Расчет параметров микроволновой установки
Оглавление
Введение
. Расчет параметров микроволновой установки. Основные
уравнения
.1 Расчет мощности, поглощаемой материалом, имеющим
диэлектрические потери
.2 Расчет постоянных затухания амплитуды напряженности
электрического поля в материалах, имеющих диэлектрические потери
.3 Процесс выбора источника СВЧ энергии
.4 Микроволновые установки типа бегущей волны с продольным
взаимодействием. Их конструкции
. Процесс выбора метода расчета и конструкции микроволновой
установки
.1 Конструкция микроволновой установки
.2 Параметры микроволновой установки. Модель и метод расчета
Заключение
Список использованных источников
Введение
В большом множестве научных публикаций, например, в [4-6], описывается,
что сегодня многие технологические процессы микроволновых технологий
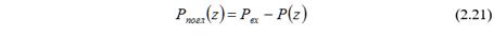
задействованы в создании высококачественных полимерных композиционных
материалов на базе стеклянных, базальтовых и углеродных волокон. диэлектрический мощность
микроволновый
Использование микроволновых технологических процессов обусловлено такими
факторами, как:
· изготавливаемые материалы нуждаются в полноте реакции
полимеризации в коротком интервале значений температур для повышения их
прочностных свойств. Также отклонение температуры полимерного композиционного
материала не должно превышать 10% для большей части технологических процессов
полимеризации;
· повышения плотности и прочности материала можно добиться
влиянием микроволнового излучения на полимерное связующее, например, на базе
эпоксидных смол [7]. Это в свою очередь приводит к росту таких показателей,
как: надежность, долговечность и прочность материалов.
· эффективный и однородный нагрев материалов на базе полимерных
связующих, имеющих низкий коэффициент теплопроводности и большие значения
диаметров стержневых материалов. Не зависимо от теплопроводности материала,
энергия микроволнового излучения способна мгновенно проникать на всю его
глубину;
· технологические процессы отверждения полимерных
композиционных материалов с малой теплопроводностью связаны с энергетической
эффективностью. Микроволновое излучение не нагревает окружающий воздух, а если
стержень из полимерного композиционного материала окружен теплоизоляционным
материалом, в котором диэлектрические потери малы, то можно не учитывать
теплоотдачу в окружающее пространство.
Таким образом, задачей является разработка новой конструкции
микроволновой установки, которая способна равномерно нагревать стержневые
материалы, имеющие низкую теплопроводность, а также разработка модели и метода
расчёта их параметров для применения в технологических процессах.
Техническое задание выпускной квалификационной работы бакалавра
заключается в разработке микроволновой установки для отвержения стержневого
материала со следующими параметрами: частота колебаний электромагнитного поля
2450МГц; скорость движения стержня в установке не менее 0,5 м/мин; мощность
микроволнового излучения в установке 1,2 кВт; начальное значение температуры
материала стержня +20ºС; температура нагрева стержня +180ºС; теплоемкость материала стержня 0,9
Дж/(г∙ºС); плотность материала стержня 1,8 г/см 3; диаметр стержня
40 мм; действительная часть относительной диэлектрической проницаемости
материала стержня имеет значение 4,2; мнимая часть относительной
диэлектрической проницаемости материала стержня имеет значение 0,18; расхождение
номинального значения температуры материала и температуры материала стержня не
должно превышать 7%.
Задачей работы являются исследование и создание новой высокоэффективной
микроволновой установки для равномерного нагрева стержня из полимерного
композиционного материала, а также метода и модели их расчёта.
При проведении теоретических исследований были использованы такие теории,
как: теория электромагнитного поля, теория электрических цепей, а также методы
эквивалентных схем.
Для проведения экспериментальных исследований были использованы
определенные установки микроволновых электродинамических систем:
· волноводного
типа (круглого на волне типа
);
· замедляющей
системы типа "спираль".
Достоверность полученных в работе основных выводов, а также верность
эквивалентных моделей, которые были разработаны, можно подтвердить при помощи
сравнения теоретических результатов и экспериментальных исследований, а также
сравнением этих данных с результатами исследований, которые были опубликованы в
различных отечественных и зарубежных научных публикациях.
Области промышленности, где сегодня полимерные композиционные материалы
нашли свое применение: строительство зданий, мостов и дорог, машиностроение,
самолетостроение и космические летательные аппараты. В строительной индустрии
широкое распространение получила стеклопластиковая арматура, которая имея малый
удельный вес, в то же время имеет высокую химическую стойкость и прочность, не
подвергается коррозии и обладает низкой теплопроводностью [8].
Нагревая полимерные композиционные материалы, используя традиционный
метод нагрева, тепло передается от нагревающего элемента к нагреваемому телу
постепенно, при помощи конвекции, теплопроводности либо радиационного переноса
тепловой энергии от наружных слоёв материала к слоям внутренним. Получается,
что возникновение температурного градиента тесно связано с передачей тепла
традиционными методами полимерным композиционным материалам, и этот градиент
способен приводить к различным дефектам всей структуры материала и как
впоследствии, прочность и долговечность изделия снижены [6, 8].
Поиск современных технологий термообработки полимерных композиционных
материалов, которые обеспечат качественно новый уровень их производства,
характеризующийся экологической чистотой, высокой энергетической эффективностью
и скоростью технологических процессов, связан с применением микроволнового
излучения в, как источник тепловой энергии [3, 9].
Энергия микроволнового излучения способна мгновенно проникать на всю
глубину этих материалов, к тому же в независимости от его теплопроводности и не
нагревая окружающее воздушное пространство, в этом состоит главное достоинство
микроволновых технологических процессов термообработки полимерных
композиционных материалов. Равномерный нагрев по объёму полимерного
композиционного материала дает возможность получить материал без дефектов его
внутренней структуры и, как следствие, приводит к более высоким техническим
характеристикам получаемых изделий, в частности, повышение прочности и долговечности.
Полимерные связующие композитного материала подвержены влиянию микроволнового
излучения, к примеру, в эпоксидных смолах, это влияние приводит к изменению
внутренней структуры материала, которая становится более плотной и прочной [7].
Результатами выполненных экспериментальных исследований стали выводы о
том, что микроволновое излучение дает возможность на порядок ускорить различные
химические реакции, в особенности такую реакцию, как реакция полимеризации,
вызвать ускоренный нагрев по всему объему всевозможных диэлектрических
материалов [10-13]. Микроволновое излучение дает возможность ощутимо уменьшать
длительность синтеза полимеров. В этой связи актуальность и перспективность
приобретает задача разработки изучения современных методов интенсификации и
оптимизации процессов полимеризации с использованием микроволнового нагрева в
процессе получения полимерных композиционных материалов с установленными
параметрами [14-17].
1. Расчет параметров микроволновой установки. Основные
уравнения
1.1 Расчет
мощности, поглощаемой материалом, имеющим диэлектрические потери
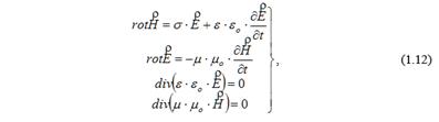
Допустим, что имеем однородную изотропную среду, характеризующуюся
материальными уравнениями [9]:
В которых:
являются
абсолютной диэлектрической и магнитной проницаемостью вакуума;
является
плотностью тока проводимости;
являются
векторами напряженности электрического и магнитного полей;
являются
векторами электрической и магнитной индукций;
является
относительной диэлектрической проницаемостью среды;
является
относительной магнитной проницаемостью среды;
является
проводимостью среды.
Предположим,
изменение электромагнитного поля во времени по гармоническому закону
является
круговой частотой колебаний.
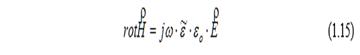
Имеем возможность записать выражение, описывающее относительную
диэлектрическую проницаемость среды в следующей форме [9]:
и
являются действительной и мнимой частями абсолютной
диэлектрической проницаемостями среды.
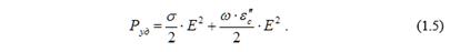
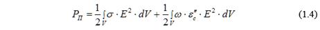
Выражение
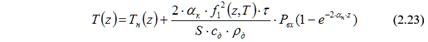
для определения мощности тепловых потерь при гармонических колебаниях имеет вид
[9]:
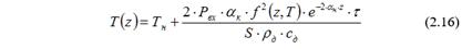
Значение
удельной мощности, связанной с тепловыми потерями, из уравнения (1.4) имеет
вид:
Таким
образом, тепловыделение в среде с диэлектрическими потерями при помощи токов
проводимости и поляризации неразличимы. И поэтому, с учётом проводимости этой
среды, ее относительную диэлектрическую проницаемость записывают в виде: [9]:
где:
Здесь:
являются действительной и мнимой частями
относительной диэлектрической проницаемости при учете проводимости среды.
Учитывая
выражения (1.8) уравнение (1.5) выглядит так:
Или
где:
f является частотой колебаний электромагнитного поля, Гц; Е
является амплитудой напряженности электромагнитного поля, В/cм;
-
удельная мощность потерь тепла в диэлектрической среде,
.
Таким
образом, в момент роста частоты, на которой происходят колебания
электромагнитного поля, имеет место и рост удельной мощности, связанной с
тепловыми потерями.
Микроволновые
установки, которые применяют в промышленности, обычно функционируют на частотах
915 МГц и 2450 МГц. Для того, чтобы реализовать технологический процесс
отверждения полимерного композиционного материала в виде стержня в настоящей
работе, решено, что установка будет работать с частотой, на которой происходят
колебания электромагнитного поля, 2450 МГц.
Величина
той части относительной диэлектрической проницаемости среды
, которая
является мнимой, находится в зависимости от частоты, на которой происходят
колебания электромагнитного поля, а также температуры и влажности среды [9,
18].
Затухание
мощности микроволнового излучения происходит в среде, где имеют место
диэлектрические потери по экспоненциальному закону по направлению оси z [18]:

В
этой связи необходимо определить значения постоянных затухания амплитуды
напряженности электрического поля материала, имеющего диэлектрические потери.
1.2 Расчет
постоянных затухания амплитуды напряженности электрического поля в материалах,
имеющих диэлектрические потери
Пусть имеем однородную изотропную среду, в которой присутствуют
диэлектрические потери. Расположим в этой среде случайную электродинамическую
систему. Материальные уравнения (1.1) характеризуют диэлектрическую среду.
Полагаем, что электродинамическая система имеет способность передачи
энергии электромагнитного поля не только по направлению оси x, но и по
направлению оси y, и по направлению оси z.
При отсутствии сторонних токов и свободных зарядов, есть возможность
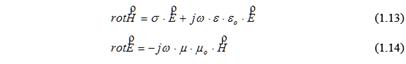
представить уравнения Максвелла как:
Если происходит изменение электромагнитного поля во времени по
гармоническому закону (1.2), тогда в случае подстановки выражения (1.2) в два
первых уравнения Максвелла (1.12), произведя дифференцирование, получим:
Учитывая
выражения (1.2), (1.3), (1.6), (1.7), (1.8), а также условия
, происходит сведение уравнений Максвелла к виду,
который симметричен в отношении векторов
и
:
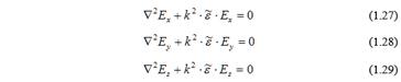
Уравнения
Максвелла можно свести к волновым уравнениям, содержащим один из векторов поля.
Выводя
из выражения (1.15) и поместив его в выражение (1.16),
имеем:
Ведем обозначение:
-
волновое число свободного пространства, получаемое соотношением
- длина
волны, которую имеет источник микроволновой энергии.
В
имеющемся выражении (1.19), раскрываем уравнение, которое стоит слева,
пользуясь формулой двойного векторного произведения:
В
силу уравнения (1.17) имеем векторное волновое уравнение:
Данное
уравнение возможно вывести и в отношении вектора
,
рассчитав значение
, которое было найдена в выражении (1.17) и поместив
его в выражение (1.15):
Существует способность вектора амплитуды напряженности и
векторов, как электрического, так и магнитного полей обладать тремя
компонентами в декартовой системе координат:
Здесь:
- векторы, которые единичны в декартовой системе
координат.
Поместим
выражение (1.25) в выражение (1.23). Таким образом произойдёт разделение
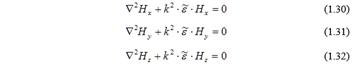
последнего векторного уравнения на тройку независимых скалярных уравнения:
Поместим
выражение (1.26) в выражение (1.24). Таким образом произойдёт разделение
последнего векторного уравнения на тройку независимых скалярных уравнения:
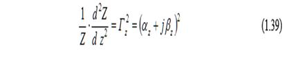
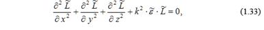
В
результате удалось получить шестерку скалярных уравнений, обладающих одинаковой
формой. Исходя из этого, можно сказать, что для нахождения обобщенных
выражений, которые составляют электромагнитное поле, необходимо решить
единичное скалярное дифференциальное уравнение в частных производных типа:
-
составляющая электрических или магнитных полей.
При
помощи разделения переменных по методу Фурье возможно произвести расчет
уравнения в частных производных.
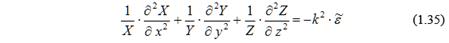
Расчет
выражения может быть представлен, (1.33) как произведение сомножителей,
являющихся функцией только для каждой отдельной координаты:
Продифференцируем
данное выражение и полученный результат вставим в выражение (1.33). Каждую
часть уравнения поделим на значение
, и в
результате будем иметь:
Либо
Функции
- обоюдно независимы. Таким образом, для равенства
комплексной величине суммы членов, которые находятся в левой стороне уравнения
(1.36), требуется равенство каждого члена в обобщённом случае данной величине.
Если приравнять каждый член уравнения данной величине, можно записать:
Где:
-
постоянные распространения во всевозможные стороны;
-
постоянные затухания во всевозможные стороны;
-
фазовые постоянные во всевозможные стороны.
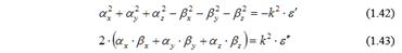
При
помощи характеристического уравнение имеется возможность установить связность
среди постоянного распространения во всевозможные стороны и волновых чисел
свободного пространства и диэлектрических характеристик среды:
Либо
Имеется
возможность записи в форме из пары выражений характеристического уравнения
(1.41), путем приравнивания действительной и комплексную части:
Выражения (1.42) и (1.43) являются основными в сфере подсчетов и
разработки всевозможных электродинамических систем СВЧ приборов, используемых в
термообработке материалов, имеющих диэлектрические потери. Диэлектрические
параметры материала, который обрабатывается, и длина источника СВЧ энергии
могут быть связаны с фазовыми постоянными и постоянными затухания при помощи
данных уравнений.
Полученные уравнения можно использовать для определения постоянной
затухания амплитуды напряженности электрического поля и фазовой постоянной
свободного пространства, заполненного однородным и изотропным веществом с
диэлектрическими потерями, либо волноводных и замедляющих систем, использующих
режим бегущей волны.
Рассчитаем величину постоянной затухания амплитуды напряженности
электрического поля в области, имеющей диэлектрические потери для
электродинамической системы в виде круглого волновода, где энергия
микроволнового поля движется по направлению оси "z", используя
уравнения (1.42) и (1.43).
Для данного случая из выражения (1.43) запишем:
Согласно определению, значение фазовой постоянной [19]:
где
- длина волны, которая распространяется в
электродинамической системе.
Тогда,
подставляя (1.45) и (1.21) в (1.44), получим:
Для материала, имеющего диэлектрические потери на поверхности замедляющей
системы по направлению оси "y" и по направлению хода энергии
электромагнитного поля по направлению оси "z", можно найти величину
постоянной затухания амплитуды напряженности электрического поля, пользуясь
уравнениями (1.42 и 1.43). Для замедляющей системы данные уравнения
записываются в следующем:
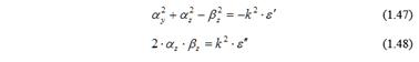
По выражению (1.48) имеется возможность заявить, что:
В таком случае имеем возможность нахождения постоянной затухания
амплитуды напряженности электрического поля в области, имеющей диэлектрические
потери по направлению оси "у", используя уравнения (1.49) и (1.47):
Или
После
преобразований, с использованием величины коэффициента замедления
, получим:
где:
Следовательно, для замедляющих систем, распределение микроволновой
мощности в диэлектрическом материале, который обрабатывается, снижается по
закону экспоненты, как от внешней части замедляющей системы, по направлению оси
"у", так и по направлению хода энергии, принадлежащей
электромагнитному, полю по направлению оси "z".
1.3
Процесс выбора источника СВЧ энергии
Источники микроволновой энергии для микроволновых установок, применяемых
в термообработке материалов диэлектриков, могут различаться и по строению, и по
характеристикам [20].
Источники от 25 кВт и мощнее могут применяться для микроволновых
устройств высокой мощности. Частота, зависящая от технологического процесса,
будет равна 2450 МГц либо 915 МГц.
Конечно, у источников высокой мощности на выходе имеется ряд существенных
недостатков:
· Высокие вес и размеры;
· Микроволновую энергию тяжело подвести для достижения
необходимого нагрева материала, который находится в обработке;
· Генераторы микроволновой энергии, которые используются, очень
чувствительны к мощности, которая отражается, из этого вытекает необходимость в
использовании защитного циркулятора из феррита;
· Важно поддерживать необходимое качество воды, которая нужна
для охлаждения генератора магнетронного типа;
· Остановка всего технологического процесса до замены вышедшего
из строя источника микроволновой энергии;
· Необходимость в использовании обслуживающим персоналом
средств личной защиты для безопасности использования установки высокой мощности
при работе устройства, при его запуске и наладке;
· Стоимость высокомощного источника также очень высока.
Решением проблемы, связанной со всеми недостатками крупногабаритных и
высокомощных источников СВЧ энергии, стали источники энергии, построенные с
использованием деталей иностранных микроволновых печей, используемых в быту.
Данные источники имеют воздушное охлаждение, низкую стоимость, а также малые
габариты, что делает их очень удобными в использовании.
Большим плюсом таких источников СВЧ энергии можно считать то, что их можно
расположить на электродинамической системе так, что создаваемая им энергия
будет приходить к тем местам материала, который обрабатывается, какие требуются
в описании технологического процесса. Необходимость в использовании
циркуляторов из феррита так же отпадает, так как магнетроны, которые
используются в домашних микроволновых печах, легко способны перенести
отраженный сигнал, даже если его уровень превышен, а также оснащены
температурной защитой, которая в случае опасности перегрева способна отключить
магнетрон.
Также, как было уже упомянуто, маломощные источники используют воздушное
охлаждение, а не водяное, где необходимо поддерживать качество воды. В случае,
если произошла поломка одного из маломощных источников никаких проблем не
возникает, а тем более остановки процесса, так как их замена занимает несколько
минут. В дополнение данный тип источников обладает низкой ценой, а с другой
стороны высоким КПД от сети, в наше время он достигает 67%.
Построенный с использованием зарубежных компонентов источник энергии вы
можете видеть на рис. 1.1.1. Его масса равна 12 кг, длина составляет 400 мм,
ширина 200 мм и высота 200 мм, а также сечение волноводного вывода энергии
равно (72*34) мм. Настоящий источник будет использован в микроволновой
установке, отверждающей стержневые полимерные композиционные материалы в данной
работе.
Рис.
1.1.1. Источник СВЧ энергии, имеющий мощность 0,6 кВт
1.4 Микроволновые установки типа бегущей
волны с продольным взаимодействием. Их конструкции
Транспортировка стержневых композиционных полимерных материалов, которые проходят обработку, происходит вдоль
электродинамической системы, что позволяет увеличить производительность СВЧ
установок. Можно пересилить электродинамические системы, это могут быть:
круглые волноводы на волне, замедляющая система типа спираль, либо
диафрагмированная. Распространение электромагнитного поля в СВЧ системах
подобного типа электромагнитная энергия происходит вдоль оси движения стержня
материала, который обрабатывается. Этим установкам присвоено название установок
с взаимодействием продольного типа.
Строение СВЧ устройства для обработки стержневых композиционных
полимерных материалов было представлено в данной работе, роль нагревательного
элемента в этой установке играет замедляющая система типа спираль. СВЧ
устройство, которое было предложено, можно видеть на рис. 1.2.1.
Рис.
1.2.1. Микроволновая установка для отверждения полимерных стержней.
-
источник микроволновой энергии; 2 - камера в форме замедляющей системы,
фиксирующая сушку; 3 - согласованная нагрузка; 4 - натяжная станция; 5 -
полимерный стержень; 6 - груз.
Чтобы
увеличить прочность полимерных стержней, в том числе на порядок стойкость к
разрыву, нужно осуществлять процесс полимеризации используя энергию СВЧ.
Электродинамическая система будет иметь длину 1000 мм, а также мощность СВЧ
устройства 1,5 кВт, если скорость процесса обработки будет равна 4 м/мин.
Такой
процесс, как термообработка сосисок при помощи диафрагмированного волновода в
роли замедляющей системы, описан в научных публикациях [22-23]. Там используют
длину волны, на которой работает система, равную 12,24 см, коэффициент
замедления используемой конструкции равен 2,0, так же используются сосиски,
имеющие диаметр 20 мм. Для обработки в том числе и полимерных стержней можно
использовать точно такую же СВЧ установку, в которой происходит полимеризация
диэлектрических материалов, которые движутся вдоль этой установки. Изображение
этой установки модно видеть на рис. 1.2.2.
Рис.
1.2.2. СВЧ устройство на базе круглого диафрагмированного волновода,
используемого в термообработке стержневых полимерных материалов.
-
коротко замыкающие поршни в прямоугольном волноводе;
-
секции диафрагмированного волновода, занимающиеся согласованием; 3 - материал,
который нагревают; 4 - волновод с диафрагмой; 5 - трубка из кварца; 6 -
коаксиально-волноводный переход; 7 - 3 дБ мост делящий мощности источника СВЧ
энергии пополам.
При
расчете СВЧ устройства, которое будет использоваться для полимеризации
полимерных материалов, необходимо не забывать то, что диэлектрические параметры
материала зависят от температуры. К сожалению, проанализировав научные
публикации, сделанные в данной области, можно сказать, что те методы расчета
СВЧ установок, которые мы имеем на данный момент не дают нам возможность
учитывать эту зависимость. Так как нам необходимо корректировать длину системы
в том направлении, куда движется энергия поля, КПД СВЧ устройства, а также значение
мощности, которая подводится, не имея метода их расчета, все корректировки
приходится проводить во время работы установки, что в конечном итоге
увеличивает временные и финансовые затраты на создание данной установки.
В
стержне, который движется по электродинамической системе, называемой круглый
волновод, нагрев в поперечном сечении происходит неравномерно. А именно, на оси
материала температура максимальная, а ближе к поверхности она понижается по
закону Бесселя [19]:
В
данном выражение считаем T(r) радиальным распределением температур в материале
стержня при прохождении стержнем системы круглый волновод, а значению T(0)
равна температура полимерного стержня в области близкой к оси
электродинамической системы тип круглый волновод, здесь же функцию Бесселя
описывает выражение J0(2,405r/R1), радиусом круглого волновода является
переменная R1, работающего на значении частоты колебаний поля равного 2450 МГц,
используя при этом волну E01.
Если
брать частоту колебаний поля равную 2450 МГц, то в круглом волноводе с волной
E01, то критическую длину волны (λкр) можно считать равной значению λкр=2,62R1, а уже отсюда можно имеется возможность вычислить радиус
внутренней поверхности круглого волновода, который в итоге равен R1=50 мм.
Для
того, чтобы определить наибольшее возможное отклонение температуры на
поверхности материала Rc, из которого состоит полимерный стержень,
расположенный в круглом волноводе, от значения температуры, которое считается
номинальным, необходимо произвести расчет данного выражения:
Здесь
- играет роль температуры, которая наблюдается у
материала стержня на поверхности.
Если
рассматривать температурную диффузию в полимерном стержне при прохождении
электродинамических замедляющих систем, то это распределение можно выразить
через следующее выражение:
Для
того, чтобы определить наибольшее возможное отклонение температуры в разрезе
материала, из которого состоит полимерный стержень, расположенный в замедляющей
системе, от значения температуры, которое считается номинальным, необходимо
произвести расчет данного выражения:
В
итоге мы видим, что в различных электродинамических системах происходят
различные виды нагрева, где-то максимальный нагрев происходит у оси
нагреваемого материала, как например в круглом волноводе, где-то наоборот у
поверхности, как например в замедляющей системе. Отсюда вытекает необходимость в
разработке таких СВЧ устройств, которые содержали бы в себе оба вида этих
систем для того, чтобы производить равномерный нагрев по всему сечению
полимерного стержня.
2. Процесс выбора метода расчета и конструкции микроволновой
установки
.1
Конструкция микроволновой установки
Стеклопластиковые стержни изготавливаются из полимерного связующего,
которое имеет низкий коэффициент теплопроводности. Из этого следует
неоднородность нагрева полимерного стержня, если этот нагрев производится с
использованием внешних источников тепла. Такая неоднородность нагрева способна
привести к градиенту распределения температур при химической реакции
отверждения. И в свою очередь этот градиент может вести к тому, что в
полимерном стержне могут возникнуть внутренние напряжения, а также сами
физико-механические характеристики данного стержня будут значительно ослаблены.
Разрушение поверхности изделия, а также нарушения в его однородности, так же
могут стать следствием воздействия высоких температур на обрабатываемое
вещество.
Если использовать микроволновое излучение в качестве источника нагрева,
то это позволит прогревать весь объем стержня мгновенно стержень за счёт того,
что энергия электромагнитного поля способна проникать внутрь всего объёме
стержня и превращения электромагнитной энергии в тепловую энергию. Это дает
возможность осуществить процесс нагрева, не имеющий инерцию, увеличить точность
дозировки энергии, уменьшить напряжения, вызванные температурой в объёме
стержня, которые могут возникнуть по ходу процесса полимеризации.
Исходя их этого видно, что применения микроволновое излучение в как
источник тепловой энергии, мы можем улучшить управляемость и повторяемость
технологического процесса отверждения стержня из полимерного композиционного
материала.
Изучив работы [22-24], мною была выбрана конструкция микроволновой
установки для равномерного отверждения стержневых полимерных композиционных
материалов, которая в этих работах описывалась. В состав выбранной мною СВЧ
установки входит две различные по строению электродинамические системы,
позволяющие производить равномерный нагрев по всему объему материала. Взятые
системы имеют разные длины и расположены друг за другом.
Из электродинамической системы типа круглый волновод состоит первая
система, чья основная рабочая волна является волной E01 типа. Внутренний диметр
круглого волновода будет равен 100 мм, если частота электромагнитного поля
будет равна 2450 МГц [19]. Если взять функцию Бесселя, то распространение
мощности СВЧ излучения по диаметру круглого волновода можно рассчитать, как
прямо пропорциональную величину квадрату этой функции, взятой нулевом порядке.
Выходит, что у оси круглого волновода буде наблюдаться максимальное значение
температуры, которое впоследствии будет спадать к его стенкам. С полимерным
стержнем все будет ровно так же, то есть при помещении данного стержня в
электродинамическую систему круглый волновод, мы будем наблюдать максимальную
температуру нагрева на оси стержни и ее падение к внешнему радиусу изделия.
Далее нам необходимо увеличить уровень температуры на поверхности
обрабатываемого материала. Достичь этого нам позволит замедляющая система виде
спирали, которая будет являться второй электродинамической системой в нашей
установке. Диметр внутренней поверхности спирали будет равен 40 мм, что совпадает
с диаметром диэлектрического стержня, который мы обрабатываем. Данная
замедляющая система поможет нам прижать электромагнитное поле к ее поверхности,
что в свою очередь приведет к усилению нагрева ближе к поверхности стержня. Так
же поле, созданное замедляющей системой будет спадать от поверхности к оси
полимерного стержня. В данной системе при помощи коэффициента замедления
имеется возможность определить величину степени концентрации энергии поля вдоль
поверхности системы типа спираль. В конечном итоге, после прохождения двух
электродинамических систем полимерный стержень будет нагрет одинаково по всему
диаметру, что и требовалось изначально.
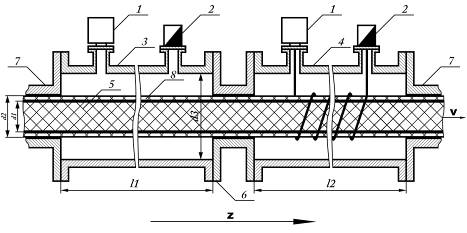
Была разработана принципиальная схема установки для отверждения
стержневых композиционных полимерных материалов с малой теплопроводностью,
описанной выше, ее можно увидеть на рис. 2.1.
Рис. 2.1. Микроволновая установка термообработки стержневых материалов:
- источник микроволновой энергии; 2 - согласованная нагрузка; 3 - круглый
волновод; 4 - замедляющая система типа спираль; 5 - диэлектрический стержень; 6
-запредельный волновод между электродинамическими системами; 7 - запредельный
волновод; 8 - труба из теплоизоляционного материала с малыми диэлектрическими
потерями; d1 - диаметр трубки из теплоизоляционного материала с малыми
диэлектрическими потерями; d2 - диаметр диэлектрического стержня; d3 - диаметр
круглого волновода; l1 - длина круглого волновода; l2 - длина замедляющей
системы типа спираль; - скорость движения стержня.
Опишем принцип работы показанной микроволновой установки. Первым делом
берется не отверждённый стержень из полимерного материала 5, и помещается в
запредельный волновод 7, который устроен таким образом, что электромагнитная
энергия не может выйти за пределы микроволновой установки и нанести вред
персоналу, который работает на данной установке. На следующем этапе обработки
стержень поступает в круглый волновод 3, чья длина равна l1. В данном
волноводе, как говорилось ранее, нагрев происходит под воздействием волны E01.
Всю мощность, которую произвел источник, поглощает нагреваемое изделие на всей
протяженности круглого волновода. Если же осталась неиспользованная мощность,
то она поступает и поглощается в согласованной водяной нагрузке, которая по
совместительству содержит в себе датчик, регистрирующий проходящие мощности,
что помогает контролировать технологический процесс. После прохождения круглого
волновода, полимерный стержень имеет максимальную температуру в области своей
оси и в то же время температура понижается по мере удаления от этой оси к
поверхности. Далее диэлектрический стержень направляется в замедляющую систему
типа спираль 4, но перед этим он проходит через запредельный волновод 6,
который выполнен также в форме круглого волновода. Данный волновод является
развязывающим устройством и его задачей является удерживать электромагнитные
волны в пределах своих электродинамических систем и не давать им проникнуть в
соседнюю. Замедляющая система, куда попадает стержень после развязывающего
устройства выполнен в форме спирали, длинна системы составляет l2. Принцип
действий здесь очень схож с круглым волноводом. Всю мощность, которую произвел
источник, поглощает нагреваемое изделие на всей протяженности замедляющей
системы типа спираль. Если же осталась неиспользованная мощность, то она
поступает и поглощается в согласованной водяной нагрузке, которая по
совместительству содержит в себе датчик, регистрирующий проходящие мощности,
что помогает контролировать технологический процесс. Преодолев замедляющую систему
типа спираль, полимерный стержень имеет максимальную температуру в области
своей поверхности и в то же время температура понижается по мере удаления от
этой поверхности к оси. В конечном итоге стержневой материал, пройдя две
различные электродинамические системы СВЧ устройства для отверждения стержневых
полимерных композиционных материалов, должен иметь равномерный нагрев по всему
диаметру этого материала, распределение температур должно получиться таким,
какое удовлетворительно для требования технологического процесса. В последнюю
очередь стержень проходит через запредельный волновод 7, стоящий после
замедляющей системы по направлению движения стержня, который устроен таким
образом, что электромагнитная энергия не может выйти за пределы микроволновой
установки и нанести вред персоналу, который работает на данной установке.
Так же предложен метод, позволяющий повысит действенность
функционирования СВЧ установки, а также повышения её КПД. В установку
вмонтирована на всю длину устройства диэлектрическая трубка, которая пропускает
радиоволны, но не пропускает тепло, материал может быть различный, мы будем
использовать фторопласт. Стержень будет перемещаться по установке внутри данной
трубки, которая не будет давать полезному теплу выходить наружу и нагревать
окружающее пространство.
2.2
Параметры микроволновой установки. Модель и метод расчета
Изучим стационарный режим работы микроволновой установки, а именно
круглого волновода, входящего в её состав. Необходимо узнать, как
распределяется СВЧ излучение по оси стержневого полимерного материала в данном
режиме. Строение СВЧ установки, осуществляющей равномерный нагрев стержня,
электродинамическая система которого представлена в виде круглого волновода,
иллюстрировано на рис. 2.1.
Таблица 1
Основные параметры материала стержня
Для расчета характеристик микроволновой установки, которая предназначена
для функционирования в режиме бегущей волны, необходимо использовать
эквивалентную схему. Для этого возьмем нагруженную длинную линию [3, 9, 18],
имеющей граничные условия. Ее изображение можно увидеть на рис 2.2.1.
Рис.2.2.1.
Эквивалентная схема для обоих электродинамических систем СВЧ устройства для отверждения
стержневого полимерного композиционного материала: 1- источник СВЧ излучения; 2
- согласованная нагрузка; 3 - однородный по длине стержень из полимерного
композиционного материала; l - длина электродинамической системы; z- продольная
координатная ось; Рвх - выходная мощность источника микроволновой энергии; Рвых
- мощность источника СВЧ излучения, которая была не использована, поглощаемая
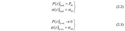
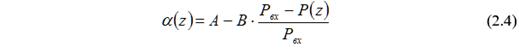
водяной нагрузкой; α(0),
α(l) - значения постоянных затухания
амплитуды напряженности электрического поля в материале, который проходит
обработку, на начальном и заключительном этапах процесса обработки, α(z) - текущее значения постоянной затухания амплитуды
напряженности электрического поля в материале, который проходит обработку.
Имеем
полимерный стержень, чья теплопроводность крайне мала, который помещен в
круглый волновод, при работе этого волновода в стационарном режиме. Необходимо
изучить, как происходит процесс отвержения этого стержня в круглом волноводе.
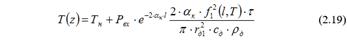
Температура
материала стержня, от его начальной температуры
до
конечной
, будет изменяться на всей длине круглого волновода
при работе источника СВЧ излучения с заданной
мощностью
.
Так
же у нас имеются постоянные затухания амплитуды напряженности поля в полимерном
стержне для начальной температуры
, а также
и для его температуры на выходе из устройства
.
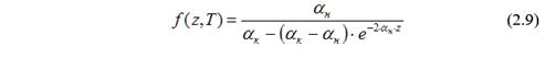
Постоянная
затухания амплитуды напряженности поля может быть описана следующим образом
(1.46) в случае, когда распространение волны происходит по оси координат z:
Здесь
мнимую часть относительной диэлектрической проницаемости полимерного стержня
при температуре в начальный и конечный промежутки времени играет
и
, также
длину волны, генерируемую источником, мы отображаем переменной
, а длину той волны, которая существует в круглом
волноводе мы обозначаем как
.
Существует
линейная зависимость мнимой части относительной диэлектрической проницаемости,
от температуры массы стержня, если частота колебания поля равна 2450 МГц [3,
18].
Для
материала, который проходит обработку, есть возможность записать соотношение,
описывающее распределение мощности в этом самом материале. Данное соотношение
будет выглядеть, как функция, которая способна учитывать то, как зависят
температура от диэлектрических параметров материала [3].
Здесь
функцию, которая учитывает зависимость температуры от диэлектрических
параметров, обозначает переменная
.
Таким
образом для эквивалентной схемы, имеющей вид нагруженной длинной линии можно
записать граничные условия на входе микроволновой энергии в обрабатываемый
материал стержня и на выходе неиспользованной СВЧ энергии приходящей из
круглого волновода в согласованную водяную нагрузку.
Допустим
практически полное поглощение материалом на всей протяженности круглого
волновода
входной мощности
.
В
этом случае граничные условия для неподвижного материала (источник
микроволновой энергии расположен слева) имеют следующий вид:
При росте температуры так же происходят линейные изменения в
диэлектрических показателях стержневого материала, на этом основании базируется
метод, по которому рассчитывается распределение температуры по телу материала
[3, 18]. Данное положение опирается на большое число различных исследований, в
основном экспериментальных, исследовавших, в частности, как изменяются
диэлектрические показатели полимерных материалов с ростом температуры, когда
частота колебаний равна 2450 МГц [3]. Диэлектрические показатели материала,
который проходит обработку, в частности, эпоксидного связующего, линейно
возрастают с ростом температуры, при измерении в широком интервале этих
температур.
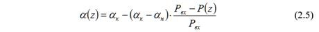
Можно сказать, что существует линейная зависимость, связывающая значения
постоянной затухания амплитуды напряженности поля с величиной поглощённой
мощности:
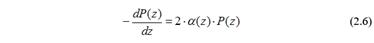
Так же, приняв к сведению граничные условия (2.2) и (2.3), выходит, что:
Теория длинных линий дает нам выражение [18]:
Для получения дифференциального уравнения, необходимо выполнить
подстановку выражения (2.5) в выражение (2.6):
Далее записываем решение уравнения (2.7) в следующем виде [3]:
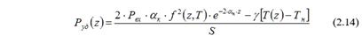
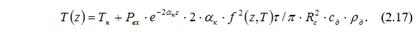
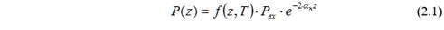
Произведя все вычисления, получаем следующий вид функции:
Для
определения погонной мощности потерь
в
полимерном стержне по направлению оси z, необходимо обладать значением
постоянной затухания
, а также, обязательно, распределением мощности СВЧ
излучения в материале
, который проходит обработку, опять же в направлении
движения работы установки.
или
При нагреве материалов, обладающих диэлектрическими свойствами,
конвективный теплообмен играет заметную роль, и пренебрежение им приводит к
существенно завышенному значению КПД и производительности микроволновой установки.
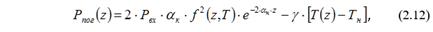
Величина погонной мощности, поглощаемая обрабатываемым материалом с
учётом коэффициента теплоотдачи в окружающее пространство может быть записана,
как [3, 25]:
где
является погонным коэффициентом конвективного
теплообмена Вт/(м∙°С).
Рассчитать
удельную мощность потерь при обработке полимерного стержня в СВЧ устройстве
можно используя следующее соотношение:
Здесь
роль площади поперечного сечения стержня, который проходит обработку, играет
.
Удельную
мощность тепловых потерь в стержне будем считать, беря в расчет выражение
(2.12):
Существует
связь между увеличением температуры материала, из которого состоит полимерный
стержень, и удельной мощностью тепловых потерь, или по-другому величиной
мощности, которую поглотил стержень. Таким образом, материал, проходящий
обработку, приобретает такое распределение температур, если изначально, до
того, как он поступил внутрь установки он имел некую начальную температуру
:
Или
В
конечном итоге, мы получили оценки, рассчитанные для волн
, существующих в электродинамической системе круглый
волновод, который заполнен однородным диэлектриком
, также учитывая диэлектрический стержень с
действительной частью относительной диэлектрической проницаемости. Данные
оценки показывают очень схожие результаты, а конкретно αн = 0,02 1/см; αк = 0,03 1/см.
Теперь
рассчитаем время
, необходимое стержню для произведения нагрева от +20ºС при (z=0) до температуры +180ºС, при работе источника СВЧ энергии в стационарном
режиме, когда выходная мощность равна 600 Вт.
Если
существует возможность преобразования выражения (2.17) к следующему виду:
Существует
такая длина электродинамической системы, на которой достигается максимальное
значение температуры полимерного стержня, и нам необходимо эту длину вычислить.
В стационарном режиме работы расхождение температуры по сечению стержневого
материала рассчитывается следующим образом:
Произведя
расчеты, подставив определенные значения для нашей установки и материала, из
которого сделан полимерный стержень, мы получили данные о времени и длине
системы на которых получается достичь максимальных показателей температуры
стержневого материала, а именно: время нагрева стержня от 20°С до 180°С
занимает 100 сек., а необходимая для успешного отверждения стержня длина
электродинамической системы равна 1000 мм.
Характеристики,
которые описывают распределение температуры в сечении полимерного стержня у его
оси в сторону распространения оси z с длиной установки равной 1000 мм,
работающей в стационарном режиме, изображены на рис. 2.2.2.
Рис
2.2.2. Характеристики рассчитанные (1) и измеренные (2), которые описывают
распределение температуры в сечении полимерного стержня у его оси в сторону
распространения оси z с длиной установки равной 1000 мм, работающей в
стационарном режиме.
Характеристики,
которые описывают распределение температуры в сечении полимерного стержня у его
поверхности в сторону распространения оси z с длиной установки равной 1000 мм,
работающей в стационарном режиме, изображены на рис. 2.2.3.
Рис
2.2.3. Характеристики рассчитанные (1) и измеренные (2), которые описывают
распределение температуры в сечении полимерного стержня у его поверхности в
сторону распространения оси z с длиной установки равной 1000 мм, работающей в
стационарном режиме.
Имеется
стержневой материал, который подвергается обработке, он перемещается по
направлению, в котором распространяется энергия поля, с некоторой скоростью
. Необходимо определить данную скорость перемещения
стержневого материала. Выполнить данную операцию можно так:
Температура
материала стержня на входе в электродинамическую систему типа круглый волновод
соответствует значению Tн, а на
выходе из электродинамической системы микроволновой установки соответствует
величине Tк. Возьмем в
расчет, что у нас нет зависимости таких характеристик, как теплоемкость
стержневого материала и его плотность, от температурных изменений и они всегда
остаются равными неизменным значениям.
Стержневой
материал поглощает мощность СВЧ излучения, и величину этого поглощения запишем
как:
Или
При
работе в динамическом режиме процесс распределение температуры в стержневом
материале можно записать следующим выражением:
При
движении стержневого материала сквозь микроволновую установку со скоростью
равной 0,6 м/мин вычислены характеристики, описывающие распределение
температуры в области оси (1), а также в области поверхности (2). Данные
характеристики изображены на рис 2.2.4.
Рис 2.2.4. Характеристики, описывающие распределение температуры в
области оси (1), а также в области поверхности (2) во время движения
стержневого материала.
Используя выражение (1.55) были произведены расчеты и замеры показателей
температурного распределения в разрезе стержневого материала, при прохождении
круглого волновода, радиус которого равен 50 мм, а режим работы - стационарный.
Данные характеристики изображены на рис. 2.2.5.
Рис. 2.2.5. Характеристики температурного распределения в разрезе
стержневого материала, при прохождении круглого волновода, радиус которого
равен 50 мм, а режим работы - стационарный.
Произведя расчет температуры в разрезе, было обнаружено отличие этой
температуры от номинального значения стержневого материала, данное отличие было
порядка +55°С, это в свою очередь является сильным нарушением установок,
указанных в описании технологического процесса. Но отклонение температуры,
которая была измерена от температуры, которая была рассчитана, не превысило 10ºС.
В связи с этим появляется потребность устранить температурный градиент,
появившийся в разрезе стержневого материала. Для осуществления данной задачи в
СВЧ установку добавлена электродинамическая система типа спираль, сразу после
круглого волновода. Радиус данной системе равен 20 мм, что повторяет значение
радиуса полимерного стержня, который проходит обработку в данной установке.
Стержневой материал должен нагреваться более интенсивно на поверхности,
но в то же время этот дополнительный нагрев не должен превысить +55°С. Круглый
волновод позволил нам достичь на оси стержня температуру равную +180°С, в
дальнейших расчетах будем предполагать, что эта температура останется на том же
уровне и не изменится.
Или
В случае с замедляющей системой типа спираль происходит снижение
температуры в сечении материала от поверхности к оси, исходя из степени этого
снижения был выбран коэффициент замедления, равный 2,8, для данной замедляющей
системы в уравнении 2.25. Имея дисперсионную характеристику замедляющей
системы, как раз и был рассчитан данный коэффициент.
Время нагрева поверхности стержневого материала в стационарном режиме от
температуры +125°С до температуры +180°С составляет 40 сек при длине
замедляющей системы типа спираль равной 400 мм, а также скорости прохождения
полимерного стержня сквозь данную систему, равную 0,6 м/мин.
Были произведены расчеты характеристики, описывающих распределение
температуры по поверхности стержневого материала, во время прохождения
замедляющей системы типа спираль, в режиме работы - стационарный. Данные
характеристики отображены на рис. 2.2.6.
Рис. 2.2.6. Характеристики: рассчитанные (1) и измеренные (2), описывающие
распределение температуры по поверхности стержневого материала, во время
прохождения замедляющей системы типа спираль, в режиме работы - стационарный.
Были произведены расчеты характеристик, описывающих распределение
температуры по поверхности стержневого материала, во время прохождения
замедляющей системы типа спираль, в режиме работы - динамический. Данные
характеристики отображены на рис. 2.2.7.
Рис. 2.2.7. Характеристики: рассчитанные, описывающая распределение
температуры по поверхности стержневого материала, во время прохождения
замедляющей системы типа спираль, в режиме работы - динамический.
Таким образом, общая длина двух отличных по конструкции систем
микроволновой установки составила 1,4 метра, а скорость движения стержня
составила 0,6 метра в минуту.
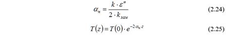
Из уравнений (1.42) и (1.43) можно определить значения постоянных
затухания поля над поверхностью замедляющей системы по направлению оси
"у" и по направлению распространения излучения электромагнитного поля,
вдоль оси "z". Эти уравнения можно для рассматриваемого случая
переписать в виде:
Следовательно, для замедляющей системы мощностное распределение
микроволнового излучения в диэлектрическом материале, который проходит
обработку, в декартовой системе координат понижается по закону экспоненты, не
только от её поверхности, но и вдоль распространения излучения
электромагнитного поля, а именно:
Выражение (2.28) показывает, что от возрастания коэффициента замедления
или уменьшения длины волны в замедляющей системе, слабеет затухание
электромагнитного поля в обрабатываемом материале на пути движения энергии,
вдоль оси z, и тем сильнее поле прижимается внешнему радиусу замедляющей системы.
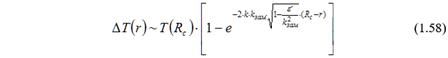
Будем полагать, что по направлению радиуса в электродинамической системе
энергия поля снижается по аналогичному закону:
Запишем в первом приближении температурное распределение в такой системе
[3, 19, 24]:
где T(Rс) - значение температуры у внешней поверхности материала стержня.
На рис. 2.2.8 представлены рассчитанные и измеренные характеристики
распределения температур по радиусу стержневого материала для замедляющей электродинамической
системы типа "спираль" в, режиме работы - стационарный.
Рис. 2.2.8. Характеристики рассчитанные (1) и измеренные (2), которые
описывают характеристики температурного распределения в сечении полимерного стержня
в замедляющей системе типа "спираль", которая работает в стационарном
режиме.
Рассчитанная (1) характеристика температурного распределения по радиусу
поперечного сечения диэлектрического стержня и область значений, полученных в
ходе эксперимента (2) представлены на рис. 2.2.9 для стационарного режима.
Рис. 2.2.9. Рассчитанная (1) характеристика температурного распределения
по радиусу материала стержня и область значений, полученных в ходе эксперимента
(2) для стационарного режима.
Протяженность электродинамических систем микроволновой установки выбирают
так, чтобы значение температуры на оси и на внешней поверхности материала
стержня после прохождения микроволновой установки соответствовала номинальному
значению, т.е. T(Rс) = T(0) = +180°C. Для этого необходимо решать уравнения
методом последовательного приближения.
Методика измерений температурного распределения в диаметре стержневого
материала следующая:
· создают 4 отверстия диаметром 3 мм на удалении от оси трубы
0, 4, 8, 12, 16;
· временной период, когда излучение будет воздействовать на
поперечное сечение стержня подбирают так, чтобы температура на внешней
поверхности стержня соответствовала температуре на оси стержня;
· значение температуры измеряют термопарным термометром после
отключения источников СВЧ - энергии.
Отклонение температуры в диаметре стержневого материала от его
номинальной температуры не превышало 7%, что удовлетворяет требованиям
технологического процесса.
Таблица 2
Основные параметры микроволновой установки
С целью предотвращения излучения из микроволновой установки на входе и
выходе установлены специальные фильтры, поглощающие микроволновое излучение.
Фильтры состоят из круглых запредельных волноводов. Затухание микроволновой
энергии в волноводах рассчитывается для волны Е 01 по выражению работы [19]:
В случае волны типа Е 01 в круглом волноводе ослабление рассчитывается в
соответствии с выражением [19]:
где R - радиус запредельного волновода.
Выберем радиус запредельного волновода равным радиусу обрабатываемого
материала стержня и толщины диэлектрической трубки с малыми диэлектрическими
потерями.
Рассчитаем ослабление микроволнового излучения из установки:
Экспериментальные исследования показали, что плотность
излучения из микроволновой установки на расстоянии 50 сантиметров в любые её
точки не превышало 10 мкВт/см, что соответствует ГОСТУ 12.1.006-84.
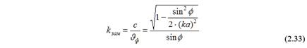
Расчет коэффициента замедления спиральной системы проведен по формуле
[19]:
где
с - скорость движения света через свободное пространство;
- фазовая скорость; k - волновое число
свободного пространства; a - радиус спирали;
- угол намотки спирали.
При
расчёте полагаем, что радиус спирали соответствует радиусу обрабатываемого
стержня (а = 20 мм); волновое число свободного пространства k = 2π/λ;
λ - длина волны источника СВЧ
энергии (λ = 12,24 см). для того, чтобы коэффициент замедления
соответствовал значению kзам = 2,8 необходимо, чтобы угол намотки
спирали соответствовал значению 20º.
Заключение
Предложенная выпускная квалификационная работа бакалавра удовлетворяет
требованиям технического задания:
. Разработана конструкция микроволновой установки для полноценного
нагрева по всему поперечному сечению диэлектрического стержня радиусом 20 мм от
начальной температуры +20ºС до температуры +180ºС с частотой колебаний
электромагнитного поля равной 2450 МГц;
. Предложена модель микроволновой установки с обрабатываемым
материалом в виде нагруженной длинной линии с заданными граничными условиями.
. Предложен метод расчета параметров микроволновой установки и
технологического режима термообработки диэлектрического стержня основанный на
том, что параметры диэлектрического материала стержня линейно зависят от
изменения температуры;
. Значения рассчитанных и измеренных характеристик температурного
распределения по поперечному сечению стержневого материала разошлись не более,
чем на 5%, а отклонение температуры в стержневом материале от номинального
значения температуры стержня не превышало 7%.
. Уровень побочных излучений, производимых микроволновой
установкой не превышал 10мкВт/см 2, что является допустимым уровнем излучения
из установок данного тип и позволяет обеспечить безопасную работу персонала,
обслуживающего установку.
Список использованных источников