Снижение затрат на ремонт и эксплуатацию теплохода проекта 1741А путем модернизации судовой энергетической установки и буксирного устройства
СОДЕРЖАНИЕ
ВВЕДЕНИЕ
. ОПИСАНИЕ ОБЪЕКТА МОДЕРНИЗАЦИИ
.1 Толкач - буксир проекта 1741А
.2 Актуальность темы дипломного проекта
.3 Анализ характеристик маневренности
.4 Анализ выбора судовых двигателей
.5 Анализ выбора судовой буксирной лебёдки
.6 Цель и задачи дипломного проекта
. РАСЧЕТНАЯ ЧАСТЬ
.1 Проверочный расчет валопровода
.1.1 Определение диаметра валопровода
.1.2 Проверочный расчет прочности промежуточного вала
.1.3 Проверочный расчет прочности гребного вала
.1.4 Проверочный расчет на критическую частоту вращения
гребного вала
.1.5 Проверочный расчет вала на продольную устойчивость
.2 Расчет систем СЭУ
.2.1 Расчет топливной системы
.2.2 Расчет масляной системы
.2.3 Расчет системы охлаждения
.2.4 Расчет системы сжатого воздуха
.2.5 Расчет газовыпускной системы
.3 Проверочный расчет остойчивости судна
. ТЕХНОЛОГИЧЕСКИЙ РАЗДЕЛ
.1 Описание детали
.2 Материалы и заготовки полумуфт
.3 Проектирование технологического процесса
.4 Расчет режима резания
. ОХРАНА ТРУДА
.1 Общие положения
.2 Охрана труда на водном транспорте
.3 Обслуживание судовых двигателей внутреннего сгорания
.4 Требования безопасности в машинном отделении
. ОХРАНА ОКРУЖАЮЩЕЙ СРЕДЫ
.1 Общие положения
.2 Требования к судам по охране окружающей среды
.2.1 Предотвращение загрязнения нефтью
.2.2 Предотвращение загрязнения сточными водами
.2.3 Предотвращение загрязнения мусором
.3 Экологическая безопасность при проектировании
судовых дизелей
.3.1 Расчет выбросов оксидов азота
.3.2 Расчет выбросов оксида углерода
.3.3 Расчет выбросов сажи
.4 Расчет автономности плавания судна
. ТЕХНИКО-ЭКОНОМИЧЕСКОЕ ОБОСНОВАНИЕ
.1 Капитальные вложения в СЭУ
.2 Текущие расходы
.3 Приведенные затраты
ЗАКЛЮЧЕНИЕ
СПИСОК ИСПОЛЬЗУЕМЫХ ИСТОЧНИКОВ
Введение
Актуальность темы дипломного проекта. В практике судовождения нередко
приходится иметь дело с буксировкой, а также с использованием буксира при
выполнении рейдовых работ и для проводки состава по малым извилистым рекам.
Поэтому, чтобы данные операции проходили успешно, на судне должно быть
исправное буксирное устройство. А также, со временем, возникает необходимость
замены главных двигателей, которая вызвана их моральным и физическим износом.
Резкое уменьшение объёмов отечественного судостроения, наблюдаемое в
течение последнего ряда лет, привело к моральному и физическому старению флота,
средний возраст которого составляет около 30 лет. Согласно официальным данным,
свыше 40 судов уже выработали свой нормативный срок службы и не удовлетворяют
современным эксплуатационным и техническим требованиям.
Одним из возможных путей решения этой проблемы является модернизация и
переоборудование судов старой постройки. Модернизация позволяет в относительно
сжатые сроки, без изменения основного назначения судна, привести его в
состояние, соответствующее современным требованиям, нормам и правилам.
Основанием для модернизации является технико-экономическая
целесообразность, подтверждаемая соответствующими расчётами.
В связи с изложенным тема дипломного проекта является актуальной.
Связь темы дипломного проекта с общенаучными (государственными)
программами и планом работы академии. Работа выполнялась в соответствии с
научной целевой комплексной программой «Повышение эффективности судовых главных
и вспомогательных энергетических установок» ОИВТ (филиал) ФБОУ ВО «СГУВТ».
Регистрационная карта ФГНУ «Центр информационных технологий и систем органов
исполнительной власти» (ЦИТиС) И111130084407, регистрационный номер
01201180546.
Целью дипломного проекта является снижение затрат на ремонт и
эксплуатацию теплохода проекта 1741А путем модернизации судовой энергетической
установки и буксирного устройства, с последующим использованием судна на
рейдовых работах и на малых извилистых реках.
Идея дипломного проекта заключается в снижении затрат на ремонт и
эксплуатацию теплохода проекта 1741А за счет модернизации судовой
энергетической установки и буксирного устройства.
Методы исследования. В процессе выполнения исследования применялись:
научно-техническое обобщение литературных источников, типовые методики по
теоретическим расчетам систем СЭУ, валопровода и остойчивости судна.
Обоснованность идостоверность расчетов, выводов и рекомендаций
подтверждаются: применением рекомендованных методов расчетов и принятыми
уровнями допущений при внедрении данных полученных в дипломном проекте в
производство.
Практическая значимость дипломного проекта. Основные результаты расчетов
и технических решений разработанные в дипломном проекте выполнены и предложены
к внедрению.
На защиту выносятся следующие результаты:
1. Результаты анализа и выбора главных двигателей, буксирной лебедки.
2. Результаты проверочного расчета систем СЭУ, расчет валопровода, расчет
остойчивости судна.
3. Расчет выбросов оксидов азота, оксида углерода, сажи.
4. Технология изготовления полумуфты ТНВД.
5. Результаты технико-экономического расчета.
Структура и объем дипломного проекта. Дипломный проект состоит из
введения, шести глав, заключения, списка используемых источников. Изложен на
101 странице машинописного текста, содержит 27 рисунков, 26 таблиц, список
используемых источников из 25 наименований.
1. Описание объекта модернизации
1.1 Толкач - буксир проекта 1741А
Рисунок 1.1 - Буксир - толкач проекта 1741
Суда проекта 1741 разрабатывались для работы на р.
Иртыш, Обь, Енисей, Лена в условиях сильного течения. Суда оборудованы
автосцепным устройством типа УДР-50. Имеют мощность главных двигателей 600 л.с.
Данные суда строились на судостроительном предприятии Тюменский
судостроительный завод (Россия, Тюмень). Класс речного регистра: «
Р».
Проект 1741А - модификация, имеющая главные двигатели
увеличенной мощности, ледовое усиление корпуса и отличающаяся остеклением
рубки. Имеют мощность главных двигателей 740 л.с. Управление судном
автоматизировано. Данные суда строились на судостроительном предприятии
Тюменский судостроительный завод (Россия, Тюмень). Класс речного регистра: «
Р».
Проект: 1741 (Амурская серия). Тип: Буксир-толкач для
работы на р. Амур. Имеют мощность главных двигателей 600 л.с. Данные суда
строились на судостроительном предприятии Сретенский судостроительный завод
(Россия, Читинская обл., пос. Кокуй). Класс речного регистра: «
Р».
Суда
всех вышеупомянутых проектов изначально были оборудованы эхолотом
<https://ru.wikipedia.org/wiki/%D0%AD%D1%85%D0%BE%D0%BB%D0%BE%D1%82>,
радаром <https://ru.wikipedia.org/wiki/%D0%A0%D0%B0%D0%B4%D0%B0%D1%80>,
станциями дальней и ближней радиосвязи. Суда допущены для движения в тумане и
по водохранилищам вне видимости береговых ориентиров.
Таблица 1.1 - Основные характеристики теплохода проекта 1741А
|
№
|
Параметр
|
Обозначение
|
Размерность
|
Значение
|
1. Размеры
судна габаритные: - длина - ширина - высота от ОЛ до верха несъёмных частей
м
м
м33
,3
|
12,6
|
|
|
|
|
2.
|
Высота надводного борта
|
м1,18
|
|
|
|
3.
|
Водоизмещение с
полнымизапасами
|
т255/252
|
|
|
|
4.
|
Осадка при водоизмещении
255/252 т
|
м1,5
|
|
|
|
5.
|
Скорость судна на глубокой
тихой воде (без состава)
|
км/час19,0/19,7
|
|
|
|
6.
|
Мест для экипажа
|
-
|
шт
|
11,0
|
|
7.
|
Автономность плавания
|
-
|
сут.
|
9,0/20,0
|
Таблица 1.2 - Главные двигатели
|
№
|
Параметр
|
Обозначение
|
Размерность
|
Значение
|
|
1.
|
Дизель - 8 ЧНСП 18/22:
четырёхтактный, простого действия, тронковый, однорядный с вертикальным
расположением цилиндров, с газотурбинным наддувом, с реверс редукторной
передачей (27РРП-300-2,46), автоматизированный.
|
|
2.
|
Количество
|
-
|
шт
|
2
|
|
3.
|
Мощность на валу
|
э. л. с315
|
|
|
|
4.
|
Мощность на фланце
редуктора
|
э. л. с300
|
|
|
|
5.
|
Частота вращения вала
дизеля
|
об/мин750
|
|
|
|
6.
|
Пуск
|
Сжатым воздухом
|
|
7.
|
Реверс - редуктор
|
27РРП-300-2,46
|
|
8.
|
Передаточное отношение: -
на переднем ходу - на заднем ходу
|
ip ip
|
- -
|
2,46 2
|
Таблица 1.3 - Движители
|
№
|
Параметр
|
Обозначение
|
Размерность
|
Значение
|
|
1.
|
Тип
|
Гребной винт
|
|
2.
|
Количество
|
-
|
шт
|
2,0
|
|
3.
|
Диаметр
|
м1,36
|
|
|
|
4.
|
Шаг
|
м1,68
|
|
|
|
5.
|
Число лопастей
|
шт4,0
|
|
|
|
6.
|
Шаговое отношение
|
|
-
|
1,235
|
|
7.
|
Дисковое отношение
|
-0,0,53
|
|
|
|
8.
|
Материал
|
-
|
-
|
Сталь 25Л-II
|
|
9.
|
Вес
|
|
|
230
|
Таблица 1.4 - Электростанция
|
№
|
Параметр
|
Обозначение
|
Размерность
|
Значение
|
|
1.
|
Марка дизель - генератора
|
-
|
-
|
ДГА 25-9М
|
|
2.
|
Количество
|
-
|
шт
|
2,0
|
|
3.
|
Дизель
|
-
|
-
|
4Ч 10,5/13
|
|
4.
|
Мощность дизеля
|
э. л. с.40,0
|
|
|
|
5.
|
Частота вращения
|
об/мин1500,0
|
|
|
|
6.
|
Пуск
|
Электростартером
|
|
7.
|
Генератор
|
-
|
-
|
МСК 82-4
|
|
8.
|
Род тока
|
-
|
-
|
Переменный
|
|
9.
|
Мощность генератора
|
кВт25,0
|
|
|
|
10.
|
Напряжение
|
В220,0
|
|
|
Таблица 1.5 - Рулевое устройство
|
№
|
Параметр
|
Обозначение
|
Размерность
|
Значение
|
|
1.
|
Рулевой орган
|
Насадки поворотные со
стабилизаторами
|
|
2.
|
Количество
|
-
|
шт
|
2,0
|
|
3.
|
Диаметр насадки
|
м1,376
|
|
|
|
4.
|
Длина насадки
|
L
|
м
|
1,16
|
|
5.
|
Длина стабилизатора
|
l
|
м
|
0,7
|
|
6.
|
Рулевая машина
|
Р07
|
|
7.
|
Количество
|
-
|
шт
|
2,0
|
|
8.
|
Крутящий момент при
перекладке насадок на угол ±35°
|
Мк
|
тс•м
|
2,5
|
|
9.
|
Электродвигатель
|
АОМ 41-4
|
|
10.
|
Мощность
|
кВт2,2
|
|
|
|
11.
|
Частота вращения
|
об/мин1420,0
|
|
|
|
12.
|
Привод к насадкам
|
Электрогидравлический
|
Таблица 1.6 - Буксирное и сцепное устройства
|
№
|
Параметр
|
Обозначение
|
Размерность
|
Значение
|
|
1.
|
Гак буксирный
|
Пружинный
|
|
2.
|
Тяговое усилие
|
-
|
тс•м
|
12
|
|
3.
|
Лебёдка буксирная
|
Тип 1,5/3/12
|
|
4.
|
Диаметр троса
|
мм30
|
|
|
|
5.
|
Длина троса
|
L
|
м
|
240
|
|
6.
|
Тяговое усилие при
выбирании троса
|
-
|
тс
|
1,5
|
|
7.
|
То же, при отрыве кормового
якоря
|
-
|
тс
|
3
|
|
8.
|
То же, при затянутом
тормозе
|
-
|
тс
|
12
|
|
9.
|
Электродвигатель
|
МАП 4/8
|
|
10.
|
Мощность
|
кВт7,5
|
|
|
|
11.
|
Частота вращения
|
об/мин1375/620
|
|
|
|
12.
|
Автосцеп
|
УДР-50
|
1.2 Актуальность темы дипломного проекта
Буксиры-толкачи с баржами составляют основу грузового флота на российских
внутренних водных путях. В практике судовождения нередко приходится иметь дело
с буксировкой - тягой одного судна (буксируемого) другим (буксирующим), а также
с использованием буксира при выполнении рейдовых работ и для формирования
состава. Поэтому, чтобы данные операции проходили успешно, на судне должны быть
исправные буксирные устройства. Как показывает опыт, толкание несамоходных
судов в некоторых условиях эксплуатации связано со значительными трудностями и
потому не может полностью заменить буксировку. Характерная для толкаемого
состава большая длина оказывается неприемлемой для условий плавания прежде
всего на реках с узкими и извилистыми участками судового пути. А также, со
временем, главные двигатели, моральноустаревают и требуют замены.
Резкое уменьшение объёмов отечественного судостроения, наблюдаемое в
течение последнего ряда лет, привело к моральному и физическому старению флота,
средний возраст которого составляет около 30 лет. Согласно официальным данным,
свыше 40 судов уже выработали свой нормативный срок службы и не удовлетворяют
современным эксплуатационным и техническим требованиям.
Одним из возможных путей решения этой проблемы является модернизация и
переоборудование судов старой постройки. Модернизация позволяет в относительно
сжатые сроки, без изменения основного назначения судна, привести его в состояние,
соответствующее современным требованиям, нормам и правилам.
Целью модернизации теплохода проекта 1741А является снижение затрат на
ремонт и эксплуатациюсудовой энергетической установки и буксирного устройства.
Основанием для модернизации является технико-экономическая
целесообразность, подтверждаемая соответствующими расчётами.
1.3 Анализ характеристик маневренности
судовой двигатель буксирный валопровод
Маневренные характеристики судна обуславливаются управляемостью.
Управляемость судна - способность судна двигаться по заданной траектории, она
характеризуется двумя качествами: поворотливостью, и устойчивостью на курсе.
Поворотливость - это способность судна изменять направление движения и
двигаться по заранее выбранной судоводителем криволинейной траектории.
Устойчивостью на курсе называется способность судна сохранять
прямолинейное направление движения в соответствии с заданным курсом.
К основным маневренным характеристикам судна относятся:
· скорость судна при выполнении маневра;
· элементы циркуляции;
· путь и время торможения судна.
Эти характеристики определяются по результатам натурных маневренных
испытаний судна после его постройки (сдаточных испытаний) и оформляются в виде
таблицы маневренных характеристик. Для уточнения маневренных характеристик в
процессе эксплуатации судна при различных внешних условиях, состоянии корпуса и
видах загрузки периодически проводятся маневренные испытания силами экипажа.
Натурные методы получения маневренных характеристик основаны на
последовательных определениях места судна в процессе проведения заданных
маневров по различным ориентирам либо с использованием высокоточных
навигационных систем.
В процессе выполнения маневров (циркуляция, пассивное торможение с
остановленным двигателем, активное торможение при реверсировании главного
двигателя) через короткие промежутки времени (15-30 с), замечаемые по
секундомеру, берутся пеленги и дистанции ориентира и отмечаются значения курса,
скорости и оборотов винта.
За начало маневра циркуляции принимается момент начала перекладки руля,
за начало торможения - момент передачи команды по машинному телеграфу.
Окончанием маневра циркуляции является поворот на 360°, активного торможения -
полная остановка судна, пассивного торможения - доклад рулевого о невозможности
удержания судна на курсе.
Поворотливость характеризует способность судна к изменению курса, при
движении по криволинейной траектории. Такое движение в общем случае является
весьма сложным, его параметры зависят от начальных и внешних условий. Для
суждения о поворотливости обычно анализируют циркуляцию судна как наиболее
простой вид его криволинейного движения.
Циркуляцией судна называется криволинейная траектория перемещения центра
тяжести судна при перекладке рулевого органа. По времени циркуляционное
движение судна разделяется на три периода: маневренный I, эволюционный II и
установившейся циркуляции III.
Маневренный период - период, в течение которого происходит перекладка
руля на определенный угол. С момента начала перекладки руля судно начинает
дрейфовать и крениться в сторону, противоположную перекладке руля, и
одновременно начинает разворачиваться в сторону перекладки руля. В этот период
траектория движения центра тяжести судна из прямолинейной превращается в
криволинейную, происходит падение скорости движения судна.
Период установившийся циркуляции - период, начинающийся по окончании
эволюционного, характеризуется равновесием действующих на судно сил: упора
винта, гидродинамических сил на руле и корпусе, центробежной силы. Траектория
движения центра тяжести (ЦТ) судна превращается в траекторию правильной
окружности или близкой к ней.
Геометрически траектория циркуляции характеризуется
следующими элементами:о - диаметр установившейся циркуляции - расстояние между
диаметральными плоскостями судна на двух последовательных курсах, отличающихся
на 180° при установившемся движении;ц - тактический диаметр циркуляции -
расстояние между положениями ДП судна до начала поворота и в момент изменения
курса на 180°;- выдвиг - расстояние между положениями ЦТ судна перед выходом на
циркуляцию до точки циркуляции, в которой курс судна изменяется на 90°;- прямое
смещение - расстояние от первоначального положения ЦТ судна до положения его
после поворота на 90°, измеренное по нормали к первоначальному направлению
движения судна;- обратное смещение - наибольшее смещение ЦТ судна в результате
дрейфа в направлении, обратном стороне перекладки руля (обратное смещение
обычно не превышает ширины судна В, а на некоторых судах отсутствует совсем);
Тц - период циркуляции - время поворота судна на 360°.
Рисунок 1.2 -Схема циркуляции судна
Инерционные свойства судна. При управлении движением судна очень часто
возникают ситуации, в которых необходимо изменение скорости судна: движение на
акватории портов, рейдов, плавание в узкостях, при расхождении судов, в
аварийных ситуациях. Изменение скорости происходит за счёт изменения режима
работы главного двигателя. После изменения режима работы движителей скорость
судна изменяется по определённому закону, а само судно совершает неравномерное
движение.
Путь и время манёвра, связанного с неравномерным движением, называют
инерционными характеристиками судна.
Инерционные характеристики определяются временем и дистанцией, проходимой
судном за это время и скоростью хода через фиксированные промежутки времени.
Они включают в себя следующие манёвры: торможение, выбег, разгон.
Торможение (рис. 1.3, а)- процесс гашения инерции прямолинейного движения
судна путем реверсирования движителей с переднего хода на задний (или,
наоборот). Торможение характеризуется длиной тормозного пути и временем
торможения. Длина тормозного пути Lт - это расстояние, пройденное судном с
момента подачи команды «Стоп» и реверса движителей до полной остановки судна.
Время торможения - это время, затрачиваемое на процесс полного гашения инерции
в результате работы движителей в режиме «Полный назад».
Выбег (рис. 1.3, б) - процесс гашения инерции поступательного движения
судна под действием сопротивления воды движению без активной работы движителей.
Выбег характеризуется расстоянием Lв, которое проходит судно с момента подачи
команды «Стоп» до момента полного прекращения прямолинейного движения, и
временем, затрачиваемым на этот процесс.
Разгон (рис. 1.3, в)-процесс достижения судном установившейся скорости
при заданном режиме работы движителей. Разгон характеризуется расстоянием Lр и
временем, необходимым для достижения установившейся скорости данного судна.
Инерционные характеристики определяют для каждого судна по специальной
программе. Для типовых судов и составов изданы справочники инерционных
характеристик, пользование которыми позволяет значительно повысить безопасность
судовождения при маневрировании. Наибольшее значение для безопасности плавания
имеют характеристики торможения судна (табл. 1.7). Характеристики выбега
используют главным образом для буксируемых составов, характеристики разгона -
при шлюзовании, отходе от причала и других маневрах.
Рисунок 1.3 -Инерционные характеристики судна
Манёвренные и инерционные характеристики заносятся в таблицы и
вывешиваются на ходовом мостике.
Таблица 1.7 - Инерционные характеристики
|
Ход обороты
|
Скорость порожнём, в грузу
км/ч
|
Скорость течения км/ч
|
Направление движения
|
Характеристики торможения
|
|
|
|
|
Путь (м)
|
Время (мин)
|
|
Полный N=750
|
-
|
0 3,5 3,5
|
- Вниз Вверх
|
-
|
-
|
|
Средний N=600
|
15,7 14,5
|
0 3,5 3,5
|
- Вниз Вверх
|
129,82/238,71 100,83/302,84
81,79/103,23
|
1,25/2,48 1,49/3,10
0,92/1,46
|
|
Малый N=480
|
-
|
0 3,5 3,5
|
- Вниз Вверх
|
-
|
-
|
Диаметр циркуляции равен двум длинам судна.
Таблица 1.8 - Маневренные характеристики
|
Маневр
|
Время поворота
|
|
90º
|
180º
|
270º
|
360º
|
|
Полный ход-право на борт
|
1,15
|
2,25
|
3,25
|
4,05
|
|
Полный ход - лево на борт
|
1,10
|
2,15
|
3,05
|
3,55
|
|
Средний ход - право на борт
|
1,45
|
2,40
|
3,50
|
4,40
|
|
Средний ход - лево на борт
|
1,40
|
2,45
|
3,55
|
4,35
|
|
Малый ход - право на борт
|
1,50
|
1,55
|
2,05
|
2,20
|
|
Малый ход - лево на борт
|
1,45
|
1,50
|
2,10
|
2,20
|
|
Левая машина полный вперед
правая полный назад
|
0,40
|
2,05
|
2,30
|
3,0
|
|
Правая машина полный вперед
левая полный назад
|
0,45
|
2,00
|
2,35
|
3,05
|
1.4 Анализ выбора судовых двигателей
Основной целью модернизации теплохода проекта 1741 является снижение
затрат на ремонт и эксплуатацию, при этом увеличивать мощность главной судовой
силовой установки нецелесообразно, так как увеличивать грузоподъемность состава
судна не предполагается.
Немаловажным показателем для дизелей является технологичность
обслуживания их во время эксплуатации и ремонте. Эксплуатационникам необходимо
знать такие параметры, как долговечность и экономичность дизелей.
Долговечность является одним из элементов надежности и непосредственно
связана с экономичностью. Появляется возможность замены дизелей морально и
физически устаревших технически совершенными и экономичными.
Расходы на техническую эксплуатацию главной энергетической установки
составляют более половины общесудовых расходов, поэтому их величина является
определяющим фактором при выборе главного двигателя.
Сравнительная характеристика дизелей, поставляемых в настоящее время на
предприятия водного транспорта, приведена в таблице 1.9.
Таблица 1.9 - Сравнительная характеристика дизелей
|
Технические характеристики
|
8ЧНСП 18/22
|
R6160ZC4
|
ВД618.С-22
|
ДРРА34
|
|
Обозначение по ГОСТ
|
8ЧНСП 18/22
|
6ЧН 16/22,5
|
6ЧН 12,6/15,5
|
6ЧН 21/21
|
|
Мощность номинальная, кВт
|
220,0
|
220,0
|
220,0
|
220,0
|
|
Частота вращения, об/мин
|
750,0
|
1000,0
|
1500,0
|
913,0
|
|
Удельный расход топлива,
г/кВт·ч
|
218,0
|
210,0
|
208,0
|
209,0
|
|
Удельный расход масла,
г/кВт·ч
|
3,4
|
1,7
|
0,9
|
1,3
|
|
Система пуска
|
Сжатый воздух
|
Электростартер
|
Электростартер
|
Сжатый воздух
|
|
Тип реверс - редукторной
передачи (РРП)
|
27 РРП-300
|
DMT140H
|
300
|
РРП34
|
|
Передаточное отношение РРП
|
2,46
|
3,0
|
3,0
|
2,99
|
|
Масса агрегата, кг
|
5780,0
|
3400,0
|
1796,0
|
7000,0
|
|
Размеры габаритные:
|
|
|
|
|
|
- длина, мм
|
4043,0
|
2644,0
|
2126,0
|
3810,0
|
|
- ширина, мм
|
1106,0
|
967,0
|
872,0
|
1385,0
|
|
- высота, мм
|
1853,0
|
1579,0
|
1490,0
|
2065,0
|
|
Ресурс до капитального
ремонта, час
|
45000,0
|
12000,0
|
20000,0
|
60000,0
|
На основании таблицы 1.9 для наглядности выбора нового главного двигателя
построены гистограммы, на которых представлены зависимости основных технических
показателей двигателей.
Рисунок 1.4 - Удельные расходы горюче-смазочных материалов
Рисунок 1.5 - Массогабаритные показатели
Рисунок 1.6 - Основные показатели главной судовой энергетической
установки
После анализа гистограмм можно сделать следующие выводы.
Судовые дизельные двигатели серии ВДМ-В ВД618.С-22 (6ЧН 12,6/15,5)
-6-цилиндровый, 4-тактный, с наддувом, рядный, с водяным
охлаждением,непосредственным впрыском. Это высокооборотные двигатели,
оченькомпактны, привлекательны, экономичны и надежны в эксплуатации.
Рисунок 1.7 - Общий вид ВДМ-В ВД618
Дизельный судовой двигатель ВДМ-В ВД618.С-22 имеет наибольшее
предпочтение по эксплуатационным расходам (согласно паспортных значений у этих
дизелей наименьший расход ГСМ), меньшие габаритные размеры и достаточная
мощность, однако:
- во первых, значение частоты вращения выходного фланца
редуктора у этих агрегатов примерно 500 об/мин, что на 166 об/мин больше
значения по проекту (334об/мин), и это приведет к необходимости проведения проверочного
расчета валопровода, а также к расчету и изготовлению нового гребного винта;
- во вторых, данный двигатель имеет низкий моторесурс.
Дизельный судовой двигатель R6160ZC4 (6ЧН 16/22,5) - 6-цилиндровый,
4-тактный, с наддувом, рядный, с промежуточным охлаждением, производства
Китайской Народной Республики, имеет небольшой расход ГСМ, приемлемые
габаритные размеры и достаточную мощность, однако:
- во первых данный двигатель имеет низкий моторесурс;
- во вторых высокая стоимость;
- в третьих имеет низкую ремонтопригодность и сложность в
доставке запасных частей и комплектующих.
Рисунок 1.8 - Общий вид R6160ZC4
Характеристики дизеля 6ЧН 21/21 и его применение в агрегате ДРРА 34
Рисунок 1.9 - Общий вид ДРРА 34
Тип дизеля - четырехтактный с рядным расположением цилиндров,
непосредственным впрыском топлива, жидкостного охлаждения с газотурбинным
наддувом и промежуточным охлаждением наддувочного воздуха.
Дизель 6ЧН 21/21 был создан в 1968-70 г. совместно с Центральным
научно-исследовательским дизельным институтом (ЦНИДИ) как промышленный дизель
многоцелевого назначения для силовых агрегатов буровых установок, маневровых
тепловозов, стационарных и передвижных электростанций.
Конструктивные особенности дизеля:
1. Коленчатый вал - из высоколегированной стали с повышенными
требованиями к качеству металла. Шейки вала азотированы, суперфиниш после
азотации.
2. Шатун - из высоколегированной стали с полировкой и дробенаклепом
для увеличения усталостной прочности.
. На дизеле 6ЧН 21/21 поршень алюминиевый с наплавкой под первое
поршневое кольцо; охлаждаемый, овально-бочкообразный с антизадирным покрытием
боковой поверхности.
. Вкладыши подшипников коленчатого вала - взаимозаменяемые из
сталебронзовой ленты изготавливаются методом штамповки, имеют трехкомпонентное
рабочее покрытие на подслое никеля, в процессе изготовления проходят
ультразвуковой, цветной и рентгеноконтроль качества.
. Поршневые кольца фирмы «ГетцеВерке».
. Клапана - высокопрочная наплавка на посадочной кромке и торце.
. Блок-картер - литой, чугунный с втулками цилиндров «мокрого»
типа, отливаются из специального чугуна центробежным методом обеспечивающим
стабильность механических свойств, для повышения износостойкости на рабочую поверхность
наносится специальный микрорельеф.
. Крышки цилиндров - литые из специального легированного чугуна,
со вставными седлами клапанов.
. Выхлопной коллектор - литой, алюминиевый, охлаждаемый с
жаропрочной вставкой.
. Шестерни приводов - из высококачественной стали с цементацией
рабочих поверхностей зубьев.
Управление дизелем осуществляется с выносного пульта, поставляемого
комплектно с агрегатом.
Характерной особенностью дизелей 6ЧН 21/21 является простота конструкции
при высоких технико-экономических показателях. Прогрессивные решения,
заложенные при создании двигателей, позволяют постоянно усовершенствовать их
конструкцию для удовлетворения растущих запросов потребителей. Удачное
отношение диаметра поршня к его ходу позволяет двигателю работать в широком
диапазоне номинальных частот вращения и нагрузок без ухудшения параметров.
Двигатели обеспечивают высокую топливную экономичность без применения
сложных устройств и находятся по этому показателю на уровне мировых образцов.
Требовательность двигателей к качеству смазочного масла ниже, чем у аналогов,
что снижает эксплуатационные затраты.
Высокие запасы прочности, заложенные в конструкции двигателей при
правильной эксплуатации, позволяют превосходить расчетные ресурсы до
капитального ремонта.
Удачная плотная компоновка двигателей позволяет использовать их в самых
различных установках и агрегатировать с широким набором механизмов, что делает
двигатели универсальными в применении.
В отличии от большинства своих конкурентов, двигатели имеют высокую
ремонтопригодность, что намного продляет срок службы двигателя.
Благодаря высокой точности изготовления, все базовые детали и узлы
двигателей взаимозаменяемы, что делает возможным ремонт в условиях
эксплуатации.
Двигатели просты и удобны в эксплуатации и обслуживании, позволяют
производить переборку как в замкнутых объемах тепловоза, блок-контейнера,
машинного отделения судна так и в полевых условиях на буровых установках.
Следовательно, наиболее оптимальным будет дизель-реверс-редукторный
агрегат ДРРА 34 на базе двигателя 6ЧН 21/21 завода ОАО «Волжский дизель им.
Маминых».
При установке ДРРА 34 требуемая Правилами Российского Речного Регистра
ширина прохода в машинном отделении выдерживается.
Рама и выходной фланец агрегата адаптированы под имеющийся судовой
фундамент и фланец гребного вала, что значительно сокращает расходы, позволяет
произвести монтаж собственными силами и в короткие сроки.
Конструктивно все агрегаты представляют собой законченные изделия, т.е.
установленныена общей раме дизель, реверс-редуктор, маслопрокачивающий агрегат,
фильтры тонкой очисткимасла, охладители масла и внутреннего контура охлаждения
дизеля, соединенные между собойтрубопроводами. На агрегате установлены
терморегуляторы для автоматического поддержаниятемпературы масла в системе смазки
и воды в контуре охлаждения дизеля. Агрегаты предусматривают воздушный запуск
от сжатого воздуха давлением 30 атмосфер, а также запуск от электростартера.
Кроме того, мощность, частота вращения и передаточное отношение РРП
практически одинаковы у обоих дизелей, поэтому частота вращения гребного вала
не меняется, то есть, валопровод в целом и гребные винты сохраняются без
изменений.
1.5 Анализ выбора судовой буксирной лебёдки
Целью модернизации теплохода проекта 1741А является снижение затрат на
ремонт и эксплуатацию, с использованием судна на рейдовых работах и на малых
извилистых реках.
Как показывает опыт, толкание несамоходных судов в некоторых условиях
эксплуатации связано со значительными трудностями и потому не может полностью
заменить буксировку. Характерная для толкаемого состава большая длина
оказываетсянеприемлемой для условий плавания прежде всего на реках с узкими и
извилистыми участками судового пути.
Лебёдки, устанавливаемые на судах, бывают автоматическими и простыми.
Обыкновенные или простые лебёдки вступают в действие по усмотрению
судоводителя, а не автоматически.
Касаясь сущности устройства автоматических буксирных лебёдок, следует
отметить, что они обеспечивают особенно эластичное закрепление буксирного
каната. Широкое применение эти лебёдки нашли на морских судах и объясняется это
тем, что жесткое закрепление буксирного каната допустимо лишь при плавании в
тихую погоду, которая на морских акваториях наблюдается сравнительно редко.
Вполне очевидно, что автоматические буксирные лебёдки сложнее и дороже
обыкновенных, и, следовательно, их использование получает смысл лишь при
достаточно тяжёлом ветро-волновом режиме. Что же касается условий плавания по
тем рекам, где целесообразнее использовать метод буксировки, то они достаточно
спокойны и, во всяком случае, не вызывают необходимости применения
автоматических буксирных лебёдок, которые специфичны для морских судов.
Существующие конструкции буксирных лебёдок относят к различным типам в
зависимости от рода энергии, используемой для питания лебёдочных двигателей, и
возможных режимов их работы.
Особенностью электрической буксирной лебёдки является не только
надёжность конструкции, но и высокая мощность установленного электродвигателя,
которая позволяет производить подтягивание барж к буксировщику без снижения
скорости хода последнего.
Все ранее строившиеся лебёдки могли включаться в работу только после
предварительного снижения скорости судна, что уменьшает его тяговое усилие и
позволяет, таким образом, навивать на лебёдочный барабан сравнительно слабонагруженный
буксирный канат. Естественно, что процесс укорочения длины рабочей части каната
затягивается, а временное уменьшение скорости буксировщика довольно существенно
и, разумеется, отрицательно сказывается на запланированных сроках доставки перевозимых
грузов.
В последние годы на отдельных новых отечественных речных судах начали
устанавливать в опытном порядке и гидравлические буксирные лебёдки. Их
единственным, но важным преимуществом является отсутствие каких-либо
промежуточных передач между лебёдочным двигателем и барабаном для навивки
буксирного каната.
Для более наглядного сравнения, рассмотрим преимущества и недостатки
гидравлического привода перед электрическим приводом.
Вот небольшой перечень преимуществ:
· удельная мощность гидравлического привода. То есть мощность,
которая передаётся на единицу суммарного веса. Данный параметр выше в 3-5 раз,
чем у электрических приводов, он растёт при увеличении мощности;
· возможность бесступенчатой регулировки скорости в довольно
широком диапазоне;
· быстродействие. Гидропривод значительно быстрее выполняет
операции пуска, реверса и остановки;
· коэффициент усиления очень высок;
· минимальная вибрация.
У гидравлического привода очень значительные плюсы, но при проектировании
и принятии решения об использовании гидропривода, не стоит забывать и об его
недостатках. В основном, недостатки данного типа привода, так или иначе,
связаны с рабочей жидкостью.
Перечень основных недостатков гидропривода:
· низкий КПД и, соответственно, большие потери энергии при передаче
на большие расстояния;
· высокая зависимость от условий, в который используется
гидравлический привод;
· очень чувствителен к загрязнениям, поэтому очень важен
уровень обслуживания и качество гидравлических элементов;
· постоянное снижение КПД по сроку выработки и снижении
эксплуатационного ресурса;
· высокая стоимость гидропривода;
· при использовании гидропривода увеличиваются массогаборитные
характеристики лебёдки.
Таким образом, мы имеем, с одной стороны неоспоримые преимущества, если
сравнивать с другими типами приводов, но есть и очень значительные недостатки,
с которыми необходимо считаться.
Конструкции буксирных лебёдок с гидравлическим двигателем новых ценных
для эксплуатации качеств не имеют, поэтому на судно данного проекта будем
устанавливать электрическую буксирную лебедку.
Требования Российского Речного Регистра, предъявляемые к буксирным
лебёдкам:
- Буксирные лебедки должны иметь тормоз с держащей
способностью, меньшей разрывного усилия
буксирного каната.
- Детали буксирной лебедки, находящиеся под нагрузкой, должны
быть проверены на прочность при действии максимального момента привода. При
этом напряжения в деталях не должны превышать 0,95 предела текучести материала.
При действии номинального тягового усилия на средний слой навивки каната на
барабане напряжения в деталях не должны превышать 0,4 предела текучести их
материала.
- Детали буксирной лебедки, находящиеся при заторможенном
канатном барабане под нагрузкой, должны быть проверены на прочность при
действии на наружный слой навивки усилия, равного разрывному усилию буксирного
каната. При этом напряжения в деталях не должны превышать 0,95 предела
текучести материала.
- При применении автоматических устройств для регулирования
натяжения буксирного каната должна быть обеспечена возможность контроля
значения тягового усилия‚ действующего в данный момент. Указатели должны быть
установлены около лебедки и в рулевой рубке.
- Должна быть предусмотрена звуковая предупредительная
сигнализация‚ срабатывающая при максимально допустимой длине вытравленного
каната.
- Должна быть предусмотрена возможность свободного стравливания
буксирного каната как с местного поста управления, так и из рулевой рубки.
Сравнительная характеристика судовых буксирных лебёдок, поставляемых в
настоящее время на предприятия водного транспорта, приведена в таблице 1.10.
Таблица 1.10 - Сопоставление параметров судовых буксирных лебёдок
|
Основные параметры
|
Размерность
|
Тип буксирной лебёдки
|
|
|
1,5-3/12
|
TW-E-4-8/16
|
ЛБГ-40
|
ЛБЯШ 30/150
|
|
Номинальное тяговое усилие
|
тс
|
1,5
|
4
|
40
|
3
|
|
Скорость выбирания каната
|
м/мин
|
8,6
|
18
|
16,3
|
15,3
|
|
Мощность приводного
электродвигателя
|
кВт
|
7,5
|
6,5
|
25
|
7
|
|
Длина
|
м
|
2400
|
1990
|
4600
|
2460
|
|
Ширина
|
м
|
1650
|
1950
|
4047
|
1680
|
|
Высота
|
м
|
1250
|
1284
|
2100
|
1240
|
|
Масса
|
кг
|
3850
|
3000
|
7500
|
3770
|
Лебёдка, установленная заводом изготовителем, морально устарела, что
приводит к нецелесообразной эксплуатации и обслуживанию, а также затрудняет
приобретение запасных частей.
Из выше перечисленных буксирных лебёдок была выбрана судовая буксирная
лебёдка марки ЛБЯШ 30/150 с тяговым усилием 3 тс, напряжением 220 В и 380 В
,потому что данная серия лебёдок имеет сертификат Российского Речного Регистра
и не требует изменений в конструкции фундаментной рамы лебёдки.
Рисунок 1.10 - Общий вид буксирной лебёдки марки ЛБЯШ 30/150
Данная судовая буксирная лебёдка предназначена для выборки и травления
буксирного каната, буксировки состава и производства якорно-швартовных
операций.Лебедка реверсивная, двухскоростная, электроприводная с одним грузовым
и двумя швартовными барабанами, со счетчиком длины вытравленного каната.
Остальные выше упомянутые лебёдки имеют большое тяговое усилие, что не в
полной мере удовлетворяет потребностям проектируемого судна.
Буксирная лебёдка маркиЛБГ-40. Лебёдка гидравлическая с системой
управления и насосной станцией. У данной лебёдки достаточно большие
массогабаритные характеристики и высокая стоимость, что противоречит
экономическим показателям, поэтому нет необходимости её установки.
Электрическая буксирная лебёдка типа TW-E-4-8/16. Данная лебёдка имеет
высокую стоимость и большую скорость выбирания буксирного троса, вследствие
этого буксирный трос будет подвергаться очень большим нагрузкам на растяжение,
что может привести к его быстрому износу и дальнейшему разрыву троса.
1.6 Цель и задачи дипломного проекта
Целью дипломного проекта является снижение затрат на ремонт и
эксплуатацию теплохода проекта 1741Апутем модернизации судовой энергетической
установки и буксирного устройства, с последующим использованием судна на
рейдовых работах и на малых извилистых реках.
Для достижения принятой цели, необходимо решить следующие задачи
дипломного проектирования:
1. Дать общую характеристику теплохода проекта 1741А;
. Провести сравнительный анализ и выбор главного двигателя, описать
технические характеристики выбранного двигателя;
3. Произвести анализ судовых буксирных лебёдок, выбрать наиболее
подходящую лебёдку;
. Выполнить проверочный расчёт систем главных двигателей и
валопровода;
. Разработать технологический процесс изготовления полумуфты ТНВД;
. Рассмотреть вопросы по охране труда и окружающей среды при
эксплуатации СЭУ теплохода;
. Произвести технико-экономический расчет, с целью определения
размера экономического эффекта.
2.
Расчетная часть
2.1 Проверочный расчет валопровода
Судовойвалопровод работает в сложном напряженном состоянии. Он нагружен
крутящим моментом, испытывает продольное сжимающее усилие от силы упора
гребного винта на переднем ходу или растягивающее усилие на заднем ходу и
изгибается под собственной массой и массой навешенных на него деталей. Эти
нагрузки носят переменный и циклически повторяющийся характер. Точный расчет
элементов валопровода при указанных условиях довольно сложен и требует ряд
допущений. Поэтому главным является расчет, основанный на условном
предположении, что вал подвергается воздействию статического крутящего момента.
2.1.1 Определение диаметра валопровода
Для установки на судно и монтажа с двигателем 6ЧН 21/21 принят
реверс-редуктор с передаточным отношением 2,99. Согласно правилам Речного
Регистра промежуточные, упорные и гребные валы должны изготавливаться из стали
с временным сопротивлением от 430 до 690 МПа.
Сначала осуществляется предварительные расчеты диаметров валов, поскольку
размеры всех элементов валопровода после формирования крутильной схемы должны
быть уточнены по результатам расчета напряжений от крутильных колебаний, в том
числе на режимах, соответствующих частотам вращения, запретным для длительной
работы.
Диаметр промежуточного, упорного и гребного вала, должны быть не менее
определяемого по формуле:
где
- временное сопротивление материала вала, МПа;
- коэффициент усиления для судов, плавающих в битом льду ;
= 220 - расчетная мощность, передаваемая валом, кВт;
- расчетная частота вращения вала, мин-1;
- действительный диаметр вала, мм;
- диаметр осевого отверстия вала, мм, так как этот диаметр
меньше
, то его можно принять равным
;
- коэффициент для промежуточных валов со шпоночными муфтами.
Гребные валы должны быть защищены от коррозии способом, одобренным Речным
Регистром.
Существующий на судне гребной вал имеет диаметр 130 мм, и он больше
полученного аналогичным путём значения. Принимаем для дальнейших расчётов
диаметр гребного вала равный 130 мм.
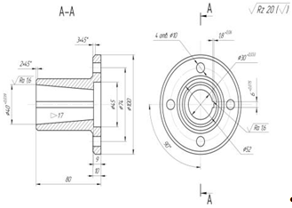
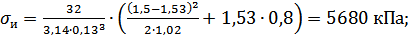
2.1.2 Проверочный расчет прочности
промежуточного вала
Проверку прочности вала при сложном напряженном состоянии выполняют путем
определения эквивалентных приведенных напряжений по энергетической теории
прочности и расчетных запасов прочности по отношению к пределу текучести
где
где
При проверке прочности промежуточного вала рассчитывают пролет, имеющий
наибольшую длину между центрами опорных подшипников (Рисунок 2.1). Вал
рассматривают как балку, свободно лежащую на двух опорах. Влиянием смежных пролетов
при изгибе, создающих упругую заделку концов вала, и увеличением диаметра вала
на участках расположения шеек под опорные подшипники и переборочные сальники
пренебрегают. Вал расточки не имеет. Для определения напряжений берут общий
случай, когда между опорами одно фланцевое (или муфтовое) соединение массой G0,
вал нагружен равномерно распределенной нагрузкой от собственной массы, упором
гребного винта и крутящим моментом от главного двигателя. Кроме того, на вал
действуют дополнительные усилия от неточности монтажа или
расцентровкивалопровода.
Рисунок 2.1 - Расчетная схема для проверочного расчета статической
прочности промежуточного вала
Напряжение кручения
где
мощность, передаваемая валом, кВт;
частота вращения вала, мин-1;
Напряжение сжатия
где
- упор гребного винта, создаваемый при номинальном режиме
работы главных двигателей, определяемый по формуле
где
- номинальная мощность двигателя, кВт;
- скорость хода судна, м/с;
- к.п.д. линии валопровода и движителя.
Напряжение изгиба
где
- сосредоточенная нагрузка,
- расстояние от опорыА до сосредоточенной нагрузки, м;
- реакция на опореА,
.
где
- длина пролета между опорами, м;
- расстояние от опорыВ до сосредоточенной нагрузки, м;
- распределенная нагрузка от собственной массы вала, кН/м.
где
- удельный вес стали, кН/м3.
Запас прочности относительно предела текучести материала вала
Условие прочности вала
.
.1.3 Проверочный расчет прочности гребного
вала
Проверочный расчет гребного вала проводят для участка между опорами в
дейдвудной трубе и консоли, на которой навешан гребной винт (Рисунок 2.2).
Усилие от массы гребного винта Gв рассматривается как
сосредоточенная нагрузка, приложенная в центре консоли. Расчёты выполняются
также, как и для промежуточного вала.
Рисунок 2.2 - Расчетная схема для проверочного расчета статической
прочности гребного вала
Напряжение кручения
где
- диаметр гребного вала, м;
- мощность передаваемая валом, кВт;
- частота вращения гребного вала, мин-1.
Напряжение изгиба от массы винта и консольной части вала
где
- сосредоточенная нагрузка от массы гребного винта, кН;
- расстояние от опорыА до сосредоточенной нагрузки
, м;
- длина консольной части, м;
- распределенная нагрузка от собственной массы вала, кН/м.
Интенсивность нагрузки вала собственной массой
и напряжения сжатия
подсчитываем, подставляя диаметр
гребного вала.
где
- удельный вес стали, кН/м3.
Напряжение сжатия
где
- упор гребного винта, создаваемый при номинальном режиме
работы главных двигателей, определяемый по формуле
где
- номинальная мощность двигателя, кВт;
- скорость хода судна, м/с;
- К.П.Д. линии валопровода и движителя.
Наибольшее нормальное напряжение в гребном валу
Общее расчетное напряжение
Запас прочности относительно предела текучести материала вала и общего
расчетного напряжения выражается отношением
Условие выполняется.
2.1.4 Проверочный расчет на критическую частоту
вращения гребного вала
Критическая частота вращения гребного вала при поперечных колебаниях
определяется по приближенному методу Бринелля. Валопровод заменяют двухопорной
балкой с одним свешивающимся концом (Рисунок 2.3).
Гребной винт расположен на консоли на расстоянии l2 от центра
опорыА в подшипнике кронштейна. Остальная часть вала до опорыВ, в дейдвудной
трубе, имеет длину l1. Предполагают, что каждый из пролетов l1
и l2 балки несет равномерно распределенную нагрузку, но с разными
интенсивностями q1 и q2, при этом q2 >q1,
что соответствует действительности.
Рисунок 2.3 - Расчетная схема для проверочного расчета критической
частоты вращения при поперечных колебаниях вала: А - подшипник кронштейна; В -
подшипник дейдвуда
Критическая частота вращения гребного вала рассчитывается по формуле
где
- длина гребного вала между серединами подшипников дейдвуда и
кронштейна, м;
- длина гребного вала между серединами подшипника кронштейна
и ступицы гребного винта, м;
- равномерная распределенная нагрузка на этих участках
гребного вала от массы самого вала и гребного винта, кН/м;
- модуль упругости стали, кН/м2;
- экваториальный (осевой) момент инерции сечения вала
относительно его оси, м4;
- ускорение свободного падения, м/с2.
Нагрузка от массы вала, отнесенная к одному метру длины
где
- удельный вес стали, кН/м3;
- диаметр гребного вала, м.
Нагрузка q2 представляет суммарную равномерно распределенную
нагрузку от массы гребного винта и гребного вала на участке l2
где
- нагрузка от массы гребного винта.
Нагрузка от массы гребного винта может быть определена по формуле
где
- диаметр гребного винта, м;
- дисковое отношение винта.
Экваториальный момент инерции сечения вала относительно его оси равен
Критическая частота вращения гребного вала должна быть значительно больше
номинального значения, при этом необходимый запас должен составлять не менее 20
%. Номинальное значение частоты вращения гребного вала принимаем 305,35 об/мин.
Условие выполняется.
.1.5 Проверочный расчет вала на продольную
устойчивость
Проверку вала на продольную устойчивость производят при больших длинах
пролетов между опорами и малом поперечном сечении вала. Она заключается в
нахождении критической силы или критического напряжения, и оценке запаса
устойчивости.
Валы судовоговалопровода лежат в подшипниках свободно. В таком случае
проверяемый вал, находящийся в пролете, можно рассматривать как вращающийся
стержень, свободно лежащий на двух шарнирных опорах и сжатый силой упора,
создаваемого движителем (Рисунок 2.4). При расчете принимают следующие
допущения: осевая сжимающая сила приложена к центру вала и сечение вала по
длине пролета не меняется.
Рисунок 2.4 - Расчетная схема для проверочного расчета продольной
устойчивости вала
Необходимость проверки вала на продольную устойчивость устанавливается в
зависимости от гибкости вала
где
- полная длина гребного вала, м;
- радиус инерции сечения гребного вала, м.
Если λ< 80, то вал считается жестким и дальнейшей проверке на продольную
устойчивость не подлежит. Если λ ≥ 80, то его нужно проверить на продольную
устойчивость по выражению
т.е. запас устойчивости вала должен быть не менее 2,5.
Критическая осевая сила
Максимальный упор гребного винта принимают равным
где
= 90 - упор гребного винта, создаваемый при номинальном
режиме работы главных двигателей, кН.
.
По результатам расчета валопровода строятся таблицы.
Таблица 2.1 - Параметры ЭУ судна
|
Параметр
|
Обозначение
|
Значение
|
|
Мощность, передаваемая
валопроводом, кВт
|
|
220,0
|
|
Частота вращения
валопровода, мин-1
|
n
|
305,35
|
|
Скорость проектируемого
судна, км/ч
|
V
|
19,7
|
Таблица 2.2 - Диаметр валов
|
Параметр
|
Обозначение
|
Значение
|
|
Временное сопротивление
материала вала, МПа
|
Rm
|
600,0
|
|
Коэффициент
|
K
|
140,0
|
|
Коэффициент усиления
|
CEW
|
1,05
|
|
Диаметр осевого отверстия
вала, м
|
di
|
0
|
|
Диметр гребного вала, м
|
dгв
|
0,13
|
Таблица 2.3 - Проверочный расчет прочности промежуточного вала
|
Параметр
|
Обозначение
|
Значение
|
|
Диаметр промежуточного
вала, м
|
|
0,13
|
|
Длина пролета между
опорами, м
|
l
|
1,5
|
|
Расстояние от опорыАдо
сосредоточенной нагрузки, м
|
а
|
0,8
|
|
Расстояние от опорыВдо
сосредоточенной нагрузки, м
|
b
|
0,7
|
|
Сосредоточенная нагрузка,
кН
|
|
1,53
|
|
Касательные напряжения от
кручения, кПа
|
|
15965,0
|
|
Напряжение сжатия при
действии упора гребного винта, кПа
|
|
1819,0
|
|
Наибольшее расчетное
напряжение при изгибе, кПа
|
|
5680,0
|
|
Напряжение от неточности
монтажа валовой линии, кПа
|
|
30000,0
|
|
Наибольшее нормальное
напряжение, кПа
|
|
37499,0
|
|
Общее расчетное напряжение
в валу, кПа
|
|
46592,0
|
|
Запас прочности
|
|
14,809
|
Таблица 2.4 - Проверочный расчет прочности гребного вала
|
Параметр
|
Обозначение
|
Значение
|
|
Диаметр гребного вала, м
|
dгв
|
0,13
|
|
Диаметр гребного винта, м
|
Dгв
|
1,36
|
|
Дисковое отношение винта
|
Θ
|
0,53
|
|
Сосредоточенная нагрузка от
массы гребного винта, кН
|
Gгв
|
1,96
|
|
Расстояние от опоры А до
сосредоточенной нагрузки Gв, м
|
l0
|
0,45
|
|
Длина консольной части,м
|
l2
|
0,68
|
|
Касательные напряжения от
кручения, кПа
|
|
15965,0
|
|
Напряжение сжатия при
действии упора гребного винта, кПа
|
|
1819,0
|
|
Наибольшее расчетное
напряжение при изгибе, кПа
|
|
5185,0
|
|
Наибольшее нормальное
напряжение, кПа
|
|
7004,0
|
|
Общее расчетное напряжение
в валу, кПа
|
|
28525,0
|
|
Запас прочности
|
|
24,19
|
Таблица 2.5 - Проверочный расчет на критическую частоту вращения гребного
вала
|
Параметр
|
Обозначение
|
Значение
|
|
Диаметр гребного вала, м
|
dгв
|
0,13
|
|
Длина гребного вала между
серединами подшипников дейдвуда и кронштейна, м
|
l1
|
4,78
|
|
Длина гребного вала между
серединами подшипников кронштейна и ступицы гребного винта, м
|
l2
|
0,45
|
|
Сосредоточенная нагрузка от
массы гребного винта, кН
|
Gгв
|
1,96
|
|
Критическая частота
вращения гребного вала, мин-1
|
nкр
|
693,0
|
|
Запас по частоте вращения
гребного вала
|
nзап
|
126,9
|
Таблица 2.6 - Проверочный расчет вала на продольную устойчивость
|
Параметр
|
Обозначение
|
Значение
|
|
Диметр гребного вала, м
|
dгв
|
0,13
|
|
Полная длина гребного вала,
м
|
|
6,75
|
|
Гибкость вала
|
|
225,0
|
|
Критическая осевая сила, кН
|
|
527,3
|
|
Запас устойчивости вала
|
-
|
4,5
|
|
|
|
|
Заключение: После проведенных проверочных расчетов по основным критериям
и ввиду того, что запас по частоте вращения вала превышает 20%, оставляем
существующий диаметр гребного и промежуточного валов. Диаметры валов
удовлетворяют новым характеристикам главной силовой установки теплохода.
2.2 Расчет систем СЭУ
.2.1 Расчет топливной системы
Топливные системы предназначены для приема, хранения, перекачивания,
очистки, подогрева и подачи топлива для сжигания к парогенераторам, газовым
турбинам и двигателям внутреннего сгорания, а также для передачи топлива на берег
или на другие суда.
Трубопроводы, механизмы и оборудование системы обеспечивают:
- прием дизельного топлива в отсеки основного и дополнительного
запаса топлива закрытым способом с обоих бортов;
- заполнение расходной цистерны дежурно-топливным насосом
Ш5-25-3,6/4-8 или ручным насосом НР-20;
- подачу топлива из расходной цистерны дизельного топлива или
из цистерны запасного топлива через фильтр грубой очистки топлива к главным
двигателям через мерные бачки или минуя их;
- подачу топлива из расходной цистерны дизельного топлива к
дизель-генератору;
- подачу топлива к котлу из цистерны расходного топлива или из
цистерны запасного топлива через фильтры главных двигателей и фильтр,
поставляемый с котлом;
- сбор утечного топлива от главных двигателей и от поддона
отсека основного запаса топлива и цистерну утечного топлива;
- откачку утечного топлива из цистерны утечного топлива и
зачистку основного и вспомогательного отсеков на берег на оба борта;
- выдачу топлива на берег из цистерны запасного и расходного топлива
на оба борта;
- вентиляцию цистерн в атмосферу через головки с
пламяпрерывающими сетками и поплавками.
Материал трубопровода - сталь.
Арматура - латунная и стальная.
В топливную систему входят следующие механизмы и оборудование:
- насос дежурно-топливный Ш5-25-3,6/4. Производительность
насоса 2,7м3/час. Работа насоса автоматизирована. Пуск и остановка
производится от датчиков минимального и максимального уровня в расходной
цистерне. Кроме того, предусмотрена возможность ручного пуска и остановки;
- насос ручной топливный марки НР-20. Производительность
насоса: 0,72÷1,2 м3/час;
- отсек основного запаса дизельного топлива. Прием топлива
производится закрытым способом, через наливные втулки Ду50, расположенные по
обоим бортам;
- контроль за уровнем топлива в цистерне производится
футштоками с главной палубы, для чего цистерна по обоим бортам оборудована
измерительными втулками Ду25. Кроме того, цистерна оборудована: воздушными
трубами Ду100 с головками с пламяпрерывающим сетками и поплавками, расходным поплавковым
устройством с быстрозапорным клапаном, привод которого выведен на крышу
надстройки, зачистной трубой с клапаном, горловинами для осмотра и очистки
цистерны, и необходимой арматурой;
- цистерна расходного топлива выгорожена в корпусе, в объеме
цистерны основного запаса топлива и оборудована двумя расходными клапанами с
приводами, выведенными на крышу надстройки, самозапорным клапаном, указательной
колонкой, горловиной для осмотра и очистки, воздушно-переливными отверстиями,
соединяющими цистерну с отсеком основного запаса топлива;
- цистерна утечного топлива. Цистерна вкладная емкостью 50л
оборудована невозвратно-запорным клапаном для откачки топлива, вентиляционным
гуськом с головкой, имеющей пламяпрерывающую сетку, футштоком, горловиной и
штуцерами для присоединения труб утечного топлива от главных двигателей и
поддона;
- мерные бачки емкостью 5литров установлены для замера расхода
топлива, поступающего к главному двигателям. Соответствующими переключениями
трехходовых кранов с Т-пробками, установленных на мерных бачках,
обеспечивается: заполнение мерных бачков с одномерной подачей топлива к главным
двигателям; подвод топлива к главным двигателям только через мерные бачки;
подвод топлива к двигателям помимо мерных бачков;
- сдвоенный фильтр топлива главных двигателей;
- сдвоенный фильтр топлива дизель - генератора.
Объем расходной цистерны подсчитывается из расчета обеспечения работы
главного двигателя на номинальном режиме в течение 8 часов
где
- коэффициент, учитывающий мертвый запас топлива;
- удельный расход топлива главного двигателя,
;
- номинальная мощность главного двигателя, кВт;
- число главных двигателей;
- плотность топлива,
.
Объем сточной цистерны грязного топлива составляет 50 - 100 л на каждые
1000 кВт мощности главного двигателя
Емкость запасных цистерн
где
- запас топлива, т.
Объем расходных цистерн вспомогательного двигателя берется из расчета
обеспечения их работы не менее 4 часов
где
- удельный расход топлива вспомогательного двигателя,
;
- номинальная мощность вспомогательного двигателя, кВт;
- число вспомогательных двигателей.
Объем расходной цистерны автономного котла
где
- удельный расход топлива котла,
;
- число автономных котлов;
- плотность тяжелого топлива,
.
Целесообразней объединить расходные цистерны главного и вспомогательного
двигателей и автономного котла в одну, что обеспечит металлоемкость и сэкономит
место в МО.
Таким образом принимаем
.
Производительность топливоподкачивающего электронасоса (дежурного)
выбирается из условия заполнения расходной цистерны в течение 20…30 мин
Производительность резервного ручного насоса выбирается из условия
заполнения расходной цистерны в течение 1 часа
Мощность насоса
где
- К.П.Д. насоса;
- напор в магистрали, МПа.
К.П.Д. насоса и напор топлива в магистрали выбирается по Таблице 2.7.
Таблица 2.7 - К.П.Д. насоса и напор в магистрали
|
|
|
шестеренный
|
|
|
|
винтовой
|
|
|
Для системы легкого топлива выбирается шестеренный топливоподкачивающий
насос для заполнения расходной цистерны главного двигателя.
Таблица 2.8 - Топливная система т/х проекта 1741А
|
Агрегат или оборудование
|
Наименование характеристики
|
Численное значение
характеристики
|
|
Дежурный топливный насос
|
Марка
|
Р3-4,5
|
|
Подача, м3/ч
|
1,0 4,5
|
|
Мощность, кВт
|
1,5
|
|
Количество, шт
|
1
|
|
Ручной топливный насос
|
Марка
|
НР-20
|
|
Количество, шт
|
1
|
|
Цистерна основного запаса
топлива
|
Вместимость, м3
|
72
|
|
Расходная цистерна
|
Вместимость, м3
|
1,3
|
|
Цистерна утечного топлива
|
Вместимость, м3
|
0,06
|
Заключение: Ввиду небольших различий между значениями,полученными
аналитическим путем и значениями проектного оборудования топливной системы
теплохода, оставляем существующую топливную систему без изменений.
2.2.2 Расчет масляной системы
Система предназначена для приема смазочного масла в цистерну запасного
масла, его хранения, подачи масла к механизмам, предпусковой прокачки главных
двигателей, сбора отработанного масла и выдачи его на берег.
Масляные системы дизельных установок во многих случаях состоят из
следующих, по существу, независимых систем:
- смазочной и охлаждения трущихся деталей главных и
вспомогательных двигателей;
- смазочной редукторных передач;
- гидравлической реверс-редукторных, гидродинамических и
объемных гидравлических передач;
- масляной органов управления и автоматического регулирования.
При проектировании масляной системы необходимо учитывать расход масла во
всех перечисленных системах.
Трубопроводы, механизмы и оборудование системы обеспечивают:
- прием чистого масла в цистерну запасного масла через палубную
втулку левого борта закрытым способом;
- прием с берега и перекачку масла в цистерну запасного масла
судовым насосом через наливную втулку правого борта;
- заполнение маслом картеров главных двигателей, редукторов и
дизель-генератора самотеком (при достаточном уровне масла в запасной цистерне),
электроприводным насосом и ручным насосом;
- выдачу чистого масла на берег из запасной цистерны
электроприводным или ручным насосом через клапаны;
- откачку масла ручным насосом из картеров редукторов в
цистерну отработанного масла или на берег через клапаны;
- слив масла из картера дизель-генератора в цистерну
отработанного масла;
- выдачу масла на оба борта из цистерны отработанного масла
судовым насосом;
- слив масла из картеров главных двигателей в цистерну
отработанного масла.
Производительность нагнетательного масляного насоса
где
- коэффициент запаса подачи;
- количество теплоты, отбираемое маслом у трущихся пар,
кДж/ч;
- теплоемкость масла, кДж/(кг∙°С);
- плотность масла;
- температура масла за двигателем для СОД, °С;
- температура масла перед двигателем, °С.
где
- доля тепла, отводимая маслом от всего количества теплоты,
выделяемой при сгорании топлива в цилиндрах двигателя;
- удельная теплота сгорания топлива, кДж/кг;
- дизельное топливо, кДж/кг;
- удельный расход топлива, кг/(кВт∙ч);
- номинальная мощность двигателя, кВт.
Производительность откачивающего насоса должна быть на 25…30% больше
подачи нагнетательного насоса для осушения картера двигателя
Емкость маслосборной цистерны
где
- коэффициент, учитывающий мертвый запас топлива и
увеличение объема масла при его нагреве;
- кратность циркуляции масла для МОД и СОД.
Объем сточной цистерны отработавшего масла
где
- число смен масла за период автономного плавания.
Объем сточной цистерны установленной на
судне составляет 0,55 м3, поэтому в увеличении объема нет
необходимости.
Объем расходной цистерны
Объем запасной цистерны
где
- запас масла, т.
где
- запас топлива, т.
Поверхность охлаждения масляного холодильника
где
- коэффициент теплоперепада от масла к стенкам трубок
холодильника,
;
- средняя температура масла и воды,
.
где
- температура забортной воды перед холодильником.
Принимается в зависимости от бассейна плавания (Таблица 2.9),
;
- температура забортной воды за холодильником,
.
Таблица 2.9 - Температура забортной воды
|
Район плавания
|
Температура
|
|
Обь - Иртыш
|
21
|
|
Енисей - Лена
|
19
|
|
Без ограничения бассейна
|
24
|
|
Суда смешанного плавания
|
27
|
Производительность насоса забортной воды для прокачки масляного
холодильника
где
- коэффициент запаса подачи воды;
- теплоемкость пресной речной воды,
;
- теплоемкость морской воды,
;
- плотность пресной воды, т/м3;
- плотность морской воды, т/м3.
Производительность насоса для пресной забортной воды
По результатам расчета составляется таблица.
Таблица 2.10 - Масляная система т/х проекта 1741А
|
Агрегат или оборудование
|
Наименование характеристики
|
Численное значение
характеристики
|
|
Насос маслоперекачивающий
|
Марка
|
Р3-4,5
|
|
Подача, м3/ч
|
1,0 4,5
|
|
Мощность, кВт
|
1,5
|
|
Насос масляный резервный
|
Марка
|
НР-20
|
|
Цистерна основного запаса
масла
|
Вместимость, м3
|
2
|
|
Цистерна утечного масла
|
Вместимость, м3
|
0,55
|
Заключение: В связи с заменой главных двигателей демонтируются отдельно
стоящие фильтра и трубопроводы к ним, т.к. на вновь устанавливаемых главных
двигателях они расположены непосредственно на двигателях. Заполнение картеров
маслом будет производиться с помощью существующего на судне шланга от цистерны
запасного масла. Отработанное масло из картеров двигателей и редукторов будет
отводиться в существующую цистерну отработанного масла через трубопроводы,
подсоединенные к двигателям и РРП.
2.2.3 Расчет системы охлаждения
Система водяного охлаждения дизельных установок, как правило,
двухконтурная. Она состоит из замкнутой системы внутреннего контура, вода
которой охлаждает дизель, и открытой системы внешнего контура, в которой через
холодильник циркулирует забортная вода. Система водяного охлаждения включает в
себя трубопровод забортной воды и трубопровод замкнутой системы охлаждения.
Трубопровод заборной воды предназначен для приема воды из-за борта и
подачи ее:
- в водомасляные, водоводяные и холодильники главных
двигателей;
- в водомасляные холодильники РРП;
- в водомасляный и водоводяной холодильники дизель -
генератора;
- на прокачку дейдвудных подшипников;
- на охлаждение электрокомпрессоров.
В систему забортной воды входит следующее оборудование и механизмы:
- ящик забортной воды: 1шт. Ящик забортной воды оборудованной
захлопкой с приводом, отбойным листом, решетками, горловиной для чистки и
осмотра, воздушной трубой и необходимой арматурой;
- кингстонный ящик: 1шт. Кингстонный ящик оборудован захлопкой
с приводом, горловинами для чистки воздушной и промывочной (от пожарной
системы) и необходимой арматурой;
- фильтры глубокой очистки: 2шт. Фильтры оборудованы съемными
крышками, сетчатыми стаканами, спускными пробками;
- насосы заборной воды на двигателях;
- водоводяные и водомасляные холодильники двигателей и РРП.
Заборная вода из кингстонного ящика или ящика заборной воды правого
борта, соединенных между собой перемычкой Ду125, через фильтр грубой очистки
подводится к насосам наборной воды двигателей.
На магистралях, подводящих воду к насосам главных двигателей, установлены
два сетчатых фильтра грубой очистки, что позволяет соответствующим
переключателем трехходовых кранов с Т-пробками производить чистку фильтров при
работающих двигателях.
От насосов забортной воды главных двигателей вода подается сначала в
водомасляные, а затем в водоводяные холодильники главных двигателей и РРП.
На выходе из главных двигателей часть воды отводится через
невозвратно-запорные клапаны за борт, а часть подается на прокачку дейдвудных
подшипников, на охлаждение компрессоров КВД-Г.
Для ускорения прогрева двигателей после длительной стоянки в холодное
время года предусмотрена возможность перепуска части воды, выходящей из
двигателя непосредственно на всасывающую магистраль насоса забортной воды.
При образовании шуги часть заборной воды отводимой от главных двигателей
в обычных условиях на борт, может быть отведена в ящик заборной воды.
Резервным средством охлаждения электрокомпрессоров КВД-Г является подача
воды от системы водоснабжения.
Трубопровод замкнутой системы охлаждения предназначен для прокачки
замкнутых контуров охлаждения питьевой водой с целью поддерживания определенной
температуры двигателей, а также для прогрева двигателей перед пуском от системы
водяного отопления в холодное время года.
В систему замкнутого контура охлаждения входит следующее оборудование и
механизмы:
- расширительные бачки главных двигателей емкостью 25л - 2шт.
Бачки предназначены для пополнения водой внутренних контуров главных двигателей
и оборудованы водоуказательными колонками, воздушными трубами и необходимой
арматурой;
- насосы замкнутых контуров системы охлаждения на двигателях.
При выходе из строя насоса замкнутого контура главного двигателя конструкцией
двигателя предусмотрена возможность перехода на одноконтурную систему
охлаждения двигателя заборной водой, для чего необходимо переключить арматуру
на двигателе.
Подача насоса внутреннего контура определяется по формуле
где
- разность температур воды на выходе из дизеля и на входе,
;
- коэффициент запаса подачи воды;
- теплоемкость пресной речной воды,
;
- плотность пресной воды, т/м3;
- количество теплоты, отбираемое водой внутреннего контура
от охлаждаемых деталей двигателя, кДж/ч.
где
- доля тепла, отводимая водой от всего количества теплоты,
выделяемой при сгорании топлива в цилиндрах двигателя;
- удельный расход топлива, кг/(кВт∙ч);
- дизельное топливо, кДж/кг;
- номинальная мощность двигателя, кВт.
Подача насоса забортной воды, прокачиваемой через холодильник для
охлаждения воды внутреннего контура, определяется по выражению
где
- температура забортной воды перед холодильником.
Принимается в зависимости от бассейна плавания (Таблица 2.9),
;
- температура забортной воды за холодильником,
;
- коэффициент запаса подачи воды;
- количество теплоты, отбираемое водой внутреннего контура
от охлаждаемых деталей двигателя, кДж/ч.
Производим расчет подачи забортного насоса для пресной воды
Часто для прокачки забортной водой масляного и водяного холодильников
используют один насос, тогда его подача определяется по формуле
Внутренний контур не может быть герметически замкнутым. Для компенсации
изменения объема воды при изменении ее температуры, а также для возмещения
потерь вследствие испарения или утечек служит расширительный бак, соединенный с
всасывающей магистралью циркуляционного насоса.
Емкость расширительного бака по опытным данным составляет 100…150 л на
каждые 1000 кВт мощности
Заключение: Подвод забортной воды, по рекомендуемой техническими
условиями схеме, должен производиться по трубопроводу Ду70.Так как на судне
существует трубопровод Ду50, то фильтры забортной воды и 3-х ходовые краны
демонтируются и заменяются на Ду80. Трубопроводы к дизелю и от него дополняются
вставками и соединяются с существующими.
Расширительный бачок сохраняется. Трубки пополнения системы внутреннего
контура и пароотвода выполняются заново. Вновь подсоединяются к системе
охладители масла РРП, трубопровод от системы отопления (для прогрева дизеля
перед пуском в холодное время) и аварийное охлаждение от пожарной магистрали.
2.2.4 Расчет системы сжатого воздуха
Система предназначена для заполнения баллонов сжатым воздухом от
компрессоров КВД-Г. От баллонов предусмотрена подача сжатого воздуха на пуск
главных двигателей, к тифону в ходовой рубке, к заслонкам утилизационных
котлов, к пневмоцистернам, на хозяйственные нужды и к станции «Озон-0,1».
Трубопровод системы выполнен таким образом, что два баллона емкостью 80
литров подают воздух давлением 30кгс/см2только на пуск главных
двигателей, а из двух других воздух подается ко всем остальным потребителям,
включая и главные двигатели.
На расходном трубопроводе от баллонов к остальным потребителям
установлено два редукционных клапана. Один клапан должен быть отрегулирован на
снижение давления с 30 кгс/см2до 6 кгс/см2; воздух под
давлением 6кгс/см2 поступает в ходовую рубку к тифону и на управление
заслонками утилизационных котлов.
Второй клапан должен быть отрегулирован на снижение давления с 30 кгс/см2
до 4 кгс/см2; воздух под давлением 4 кгс/см2 подается к
пневмоцистернам и на хозяйственные нужды.
В систему сжатого воздуха входят следующие механизмы и оборудование:
- два электрокомпрессора КВД-Г производительностью 10м3/час
свободного воздуха. Автоматическая работа компрессора обеспечивается двумя
парами реле давления Г62-2Г, установленными на закачном трубопроводе и
работающими от импульсов давления воздуха в баллонах. Включение одного
компрессора предусмотрено при падении давления до 20кгс/см2,
включение второго компрессора - при падении давления до 18кгс/см2,выключение
обоих компрессоров при 30кгс/см2. Один компрессор является рабочим,
а другой - резервным. В целях выработки одинакового моторесурса предусмотрена
возможность поочередного вывода в резерв обоих компрессоров. Пуск и остановка
компрессоров может производиться дистанционно из рулевой рубки, вручную или
автоматически из М.О;
- баллон сжатого воздуха. Четыре баллона сжатого воздуха
емкостью 80 литров каждый с рабочим давлением 30кгс/см2. Контроль за
давление воздуха в баллонах осуществляется при помощи манометров, поставляемых
с баллонами. Контроль за давлением воздуха в системе осуществляется в МО с
помощью электрических манометрови по манометрам, установленным на редукционных
клапанах, в ходовой рубке - по приборам, получающим питание от
электроманометров.
При нормальном режиме работы системы запорная арматура на баллонах перед
редукционными и электромагнитными клапанами, на приемной и расходной
магистралях должна находиться в открытом положении. В закрытом положении
находится запорная арматура клапанов продувания баллонов, арматура,
установленная на пневмоцистернах и на хозяйственные нужды.
Общий запас воздуха на судне, необходимый для обеспечения определенного
количества пусков и реверсов главных двигателей, регламентируемых Правилами
Регистра, определяется по формуле
где
- удельный расход свободного воздуха для пуска холодных
двигателей, приходящийся на 1м3 объема цилиндра, м3/м3;
- удельный расход свободного воздуха для пуска горячего
двигателя, м3/м3;
- число пусков и реверсов;
- суммарный объем цилиндров двигателя, м3;
- число двигателей.
Суммарный объем пусковых баллонов
где
- давление атмосферного воздуха, МПа;
- начальное пусковое давление воздуха, МПа;
- минимальное пусковое давление воздуха, МПа.
По величине
выбирают необходимое количество стандартных баллонов, общая
вместимость которых должна быть больше расчетной. Стандартные баллоны
рассчитаны на 40, 80, 200, 250 и 400 литров.
Принимаем 3 баллона по 80 литров.
Таким образом
, что удовлетворяет условию.
Производительность компрессора
где
- время заполнения баллонов, час.
Объем тифонного баллона определяется из условия подачи сигналов в течение
10 мин без его подкачки
где
- коэффициент насыщения сигналами (отношение
продолжительности сигнала ко времени между сигналами);
- время сигнала, мин;
- начальное давление воздуха в баллоне, МПа;
- конечное давление воздуха в баллоне, МПа;
- расход свободного воздуха тифоном (Таблица 4.6), м3/мин.
Таблица 2.11 - Расход свободного воздуха тифоном
|
Условный проход тифона, мм
|
Тон звука
|
|
|
10
|
альт
|
1
|
|
15
|
тенор
|
3
|
|
25
|
баритон
|
6
|
|
32
|
бас
|
7
|
Выбираем один тифонный баллон объемом 80 литров.
По результатам расчетов строится таблица.
Таблица 2.12 - Система сжатого воздуха т/х проекта 1741А
|
Агрегат или оборудование
|
Наименование характеристики
|
Численное значение
характеристики
|
|
Компрессор
|
Марка
|
КВД-Г
|
|
Производительность, м3/ч
|
10
|
|
Давление, кгс/см2
|
60
|
|
Количество, шт
|
2
|
|
Баллон сжатого воздуха
|
Емкость, л
|
80
|
|
Количество, шт
|
4
|
|
Давление, кгс/см2
|
30
|
Заключение: Установленное на судне оборудование системы сжатого воздуха
удовлетворяет новым условиям работы, и, следовательно, остается без изменений,
за исключением подвода сжатого воздуха непосредственно к главным двигателям.
2.2.5 Расчет газовыпускной системы
Система газовыпуска предназначена для отвода в атмосферу выпускных газов
от главных и вспомогательных дизелей, котлов и камбуза.
На выхлопных трубопроводах главных двигателей установлены
автоматизированные утилизационные котлы. На выхлопном трубопроводе
вспомогательного дизеля установлен поршневой компенсатор и глушитель.
Для разгрузки главных двигателей от веса трубопроводов и усилий от
теплового расширения, а такие для виброизоляции корпуса судна выхлопные
трубопроводы оборудованы сильфонными компенсаторами.
Трубопроводы главных двигателей до утилькотлов и весь трубопровод
дизель-генератора выполнен из углеродистой стали и изолированы совелитом.
Система искрогашениякотлоагрегата предназначена для гашения искр в
дымоходе отопительного котла при буксировке нефтеналивных судов и при других
аналогичных условиях работы буксира.
Для гашения искр на дымоходе отопительного котла установлен
искрогаситель, орошаемый водой, подаваемой от системы водоснабжения.
От искрогасителя вода отводится за борт через бачок сигнализации,
контролирующий наличие воды в системе.
В случае выхода из строя насоса системы водоснабжения, автоматики насоса
или других причин, могущих привести к исчезновению воды в системе искрогашения,
вмонтированное в бачок сигнализации реле давления СДК-60 подает сигнал в
ходовую рубку о прекращении поступления воды к искрогасителю.
На отводящем трубопроводе установлен смотровой фонарь с подсветкой,
позволяющий контролировать подачу воды к искрогасителю при выходе из строя
бачка сигнализации.
Площадь сечения газовыпускного трубопровода определяется в зависимости от
секундного расхода и допустимой скорости движения газов
где
- суммарный коэффициент избытка воздуха при горении:
- количество воздуха теоретически необходимого для сгорания 1
кг топлива, кг/кг;
- газовая постоянная,
;
- температура выпускных газов за дизелем,
;
- допустимая скорость движения газов в трубопроводе, м/с;
- удельный расход топлива, кг/(кВт∙ч);
- номинальная мощность двигателя, кВт;
- допустимое давление в трубопроводе, кПа.
Заключение: После проведения проверочного расчета трасса выхлопного
трубопровода главных двигателей и дизель-генератора остается без изменений.
2.3 Проверочный расчет остойчивости судна
Дополнительно, при замене главных двигателей, проводят расчет
остойчивости судна. Если разница массы демонтированного и вновь установленного
двигателя составляет менее 1% от водоизмещения судна порожнем, то весовая
нагрузка не изменяется.
Разница между весом двигателей определяется по формуле
где

- масса
двигателя с РРП, кг;
- масса двигателя с РРП, кг.
С учетом двух двигателей
% от водоизмещения судна
где
- водоизмещение судна порожнем, кг.
Заключение:
. Таким образом осадка судна, надводный борт и грузовая марка
остаются по проекту 1741 и в силе остается действующая информация об
остойчивости.
3.
Технологический раздел
3.1 Описание детали
Полумуфта ТНВД предназначена для своевременного поворота вала насоса
высокого давления. Она, соответственно, производит процесс начала подачи
топлива в цилиндры, в зависимости от величины частоты вращения коленчатого
вала, передаваемого через газораспределительный механизм на привод топливного
насоса. А также для предупреждения преждевременного изнашивания деталей,
обеспечивая нормальное техническое состояние работы привода топливного насоса в
течение всего периода эксплуатации.
Полумуфта фиксируется на переднем коническом конце кулачкового вала
топливного насоса специальной гайкой. Для предотвращения проворачивания
полумуфты на валу топливного насоса, в задней части центрального отверстия
имеется конус со шпоночным пазом.
Сборка и посадка детали происходит при помощи четырех болтов диаметром 10
мм. Для установки важна параллельность торцовых поверхностей и их
перпендикулярность общей базе.
Рисунок 3.1 - Общий вид полумуфты ТНВД
3.2 Материалы и заготовки полумуфт
Полумуфты, в основном, изготовляют из конструкционных и легированных
сталей, к которым предъявляются требования высокой прочности, хорошей
обрабатываемости, малой чувствительности к концентрации напряжений, а также
повышенной износостойкости. Этим требованиям, в определенной степени, отвечают
стали марок 35, 40 , 45, 40Г, 40Х, 40ХН и др. Достаточно редко полумуфты
отливают из чугуна.
Производительность механической обработки полумуфт во многом зависит от
вида заготовки, ее материала, размера и конфигурации, а также от характера
производства. Заготовки получают отрезкой от горячекатаных или холоднотянутых
нормальных прутков и непосредственно подвергают механической обработке.
Прокат круглого сечения поступает на машиностроительные заводы в виде
многометровых прутков, из которых в заготовительных цехах нарезают заготовки
необходимой длины. Резка может быть проведена различными способами на различном
оборудовании с соблюдением определенных условий.
Процесс должен обеспечивать требуемую точность по длине заготовки,
перпендикулярность торцов полумуфт, необходимое качество поверхности торцов,
включая заданную шероховатость, а также минимальные потери металла.
В наибольшей мере указанным требованиям отвечают отрезные круглопильные
станки, применяемые в серийном и массовом производствах. В качестве режущего
инструмента в них применяются пильные диски, оснащенные сегментами из
быстрорежущей стали. Таким диском можно разрезать прокат диаметром до 240 мм
или пакет прутков меньшего диаметра. Торцы заготовок после отрезки имеют
шероховатость Ra=32мкм.
Для изготовления полумуфты используем конструкционную сталь 40Х, так как
она обладает достаточной прочностью и пластичностью. Механические свойства
данной стали приведены в таблице 3.1.
Таблица 3.1 - Свойства материала Сталь 40Х ГОСТ 4543-71
|
Наименование
|
Значение
|
|
Углерод C, % Кремний Si, %
Марганец Mn, % Хром Cr, %
|
0,36-0,44 0,17-0,37
0,50-0,80 0,80-1,10
|
|
Предел текучести, Н/мм2
(кг•с/мм2)
|
785(80)
|
|
Временное сопротивление,
Н/мм2 (кг•с/мм2)
|
980(100)
|
|
Относительное удлинение, %
|
10
|
|
Относительное сужение, %
|
45
|
|
Ударная вязкость, %
|
59
|
|
Твердость по Бринеллю (HB)
отожженной стали: Диаметр отпечатка, мм, не менее Число твердости, не более
|
4,1 217
|
3.3 Проектирование технологического процесса
При построении маршрута обработки следует соблюдать принцип постоянства
баз, т.е. на всех основных технологических операциях использовать в качестве
технологических баз одни и те же поверхности. Выдерживание принципа постоянства
баз способствует повышению точности, взаимному расположению поверхностей детали
и высокой точности по концентричности расположения поверхностей вращения.
Технологию изготовления при необходимости возможно изменить. В
зависимости от наличия необходимого оборудования, возможно применение других
обрабатывающих станков и приспособлений.
Технологический процесс изготовления полумуфты ТНВД приведен в таблице
3.2.
Рисунок
1 Таблица 3.2 - Технологический процесс изготовления полумуфты ТНВД
Необходимое оборудование и инструмент для изготовления полумуфты:
- автомат отрезной круглопильный 8В66А;
- токарно-винторезный станок 16К20;
- вертикально-сверлильный станок 2Т140;
- внутришлифовальный станок 3К227В;
- резец расточной 25´25 Т15К6 ГОСТ 18883-73;
- резец расточной для сквозных отверстий 5,5´10 Т30К4 ГОСТ 18062-72;
- резец расточной для глухих отверстий 3,8´6 Т30К4ГОСТ 18062-72;
- резец проходной отогнутый 32´20 Т5К10 ГОСТ 18868-73;
- сверло с цилиндрическим хвостиком Æ20 мм ГОСТ 886-77;
- сверло с цилиндрическим хвостиком Æ10 мм ГОСТ 886-77;
- головка шлифовальная EW-коническая ГОСТ 2447-82;
- штангенциркуль ШЦ-III-400-0,05 ГОСТ 166-89;
- штангенглубиномер ШГ 160 ГОСТ 20162-90;
- линейка металлическая ГОСТ 4046-80;
- дефектоскоп типа УД-76.
Технические операции.
Заготовительная. Берем металлический пруток и отрезаем заготовку Æ110 мм и длиной 90 мм на автомате
отрезном круглопильном 8В66А.
Токарная. Закрепляем заготовку в патрон станка 16К20 и расточным резцом
ГОСТ 18883-73 обтачиваем торцы и поверхность до Æ52 мм, выдерживая длину 67 мм.
Устанавливаем резец проходной отогнутый ГОСТ 18868-73, протачиваем фаски
размером 2´45° и 3´45°. Затем сверлом с цилиндрическим
хвостиком Æ20 мм
ГОСТ 886-77 сверлим технологическое отверстие Æ20 мм, а расточным резцом для
сквозных отверстий ГОСТ 18062-72 протачиваем конус с входным Æ40 мм и выходным Æ30 мм, выдерживая длину 71 мм.
Токарная. Закрепляем заготовку в патрон станка 16К20 и расточным резцом
ГОСТ 18883-73 обтачиваем торцы и поверхность до Æ100 мм, после протачиваем торец
расточным резцом для глухих отверстий ГОСТ 18063-72 до Æ45 мм и глубиной 9 мм.
Сверлильная. Закрепляем деталь на вертикальном сверлильном станке 2Т140 и
сверлом с цилиндрическим хвостиком Æ10 мм ГОСТ 886-77 сверлим 4 отверстия Æ10 мм.
Долбежная. Закрепляем деталь в долбежный станок 7М430 и проходным
отогнутым резцом ГОСТ 18868-73 делаем паз под шпонку шириной 6 мм и глубиной
1,8 мм.
Шлифовальная. Закрепляем деталь в патрон шлифовального станка 3К227В и
шлифовальной головкой конической ГОСТ 2447-82 и отшлифовываем внутренний
посадочный конус.
Контрольная операция. Проводим технический осмотр, промывку детали,
измерение штангенциркулем и штангенглубиномером, а также поверочной линейкой.
Делаем ультразвуковую проверку дефектоскопом.
Выбор станков для проектируемого технологического процесса производится
после того, как каждая операция предварительно разработана. Это значит, что
намечены, выбраны или определены: метод обработки поверхности или сочетания
поверхностей (точение, сверление и т.п.); точность и шероховатость
поверхностей; припуск на обработку; режущий инструмент; такт выпуска и тип
производства. Типоразмер станка (модель) можно выбрать сравнительно быстро на
основании таких данных, как метод обработки, шероховатость, расположение и
размеры обрабатываемой поверхности или габаритные размеры детали.
После определения необходимого количества станков, исходя из заданной
производительности, может измениться первоначальное решение по выбору
типоразмера станка. Это возможно в условиях массового производства, где
необходимо стремиться чтобы на операциях было занято не более одного или двух
станков.
Еще одним фактором, который может привести к изменению первоначального
решения по выбору типоразмера станка, является неэффективное использование его
по мощности. В подобных случаях, в условиях массового производства, а иногда и
крупносерийного, разрешается, когда нет возможности подобрать более подходящий
станок и когда это предусматривается конструкцией станка, установить для
привода главного движения электродвигатель меньшей мощности.
Выбор режущих инструментов осуществляется в зависимости от метода
обработки, формы и размеров обрабатываемой поверхности, ее точности и
шероховатости, обрабатываемого материала, заданной производительности и периода
стойкости (замены)инструмента. По возможности используются стандартные
инструменты.
3.4 Расчет режима резания
Сверление, зенкерование и развертывание являются наиболее
распространенными технологическими способами обработки круглых отверстий.
Сверление - основной метод образования отверстий в металле обрабатываемых
заготовок.
При сверлении, как правило, используются стандартные сверла, имеющие две
режущие кромки, расположенные диаметрально относительно друг друга.
При сверлении глубина резания численно равна половине диаметра отверстия
где
- диаметр отверстия, мм.
При сверлении из быстрорежущей стали по справочнику выбираем
рекомендуемую подачу сверла
Скорость резания рассчитывается по формуле
где
- коэффициенты, значения которых берутся по справочнику в
зависимости от свойств материала и особенностей обработки;
- период стойкости, мин;
- общий поправочный коэффициент скорости, учитывающий
фактические условия резания.
После определения скорости резания рассчитывается частота вращения
шпинделя станка
где
- диаметр инструмента, мм.
Крутящий момент и осевая сила рассчитываются по следующим формулам
где
- коэффициенты, значения которых берутся по справочнику в
зависимости от свойств материала и особенностей обработки.
Мощность находится по следующей формуле
В заключении можно сделать вывод о том, что в процессе изготовления
полумуфты ТНВД не применяется никаких специальных материалов, оборудования и
технологий. Изделие в целом технологичное и относительно недорогое.
Оборудование, применяемое для изготовления, имеется на любом ССРЗ или
машиностроительном заводе (либо аналогичное оборудование).
4.
Охрана труда
4.1 Общие положения
Под охраной труда в соответствии со статьей 209 Трудового кодекса
Российской Федерации (далее по тексту - ТК РФ) понимается система сохранения
жизни и здоровья работников в процессе трудовой деятельности, включающая в себя
правовые, социально-экономические, организационно-технические,
санитарно-гигиенические, лечебно-профилактические, реабилитационные и иные
мероприятия.
Регулирование вопросов охраны труда осуществляется в соответствии с
государственными нормативными требованиями охраны труда, содержащимися в
федеральных законах и иных правовых актах Российской Федерации и законах и иных
нормативных правовых актах субъектов Российской Федерации об охране труда,
которыми устанавливаются правила, процедуры и критерии, направленные на
сохранение жизни и здоровья работников в процессе трудовой деятельности.
К основным законодательным актам, определяющим государственную политику в
области охраны труда, относятся:
- Конституция Российской Федерации;
- Трудовой кодекс Российской Федерации от 30 декабря 2001 г.
№197-ФЗ, принятый Государственной Думой 21 декабря 2001 года и одобренный
Советом Федерации 26 декабря 2001 года;
- Федеральный закон «Об основах охраны здоровья граждан в
Российской Федерации» от 21 ноября 2011 г. №323-ФЗ;
- Государственный стандарт Российской Федерации ГОСТ Р 12.0.006
- 2002 «Система стандартов безопасности труда. Общие требования к системе
управления охраной труда в организации», утвержденный постановлением
Госстандарта России от 29 мая 2002 г. №221-ст (в редакции изменений от 26 июня
2003 года);
- Государственный стандарт ГОСТ 12.4.011-89 «Система стандартов
безопасности труда. Средства защиты работающих. Общие требования и
классификация».
Положения, содержащие требования об охране труда, содержатся также в
следующих федеральных законах:
- от 30 марта 1999 г. №52-ФЗ «О санитарно-эпидемиологическом
благополучии населения»;
- от 21 июля 1997 г. №116-ФЗ «О промышленной безопасности
опасных государственных объектов»;
- от 2 мая 1997 г. №76-ФЗ «Об уничтожении химического оружия»;
- от 9 января 1996 г. №3-ФЗ «О радиационной безопасности
населения»;
- от 21 ноября 1995 г. №170-ФЗ «Об использовании атомной энергии»;
- от 21 декабря 1994 г. №69-ФЗ «О пожарной безопасности».
В соответствии со статьей 211 ТК РФ требования охраны труда обязательны
для исполнения юридическими и физическими лицами при осуществлении ими любых
видов деятельности, в том числе при проектировании, строительстве
(реконструкции) и эксплуатации объектов, конструировании машин, механизмов и
другого оборудования, разработке технологических процессов, организации
производства и труда.
Постановлением Правительства Российской Федерации от 23 мая 2000 г. №99
«О нормативных правовых актах, содержащих государственные нормативные
требования труда» определена система нормативных правовых актов, содержащих
государственные нормативные требования охраны труда.
Также утверждены перечень видов нормативных правовых актов, содержащих
государственные нормативные требования охраны труда, и порядок их разработки и
принятия.
Правовые акты, содержащие государственные нормативные требования охраны
труда, включенные в Перечень видов нормативных правовых актов, предложены в
таблице 4.1.
Таблица 4.1 - Виды нормативных правовых актов
|
Виды нормативных правовых
актов
|
Федеральный орган
исполнительной власти, утверждающий документ
|
|
Межотраслевые правила по
охране труда (ПОТ Р М), межотраслевые типовые инструкции по охране труда (ТИ
Р М)
|
Минтруд России
|
|
Отраслевые правила по
охране труда (ПОТ Р О), типовые инструкции по охране труда (ТИ Р О)
|
Федеральные органы
исполнительной власти
|
|
Правила безопасности,
правила устройства и безопасной эксплуатации, инструкции по безопасности
|
Госгортехнадзор России,
Госатомнадзор России
|
|
Государственные стандарты
системы стандартов безопасности труда (ГОСТ Р ССБТ)
|
Госстандарт России Госстрой
России
|
|
Строительные нормы и
правила (СНиП), своды правил по проектированию и строительству (СП)
|
Госстрой России
|
|
Государственные
санитарно-эпидемиологические правила и нормы)
|
Минздрав России
|
В соответствии со статьей 210 ТК РФ основными направлениями
государственной политики в области охраны труда являются:
- Обеспечение приоритета сохранение жизни и здоровья
работников;
- Принятие и реализация федеральных законов и иных нормативных
правовых актов Российской Федерации, законов и иных правовых актов субъектов
Российской Федерации об охране труда, а также федеральных целевых, отраслевых
целевых и территориальных целевых программ улучшения условий и охраны труда;
- Государственное управление охраной труда;
- Государственный надзор и контроль над соблюдением требований
охраны труда;
- Содействие общественному контролю над соблюдением прав и
законных интересов работников в области охраны труда;
- Расследование и учет несчастных случаев на производстве и
профессиональных заболеваний;
- Установление компенсаций за тяжелую работу и работу с
вредными и (или) опасными условиями труда, неустранимыми при современном техническом
уровне производства и организации труда;
- Координация деятельности в области охраны труда, охраны
окружающей природной среды и других видов экономической и социальной
деятельности;
- Участие государства в финансировании мероприятий по охране
труда;
- Подготовка и повышение квалификации специалистов по охране
труда;
- Организация государственной статистической отчетности об
условиях труда, а также о производственном травматизме.
4.2 Охрана труда на водном
транспорте
Основные документы, регламентирующие основы организации охраны труда на
предприятиях водного транспорта:
- Правила эксплуатации судового электрооборудования;
- СанПиН 2.5.2-703-98 Суда внутреннего и смешанного (река-море)
плавания;
- Правила безопасности труда на судах речного флота;
- Правила пожарной безопасности на судах внутреннего плавания
(приказ Минтранса №158 от 24 декабря 2002 г.).
Согласно «Приказа Минречфлота №107» осуществляется трехступенчатый
контроль по охране труда:
- ежедневная проверка. Проводится вахтенным начальником при
приеме вахты и в период несения вахтенной службы;
- еженедельная проверка. Проводится капитаном совместно с
судовой профорганизацией;
- ежемесячная проверка. Проводится судовладельцем или
предприятием, осуществляющим техническое обслуживание судна.
Основными организационными мероприятиями безопасности труда являются
обучение, инструктаж, проверка знаний по безопасности труда и контроль их
неукоснительного исполнения.
Инструктаж по безопасности труда обязателен для всех работающих и вновь
поступающих работать на флот и береговые предприятия.
Различают несколько видов инструктажа по безопасности труда:
- вводный инструктаж;
- первичный инструктаж;
- повторный инструктаж по безопасным приемам и методам работы в
объеме программы первичного инструктажа;
- внеплановый инструктаж по безопасным приемам и методам работы
на рабочем месте;
- целевой инструктаж.
К основным вредным производственными факторам на флоте относятся:
- шум;
- вибрация;
- инфракрасное излучение;
- электромагнитные излучения радиочастотного диапазона.
На любом предприятии с присутствием вредных факторов производства,
существуют средства защиты, а также мероприятия по уменьшению действия вредных
производственных факторов.
Комплекс противошумных и противовибрационных мероприятий должен включать
общепроектные и конструктивные средства защиты.
В качестве общепроектных средств защиты предусматриваются следующие
мероприятия:
- подбор судового оборудования с наилучшими виброаккустическими
характеристиками;
- рациональное расположение помещений;
- дистанционное управление работой машин и механизмов.
В качестве конструктивных средств защиты предусматриваются следующие
мероприятия:
- звукоизоляция и виброизоляция источников шума;
- вибродемпфирование;
- звукопоглощение в помещениях с источниками шума.
Защита от электромагнитных излучений радиочастотного диапазона.
При проектировании радиорубок и средств радиосвязи должны
предусматриваться следующие средства защиты:
- экранирование источников электромагнитного излучения;
- дистанционное управление приборами, вызывающими
электромагнитные излучения.
Интенсивность инфракрасного излучения в районе рабочих мест, согласно
СанПиН 2.2.4.548-96 (п. 1.4.20), с учетом облучения не более 25% поверхности
тела, не должна превышать 100 Вт/м2.
Главным средством защиты от инфракрасного излучения является изоляция,
которая предусматривается в соответствии с ГОСТ 12.4.123-83 (п.1.4.23).
4.3 Обслуживание судовых двигателей внутреннего сгорания
Эксплуатация двигателей внутреннего сгорания должна производиться в
соответствии с правилами технической эксплуатации речного транспорта,
инструкциями заводов-строителей и требованиями «Правил обслуживания судовых
дизелей».
На судне должны быть инструкции для каждого установленного типа
двигателей. Лица, обслуживающие эти двигатели, должны изучить их.
В период подготовки двигателя к пуску во избежание поломок, аварий и
несчастных случаев обслуживающий персонал обязан:
- убедиться в исправности всех частей двигателя и
предохранительных устройств;
- обо всех неисправностях, если они не могут быть немедленно
устранены, доложить механику (вахтенному механику);
- осмотреть двигатель и убрать все посторонние предметы (ключи,
гайки);
- провернуть двигатель валоповоротным устройством или рычажным
приводом на два полных оборота при открытых индикаторных кранах и выключенных
топливных насосах, чтобы проверить, отсутствует ли вода в цилиндрах. Наличие
воды в цилиндрах может привести к аварии двигателя;
- открыть клапаны и краны на нагнетательных трубопроводах от
охлаждающих насосов на двигатель и забортные клапаны для предупреждения разрыва
корпусов насосов, клапанных коробок, рубашек цилиндров и трубопроводов;
- во время прокачки топливных насосов следить так, чтобы
топливо не поступало в цилиндры двигателя во избежание опасных взрывов при
пуске;
- заполнять топливные трубопроводы только при открытых
контрольных клапанах у форсунок;
- своевременно выключать валоповоротные устройства на двигателе
во избежание поломок и аварий;
- убедиться, отключен ли привод дистанционного управления из
рулевой рубки от поста управления двигателем в машинном отделении;
- убедиться в отсутствии людей за кормой судна и в опасных
зонах двигателя и линии валопровода;
- предупредить вахтенного начальника и получить разрешение на
пуск двигателя;
- провернуть двигатель пусковым воздухом при открытых
индикаторных кранах для проверки нормальной работы пусковых устройств.
При дистанционном пуске двигателя из рулевой рубки после ремонта
дополнительно к требованиям необходимо:
- убедиться в исправном состоянии узлов и крепежа системы дистанционного
управления двигателем;
- проверить включение дистанционного привода на посту
управления, расположенном на двигателе;
- проверить согласованность положений рукояток на постах в
рулевой рубке и на крыльях мостика с положением органов управления на
двигателе;
- включить подачу электропитания на щит приборов контроля
работы двигателя в рулевой рубке и проверить исправность сигнальных ламп
поворотом ключа.
Непосредственно перед пуском двигателя старший по вахте машинного
отделения обязан: предупредить личный состав, находящийся в машинном отделении,
о предстоящем пуске двигателя; плавно открыть запорный клапан на трубопроводе
пускового воздуха (при воздушном пуске).
При испытании двигателя под нагрузкой на топливе с включеннымвалопроводом
необходимо обеспечить надежное крепление швартовов. Не допускать, чтобы около
винтов (гребных колес) находились люди, а также лодки, плоты и др.
Пуском и остановкой двигателя непосредственно руководит вахтенный
механик.
4.4 Требования безопасности в машинном отделении
Необходимым условием эксплуатации судовых силовых установок является
знание и строгое соблюдение личным составом правил техники безопасности и
инструкций по эксплуатации механизмов.
К обслуживанию судовых механизмов допускаются лица:
- достигшие восемнадцатилетнего возраста и не имеющие
медицинских противопоказаний к работе на судне;
- теоретически подготовленные и обладающие практическими
навыками по обслуживанию механизмов. Наличие теоретической подготовки
подтверждается документами об образовании, а практических навыков дипломом на
право занятия должности (для командного состава) или свидетельство (для
рядового состава);
- знающие правила техники безопасности.
Ответственность за предупреждение несчастных случаев на судне, за
обучение лиц рядового состава безопасным приемам и методам работы и соблюдения
правил техники безопасности, несет капитан-механик судна. Во время вахты
ответственность за соблюдение правил техники безопасности возлагается на
вахтенного начальника.
Одним из важнейших условий безопасности обслуживания судовых механизмов,
помимо знания правил техники безопасности, являются внимательность при несении
вахты.
Запрещается носить обувь на резиновой подошве, впитывающей нефтепродукты,
а также с металлическими набойками.
В целях предупреждения глухоты члены экипажа, обслуживающие силовую
установку с уровнем шума, превышающим допустимые нормы, должны пользоваться
индивидуальными средствами защиты (противошумными наушниками и пробками).
Доступ посторонним лицам в машинно-котельное отделение без разрешения
вахтенного начальника запрещается. Представители органов надзора могут входить
в машинно-котельное отделение только в сопровождении механика судна или его
вахтенного помощника.
К содержанию машинно-котельного отделения предъявляются следующие требования:
соблюдение чистоты и порядка у постов управления и в проходах, наличие
ограждений в опасных зонах, достаточная освещенность и вентиляция. Для этого
необходимо чтобы:
- плиты настила всегда находились на месте и были закреплены, а
вырезы в них закрыты;
- слани были сухие, пролитые нефтепродукты убраны, не
допускается их скопление под сланями;
- проходы всегда были освобождены, и был обеспечен доступ ко
всем постам управления судовыми механизмами, кранам и клапанам систем;
- место проведения профилактических осмотров или ремонтных
работ было свободно от предметов, мешающих работе;
- трапы, решетки, площадки, ограждения, поручни, крышки
горловин и люков содержались в исправности. Места, где они временно сняты,
должны быть ограждены, вывешены предупредительные надписи без разрешения лица,
ответственного за безопасное выполнение ремонтных работ. По окончании работ все
снятые ограждения должны быть установлены на место и закреплены;
- к распределительным коробкам, кранам и клапанам систем был
свободный доступ и было ясно видно, открыты они или закрыты. На всех клапанах
должны быть надписи и стрелки, указывающие направления открытия или закрытия
вентиля;
- маховики вентилей горячих трубопроводов необходимо сплетать
нефтепроводным изоляционным материалом.
5.
Охрана окружающей среды
5.1 Общие положения
Охрана окружающей среды - деятельность органов государственной власти
Российской Федерации, направленная на сохранение и восстановление природной
среды, рациональное использование и воспроизводство природных ресурсов,
предотвращение негативного воздействия хозяйственной и иной деятельности на
окружающую среду и ликвидацию ее последствий (далее также - природоохранная
деятельность).
В настоящее время огромное влияние уделяется проблеме экологической
безопасности. Деятельность человека наносит все больший вред окружающей среде,
что имеет большое значение для самого человека с точки зрения его будущего и
будущего его потомков. Самый большой вред окружающей среде наносится в
настоящее время промышленным производством, хозяйственной деятельностью и
различными видами транспорта, к которым также относится речной транспорт.
Главным инструментом государственной экологической политики является
законодательство по охране окружающей среды.
Законодательство Российской Федерации об охране окружающей среды
основывается на следующих основных документов:
- Закон РФ «Об особо охраняемых природных территориях», принят
Государственной думой (от 15.02.95 г. №33-Ф3);
- Закон РФ «Об охране окружающей среды», принят Государственной
думой (от 20.12.01 г. №7-Ф3);
- Закон РФ «Об охране атмосферного воздуха» (от 02.04.99 г.
№96-Ф3);
- Указ президента России от 4 февраля 1994 года №236 «О
государственной стратегии Российской Федерации по охране окружающей среды и
обеспечению устойчивого развития»;
- Закон РФ «Об экологической экспертизе», принят
Государственной думой (от 19.08.95 г. №174-Ф3);
- Об утверждении критериев отнесения опасных отходов к классу
опасности для окружающей природной среды. Приказ Министерства природных
ресурсов РФ (от 15.06.01 г. №511).
Закон РФ «Об охране окружающей природной среды» устанавливает
основополагающие принципы и нормы регулирования экологических отношений в РФ.
Большинство норм права по охране окружающей среды содержится в законодательных
актах, в частности в Земельном, Водном и Лесном кодексах.
Действие закона «Об охране окружающей природной среды» распространяется,
как правило, на всю территорию Российской Федерации.
Приоритетными направлениями работ по обеспечению экологической
безопасности в РФ являются:
- выявление и регистрация новых потенциально опасных химических
и биологических веществ, соответствующих технологий, опасных объектов
промышленности, энергетики и сельского хозяйства;
- оценка риска экологически опасных факторов для здоровья
населения;
- оценка воздействия на окружающую среду различных видов
текущей и потенциальной хозяйственной или иной деятельности, а также их
экологическая экспертиза;
- обязательное предупреждение и информирование общественности,
граждан и органов управления всех уровней о действиях, технологиях, веществах и
т.п., могущих привести к деградации окружающей среды и ухудшению здоровья
населения. При использовании водных объектов граждане и юридические лица
обязаны осуществлять производственно-технологические, мелиоративные, агротехнические,
гидротехнические, санитарные и другие мероприятия, обеспечивающие охрану водных
объектов.
Основными государственными органами по охране окружающей среды в РФ
является:
- Государственный Комитет РФ по охране окружающей среды;
- Федеральная служба лесного хозяйства России.
За предотвращением загрязнения ВВП при эксплуатации судов производятся
следующие виды контроля:
- Государственный надзор;
- Технический надзор;
- Отраслевой контроль;
- Производственный контроль.
Контрольза обеспечением экологической безопасности при эксплуатации судов
осуществляется федеральным органом исполнительной власти в области охраны
окружающей среды. Органами технического надзора и классификации судов РФ
осуществляется технический надзор за обеспечением экологической безопасности
при эксплуатации судов.
Бассейновые органы государственного управления на внутреннем водном
транспорте в области охраны окружающей среды осуществляют: контроль за
размещением и функционированием объектов природоохранного назначения на ВВП в
зоне деятельности соответствующего бассейнового органа государственного
управления на ВВТ; информационное обслуживание судовладельцев и капитанов судов
по вопросам экологической безопасности.
5.2 Требования к судам по охране окружающей среды
Перечень документов, касающихся предотвращения загрязнения водной среды,
которые должны быть на судах внутреннего плавания:
- «Наставление по предотвращению загрязнения внутренних водных
путей при эксплуатации судов» РД 152-011-00;
- СанПиН 2.5.2-703-98 «Суда внутреннего и смешанного
(река-море) плавания»;
- «Свидетельство о предотвращении загрязнения нефтью, сточными
водами и мусором» Российского Речного Регистра - форма РР-1.8 или РР-1.9;
- Расчеты автономности плавания по нефтесодержащим водам,
сточным водам и мусору;
- Инструкция по бункеровке судна, утвержденная капитаном;
- Журнал СД-36 по учету операций с нефтесодержащими водами,
сточными водами, мусором и пищевыми отходами;
- Судовой план чрезвычайных мер по предупреждению загрязнений
водной среды нефтью;
- Руководство по контролю и управлению балластными операциями.
Органы государственной власти РФ принимают совместимые с принципом
устойчивого развития меры по сохранению водных объектов, предотвращению их
загрязнения, засорения и истощения, а также по ликвидации последствий указанных
явлений.
На речном транспорте проводятся работы по оборудованию флота, причалов
нефтебаз различными техническими средствами, предназначенными для
предотвращения возможности загрязнения водной среды.
Самоходные наливные суда оснащаются системами сбора и очистки подсланевых
вод, устройствами, предупреждающими утечку нефтепродуктов при производстве
бункеровки.
Очистка судов от остатков нефтепродуктов осуществляется с регенерацией
моющей воды во время промывки судов, без попадания в водоем.
Для сбора, очистки загрязненных вод и мусора используют самоходные
сборщики типа ОС, несамоходные станции сбора и очистки подсланевых вод типа
СПВ.
5.2.1 Предотвращение загрязнения нефтью
Самоходные суда, а также несамоходные суда, имеющие на борту двигатели
внутреннего сгорания, должны быть оснащены:
- сборной цистерной нефтесодержащих вод;
- системой перекачки и сдачи нефтесодержащих вод;
- стандартными сливными соединениями для сдачи нефтесодержащих
вод в приемные устройства.
Если перечисленное выше оборудование не обеспечивает необходимой
автономности плавания по условиям экологической безопасности, суда
дополнительно должны быть оснащены:
- фильтрующим оборудованием;
- сигнализатором;
- системой сброса очищенных нефтесодержащих вод;
- автоматическим устройством, прекращающим сброс
нефтесодержащих вод при превышении нормативного значения содержания нефти в
сбрасываемых водах;
- сборной цистерной для нефтяных остатков.
Использование грузовых танков и топливных цистерн в качестве балластных
не допускается.
Использование по другому назначению сборных цистерн, емкостей, систем
сбора, перекачки, обработки и сдачи нефтесодержащих вод с входящими в их состав
оборудованием и трубопроводами и объединение их с другими системами не
допускается.
Устройство систем и расположение трубопроводов перекачки, сдачи и сброса
нефтесодержащих вод должны удовлетворять требованиям разделов I и 4 ч. VII
«Системы и трубопроводы» Правил Российского Речного Регистра.
Трубопроводы системы сдачи нефтесодержащих вод в приемные устройства
должны быть выведены на оба борта. Трубопроводы системы сдачи нефтесодержащих
вод не должны соединяться с трубопроводами, входящими в другие системы выдачи.
Выходные патрубки трубопроводов системы сдачи нефтесодержащих вод должны
размешаться в удобных для подсоединения шлангов местах и должны быть оснащены
стандартными сливными соединениями с отличительной надписью.
5.2.2 Предотвращение загрязнения сточными водами
Основным требованием к судам с экипажами является наличие:
- сточно-фановой системы;
- сборной цистерны для сточных вод;
- стандартных сливных соединений для сдачи сточных вод в
приемные устройства;
- установок для обработки сточных вод.
Использование по другому назначению сборных цистерн, емкостей, систем
сбора, перекачки, обработки и сдачи сточных вод с входящими в их состав
оборудованием и трубопроводами и объединение их с другими системами не
допускается.
5.2.3 Предотвращение загрязнения мусором
Суда, имеющие на борту людей, должны быть оборудованы устройствами для
сбора мусора. По усмотрению судовладельца суда могут быть оборудованы
устройствами для обработки мусора или установками для сжигания мусора
(инсинераторами).
Устройства для сбора мусора могут быть съемными или встроенными, должны
иметь плотно закрывающиеся крышки.
Съемные устройства для сбора мусора должны быть с гладкими внутренними
поверхностями и иметь приспособления для их крепления на судне.
Устройства для сбора мусора должны устанавливаться на открытой палубе или
в помещениях, имеющих эффективную вентиляцию и изолированных от жилых и
служебных помещений.
5.3 Экологическая безопасность при проектировании судовых
дизелей
При проектировании и модернизации техники в настоящее время определяющими
критериями являются не только экономичность, долговечность и компактность, но и
экологическая безопасность. В настоящее время все более ужесточаются требования
по содержанию в отработавших газах двигателей и котлов оксидов азота и
углерода, сернистого ангидрида, бензапирена и сажи. Все более строго
регламентируется содержание нефтепродуктов в воде, сбрасываемой в море, и
особенно - во внутренние пресноводные водоемы.
Модернизация СЭУ теплохода обычно заключается в увеличении мощности
главных двигателей. Это ведет к увеличению расхода топлива и, соответственно, к
увеличению нагрузки на окружающую среду. СЭУ теплохода загрязняет природную
среду следующим образом:
- атмосфера - выбросы газообразных продуктов сгорания главными
и вспомогательными дизелями и котельной установкой;
- гидросфера и литосфера - выбросы твердых продуктов сгорания
дизелями и котельной установкой и слив нефтесодержащей воды за борт (аварийный
сброс).
5.3.1 Расчет выбросов оксидов азота
Величина выбросов оксидов азота определяется по выражению
где
= 0,14- базовая величина выбросов оксидов азота, %;
=0,65 - коэффициент угла опережения подачи топлива;
= 0,9 - коэффициент угла раскрытия отверстий распылителя
форсунки;
=1,0- коэффициент наддува.
Рисунок 5.1 - Зависимость базовой величины выбросов оксидов азота от
среднего эффективного давления
Рисунок 5.2 - Зависимость коэффициента учитывающий угол опережения подачи
топлива от угла опережения подачи топлива
Рисунок 5.3 - Зависимость коэффициента учитывающий угол раскрытия
отверстий распылителя форсунки от выбросов оксида азота
При среднем эффективном давлении свыше 0,3МПа допускаемую величину
выбросов следует определять по графику в зависимости от удельного расхода
топлива.
Рисунок 5.4 - Зависимость допускаемой величины выбросов оксидов азота от
удельного эффективного расхода топлива и коэффициента избытка воздуха
Условие соответствия дизеля природоохранным требованиям по оксидам азота
где

= 0,095
- для дизельного топлива, %.
5.3.2 Расчет выбросов оксида углерода
Величина выбросов оксида углерода рассчитывается по выражению
где
= 0,01 - базовая величина выбросов
оксида углерода;
= 0,63 - коэффициент угла опережения подачи топлива;
= 0,65 - коэффициент угла раскрытия отверстий распылителя
форсунки;
= 0,8 - коэффициент наддува.
Рисунок 5.5 - Зависимость базовой величины выбросов оксида углерода от
коэффициента избытка воздуха
Рисунок 5.6 - Зависимость коэффициента угла опережения подачи топлива от
угла опережения подачи топлива
Рисунок 5.7 - Зависимость коэффициента угла раскрытия отверстий
распылителя форсунки от угла раскрытия отверстий распылителя форсунки
При среднем эффективном давлении свыше 0,3 МПа допускаемую величину
выбросов следует определять по графику в зависимости от удельного расхода топлива.
Рисунок
5.8 - Зависимость допускаемой величины выбросов оксида углерода от удельного
эффективного расхода топлива
Условие соответствия дизеля природоохранным требованиям по оксиду углерода
где

= 0,0033
- для дизельного топлива, %.
5.3.3 Расчет выбросов сажи
Величину выбросов сажи (дымность) определяют по выражению
где
= 20 - базовая величина дымности;
= 1,08- коэффициент угла опережения подачи топлива;
= 1,07- коэффициент угла раскрытия отверстий распылителя
форсунки;
= 1,0- коэффициент учета наддува.
Рисунок 5.9 - Зависимость базовой величины выбросов сажи от скорости
вращения коленвала
Рисунок 5.10 - Зависимость коэффициента учета опережения подачи топлива
от угла опережения подачи топлива
Рисунок 5.11 - Зависимость коэффициента учета угла раскрытия отверстий
распылителя от угла раскрытия отверстий распылителя форсунки
Допускаемая величина дымности согласно требованиям ГОСТ 24028-80
определяется по графику в зависимости от расхода отработавших газов
где
= 7,27 - объем цилиндра, л;
= 6 - число цилиндров;
=913 - частота вращения вала дизеля, об/мин;
= 2 - коэффициент тактности.
Рисунок 5.12 - Зависимость допустимойдымности от расхода отработавших
газов
Условие соответствия дизеля природоохранным требованиям по дымности
где

= 35 -
для дизельного топлива, %.
5.4 Расчет автономности плавания судна
Методика расчета автономности плавания судов по условиям экологической
безопасности распространяется на суда и другие плавучие средства, которые
находятся постоянно или периодически на внутренних водных путях Российской
Федерации, в том числе на иностранные суда, заходящие на внутренние водные пути
России.
Расчет автономности плавания допускается производить на серию судов
одного проекта при условии идентичности установленного на них оборудования,
влияющую на экологическую безопасность судна.
Автономность плавания теплохода проекта 1741 до модернизации составляла
20 суток.
Автономность плавания определяется по следующим видам загрязнений:
- нефтесодержащие воды;
- сточные воды и мусор.
Автономность плавания по нефтесодержащим водам
где
= 5 - объем сборной цистерны для нефтесодержащих вод,
м3;
При
отсутствии специальной цистерны для нефтесодержащих вод значение
определяется как объем пространства под сланями
машинного отделения или объем переносных емкостей.
= 0,02 -
расчетное суточное накопление нефтесодержащих вод, зависящее от типа судна и
мощности главных двигателей, принимается в соответствии с нормами, м3/сут.
Автономность
плавания по сточным водам
где
= 6,5 - объем сборной цистерны для сточных вод, м3;
= 0,03 -
удельное значение накопления сточных вод для различных типов судов,м3/чел·сут;=
9- количество людей на судне, чел.
Автономность
плавания по мусору
где
= 0,4 - объем устройств сбора сухого мусора и пищевых
отходов,м3;
= 0,002 -
расчетное значение суточного накопления сухого мусора и пищевых отходов, м3/чел·сут.
Вывод:
Автономность плавания модернизированного теплохода проекта 1741 составляет
примерно 20 суток, что равно значению его проектных данных.
Таким
образом, можно сделать заключение о том, что, автономность плавания
удовлетворяет условию экологической безопасности. Также дизель 6ЧН 21/21
отвечает требованиям природоохраны по выбросам оксида азота, оксида углерода
ипо дымности.
6.
Технико-экономическое обоснование
Основной задачей технико-экономического обоснования выбора типа
энергетической установки судна, является определение экономических показателей
вариантов судовых двигателей для проектируемого судна, сравнение и выбор
наилучшего из вариантов.
В качестве базового варианта рассматривается двигатель 8ЧНСП 18/22, а в
качестве проектируемого двигатель 6ЧН 21/21.
Для определения экономического эффекта необходимо определить приведенные
затраты базового и проектированного вариантов и вычислить их разницу.
Экономический эффект будет положительным в случае, если приведенные
затраты на проектируемый вариант будет меньше затрат на базовый вариант.
где
- приведенные затраты проектируемого варианта, тыс.
руб;
где
-суммарные текущие расходы, связанные с содержанием
двигателя за навигационный период, тыс. руб;
-нормативный
коэффициент сравнительной эффективности капитальных вложений;
-стоимость
двигателя, тыс. руб.
6.1
Капитальные вложения в СЭУ
По
данным ООО «ДальРемДизель» (#"903271.files/image389.gif">= 2900
тыс. руб.
Стоимость
судовой буксирной лебедки марки ЛБЯШ 30/150 и вспомогательного оборудования в
сумме составляет около 655 тыс. руб.
По
данным ОАО «Волжский дизель им.Маминых» (www.vdm-plant.ru) стоимость двигателя
6ЧН 21/21 в комплекте с редуктором РРП-34в
полной комплектации cЗИПом составляет:
= 2150
тыс.руб.
Км = 380 тыс.руб. - стоимость монтажа - демонтажа
оборудования.
С учетом двух двигателей на судне:
6.2 Текущие расходы
Текущие расходы по содержанию СЭУ для базового и проектируемого варианта
состоят из следующих статей расходов:
-
расходы на топливо и смазочные материалы, тыс. руб;
-
расходы на амортизационные отчисления, тыс. руб;
-
расходы на текущий ремонт, тыс. руб;
- прочие
расходы, тыс. руб.
Для базового варианта:
где
= 135сут. - общее ходовое время за год;
= 45
сут. - общее стояночное время;
= 20сут.
- общее маневренное время.
Расходы на топливо и смазочные материалы на ходу:
где
- эффективная мощность главного двигателя, кВт;
-
удельный эффективный расход топлива, г/(кВт·час);
-
удельный эффективный расход масла, г/(кВт·час);
Цт
= 27800 руб/т - цена топлива (#"903271.files/image405.gif"> -
коэффициент, учитывающий увеличение расхода на вспомогательные двигатели и котлы;
Для
базового варианта 8ЧНСП 18/22:
- расходы
на топливо и смазку на стоянке.
-
расходы на топливо и смазку на маневрах.
Расходы на амортизационные отчисления:
где Аб= 4,6% - норма амортизации для буксиров-толкачей,
мощностью главной судовой силовой установки до 221 кВт.
Расходы на текущий ремонт:
где
- норматив отчислений на ремонт энергетической
установки.
Прочие расходы:
Для проектируемого двигателя марки 6ЧН 21/21:
Расходы на топливо и смазочные материалы:
Корректировка нормы амортизации для проектируемого двигателя:
где
- моторесурс базового двигателя;
- моторесурс
проектируемого двигателя.
6.3 Приведенные затраты
Приведенные затраты по базовому варианту:
Приведенные затраты по проектируемому варианту:
Экономический эффект:
Срок окупаемости модернизации:
Результаты расчетов по проектируемому варианту с двигателем 6ЧН 21/21 в
сопоставлении с двигателем 8ЧНСП 18/22 при эксплуатации в качестве главной
силовой установки на теплоходе проекта 1741 представлены в таблице 6.1.
Таблица 6.1 - Технико-экономические показатели
|
Показатель
|
Значение показателя
|
|
Базовый
|
Проектируемый
|
|
Тип судна
|
Толкач-буксир
|
Толкач-буксир
|
|
Номер проекта
|
1741А
|
1741А
|
|
Марка двигателя
|
8ЧНСП 18/22
|
6ЧН 21/21
|
|
Мощность главного
двигателя, кВт
|
220,0
|
220,0
|
|
Количество главных
двигателей
|
2
|
2
|
|
Род топлива
|
дизельное
|
дизельное
|
|
Род смазки
|
М-14В2
|
М-14В2
|
|
Удельный расход топлива,
г/кВт·ч
|
218,0
|
209,0
|
|
Удельный расход смазки,
г/кВт·ч
|
3,4
|
1,3
|
|
Цена топлива, тыс. руб.
|
27,8
|
27,8
|
|
Цена масла, тыс. руб.
|
32,5
|
32,5
|
|
Капитальные вложения,
тыс.руб.
|
5800,0
|
4680,0
|
|
Эксплуатационные расходы,
тыс.руб.
|
12238,1
|
11469,7
|
|
Расходы на топливо и
смазку, тыс.руб.
|
10626,7
|
10078,3
|
|
Амортизационные отчисления,
тыс.руб.
|
266,8
|
161,5
|
|
Расходы на текущий ремонт,
тыс.руб.
|
232,0
|
187,2
|
|
Прочие расходы, тыс.руб.
|
1112,6
|
1041,7
|
|
Приведенные затраты,
тыс.руб.
|
12818,1
|
11937,7
|
|
Экономический эффект,
тыс.руб.
|
-
|
880,4
|
|
Срок окупаемости, год.
|
-
|
4,5
|
ЗАКЛЮЧЕНИЕ
Выполненный дипломный проект на тему «Модернизация теплохода проекта
1741А путём замены главных двигателей и буксирной лебёдки» показывает, что это
мероприятие ведет к увеличению сроков эксплуатации судна данного проекта.
Выполнен необходимый объем расчетов и графических работ, что позволяет
сделать следующие выводы: после проведения модернизационных работ на данном
проекте судна снижаются затраты на текущий ремонт двигателя, увеличивается
период безотказной работы и повышается безопасность плавания. Уменьшается
уровень вибрации, что благоприятно сказывается на здоровье экипажа судна. После
установки буксирной лебедки улучшается маневренность теплохода.
Важно отметить, что на модернизированном судне будет установлен двигатель
отечественного производства, что позволит дешевле его эксплуатировать, а также
производить ремонт.
Список используемых источников
1. Басин
А.М. Ходкость и управляемость судов / А.М. Басина. - М.: Транспорт, 1977. -
455с.
2. Ваганов
Г.И. Тяга судов / Г.И. Ваганов, В.Ф. Воронин, В.К. Шанчурова. - М.: Транспорт,
1986.-199с.
3. Возницкий,
И.В. Современные судовые среднеоборотные двигатели / И.В. Возницкий. - С-П.:
КСИ, 2003. - 141 с.
4. Грибиниченко
М.В. Судовые энергетические установки: учеб.пособие / М.В. Грибиниченко. -
Владивосток: ДВГТУ, 2010. - 110 с.
5. Гурович
А.Н. Справочник по судовым устройствам. В 2-х т. Т. 2 / А.Н. Гурович, Б.Н.
Лозгачев, Д.А. Гринберг. - Л.: Судостроение, 1975. - 328 с.
6. Конаков
Г.А.Судовые энергетические установки и техническая эксплуатация флота / Г.А.
Конаков, Б.В. Васильев. -М.: Транспорт, 1980. - 356 с.
7. Краковский
И.И. Судовые вспомогательные механизмы / И.И. Краковский. - М.: Транспорт,
1972. - 384 с.
. Мельничук
В.А.Методические указания по выполнению экономического обоснования дипломных
проектов / В.А. Мельничук. -Омск: НГАВТ, 2002. - 26 с.
9. Охрана
окружающей среды на речном транспорте. Сборник нормативных документов. ЛИВТ.
Л.: 1985. - 248с.
. Панов
А.А. Обработка металлов резанием: Справочник технолога / А.А. Панов, В.В.
Аникин, Н.Г. Бойм. - М.: Машиностроение, 1988. - 736 с.
11. Попов
Г.А. Машиностроительное черчение / Г.А. Попов, С.Ю. Алексеев. - С-П.:
Политехника,1999. - 453 с.
. Правила
безопасности труда на судах РФ / Минречфлот. - М.: Транспорт, 1987. - 191 с.
. Правила
предотвращения загрязнения с судов / РРР. - М.: Марин Инжиниринг Сервис, 2008.
- 19 с.
. Правила
экологической безопасности судов внутреннего и смешанного плавания / РРР. - М.:
Марин Инжиниринг Сервис, 2008. - 52 с.
. Правила
Российского Речного Регистра. Том 3. - М.: Марин Инжиниринг Сервис, 2008. - 433
с.
. СанПиН
2.5.2-703 - 98 «Суда внутреннего и смешанного (река-море) плавания»
. Справочник
по серийным транспортным судам. Т 3/ ЦБНТИ МРФ. - М.: Транспорт, 1987. - 244 с.
. Трудовой
кодекс Российской Федерации - М.: ООО «Витрем», 2002. -192с.
. Харин
В.М. Судовые вспомогательные механизмы и системы / В.М. Харин, Б.Г. Декин, О.Н.
Занько. - М.: Транспорт, 1992. - 195 с.
. Чиняев
И.А. Судовые вспомогательные механизмы / И. А. Чиняев. - М.: Транспорт, 1989. -
293 с.
. Шмаков
М.Г. Судовые устройства/ М.Г. Шмаков. - М.: Транспорт, 1977. - 279 с.
. Юхнин
Е.И. Якорное, швартовное и буксирное устройства судов / Е.И. Юхнин. - СПб:
Судостроение, 1992. - 128 с.
23. Судовое оборудование
- «Белогородская судоверфь»: [сайт]. URL:
<http://www.sudozavod.ru/sudovoe_oborudovanie/> (дата обращения: 08.12.2016).
. Дельремдизель -
дизельные двигатели и генераторы: [сайт]. URL:
<http://www.dalremdiesel.ru/> (дата обращения: 22.11.2016).
. Буксирная лебедка
типа 227HSB: [сайт]. URL:
<http://www.drackar.ru/2010-10-08-04-58-28/buksirnaya-lebedka-tipa-227hsb.html>
(дата обращения: 13.11.2016).