Расчет дизеля, работающего по циклу Миллера
ВВЕДЕНИЕ
Тепловоз - автономный локомотив, первичным
двигателем которого является дизель.
Появившийся в 1924 году в СССР тепловоз стал как
экономически выгодной заменой устаревшим низкоэффективным паровозам, так и
дополнением, появившимся в то же время электровозам, требующим существенных
дополнительных затрат на электрификацию пути.
За прошедший век в конструкции тепловоза было
опробовано и внедрено множество усовершенствований: возросла мощность дизеля с
нескольких сотен лошадиных сил до шести тысяч (ТЭП80) и выше, на разных типах
тепловозов используются различные способы передачи энергии двигателя на
колёсные пары, значительно возросло удобство управления и обслуживания
тепловоза, снизились выбросы в атмосферу. Тепловозы строятся и используются во
всем мире.
Цикл Миллера - термодинамический
цикл
<https://ru.wikipedia.org/wiki/%D0%A2%D0%B5%D1%80%D0%BC%D0%BE%D0%B4%D0%B8%D0%BD%D0%B0%D0%BC%D0%B8%D1%87%D0%B5%D1%81%D0%BA%D0%B8%D0%B5_%D1%86%D0%B8%D0%BA%D0%BB%D1%8B>,
используемый в четырёхтактных двигателях внутреннего сгорания
<https://ru.wikipedia.org/wiki/%D0%94%D0%B2%D0%B8%D0%B3%D0%B0%D1%82%D0%B5%D0%BB%D1%8C_%D0%B2%D0%BD%D1%83%D1%82%D1%80%D0%B5%D0%BD%D0%BD%D0%B5%D0%B3%D0%BE_%D1%81%D0%B3%D0%BE%D1%80%D0%B0%D0%BD%D0%B8%D1%8F>.
Цикл Миллера был предложен в 1947
году американским инженером Ральфом Миллером как способ совмещения достоинств
двигателя Аткинсона
<https://ru.wikipedia.org/wiki/%D0%A6%D0%B8%D0%BA%D0%BB_%D0%90%D1%82%D0%BA%D0%B8%D0%BD%D1%81%D0%BE%D0%BD%D0%B0>
с более простым поршневым механизмом двигателя Отто
<https://ru.wikipedia.org/wiki/%D0%A6%D0%B8%D0%BA%D0%BB_%D0%9E%D1%82%D1%82%D0%BE>.
Вместо того, чтобы сделать такт сжатия механически более коротким, чем такт
рабочего хода (как в классическом двигателе Аткинсона, где поршень движется
вверх быстрее, чем вниз), Миллер придумал сократить такт сжатия за счет такта
впуска, сохраняя движение поршня вверх и вниз одинаковым по скорости (как в
классическом двигателе Отто).
Для этого Миллер предложил два
разных подхода: либо закрывать впускной клапан существенно раньше окончания
такта впуска (или открывать позже начала этого такта), либо закрывать его
существенно позже окончания этого такта. Первый подход у двигателистов носит
условное название «укороченного впуска», а второй - «укороченного сжатия». В
конечном счете оба этих подхода дают одно и то же: снижение фактической степени
сжатия рабочей смеси относительно геометрической, при сохранении неизменной
степени расширения (то есть такт рабочего хода остается таким же, как в
двигателе Отто, а такт сжатия как бы сокращается - как у Аткинсона, только
сокращается не по времени, а по степени сжатия смеси).
Выгода от повышения тепловой
эффективности цикла Миллера относительно цикла Отто сопровождается потерей
пиковой выходной мощности для данного размера (и массы) двигателя из-за
ухудшения наполнения цилиндра. Так как для получения такой же выходной мощности
потребовался бы двигатель Миллера большего размера, чем двигатель Отто, выигрыш
от повышения тепловой эффективности цикла будет частично потрачен на
увеличившиеся вместе с размерами двигателя механические потери (трение,
вибрации и т. д.).
Компьютерное управление клапанами
позволяет менять степень наполнения цилиндра в процессе работы. Это даёт
возможность выжать из мотора максимальную мощность, при ухудшении экономических
показателей, или добиться лучшей экономичности при уменьшении мощности.
В данной курсовой работе произведен
расчет дизеля, работающего по циклу Миллера. А именно: расчет требуемой
эффективной мощности и давления наддува, определение параметров рабочего
процесса дизеля, построение индикаторной диаграммы и определение сил,
действующих в КШМ дизеля.
ИСХОДНЫЕ ДАННЫЕ
Исходные данный для термодинамического расчета:
кН - расчетное
значение силы тяги тепловоза;
км/ч - скорость
тепловоза на расчетном подъеме;
- тактность
двигателя;
м,
м
- диаметр цилиндра и ход поршня;
- отношение
радиуса кривошипа к длине шатуна;
- степень сжатия
двигателя;
кг,
кг
- масса поршня и шатуна;
- угол между осями
цилиндров для V-образного дизеля.
1. РАСЧЕТ ТРЕБУЕМОЙ ЭФФЕКТИВНОСТИ
МОЩНОСТИ И ДАВЛЕНИЯ НАДДУВА ДИЗЕЛЯ
.1 Выбор давления наддува и схемы
воздухоснабжения дизеля
По заданию цикл Миллера, давление наддува не
менее 0,6 Мпа и двухступенчатый наддув. Схема воздухоснабжения дизеля
представлена на рисунке 1.
Рисунок 1 - Схема двухступенчатого наддува
четырехтактного дизеля с циклом Миллера: 1 - фильтр; 2 - компрессор НД; 3, 5 -
охладитель надувочного воздуха; 4 - компрессор ВД; 6 - воздушный ресивер; 7 -
поршневая часть дизеля; 8 - выпускной коллектор; 9 - турбина ВД; 10 - турбина
НД; 11 - глушитель
Все расчеты рабочего процесса ведутся при
нормальных атмосферных условиях: температуре окружающего воздуха
К
и барометрическом давлении
МПа.
Температура воздуха
на
выходе из компрессора одной ступени наддува определяется из выражения
(1)
где
-
показатель адиабаты. Для воздуха
.
Общая степень повышения давления при
двухступенчатой схеме наддува
(2)
где
,
-
соответственно степень повышения давления в первой и второй ступенях.
В свою очередь
(3)
Подставив численные значения в формулу (3)
получаем
Определим степень повышения давления в первой и
второй ступенях, приняв что они равны
Подставив численные значения, получим
Рассчитаем температуру на выходе из компрессора
первой ступени по формуле (1)
К
Температура
,
на выходе из охладителя определяется из выражения
(4)
где
-
коэффициент эффективности охладителя;
- температура
теплоносителя, охлаждающего надувочный воздух.
Для водовоздушных охладителей можно принять
,
К.
Рассчитаем температуру на выходе из охладителя
первой ступени, подставив численные значения в формулу (4)
К
Рассчитаем температуру на выходе из компрессора
второй ступени
К
Рассчитаем температуру на выходе из охладителя
второй ступени
К
Давление в начале сжатия с учетом потери
давления на гидравлическом сопротивлении органов газораспределения определяется
по формуле
(5)
Подставив численные значения, получим
МПа
2. ОПРЕДЕЛЕНИЕ ПАРАМЕТРОВ РАБОЧЕГО
ПРОЦЕССА ДИЗЕЛЯ И ПОСТРОЕНИЕ ИНДИКАТОРНОЙ ДИАГРАММЫ
.1 Процесс наполнения цилиндра
Рабочий объем цилиндра
определяется
из выражения
(6)
Подставив численные значения, получаем
м3
Объем камеры сжатия
(7)
Подставив численные значения получим
м3
Максимальный объем цилиндра
(8)
Подставив численные значения получим
м3
Цикл Миллера
Путь, пройденный поршнем до закрытия впускных
клапанов, определим из выражения
(9)
где
-
угол поворота коленчатого вала, отсчитываемый от ВМТ, град;
- отношение
радиуса кривошипа к длине шатуна.
Подставив численные значения, получим
м
Объем цилиндра при закрытии впускных клапанов
(10)
Подставив численные значения, получим
м3
Степень сжатия
найдем
по формуле
(11)
Подставив численные значения, получим
Температура рабочего тела при закрытии впускных
клапанов найдем по формуле
(12)
где
-
суммарное повышении температуры воздуха в период наполнения (принимаем
К);
- коэффициент
избыточных газов. Для четырехтактного дизеля с наддувом
;
- температура
выпускных газов, для четырехтактного дизеля
К.
Подставив численные значения, получим
К
Параметры воздушного заряда в начале сжатия (в
НМТ) рассчитываем по формулам
(13)
(14)
где
-
показатель политропы расширения заряда от момента закрытия впускных клапанов до
НМТ, принимаем 1,38 … 1,39;
- степень
расширения воздушного заряда после закрытия впускных клапанов и до НМТ,
(15)
Подставив численные значения, получим
Подставив значения в формулы 13, 14 произведем
вычисления
МПа
К
2.2 Процесс сжатия
Будем считать, что сжатие в цикле Миллера
происходит по двум политропным процессам:
и
(см.
рисунок 2).
Рисунок 2 - Индикаторная диаграмма цикла Миллера
Объем камеры сгорания в точке
найдем
по формуле
(16)
где
-
показатель политропы процесса
, принимаем
1,41…1,42.
Давление отработавших газов при открытых
выпускных клапанах
находим из условия
продувки дизеля
и величины потери
давления на гидравлическом сопротивлении органов газораспределения
.
Выразив
получаем
(17)
Подставив
,
получим
МПа
Подставив численные значения в формулу 16,
получим
м3
Давление и температура в точке
(18)
Подставив численные значения, получим
К
Давление и температура в конце сжатия для цикла
Миллера определяется из выражений:
(19)
(20)
где
-
средний показатель политропы сжатия. По опытным данным для тепловозных дизелей
.
Подставив значения в формулы (19), (20)
произведем вычисления
МПа
К
Коэффициент наполнения для двигателя с циклом
Миллера
(21)
Подставив численные значения, получим
2.3 Процесс горения
Параметры конца сгорания (точка z)
характеризуются давлением
и температурой
.
Для определения
необходимо
вычислить некоторые характерные величины, относящиеся к процессу горения.
Химический коэффициент молекулярного изменения
определяется по зависимости
(22)
где
-
суммарный коэффициент избытка воздуха;
- теоретически
необходимое количество воздуха для сгорания 1 кг топлива, кмоль/кг;, O -
массовые доли водорода и кислорода в топливе.
Для дизельного топлива можно принять следующий
состав в долях массы: углерода
; водорода
;
кислорода
.
Необходимое количество воздуха для сгорания 1 кг
топлива определяется как
кмоль/кг. Здесь
-
теоретически необходимое (стехиометрическое) количество воздуха для сгорания 1
кг топлива, равно 14,5 кг/кг.
Подставив значения в формулу (22), получим
Действительный коэффициент молекулярного
изменения
(23)
Подставив значения, получим
Степень повышения давления в цилиндре
(24)
где
-
максимальное давление сгорания, МПа.
Для дизеля работающего по циклу Миллера
.
Преобразуя формулу (24), определим
Подставив численные значения, получим
МПа
Температура рабочего тела в точке z индикаторной
диаграммы определяется из уравнения сгорания. При решении данного уравнения
значения температур
,
более
удобно представлять в градусах Цельсия.
(25)
где
-
коэффициент эффективного выделения теплоты до точки z (по опытным данным можно
принять
);
- низшая теплота
сгорания топлива
кДж/кг;
- средняя молярная
теплоемкость при постоянном давлении для продуктов сгорания, кДж/(кмоль·К).
Значение теплоемкостей можно определить по
следующим формулам:
для воздуха и двухатомных газов -
(26)
для продуктов сгорания жидкого топлива при
-
(27)
Подставив численные значения в формулу (26), получим
Подставив формулы (26) и (27) в формулу (25),
получим квадратное уравнение. Решает его относительно
,
получаем
К
Определим степень предварительного расширения
по
зависимости
(28)
Подставив численные значения, получим
Объем в точке z индикаторной диаграммы находится
как
(29)
Подставив численные значения, получим
м3
2.4 Процесс расширения
Давление
и
температура
в конце расширения
определяются по следующим формулам:
(30)
(31)
где
-
степень последующего расширения в цилиндре;
- средний
показатель политропы расширения (по опытным данным для тепловозных дизелей
).
Подставив значения в формулы (30) и (31),
получим
МПа
К
2.5 Расчетное среднее индикаторное
давление
Расчетное среднее индикаторное давление
вычисляется по формуле
(32)
Подставив численные значения, получим
МПа
Среднее индикаторное давление действительного
цикла
меньше
расчетного
вследствие наличия
скруглений в точках
,
,
индикаторной
диаграммы и в конце расширения, поэтому
,
где
-
коэффициент полноты индикаторной диаграммы.
На основе данных принимаются следуещее значение
:
для четырехтактного двигателя
.
Следовательно
МПа.
Индикаторная мощность двигателя вычисляется по
следующей формуле
(33)
где
- число цилиндров;
- частота вращения
коленчатого вала;
- тактность
двигателя: для четырехтактного -
.
Подставив численные значения, получим
кВт
Индикаторный КПД для цикла Миллера определяется
по формуле
(34)
Подставив численные значения, получим
Удельный индикаторный расход топлива, определим
по формуле
(35)
Подставив численные значения, получим
кг/кВт·ч
2.6 Эффективные показатели работы двигателя
Эти показатели вычисляются по следующим
зависимостям
(36)
где
-
механический КПД дизеля. Для четырехтактных с наддувом
.
(37)
(38)
Подставив численные значения в формулы (36),
(37) и (38), получим
кВт
кг/кВт·ч
Часовой расход топлива дизелем, кг/ч, можно
определить по формуле
(39)
Подставив численные значения, получим
кг/ч
Суммарный секундный расход воздуха дизелем, кг/с
(40)
где
-
коэффициент продувки. Для четырехтактных дизелей с наддувом - от 1,05 до 1,15.
Подставив численные значения, получим
кг/с
Расход воздуха
,
определяющий заряд цилиндра, кг/с, будет ниже суммарного расхода, так как часть
воздуха расходуется на продувку цилиндров:
(41)
Подставив численные значения, получим
кг/с
Секундный расход отработавших газов, кг/с
(42)
Подставив численные значения, получим
кг/с
.7 Определение мощности агрегатов наддува
Мощность потребляемая компрессором, кВт
(43)
где
-
показатель адиабаты сжатия (
);
- температура
воздуха на входе в компрессор, К;
- степень
повышения давления в компрессоре;
- КПД компрессора.
Подставив значения в формулу (43), рассчитаем
мощности потребляемые первым и вторым компрессором
кВт
кВт
Температура смеси выпускных газов с наддувочным
воздухом определяется из уравнения баланса теплоты
Принимая
,
получим
(44)
где
-
температура смеси воздуха и выпускных газов, К;
,
,
-
средние молярные теплоемкости смеси, воздуха в ресивере и газов в точке «
»;
,
определяются
по формулам (26) и (27) для
и
.
Подставив значения в формулу (44), получим
К
Температура рабочего тела перед турбиной
с
учетом теплоты на охлаждение определяется как
(45)
где
-
коэффициент, учитывающий теплоотвод в выпускной системе;
- температура
теплоносителя, охлаждающего выпускной коллектор, К.
По опытным данным для коллектора, охлаждаемого
водой, можно принять
;
К.
Тогда
К
Для обеспечения продувки двигателя перепад
давления по нему для четырехтактных дизелей должен быть не ниже
.
Тогда
МПа
Определив давление перед турбиной
,
находят перепад давления по турбине
.
Перепад давления по турбине первой и второй
ступени равны, поэтому
Мощность турбины
(46)
где
-
показатель адиабаты расширения отработавших газов,
;
- КПД турбины.
Температура на входе в турбину НД (см. рисунок
1)
К
Подставив значения в формулу (46), рассчитаем
мощности первой и второй турбины
кВт
кВт
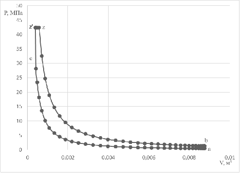
2.8 Построение индикаторной
диаграммы
Индикаторную диаграмму строим в координатах P-V.
По значениям ранее вычисленных объемов и давлений на координатную плоскость
наносится положение характерных точек индикаторной диаграммы.
Значения координат промежуточных точек процессов
сжатия a-c и расширения z-b определяются по уравнениям политроп сжатия при
заданных значениях текущего объема V.
Политропа сжатия
(47)
Политропа расширения
(48)
Задавая значения текущего объема V, определяем
давление p.
Значение объема V при заданном угле поворота
коленчатого вала находится по зависимости
(49)
где
-
объем камеры сжатия, м3;
- площадь поршня,
м2;
- перемещение
поршня от ВМТ, м.
Значение
в
зависимости от угла поворота коленчатого вала для двигателей с одним поршнем в
цилиндре составит
(50)
где
-
угол поворота коленчатого вала, отсчитываемый от ВМТ, град;
- отношение
радиуса кривошипа к длине шатуна.
Для построения индикаторной диаграммы все
расчеты сведем в таблицу 1.
Таблица 1 - Расчет индикаторной диаграммы
|
Угол
ПКВ, град
|
S,
м
|
V,
м3
|
P,
МПа
|
|
|
|
Сжатие
|
Расширение
|
|
0
|
0
|
0,000398
|
42,37
|
42,37
|
|
10
|
0,002081
|
0,000477
|
23,488
|
42,37
|
|
20
|
0,008223
|
0,000711
|
13,612
|
32,548
|
|
30
|
0,018133
|
0,001088
|
7,6010
|
18,965
|
|
40
|
0,031348
|
0,001590
|
4,5178
|
11,709
|
|
50
|
0,047265
|
0,002195
|
2,9043
|
7,7737
|
|
60
|
0,065189
|
0,002876
|
2,0053
|
5,5147
|
|
70
|
0,084374
|
0,003606
|
1,4714
|
4,1389
|
|
80
|
0,104074
|
0,004354
|
3,2568
|
|
90
|
0,123585
|
0,005096
|
0,9160
|
2,6671
|
|
100
|
0,142277
|
0,005807
|
0,7660
|
2,2597
|
|
110
|
0,159618
|
0,006466
|
0,6610
|
1,9712
|
|
120
|
0,175189
|
0,007058
|
0,5863
|
1,7637
|
|
130
|
0,188679
|
0,007570
|
0,5326
|
1,6134
|
|
140
|
0,199878
|
0,007996
|
0,534
|
1,5051
|
|
150
|
0,208659
|
0,008330
|
0,534
|
1,4289
|
|
160
|
0,214955
|
0,008569
|
0,534
|
1,3784
|
|
170
|
0,218738
|
0,008713
|
0,534
|
1,3496
|
|
180
|
0,22
|
0,008761
|
0,534
|
1,3402
|
Рисунок 3 - Индикаторная диаграмма дизеля
По данным для построения индиаторной диаграммы
рассчитаем работу цикла и среднее индикаторное давление и сравним их со
значениями, полученными аналитическим методом [формула (32)]. Расчет работы
цикла выполним методом трапеций, который представляет собой численное
интегрирование. Работу цикла в Дж найдем по формуле
(51)
где
- значение при
угла поворота
коленчатого вала,
- значение при
-
угла
поворота коленчатого вала;
- объем, м3;
- давление, МПа.
Подставив значения, получим
кДж
Среднее индикаторное давление составит
(52)
Подставив значения, получим
МПа
3. ОПРЕДЕЛЕНИЕ СИЛ, ДЕЙСТВУЮЩИХ В
КРИВОШИПНО-ШАТУННОМ МЕХАНИЗМЕ ДИЗЕЛЯ
Детали кривошипно-шатунного механизма (КШМ)
подвергаются действию сил давления газов внутри цилиндра, сил инерции поступательно
и вращательно движущихся частей, сил трения и сил сопротивлений от потребителя
энергии.
Определение сил и моментов, действующих в КШМ,
необходимо для расчета деталей на прочность, определение основных размеров
подшипников, оценки уровновешенности, а также для сравнения нагруженности
подшипников узлов различных двигателей.
Силы, действующие на детали КШМ, являются
функциями угла поворота кривошипа коленчатого вала и режима работы двигателя.
Обычно рассчитывают удельные значения этих сил, т.е. отнесенные к единице
площади поршня.
Схема сил, действующих в КШМ, представлена на
рисунке 4.
Суммарная сила
,
приложенная в центре поршневого пальца, определяется как алгебраическая сумма
двух сил:
(53)
где
-
сила от давления газов на поршень;
(54)
- давление газов в
цилиндре (берется из индикаторной диаграммы в зависимости от
),
МПа;
- давление со
стороны кривошипной камеры, МПа (для расчетов можно принять
МПа);
- сила инерции
поступательно движущихся масс.
(55)
- масса
поступательно движущихся частей, кг;
- ускорение
поршня, м/с2.
Рисунок 4 - Силы, действующие в
кривошипно-шатунном механизме дизеля
Масса поступательно движущихся частей
складывается из массы поршня в сборе
и
части массы шатуна, участвующей в поступательном движении
.
Для расчетов можно принять
.
кг
Ускорение поршня определяется в зависимости от
угла поворота коленчатого вала и угловой скорости коленчатого вала:
(56)
где
-
угловая скорость коленчатого вала дизеля, рад/с;
- угол поворота
коленчатого вала, рад;
- отношение
радиуса кривошипа к длине шатуна.
Силу
раскладывают
на силу
,
действующую вдоль оси шатуна, и силу
,
направленную нормально к оси цилиндра. В свою очередь, силу
,
пренесенную в центр шатунной шейки вала, раскладывают на тангенциальную силу
,
действующую перпендикулярно кривошипу, и нориальную силу
,
направленную по кривошипу.
Указанные силы определяются из следующих
выражений:
(57)
(58)
(59)
(60)
Угол
определяется
приближенно:
(61)
Вычисление удельных сил сведем в таблицу 2.
Таблица расположена в приложении А.
Графики изменения всех рассчитанных выше сил
представлены на рисунках 5-10.
Рисунок 5 - График изменения силы
от
угла ПКВ
Рисунок 6 - График изменения силы
от
угла ПКВ
Рисунок 7 - График изменения силы
от
угла ПКВ
Рисунок 8 - График изменения силы
от
угла ПКВ
Рисунок 9 - График изменения силы
от
угла ПКВ
Рисунок 10 - График изменения силы
от
угла ПКВ
4. РАСЧЕТ И ПОСТРОЕНИЕ ВЕКТОРНОЙ
ДИАГРАММЫ СИЛ, ДЕЙСТВУЮЩИХ НА ШАТУННУЮ ШЕЙКУ КОЛЕНЧАТОГО ВАЛА ДИЗЕЛЯ
дизель цилиндр давление двигатель
Построение векторной диаграммы производится для
оценки величины и направления сил, действующих на шейку кривошипа по участкам
ее окружности.
В V-образном двигателе на шатунную шейку
действует алгебраическая сумма сил в правом и левом цилиндрах. Для упрощения
расчета этих сил приняты допущения: индикаторные диаграммы в правом и левом
цилиндрах идентичны, а поршни цилиндров соединены с шатунной шейкой посредством
вильчатых или смещенных шатунов.
Силы
и
определяют
алгебраическим суммированием ординат кривых
и
,
смещенных по абциссе на угол фазового смещения рабочих циклов правого и левого
цилиндров, т.е.
;
.
Расчет сил сведем в таблицу 2. Таблица 2
расположена в приложении Б.
Векторная диаграмма представлена на рисунке 11.
Рисунок 11 - Векторная диаграмма сил,
действующих на шатунную шейку коленчатого вала дизеля
5. ГРАФИЧЕСКАЯ ЧАСТЬ
Поперечный разрез дизеля выполнен на формате А1,
где в масштабе показаны: детали остова, их соединения, детали
кривошипно-шатунного механизма, выпускные коллекторы. Кривощипно-шатунный
механизм вычерчен в положении 660° угла поворота коленчатого вала.
СПИСОК ЛИТЕРАТУРЫ
1.
Гизатуллин Р. К. Расчет и проектирование тепловозного дизеля: учеб.-метод.
пособие / Р. К. Гизатуллин, В. М. Овчинников, В. В. Скрежендевский; М-во
трансп. и комуникаций Респ. Беларусь, Белорус. гос. ун-т трансп. - Гомель :
БелГУТ, 2015. - 42 с.
.
Симсон, А. Э. Тепловозные двигатели внутреннего сгорания: учебник для вузов /
А. Э. Симсон, А. З. Хомич, А. А. Куриц . 2-е изд., перераб. и доп. - М.:
Транспорт, 1987. - 536 с.
ПРИЛОЖЕНИЕ А
Вычисления удельных сил
|
ПКВ,
гр
|
p,
МПа
|
Pг,
МН
|
j,
м/с2
|
Pj,
МН
|
P,
МН
|
β,
рад
|
N,
МН
|
K,
МН
|
T,
МН
|
Z,
МН
|
|
0
|
42,370
|
1,607
|
1191,506
|
0,055
|
1,662
|
0,000
|
0,000
|
1,662
|
0,000
|
1,662
|
|
5
|
42,370
|
1,607
|
1184,285
|
0,055
|
1,662
|
0,022
|
0,001
|
1,662
|
0,145
|
1,655
|
|
10
|
42,370
|
1,607
|
1162,757
|
0,054
|
1,661
|
0,043
|
0,001
|
1,661
|
0,290
|
1,635
|
|
15
|
42,370
|
1,607
|
1127,330
|
0,052
|
1,659
|
0,064
|
0,002
|
1,659
|
0,431
|
1,602
|
|
20
|
32,548
|
1,233
|
1078,667
|
0,050
|
1,284
|
0,085
|
0,002
|
1,284
|
0,441
|
1,205
|
|
25
|
24,738
|
0,937
|
1017,679
|
0,047
|
0,984
|
0,104
|
0,002
|
0,984
|
0,417
|
0,891
|
|
30
|
18,965
|
0,717
|
945,490
|
0,044
|
0,761
|
0,124
|
0,002
|
0,761
|
0,382
|
0,658
|
|
35
|
14,767
|
0,558
|
863,418
|
0,040
|
0,598
|
0,142
|
0,001
|
0,598
|
0,344
|
0,489
|
|
40
|
11,709
|
0,441
|
772,937
|
0,036
|
0,477
|
0,159
|
0,001
|
0,477
|
0,308
|
0,365
|
|
45
|
9,456
|
0,356
|
675,639
|
0,031
|
0,387
|
0,175
|
0,001
|
0,387
|
0,274
|
0,273
|
|
50
|
7,774
|
0,292
|
573,200
|
0,027
|
0,318
|
0,189
|
0,001
|
0,318
|
0,245
|
0,204
|
|
55
|
6,498
|
0,243
|
467,332
|
0,022
|
0,265
|
0,203
|
0,001
|
0,265
|
0,218
|
0,151
|
|
60
|
5,515
|
0,206
|
359,745
|
0,017
|
0,223
|
0,214
|
0,001
|
0,223
|
0,193
|
0,111
|
|
65
|
4,747
|
0,177
|
252,108
|
0,012
|
0,188
|
0,224
|
0,001
|
0,188
|
0,171
|
0,079
|
|
70
|
4,139
|
0,154
|
146,007
|
0,007
|
0,160
|
0,233
|
0,001
|
0,160
|
0,151
|
0,054
|
|
75
|
3,652
|
0,135
|
42,912
|
0,002
|
0,137
|
0,239
|
0,001
|
0,137
|
0,132
|
0,035
|
|
80
|
3,257
|
0,120
|
-55,855
|
-0,003
|
0,117
|
0,244
|
0,000
|
0,117
|
0,116
|
0,020
|
|
85
|
2,934
|
0,108
|
-149,145
|
-0,007
|
0,101
|
0,247
|
0,000
|
0,101
|
0,100
|
0,008
|
|
90
|
2,667
|
0,098
|
-236,008
|
-0,011
|
0,087
|
0,248
|
0,000
|
0,087
|
0,087
|
0,000
|
|
95
|
2,445
|
0,089
|
-315,700
|
0,075
|
0,247
|
0,000
|
0,075
|
0,074
|
-0,007
|
|
100
|
2,260
|
0,082
|
-387,696
|
-0,018
|
0,064
|
0,244
|
0,000
|
0,064
|
0,063
|
-0,011
|
|
105
|
2,103
|
0,076
|
-451,690
|
-0,021
|
0,055
|
0,239
|
0,000
|
0,055
|
0,053
|
-0,015
|
|
110
|
1,971
|
0,071
|
-507,592
|
-0,024
|
0,048
|
0,233
|
0,000
|
0,048
|
0,045
|
-0,016
|
|
115
|
1,859
|
0,067
|
-555,514
|
-0,026
|
0,041
|
0,224
|
0,000
|
0,041
|
0,037
|
-0,018
|
|
120
|
1,764
|
0,063
|
-595,753
|
-0,028
|
0,036
|
0,214
|
0,000
|
0,036
|
0,031
|
-0,018
|
|
125
|
1,683
|
0,060
|
-628,771
|
-0,029
|
0,031
|
0,203
|
0,000
|
0,031
|
0,025
|
-0,018
|
|
130
|
1,613
|
0,058
|
-655,165
|
-0,030
|
0,027
|
0,189
|
0,000
|
0,027
|
0,021
|
-0,018
|
|
135
|
1,555
|
0,055
|
-675,639
|
-0,031
|
0,024
|
0,175
|
0,000
|
0,024
|
0,017
|
-0,017
|
|
140
|
1,505
|
0,053
|
-690,972
|
-0,032
|
0,021
|
0,159
|
0,000
|
0,021
|
0,014
|
-0,016
|
|
145
|
1,463
|
0,052
|
-701,979
|
-0,033
|
0,019
|
0,142
|
0,000
|
0,019
|
0,011
|
-0,016
|
|
150
|
1,429
|
0,051
|
-709,482
|
-0,033
|
0,018
|
0,124
|
0,000
|
0,018
|
0,009
|
-0,015
|
|
155
|
1,401
|
0,049
|
-714,273
|
-0,033
|
0,016
|
0,104
|
0,000
|
0,016
|
0,007
|
-0,015
|
|
160
|
1,378
|
0,049
|
-717,082
|
-0,033
|
0,015
|
0,085
|
0,000
|
0,015
|
0,005
|
-0,014
|
|
165
|
1,361
|
0,048
|
-718,552
|
-0,033
|
0,015
|
0,064
|
0,000
|
0,015
|
0,004
|
-0,014
|
|
170
|
1,350
|
0,048
|
-719,207
|
-0,033
|
0,014
|
0,043
|
0,000
|
0,014
|
0,002
|
-0,014
|
|
175
|
1,343
|
0,047
|
-719,440
|
-0,033
|
0,014
|
0,022
|
0,000
|
0,014
|
0,001
|
-0,014
|
|
180
|
1,340
|
0,047
|
-719,490
|
-0,033
|
0,014
|
0,000
|
0,000
|
0,014
|
0,000
|
-0,014
|
|
185
|
0,534
|
0,016
|
-719,440
|
-0,033
|
-0,017
|
0,022
|
0,000
|
-0,017
|
0,001
|
0,017
|
|
190
|
0,534
|
0,016
|
-719,207
|
-0,033
|
-0,017
|
0,043
|
0,000
|
-0,017
|
0,003
|
0,017
|
|
195
|
0,534
|
0,016
|
-718,552
|
-0,033
|
-0,017
|
0,064
|
0,000
|
-0,017
|
0,004
|
0,016
|
|
200
|
0,534
|
0,016
|
-717,082
|
-0,033
|
-0,017
|
0,085
|
0,000
|
-0,017
|
0,006
|
0,016
|
|
205
|
0,534
|
0,016
|
-714,273
|
-0,033
|
-0,017
|
0,104
|
0,000
|
-0,017
|
0,007
|
0,015
|
|
210
|
0,534
|
0,016
|
-709,482
|
-0,033
|
-0,016
|
0,124
|
0,000
|
-0,016
|
0,008
|
0,014
|
|
215
|
0,534
|
0,016
|
-701,979
|
-0,033
|
-0,016
|
0,142
|
0,000
|
-0,016
|
0,009
|
0,013
|
|
220
|
0,534
|
0,016
|
-690,972
|
-0,032
|
-0,016
|
0,159
|
0,000
|
-0,016
|
0,010
|
0,012
|
|
225
|
0,534
|
0,016
|
-675,639
|
-0,031
|
-0,015
|
0,175
|
0,000
|
-0,015
|
0,011
|
0,010
|
|
230
|
0,534
|
0,016
|
-655,165
|
-0,030
|
-0,014
|
0,189
|
0,000
|
-0,014
|
0,011
|
0,009
|
|
235
|
0,534
|
0,016
|
-628,771
|
-0,029
|
-0,013
|
0,203
|
0,000
|
-0,013
|
0,010
|
0,007
|
|
240
|
0,534
|
0,016
|
-595,753
|
-0,028
|
-0,011
|
0,214
|
0,000
|
-0,011
|
0,010
|
0,006
|
|
245
|
0,534
|
0,016
|
-555,514
|
-0,026
|
-0,009
|
0,224
|
0,000
|
-0,009
|
0,008
|
0,004
|
|
250
|
0,534
|
0,016
|
-507,592
|
-0,024
|
-0,007
|
0,233
|
0,000
|
-0,007
|
0,007
|
0,002
|
|
255
|
0,534
|
0,016
|
-0,021
|
-0,004
|
0,239
|
0,000
|
-0,004
|
0,004
|
0,001
|
|
260
|
0,534
|
0,016
|
-387,696
|
-0,018
|
-0,001
|
0,244
|
0,000
|
-0,001
|
0,001
|
0,000
|
|
265
|
0,534
|
0,016
|
-315,700
|
-0,015
|
0,002
|
0,247
|
0,000
|
0,002
|
-0,002
|
0,000
|
|
270
|
0,534
|
0,016
|
-236,008
|
-0,011
|
0,006
|
0,248
|
0,000
|
0,006
|
-0,006
|
0,000
|
|
275
|
0,534
|
0,016
|
-149,145
|
-0,007
|
0,010
|
0,247
|
0,000
|
0,010
|
-0,010
|
0,001
|
|
280
|
0,534
|
0,016
|
-55,855
|
-0,003
|
0,014
|
0,244
|
0,000
|
0,014
|
-0,014
|
0,002
|
|
285
|
0,534
|
0,016
|
42,912
|
0,002
|
0,018
|
0,239
|
0,000
|
0,018
|
-0,018
|
0,005
|
|
290
|
0,534
|
0,016
|
146,007
|
0,007
|
0,023
|
0,233
|
0,000
|
0,023
|
-0,022
|
0,008
|
|
295
|
0,534
|
0,016
|
252,108
|
0,012
|
0,028
|
0,224
|
0,000
|
0,028
|
-0,026
|
0,012
|
|
300
|
0,534
|
0,016
|
359,745
|
0,017
|
0,033
|
0,214
|
0,000
|
0,033
|
-0,029
|
0,017
|
|
305
|
0,534
|
0,016
|
467,332
|
0,022
|
0,038
|
0,203
|
0,000
|
0,038
|
-0,031
|
0,022
|
|
310
|
0,534
|
0,016
|
573,200
|
0,027
|
0,043
|
0,189
|
0,000
|
0,043
|
-0,033
|
0,028
|
|
315
|
0,534
|
0,016
|
675,639
|
0,031
|
0,048
|
0,175
|
0,000
|
0,048
|
-0,034
|
0,034
|
|
320
|
0,534
|
0,016
|
772,937
|
0,036
|
0,052
|
0,159
|
0,000
|
0,052
|
-0,034
|
0,040
|
|
325
|
0,534
|
0,016
|
863,418
|
0,040
|
0,057
|
0,142
|
0,000
|
0,057
|
-0,032
|
0,046
|
|
330
|
0,534
|
0,016
|
945,490
|
0,044
|
0,060
|
0,124
|
0,000
|
0,060
|
-0,030
|
0,052
|
|
335
|
0,534
|
0,016
|
1017,679
|
0,047
|
0,064
|
0,104
|
0,000
|
0,064
|
-0,027
|
0,058
|
|
340
|
0,534
|
0,016
|
1078,667
|
0,050
|
0,067
|
0,085
|
0,000
|
0,067
|
-0,023
|
0,063
|
|
345
|
0,534
|
0,016
|
1127,330
|
0,052
|
0,069
|
0,064
|
0,000
|
0,069
|
-0,018
|
0,066
|
|
350
|
0,534
|
0,016
|
1162,757
|
0,054
|
0,070
|
0,043
|
0,000
|
0,070
|
-0,012
|
0,069
|
|
355
|
0,534
|
0,016
|
1184,285
|
0,055
|
0,071
|
0,022
|
0,000
|
0,071
|
-0,006
|
0,071
|
|
360
|
0,534
|
0,016
|
1191,506
|
0,055
|
0,072
|
0,000
|
0,000
|
0,072
|
0,000
|
0,072
|
|
-355
|
0,558
|
0,017
|
1184,285
|
0,055
|
0,072
|
0,022
|
0,000
|
0,072
|
0,006
|
0,072
|
|
-350
|
0,558
|
0,017
|
1162,757
|
0,054
|
0,071
|
0,043
|
0,000
|
0,071
|
0,012
|
0,070
|
|
-345
|
0,558
|
0,017
|
1127,330
|
0,052
|
0,070
|
0,064
|
0,000
|
0,070
|
0,018
|
0,067
|
|
-340
|
0,558
|
0,017
|
1078,667
|
0,050
|
0,067
|
0,085
|
0,000
|
0,067
|
0,023
|
0,063
|
|
-335
|
0,558
|
0,017
|
1017,679
|
0,047
|
0,065
|
0,104
|
0,000
|
0,065
|
0,027
|
0,059
|
|
-330
|
0,558
|
0,017
|
945,490
|
0,044
|
0,061
|
0,124
|
0,000
|
0,061
|
0,031
|
0,053
|
|
-325
|
0,558
|
0,017
|
863,418
|
0,040
|
0,057
|
0,142
|
0,000
|
0,057
|
0,033
|
0,047
|
|
-320
|
0,558
|
0,017
|
772,937
|
0,036
|
0,053
|
0,159
|
0,000
|
0,053
|
0,034
|
0,041
|
|
-315
|
0,558
|
0,017
|
675,639
|
0,031
|
0,049
|
0,175
|
0,000
|
0,049
|
0,035
|
0,034
|
|
-310
|
0,558
|
0,017
|
573,200
|
0,027
|
0,044
|
0,189
|
0,000
|
0,044
|
0,034
|
0,028
|
|
-305
|
0,558
|
467,332
|
0,022
|
0,039
|
0,203
|
0,000
|
0,039
|
0,032
|
0,022
|
|
-300
|
0,558
|
0,017
|
359,745
|
0,017
|
0,034
|
0,214
|
0,000
|
0,034
|
0,030
|
0,017
|
|
-295
|
0,558
|
0,017
|
252,108
|
0,012
|
0,029
|
0,224
|
0,000
|
0,029
|
0,026
|
0,012
|
|
-290
|
0,558
|
0,017
|
146,007
|
0,007
|
0,024
|
0,233
|
0,000
|
0,024
|
0,023
|
0,008
|
|
-285
|
0,558
|
0,017
|
42,912
|
0,002
|
0,019
|
0,239
|
0,000
|
0,019
|
0,019
|
0,005
|
|
-280
|
0,558
|
0,017
|
-55,855
|
-0,003
|
0,015
|
0,244
|
0,000
|
0,015
|
0,015
|
0,003
|
|
-275
|
0,558
|
0,017
|
-149,145
|
-0,007
|
0,010
|
0,247
|
0,000
|
0,010
|
0,010
|
0,001
|
|
-270
|
0,558
|
0,017
|
-236,008
|
-0,011
|
0,006
|
0,248
|
0,000
|
0,006
|
0,006
|
0,000
|
|
-265
|
0,558
|
0,017
|
-315,700
|
-0,015
|
0,003
|
0,247
|
0,000
|
0,003
|
0,003
|
0,000
|
|
-260
|
0,558
|
0,017
|
-387,696
|
-0,018
|
-0,001
|
0,244
|
0,000
|
-0,001
|
-0,001
|
0,000
|
|
-255
|
0,558
|
0,017
|
-451,690
|
-0,021
|
-0,004
|
0,239
|
0,000
|
-0,004
|
-0,003
|
0,001
|
|
-250
|
0,558
|
0,017
|
-507,592
|
-0,024
|
-0,006
|
0,233
|
0,000
|
-0,006
|
-0,006
|
0,002
|
|
-245
|
0,558
|
0,017
|
-555,514
|
-0,026
|
-0,008
|
0,224
|
0,000
|
-0,008
|
-0,008
|
0,004
|
|
-240
|
0,558
|
0,017
|
-595,753
|
-0,028
|
-0,010
|
0,214
|
0,000
|
-0,010
|
-0,009
|
0,005
|
|
-235
|
0,558
|
0,017
|
-628,771
|
-0,029
|
-0,012
|
0,203
|
0,000
|
-0,012
|
-0,010
|
0,007
|
|
-230
|
0,533
|
0,016
|
-655,165
|
-0,030
|
-0,014
|
0,189
|
0,000
|
-0,014
|
-0,011
|
0,009
|
|
-225
|
0,512
|
0,016
|
-675,639
|
-0,031
|
-0,016
|
0,175
|
0,000
|
-0,016
|
-0,011
|
0,011
|
|
-220
|
0,494
|
0,015
|
-690,972
|
-0,032
|
-0,017
|
0,159
|
0,000
|
-0,017
|
-0,011
|
0,013
|
|
-215
|
0,480
|
0,014
|
-701,979
|
-0,033
|
-0,018
|
0,142
|
0,000
|
-0,018
|
-0,010
|
0,015
|
|
-210
|
0,467
|
0,014
|
-709,482
|
-0,033
|
-0,019
|
0,124
|
0,000
|
-0,019
|
-0,009
|
0,016
|
|
-205
|
0,457
|
0,014
|
-714,273
|
-0,033
|
-0,020
|
0,104
|
0,000
|
-0,020
|
-0,008
|
0,018
|
|
-200
|
0,449
|
0,013
|
-717,082
|
-0,033
|
-0,020
|
0,085
|
0,000
|
-0,020
|
-0,007
|
0,019
|
|
-195
|
0,443
|
0,013
|
-718,552
|
-0,033
|
-0,020
|
0,064
|
0,000
|
-0,020
|
-0,005
|
0,020
|
|
-190
|
0,439
|
0,013
|
-719,207
|
-0,033
|
-0,020
|
0,043
|
0,000
|
-0,020
|
-0,004
|
0,020
|
|
-185
|
0,437
|
0,013
|
-719,440
|
-0,033
|
-0,021
|
0,022
|
0,000
|
-0,021
|
-0,002
|
0,021
|
|
-180
|
0,436
|
0,013
|
-719,490
|
-0,033
|
-0,021
|
0,000
|
0,000
|
-0,021
|
0,000
|
0,021
|
|
-175
|
0,437
|
0,013
|
-719,440
|
-0,033
|
-0,021
|
0,022
|
0,000
|
-0,021
|
0,002
|
0,021
|
|
-170
|
0,439
|
0,013
|
-719,207
|
-0,033
|
-0,020
|
0,043
|
0,000
|
-0,020
|
0,004
|
0,020
|
|
-165
|
0,443
|
0,013
|
-718,552
|
-0,033
|
-0,020
|
0,064
|
0,000
|
-0,020
|
0,005
|
0,020
|
|
-160
|
0,450
|
0,013
|
-717,082
|
-0,033
|
-0,020
|
0,085
|
0,000
|
-0,020
|
0,007
|
0,019
|
|
-155
|
0,458
|
0,014
|
-714,273
|
-0,033
|
-0,020
|
0,104
|
0,000
|
-0,020
|
0,008
|
0,018
|
|
-150
|
0,468
|
0,014
|
-709,482
|
-0,033
|
-0,019
|
0,124
|
0,000
|
-0,019
|
0,010
|
0,016
|
|
-145
|
0,014
|
-701,979
|
-0,033
|
-0,018
|
0,142
|
0,000
|
-0,018
|
0,010
|
0,015
|
|
-140
|
0,496
|
0,015
|
-690,972
|
-0,032
|
-0,017
|
0,159
|
0,000
|
-0,017
|
0,011
|
0,013
|
|
-135
|
0,514
|
0,016
|
-675,639
|
-0,031
|
-0,016
|
0,175
|
0,000
|
-0,016
|
0,011
|
0,011
|
|
-130
|
0,535
|
0,017
|
-655,165
|
-0,030
|
-0,014
|
0,189
|
0,000
|
-0,014
|
0,011
|
0,009
|
|
-125
|
0,560
|
0,017
|
-628,771
|
-0,029
|
-0,012
|
0,203
|
0,000
|
-0,012
|
0,010
|
0,007
|
|
-120
|
0,589
|
0,019
|
-595,753
|
-0,028
|
-0,009
|
0,214
|
0,000
|
-0,009
|
0,008
|
0,004
|
|
-115
|
0,624
|
0,020
|
-555,514
|
-0,026
|
-0,006
|
0,224
|
0,000
|
-0,006
|
0,005
|
0,002
|
|
-110
|
0,664
|
0,021
|
-507,592
|
-0,024
|
-0,002
|
0,233
|
0,000
|
-0,002
|
0,002
|
0,001
|
|
-105
|
0,713
|
0,023
|
-451,690
|
-0,021
|
0,002
|
0,239
|
0,000
|
0,002
|
-0,002
|
-0,001
|
|
-100
|
0,770
|
0,025
|
-387,696
|
-0,018
|
0,007
|
0,244
|
0,000
|
0,007
|
-0,007
|
-0,001
|
|
-95
|
0,838
|
0,028
|
-315,700
|
-0,015
|
0,013
|
0,247
|
0,000
|
0,013
|
-0,013
|
-0,001
|
|
-90
|
0,921
|
0,031
|
-236,008
|
-0,011
|
0,020
|
0,248
|
0,000
|
0,020
|
-0,020
|
0,000
|
|
-85
|
1,020
|
0,035
|
-149,145
|
-0,007
|
0,028
|
0,247
|
0,000
|
0,028
|
-0,028
|
0,003
|
|
-80
|
1,142
|
0,040
|
-55,855
|
-0,003
|
0,037
|
0,244
|
0,000
|
0,037
|
-0,036
|
0,007
|
|
-75
|
1,292
|
0,045
|
42,912
|
0,002
|
0,047
|
0,239
|
0,000
|
0,047
|
-0,046
|
0,012
|
|
-70
|
1,479
|
0,052
|
146,007
|
0,007
|
0,059
|
0,233
|
0,000
|
0,059
|
-0,056
|
0,020
|
|
-65
|
1,715
|
0,061
|
252,108
|
0,012
|
0,073
|
0,224
|
0,000
|
0,073
|
-0,066
|
0,031
|
|
-60
|
2,016
|
0,073
|
359,745
|
0,017
|
0,090
|
0,214
|
0,000
|
0,090
|
-0,077
|
0,045
|
|
-55
|
2,406
|
0,088
|
467,332
|
0,022
|
0,109
|
0,203
|
0,000
|
0,109
|
-0,089
|
0,063
|
|
-50
|
2,919
|
0,107
|
573,200
|
0,027
|
0,134
|
0,189
|
0,000
|
0,134
|
-0,102
|
0,086
|
|
-45
|
3,606
|
0,133
|
675,639
|
0,031
|
0,165
|
0,175
|
0,001
|
0,165
|
-0,116
|
0,117
|
|
-40
|
4,541
|
0,169
|
772,937
|
0,036
|
0,205
|
0,159
|
0,001
|
0,205
|
-0,131
|
0,157
|
|
-35
|
5,833
|
0,218
|
863,418
|
0,040
|
0,258
|
0,142
|
0,001
|
0,258
|
-0,147
|
0,212
|
|
-30
|
7,640
|
0,287
|
945,490
|
0,044
|
0,330
|
0,124
|
0,001
|
0,330
|
-0,165
|
0,287
|
|
-25
|
10,176
|
0,383
|
1017,679
|
0,047
|
0,430
|
0,104
|
0,001
|
0,430
|
-0,181
|
0,390
|
|
-20
|
13,681
|
0,516
|
1078,667
|
0,050
|
0,566
|
0,085
|
0,001
|
0,566
|
-0,193
|
0,532
|
|
-15
|
18,280
|
0,691
|
1127,330
|
0,052
|
0,743
|
0,064
|
0,001
|
0,743
|
-0,192
|
0,718
|
|
-10
|
23,608
|
0,894
|
1162,757
|
0,054
|
0,948
|
0,043
|
0,001
|
0,948
|
-0,164
|
0,933
|
|
-5
|
28,310
|
1,072
|
1184,285
|
0,055
|
1,127
|
0,022
|
0,000
|
1,127
|
-0,098
|
1,123
|
|
0
|
42,370
|
1,607
|
1191,506
|
0,055
|
1,662
|
0,000
|
0,000
|
1,662
|
0,000
|
1,662
|
ПРИЛОЖЕНИЕ Б
Расчет сил для построение векторной диаграммы
|
Правый
ряд
|
левый
ряд
|
ΣT,
МН
|
ΣZ`,
МН
|
|
ПКВ,
гр
|
T,
МН
|
Z`,
МН
|
T,
МН
|
Z`,
МН
|
|
|
|
0
|
0,000
|
1,637
|
0,030
|
-0,008
|
0,030
|
1,628
|
|
5
|
0,145
|
1,630
|
0,026
|
0,172
|
1,617
|
|
10
|
0,290
|
1,610
|
0,023
|
-0,017
|
0,312
|
1,593
|
|
15
|
0,431
|
1,577
|
0,019
|
-0,020
|
0,450
|
1,556
|
|
20
|
0,441
|
1,180
|
0,015
|
-0,023
|
0,455
|
1,157
|
|
25
|
0,417
|
0,865
|
0,010
|
-0,025
|
0,428
|
0,841
|
|
30
|
0,382
|
0,633
|
0,006
|
-0,025
|
0,388
|
0,607
|
|
35
|
0,344
|
0,463
|
0,003
|
-0,026
|
0,347
|
0,438
|
|
40
|
0,308
|
0,339
|
-0,001
|
-0,025
|
0,307
|
0,314
|
|
45
|
0,274
|
0,247
|
-0,003
|
-0,024
|
0,271
|
0,223
|
|
50
|
0,245
|
0,178
|
-0,006
|
-0,023
|
0,239
|
0,155
|
|
55
|
0,218
|
0,126
|
-0,008
|
-0,022
|
0,210
|
0,104
|
|
60
|
0,193
|
0,085
|
-0,009
|
-0,020
|
0,184
|
0,065
|
|
65
|
0,171
|
0,054
|
-0,010
|
-0,019
|
0,161
|
0,035
|
|
70
|
0,151
|
0,029
|
-0,011
|
-0,016
|
0,140
|
0,012
|
|
75
|
0,132
|
0,009
|
-0,011
|
-0,014
|
0,121
|
-0,005
|
|
80
|
0,116
|
-0,006
|
-0,011
|
-0,012
|
0,105
|
-0,018
|
|
85
|
0,100
|
-0,017
|
-0,010
|
-0,011
|
0,090
|
-0,028
|
|
90
|
0,087
|
-0,026
|
-0,009
|
-0,009
|
0,077
|
-0,035
|
|
95
|
0,074
|
-0,032
|
-0,008
|
-0,008
|
0,066
|
-0,040
|
|
100
|
0,063
|
-0,037
|
-0,007
|
-0,007
|
0,056
|
-0,043
|
|
105
|
0,053
|
-0,040
|
-0,005
|
-0,006
|
0,048
|
-0,046
|
|
110
|
0,045
|
-0,042
|
-0,004
|
-0,005
|
0,041
|
-0,047
|
|
115
|
0,037
|
-0,043
|
-0,002
|
-0,005
|
0,035
|
-0,048
|
|
120
|
0,031
|
-0,043
|
0,000
|
-0,005
|
0,031
|
-0,048
|
|
125
|
0,025
|
-0,043
|
0,002
|
-0,005
|
0,027
|
-0,048
|
|
130
|
0,021
|
-0,043
|
0,004
|
-0,005
|
0,024
|
-0,048
|
|
135
|
0,017
|
-0,042
|
0,005
|
-0,006
|
0,022
|
-0,048
|
|
140
|
0,014
|
-0,042
|
0,007
|
-0,007
|
0,021
|
-0,048
|
|
145
|
0,011
|
-0,041
|
0,008
|
-0,008
|
0,019
|
-0,049
|
|
150
|
0,009
|
-0,041
|
0,010
|
-0,009
|
0,018
|
-0,050
|
|
155
|
0,007
|
-0,040
|
0,010
|
-0,011
|
0,017
|
-0,051
|
|
160
|
0,005
|
-0,040
|
0,011
|
-0,012
|
0,016
|
-0,052
|
|
165
|
0,004
|
-0,040
|
0,011
|
-0,014
|
0,015
|
-0,054
|
|
170
|
0,002
|
-0,039
|
0,011
|
-0,017
|
0,013
|
-0,056
|
|
175
|
0,001
|
-0,039
|
0,010
|
-0,019
|
0,011
|
-0,058
|
|
180
|
0,000
|
-0,039
|
0,008
|
-0,021
|
0,008
|
-0,060
|
|
185
|
0,001
|
-0,009
|
0,005
|
-0,023
|
0,007
|
-0,032
|
|
190
|
0,003
|
-0,009
|
0,002
|
-0,025
|
0,005
|
-0,034
|
|
195
|
0,004
|
-0,009
|
-0,002
|
-0,026
|
0,002
|
-0,035
|
|
200
|
0,006
|
-0,010
|
-0,007
|
-0,027
|
-0,002
|
-0,036
|
|
205
|
0,007
|
-0,010
|
-0,013
|
-0,027
|
-0,006
|
-0,037
|
|
210
|
0,008
|
-0,011
|
-0,020
|
-0,025
|
-0,012
|
-0,037
|
|
215
|
0,009
|
-0,012
|
-0,028
|
-0,023
|
-0,019
|
-0,035
|
|
220
|
0,010
|
-0,014
|
-0,036
|
-0,019
|
-0,026
|
-0,032
|
|
225
|
0,011
|
-0,015
|
-0,046
|
-0,013
|
-0,035
|
-0,028
|
|
230
|
0,011
|
-0,017
|
-0,056
|
-0,005
|
-0,045
|
-0,021
|
|
235
|
0,010
|
-0,018
|
-0,066
|
0,006
|
-0,056
|
-0,012
|
|
240
|
0,010
|
-0,020
|
-0,077
|
0,020
|
-0,068
|
0,000
|
|
245
|
0,008
|
-0,022
|
-0,089
|
0,038
|
-0,081
|
0,016
|
|
250
|
0,007
|
-0,023
|
-0,102
|
0,061
|
-0,096
|
0,038
|
|
255
|
0,004
|
-0,024
|
-0,116
|
0,091
|
0,067
|
|
260
|
0,001
|
-0,025
|
-0,131
|
0,132
|
-0,130
|
0,107
|
|
265
|
-0,002
|
-0,026
|
-0,147
|
0,186
|
-0,149
|
0,161
|
|
270
|
-0,006
|
-0,025
|
-0,165
|
0,261
|
-0,170
|
0,236
|
|
275
|
-0,010
|
-0,025
|
-0,181
|
0,365
|
-0,191
|
0,340
|
|
280
|
-0,014
|
-0,023
|
-0,193
|
0,507
|
-0,207
|
0,484
|
|
285
|
-0,018
|
-0,021
|
-0,192
|
0,693
|
-0,209
|
0,672
|
|
290
|
-0,022
|
-0,017
|
-0,164
|
0,908
|
-0,186
|
0,891
|
|
295
|
-0,026
|
-0,013
|
-0,098
|
1,098
|
-0,123
|
1,084
|
|
300
|
-0,029
|
-0,009
|
0,000
|
1,637
|
-0,029
|
1,628
|
|
305
|
-0,031
|
-0,003
|
0,145
|
1,630
|
0,114
|
1,627
|
|
310
|
-0,033
|
0,002
|
0,290
|
1,610
|
0,257
|
1,612
|
|
315
|
-0,034
|
0,009
|
0,431
|
1,577
|
0,397
|
1,585
|
|
320
|
-0,034
|
0,015
|
0,441
|
1,180
|
0,407
|
1,195
|
|
325
|
-0,032
|
0,021
|
0,417
|
0,865
|
0,385
|
0,886
|
|
330
|
-0,030
|
0,027
|
0,382
|
0,633
|
0,352
|
0,660
|
|
335
|
-0,027
|
0,032
|
0,344
|
0,463
|
0,317
|
0,496
|
|
340
|
-0,023
|
0,037
|
0,308
|
0,339
|
0,285
|
0,376
|
|
345
|
-0,018
|
0,041
|
0,274
|
0,247
|
0,257
|
0,288
|
|
350
|
-0,012
|
0,044
|
0,245
|
0,178
|
0,232
|
0,222
|
|
355
|
-0,006
|
0,046
|
0,218
|
0,126
|
0,211
|
0,172
|
|
360
|
0,000
|
0,046
|
0,193
|
0,085
|
0,193
|
0,131
|
|
-355
|
0,006
|
0,047
|
0,171
|
0,054
|
0,177
|
0,100
|
|
-350
|
0,012
|
0,045
|
0,151
|
0,029
|
0,163
|
0,074
|
|
-345
|
0,018
|
0,042
|
0,132
|
0,009
|
0,151
|
0,051
|
|
-340
|
0,023
|
0,038
|
0,116
|
-0,006
|
0,139
|
0,032
|
|
-335
|
0,027
|
0,033
|
0,100
|
-0,017
|
0,128
|
0,016
|
|
-330
|
0,031
|
0,028
|
0,087
|
-0,026
|
0,117
|
0,002
|
|
-325
|
0,033
|
0,022
|
0,074
|
-0,032
|
0,107
|
-0,011
|
|
-320
|
0,034
|
0,015
|
0,063
|
-0,037
|
0,097
|
-0,022
|
|
-315
|
0,035
|
0,009
|
0,053
|
-0,040
|
0,088
|
-0,031
|
|
-310
|
0,034
|
0,003
|
0,045
|
-0,042
|
0,078
|
-0,039
|
|
-305
|
0,032
|
-0,003
|
0,037
|
-0,043
|
0,069
|
-0,046
|
|
-300
|
0,030
|
-0,008
|
0,031
|
-0,043
|
0,060
|
-0,052
|
|
-295
|
0,026
|
-0,013
|
0,025
|
-0,043
|
0,052
|
-0,056
|
|
-290
|
0,023
|
-0,017
|
0,021
|
-0,043
|
0,043
|
-0,060
|
|
-285
|
0,019
|
-0,020
|
0,017
|
-0,042
|
0,036
|
-0,063
|
|
-280
|
0,015
|
-0,023
|
0,014
|
-0,042
|
0,028
|
-0,065
|
|
-275
|
0,010
|
-0,025
|
0,011
|
-0,041
|
0,021
|
-0,066
|
|
-270
|
0,006
|
-0,025
|
0,009
|
-0,041
|
0,015
|
-0,066
|
|
-265
|
0,003
|
-0,026
|
0,007
|
-0,040
|
0,010
|
-0,066
|
|
-260
|
-0,001
|
-0,025
|
0,005
|
-0,040
|
0,005
|
-0,065
|
|
-255
|
-0,003
|
-0,024
|
0,004
|
-0,040
|
0,000
|
-0,064
|
|
-250
|
-0,006
|
-0,023
|
0,002
|
-0,039
|
-0,003
|
-0,063
|
|
-245
|
-0,008
|
-0,022
|
0,001
|
-0,039
|
-0,006
|
-0,061
|
|
-240
|
-0,009
|
-0,020
|
0,000
|
-0,039
|
-0,009
|
-0,059
|
|
-235
|
-0,010
|
-0,019
|
0,001
|
-0,009
|
-0,008
|
-0,027
|
|
-230
|
-0,011
|
-0,016
|
0,003
|
-0,009
|
-0,008
|
-0,025
|
|
-225
|
-0,011
|
-0,014
|
0,004
|
-0,009
|
-0,007
|
-0,023
|
|
-220
|
-0,011
|
-0,012
|
0,006
|
-0,010
|
-0,005
|
-0,022
|
|
-215
|
-0,010
|
-0,011
|
0,007
|
-0,010
|
-0,003
|
|
-210
|
-0,009
|
-0,009
|
0,008
|
-0,011
|
-0,001
|
-0,020
|
|
-205
|
-0,008
|
-0,008
|
0,009
|
-0,012
|
0,001
|
-0,020
|
|
-200
|
-0,007
|
-0,007
|
0,010
|
-0,014
|
0,003
|
-0,020
|
|
-195
|
-0,005
|
-0,006
|
0,011
|
-0,015
|
0,005
|
-0,021
|
|
-190
|
-0,004
|
-0,005
|
0,011
|
-0,017
|
0,007
|
-0,022
|
|
-185
|
-0,002
|
-0,005
|
0,010
|
-0,018
|
0,009
|
-0,023
|
|
-180
|
0,000
|
-0,005
|
0,010
|
-0,020
|
0,010
|
-0,025
|
|
-175
|
0,002
|
-0,005
|
0,008
|
-0,022
|
0,010
|
-0,026
|
|
-170
|
0,004
|
-0,005
|
0,007
|
-0,023
|
0,010
|
-0,028
|
|
-165
|
0,005
|
-0,006
|
0,004
|
-0,024
|
0,010
|
-0,030
|
|
-160
|
0,007
|
-0,007
|
0,001
|
-0,025
|
0,008
|
-0,032
|
|
-155
|
0,008
|
-0,008
|
-0,002
|
-0,026
|
0,006
|
-0,033
|
|
-150
|
0,010
|
-0,009
|
-0,006
|
-0,025
|
0,004
|
-0,034
|
|
-145
|
0,010
|
-0,011
|
-0,010
|
-0,025
|
0,001
|
-0,035
|
|
-140
|
0,011
|
-0,012
|
-0,014
|
-0,023
|
-0,003
|
-0,035
|
|
-135
|
0,011
|
-0,014
|
-0,018
|
-0,021
|
-0,007
|
-0,035
|
|
-130
|
0,011
|
-0,017
|
-0,022
|
-0,017
|
-0,011
|
-0,034
|
|
-125
|
0,010
|
-0,019
|
-0,026
|
-0,013
|
-0,016
|
-0,032
|
|
-120
|
0,008
|
-0,021
|
-0,029
|
-0,009
|
-0,021
|
-0,030
|
|
-115
|
0,005
|
-0,023
|
-0,031
|
-0,003
|
-0,026
|
-0,026
|
|
-110
|
0,002
|
-0,025
|
-0,033
|
0,002
|
-0,031
|
-0,022
|
|
-105
|
-0,002
|
-0,026
|
-0,034
|
0,009
|
-0,036
|
-0,017
|
|
-100
|
-0,007
|
-0,027
|
-0,034
|
0,015
|
-0,041
|
-0,012
|
|
-95
|
-0,013
|
-0,027
|
-0,032
|
0,021
|
-0,046
|
-0,006
|
|
-90
|
-0,020
|
-0,025
|
-0,030
|
0,027
|
-0,050
|
0,002
|
|
-85
|
-0,028
|
-0,023
|
-0,027
|
0,032
|
-0,055
|
0,010
|
|
-80
|
-0,036
|
-0,019
|
-0,023
|
0,037
|
-0,059
|
0,018
|
|
-75
|
-0,046
|
-0,013
|
-0,018
|
0,041
|
-0,063
|
0,028
|
|
-70
|
-0,056
|
-0,005
|
-0,012
|
0,044
|
-0,068
|
0,039
|
|
-65
|
-0,066
|
0,006
|
-0,006
|
0,046
|
-0,072
|
0,051
|
|
-60
|
-0,077
|
0,020
|
0,000
|
0,046
|
-0,077
|
0,066
|
|
-55
|
-0,089
|
0,038
|
0,006
|
0,047
|
-0,083
|
0,084
|
|
-50
|
-0,102
|
0,061
|
0,012
|
0,045
|
-0,090
|
0,106
|
|
-45
|
-0,116
|
0,091
|
0,018
|
0,042
|
-0,098
|
0,133
|
|
-40
|
-0,131
|
0,132
|
0,023
|
0,038
|
-0,108
|
0,170
|
|
-35
|
-0,147
|
0,186
|
0,027
|
0,033
|
-0,120
|
0,219
|
|
-30
|
-0,165
|
0,261
|
0,031
|
0,028
|
-0,134
|
0,289
|
|
-25
|
-0,181
|
0,365
|
0,033
|
0,022
|
-0,148
|
0,386
|
|
-20
|
-0,193
|
0,507
|
0,034
|
0,015
|
-0,159
|
0,522
|
|
-15
|
-0,192
|
0,693
|
0,035
|
0,009
|
-0,157
|
0,702
|
|
-10
|
-0,164
|
0,908
|
0,034
|
0,003
|
-0,130
|
0,911
|
|
-5
|
-0,098
|
1,098
|
0,032
|
-0,003
|
-0,066
|
1,095
|
|
0
|
0,000
|
1,637
|
0,030
|
-0,008
|
0,030
|
1,628
|