружение
автомобильных и железных дорог и проездов на территории депо, тротуаров и
зелёных насаждений. Склады легковоспламеняющихся и горючих нефтепродуктов,
сгораемых материалов, а также ядовитых веществ не следует располагать по
отношению к производственным зданиям и сооружениям с наветренной стороны ветров
преобладающего направления. Установки с открытым источником огня или выбросом
искр нельзя размещать с наветренной стороны по отношению к открытым складам
легковоспламеняющихся или горючих нефтепродуктов и сгораемых материалов.
При размещении инженерных сетей применяют
современную прокладку сетей различного назначения в общих коллекторах,
траншеях, каналах или эстакадах. Прокладка трубопроводов внешней сети для
горючих газов и легковоспламеняющихся и горючих жидкостей под зданиями и сооружениями
не допускаются. С учетом требований гражданской обороны инженерные сети
(электро-, газо-, паро-, водоснабжения и пр.) должны предусматриваться
заглубленными. Сток промышленных вод должен осуществляться в действующую
канализационную систему с учетом необходимой предварительной очистки согласно
требованиям промышленной санитарии.
Вагоноремонтные предприятия с размерами площадок
более 5 га должны иметь не менее двух въездов. Ширина автомобильных въездов
должна составлять не менее 4,5 м, а ширина ворот для железнодорожных въездов не
менее 4,9 м. Расстояние от проходных пунктов до входов в бытовые помещения
основных участков не должно превышать 800 м. Примыкание вагонного депо к
станционным путям делают двухсторонним.
Взаимное расположение зданий и сооружений депо
должно обеспечивать кратчайшие прямолинейные пути для ремонтируемых вагонов,
запасных частей и материалов без обратных и встречных движений. Участки,
отделения, связанные с технологическим процессом обработки и ремонта вагонных
деталей, размещают рядом друг с другом. Помещения, в которых предусматривается
выполнение горячих работ, объединяют в одну общую группу с отделением их от
остальных устройств противопожарными преградами. К противопожарным преградам
относятся несгораемые перекрытия и противопожарные стены (брандмауэры).
Тележечно-колесный и деревообрабатывающий участки размещают с торцовых сторон
здания для удобства подачи тележек, колёсных пар и лесоматериалов.
Условные обозначения на схеме генерального плана
грузового вагонного депо следует наносить согласно инструкции о составе и
оформлении строительных чертежей зданий и сооружений [2].
2. Колесно-роликовый участок
.1 Назначение и производственная
структура колесно-роликового участка
Колесно-роликовый участок (КРУ) относится к
основным производственным участкам депо и обеспечивает колесными парами
вагоносборочный участок и пункт технического обслуживания вагонов
Брест-Полесский.
Потребность вагоносборочного участка в колесных
парах зависит от плана деповского и капитального ремонта вагонов.
В состав КРУ входят:
колесный парк;
демонтажно-обмывочное отделение;
колесотокарное отделение;
ремонтно-комплектовочное отделение;
монтажное отделение.
Колесный парк предназначен для хранения колесных
пар в ожидании ремонта и после ремонта, производства погрузочно-разгрузочных
работ.
В колесном парке имеются комбинированные тупики,
на которые можно устанавливать колесные пары колеи 1435 мм и 1520 мм.
С помощью козлового крана грузоподъемностью 5
тонн осуществляются погрузочно-разгрузочные работы, уборка стружки от
колесно-токарных станков, подача колесных пар в ремонт и уборка после ремонта,
другие работы, которые выполняются с применением крана.
Стружка от колесно-токарных станков в
специальной таре козловым краном подается к емкости для стружки. При накоплении
стружки в емкости она отгружается дизельным железнодорожным краном в
эксплуатационный полувагон для отправки «Вторчермету».
Подача колесных пар в КРУ из тележечного
отделения и возврат отремонтированных колесных пар осуществляется по монорельсу
электротельфером. На монорельсе установлено два электротельфера на случай
выхода из строя одного из них.
В демонтажно-обмывочном отделении выполняются
следующие операции:
демонтаж буксы и ее деталей с оси колесной пары;
обмывка колесной пары в моечной установке;
обмывка корпуса буксы в моечной установке;
обмывка подшипников в моечной установке;
дефектоскопирование колёсной пары;
- наплавка трущихся поверхностей корпуса буксы и
механическая обработка.
Накопитель колесных пар перед подачей их в
участок установлен таким образом, что на нем можно накапливать колёсные пары
колеи 1435 мм и 1520 мм.
Перед подачей колесных пар в демонтажное
отделение исполнитель поднимает шторные ворота, оборудованные
пневмоподъёмником.
Подъемником колесная пара устанавливается на эстакаду,
где производится демонтаж буксы и ее деталей.
После демонтажа букс колесная пара подается в
моечную установку, где производится ее обмывка специальным моющим раствором.
Демонтированный корпус буксы подается на
эстакаду, где вынимают подшипники из буксы и подают на конвейер моечной
установки обмывки подшипников, а корпус буксы с деталями подают в моечную
установку обмывки буксы.
После обмывки колесная пара подается на позицию
дефектоскопирования, где дефектоскопами МД-12 ПШ, МД-13 ПР производится проверка
шейки оси со снятыми внутренними и лабиринтным кольцами и внутренних колец
подшипников при полном освидетельствовании без снятия их с шейки оси и средней
части оси.
В колесотокарном отделении выполняются работы:
текущий ремонт колесных пар;
обточка поверхности катания на колесотокарных
станках;
снятие внутренних колец подшипников и
лабиринтных колец;
дефектоскопирование средней части оси колесной
пары, диска и ступицы колеса.
В ремонтно-комплектовочном отделении
производится ремонт подшипников качения.
В монтажном отделении выполняются монтажные
работы буксового узла.
Руководство сменой КРУ осуществляет бригадир
монтажного отделения.
Он несет ответственность за выполнение заданий
на ремонт колесных пар, проводит расстановку рабочей силы и инструктажи, следит
за эксплуатацией оборудования и инструмента, контролирует выполнение
технологического процесса ремонта буксового узла работниками КРУ, соблюдения
ими правил техники безопасности и производственной санитарии, ведет журналы
КРУ.
Бригадир колесного отделения отвечает за
подкатку колесных пар, осуществляет осмотр колесных пар перед ремонтом,
организует проведение текущего ремонта колесных пар, контролирует проведение
ремонта колесных пар, ведет журналы КРУ, отвечает за погрузку и выгрузку
вагонов, выполняет другие вопросы, касающиеся его профессиональной
деятельности.
Мастер КРУ в своей работе руководствуется
требованиями нормативно-технической документации и должностной инструкцией [3].
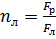
.2 Определение программы ремонта
колесных пар
Производственная мощность вагонного депо должна
обеспечить ремонт колёсных пар, поступающих из-под вагонов деповского и
капитального ремонта, а также с пунктов технического обслуживания (с текущего
отцепочного ремонта), прикрепленных к депо.
В каждом конкретном случае второе
слагаемое зависит от интенсивности проследования составов через станции
расположения ПТО, от количества вагонов, участвующих в грузовых операциях на
этих станциях.
Расчет производственной программы ремонта
колесных пар производится по формуле
, (2.1)
где
−
коэффициент, учитывающий поступление колесных пар с пунктов технического
обслуживания,
= 0,05;
− коэффициент,
учитывающий поступление колесных пар, требующих ремонта со сменой элементов;
- количество
колесных пар, поступающих из-под вагонов деповского ремонта.
Тогда
= 4∙2200 + 4∙0,05∙2200
- 0,25∙(4+4∙0,05)∙2200= 6930 кол. пар.
Расчет программы ремонта колесных пар с обточкой
по кругу катания производится по формуле
, (2.2)
где
-
коэффициент, учитывающий долю колесных пар с обточкой по кругу катания.
Программа колесных пар для производства обточки
и накатки шеек и предподступичных частей оси производится по формуле
, (2.3)
где
-
коэффициент, учитывающий долю колесных пар, подвергающихся данному виду работы.
.
Программа наплавки изношенных гребней колес
производится по формуле
, (2.4)
где
-
коэффициент, учитывающий долю колесных пар с подшипниками качения,
подвергающихся наплавке гребней колес,
кол. пар.
Расчет программы ремонта колесных пар,
подвергающихся промежуточной ревизии букс с роликовыми подшипниками,
производится по формуле
, (2.5)
где
- коэффициент,
учитывающий долю колесных пар, прошедших промежуточную ревизию,
кол. пар.
Расчет программы ремонта колесных пар, прошедших
полную ревизию роликовых букс, производится по формуле
, (2.6)
где
-
коэффициент, учитывающий долю колесных пар, прошедших полную ревизию,
кол. пар.
Расчет программы ремонта колесных пар, прошедших
демонтаж подшипников, производится по формуле
, (2.7)
где
-
коэффициент, учитывающий долю колесных пар, прошедших демонтаж подшипников
- количество
подшипников, снятых с одной колесной пары.
кол. пар.
Расчет программы ремонта колесных пар со сменой
элементов производится по формуле
, (2.8)
где
-
коэффициент, учитывающий необходимость демонтажа внутренних колец подшипников
буксовых узлов из-за повреждений и недостаточную прочность сопряжения при
контроле,
кол. пар.
Таблица 2.1 - Результаты расчета программы
ремонта
|
Программа
ремонта
|
|
|
|
|
|
|
|
|
Значение
|
4504
|
4504
|
554
|
3465
|
2079
|
2910
|
3516
|
.3 Расчет промышленно-производственного
персонала участка
В состав промышленно-производственного персонала
участка входят следующие категории работников [4]:
основные производственные рабочие,
непосредственно участвующие в выполнении технических операций, результатом
которых являются выпуск вагонов из ремонта;
вспомогательные рабочие, обеспечивающие
нормальные условия труда для основных производственных рабочих;
руководители и специалисты;
служащие;
ученики.
Численность основных производственных рабочих
определяется по формуле [2]
(2.9)
где
-
трудоемкость ремонта вагонов рабочими i-ой
специальности, чел·ч.;
- годовой фонд
рабочего времени одного явочного рабочего;
- коэффициент
выполнения норм,
=1,0.
Расчетный годовой фонд рабочего времени одного
явочного рабочего с нормальной продолжительностью рабочего дня определяется по
формуле [2]
, (2.10)
где
-
количество календарных дней в году, для 2014 года
;
- количество
нерабочих дней (выходных и праздничных),
- количество
рабочих дней в году с сокращенным рабочим временем,
Годовой фонд рабочего времени одного списочного
рабочего
в часах с учетом планируемых невыходов на работу подсчитывается по формуле [2]
(2.11)
где
-
показатель, учитывающий планируемые невыходы на работу (отпуск, болезнь и
прочее), составляющий 9−11 % фонда рабочего времени.
Явочная численность токарей по обточке колесных
пар по профилю катания составит
Списочное количество основных производственных
рабочих [2]
, (2.12)
где
-
коэффициент приведения явочной численности рабочих к списочному количеству,
=1,1.
.
Аналогично рассчитывается списочное количество
основных производственных рабочих остальных специальностей. Результаты расчетов
приведены в таблице 2.2.
Таблица 2.2 - Промышленно-производственный
персонал колесно-роликового участка
|
Категория
и специальность работников
|
Трудоемкость,
чел.∙ч
|
Процент
от числа основных производственных рабочих
|
Численность
работников
|
|
|
|
явочная
|
списочная
|
|
Основные
производственные рабочие: - токари по обточке КП по профилю катания - токари
по обточке и накатке шеек КП - слесари по ремонту подвижного состава -
машинисты моечной установки - электросварщики - дефектоскописты -маляр
-подсобные (транспортные) рабочие
|
1,21
1,09 3,49 0,61 2,9 0,86 0,2 0,87
|
-
- - - - - - -
|
3
2 12 2 1 2 1 3
|
3
2 13 2 1 2 1 3
|
|
Итого
по колесно-роликовому участку
|
11,23
|
-
|
26
|
27
|
|
Вспомогательные
рабочие
|
-
|
18
|
-
|
5
|
|
Руководители
и специалисты
|
-
|
6
|
-
|
2
|
|
Служащие
|
-
|
2
|
-
|
1
|
|
Ученики
|
-
|
2
|
-
|
1
|
|
Всего
по КРУ
|
36
|
.4 Расчет и подбор требуемого
оборудования
В демонтажно-обмывочном отделении предусмотрено
следующее технологическое оборудование:
кран-балка грузоподъемностью 2 т.;
дефектоскоп МД-13 ПР, дефектоскоп шеечный МД-12
ПШ;
моечная машина подшипников, моечная машина букс;
фрезерный станок ФТ-02.500.
В колесотокарном отделении для выполнения работ
имеется следующее оборудование:
- кран-балка
грузоподъемностью 2 т.;
- установка
для контроля прочности на сдвиг и распрессовки колец подшипников колесных пар;
-
колесотокарный станок «Рафамет»;
- дефектоскоп
МД-13ПР для контроля средней части оси при проведении текущего ремонта колесных
пар;
- установка
диагностирования подшипников УДП-85;
- установка
диагностирования ободьев колесной пары и сечения колес СДВК.
В монтажном отделении имеется следующее
технологическое оборудование:
- кран-балка грузоподъемностью. 2 т.;
- эстакада для колесных пар с желобами подачи
подшипников;
для создания однородности смазки, заправляемой в
буксовые узлы, применяется установка гомогенизации смазки;
индукционная печь нагрева внутренних колец
подшипников перед их установкой на шейку оси;
установка диагностирования буксового узла
УДП-2001 [3].
Формула для расчета потребного
оборудования имеет следующий вид
(2.13)
− затраты в
станко- часах на обработку отдельных элементов колесной па- ры;
−
коэффициент загрузки оборудования,
0,90.
Количество моечных машин колесных пар
Количество шеечно-накатных станков
Количество стендов для окраски колесных пар
Аналогично рассчитываем
остальное технологическое оборудование. Результаты сводим в таблицу 2.3.
Остальное оборудование принимается согласно технологическому процессу.
Таблица 2.3 - Оборудование
колесно-роликового участка
|
Наименование
оборудования
|
Количество
|
|
Моечная
машина колесных пар
|
1
|
|
Шеечно-накатной
станок
|
1
|
|
Стенд
для окраски колесных пар
|
1
|
|
Колесотокарный
станок
|
2
|
|
Устройство
для контроля прочности на сдвиг и распрессовки колец подшипников колесных пар
|
|
Дефектоскоп
|
2
|
|
Дефектоскоп
шеечный
|
2
|
|
Моечная
машина букс
|
1
|
|
Моечная
машина подшипников
|
1
|
|
Установка
диагностирования подшипников
|
2
|
|
Стенд
ультразвуковой дефектоскопии колесных пар
|
1
|
|
Фрезерный
станок
|
1
|
|
Робокон
|
1
|
|
Зачистной
станок
|
1
|
|
Сварочная
кабина
|
1
|
|
Гомогенизатор
|
1
|
|
Печь
индукционная
|
1
|
|
Кран-балка
|
4
|
.5 Организация ремонта колесных пар.
Средний и текущий ремонт колесных пар
.5.1 Организация ремонта колесных
пар. Средний ремонт колесных пар
После подъемки вагона на стационарные ставлюги в
ВСУ бригадир КРУ осуществляет предварительный осмотр колесных пар с целью
определения объема ремонта. На колесные пары, признанные при осмотре годными
для проведения текущего ремонта, бригадир наносит меловую разметку «Не мыть»
для того, чтобы при поступлении тележки на участок ремонта, указанные колесные
пары не подвергались обмывке в моечной установке.
Колесные пары, выкатываемые из тележки, подают
на наклонный путь (эстакаду). Здесь бригадир выполняет предварительный осмотр с
обмером элементов колесной пары. Предварительный осмотр выполняется с целью
выявления неисправностей, которые невозможно выявить после очистки и обмывки
колесной пары, а также выявления неисправностей элементов (ось, колесо, букса)
и определения вида ремонта. Особое внимание обращают на места сопряжения
подступичной части оси и ступицы колеса с целью обнаружения признаков сдвига
колеса на оси. Выявленные подозрительные места обводятся мелом.
На основании осмотра и обмера элементов на одном
из ободов колес изнутри бригадир наносит условную разметку мелом вида ремонта
(ОК - обточка поверхности катания колес, РБ - средний ремонт колесной
пары, ПР - текущий ремонт колесной пары), а также порядковый номер колесной
пары, присваиваемый в соответствии с книгой учета формы ВУ-53 с нарастающим
итогом с начала года. Этот номер наносится краской белого цвета.
Осмотренные и взятые на учет колесные пары
электротельфером грузоподъемностью 2 т по монорельсу подают под козловой кран,
которым колесные пары устанавливают в тупиках колесного парка или подают на
накопитель демонтажного отделения КРУ.
Такой же порядок установлен и для колесных пар,
подаваемых в ремонт из других участков депо.
При оприходовании поступивших исправных (новых
или отремонтированных) колесных пар бригадир сличает их количество с указанным
в пересылочной ведомости, проверяет наличие и правильность постановки клейм и
знаков.
Элементы колесной пары обмеряет. На ободе колеса
наносится краской порядковый номер и мелом основные параметры.
Оприходованные колесные пары устанавливают на
специальные тупики колесного парка или после разметки электротельфером по
монорельсу подают в тележечный участок ВСУ или после погрузки на
специализированную платформу в другие участки депо.
Подача неисправных колесных пар на накопитель
демонтажного отделения осуществляется козловым краном грузоподъемностью 5 т.
Перед подачей колесной пары исполнитель (слесарь, стропальщик) поднимает
шторные ворота демонтажного отделения, а после окончания операции подачи
закрывает их.
Колесную пару по накопителю передают к
пневмоподъемнику, который служит для разворота колесных пар при их установке на
эстакаду демонтажа.
После демонтажа букс колесная пара подается на
обмывку в моечную установку. Демонтированные подшипники подают на конвейерную
линию моечной установки обмывки подшипников, а корпус буксы и детали буксы
(гайка торцевого крепления, стопорная планка, тарельчатая шайба и т. д.) подают
в моечную установку букс.
Обмытый подшипник конвейерной линией подают на
позицию ремонта и комплектовки, а корпус буксы после обмывки протирают насухо
хлопчатобумажной тканью и по конвейерной линии подают в монтажное отделение.
Корпуса букс, требующие ремонта, после дефектации подают на позицию ремонта,
где выполняются работы по наплавке опорной поверхности и направляющих, а также
механическая обработка после сварочно-наплавочных работ.
Колесную пару после обмывки подают на позицию
проведения неразрушающего контроля (НК).
Внутренние и лабиринтные кольца снимают с
применением индукционного нагревателя на позиции, оборудованной в
колесотокарном отделении.
Колесные пары, требующие обточки поверхности катания,
кран-балкой подают к колесно-токарному станку.
После обточки поверхности катания колесную пару
подают на установку диагностирования СДВК, где проводят НК ободьев, после
которого колесную пару подают в монтажное отделение.
Подшипники после ремонта, подборки и
комплектовки по желобам из отделения их комплектовки поступают на эстакаду
монтажа.
Отремонтированные корпуса букс кран-балкой
подают к эстакаде монтажа, по которой осуществляется их доставка в монтажное
отделение.
На эстакаде монтажного отделения выполняют
операции монтажа корпусов букс, по окончании которых бригадир выполняет приемку
колесной пары на позиции приемки с применением специализированной установки
УДП-2001.
Покраска отремонтированной колесной пары
осуществляется на оборудованной позиции покраски, после чего
подъемником-толкателем ее подают на накопитель под монорельсом.
Далее колесную пару подают по назначению (на
участок ремонта тележек ВСУ или же отгружают на платформу для отправки в другие
участки депо) [3].
.5.2 Организация ремонта. Текущий
ремонт колесных пар
Колесные пары, пригодные для проведения им
текущего ремонта, электротельфером по монорельсу через шторные ворота подают в
колесное отделение КРУ.
Кран-балкой колесную пару устанавливают на УДП
(установку диагностирования подшипников), откуда ее подают на позицию
дефектоскопирования средней части оси (колесные пары выбракованные на УДП
подают в демонтажное отделение для проведения полной ревизии букс). По
окончании дефектоскопирования колесную пару кран-балкой устанавливают на
эстакаду промежуточной ревизии букс.
Колесные пары, требующие обточки поверхности
катания, обрабатывают на колесотокарных станках. После обточки проводят
дефектоскопирование средней части оси, а потом промежуточную ревизию букс.
Выбракованные при промежуточной ревизии колесные
пары подают через шторные ворота по монорельсу под козловой кран и далее в
демонтажное отделение для проведения им среднего ремонта.
Прошедшие текущий ремонт колесные пары
кран-балкой подают в монтажное отделение, где ее устанавливают на установку
УДП-2001 для проведения вибродиагностики. После вибродиагностики по разметке
бригадира колесного отделения колесную пару подают электротельфером по
монорельсу на участок ремонта тележек ВСУ или отгружают на платформу для
отправки в другие участки депо [3].
2.6 Ремонт колесных пар
.6.1 Текущий ремонт колесных пар
(обыкновенное освидетельствование)
Текущий ремонт колесных пар выполняется:
при каждой подкатке колесных пар под вагоны;
при положительном результате входного
вибродиагностического контроля буксовых узлов;
при восстановлении профиля поверхности катания
колес без демонтажа буксовых узлов;
при проведении профилактических мероприятий по
отдельным указаниям железнодорожных администраций или владельцев.
При текущем ремонте колесных пар производят:
- входной и
выходной вибродиагностический контроль буксовых узлов на установках УДП-85 и
УДП-2001;
- восстановление
профиля поверхности катания колес обточкой на колесотокарных станках (без
демонтажа буксовых узлов). Перед постановкой на станок колесной пары с
буксовыми узлами, взамен смотровой крышки устанавливают крышку защитную с
отверстием диаметром 55,0+2,0 мм для прохода центра пиноли станка. После
проведения обточки крышку защитную снимают;
- техническое
диагностирование буксовых узлов (промежуточную ревизию). При проведении
промежуточной ревизии:
отворачивают болты М12 крышки смотровой, крышку
снимают.
Место прилегания крышки смотровой к крышке
крепительной очищают от грязи и протирают насухо технической салфеткой.
Крышки смотровые визуально осматривают на
наличие механических повреждений и деформаций.
производят проверку качества смазки в передней
части буксы для определения ее обводнения или загрязнения путем растирания
небольшой порции смазки на тыльной стороне ладони руки.
Допускается проведение лабораторного анализа
смазки для определения в ней наличия металлических включений или примесей.
Потемнение смазки не является браковочным
признаком.
При обнаружении в смазке включений или примесей
колесной паре производят средний ремонт.
производят очистку передней части буксы от
смазки, перекладывая ее в специальную емкость;
проверяют визуально состояние видимых частей
переднего подшипника. При обнаружении трещин, изломов или разрушения кольца
наружного, сепаратора, кольца упорного или других дефектов, колесной паре
производят средний ремонт.
проверяют ослабление торцевого крепления
подшипников на оси:
а) типа РУ1 гайкой торцевого крепления М110х4.
Гайку остукивают слесарным молотком массой до 0,5 кг, при отсутствии ослабления
гайки, она не демонтируется.
В случае ослабления гайки, деформации хвостовика
стопорной планки или при наличии коррозии под витками резьбы гайка
демонтируется. При этом, снимают проволоку с болтов М12 планки стопорной, болты
освобождают от стопорения и вывертывают, планку стопорную снимают. Болты и
планку осматривают. Гайку отворачивают, кольцо упорное снимают, протирают
насухо, осматривают и производят МПК или ВТК. Проверяют состояние резьбы на
шейке оси, гайки торцевого крепления и болтов М12, а также планки стопорной.
Колесная пара с поврежденной резьбой М110 оси
или в отверстиях под болты М12 планки стопорной к дальнейшей эксплуатации не
допускается. Гайка с поврежденной резьбой и следами механического воздействия
на шлицы, неисправные болты М12, планка стопорная и кольцо упорное бракуют и
заменяют на исправные.
б) типа РУ1Ш шайбой тарельчатой четырьмя (тремя)
болтами М20 на осях РУ1Ш.
При этом производят остукивание головок болтов
слесарным молотком массой до 0,5 кг, при отсутствии их ослабления - они не
демонтируются.
В случае ослабления хотя бы одного из болтов,
производят отгиб лепестков шайбы стопорной и проверку момента затяжки всех
болтов динамометрическим ключом.
При наличии хотя бы одного из болтов М20 с
крутящим моментом менее 50 Н∙м (5 кг∙с∙м), все болты должны
быть вывернуты для визуальной проверки резьбы в отверстиях оси и болтов,
состояния места перехода стержня болта к головке, а также деформаций и
повреждений шайбы стопорной.
Трещины и надрывы на шайбах стопорных не
допускаются. Механические повреждения в виде вмятин на поверхностях шайбы,
образующиеся при загибе ее лепестков на грани головок болтов не являются
браковочными признаками.
Применение резьбовых калибров для контроля
резьбы в отверстиях осей, бывших в эксплуатации, не допускается.
Болты торцевого крепления М20 подлежат браковке
при:
наличии деформации стержня и резьбы;
выявлении отверстий в головках под увязочную
проволоку;
обнаружении следов коррозии на резьбовой части
стержней;
наличии задиров и трещин в любой части болта;
радиусе в месте перехода стержня болта к головке
менее 0,8 мм или его отсутствии;
отсутствие на головках болтов подголовников.
Категорически запрещается исправлять резьбу на
стержне болта. Облом, образующийся на гранях головки болта со стороны
подголовника при изготовлении, должен удаляться механическим способом
(напильник, наждак и др.).
При изломе болта, его резьбовая часть,
оставшаяся в оси, должна быть вывернута из оси без ее повреждения.
При обнаружении срыва трех и более ниток резьбы
в резьбовых отверстиях оси или затруднений при демонтаже болтов, допускается
резьбовые отверстия исправлять метчиком.
При повреждении первых шести и более ниток
резьбы в резьбовых отверстиях оси колесная пара не допускается к дальнейшей
эксплуатации.
Болты М20, имеющие затяжку крутящим моментом менее
230 Н∙м (23,0 кг∙с∙м) должны быть подтянуты динамометрическим
ключом усилием 230 - 250 Н∙м (23,0 - 25,0 кг∙с∙м).
производят монтаж торцевого крепления
подшипников на шейках осей колесной пары:
а) типа РУ1-950-Г с буксовыми узлами с двумя
роликовыми подшипниками - гайкой торцевой М110х4, при этом предварительно на
шейку оси колесной пары устанавливают кольцо упорное переднего подшипника
маркировкой, обращенной к передней части корпуса буксы.
На резьбовую часть оси навинчивают гайку,
предварительно подобранную по резьбе шейки оси таким образом, чтобы вращение
гайки по резьбе было легким от руки.
Гайка должна иметь кольцевую выточку. Постановка
гаек без кольцевой выточки запрещается.
Гайку затягивают до соприкосновения с кольцом
упорным и туго поджимают гайковертом или вручную гаечным ключом и молотком
массой 3 - 5 кг двумя - четырьмя ударами, прилагаемыми на плече 0,5 м до
получения металлического звука.
В паз на торце оси устанавливают планку
стопорную таким образом, чтобы ее хвостовик не был введен в шлиц гайки.
Вворачивают один болт М12 планки стопорной с установленной под него шайбой
пружинной. Планка должна быть установлена в такое положение, чтобы при
последующей ее затяжке для ввода хвостовика планки в шлиц, гайка повернулась бы
от половины до одной коронки.
Затяжка гайки должна производиться поворотом по
часовой стрелке. Поворот гайки в обратном направлении запрещается.
При затяжке гайки буксу необходимо слегка
поворачивать для того, чтобы убедиться в отсутствии заклинивания подшипников.
После затяжки гайки устанавливают болты М12
планки стопорной с шайбами пружинными. Перед установкой болты планки стопорной
и отверстия под них смазывают любым минеральным маслом.
Болты М12 увязывают отожженной проволокой,
проходящей через раззенкованные отверстия в их головках. Проволока должна быть
увязана по форме цифры «8»;
б) типа РУ1Ш-957-Г с буксовыми узлами с двумя
роликовыми цилиндрическими подшипниками - шайбой тарельчатой и болтами М20, при
этом на шейку оси предварительно устанавливают кольцо упорное маркировкой,
обращенной к передней части корпуса буксы;
в) типов РУ1Ш-957-Г с буксовыми узлами с
подшипниками сдвоенными и кассетного типа - на торец оси в зависимости от
конструкции подшипника устанавливают шайбу тарельчатую или крышку переднюю
подшипника с шайбой стопорной с четырьмя (тремя) болтами М20 на оси РУ1Ш;
Перед установкой болты или отверстия в оси под
них смазывают любым минеральным маслом.
В случае использования болтов М20 - момент их
затяжки должен составлять 225,6 - 245,3 Н·м (23,0 - 25,0 кг∙с∙м) с
обходом по периметру в следующем порядке 1 - 2 - 3 - 4 - 3 - 4 - 2 - 1, затяжка
трех болтов производится дважды по периметру.
Затяжка болтов должна быть равномерной и
производиться тарированным или динамометрическим ключом.
После затяжки болтов лепестки шайбы стопорной
загибают на грань головки каждого болта с обеспечением плотного их прилегания к
граням головки болта таким образом, чтобы щуп толщиной 0,2 мм не проходил в
зазор на высоте 10,0 мм от верха головки болта;
производят закладку смазки в переднюю часть
буксы, при этом на внешнюю поверхность гайки или тарельчатой шайбы тарельчатой
по всему периметру и на переднюю видимую часть подшипника укладывают валиком
новую смазку ЛЗ-ЦНИИ (у) или Буксол или ЗУМ. После чего, смазку уплотняют
пальцами рук так, чтобы она проникла между сепаратором и бортом наружного
кольца переднего подшипника. Дозировка смазки производится мерной емкостью или
взвешиванием.
буксы закрывают крышкой смотровой при помощи
болтов М12, предварительно смазав их и отверстия под них препаратом-модификатором
эМПи-1, под которые устанавливают шайбы пружинные. Предварительно между
смотровой и крепительной крышками устанавливают новую резиновую прокладку.
Затягивание всех болтов должно быть равномерным.
Для этого затяжка болтов должна производиться по диагонали с последующей
подтяжкой в обратном порядке. Затяжку болтов производят гайковертом или гаечным
ключом [3].
2.6.2 Средний ремонт колесных пар
(полное освидетельствование)
Средний ремонт колесным парам выполняется:
- после
крушений и аварий поездов всем колесным парам поврежденных вагонов;
- после схода
вагона с рельсов (колесным парам сошедшей тележки);
- при
повреждении вагона от динамических ударов падающего груза при погрузке;
- при
отсутствии бирки на буксовом узле или невозможности прочтения клейм на ней при
ремонте колесной пары или подкатке ее под вагон;
- после
выполнения допустимых вырубок волосовин, неметаллических включений и других
неисправностей на оси в пределах установленных норм;
- через два
восстановления профиля поверхности катания колес обточкой колесных пар с
буксовыми узлами, оборудованными двумя подшипниками роликовыми цилиндрическими.
Количество обточек колесных пар с буксовыми
узлами, оборудованными подшипниками сдвоенными или подшипниками кассетного
типа, не регламентируется в течение гарантийного межремонтного срока для
подшипников;
- при
отсутствии или невозможности прочтения знаков и клейм о проведении последнего
среднего ремонта на торце шейки оси;
- колесным
парам с буксовыми узлами, оборудованными двумя подшипниками роликовыми
цилиндрическими и сдвоенными, прошедшим последний средний ремонт пять и более
лет назад;
- при
демонтаже буксовых узлов с последующим их ремонтом;
- при
отрицательном результате входного вибродиагностического контроля подшипников
колесных пар, поступивших в текущий ремонт;
- при выбросе
смазки на диск колеса через уплотнения корпусов букс;
- при наличии
в передней части корпуса буксы воды или льда;
- при сдвиге
буксового узла вдоль шейки оси;
- при наличии
на поверхности катания колес колесных пар:
а) неравномерного проката - 2,0 мм и более.
Проверка неравномерного проката производится
измерением его в сечении с максимальным износом и с каждой стороны от этого
сечения на расстоянии до 500 мм;
б) ползуна - глубиной 1,0 мм и более;
в) навара - высотой 1,0 мм и более;
- при
капитальном ремонте колесных пар;
- при
проведении сварочных работ на кузове вагона или тележке;
- при
капитальном ремонте вагонов;
- при
недопустимом нагреве буксовых узлов [3].
.7 Основные неисправности колесных
пар вагонов, устраняемые при ремонте без смены элементов
Цельнокатаные колеса вагонов изнашиваются по
поверхности катания. При большом прокате гребни могут опуститься на столько,
что будут касаться болтов рельсовых креплений, вызывая их повреждение.
Преждевременный износ гребней (тонкий гребень) является следствием нарушения
нормальных условий работы колесных пар (наличие большой разности диаметров
колес, насаженных на одну ось, прекос рамы тележки и др.). Изношенный гребень
может служить причиной схода вагона с рельсов, особенно на противошерстных
стрелках. Колесные пары, имеющие прокат и износ гребня больше установленных
норм, обтачивают по профилю катания на колесотокарных станках. Правильность
обточки определяется плотностью прилегания максимального шаблона к поверхности
катания, гребню и внутренней грани. Допускаются просветы не более 1 мм по
высоте гребня и не более 0,5 мм по поверхности катания, гребня и внутренней
грани.
Ползуны появляются на поверхности катания колес
при неправильном торможении поезда, когда колеса перестают вращаться, скользят
по рельсам, вызывая истирание металла обода в месте контакта с рельсом. При
замере наибольшего проката на колесе глубина ползуна должна входить в общую
величину проката.
Причиной потертости оси в средней части колесной
пары может быть неправильная сборка и регулировка рычажной передачи тормоза.
Потертость оси на значительную глубину является опасным повреждением, могущим
привести к ее излому.
Изгиб оси и сдвиг колес проверяют при помощи
штангенциркуля путем четырех измерений между внутренними гранями ободьев колес
в диаметрально противоположных точках. Не подлежит браковке колесная пара, у
которой при таком измерении после обточки внутренних граней ободьев будет
выявлена разность расстояний не более 1 мм, а у не проходившей отточку - не
более 2 мм (штангенциркуль подлежит периодической проверке, о чем должны быть
проставлены соответствующие клейма). Если измерения равны и находятся в
установленных пределах (допускаемый размер), то это указывает на отсутствие
изогнутости оси или сдвига колес [2].
Основные неисправности колёсных пар представлены
в таблице 2.4.
Таблица 2.4 - Неисправности колесных пар вагонов
|
Наименование
|
Причины
возникновения
|
Методы
устранения
|
|
Прокат
|
Одновременное
действие двух процессов: смятия от давления на площадке контакта и истирания
металла под действием сил трения
|
Обточка
по кругу катания на колесотокарном станке
|
|
Наименование
|
Причины
возникновения
|
Методы
устранения
|
|
Вертикальный
подрез гребня
|
Смещение
пятна контакта колеса и рельса в сторону фаски из-за несимметричной посадки
колес на ось, большой разницы диаметров колес по кругу катания, неправильной
установки колесной пары на тележке или перекосе рамы тележки
|
Поверхность
катания и гребень обтачивают на колесотокарном станке
|
|
Круговой
наплыв металла на фаску, выходящий за наружную грань обода
|
Пластическая
деформация верхних слоев металла обода, возникающая под действием нормальных
и боковых усилий в кривых участках пути
|
Обточка
на станке
|
|
Остроконечный
накат гребня
|
Пластическая
деформация поверхностных слоёв металла гребня в сторону его вершины из-за
высокого контактного давления и интенсивного трения в месте взаимодействия с
головкой рельса
|
То
же
|
|
Местное
уширение обода колеса
|
Пластическая
деформация металла под действием циклических нормальных сил вследствие
наличия местного внутреннего дефекта на определенной глубине обода
|
То
же
|
|
Намины
на шейке оси
|
Появление
высоких контактных давлений на поверхности шейки из-за неправильной формы
посадочных поверхностей колец подшипников
|
Обточка
на станке
|
|
Забоины
и вмятины на оси
|
Пластическая
деформация от удара тяжёлым предметом по оси в процессе погрузки или выгрузки
колесной пары или при ее ремонте
|
Ось
бракуется
|
|
Разработка
центрового отверстия оси
|
Смятие
металла в процессе многократного небрежного закрепления колёсной пары в
центрах на станке при ее ремонте
|
Заварка
с последующей механической обработкой
|
|
Наименование
|
Причины
возникновения
|
Методы
устранения
|
|
Повреждение
резьбы на оси под гайку М110 и под болты шайбы
|
В
эксплуатации или при монтаже − действие значительных осевых сил,
вызывающих пластическую деформацию резьбы, а повреждение в виде местных
вмятин - в результате случайных ударов тяжёлым предметом
|
Зачистка,
обработка специальным инструментом для калибровки, восстановление наплавкой
|
|
Кольцевые
выработки на поверхности катания колес
|
Образуются
по краям зоны контакта поверхности катания с тормозной колодкой. Объясняются
неодинаковыми термическими условиями работы поверхностных слоев металла
колеса и композиционной колодки по ширине зоны контакта и взпимодействием
абразивных частиц
|
Обработка
по кругу катания на станке
|
|
Потертость
на средней части оси
|
Трение
вертикальных рычагов и горизонтальных тяг неправильно собранной рычажной
передачи тормоза
|
Ось
бракуется при глубине потертости более 2,5 мм на станке
|
|
Ползун
|
Заклинивание
колесных пар тормозными колодками. Причины заклинивания − неисправности
тормозных приборов, неправильное управление тормозами
|
Обточка
по кругу катания
|
|
Навар
|
Нарушение
процесса торможения, результатом которого является проскальзывание колеса по
рельсу в течение очень коротких промежутков времени с перемещением на 20−30
мм
|
То
же
|
|
Термические
поперечные трещины в ободе колеса
|
Чередование
интенсивного нагрева поверхности катания колеса при торможении и последующем
охлаждении
|
Колесные
пары изымаются из эксплуатации
|
|
Трещины
в подступичной части оси
|
Продолжительное
действие на оси больших внешних сил, вызывающих циклические знакопеременные
напряжения изгиба
|
Ось
бракуется
|
|
Трещины
в осях колесных пар
|
Многократное
повторение циклических нагрузок, действующих на колесную пару, и наличие на
оси какого-либо концентрата напряжений
|
То
же
|
|
Выщербины
в местах усталостных трещин обода колеса
|
Усталостное
разрушение поверхностных слоёв металла колес под действием многократно
повторяющихся контактных нагрузок
|
Обработка
на станке, если их глубина не более 50 мм у колёсных пар грузовых вагонов
|
|
Откол
наружной грани обода колеса
|
Усталостные
процессы от действия нормальных и касательных сил. Трещины образуются на
глубине 8−10 мм при наличии местного концентратора напряжений в виде
раковины, неметаллического включения
|
Не
допускаются отколы глубиной 10 мм или если ширина оставшейся части обода
колеса в месте откола менее 120 мм
|
|
Откол
кругового наплыва обода колеса
|
То
же
|
То
же
|
|
Излом
колеса
|
Развитие
усталостных трещин либо у ступицы, либо у обода
|
Колесо
бракуется
|
|
Тонкий
гребень (толщина гребня меньше допустимой)
|
Ненормальная
работа колесной пары вследствие: неправильной установки ее на тележке;
значительной разности диаметров колес на одной оси; продолжительной работы на
участках с кривыми малого радиуса; прогиба оси; перекоса рамы тележки;
неправильной посадки колеса на ось
|
Восстанавливают
обтачиванием профиля колеса
|
|
Тонкий
обод (толщина обода меньше допустимой)
|
Износ
в процессе эксплуатации и потери металла при обтачивании поверхности катания
|
Колесо
бракуется
|
|
Ширина
обода или толщина диска меньше допустимых величин
|
Обточка
внутренней грани обода
|
Колесо
бракуется
|
|
Поверхностный
откол внешней грани обода, превышающий допустимые размеры
|
Развитие
усталостных трещин из-за дефектов металлургического происхождения
|
Если
позволяет толщина обода, то неисправность устраняют обтачиванием
|
|
Задиры
на шейках
|
Задиры
могут появляться вследствие проворачивания внутренних колец подшипников во
время нагрева букс, недостаточного натяга для закрепления колец
|
При
превышении нормативных размеров задиры устраняют шлифованием
|
|
Задиры
в предподступичной части
|
Проворачивание
лабиринтного кольца во время нагревания букс, недостаточный натяг для
закрепления кольца
|
При
превышении нормативных размеров неисправность устраняют шлифованием
|
|
Излом
шейки от перегрева
|
Несвоевременное
обнаружение нагретых букс
|
Ось
бракуют
|
|
Сварные
ожоги (следы касания электродом или оголенным проводом)
|
Нарушение
правил проведения сварных работ
|
Ось
бракуют
|
|
Сдвиг
ступицы колеса на оси
|
Нарушение
технологии формирования, удары при авариях и катастрофах
|
Колесная
пара бракуется
|
|
Признаки
ослабления ступицы
|
Нарушение
технологии формирования
|
После
проверки определяется вид ремонта
|
|
Расстояние
между внутренними гранями колес не отвечает допустимым
|
Сдвиг
колес на оси. Следствие обтачивания внутренних граней колес
|
При
расстоянии между колесами более 1443 мм колесные пары расформировывают, а при
расстоянии меньше минимально допустимого внутренние грани колес обтачивают
|
|
Разность
расстояний между внутренними гранями колес превышает допустимую норму
|
Несоблюдение
допусков посадки колес на ось при формировании колесной пары, изогнутость оси
|
Если
позволяет толщина обода, то неисправность устраняют обтачиванием фаски, если
в месте откола нет трещин, идущих вглубь обода
|
|
|
|
|
.8 Параметры колесной пары при
выпуске из ремонта и их допускаемые размеры
Таблица 2.5 - Допускаемые размеры колесных пар
при выпуске их из текущего и среднего ремонтов
|
№
п/п
|
Измеряемые
параметры
|
Значения,
мм
|
|
|
Текущий
ремонт
|
Средний
ремонт
|
|
1
|
Колесные
пары
|
|
1.
|
Расстояние
между внутренними боковыми поверхностями ободьев колес
|
1438…1443
|
1438…1443
|
|
2.
|
Разность
расстояний между внутренними боковыми поверхностями ободьев колес, измеренных
в четырех точках, расположенных в двух взаимноперпендикулярных плоскостях
|
не
более 2,0
|
не
более 2,0
|
|
3.
|
Разность
расстояний между торцами предподступичной части оси и внутренними боковыми
поверхностями ободьев колес с одной и другой стороны колесной пары
|
не
более 5,0
|
не
более 5,0
|
|
4.
|
Разность
диаметров колес по кругу катания в одной колесной паре: - при восстановлении
профиля поверхности катания колес; - без восстановления профиля поверхности
катания колес.
|
не более 0,5 не более 1,0
|
не более 0,5 не более 1,0
|
|
5.
|
Отклонение
от соосности круга катания относительно поверхности шейки или подступичной
части оси: - при восстановлении профиля поверхности катания колес; - без
восстановления профиля поверхности катания колес.
|
измерения не производятся
|
не более 0,5 не более 1,0
|
|
2
|
Оси
|
|
1.
|
Диаметр
шейки оси типа РУ1 и РУ1Ш
|
измерения
не производятся
|
130+0,052+0,005
|
|
2.
|
Диаметр
оси в месте зарезьбовой канавки у колесных пар с осями типа РУ1
|
измерения
не производятся
|
90-2,2
|
|
3.
|
Ширина
зарезьбовой канавки колесных пар с осями типа РУ1
|
измерения
не производятся
|
8+1,5
|
|
4.
|
Занижение
(уменьшение) диаметра шейки оси у галтели (глубина на сторону)
|
измерения
не производятся
|
0,10
- 0,45
|
|
5.
|
Расстояние
от торца предподступичной части до начала занижения диаметра на шейке оси типа
РУ1 и РУ1Ш
|
измерения
не производятся
|
27,0
- 34,0
|
|
6.
|
Конусообразность
и овальность шейки оси
|
измерения
не производятся
|
не
более 0,02
|
|
7.
|
Радиальное
биение шейки оси
|
измерения
не производятся
|
не
более 0,03
|
|
8.
|
Диаметр
предподступичной части оси типа РУ1 и РУ1Ш
|
измерения
не производятся
|
165+0,2+0,02
-164+0,02
|
|
9.
|
Овальность
и конусообразность предподступичной части оси
|
измерения
не производятся
|
не
более 0,05
|
|
10.
|
Диаметр
подступичной части оси типа РУ1 и РУ1Ш
|
не
менее 182,0
|
не
менее 182,0
|
|
11.
|
Диаметр
средней части оси типа РУ1 и РУ1Ш: - ось с конусообразной средней частью; -
ось с цилиндрической средней частью.
|
измерения
не производятся
|
не
менее 155,0 не менее 160,0
|
|
12.
|
Вмятины,
забоины и протертости средней части оси
|
не
более 2,0
|
не
более 2,0
|
|
13.
|
Наружный
диаметр резьбы М110
|
измерения
не производятся
|
110,0
- 108,7
|
|
3
|
Колеса
|
|
|
|
1
.
|
Овальность
по кругу катания колес: - при восстановлении профиля поверхности катания
колес; - без восстановления профиля поверхности катания колес.
|
не
более 0,5 не более 1,0
|
не
более 0,5 не более 1,0
|
|
2.
|
Толщина
обода колеса: - при восстановлении профиля поверхности катания колес; - без
восстановления профиля поверхности катания колес.
|
не
менее 24,0 не менее 24,0
|
не
менее 24,0 не менее 24,0
|
|
3.
|
Равномерный
прокат: - при восстановлении профиля поверхности катания колес; - без
восстановления профиля поверхности катания колес.
|
не
допускается
|
не
более 7,0
|
Неравномерный
прокат
|
не
допускается
|
не
допускается
|
|
5.
|
Ширина
обода колеса
|
126,0
- 136,0
|
126,0
- 136,0
|
|
6.
|
Зазор
между профилем колеса и рабочей поверхностью максимального шаблона (при
восстановлении профиля поверхности катания колес): - по высоте гребня; - по
поверхности катания, гребня, внутренней боковой поверхности обода.
|
не более 1,0 не более 0,5
|
не более 1,0 не более 0,5
|
|
7.
|
Толщина
гребня (без восстановления профиля поверхности катания колес)
|
28,0
- 33,0
|
28,0
- 33,0
|
|
8.
|
Разность
толщин гребней колес в одной колесной паре
|
не
более 3,0
|
не
более 3,0
|
|
9.
|
Кольцевые
выработки на поверхности катания у основания гребня и на коничности 1:3,5: -
при восстановлении профиля поверхности катания колес; - без восстановления
профиля поверхности катания колес.
|
не допускаются шириной не более 10,0 глубиной не более 0,5
|
не
допускаются шириной не более 10,0 глубиной не более 0,5
|
|
10.
|
Навар
|
не
допускается
|
не
допускается
|
|
11.
|
Выщербины
без трещин, идущих вглубь обода колеса
|
допускаются
длиной не более 15,0 мм или глубиной не более 1,0 мм
|
допускаются
длиной не более 15,0 мм или глубиной не более 1,0 мм
|
|
12.
|
Ползун
|
не
допускается
|
не
допускается
|
|
13.
|
Толщина
диска у обода колес: - изготовления до 1988 г.; - изготовления с 1988 г. по
2011 г.; - изготовления после 2011 г.
|
17,0+3,0
19,0+3,0 19,0+4,0
|
17,0+3,0
19,0+3,0 19,0+4,0
|
2.9 Схема технологической планировки
колесно-роликового участка
По нормам технологического проектирования высота
роликового участка грузового вагонного депо от головки рельсов до верха
подкранового пути должна быть не менее 4600 мм, для рассматриваемого депо −
10800 мм. Для размещения запаса исправных и подлежащих ремонту колесных пар, а
также неисправных колесных пар, ожидающих переформирования, служит
колесно-тележечный парк депо, который размещается непосредственно у колесного и
тележечного участков и перекрывается общим мостовым (козловым) краном
грузоподъемностью 50 кН.
Схема технологической планировки участка ремонта
колесных пар вагонов с роликовыми подшипниками приведены в графической части
проекта лист № 2, где I
- демонтажно-обмывочное отделение; II
- комната отдыха; III
- колесотокарное отделение; IV
- ремонтно-комплектовочное отделение; V
- кладовая; VI
−
монтажное отделение; VII
- комната мастера; 1 - позиция разборки колесных пар; 2 - моечная машина
колесных пар; 3 - дефектоскоп; 4 - дефектоскоп шеечный; 5 - моечная машина
подшипников; 6 - фрезерный станок; 7 - позиция наплавки букс грузовых вагонов;
8 - моечная машина букс; 9 - контрольные образцы колесных пар; 10 - установка
индукционного нагрева; 11 - стенд ультразвуковой дефектоскопии колесных пар; 12
- пути накопления колесных пар; 13− колесотокарный станок; 14 -
шеечно-накатной станок; 15 − установка диагностирования подшипников; 16 -
зачистной станок; 17 - изолятор брака; 18 - верстак; 19 - стеллаж; 20 - стеллаж
для хранения подшипников; 21 − робокон; 22 - печь индукционная; 23 −
гомогенизатор; 24 - позиция сборки буксовых узлов; 25 - установка
диагностирования подшипников; 26 - стенд для окраски; 27 - сварочная кабина.
.10 Разработка технологических
процессов ремонта
вагонный ремонт колесный пара
При обработке поверхностей катания колес обточке
подвергаются: уклоны, фаска, гребень обода колеса, внутренние грани при
необходимости; наружная грань обода для устранения поверхностных дефектов в
виде наплывов, уширения обода колеса, неровностей при условии сохранения знаков
и клейм завода-изготовителя.
Для увеличения срока службы колес необходимо
сокращать число обточек по профилю катания при ремонте колесных пар и
стремиться к уменьшению толщины срезаемого слоя (36−43 % рабочей части
обода колеса при обточках уходят в стружку).
Обработку по профилю катания колесных пар
производят на колесотокарных станках, оборудованных механическими копирами и
позволяющих получать стандартный профиль обода колеса автоматически. Используются
колесотокарные станки «Рафамет» различных модификаций. Колесотокарные станки
оборудуются оптической системой, позволяющей наблюдать за процессом резания на
фоне стандартного профиля обода колеса и таким образом визуально контролировать
толщину снимаемой стружки при обработке [2] .
Технологический процесс обточки колесной пары
представлен на листе № 5 графической части проекта.
Обработку шеек осей колесных пар осуществляют на
шеечно-накатных станках. При ремонте колесных пар с роликовыми подшипниками
шейки и предподступичные части осей, как правило, не обтачивают. Производят
зачистку на станках мелкой шлифовальной шкуркой. Острые кромки, выступающие
края забоин и вырывов, риски запиливают заподлицо с основной поверхностью
бархатным напильником и шлифуют шкуркой. При невозможности устранения дефектов
таким образом шейки роликовых колесных пар перетачивают от номинального
диаметра
мм
до градационных ремонтных размеров по установленным параметрам шероховатости
поверхности, а затем накатывают роликами. Градационные ремонтные размеры
обработки шеек роликовых осей колесных пар позволяют обеспечить при сборке с
внутренними кольцами подшипников качения максимальный и минимальный натяги в
соединении горячей посадки соответственно по группам: 0,060−0,043; 0,059−0,043
и 0,058−0,043 мм. Величины конусности и овальности шейки оси под
подшипник качения не должны превышать 0,02 мм при горячей посадке внутренних
колец последних. Обработку шеек осей колесных пар разрешается выполнять до
запрессовки и после запрессовки и обточки поверхностей катания колес. В
процессе обточки шеек и предподступичных частей осей разность диаметров и длин
шеек у одной колесной пары не регламинтируется. Шейки и предподступичные части
оси колесной пары после механической обработки подлежат испытанию магнитным
дефектоскопом [2].
Технологический процесс обточки предподступичной
части оси колесной пары приведен на листе № 6 графической части проекта.
Дефектоскопированию следует подвергать: оси
колесных пар перед напрессовкой на них колес; шейки, предподступичные и средние
части осей при полном освидетельствовании, а также при каждой подкатке колесной
пары под вагон; подступичные части оси, скрытые ступицами колес; напряженные
части цельнокатаных колес (диск, обод).
Ультразвуковой контроль осуществляется для
выявления внешних и внутренних (скрытых) дефектов осей колесных пар и
поперечных трещин в них. ультразвуковой контроль основан на свойстве
ультразвуковых колебаний отражаться от трещин, раковин, шлаковых включений;
наблюдается отраженный сигнал на экране электронно-лучевой трубки дефектоскопа
[2].
Технологический процесс ультразвуковой
дефектоскопии оси колесной пары представлен на листе № 7 графической части
проекта.
3. Применение средств механизации
при ремонте колесных пар
В качестве средств механизации при ремонте
колесных пар в данном дипломном проекте предлагается внедрение устройства,
позволяющего производить контроль прочности на сдвиг и распрессовку колец
подшипников колесных пар вагонов.
Оценка прочности напрессовки колец подшипников
колесных пар, применяемая в вагоностроении и при ремонте вагонов, и
используемые для этой цели технические средства не обеспечивают возможности
получения вполне достоверных данных по прочности посадки относительному сдвигу.
Кроме того, из-за дискретности контакта на отдельных участках сопряженных
поверхностей фактические величины контактного давления могут отличаться.
Устройство предназначено для оценки прочности
сопряжения внутренних колец двух рядом стоящих буксовых роликовых подшипников,
напрессованных на шейку оси, и демонтажа этих соединений механической
распрессовкой.
Задачей данного технического решения является
повышение эффективности оценки прочности соединений, надежности и технического
ресурса колесных пар вагонов, а также снижения себестоимости ремонта.
Поставленная задача решается за счет того, что
устройство для контроля прочности на сдвиг и распрессовки колец подшипников
колесных пар содержит чувствительный элемент в виде цилиндрической втулки с
установленными на ее наружной поверхности и соединенными в измерительный мост
тензорезисторами, а также имеет гидросистему с рабочей средой под давлением.
Цилиндрическая втулка выполнена с одной плоской торцевой поверхностью,
установлена концентрично на упорном фланце стаканообразного корпуса
гидроцилиндра гидросистемы. Втулка закреплена на этом фланце с другого своего
конца со сферической торцевой поверхностью нажимной плитой со сферической
внутренней поверхностью вокруг её центрального отверстия и крепежным диском с
центральным отверстием, который снабжен продольными элементами соосного
скрепления полученного измерительного блока на поверхности гидроцилиндра с
клеммовым зажимом. Клеммовый зажим закреплен на наружной поверхности
контролируемого кольца подшипника. Гидроцилиндр закреплен соосно на торце шейки
оси колец подшипника при помощи ступенчатого стаканообразного поршень-штока со
сплошной донной частью его меньшей ступени, снабженной кольцевыми уплотнениями,
и с оппозитно расположенной ее резьбовой частью, предназначенной для скрепления
с шейкой оси. На внутренней поверхности большей ступени поршень-штока, длина
которой превышает суммарную длину двух смежных демонтируемых с шейки оси колец
подшипника, при этом величина диаметра большей ступени меньше величины диаметра
шейки оси колесной пары. При необходимости разборки проверяемых соединений, не
отвечающих установленным требованиям ТНПА (технических нормативных правовых
актов), увеличивают сдвигающую нагрузку и выполняют механическую распрессовку
забракованных колец подшипников (с одной установки предложенного устройства на
шейку оси колесной пары). Чувствительный элемент изготавливается из внутреннего
кольца используемых в буксовых узлах типовых роликовых подшипников и выполнен в
виде цилиндрической втулки, с внутренней стороны которой по ее концам имеются
кольцевые направляющие буртики для улучшения центровки. На наружной поверхности
указанной втулки наклеены тензорезисторы, соединенные в измерительный мост, а
сама втулка охватывает стаканообразный корпус рабочего гидроцилиндра
относительного сдвига, установлена своей плоской торцевой поверхностью на
упорном фланце последнего и закреплена с другого своего торца со сферической
поверхностью нажимной плитой, снабженной центральным цилиндрическим отверстием
и сферической поверхностью вокруг него, и крепежным диском с продольными
элементами соосного скрепления. Таким образом, создается составной
измерительный блок, концентрично расположенный относительно корпуса упомянутого
рабочего гидроцилиндра. В рабочем гидроцилиндре размещен полый стаканообразный
ступенчатый поршень-шток, снабженный кольцевыми уплотнениями по наружной
цилиндрической поверхности меньшего диаметра в своей донной части, а также
оппозитно расположенной резьбовой частью на внутренней поверхности открытого конца
с большим наружным диаметром, предназначенной для соосного неподвижного
скрепления поршень-штока с шейкой оси, на которую напрессованы внутренние
кольца переднего и заднего подшипников буксового узла роликовой колесной пары.
Составной измерительный блок соединен с
клеммовым разрезным зажимом упомянутыми выше продольными элементами соосного
скрепления. В корпусе указанного зажима имеются две внутренние смежные
проточки, одна из которых выполнена по размерам буртика кольца заднего
подшипника, а вторая, обращенная к измерительному блоку, проточка соответствует
по размерам наружной поверхности конусной части кольца переднего подшипника.
С внутренней стороны цилиндрической втулки
чувствительного элемента выполнены кольцевые направляющие буртики, разделённые цилиндрической
внутренней проточкой.
На листе № 3 и № 4 графической части проекта
представлен сборочный чертеж устройства для контроля прочности на сдвиг и
распрессовки колец подшипников колесных пар и деталировка.
Тензометрический измерительный элемент 1 с
тензорезисторами 2 смонтирован концентрично относительно корпуса 3 рабочего
гидроцилиндра и прижимается к упорному фланцу 4 последнего нажимной плитой 5 с
тяговым диском 6 и шпильками 7 скрепления измерительного блока. Поршень-шток 8
снабжен кольцевыми уплотнениями 9 в своей донной части 10 и резьбовой частью 11
для соосного скрепления с шейкой оси 12 с напрессованными на ней кольцами 13 и
14 переднего и заднего подшипников, на которых закрепляют поочередно клеммовый
разрезной зажим 15 с элементами продольного скрепления (тягами) 16. Защитный
кожух 17 предназначен для предохранения измерительного моста тензометрического
элемента 1. Штуцер 18 служит для подключения к сдвигающей полости рабочего
гидроцилиндра гибкого трубопровода высокого давления от масляного насоса.
Работа описанного устройства осуществляется
следующим образом. Поршень-шток 8 наворачивают на резьбовую часть шейки оси 12,
а на кольцо 13 переднего подшипника устанавливают и закрепляют неподвижно
клеммовый разрезной зажим 15 и соединяют последний элементами продольного
скрепления 16 с тяговым диском 6. Закрепляют на поршень-штоке 8 индикатор
часового типа (цена деления 0,002), что позволяет фиксировать возможное
аксиальное смещение контролируемого кольца относительно шейки оси под
воздействием продольной сдвигающей нагрузки, создаваемой давлением масла во
внутренней полости гидроцилиндра. Выполняют балансировку (установку нуля)
измерительного моста месдозы (измерительного элемента 1), устанавливают
относительно нуля стрелку индикатора часового типа для отсчета значений,
измеряемую датчиками сдвигающую нагрузку, после чего при нагнетании масла через
штуцер 18 в полость сдвига над донной частью 10 поршень-штока осуществляют
нагружение контролируемого кольца 13 нормированным аксиальным сдвигающим усилием
относительно шейки оси, передаваемым на кольцо 13 через месдозу. Увеличивают
аксиальную сдвигающую нагрузку до нормативного значения
,
установленного требованиями ТНПА, фиксируя ее по показаниям приборов тензометрического
контроля, и проверяют наличие смещения по шкале индикатора часового типа. При
отсутствии смещения (стрелка индикатора не отклоняется от начального положения)
контролируемое соединение признается годным к эксплуатации и не подлежит
браковке. В противном случае производят механическую распрессовку
забракованного кольца 13. Для этого снимают индикатор часового типа с
поршень-штока 8 рабочего гидроцилиндра и, увеличивая подачу масла под давлением
через штуцер 18, перемещают кольцо 13 на свободное место поршень-штока перед
упорным фланцем 4 корпуса гидроцилиндра. Проверку прочности напрессовки кольца
14 заднего подшипника выполняют аналогично, переместив на буртик его разъемный
(разрезной) клеммовый зажим 15. В этом случае величина контрольного аксиального
сдвигающего усилия определяется
, где
−
допустимое по требованиям ТНПА значение величины аксиальной сдвигающей нагрузки
для кольца 14 заднего подшипника.
При наличии признаков сдвига (по индикатору
часового типа) выполняют механическую распрессовку колец 13,14 или поочередно,
или совместно при увеличении давления масла в рабочем гидроцилиндре.
Эффективность предложенного устройства
заключается в использовании более эффективного контроля прочности на сдвиг
колец роликовых подшипников буксовых узлов колёсных пар вагонов по сравнению с
известными устройствами, применяемыми для технической диагностики напрессовок
(проверка на проворачивание кольца на шейке оси, ультразвуковой и виброакустический
контроль), в обеспечении возможности распрессовок посадок, не обладающих
установленной нормативной прочностью, а также в снижении энергозатрат
(исключение необходимости применения энергоемких устройств индукционного
нагрева деталей для демонтажа напрессовок буксовых узлов колесных пар вагонов)
[5].
4. Расчет экономической
эффективности от энергосбережения при внедрении устройства для контроля
прочности на сдвиг и распрессовки колец подшипников колесных пар и срока его
окупаемости
Экономической эффективности производства,
перевозок, новой техники и капитальных вложений отводится важное место в
экономики железнодорожного транспорта. Она является критерием целесообразности
создания и применения новой техники, реконструкции действующих предприятий, а также
мер по совершенствованию производства (перевозок) и улучшению условий труда.
Экономическая эффективность капитальных вложений
и новой техники в общем виде определяется как соотношение между затратами и
результатами, как итоговый синтетический интегральный показатель качества
экономического развития отрасли или предприятия. Капитальные вложения есть одно
из условий НТП и средств, для осуществления и вместе с тем роста
производительности труда.
Категория экономической эффективности выражает
требование закона экономии времени, действующего при всех способах
производства.
Экономическая эффективность новой техники
определяется теми же методами, что и эффективность капитальных вложений, то
есть путем сопоставления затрат с полученным эффектом.
В данном дипломном проекте внедряется устройство
для контроля прочности на сдвиг и распрессовки колец подшипников колесных пар,
которое не требует затрат энергии по сравнению с используемыми в данное время
индукционными нагревателями.
Экономическая эффективность внедряемого
устройства рассчитывается по следующей формуле
(4.1)
где
затраты
при использовании индукционного нагревателя, руб.;
- себестоимость
изготовления устройства для контроля прочности на сдвиг и распрессовки колец
подшипников колесной пары, руб.
Для снятия внутренних и лабиринтных колец
подшипников используется индукционный нагреватель ПР 1548. Затраты при его
использовании определяются по формуле
(4.2)
где
количество
внутренних колец подшипников на одной колесной паре;
- время, необходимое
для снятия одного внутреннего кольца подшипника, с;
цена за 1кВт∙ч
электроэнергии,
= 1406,93 руб./кВт∙ч;
мощность
индукционного нагревателя,
Себестоимость продукции складывается из затрат,
связанных с использованием в процессе производства: материалы, топливо,
энергия, труд рабочих.
В соответствии с этим, в себестоимость продукции
включаются:
затраты на подготовку и освоения производства;
затраты, непосредственно связанные с
производством продукции, обусловленные его технологией и организацией, включая
расходы на управление, затраты связанные с совершенствованием производства,
улучшением качества продукции, повышением его надежности, долговечности и
других эксплуатационных свойств;
затраты на улучшение условий труда и техники
безопасности, повышение квалификации работников и т.д.
Таким образом себестоимость продукции - это
сумма всех затрат связанных с ее производством:
(4.3)
где
-
заработная плата, руб.;
- отчисления в
фонд социальной защиты населения (ФСЗН), составляют
% от заработной платы, руб.;
- обязательное
страхование, составляет 0,63 % от заработной платы, руб.;
- затраты на
материалы, руб.;
- затраты на
электроэнергию, руб.;
-
общепроизводственные расходы, составляют 105,6 % от заработной платы, руб.
Затраты на материалы включают в себя закупку
заготовок для изготовления деталей и ручного рычажного насоса для нагнетания
масла YOCHOMI.
Стоимость такого насоса составляет 500000 руб.
Устройство для контроля прочности на сдвиг и
распрессовки колец подшипников колесной пары состоит из стандартных изделий
(шпилька, кольцевое уплотнение, штуцер, болт, тензорезистор) и разрабатываемых
деталей, многие из которых изготавливают из старогодних осей (корпус
гидроцилиндра, нажимная плита, поршень-шток, защитный кожух, крышка). Эти детали
не требуют закупки материалов. Для разработки тягового диска и клеммового
разрезного зажима закупают заготовку диаметром 230 мм и длиной 50 мм. Стоимость
такой заготовки составляет 1800000 руб.
Следовательно, затраты на материалы составляют:
Для разработки деталей необходима обработка их
поверхностей. Для этого используем токарный станок 16К20. Рассмотрим операцию
точения поверхности 1 корпуса гидроцилиндра (рисунок 4.1).
Рисунок 4.1 - Корпус гидроцилиндра
Норма времени на расточку данной поверхности
определяется по формуле [6]
(4.4)
где
−
основное механическое (машинное) время, мин.;
−
вспомогательное время,
;
− время
организационного и технического обслуживания рабочего места, мин.;
− время
перерывов на отдых и физиологические потребности, мин.
Для точения основное время определяется, как
(4.5)
где
−
частота вращения шпинделя, об/мин, или число двойных ходов ползуна в минуту;
− подача на
оборот шпинделя или на двойной ход ползуна,
;
−
расчётная длина обработки, мм;
−
число проходов, принимаем
.
Расчётная длина обработки,
(4.6)
где
−
длина обработки,
мм;
− величина
врезания, мм;
− перебег
инструмента, принимаем
мм;
−
дополнительная длина на взятие пробных стружек, принимаем
мм.
Величина врезания при точении
(4.7)
где
−
глубина резания,
=1 мм;
−
главный угол резца в плане,
.
По установленному значению скорости резания
определяется необходимое расчётное число оборотов или двойных ходов
(4.8)
где
−
скорость
резания,
=216
м/мин;
диаметр
обрабатываемой поверхности детали,
=130
мм.
Принимаем
=
500 об/мин.
Тогда
Оперативное время на механическую обработку
(4.9)
Время перерывов на отдых и физиологические
потребности определяется
(4.10)
где
−
процент на обслуживание рабочего места
−
процент на отдых и физиологические потребности,
.
Дальнейшие расчёты по каждой обрабатываемой
детали сводим в таблицу 4.1.
Таблица 4.1 - Нормирование времени изготовления
деталей
|
Деталь
|
Норма
штучного времени
|
|
мин
|
ч
|
|
1.
Корпус гидроцилиндра
|
20,4
|
0,34
|
|
2.
Тензометрический измерительный элемент
|
2
|
0,03
|
|
3.
Нажимная плита
|
5,3
|
0,09
|
|
4.
Тяговый диск
|
18,4
|
0,31
|
|
5.
Поршень-шток
|
20,5
|
0,34
|
|
6.
Клеммовый разрезной зажим
|
15,1
|
0,25
|
|
7.
Крышка
|
10,3
|
0,17
|
|
8.
Защитный кожух
|
5,2
|
0,09
|
|
Итого
|
1,62
|
Затраты на электроэнергию определяются по
формуле
(4.11)
где
-
мощность токарного станка 16К20,
=
11 кВт;
суммарная норма
штучного времени,
Заработная плата токаря рассчитывается по
следующей формуле
(4.12)
где
-
цена за один час работы токаря,
руб./чел.∙ч.
Следовательно, себестоимость изготовления
устройства для контроля прочности на сдвиг и распрессовки колец подшипников
колесной пары
Экономическая эффективность внедряемого
устройства
Число лет, необходимое для полного возмещения
затрат на изготовление устройства для контроля прочности на сдвиг и
распрессовки колец подшипников колесной пары называется срок окупаемости. Срок
окупаемости внедряемого устройства рассчитывается по следующей формуле
(4.13)
5. Охрана труда
.1 Требования по охране труда для
работников колесно-роликового участка
Общие требования по охране труда
Ответственными за состояние охраны труда в
колесно-роликовом участке являются руководители работ (заместитель начальника
депо по ремонту, мастер участка, бригадиры), которые организуют и контролируют
выполнение стандартов, действующих в вагонном депо, типовых и местных правил и
инструкций по охране труда, обеспечивают безопасное выполнение настоящего
технологического процесса, устраняют причины, способствующие возникновению
случаев производственного травматизма и профессиональных заболеваний.
К работе по техническому обслуживанию колесных
пар вагонов допускаются лица не моложе 18 лет, прошедшие предварительный при
поступлении на работу, а в дальнейшем периодический медицинский осмотр;
обучение, вводный инструктаж, первичный инструктаж на рабочем месте, стажировку
и проверку знаний по вопросам охраны труда. В процессе работы работники должны
проходить повторный инструктаж не реже одного раза в три месяца, а также
внеплановый и целевой инструктажи.
Работники во время исполнения трудовых
обязанностей должны иметь при себе удостоверение по охране труда, при
необходимости, удостоверение на право выполнения специальных работ.
При необходимости, для обеспечения сохранности,
удостоверение может находиться у руководителя работ. В случаях, когда
работником по кругу профессиональных (должностных) обязанностей выполняется
несколько видов работ, требующих проверки знаний по вопросам охраны труда и
выдачи удостоверений, разрешение на производство работ оформляется в одном
удостоверении по охране труда.
Работники колесно-роликового участка
обеспечиваются спецодеждой, спецобувью и предохранительными приспособлениями согласно
Перечню выдачи средств индивидуальной защиты работникам вагонного депо Брест.
Каждый работник должен знать и строго выполнять
правила противопожарной безопасности, порядок подачи пожарной тревоги, вызова
пожарной команды по телефону, устройство пожарной сигнализации, а также уметь
пользоваться первичными средствами пожаротушения.
Необходимо соблюдать следующие требования охраны
труда:
все производственные, служебные, складские и
вспомогательные здания и помещения содержать постоянно в чистоте;
не загромождать проходы, выходы, коридоры,
лестничные марши и площадки различными предметами и оборудованием;
обеспечить свободный доступ к противопожарному
инвентарю, оборудованию и постоянно содержать их в исправном состоянии;
немедленно отключать неисправное электрооборудование
до полного приведения его в соответствие с требованиями нормативно-правовых
актов по охране труда при работе в электроустановках;
не допускать складирования спецодежды,
промасленной ветоши, прочих материалов на нагревательных приборах и
трубопроводах отопления;
не применять источники открытого огня в
помещениях кладовых, складов;
не использовать пожарный инвентарь и
оборудование для хозяйственных, производственных и других нужд, не связанных с
пожаротушением;
тщательно осмотреть после окончания работы все
производственные, служебные и складские помещения, закрыть двери, окна и другие
проёмы в помещениях;
при пожаре немедленно сообщить мастеру
(бригадиру) и (или) вызвать пожарную охрану.
Не разрешается курить вблизи газовых баллонов,
легковоспламеняющихся жидкостей и материалов, а также подходить к ним с
источниками открытого огня, так как это может вызвать взрыв.
К работе с бензином, керосином должны
допускаться лица, прошедшие специальный (целевой) инструктаж по охране труда.
Промывать узлы и детали в керосине и соляровом растворе следует в специальных
(технических) перчатках, соблюдая при этом меры противопожарной безопасности.
Территория участка должна постоянно содержаться
в чистоте и систематически очищаться от отходов производства. Металлическая
стружка, промасленные обтирочные материалы и производственные отходы должны
храниться в специально отведённых местах. К зданию и помещениям должен быть
обеспечен свободный доступ. Проезды и подъезды к зданию и пожарным
водоисточникам, а также подступы к пожарному инвентарю и оборудованию должны
быть всегда свободными.
Работники колесно-роликового участка должны:
- знать
действие на человека опасных и вредных производственных факторов, возникающих
во время работы.
Опасные и вредные производственные факторы,
воздействию которых могут подвергаться работники при техническом обслуживании и
ремонте вагонов:
подвижной состав, движущиеся колесные пары,
машины и механизмы;
повышенная или пониженная температура
оборудования;
повышенная или пониженная температура воздуха;
повышенный уровень вибрации, шума и инфразвука;
повышенный уровень напряжения в электроцепи;
недостаточная освещенность рабочей зоны;
замыкание электротока, которое может пройти
через тело человека;
падение тяжелых деталей колесной пары (корпуса
буксы, подшипника и т. д.);
вращающиеся детали оборудования.
знать правила оказания первой (доврачебной)
помощи;
содержать в исправном состоянии инструмент,
приспособления, инвентарь, средства индивидуальной защиты (СИЗ);
внимательно следить за сигналами и
распоряжениями руководителя работ, выполнять их команды;
выполнять требования запрещающих,
предупреждающих, указательных и предписывающих знаков, надписей и сигналов,
подаваемых водителями транспортных средств, машинистом крана и стропальщика;
обращать внимание на движущиеся по смежным путям
вагоны и локомотивы при проходе вдоль пути.
В случае нахождения во время движения составов
на междупутье необходимо остановиться, положить переносимый груз на землю,
внимательно смотреть навстречу идущему подвижному составу, быть внимательным к
негабаритным грузам и другим, выступающим за габариты предметам и дождаться
прохода (остановки) состава и лишь после этого снова продолжить движение.
Переходить пути разрешается только под прямым
углом, не наступая на головки рельс, обходя стрелочные переводы, предварительно
убедившись в отсутствии движущегося по путям подвижного состава. При переходе
путей для осмотра и ремонта вагонов в плохую погоду (туман, снегопад, метель,
дождь и т. д.), когда видимость световых и слышимость звуковых сигналов
значительно снижена, необходимо остановиться в средней части междупутья и
убедиться в отсутствии движущегося поезда.
Пути следует переходить после проследования
подвижного состава.
Помнить о сооружениях и устройствах, которые
располагаются на междупутьях, о которые можно травмироваться при проходе по
станционным путям, особенно в ночное время. Подлезать под автосцепку,
перелезать через автосцепку, подлезать под неогражденный состав запрещается.
Переходить путь, занятый подвижным составом,
только через переходные площадки или по пешеходному (технологическому) проходу.
Обходить стоящие на путях группы вагонов или
локомотивы на расстоянии не менее 5 м от автосцепки. Между расцепленными
вагонами не менее 10 м - проходить разрыв посередине.
Предварительно убедиться в отсутствии
движущегося по пути подвижного состава выходя из помещения и других зданий,
закрывающих обзор пути.
Выходя из служебных помещений в темное время
суток, необходимо выждать, пока глаза привыкнут к темноте, и установится
нормальная видимость окружающих предметов.
Не допускается:
переходить или перебегать пути перед движущимся
подвижным составом (локомотивом, мотовозом, дрезиной, колесной парой);
становиться или садиться на рельс;
садиться на подножки вагонов или локомотивов и
сходить с них во время движения;
находиться на междупутье между поездами при
безостановочном их следовании по смежным путям;
переходить стрелки, оборудованные электрической
централизацией, в местах расположения остряков и поперечных скреплений стрелочных
переводов;
передавать электроинструмент даже на
непродолжительное время другим лицам;
ремонтировать электроинструмент, токоподводящие
кабели, штепсельные соединения;
касаться вращающихся частей инструмента и
оборудования;
удалять руками с инструмента и оборудования
стружку или опилки во время его работы и до полной остановки вращающихся
частей.
Работник должен правильно укладывать и
устанавливать детали, запасные части, материалы и колесные пары на ремонтный
путь, станок и стеллажи, в отделениях обеспечивая свободные проходы.
При техническом обслуживании колесных пар в
темное время суток, работник должен пользоваться аккумуляторным фонарем.
Работник имеет право выполнять только входящую в
круг его служебных обязанностей или порученную руководителем работ работу. Для
выполнения дополнительных обязанностей (электросварочные работы, эксплуатация
кран-балок и др.) работник должен пройти специальное обучение и сдать экзамен
по правилам технической эксплуатации применяемых механизмов, охраны труда и
пожарной безопасности.
Перед началом работы руководитель работ обязан
проверить численный состав рабочих в смене, наличие и исправность у них
инструмента, измерительных приборов, шаблонов, сигнальных принадлежностей и
средств индивидуальной защиты, а также наличие на стеллажах запасных частей и
материалов и в случае необходимости принять меры к их пополнению.
Работники колесно-роликового участка обязаны без
задержек сообщать своему непосредственному руководителю о всех замеченных
нарушениях настоящего технологического процесса и инструкций по охране труда, в
том числе, о неисправном оборудовании, инструменте, защитных приспособлений и
средств индивидуальной защиты создающих опасность для людей, и принимать меры к
предупреждению случаев травматизма.
Выполнение требований настоящего
технологического процесса является служебной обязанностью работников
колесно-роликового участка, а их нарушение влечет за собой в зависимости от
последствий, дисциплинарную ответственность в соответствии с законодательством
РБ.
Требования охраны труда перед
началом работы
Работники колесно-роликового участка перед
началом работы должны надеть полагающиеся им средства индивидуальной защиты,
привести их в соответствующий порядок:
застегнуть на пуговицы обшлага рукавов;
заправить свободные концы одежды так, чтобы она
не свисала;
получить дежурные средства индивидуальной
защиты, необходимые для выполнения работ и проверить их состояние.
Не допускается носить спецодежду расстегнутой и
с подвернутыми рукавами.
Спецодежда надевается перед работой и не
снимается в течение всего рабочего времени.
При производстве работ и нахождении на путях,
ношение сигнальных жилетов обязательно.
Перед началом работы работник обязан проверить
наличие и исправность инструмента, измерительных приборов, шаблонов, а также наличие
на стеллажах и оборудовании запасных частей и материалов и в случае
необходимости принять меры по их пополнению.
Неисправный инструмент, измерительные приборы,
шаблоны должны быть заменены на исправные.
Перед выдачей электро- и пневмоинструмента он
должен быть в присутствии работника осмотрен, проверен на отсутствие замыкания
на корпус и в работе на холостом ходу.
Корпус электроинструмента, работающего от сети
более 42 В, должен иметь двойную изоляцию.
При необходимости следует применять электроинструмент
со средствами индивидуальной защиты (электроизолирующие перчатки, резиновые
коврики, виброзащитные рукавицы и т. д.), при этом необходимо проверить:
комплектность и надежность крепления деталей;
исправность кабеля и штепсельной вилки,
целостность изоляционных деталей корпуса, рукоятки и крышек щеткодержателей,
наличие закрытых кожухов, их исправность;
четкость работы выключателя;
работу на холостом ходу.
Проверить состояние ручного инструмента:
бойки молотков, кувалд должны иметь гладкую
слегка выпуклую поверхность без сколов, выбоин, трещин и заусенцев;
рукоятки молотков, кувалд и другого инструмента
ударного действия должны быть изготовлены из сухой древесины твердых пород
(березы, дуба, бука, клена, ясеня, рябины, граба) без сучков. Использование рукояток
из мягких и крупнослоистых пород дерева не допускается. Рукоятки молотков,
зубил и т. п. должны иметь по всей длине в сечении овальную форму, быть
гладкими и не иметь трещин. У кувалд рукоятка к свободному концу несколько
утончается. Кувалда насаживается на рукоятку в сторону утолщенного конца без
клиньев.
инструмент ударного действия (зубило, бородок и
др.) следует изготавливать гладким; затылочная часть должна быть без трещин,
заусенцев, наклепа и скосов. Инструмент ударного действия изготавливается, как
правило, длиной не менее 150 мм. Угол заточки рабочей части зубила должен
соответствовать: 70° - для рубки бронзы и чугуна; 60° - для стали средней
твердости; 45° - для латуни и меди; 35° - для цинка и алюминия;
при работе клиньями и зубилами с помощью кувалд
должны применяться клинодержатели с рукояткой длинной не менее 0,7 м;
при работе инструментом ударного действия
работники должны пользоваться защитными очками для защиты глаз;
размеры зева (захвата) гаечных ключей не должны
превышать размеров головок болтов (граней гаек) более чем на 0,3 мм. При
отвертывании и завертывании гаек и болтов удлинять гаечные ключи
дополнительными рычагами, вторыми ключами или трубами не допускается. При
необходимости применяются ключи с длинными рукоятками;
при работе на высоте инструмент следует держать
в специальных сумках;
ответственными за исправное состояние ручного
слесарно-кузнечного инструмента является руководитель работ (мастер, бригадир);
весь ручной слесарно-кузнечный инструмент
необходимо осматривать не реже одного раза в квартал, а также непосредственно
перед применением руководителем работ. Неисправный инструмент подлежит изъятию
и (или) ремонту;
слесарный инструмент, предназначенный для
ремонта и обслуживания оборудования и аппаратов для хранения и транспортирования
легковоспламеняющихся и горючих жидкостей, горючих газов, должен исключать
возможность искрообразования при работе с ним.
Пневматический инструмент должен соответствовать
требованиям ГОСТ 12.2010:
рабочая часть пневматического инструмента должна
быть правильно заточена и не иметь повреждений, трещин, выбоин и заусенец;
для пневматического инструмента должны
применяться гибкие шланги. Использовать шланги, имеющие повреждения, не
допускается;
натягивать и перегибать шланг пневмоинструмента
во время работы, а также пересечение его тросами, кабелями и рукавами
газосварки не допускается;
работать пневмоинструментом ударного действия
необходимо в защитных очках и рукавицах.
Не допускается:
работать пневмоинструментом с
неотрегулированными клапанами и с приставных лестниц;
исправлять, регулировать и менять рабочую часть
инструмента во время работы и при наличии в шланге воздуха;
работать пневмоинструментом без средств
виброзащиты в управлении рабочим инструментом и без защитного кожуха;
работать пневмоинструментом ударного действия
без устройств, исключающих самопроизвольный вылет рабочей части при холостых
ударах;
держаться при работе пневмоинструментом за его
рабочую часть;
использовать для переноса пневмоинструмента
шланг или рабочую часть.
При работе с грузоподъемными механизмами и
грузозахватными приспособлениями необходимо проверить соответствие требованиям
нормативным документам:
а) грузоподъемные механизмы и приспособления
должны иметь на грузоподъемных элементах (узлах) подписи (или металлические
бирки) с указанием на них инвентарного номера, грузоподъемности и даты
следующего испытания;
б) после изготовления и при эксплуатации съемные
грузозахватные приспособления подвергаются осмотру в установленные сроки, но не
реже чем через 1 месяц - тара, траверсы, клещи и другие захваты, через 10 дней
- стропы и чалки. Результаты осмотра грузозахватных приспособлений лицо
ответственное за содержание их в исправном состоянии, должно записать в «Журнал
учета и осмотра такелажных средств, грузоподъемных машин, механизмов и
приспособлений»;
в) статическое испытание грузоподъемных
механизмов проводится в течение 10 минут подъемом груза, на 25 % превышающим
наибольшую массу поднимаемого груза;
г) динамическое испытание проводится грузом, на
10 % превышающим номинальную грузоподъёмность;
д) подъем груза, на который не разработаны схемы
строповки, производится в присутствии и под руководством работника,
ответственного за безопасное производство работ по перемещению грузов;
е) груз при его перемещении в горизонтальном
направлении должен быть предварительно поднят на высоту не менее 0,5 м выше
встречающихся предметов;
ё) для удобства извлечения стропов из-под груза
на месте его установки необходимо уложить прочные прокладки толщиной не менее
60 мм, затем опустить 2 - 3 раза на 100 мм для проверки подъемности действия
тормоза, равномерности натяжения стропов и т. д;
ж) для разворота длинномерных и тяжеловесных
грузов во время их подъёма или перемещения следует применять оттяжки - крючья
соответствующей длинны или оттяжки из веревки, тросов, канатов. Использование
проволоки в качестве оттяжки не допускается.
Перед началом работы руководитель работ должен
проверить у машиниста крана (кран-балки), стропальщика или лица, совмещающего
работу наличие удостоверения, на право выполнения специальных работ, отметки в
удостоверении о периодической проверке знаний, наличие средств индивидуальной
защиты в т. ч. защитной каски и сигнального жилета.
При нарушении этих требований выполнение работ с
грузоподъемными механизмами не допускается.
Требования охраны труда при
выполнении работы
Подача на колесно-роликовый участок и уборка
колесных пар из участка, а также погрузка и выгрузка из вагона производится
грузоподъемным краном и кран-балками под руководством руководителя работ (лица,
ответственного за безопасное производство работ грузоподъемными кранами
(мастера или бригадира)).
За 10 минут до подачи колесных пар в участок или
на погрузку в вагон руководитель работ убедившись в том, что:
маневровая работа по смежным путям закончена;
пути для приема колесных пар свободны;
отсутствуют препятствия для движения и
отсутствуют люди, отдает указание стропальщику о начале выполнения работы.
Для создания безопасных условий труда при подаче
колесных пар стропальщик оставляет колесную пару в заторможенном состоянии.
Для предотвращения заезда маневрового локомотива
или других транспортных средств на тракционные пути, через которые необходимо
транспортировать колесные пары, на данных путях в обе стороны от монорельса на
расстоянии 50 метров руководителем работ устанавливаются сигнальные щиты.
Проверяется наличие сигнальных щитов на 1, 2, 3, путях перед вагоносборочным
участком, если таковых нет, то их необходимо установить.
Передвижение колесных пар вручную должно
производиться со скоростью не более 3 - 4 км/ч, при этом работники,
производящие передвижение колесных пар путем подталкивания, должны находиться
сбоку колесной пары на безопасном расстоянии. Не допускается находиться спереди
или сзади колесной пары.
Не допускается переходить путь перед движущейся
колесной парой.
Не допускается оставлять на междупутьях снятые с
тележек колесные пары, приспособления и инструмент.
При обнаружении нарушений безопасной работы,
которые невозможно устранить своими силами, рабочие обязаны прекратить работу,
доложить о неисправностях руководителю работ. Последний обязан принять меры к
устранению обнаруженных нарушений.
Движение на работу, в столовую, к бытовым
помещениям и обратно осуществляется по маршрутам, указанным в схеме безопасных
проходов для рабочих ремонтных участков.
Выходя из помещения колесно-роликового участка
необходимо соблюдать осторожность, помнить, что рядом может двигаться козловой
кран.
Требования охраны труда в аварийных
ситуациях
При обслуживании колесных пар могут возникнуть
следующие аварийные ситуации:
сход колесной пары с рельс;
короткое замыкание электропроводки оборудования;
загорание, могущее привести к пожару или взрыву.
При возникновении аварийной ситуации работник
обязан прекратить работу, немедленно сообщить о случившемся руководителю работ
(мастеру, бригадиру) и далее выполнять его указания по предупреждению
несчастных случаев или устранению возникшей аварийной ситуации.
Работники, находящиеся вблизи, по сигналу
тревоги обязаны немедленно явиться к месту происшествия и принять участие в
оказании пострадавшему первой доврачебной помощи или устранения аварийной
ситуации.
При ликвидации аварийной ситуации необходимо
действовать в соответствии с утвержденным планом ликвидации аварии.
При обнаружении пожара необходимо:
немедленно сообщить об этом в пожарную службу;
задействовать систему оповещения о пожаре;
принять меры к эвакуации людей;
известить о пожаре руководителя организации или
заменяющего его работника;
организовать встречу пожарных подразделений,
приступить к тушению пожара имеющимися средствами пожаротушения (внутренними
пожарными кранами, огнетушителями и т. п.).
При поражении электрическим током необходимо:
быстро отключить источник электрического тока, а
если это невозможно, приняв меры собственной безопасности, отделить
пострадавшего от источника тока.
В условиях до 1000 В для этого можно
использовать инструмент с изолированными рукоятками, а также сухие предметы, не
проводящие электрический ток. При этом нельзя пользоваться металлическими или
мокрыми предметами.
При напряжении свыше 1000 В необходимо применять
электроизолирующие перчатки, боты, изолирующие штанги или клещи.
определить состояние пострадавшего и немедленно
приступить к оказанию ему первой помощи. При нарушении дыхания необходимо
приступить к проведению искусственного дыхания и наружного массажа сердца.
Оказание первой помощи следует выполнять до
появления у пострадавшего самостоятельного дыхания и восстановления
деятельности сердца.
При получении механической травмы необходимо
остановить кровотечение, обработать рану перекисью водорода, наложить повязку.
Если накладывается жгут, необходимо зафиксировать время его наложения. Жгут
можно не снимать в течение двух часов в тёплое время года, а в холодное -
одного часа.
При переломах необходимо наложить шину,
фиксирующую неподвижность поврежденных частей тела. Для этого можно
использовать доски и бинт. При открытых переломах необходимо до наложения шины
перевязать рану.
При растяжении связок необходимо наложить на
место растяжения давящую повязку и холодный компресс. При вывихах конечность
оставляют в том положении, какое она приняла после травмы, на область сустава
накладывают холодный компресс.
При всех видах механических травм пострадавшего
необходимо доставить в лечебное учреждение.
При ожогах первой степени (наблюдается только
покраснение и небольшое опухание кожи) следует смочить обожжённое место крепким
раствором марганцовокислого калия.
При ожогах второй степени (образуются пузыри,
наполненные жидкостью) надо наложить на обожженное место стерильную повязку.
При тяжелых ожогах следует на обожженное место
наложить стерильную повязку и немедленно отправить пострадавшего в лечебное
учреждение. Нельзя смазывать обожженное место жиром или мазями, отрывать
пригоревшие к коже части одежды. Обожженного необходимо обильно поить горячим
чаем.
При попадании пыли или порошкообразного вещества
в глаза промыть их слабой струёй проточной воды.
При ожогах химическими веществами, необходимо
открыть веки и обильно промыть глаза в течение 10 - 15 минут слабой струей
проточной воды, после чего пострадавшего отправить в медицинское учреждение.
При ожогах глаз горячей водой или паром
промывание глаз не рекомендуется. Глаза закрывают стерильной повязкой и
пострадавшего направляют в медицинское учреждение.
Требования охраны труда по окончании
работы
По окончании работы работники колесно-роликового
участка должны:
- привести в
порядок свое рабочее место;
- сложить
инструмент, инвентарь и приспособления в специально предназначенные для них
места или кладовые;
- собрать
использованные обтирочные материалы в металлические ящики с плотно
закрывающейся крышкой;
- снять
спецодежду и другие средства индивидуальной защиты и убрать в шкаф гардеробной.
Загрязненную и неисправную спецодежду, при
необходимости, сдать в установленном порядке в стирку (химчистку) или ремонт.
Для очистки кожи от производственных загрязнений
по окончании смены необходимо применять мыло и смывающую пасту.
Не допускается применение керосина или других
токсичных нефтепродуктов для очистки кожных покровов и средств индивидуальной
защиты.
Все средства измерения, приспособления и
оборудования после окончания работы должны быть очищены от грязи и осмотрены и
при наличии неисправностей или отклонений от требований нормативно-технической
документации сделаны записи в специальных журналах произвольной формы.
Обо всех неисправностях и недостатках,
замеченных во время работы и о принятых мерах к их устранению, работники должны
сообщить руководителю работ [3].
5.2 Основные требования к освещению
Основные требования к освещению предполагают
создание условий труда, снижающих утомление зрения, предотвращающих
производственный травматизм и способствующих повышению производительности
труда. Осветительные установки должны обеспечивать:
- достаточную яркость рабочей поверхности или
(при определенном коэффициенте отражения) ее достаточную освещенность;
- достаточную равномерность распределения
яркости или освещенности рабочей поверхности;
отсутствие глубоких и резких теней на рабочих
поверхностях, на полу, в проходах, в междупутьях;
- отсутствие в поле зрения слепящих яркостей;
- постоянство освещенности рабочей поверхности
во времени [8].
.3 Выбор системы освещения
По способу размещения светильников в
производственных помещениях различают две системы освещения: общего и комбинированного.
Система общего освещения предназначена для
освещения как всего помещения в целом, так и расположенных в помещении рабочих
мест и поверхностей. При общем освещении светильники устанавливаются только в
верхней зоне помещения (непосредственно на поверхности потолка или
подвешиваются к нему, на фермах, иногда на стенах, колоннах). При общем
освещении различают два способа размещения светильников − равномерное и
локализованное.
Общее равномерное освещение
наиболее распространено. Оно устраивается в цехах и помещениях с равномерно
распределенным по площади оборудованием, во вспомогательных помещениях.
Однако в некоторых
производственных помещениях возникает необходимость создания более высокой
освещенности на отдельных участках. Это можно достигнуть различными способами:
более частой установкой светильников, изменением их типа или мощности
источников света (ламп), уменьшением высоты установки светильников или
комбинацией различных способов. Такая система освещения называется общим
локализованным освещением. Преимущества локализованного освещения перед общим
равномерным заключаются в уменьшении мощности осветительных установок,
возможности создания требуемой направленности светового потока и избежали; на
рабочих местах теней. Однако локализованное освещение имеет ряд недостатков,
обычно большую по сравнению с общим равномерным освещением неравномерность
распределения яркостей в поле зрения работающих, усложнен осветительных сетей.
Система комбинированного
освещения применяется, как правило, в помещениях, где выполняются тонкие и
точные зрительные работы, а также если; необходимо иметь на рабочих местах
строго определенное или переменное направление света. При комбинированном
освещении в помещениях предусматривается общее освещение, как правило, с
равномерным размещением светильников и местное освещение светильниками,
установленными на рабочих местах в непосредственной близости от рабочей зоны
(на станках, верстаках) [8].
5.4 Выбор
источников света
В настоящее время в
осветительных установках производственных помещений могут применяться различные
источники света, которые делятся на две группы − газоразрядные лампы и
лампы накаливания.
При выборе источников света для
производственных помещений необходимо руководствоваться следующими
рекомендациями: предпочтение следует отдавать газоразрядным лампам, как
энергетически более экономичным и обладающим большей продолжительностью
горения; для уменьшения первоначальных затрат на осветительные установки и
расходов на их эксплуатацию по возможности следует применять лампы большей
мощности, но без ухудшения при этом качества освещения. Для общего освещения
производственных помещений высотой более 6 м целесообразно применять дуговые
ртутные лампы с исправленной цветностью (ДРЛ).
Лампы ДРЛ обладают хорошими
эксплуатационными свойствами:
- высокая световая отдача (до
60 лм/Вт);
большой срок службы (до 10 000
ч);
могут работать при низких
температурах, что дает возможность использовать их и в наружных осветительных
установках.
Основные недостатки ламп ДРЛ:
- большие пульсации светового
потока;
значительная длительность
разгорания до номинального светового потока (5-7 мин);
необходимость включения через
специальную пускорегулирующую аппаратуру.
В производственных помещениях
применяются лампы ДРЛ мощностью от 80 до 2000 Вт.
При эксплуатации осветительных
установок с газоразрядными лампами следует иметь в виду, что им присущ
стробоскопический эффект, вызывающий искажение восприятия движущихся предметов.
Характеристикой источников
света с точки зрения пульсации светового потока является коэффициент пульсации.
Если коэффициент пульсации
высок, то он может быть снижен:
- за счет уменьшения расстояния
между светильниками, присоединенными к различным фазам;
установкой в одной точке
светильников, лампы которых присоединены к двум или трем фазам (особенно для
ДРЛ) [8].
5.5 Определение
нормативных параметров освещения
Правильность решения данного
вопроса определяет ход дальнейших этапов проектирования. При определении
нормируемых параметров необходимо пользоваться ТКП 45-2.04-153-2009.
Для нахождения нормы
освещенности по ТКП 45-2.04-153-2009необходимо знать характеристику зрительной
работы, которая определяется разрядом, под разряд и систему освещения (общее
или комбинированное). Разряд зрительной работы устанавливается по наименьшим размерам
объектов различения, а подразряд − по характеристике фона (темный,
средний, светлый) и контрасту объекта различения с фоном (малый, средний и
большой). Стандарт конкретизирует нормативные требования к освещенности
отдельных цехов, отделений, участков и рабочих мест. Согласно данному стандарту
нормируемое значение освещенности
=
200 лк.
Помимо освещенности нормируется
и коэффициент пульсации освещенности. Нормируемое значение коэффициента
пульсации освещенности для общего освещения колесно-роликового участка
~
20% .
Данное значение коэффициента
пульсации достигается совместной установкой в светильниках трех ламп,
включенных на разные фазы [8].
5.6 Выбор
осветительных приборов
В создании здоровых и
безопасных условий труда в производственных помещениях важное значение имеет
нормальная освещенность рабочих мест и объектов труда. В связи с этим
правильный выбор типа светильников, их расположения, удобство обслуживания
являются важными факторами предупреждения случаев травмирования и некоторых
видов профессиональных и общих заболеваний.
Перераспределение светового
потока источника света достигается использованием рассеивателей, отражателей, а
в ряде случаев − преломляющих оптических систем. В зависимости от
материала рассеивателя, профиля, материала поверхности отражателя можно в
широких пределах варьировать распределение силы света светильника от
равномерного во всех направлениях пространства (шар молочного стекла) до резко
выраженного в определенном направлении (зеркальный глубокоизлучатель).
При выборе типа светильников по
светораспределению необходимо учитывать, что с увеличением высоты подвеса
светильников, как правило, следует использовать светильники с более
концентрированным светораспределением (ГсР, ГсХР, С, УПД). Это позволяет
сконцентрировать световой поток в нижней части производственных помещений и
обеспечить нормальные условия зрительной работы, повысить экономичность
осветительных установок.
Принимаем трехламповые
светильники С34ДРЛ, рекомендуемые для освещения производственных помещений
железнодорожных предприятий по ремонту подвижного состава [8].
.7