Разработка технических норм работы железной дороги и ее регионов
Содержание
Задание
Введение
1.
Характеристика дороги и ее регионов
.
Количественные показатели эксплуатационной работы
.1
Нормы погрузки и выгрузки
.2
Нормы передачи вагонов по стыковым пунктам
.3
Транзитный вагонопоток технических станций
.4Поездная
работа дороги и регионов
.
Качественные показатели эксплуатационной работы
.1
Нормы скорости, простоя и пробега вагонов
.2
Показатели использования вагонов
.
Эксплуатируемый парк локомотивов и показатели его использования
.
Расчет экономии вагонного парка
.
Уменьшение порожнего пробега вагонов
.1
Анализ оборота местного вагона на дороге
Заключение
Список
использованных источников
Введение
В системе управления эксплуатационной
деятельностью железных дорог важнейшую роль играет техническое нормирование
эксплуатационной работы. В отличие от других, рассчитанных на длительное время
форм управления движением, таких, как план формирования и график движения
поездов, исходными основаниями для которых служат данные о годовом объеме
работы, техническое нормирование базируется на месячных планах перевозок, а
также на расчетных технологических показателях использования подвижного
состава. Технические нормативы работы дорог устанавливают на каждый месяц.
Дороги, в свою очередь, распределяют полученные задания между отделениями и
другими подразделениями.
Целью технического нормирования является
обеспечение выполнения месячного плана перевозок. Для достижения этой цели
решаются следующие задачи:
- определение объема перевозок на предстоящий
месяц (в среднем за сутки) и распределение его по дорогам, отделениям и крупным
станциям;
расчет показателей, обеспечивающих выполнение
этого объема работы;
распределение технических средств и ресурсов
по железнодорожным подразделениям в соответствии с объемом их работы.
Результатом решения этих задач является система
показателей, подлежащих выполнению в течение всего месяца, которые называются
техническими нормами.
Наличный парк грузовых вагонов включает в себя
все вагоны − отечественные и иностранные, находящиеся на сети дорог
России, новостройках, подъездных путях, в аренде, а также вагоны, принадлежащие
промышленным и строительным предприятиям и вышедшие на общую сеть для перевозки
грузов.
К рабочему парку относятся все исправные вагоны,
которые используются и могут быть использованы для выполнения перевозок.
Технические нормативы, как правило, рассчитывают
вначале для общего парка вагонов и его категорий, а также для отдельных родов
вагонов: цистерн, полувагонов и т.д. Установление нормативов по роду вагонов
позволяет лучше планировать и обеспечивать ежедневное выполнение плана работы
по отдельным родам грузов.
Организуя в оперативных условиях
эксплуатационную работу дороги и отделения, необходимо стремиться к
ежесуточному выполнению установленных для дороги и отделения технических норм,
так как только при этом условии можно добиться выполнения плана перевозок.
Все показатели технического нормирования можно
подразделить на следующие группы:
- количественные показатели: план погрузки,
норма выгрузки, прием и сдача поездов и вагонов по стыковым пунктам, норма
сдачи порожних вагонов по регулировочному заданию, размеры движения поездов по
участкам, работа вагонного парка и вагоно-километры пробега вагонов;
- расчетные показатели: число
отправленных транзитных вагонов по техническим станциям, число технических
станций, проходимых вагоном за время оборота, вагонное плечо, коэффициент
местной работы, доля простоя вагона в порожнем состоянии на станциях
погрузки-выгрузки;
качественные показатели: оборот вагона,
участковая и техническая скорости движения поездов, нормы простоя вагонов на
технических и грузовых станциях, полный рейс вагона, среднесуточный пробег и
производительность локомотива и вагона, коэффициент порожнего пробега;
показатели обеспечения плана перевозок:
рабочий парк вагонов в целом и по категориям, эксплуатируемый парк локомотивов
по видам тяги, резервы вагонного и локомотивного парков, лимиты
топливно-энергетических ресурсов.
1. Характеристика дороги и ее
регионов
В данном разделе необходимо показать роль дороги
и ее регионов в организации и выполнении перевозочного процесса.
Необходимо привести схему полигона дороги «Н» и
примыкающих дорог. На схеме указать длину участков, участки обращения
локомотивов и локомотивных бригад, обозначить границы регионов дорог.
Кроме этого в соответствии с вариантом указать:
- массу вагонов и их количество в составе
поезда;
нормы участковой скорости;
нормы простоя вагонов на станциях и под
грузовой операцией;
среднее время нахождения локомотивов на
станциях дороги.
Дорога - основное хозяйственное подразделение
железнодорожного транспорта. При делении сети на дороги учитывается кроме
протяженности линии и объема перевозок, административно-территориальное деление
страны и, в частности границы республик. Поэтому протяженность и объем работы отдельных
дорог различны. Основные задачи управления дороги - выполнения планов перевозок
грузов и пассажиров, руководство движением поездов и выполнением графика, плана
формирования и технических норм эксплуатационной работы, организации грузовой и
коммерческой работы, содержание в исправном состоянии технических устройств и
подвижного состава, разработка и осуществление мер по развитию пропускной и
провозной способности участков и станций.
Основное хозяйственное подразделение дороги -
регион
На регионы дороги возложено руководство
оперативной работой всех хозяйственных подразделений: станций, механизированных
дистанций погрузочно-разгрузочных работ, локомотивных и вагонных депо,
дистанций пути, зданий и сооружений, сигнализации и связи, участков энергоснабжения,
путевых машинных станций и др.
Роль региона - обеспечение выполнения и
перевыполнения месячных норм погрузки выгрузки, передачи поездов и вагонов,
регулировочных заданий, а также технических норм использования подвижного
состава.
Бесперебойная работа железной дороги
предусматривает правильную организацию работы и взаимосвязь дорог и регионов.
Вместе с этим предусматривается эффективное использование технических средств
транспорта с минимальными эксплуатационными расходами, выполнение плана
перевозок с наименьшими затратами.
Дорога Н состоит из двух регионов (Р-1, Р-2) и
имеет стыки по станциям Г, С, А с соседними дорогами «А», "Б",
"В".
Границы регионов: Р-1 - ст. Г, Д, С
включительно; Р-2 - ст. С исключительно. К, А.
На дороге 5 технических станций: станции Г, Л с
основными депо, локомотивы которых обслуживают участки Г-Д-С и С-К-Л. На
станции С - оборотное депо, на ст. Д и К смена локомотивных бригад.
Б ←чет.
АВ Г Д С К Л
неч.→Р-1=333 км Р-2 =347 км
Рис. 1.1 - Схема полигона дороги "Н"
Таблица
1.1
Исходные данные для выполнения курсового проекта
|
Показатели
|
|
Количество
вагонов:
|
|
груженый
поезд
|
56
|
|
порожний
поезд
|
66
|
|
Масса
вагона, т:
|
|
нетто
|
59
|
|
тара
|
23
|
|
Нормы
участковой скорости, км/ч:
|
|
Р-1
|
35,2
|
|
Р-2
|
37,8
|
|
Норма
простоя (ч) на одну грузовую операцию:
|
|
Р-1
|
8
|
|
Р-2
|
10
|
|
Нормы
общего транзитного простоя вагонов (ч) на технических станциях:
|
|
Г
|
3,3
|
|
Д
|
1,3
|
|
С
|
4,7
|
|
К
|
1,7
|
|
Л
|
3,9
|
|
Среднее
время нахождения локомотивов (ч) на станциях:
|
|
Г
|
2,6
|
|
Д
|
1,7
|
|
С
|
3,6
|
|
К
|
1,8
|
|
Л
|
3,8
|
2. Количественные показатели
эксплуатационной работы
Количественные показатели характеризуют объем
работы. Они отражают качество работы железнодорожного транспорта. К ним
относятся: погрузка, выгрузка, грузооборот, пробеги вагонов, локомотивов,
грузонапряженность, количество отправленных пассажиров, пассажирооборот.
2.1 Нормы погрузки и выгрузки
Для расчета количественных показателей
технического плана работы дороги и регионов составляется «шахматка» междорожных
груженых вагонопотоков.
Таблица
2.1
Междорожные груженые вагонопотоки
|
на/из
|
Дорога
Н
|
Смежные
дороги
|
Итого
|
Всего
|
|
Р-1
|
Р-2
|
Итого
|
А
|
Б
|
В
|
|
|
|
Р-1
|
172
|
119
|
291
|
246
|
133
|
146
|
525
|
816
|
|
Р-2
|
106
|
139
|
245
|
246
|
86
|
159
|
491
|
736
|
|
Итого
|
278
|
258
|
536
|
492
|
219
|
305
|
1016
|
1552
|
|
А
|
226
|
212
|
438
|
-
|
1596
|
2327
|
3923
|
4361
|
|
Б
|
79
|
53
|
132
|
931
|
-
|
114
|
1045
|
1177
|
|
В
|
102
|
136
|
238
|
1290
|
611
|
-
|
1901
|
2139
|
|
Итого
|
407
|
401
|
808
|
2221
|
2207
|
2441
|
6869
|
7677
|
|
Всего
|
685
|
659
|
1344
|
2713
|
2426
|
2746
|
7885
|
9229
|
Груженые вагонопотоки на регионе дороги
разделяются по четырем видам сообщений: транзит, местное сообщение, вывоз,
ввоз.
Транзит
-
это груженые вагоны, которые проследуют рассматриваемый регионе без грузовых
операций.
Для регионов и дороги по данным таблицы 2.1
определяются нормы погрузки и выгрузки с выделением местного груза, ввоза и
вывоза. Результаты приведем в таблице 2.2.
Как видно из шахматки, погрузка региона дороги
складывается из погрузки в местном сообщении и погрузки региона на выход
(вывоз).
где
- груженые вагоны, которые грузятся на рассматриваемом регионе и выгружаются на
станциях этого же региона.
- груженые вагоны,
которые погружены на рассматриваемом регионе и сдаются за его пределы. Чтобы
определить показатели для Р 1, например
,
необходимо сложить погрузку за пределы отделения, т.е. в адрес Р 2 и дорог А,
Б, В.
Общая выгрузка региона дороги включает вагоны,
погруженные в местном сообщении, и вагоны, поступившие под выгрузку с других
регионов (ввоз).
Ввоз
-
груженые вагоны, поступающие на рассматриваемый регион с других регионов под
выгрузку. Чтобы определить этот показатель необходимо сложить выгрузку.
Таблица
2.2
Нормы погрузки и выгрузки вагонов
|
Показатели
|
Р1
|
Р2
|
Дорога
|
|
Погрузка
|
816
|
736
|
1552
|
|
в
т.ч. местный груз
|
172
|
139
|
536
|
|
на
вывоз
|
644
|
491
|
1016
|
|
Выгрузка
|
685
|
659
|
1344
|
|
в
т.ч. из местного груза
|
172
|
139
|
536
|
|
из
ввоза
|
513
|
520
|
808
|
При определении этих норм различаются понятия
местного груза, ввоза и вывоза для данного региона и для дороги, поэтому сумма
количественных значений показателя региона не равна значению этого показателя
на дороге.
.2 Нормы передачи поездов по
стыковым пунктам
Для определения этих норм построим диаграмму
груженых и порожних вагонопотоков, используя данные таблицы 2.1.
На диаграмме сначала нанесем груженые
вагонопотоки, а затем порожние, исходя из принципа равночисленного обмена со
смежными дорогами.
Построение диаграммы начнем с междорожных
стыков.
Вагоны, поступающие под выгрузку на данный
регион, условно принимаем отцепляющимися и показываем с минусом на первом
участке по отношению к направлению следования вагонопотока. Погрузку данного региона
покажем со знаком плюс на втором участке по направлению следования
вагонопотока. На станциях Д и К покажем погрузку регионов на себя. Порожние
вагонопотоки показываются в знаменателе. Необходимо помнить, что на регионе,
как правило, различны выгрузка и погрузка, поэтому надо показывать отцепку или
прицепку порожних вагонов по регионам.
На станции С производится разделение
вагонопотоков по назначениям, что обозначается стрелками с указанием числа
вагонов.
Используя исходные данные диаграммы, определим
нормы приема и сдачи вагонов и поездов по каждому стыковому пункту. Все
результаты расчетов по междорожным и внутридорожным стыкам сведем в таблицу
2.3.
При расчетах необходимо помнить, что станция С
входит в состав Р-1 и является стыковым пунктом между отделениями и междорожным
стыком с дорогой Б.
Количество поездов по приему и сдаче для
стыкового пункта определяется по формуле:
где
,
-
приём (сдача) груженых и порожних вагонов;
,
-
число вагонов в составе груженого и порожнего поезда.
Таблица
2.3
Нормы передачи поездов и вагонов
|
Стыковые
пункты
|
Прием
вагонов
|
поездов
|
Сдача
вагонов
|
поездов
|
|
Всего
|
из
них
|
|
Всего
|
из
них
|
|
|
|
груженых
|
порожних
|
|
|
груженых
|
порожних
|
|
|
Г
|
4361
|
4361
|
-
|
78
|
4361
|
2713
|
1648
|
74
|
|
С
на Р-1
|
2971
|
2441
|
530
|
52
|
2971
|
2971
|
-
|
54
|
|
С
на Б
|
2426
|
1177
|
1249
|
40
|
2426
|
2426
|
-
|
44
|
|
Всего
Р1
|
9758
|
7979
|
1779
|
170
|
9758
|
8110
|
1648
|
172
|
|
С
|
2971
|
2971
|
-
|
54
|
2971
|
2441
|
530
|
52
|
|
Л
|
2746
|
2139
|
607
|
48
|
2746
|
2746
|
-
|
50
|
|
Всего
Р-2
|
5717
|
5110
|
607
|
102
|
5717
|
5187
|
530
|
102
|
|
Г
|
4361
|
4361
|
-
|
78
|
4361
|
2713
|
1648
|
74
|
|
С
|
2426
|
1177
|
1249
|
40
|
2426
|
2426
|
-
|
44
|
|
Л
|
2746
|
2139
|
607
|
48
|
2746
|
2746
|
-
|
50
|
|
Всего
по дороге
|
9533
|
7677
|
166
|
9533
|
7885
|
1648
|
168
|
Количество поездов считается отдельно для
каждого стыкового пункта и тоже сводится в таблицу 2.3.
Например, для стыкового пункта Г:
Прием:
,
= 4361 ваг,
- нет, тогда:
Сдача:
,
= 2263 ваг,
- 1376 ваг, тогда:
Для других пунктов расчет производится
аналогично.
Важным количественным показателем технических
норм является «работа» регионов и дороги. Показатель «работа» по начальным
операциям перевозочного процесса равен сумме погрузки и приема груженых
вагонов, а по конечным операциям перевозочного процесса - сумме выгрузки и
сдаче груженых вагонов и определяется по данным таблиц 2.2 и 2.3.
где
,
-
число погруженных (выгруженных) вагонов;
,
-
количество принятых (сданных) груженных вагонов.
При этом «работа», прием и сдача дороги не равны
сумме этих показателей по регионам.
Таблица
2.4
Работа дороги и регионов
|
Подразделения
|
Погрузка
ваг.
|
Прием
груженых , ваг.
|
Работа
,
ваг.
|
Выгрузка
,
ваг.
|
Сдача
груженых ,ваг.
|
|
Р
- 1
|
816
|
7979
|
8795
|
685
|
8110
|
|
Р
- 2
|
630
|
5110
|
5846
|
659
|
5187
|
|
Дорога
|
1552
|
7677
|
9229
|
1344
|
7885
|
Прием груженых вагонов складывается из вагонов,
поступивших под выгрузку, и транзита груженых.
где
-
вагоны, поступившие под выгрузку;
- транзит груженых
вагонов.
Сдача груженых включает вагоны, погруженные на
выход и транзит груженых.
где
-
вагоны, погруженные на выход.
Эти данные для дороги можно получить из таблицы
2.1.
Пример: Работа по Р-1: 816+7979=8795 ваг.
.3 Транзитный вагонопоток
технических станций
В задании на проектирование не указаны пункты
погрузки и выгрузки на регионах дороги. Величина общего транзитного
вагонопотока определяется из диаграммы вагонопотоков (рисунок 1.1.).
Для станции С общий транзитный вагонопоток
определяется суммой принятых и отправленных на три направления вагонов.
При определении транзитного вагонопотока
учитываются груженые и порожние вагоны.
Транзитный вагонопоток должен уменьшаться за
счет местных вагонов. Условно принимается, что на всех станциях региона
транзитный вагонопоток уменьшается на 100 вагонов.
Результаты расчетов приводятся в таблицу 2.5.
Эти данные используются для расчета качественных показателей работы регионов и
дороги.
Таблица
2.5
Транзитный вагонопоток технических станций
|
Подразделения
|
Вагонопоток
из схемы
|
Местных
|
Число
транзитных вагонов nтех
|
|
четный
|
нечетный
|
Всего
|
|
|
|
Г
|
4361
|
4361
|
8722
|
100
|
8622
|
|
Д
|
4115
|
4135
|
8250
|
100
|
8150
|
|
С
|
4533
|
5397
|
9930
|
100
|
9830
|
|
Всего
Р - 1
|
13009
|
13893
|
26902
|
300
|
26602
|
|
К
|
2533
|
2587
|
5120
|
100
|
5020
|
|
Л
|
2746
|
2746
|
5492
|
100
|
5392
|
|
Всего
Р - 2
|
5279
|
5333
|
10612
|
200
|
10412
|
|
Дорога
|
-
|
-
|
-
|
-
|
37014
|
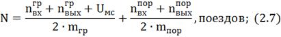
2.4 Поездная работа дороги и
регионов
В данном разделе определяется количество
грузовых поездов в четном и нечетном направлениях для каждого региона. Для
дороги определим только поездо-км, локомотиво-км одиночного пробега и
коэффициент одиночного пробега локомотива.
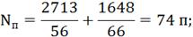
Количество грузовых поездов определяется для
регионов отдельно по четному и нечетному направлениям по формуле:
где
,
-
входящий на первый участок региона груженый и порожнийвагонопоток направления,
ваг;
,
-
выходящий со второго участка региона груженый и порожнийвагонопоток
направления, ваг;
- местное
сообщение региона, ваг.
Произведем расчет для Р-1:
Число поездов для Р-2 составит:
Количество резервных локомотивов в регионе
определяется разностью количества грузовых поездов на направлениях.
Поездо-км региона - это произведение длины
региона на количество поездов в обоих направлениях.
где
-
суммарные поездо-километры региона дороги;
- соответственно
число поездов в четном и нечетном направлениях.
Коэффициент одиночного пробега локомотивов
определяется по формуле:
где
-
локомотиво-км одиночного пробега;
Все расчеты вносятся в таблицу 2.6 и
используются для расчетов показателей использования локомотивов.
Таблица
2.6
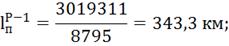
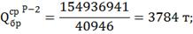
Размеры поездной работы
|
Показатели
|
Р1
|
Р2
|
Дорога
|
|
Длина
(L), км
|
333
|
347
|
-
|
|
Количество
поездов, всего
|
153
|
118
|
-
|
|
В
т.ч. четных, (Nчет)
|
72
|
51
|
-
|
|
нечетных,
(Nнечет)
|
81
|
67
|
-
|
|
Количество
резервных локомотивов (Nрез)
|
9
|
10
|
-
|
|
Поездо
- км 50949
|
40946
|
91895
|
|
|
Локомотиво
- км одиночного пробега
|
2997
|
3470
|
6467
|
|
Коэффициент
одиночного пробега локомотивов ( )
|
0,05
|
0,08
|
0,07
|
3. Качественные показатели
эксплуатационной работы
Основными качественными показателями являются:
оборот, скорости движения поездов, статическая нагрузка, динамическая нагрузка,
среднесуточный пробег, производительность грузового вагона и т.д. Они
характеризуют качество работы железных дорог и использования подвижного
состава.
Расчет этих показателей необходим для
планирования, учета и оперативного контроля за текущей эксплуатационной
деятельностью железных дорог. Улучшение качественных показателей использования
подвижного состава способствует повышению производительности труда и снижению
себестоимости перевозок.
.1 Нормы скорости, простоя и пробега
вагонов
Средний простой вагонов под одной грузовой
операцией и на технических станциях, а также участковая скорость для дороги
зависит от величины этих показателей на регионах.
Простой транзитного вагона на одной технической
станции для дороги и регионов определяется по формуле:
где
-
количество транзитных вагонов, отправленных с i-х технических станций дороги
или регионов, ваг;
- средний простой
транзитного вагона на i-х станциях дороги или региона, ч;
- количество
транзитных вагонов, отправленных со всех технических станций дороги или
региона, ваг.
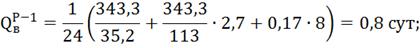
Произведем расчет:
В регион 1 входят три станции С, Г, Д.Для этих
станций из таблицы 2.5 выбираем значения
и
,
а из таблицы 5 задания
. Тогда
Р-2: входят станции К, Л.
Дорога: входят станции Г, Д, С, К, Л.
Простой вагона под одной грузовой операцией для
дороги определяется как сумма произведения количества грузовых операций на
простой под одной грузовой операцией всех регионов, деленной на количество
грузовых операций на дороге:
где,
,
,
погрузка и выгрузка на i-х подразделениях, ваг;
,
простой
вагонов под одной грузовой операцией на Р-1 и Р-2, ч.
Тогда:
Средняя участковая скорость грузовых поездов для
дороги определяется по формуле:
где
,
,
-
поездо-км соответственно на Р-1 и Р-2;
,
- участковая скорость соответственно Р-1 и Р-2, км/ч;
Получаем:
Результаты расчетов сведем в таблицу 3.1
Таблица
3.1
Нормы простоя вагонов и участковой скорости
|
Подразделения
|
Простой
вагона, ч
|
,
км/ч
|
|
транзитного
на одной технической станции, tтех
|
местного
под одной грузовой операцией, tгр
|
|
|
Р-1
|
2,7
|
8
|
35,2
|
|
Р-2
|
2,5
|
10
|
37,8
|
|
Дорога
|
2,9
|
8,6
|
36,3
|
Для расчета показателей использования вагонов
необходимо определить вагоно-км груженых местных вагонов и ввоза.
Для этого составим таблицу 3.2. Для каждого
назначения указывается вагонопоток (из таблицы 2.1), расстояние (из задания
таблица1) и произведение расстояния на вагонопоток.
Величина пробега при погрузке «на себя»,
например, Р-1 на Р-1 - длину Р-1, при погрузке на другой регион - полусумму
длин регионов. При ввозе берется половина расстояния региона выгрузки и
расстояние от междорожного стыка до стыка региона.
Таблица
3.2
Вагоно-км ввоза и местного сообщения
|
на/из
|
Дорога
Н
|
|
Р-1
|
Р-2
|
Итого
|
|
Р-1
|
172/333/57276
|
119/340/40460
|
291/-/97736
|
|
Р-2
|
106/340/14734
|
139/347/48233
|
245/-/62967
|
|
Итого
|
278/-/72010
|
258/-/88693
|
536/-/160703
|
|
А
|
226/167/37742
|
212/507/107484
|
438/-/145226
|
|
Б
|
79/167/13193
|
53/174/116706
|
132/-/129899
|
|
В
|
102/514/52428
|
136/174/23664
|
238/-/76092
|
|
Итого
|
407/-/103363
|
401/-/247854
|
808/-/351217
|
|
Всего
|
685/-/175373
|
659/-/336547
|
1344/-/511920
|
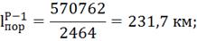
Общие вагоно-км пробега
, равные
сумме пробега груженых
и порожних
вагонов,
определяются с использованием диаграммы вагонопотоков дороги (рисунок 1.1) и
представляется в таблице 3.3.
Таблица
3.3
Пробег груженых и порожних вагонов
|
Подразделения
|
Длина,
км
|
Вагонопоток
|
Вагоно-км
|
|
|
|
Груженый
(чет.+ нечет. +местн.)
|
порожний
|

|
|
|
|
Р-1
Р-2 Дорога
|
333
|
7353
|
1714
|
2448549
|
570762
|
3019311
|
|
Р-2
|
347
|
5288
|
569
|
1834936
|
197443
|
2032379
|
|
Дорога
|
-
|
-
|
-
|
4283485
|
768205
|
5051690
|
При суммировании четного и нечетного
вагонопотоков принимается средний вагонопоток каждого направления, равный
полусумме поступающего на регион и сдающегося с региона дороги. В груженый
вагонопоток полностью включается
.
Данные берутся из диаграммы (рисунок 1.1).
3.2 Показатели использования вагонов
Оборот вагона - один из основных качественных
показателей, характеризующих использование вагонного парка и других технических
средств железнодорожного транспорта. Он представляет собой время в сутках,
затрачиваемое на выполнение всех операций с вагоном от начала одной погрузки до
начала следующей погрузки.
Общее время оборота вагона состоит из трех
основных частей:
Первая - время, затрачиваемое на продвижение
вагона за все время его оборота (время в пути) -
;
Вторая - время, затрачиваемое на выполнение
погрузочно-разгрузочных работ с вагоном за время его оборота (время под
грузовыми операциями) -
;
Третья - время, затрачиваемое на вагон для
выполнения с ним операций на технических станциях за общее время оборота (время
на технические операции) -
Оборот вагона общего рабочего парка
рассчитывается по формуле:
где
-
полный рейс вагона, км;
- вагоннное плечо,
км;
- коэффициент
местной работы.
Полный рейс вагона - расстояние, которое вагон
проходит за время оборота от одной погрузки до следующей. Полный рейс
складывается из груженого и порожнего рейсов и рассчитывается по формуле:
где
-
суммарные (общие) вагоно-км пробега;
- «работа»
подразделения, ваг.
Вагонное плечо - это среднее расстояние пробега
вагонов, приходящееся на одну техническую станцию (определяется делением общего
пробега на количество груженых вагонов, отправляемых со всех технических
станций).
где
-
общее количество транзитных вагонов, отправленных со всех технических станций
дороги.
Коэффициент местной работы - количество грузовых
операций, приходя-щихся на единицу работы. Определяется как частное от деления
суммы среднесуточной погрузки и выгрузки на работу региона.
Оборот местного вагона.
Оборотом местного вагона называется среднее
время нахождения на дороге (регионе) вагона с момента поступления под выгрузку
до окончания ее, а также вагона местного сообщения от окончания погрузки до
момента выгрузки.
где
-
рейс местного вагона, км;
- коэффициент
местной работы для местных вагонов;
- доля простоя
местного вагона в порожнем состоянии, приходящаяся на одну грузовую операцию.
Принимаем =0,3.
Рейс местного вагона находится делением суммы
пробега вагонов местного сообщения и ввоза на выгрузку.

Коэффициент местной работы для вагонов,
следующих под выгрузку на станции региона, равен сумме погрузки в местном
сообщении и выгрузки, деленной на выгрузку. Он всегда будет больше единицы, так
как погрузка в местном сообщении
имеет две грузовые
операции, а вагоны, поступающие извне под выгрузку, - одну.
Оборотом порожнего вагона называется среднее
время нахождения на дороге (регионе) вагонов в порожнем состоянии. Время
нахождения порожних вагонов на технических станциях в ряде случаев будет
меньше, чем для всех вагонов, так как порожние вагоны проходят большее
количество технических станций в организованных поездах без переработки и
условия формирования порожних составов менее сложны, чем груженых. Оборот
порожнего вагона рассчитывается по следующей формуле:
где
-
рейс порожнего вагона, км;
- коэффициент
местной работы порожнего вагона.
Рейс порожнего вагона определяется по формуле:
где
-
суммарные (общие) вагоно-км пробега порожних вагонов;
- «работа»
порожних вагонов, равная сумме погрузки и сдаче порожних вагонов с
подразделения.
Коэффициент местной работы порожних вагонов
рассчитывается по формуле:
Тогда оборот порожнего вагона равен:
Оборот транзитного вагона также является
разновидностью общего оборота вагона. Для дороги (региона) транзитом условно
называют:
- вагоны, принятые от соседних дорог (регионов)
и подлежащие сдаче на соседние дороги (регионы), т.е. вагоны, проходящие данную
дорогу (регион) в груженом состоянии от входного пункта к выходному;
вагоны, которые погружены на дороге (регионе)и
подлежат сдаче в груженом состоянии на соседние дороги (региона).
Оборот транзитного вагона - это среднее время
нахождения вагона на отделении с момента поступления его назначением на другие
дороги до сдачи их на соседние регионы или от окончания погрузки вагонов на
данном регионе назначением на другие дороги до передачи их по стыковым пунктам.
Оборот транзитного груженого вагона для дороги и
регионов определяется по формуле:
где
-
рейс транзитного груженого вагона, км;
- коэффициент
местной работы транзитного вагона;
,1 - коэффициент, учитывающий повышение
участковой скорости из-за того, что транзитные вагоны не следуют в сборных
поездах.
Рейс транзитного груженого вагона для дороги и регионов
определяется из выражения:
где
-
сдача груженых вагонов, ваг;
- пробег транзитных
груженых вагонов.
Произведем расчеты:
Коэффициент местной работы для транзитных
вагонов - это отношение погрузки в прямом сообщении
к работе, т.е. к сдаче груженых вагонов.
Тогда оборот транзитного вагона равен:
Рабочий парк вагонов - это количество вагонов,
которое находится на дороге или регионе в среднем в течение суток, поскольку
число вагонов на них непостоянно. Рабочий парк вагонов можно рассчитать по
величине оборота вагона и «работе».
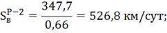
Среднесуточный пробег вагона рабочего парка -
расстояние в км, проходимое вагоном в среднем за сутки. Среднесуточный пробег
вагона характеризует скорость его продвижения (км/сут) и рассчитывается по
формуле:
Производительность вагона рабочего парка
Использование вагонов во времени и по
грузоподъемности оценивают показателем «производительность вагона», т.е.
количеством эксплуатационных т-км нетто, приходящихся на один вагон рабочего
парка за сутки. Производительность вагона определяется по формуле:
где
-
динамическая нагрузка вагона рабочего парка.
Динамическая нагрузка - это средняя загрузка
вагонов с учетом расстояния пробега в груженом состоянии, т.е. средняя загрузка
вагона на всем пути его следования. Нагрузка вагона характеризует степень использования
его грузоподъемности и рассчитывается по формуле:
где
-
тонно-км нетто, которые определяются по формуле:
где
-
статическая нагрузка вагона, т. (из задания таблица 2)
Статическая - средняя загрузка вагона при
отправлении со станции погрузки. Она характеризует качество использования
подъемной силы вагона при его загрузке и выражается числом тонн груза,
приходящимся в среднем на один вагон.
Произведем расчеты:
Тогда производительность вагона будет равна:
Таблица
3.4
Показатели использования вагонов
|
Показатели
|
Р-1
|
Р-2
|
Дорога
|
|
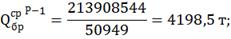
Оборот
вагона рабочего парка, сут.
|
0,6
|
0,47
|
1,96
|
|
Работа,
ваг.
|
8795
|
5846
|
9229
|
|
Рабочий
парк, ваг/сут.
|
7036
|
3859
|
11260
|
|
Среднесуточный
пробег, км/сут.
|
429,1
|
526,8
|
448,7
|
|
Производительность,
;
|
2051,1
|
28078,4
|
22444
|
вагонопоток локомотив скорость
простой пробег
4. Эксплуатируемый парк локомотивов
и показатели использования локомотивов
Эксплуатируемый парк локомотивов для каждого
основного депо определяется из выражения
где
-
число пар грузовых поездов на участке обращения локомотивов. Принимается по
количеству нечетных поездов в груженном направлении
;
- коэффициент
потребности локомотивов на пару поездов, который определяется зависимостью.
где
-
число часов в сутках, ч;
- оборот
локомотива на участке обращения, ч.
Оборотом локомотива называется время,
затрачиваемое локомотивом на полный цикл работы, связанной с обслуживанием пары
поездов. Оборот локомотива определяется по формуле:
где
-
длина участка обращения локомотива, км;
,
,
- время нахождения локомотива на станциях смены бригад, оборотного и основного
депо, ч.
Показатели использования локомотивов
рассчитываются для двух регионов.
Ускорение оборота локомотива позволяет одним и
тем же парком локомотивов выполнить больше перевозочной работы, сократить
расход топлива, электроэнергии, уменьшить себестоимость перевозок.
Зная оборот локомотива, рассчитаем коэффициент
потребности локомотивов на пару поездов и эксплуатируемый парк локомотивов:
Эксплуатируемый парк локомотивов для дороги
равен сумме локомотивов, приписанных к основным депо дороги:
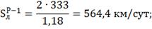
Среднесуточный пробег локомотива - это
количество километров пробега, приходящихся на один локомотив эксплуатируемого
парка в среднем за сутки. Среднесуточный пробег локомотива рассчитывается по
формуле:
Производительность локомотива
Суточная производительность локомотива
показывает количество тонно-километров брутто, приходящихся в среднем за сутки
на один локомотив эксплуатируемого парка. Определяется для грузового движения
по формуле:
где
-
средний вес поезда брутто,т, который определяется зависимостью
где
-
тонно-км брутто, определяемые по формуле
где
,
-
вес вагона брутто и тара, т.
Выполним необходимые расчеты и определим
производительность локомотива:
Результаты расчетов сводятся в таблицу 4.1.
Таблица
4.1
Показатели использования локомотивов
|
Показатели
|
Р-1
|
Р-2
|
|
Размеры
движения, пар поездов
|
81
|
67
|
|
Коэффициент
потребности локомотивов на пару поездов
|
1,18
|
1,3
|
|
Потребность
локомотивов по коэффициенту
|
96
|
88
|
|
Среднесуточный
пробег локомотивов, км/сут.
|
564,4
|
533,8
|
|
Суточная
производительность локомотива,
|
2300615
|
1961067,2
|
5. Расчет экономии вагонного парка
На регионах и дороге экономия вагонного парка
определяется за счет ускорения оборота вагона по формуле:
где
-
планируемый(расчетный)оборот вагона(формула 3.4), сут;
- фактически
выполненный на подразделении оборот вагона (берется 90% от Qв), сут.
За счет лучшего использования вместимости и
грузоподъемности подвижного состава экономия вагонного парка определяется по
формуле:
где
-
фактическая статическая нагрузка вагона (берется 110% от Рст), т/ваг.
Общая экономия по регионам и дороге определяется
по формуле:
6. Уменьшение порожнего пробега
вагонов
Вспомогательной, или непродуктивной, работой
подвижного состава является такая его деятельность, которая не обеспечивает
создания транспортной продукции, но необходима из-за технологической специфики
деятельности железнодорожного транспорта. Показателями, характеризующими эту
работу подвижного состава, являются процент порожнего пробега вагона и
коэффициент вспомогательного пробега локомотива.
Порожний пробег вагонов - постоянный пробег
вагонов без груза, один из основных показателей эксплуатационности работы
железных дорог. Подсчитывается отдельно по направлениям движения, родам вагонов
и видам сообщений, определяемых принадлежностью вагонов. Порожний пробег
вагонов комплексно влияет на ряд показателей. Например, если порожний пробег
вагонов возрастает, то уменьшается ср. масса поездов, а в связи с этим растёт
скорость движения, но увеличивается уд. расход топлива. Кроме того, возрастает
число одиночно следующих локомотивов. Порожний пробег вагонов сокращается при
макс, использовании под сдвоенные операции (выгрузка и погрузка на одном
грузовом фронте) вагонов с учётом их взаимозаменяемости, рационального
прикрепления районов производства продукции к районам её потребления,
устранения встречных п.п.в. и др. мероприятий. Технология с использованием
сдвоенных операций исключает п.п.в. Коэффициент п.п.в. определяется отношением
пробегов порожних вагонов к пробегам гружёных вагонов или к их полному пробегу.
Минимальное значение п.п.в. (в %) равно разности густоты перевозок по
направлениям движения, однако часто это значение п.п.в. превосходит минимум
норму из-за дополнит, регулировочных заданий.
Экономический эффект от снижения порожнего
пробега вагонов складывается из экономии расходов, связанных с пробегом
вагонов, экономии затрат на содержание вагонного и локомотивного парка,
экономии расходов на маневровую работу на станциях.
.1 Анализ оборота местного вагона на
дороге
Анализ оборота вагона и его элементов
выполняется за декаду и месяц и должен отражать степень выполнения месячных
технических норм оборота вагона, простоя на одной технической станции и под
одной грузовой операцией, участковой скорости, полного рейса и процента
порожнего пробега вагонов. При этом указывается удельный вес каждого отделения
и крупных станций в замедлении или ускорении оборота вагона.
При анализе оборота вагона по дороге (отделению)
следует определить влияние каждого из элементов оборота на общее отклонение его
от нормы и на изменение по сравнению с предыдущим периодом путем постановки
каждого анализируемого элемента в трехчленную формулу оборота вагона.
При анализе величины простоя вагонов на одной
технической станции необходимо отдельно рассматривать простой вагонов без
переработки и с переработкой, увязывая эти показатели с работой технических
станций и выполнением норм технологического процесса. По станциям, допустившим
значительное ухудшение простоя вагонов с переработкой, следует детально
рассмотреть выполнение норм расчлененного простоя по элементам. Простой под
одной грузовой операцией должен быть рассмотрен по дороге, отделению и по
важнейшим грузовым станциям с использованием данных расчлененного простоя
местных вагонов по элементам. При значительной величине простоя вагонов на
подъездных путях необходимо указать выполнение норм простоя по крупным
предприятиям и причины превышения этой нормы. Особое внимание должно быть
обращено на величину простоя местных вагонов от окончания грузовой операции до
отправления вагонов со станции.
При анализе по дороге и отделению рекомендуется
так группировать станции:
технические станции;
грузовые станции с вагонооборотом 50 и более
вагонов в сутки;
промежуточные станции, обслуживаемые сборными и
вывозными поездами.
Анализ выполнения участковой скорости должен
отразить выполнение заданий по технической скорости и величину простоя на
промежуточных станциях. Причины нарушений установленных заданий по скорости
движения поездов определяются на основе отчетности о выполнении графика
движения поездов по проследованию на участках.
При анализе выполнения полного рейса вагона
должно быть рассмотрено влияние на его величину груженого рейса и процента
порожнего пробега вагонов, а также причины изменения этих показателей. Отдельно
должно быть проанализировано выполнение нормы суточного пробега вагонов и, в
частности, установленного техническими нормами задания по среднесуточному
пробегу груженого вагона.
Кроме детального анализа каждого из элементов
оборота вагона, необходимо определить соотношение рабочего парка вагонов и
выполняемой работы, показав влияние увеличения или снижения величины рабочего
парка на оборот вагона, а также отклонение фактического рабочего парка от
расчетного по выполненной работе и норме оборота вагона.
Задача 1
Используя данные «шахматки» (таблица 2.1),
определить работу дороги и сравнить полученные данные с ранее произведенным
расчетом (таблица 2.4)
Решение
Работу дороги можно рассчитать разными
способами:
1.
2.
3.
Работа дороги и регионов
|
Подразделения
|
Погрузка
,
ваг.
|
Прием
груженых , ваг.
|
Работа
,
ваг.
|
Выгрузка
,
ваг.
|
Сдача
груженых ,ваг.
|
|
Р
- 1
|
681
|
6657
|
7338
|
571
|
6767
|
|
Р
- 2
|
614
|
4264
|
4878
|
550
|
4328
|
|
Дорога
|
1295
|
6406
|
7701
|
1121
|
6580
|
Ответ: расчет работы дороги, разными способами,
дал одинаковые результаты
= 7701 ваг.
Задача 2
В «шахматке» приведены данные о среднесуточной
плановой погрузке в течение месяца на дорогу Н и ввоза с других дорог (А, Б,
В), включая избыток
вагонов на других дорогах назначением на дорогу
Н. На дороге имеется избыток местного груза, например 660 вагонов (из задания).
Определить техническую норму выгрузки для дороги с учетом ликвидации избытка
местного груза в течение одного месяца.
Решение.
Техническую норму выгрузки на дороге можно
определить по формуле:
Где
-
дополнительная выгрузка, планируемая для ликвидации избытка местного груза:
где
- избыток местного груза на дороге, равный разнице соответственно фактическому
и нормальному наличию, по условию 600 вагонов;
Т - период времени, в течение которого требуется
привести наличие местного груза к норме, 30 сут;
Тогда
Ответ: технические нормы выгрузки для дороги с
учетом ликвидации избытка местного груза в течении месяца составили
1142
ваг.
Задача 3
Погрузка дороги по плану составляет (см.
«шахматку») - 1295 ваг., выгрузка - 1121 ваг. В течение месяца дорога должна
создать резерв крытых в размере 450 ваг. (см. задание). Определить общее
регулировочное задание по дороге.
Решение
1. Составим таблицу
Таблица
6.1
Погрузка и выгрузка дороги Н по роду подвижного
состава
|
Род
подвижного состава
|
Погрузка
|
Выгрузка
|
|
Крытые
|
259
|
224
|
|
Платформы
|
255
|
224
|
|
Полувагоны
|
260
|
224
|
|
Изотермические
|
260
|
224
|
|
Цистерны
|
261
|
225
|
|
Всего:
|
1295
|
1121
|
2. Регулировочное задание определяется по
формуле:
где
-
дополнительное регулировочное задание, ваг. знак « - » означает избыток
порожних вагонов на дороге; знак « + » - недостаток;
Регулировочные задания для дороги:
По крытым:
Таким образом:
По платформам: Сдача вагонов составит:
По полувагонам:
Для обеспечения погрузки дорога должна
ежесуточно получать с других дорог 36 вагонов.
По изотермическим вагонам:
Для обеспечения погрузки дорога должна
ежесуточно получать с других дорог составит 36 вагонов.
По цистернам:
Для обеспечения погрузки дорога должна
ежесуточно получать с других дорог составит 36 вагонов.
Общее регулировочное задание по дороге составит:
Проверка:
Вывод: общее регулировочное задание по дороге
составит 174 вагона в избытке, значит для обеспечения плана погрузки их нужно
получить с других дорог.
Задача 4
Определить количество прибывших вагонов и
поездов за сутки на станцию, если
=
595 ваг,
=
2354 ваг,
=148 ваг,
=61
ваг,
=57
ваг.
Решение
где
-
количество вагонов, поступающих на станцию в переработку в разборочных поездах
за сутки ваг/сут.;
- количество
вагонов, поступающих в транзитных поездах за сутки, ваг/сут.
где
-
количество транзитных вагонов с переработкой, поступающих в расформирование за
сутки, ваг/сут.;
- количество местных
вагонов, поступающих в переработку в разборочных поездах и местных передачах за
сутки, ваг/сут.;
- количество
транзитных вагонов без переработки за сутки, ваг/сут.;
2. Поезда, которые поступают на станцию для
расформирования, называются разборочными и определяются по формуле:
где
-
средний состав разборочного поезда, ваг;
К транзитным относятся поезда, проходящие
станцию без переработки или с частичной переработкой (изменение веса или длины
поезда). Они принимаются в транзитный или отправочный парк станции.
3. Количество транзитных поездов, поступающих на
станцию, можно определить по формуле:
где
-
число вагонов в транзитном поезде, ваг;
4. Количество прибывших поездов за сутки на
станцию рассчитывается по формуле:
Ответ: в сутки на станцию прибывает 3097 вагонов
и 53 поезда.
Задача 5
Определить количество отправленных вагонов и
поездов со станции, если
=2830 ваг/сутки.,
=50
ваг.,
=57
ваг.,
=100
ваг/сут.,
=150
ваг/сут.
Решение.
. Число отправленных вагонов со станции
определяется по формуле:
где
-
количество вагонов, отправляемых со станции в поездах своего формирования,
- количество
транзитных вагонов без переработки, поступающих на станцию в транзитных
поездах,
- количество
отправленных местных вагонов,
где
-
количество погруженных вагонов, на станции,
- количество
порожних (избыточных), отправляемых со станции по регулировочному заданию на
другие станции и регионы,

. Поезда, сформированные на станции в
соответствии с ПТЭ и ПФП, а также с установленной нормой веса и длины,
называются поездами своего формирования.
Количество поездов своего формирования можно
определить по формуле:
где
-
средний состав поезда своего формирования, ваг.
Количество отправленных поездов со станции
рассчитывается по формуле:
=11 поездов
(определяли в предыдущей задаче);
Ответ: в сутки со станции отправляется 3575
вагона в составах 71 поездов, а также 11 транзитных поездов.
Задача 6.
Определить оборот вагона общего рабочего парка и
рабочий парк вагонов на дороге Н при следующих исходных данных:
=127,55;
221,29; 153,87км.,
=500км.,
=0,17;
0,24; 0,31,
=0,41. Остальные
данные берутся из табл. 3.1.
Решение.
Оборот вагона определяется по формуле:
где
-
полный рейс вагона, равный сумме груженного и порожнего рейса:
Порожний рейс можно выразить через коэффициент
порожнего пробега
по формуле:
тогда полный рейс вагона равен:
После преобразований формула оборота вагона
(6.18) имеет вид:
Ответ: оборот вагона на дороге составил 1,62
суток.
Задача 7
Определить оборот вагона общего рабочего парка и
рабочий парк вагонов на дороге Н при следующих исходных данных:
=153,87
км.,
=0,31,
=500
км.,
=0,41,
средняя техническая скорость движения поездов равна
=60,1км/ч,
суммарный простой вагона
Остальные данные
берутся из таблицы 3.1
Решение
Если известна средняя техническая скорость
движения поездов, которая не учитывает стоянки на раздельных пунктах, то время
нахождения вагонов в движении будет определяться выражением:
Тогда формула оборота вагона(6.22) примет вид:
Рабочий парк вагонов определим по формуле 3.19
рассчитанной ранее.
Ответ: оборот вагона общего рабочего парка
вагонов на дороге Н составил 1,36 суток, при этом рабочий парк вагонов равен
10474 вагонов в сутки.
Задача 8
Определить среднесуточный пробег вагона для
дороги Н. Рассчитанные ранее результаты сравнить. Данные берутся из таблицы 3.3
и формулы 3.19.
Решение.
Среднесуточный пробег вагона для дороги можно
определить по следующим формулам:
Ответ:
-
среднесуточный пробег можно определить двумя способами, результат одинаковый,
474 километров в сутки.
Задача 9
Определить статическую и динамическую нагрузку
вагона рабочего парка, а также среднесуточную производительность вагона на
дороге при следующих исходных данных: суточное отправление грузов со станций
регионов составляет -
= 50500 т-нетто в
среднем на расстояние
= 355 км;
количество погруженных вагонов в сутки
(ранее
в расчетах для дороги, таблица 2.4.); груженый пробег вагонов
=
231480 ваг-км, порожний пробег вагонов
=
137380 ваг-км; среднесуточный пробег вагона
=
474
Решение
Средневзвешенную статическую нагрузку рассчитаем
по формуле:
Динамическая нагрузка груженого вагона - это
средняя нагрузка на вагон (или нагрузка на ось) с учетом расстояния пробега
вагона в груженом состоянии, которая рассчитывается по формуле:
Динамическая нагрузка определяется по формуле:
Среднесуточная производительность вагона - это
количество т-км нетто, которое приходится на 1 вагон рабочего парка.
Определяется по формуле:
Ответ: статическая нагрузка составила 38,9
тонн-нетто на вагон, динамическая нагрузка 77,4. Среднесуточная
производительность вагона равна 1800,8 т-км нетто/ ваг-сут.
Задача 10
Определить на сколько изменится оборот вагона и
рабочий парк на дороге, если до проведения мероприятий по увеличению средней
участковой скорости движения поездов она составляла
=32,7км/ч,
после проведения мероприятий -
=36,5км/ч. Исходные
данные:
= 100ваг/сут,
выгрузка
=
150ваг/сут, сдача груженых вагонов по стыковым пунктам
=
75ваг/сут,
= 500,
=
0,41,
=
9 ч,
=
12,4ч,Lв = 153,87,
= 3,06.
Решение
. Коэффициент местной работы определяется по
формуле:
. Простой вагона под одной грузовой операцией
рассчитывается по формуле:
. Далее определим оборот вагона по формуле 6.22
до проведения мероприятий по увеличению средней участковой скорости движения
поездов
и
после них
. Проанализируем
результаты и установим, на сколько изменится оборот вагона по формуле:
. Также рассчитаем рабочий парк дважды по
формуле 3.19 и сравним результаты по формуле:
Работа дороги
Ответ: После проведения мероприятий по
увеличению участковой скорости, оборот вагона уменьшился на 0,38 суток, а
рабочий парк сократился на 3141 ваг-сут.
Заключение
Выполнив данный курсовой проект мы, тем самым
решили целевую задачу, а именно при помощи теоретических положений произвели
расчет эксплутационных норм и измерителей работ подразделений ж.д. транспорта и
показателей использования подвижного состава, составили оперативный план работы
отделений дороги произвели оценку полученных норм и показателей работы.
Так же выполнив данный курсовой проект мы
раскрыли взаимосвязь между первичными количественными показателями (плановые
вагонопотоки, нормы массы поездов, технологические нормы работы линейных
предприятий и др.) и техническими нормами эксплутационной работы ж.д. и их
подразделений. Данная взаимосвязь является важнейшими условиями при изучении
вопросов системы управления процессами перевозок, т.е. техническое нормирование,
оперативное планирование и регулирование работы сети.
Список использованных источников
1.
Сметанин, А.И. Техническое нормирование эксплуатационной работы железных дорог
/ А.И. Сметанин. - М.: Транспорт, 1984.
.
Кочнев, Ф.П. Управление эксплуатационной работой железных дорог / Ф.П. Кочнев,
И.Б. Сотников. - М.: Транспорт, 1990.
.
Управление эксплуатационной работой и качеством перевозок на железнодорожном
транспорте / под ред. П.С. Грунтова. - М.: Транспорт,1994.
.
Основы эксплуатационной работы железных дорог: учеб. пособие / под. ред. В.А.
Кудрявцева. - М.: ПрофОбрИздат,2002.
.
Кудрявцев, В.А. Управление движением на железнодорожном транспорте: учеб.
пособие для вузов ж.д. транспорта / В.А. Кудрявцев. - М.: Маршрут,2003.
.
Гоманков, Ф.С. Технология и организация перевозок на железнодорожном
транспорте: сборник примеров и задач / Ф.С. Гоманков, Е.В. Бородина, А.В.
Рыженков. - М.: МИИТ,2006.
.
Мищенко, Н.Г. Технология и управление движением на полигоне и сети железных
дорог: учеб. пособие / Н.Г. Мищенко, И.А. Солоп. - Ростов н/Д: РГУПС, 2008.
.
Солоп, И.А. Разработка технических норм работы железной дороги и ее регионов:
учеб. пособие для выполнения курсового проекта / И.А. Солоп; ФГБОУ ВПО РГУПС. -
Ростов н/Д, 2014.