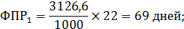
Реконструкция пожарного депо в селе Молочное
Содержание
Введение
. Архитектурно-строительный раздел
.1 Технический паспорт здания
.2 Оценка технического состояния здания
.2.1 Определение физического износа здания
.2.2 Определение морального износа здания
.2.3 Общее заключение о техническом состоянии
реконструируемого здания
.3 Объемно-планировочное решение здания после реконструкции
.4 Конструктивное решение здания после реконструкции
.4.1 Фундаменты
.4.2 Наружные стены
.4.3 Внутренние стены и перегородки
.4.4 Перекрытия
.5 Отделка фасада
.6 Противопожарные мероприятия
.7 Теплотехнический расчет ограждающих конструкций
.7.1 Теплотехнический расчет наружной стены
.7.2 Теплотехнический расчет покрытия
.8 Внешняя и внутренняя отделка здания
.9 Инженерное оборудование
.10 Описание генплана участка
.10.1 Характеристика земельного участка
.11 Технико-экономические показатели земельного участка
. Расчетно-конструктивный раздел
.1 Проверочный расчет прогонов
.1.1 Сбор нагрузки на покрытие здания
2.1.2 Определение
коэффициента
снеговой нагрузки для зданий с перепадами по высоте
.1.3 Проверочный расчет
прогона в осях 8-9/Б-В
.1.4 Перерасчет прогона в
осях 8-9/Б-В с уменьшенным шагом
.2 Расчет усиления прогонов
.2.1 Описание конструкции
усиления стальных прогонов
.2.2 Проверка несущей
способности конструкции усиления стальных прогонов в осях 8 - 9 / Б - В
. Технологический раздел
.1 Область применения
.2 Технология и организация
выполнения работ
.3 Требования к качеству и
приемке работ
.4 Техника безопасности
.5 Потребность в ресурсах
.5.1 Перечень основного
оборудования и машин
.5.2 Применяемые материалы и
комплектующие детали
.6 Технико-экономические
показатели
. Организационный раздел
.1 Общие данные
.1.1 Характеристика условий
строительства
.1.2 Природно-климатические
условия строительства
.2 Описание методов
выполнения основных СМР с указаниями по технике безопасности
.2.1 Подготовительный и
основной периоды строительства
.2.2 Земляные работы
.2.3 Устройство фундаментов
.2.4 Монтаж здания
.2.5 Общестроительные работы
.2.6 Благоустройство
территории
.2.7 Транспортные работы
.2.8 Строительный генеральный
план
.2.9 Указания по охране труда
.3 Расчет численности
персонала строительства
.4 Подбор строительного крана
.5 Расчет потребности в
ресурсах
.5.1 Расчет потребности в
электроэнергии
.5.2 Расчет потребности в
тепле
.5.3 Расчет потребности в
воде
.5.4 Расчет потребности в
транспортных средствах
.5.5 Определение площадей
административно-бытовых помещений
.6 Технико-экономические
показатели проекта
. Техническая эксплуатация
.1 Контроль технического
состояния здания в процессе эксплуатации
.2 Проведение текущих и
капитальных ремонтов
.2.1 Текущий ремонт здания
.2.2 Проведение капитального
ремонта здания
.3 Рекомендации по
эксплуатации пожарного депо
.3.1 Требования к пожарной
технике
.3.2 Требования к огнетушащим
веществам
.3.3 Требования к пожарному
инструменту
.3.4 Требования к
дополнительному снаряжению пожарных
.3.5 Общие требования к
пожарному оборудованию
.3.6 Требования к пожарным
рукавам и соединительным головкам
.3.7 Требования к пожарным
кранам
. Безопасность
жизнедеятельности
.1 Расчет времени эвакуации
.2 Действия персонала в
чрезвычайных ситуациях
. Экологический раздел
.1 Общие сведения по
накоплению твердых бытовых отходов
.2 Правила организации сбора,
временного хранения и планово-регулярного вывоза твердых бытовых отходов
.2.1 Общее положение
.2.2 Организация сбора и
временное хранение твердых бытовых отходов
.3 Предотвращение загрязнения
грунта и грунтовых вод при строительстве и эксплуатации общественных сооружений
.4 Расчет количества
мусоросборных контейнеров для ТБО
Заключение
Список использованных
источников
Приложение
Введение
Для выпускной квалификационной работы выбрана тема "Реконструкция
пожарного депо в селе Молочное". Целью работы является усиление несущих
конструкций покрытия, вследствие протечек кровли. Участок реконструируемого
здания пожарного депо расположен в центральной части с. Молочное Вологодской
области по ул. Мира 5, в створе примыкающей к ней улице Ленина. Здание было
построено в 2010 году.
Здание пожарного депо на 4 машиновыезда с учебно-тренировочным комплексом
- двухэтажное. В здании располагаются кабинеты сотрудников, дежурная часть,
технические помещения, гараж машин, спортзал, бытовые помещения.
Назначение здания пожарного депо в с. Молочное Вологодской области -
обеспечение защиты населения и материальных ценностей с. Молочное и близлежащих
населенных пунктов от пожаров и других стихийных бедствий, а также проведение
учебно-тренировочных мероприятий по спортивно-пожарной подготовке.
Производственная зона здания образована помещениями гаража-стоянки, встроенной
мойки, подсобными, бытовыми и административными помещениями пожарной части. В
состав учебно-тренировочного комплекса, согласно технического задания входит
крытая 100-метровая беговая дорожка с учебно-тренировочной башней,
универсальный спортивный зал 30,0 х 21,0 м, два тренажерных зала и
обслуживающие помещения. Производственная зона с выездом пожарной техники имеет
свою дворовую территорию, учебно-тренировочный комплекс с главной входной
группой ориентирован на ул. Мира, что обеспечивает его доступность, минуя
производственную зону. Планировочным решением проекта предусмотрена доступность
инвалидов и маломобильных групп населения на 1 этаж учебно-тренировочного
комплекса, в т.ч. и возможность использования ими санузлов, раздевалок и
универсального спортивного зала.
В соответствии с СП 131.13330.2012. Строительная климатология,
климатические условия площадки:
место строительства - с. Молочное Вологодской области;
уровень ответственности здания - II;
климатический район - II с расчетной температурой - 32°С;
снеговой район - IV;
расчетное значение веса снегового покрова - 2400 Па;
ветровой район - I;
нормативное значение ветрового давления - 230 Па;
степень долговечности - II;
степень огнестойкости - II;
грунтовые условия - супесь.
Реконструируемое здание пожарного депо в с. Молочное Вологодской области
имеет размеры в плане 128,4 х 36,0 м. Объемно-композиционное решение здания
образовано различными по функциональному назначению и этажности объемами:
одноэтажными объемами крытой беговой дорожки и гаража пожарной техники,
двухэтажными объемами административного блока и блока спортивных залов с
обслуживающими помещениями, а так же трехуровневым объемом тренировочной башни.
В процессе реконструкции предусмотрено усиление несущих конструкций
покрытия.
.
Архитектурно-строительный раздел
.1
Технический паспорт здания
Таблица 1.1 - Технический паспорт здания, с. Молочное, ул. Мира д. 5
|
Характеристика здания
|
По типовому проекту до
реконструкции
|
Предусмотрено проектом
реконструкции
|
|
1
|
2
|
3
|
|
Пожарное депо
|
2010
|
2016
|
|
Надстройка
|
Не производилась
|
Без изменений
|
|
Планировка
|
Зальная (общественное
здание)
|
Без изменений
|
|
Количество этажей
|
2
|
2
|
|
Площадь здания
|
3126,6 м 2
|
3126,6 м 2
|
|
Фундаменты
|
Свайный с монолитными ж/б
ростверками и фундаментными балками, Бетон В 15
|
Проведение ремонтных работ
|
|
Стены наружные
|
Стеновые трехслойные
сэндвич-панели толщиной 150 мм производства ООО "Стройпанель"
|
Ремонт стыков,
восстановление защитного слоя
|
|
Колонны
|
Металлические колонны по
ГОСТ 26020-83
|
Металлические колонны по
ГОСТ 26020-83
|
|
Стены внутренние
|
Стеновые трехслойные
сэндвич-панели толщиной 100мм производства ООО "Стройпанель"
|
Проведение ремонтных работ
|
|
Перегородки
|
Поэлементной сборки из
гипсокартонных листов на металлическом каркасе системы "Knauf"
Сер.1.031.9-2.00 Вып.1
|
Проведение ремонтных работ
|
|
Перекрытия
|
Пустотные ж/б панели,
толщиной 220мм Серия 1.141-1
|
Ремонт существующих
перекрытий
|
|
Кровля
|
Трехслойные сэндвич-панели
толщиной 200мм.
|
Усиление несущих
конструкций кровли, замена кровельного материала из гибкой черепицы
|
|
Водосток
|
Организованный, наружный
|
Организованный, внутренний,
системы HUNTER
|
|
Двери наружные
|
Двупольные остекленные по
ГОСТ 30970-2002
|
Входная группа VEKASoftline и металлические глухие двери фирмы СТАЛ серия 60
|
|
Двери внутренние
|
Однопольные по ГОСТ 6629-88
|
Однопольные остекленные по
ГОСТ 23747-88
|
|
Окна
|
Стеклопакеты по ГОСТ
11214-86
|
Замена на новые по ГОСТ
11214-86
|
|
Полы
|
Бетонные, керамогранит,
керамическая плитка, линолеум, деревянные (спортзал)
|
Проведение ремонтных работ
|
|
Отделка наружная
|
Сэндвич-панели ООО
"Стройпанель"
|
Проведение ремонтных работ
|
|
Отделка внутренняя
|
Облицовка стен штукатуркой
и плиткой, окраска водными составами
|
Облицовка стен плиткой по
ГОСТ 6141-91 и гипсокартоном; окраска потолков водоэмульсионной краской
|
|
Подвал
|
Высотой 2,4 м и 2,2м
|
Без изменений
|
|
Лифты
|
нет
|
нет
|
|
Лестницы
|
по металлическим косоурам,
ступени железобетонные Сер.1.050.9-4.93 ГОСТ 8717.1-84
|
То же, с проведением
ремонтных работ
|
|
Антикоррозийная защита
конструкций
|
Окраска пентафталевой
эмалью ПФ-115 в 2 слоя по грунтовке ГФ-021 ГОСТ 6465-76 ГОСТ 25129-82
|
То же, с проведением
ремонтных работ
|
|
Огнезащита
несущих конструкций
|
Огнезащитный состав Nullifire S607 HB: - колонны, фахверк, вертик.связи R=90;
- балки перекрытия 1,2 этажей - REI=45; ООО "Полюс"
г. Москва
|
То же, с проведением
ремонтных работ
|
|
Инженерное оборудование
|
|
а) отопление
|
Централизованное
|
Централизованное
|
|
б) водопровод
|
Хозяйственно-питьевой
|
Хозяйственно-питьевой
|
|
в) канализация
|
Хозяйственно-фекальная в
наружную сеть
|
Хозяйственно-фекальная в
наружную сеть
|
|
г) газификация
|
нет
|
нет
|
|
д) электроснабжение
|
360/220 от наружной сети
|
360/220 от наружной сети
|
|
е) горячее водоснабжение
|
устройство горячего
водоснабжения от сети
|
устройство горячего
водоснабжения от сети
|
|
ж) телефонная антенна
|
Есть
|
Есть
|
|
з) противопожарная
сигнализация
|
По ГОСТ 26342-82
|
То же
|
.2 Оценка
технического состояния здания
Нормативный срок эксплуатации здания определяется по основным несущим
конструкциям (до реконструкции).
Фундамент - свайный, стены наружные - стеновые сэндвич-панели толщиной
150 мм, перекрытия - железобетонные многопустотные толщиной 220 мм.
Здание относится ко II группе капитальности с нормативным сроком
эксплуатации 150 лет.
Уровень ответственности здания определяем по [2]. Здание относится ко 2
группе ответственности - нормальный γn=1.0, поэтому в дальнейших расчетах
условно учитывать его не будем.
.2.1
Определение физического износа здания
Определение физического износа здания по срокам эксплуатации.
Здание было построено в 2010 году. На момент реконструкции фактический
срок службы составил:
Тэ = 2016 - 2010 = 6 лет,
где 2016 г. - год планируемой реконструкции;
г. - год постройки.
Физический износ определяем по [3]:
Фз = (Тэ / Т) ∙100, %, (1.1)
Фз= (6 / 150)∙100 % = 4 %
Данный метод является приближенным, т.к. не оценивает фактических
повреждений и дефектов конструкций. Его можно использовать для составления
планов обследования зданий. Для реконструкции здания требуется более точная оценка
технического состояния основных несущих конструкций.
Определение физического износа здания по удельным весам стоимости
конструкции
В процессе обследования конструкций здания были выявлены дефекты и
повреждения, на основании которых составлена таблица 1.2 физического износа
конструкций здания.
Таблица 1.2 - Физический износ конструкций здания
|
Наименование элемента
|
Признаки износа
|
Количественная оценка
|
Физ. износ, %
|
Примерный состав работ
|
|
1
|
2
|
3
|
4
|
5
|
|
1. Фундамент свайный
|
Мелкие трещины, местные
нарушения штукатурного слоя цоколя и стен
|
Ширина трещин до 1,5 мм
|
15
|
Затирка трещин
|
|
2. Стены панельные
|
Раскрытие замкового
соединения, некачественная установка фасонных элементов
|
Ширина раскрытия шва до 1
см
|
10
|
Закрытие продольных швов,
установка фасонных элементов согласно норм
|
|
3.Перегородки
|
Трещины в местах сопряжения
перегородок с потолками, редкие сколы
|
Трещины шириной до 2 мм.
Повреждения на площади до 10%
|
10
|
Заделка трещин и сколов
|
|
4.Перекрытия
|
Незначительное смещение
плит одной относительно другой по высоте вследствие деформаций, отслоение
выравнивающего слоя в заделке швов
|
Смещение плит до 1,5 см.
Повреждения на площади до 10%
|
15
|
Выравнивание поверхности
потолка
|
|
5. Кровля, крыша
|
Вздутия, коробления
верхнего слоя, трещины, разрывы верхнего слоя кровли, отслаивания в местах
сопряжения с вертикальными элементами, значительные протечки
|
--
|
65
|
Демонтаж всех слоев, замена
кровельного материала, устройство необходимых слоев
|
|
6. Полы
|
|
- линолеум
|
Протертости у входов, в
ходовых местах, порван в некоторых местах
|
Повреждения на площади до
10%
|
20
|
Замена на керамогранитные
плитки
|
|
- из керамических плиток
|
Отсутствие отдельных
плиток, местами вздутие
|
Повреждения на площади до
10%
|
15
|
Замена на керамогранитные
плитки
|
|
7. Окна
|
В некоторых стеклопакетах
на втором этаже присутствует вода
|
До 15%
|
15
|
Замена на новые
стеклопакеты
|
|
8. Отделочные покрытия
|
|
- окраска масляными
красками
|
Потемнение, загрязнение
окрасочного слоя, матовые пятна и подтеки
|
До 15%
|
15
|
Промывка поверхности и
покраска за 1 раз
|
|
- оклейка обоями
|
Трещины, загрязнения и
обрывы в углах и местах установки электрических приборов, дверных проемов,
обесцвечивание и потемнение рисунка
|
До 30 % площади
|
10
|
Оклейка отдельных мест
|
|
- плитка облицовочная
|
Мелкие трещины и сколы
плитки. Частичное выпадение или неполное прилегание плиток
|
На площади до 20 %
облицовки
|
15
|
Замена отдельных плиток
|
|
9. Система отопления
(центральное)
|
Массовое повреждение
трубопроводов (стояков и магистралей), сильное поражение ржавчиной, следы
ремонта отдельными, неудовлетворительная работа отопительных приборов и
запорной арматуры, их закипание; нарушение теплоизоляции трубопроводов
|
--
|
65
|
Полная замена системы
|
|
10. Система горячего
водоснабжения
|
Неисправность системы:
выход из строя запорной арматуры, смесителей, полотенцесушителей, следы
больших ремонтов системы в виде хомутов, частичных замен, заварок; коррозия
элементов системы
|
--
|
65
|
Полная замена системы
|
|
11. Система холодного
водоснабжения
|
Полное расстройство
системы, выход из строя запорной арматуры, большое количество хомутов, следы
замены отдельными местами трубопроводов, большая коррозия элементов системы,
повреждение до 30% смывных бачков
|
--
|
65
|
Полная замена системы
|
|
12. Система канализации и
водостоков
|
Неисправность системы;
повсеместные повреждения приборов; следы ремонтов (хомуты, заделка и замена
отдельных участков)
|
--
|
65
|
Полная замена системы
|
|
13. Система
электрооборудования
|
Неисправность системы:
проводки, щитков, приборов; отсутствие части приборов; оголение проводов,
следы больших ремонтов (провесы проводов, повреждения шкафов, щитков)
|
--
|
65
|
Полная замена системы
|
|
14. Лестницы
|
Выбоины и сколы местами в
ступенях, перила повреждены, лестничные площадки имеют трещины поперек
рабочего пролета
|
Ширина трещин до 2 мм
|
30
|
Заделка отбитых мест,
ремонт перил. Усиление железобетонных лестничных площадок
|
Физический износ здания определяем в табличной форме, таблица 1.3.
Таблица 1.3 - Физический износ здания
|
Укрупненные конструктивные
элементы здания
|
Удельный вес элемента по
сборнику 28, %
|
Удельный вес элемента по
приложению, %
|
Расчетный удельный вес
элемента %
|
Физический износ, %
|
|
|
|
|
По результатам обследования
|
Средне-взвешен. износ
|
|
1
|
2
|
3
|
4
|
5
|
6
|
|
1. Фундаменты
|
6
|
-
|
6
|
15
|
1
|
|
2. Стены
|
23
|
86
|
20
|
10
|
|
3. Перегородки
|
|
14
|
3
|
10
|
1
|
|
4. Перекрытия
|
8
|
-
|
8
|
15
|
1
|
|
5. Кровля
|
4
|
-
|
4
|
65
|
3
|
|
6. Окна
|
9
|
56
|
5
|
40
|
2
|
|
7. Двери
|
|
44
|
4
|
30
|
1
|
|
8. Полы: - линолеум -
керамическая плитка
|
12
|
80
|
8
|
20
|
2
|
|
|
20
|
4
|
15
|
1
|
|
9. Отделочные работы: -
окраска масляными красками - оклейка обоями - плитка
|
19
|
9
|
3
|
15
|
0,5
|
|
|
35
|
5
|
10
|
0,5
|
|
|
56
|
11
|
15
|
2
|
|
12. Инженерное оборудование
|
13
|
-
|
13
|
10
|
1
|
|
13. Лестницы Остальное
|
6
|
35
|
2
|
10
|
0,5
|
|
|
65
|
4
|
30
|
1
|
|
Итого
|
100
|
|
100
|
|
19,5
|
Заключение о состоянии здания по физическому износу.
По результатам обследования здания было выявлено, что состояние основных
несущих конструкций, кроме несущих конструкций кровли, находится в
работоспособном состоянии, поэтому в результате реконструкции проводим
усиление. Оценка состояния несущих конструкций производилась в соответствии с
[6]. Инженерное оборудование по физическому износу находится в работоспособном
состоянии, но в процессе реконструкции по решению заказчика выполняется замена
инженерного оборудования.
Окна, двери, полы и отделка находятся в работоспособном и ограниченно
работоспособном состояниях. При проведении реконструкции также производятся
ремонтные работы и частичная замена.
В целом физический износ составил 19,5%, поэтому реконструкция по
физическому состоянию допустима и может быть произведена в 2016 году.
.2.2
Определение морального износа здания
Моральный износ здания определяем в соответствии с [10].
Моральный износ здания определяется по трем показателям:
дефекты архитектурно-планировочного решения;
отсутствие отдельных видов инженерного благоустройства;
несоответствие материала конструкций современным нормативным требованиям.
Определение морального износа архитектурно-планировочных решений
выполняем в табличной форме, таблица 1.4.
Таблица 1.4 - Определение морального износа планировки
|
Наименование показателей
|
Нормативное значение
|
Фактическое значение
|
Отклонение от нормы
|
Моральный износ, %
|
|
1
|
2
|
3
|
4
|
5
|
|
1.Наличие утепленных
тамбуров на входе
|
Двойной тамбур
|
Имеется
|
Отсутствует
|
0%
|
|
2.Помещение для дежурного
|
3,5 м 2
|
Имеется
|
Отсутствует
|
0%
|
|
3.Наличие мероприятий
входной группы для маломобильных групп населения
|
Пандус, лифт
|
Имеется
|
Отсутствует
|
0%
|
|
4.Размер крыльца
|
1,2х 1,2; наличие навеса
над крыльцом
|
Имеется
|
Отсутствует
|
0%
|
|
5.Ширина коридоров
|
Не менее 1,2 м
|
Имеется
|
Отсутствует
|
0%
|
|
6.Ширина маршей лестниц
|
1,35 м
|
Имеется
|
Отсутствует
|
0%
|
|
7. Высота помещений от пола
до потолка
|
3,0 м
|
Имеется
|
Отсутствует
|
0%
|
|
8.Отметка пола помещения у
входа в здание
|
выше отметки тротуара перед
входом не менее чем на 0,15 м
|
Имеется
|
Отсутствует
|
0%
|
|
9.Минимальная площадь
отдельных помещений
|
Не менее 6 м 2
|
Имеется
|
Отсутствует
|
0%
|
|
10.Оптимальная этажность
здания
|
2 этажа - площадь свыше
1500 м 2
|
Имеется
|
Отсутствует
|
0%
|
|
11.Тип лестниц
|
Л 1, наличие естественного
освещения в стенах на каждом этаже
|
Имеется
|
Отсутствует
|
0%
|
|
12.Площадь проема для
освещения на лестничной площадке
|
1,2 м 2 на
каждом этаже
|
Имеется
|
Отсутствует
|
0%
|
|
13.Аварийных выход
|
Не менее 2
|
Имеется
|
Отсутствует
|
0%
|
Отсутствие отдельных видов инженерного благоустройства выполнено в
табличной форме, таблица 1.5.
Таблица 1.5 - Моральный износ инженерного оборудования здания
|
Наименование показателей
|
Фактическое значение
|
Отклонение от нормы
|
Моральный износ, %
|
|
1
|
2
|
3
|
4
|
|
1.Отопление
|
Имеется
|
Отсутствует
|
0%
|
|
2.Горячее водоснабжение
|
Имеется
|
Отсутствует
|
0%
|
|
3.Наличие оборудования для
маломобильных групп населения
|
Имеется
|
Отсутствует
|
0%
|
|
4.Наличие пожарной
сигнализации
|
Имеется
|
Отсутствует
|
0%
|
|
5.Наличие охранной
сигнализации
|
Имеется
|
Отсутствует
|
0%
|
|
6.Наличие неоновой рекламы
|
Не имеется
|
Присутствует
|
1%
|
Полный моральный износ составляет 1 %.
Отсутствие неоновой рекламы.
.2.3 Общее
заключение о техническом состоянии реконструируемого здания
По результатам обследования здания и определении физического износа по
удельным весам стоимости конструкции физический износ составляет 19,5%.
Моральный износ здания составляет 1%.
В целом состояние здания в соответствии с [5] находится в работоспособном
состоянии, в связи с протечками требуется ремонт кровли. Проведение
реконструкции данного объекта допустима.
.3
Объемно-планировочное решение здания после реконструкции
Реконструируемое здание пожарного депо в с. Молочное Вологодской области
имеет размеры в плане 128,4 х 36,0 м. Объемно-композиционное решение здания
образовано различными по функциональному назначению и этажности объемами:
одноэтажными объемами крытой беговой дорожки и гаража пожарной техники,
двухэтажными объемами административного блока и блока спортивных залов с
обслуживающими помещениями, а так же трехуровневым объемом тренировочной башни.
Назначение здания пожарного депо в с. Молочное Вологодской области -
обеспечение защиты населения и материальных ценностей с. Молочное и близлежащих
населенных пунктов от пожаров и других стихийных бедствий, а также проведение
учебно-тренировочных мероприятий по спортивно-пожарной подготовке.
Производственная зона здания образована помещениями гаража-стоянки, встроенной
мойки, подсобными, бытовыми и административными помещениями пожарной части. В
состав учебно-тренировочного комплекса, согласно технического задания входит
крытая 100-метровая беговая дорожка с учебно-тренировочной башней,
универсальный спортивный зал 30,0 х 21,0 м, два тренажерных зала и обслуживающие
помещения. Производственная зона с выездом пожарной техники имеет свою дворовую
территорию, учебно-тренировочный комплекс с главной входной группой
ориентирован на ул. Мира, что обеспечивает его доступность, минуя
производственную зону. Планировочным решением проекта предусмотрена доступность
инвалидов и маломобильных групп населения на 1 этаж учебно-тренировочного
комплекса, в т.ч. и возможность использования ими санузлов, раздевалок и
универсального спортивного зала.
Реконструируемое здание расположено в тихой зоне с. Молочное с низким
уровнем звукового давления, что не требует устройства мероприятий по защите от
шума.
Технико-экономические показатели здания пожарного депо приведены в
таблице 1.6
Таблица 1.6 - Технико-экономические показатели
|
Наименование
|
Ед. изм.
|
Показатели по проекту
|
|
1
|
2
|
3
|
|
Количество этажей
|
шт.
|
2
|
|
Общая площадь здания
|
м 2
|
3126,6
|
|
Строительный объем
|
м 3
|
18609,26
|
|
Площадь участка
|
м 2
|
16930,0
|
|
Площадь застройки
|
м 2
|
2651,14
|
|
Количество одновременно
занимающихся
|
чел.
|
30
|
|
Количество
производственного персонала
|
чел.
|
36
|
1.4
Конструктивное решение здания после реконструкции
Конструктивная схема здания пожарного депо в с.
Молочное Вологодской области - металлический рамный каркас.
В качестве ограждающей конструкции стен и покрытия приняты стеновые
сэндвич-панели производителя ООО "Стройпанель", стены подвала
выполнены из бетонных блоков.
Перекрытие подвала и первого этажа - ж/б многопустотные плиты покрытия.
Необходимая прочность, устойчивость и неизменяемость здания обеспечивается рамно-связевым
каркасом, дисками перекрытий.
Отметке 0.000 соответствует абсолютная отметка
+142.45.
Отметка низа пола подвала - 2.140м.
Защита металлических конструкций предусмотрена на основании требований
[7] по предварительно очищенной от окислов поверхности, грязи, масел, ржавчины.
Таблица 1.7 - Характеристика конструкций
|
Наименование конструкции
|
Характеристика конструкции
|
Обозначение
|
|
1
|
2
|
3
|
|
Фундамент
|
Свайный с монолитными ж/б
ростверками и фундаментными балками
|
Бетон В 15
|
|
Стены наружные
|
Стеновые трехслойные
сэндвич-панели толщиной 150мм
|
ООО "Стройпанель"
г. Санкт-Петербург
|
|
Стены внутренние
|
Стеновые трехслойные
сэндвич-панели толщиной 100мм
|
ООО "Стройпанель"
г. Санкт-Петербург
|
|
Перегородки
|
Поэлементной сборки из
гипсокартонных листов на металлическом каркасе
|
Сер.1.031.9-2.00 Вып.1
|
|
Перекрытие
|
Пустотные ж/б панели,
толщиной 220мм.
|
Серия 1.141-1
|
|
Кровля
|
Стеновые трехслойные
сэндвич-панели толщиной 200мм
|
ООО "Стройпанель"
г. Санкт-Петербург
|
|
Лестницы
|
Лестница по металлическим
косоурам, ступени железобетонные
|
Сер.1.050.9-4.93 ГОСТ
8717.1-84
|
|
Антикоррозийная защита
конструкций
|
Окраска пентафталевой
эмалью ПФ-115 в 2 слоя по грунтовке ГФ-021
|
ГОСТ 6465-76 ГОСТ 25129-82
|
|
Огнезащита
несущих конструкций
|
Огнезащитный состав Nullifire S607 HB: - колонны, фахверк, вертик.связи R=90;
- балки перекрытия 1,2 этажей - REI=45;
|
ООО "Полюс" г.
Москва
|
.4.1
Фундаменты
Здание пожарного депо выполнено на свайных фундаментах с монолитным
железобетонным ростверком.
Сваи выполнены сечением 350х 350 мм длиной 5,0 и 7.0 м. Соединение свай с
ростверком - жесткое. Крепление металлических колонн к ростверку фундамента
выполнено на болтах.
.4.2
Наружные стены
Наружные стены приняты в виде стеновых трехслойных сэндвич-панелей
толщиной 150 мм. Завод изготовитель ООО "Стройпанель" г. Санкт-Петербург.
Стены помещения пожарной техники приняты панелями ООО
"Стройпанель" толщиной 120мм.
1.4.3
Внутренние стены и перегородки
Внутренние стены приняты в виде стеновых трехслойных сэндвич-панелей
толщиной 100 мм. Завод изготовитель ООО "Стройпанель" г.
Санкт-Петербург.
Административно-бытовые помещения отделяются противопожарными
перегородками с обшивкой с обеих сторон гипсокартоном толщиной 12,5мм.
Перегородки гипсокартонные на металлическом каркасе системы "Knauf"
по [8] толщиной 100 мм. В противопожарных перегородках устанавливаются двери EI
60.
.4.4
Перекрытия
В качестве ограждающей конструкции стены приняты стеновые сэндвич -
панели ООО "Стройпанель", стены подвала выполнены из бетонных блоков.
Перекрытие подвала и первого этажа - ж/б многопустотные плиты.
.5 Отделка
фасада
Наружная отделка выполнена сэндвич-панелями ООО "Стройпанель".
Ведомость отделки фасадов предоставлена в графической части на листе 1.
.6
Противопожарные мероприятия
Несущие элементы каркаса здания покрыты огнезащитным составом Nullifire S607 HB ООО
"Полюс" г. Москва, согласно требований [9], для следующих
конструкций:
- колонны, стойки фахверка (R 90)
- толщиной сухого слоя без грунта 1,69м;
- балки перекрытия 1 этажа и подвала (REI 45) - толщиной сухого слоя без грунта 1,01мм.
1.7
Теплотехнический расчет ограждающих конструкций
Исходные данные
Тип работ - реконструкция.
Время строительства - 2010 г.
Тип здания - общественное.
Тип конструкции - наружная стена сэндвич-панель.
Температура внутреннего воздуха - +20,0 °C.
Место проектирования - Российская Федерация, Вологодская область, с.
Молочное.
Средняя температура наиболее холодной пятидневки - 32,0 °C.
Средняя температура отопительного периода (tоп) - 4,1 °C.
Продолжительность отопительного периода (Zоп) - 231 сут.
Градусов в сутки отопительного периода (ГСОП) - 5798,0 °C·сут.
Данные по слоям
Слой №1:
расчетный коэффициент теплопроводности - 58,000 Вт/(м.ос):
толщина слоя - 1 мм
Слой №2 (расчетный слой):
расчетный коэффициент теплопроводности - 0,052 Вт/(м.ос):
толщина слоя - 150 мм
Слой №3:
расчетный коэффициент теплопроводности - 58,000 Вт/(м.ос):
толщина слоя - 1 мм
Расчетное сопротивление конструкции: R0 =2,90 м2·°C/Bт.
Требуемое сопротивление исходя из санитарно-гигиенических условий: Rотр=1,30
м2·°C/Bт.
Требуемое сопротивление исходя из условий энергосбережения:отр=2,90
м2·°C/Bт.
1.7.1
Теплотехнический расчет наружной стены
Рисунок 1.1 - Конструкция стенового ограждения
Таблица 1.8 - Конструкция наружной стены
|
Название
|
Толщина, м
|
Теплопроводность материала,
Вт/(м.ос)
|
|
1
|
2
|
3
|
|
1. Оцинкованная сталь
|
d1 =
0,001
|
l 1= 58,000
|
|
2. Пароизоляция
|
d2 = 0,0005
|
l2 = 0,3
|
|
3. Минвата-50кг/м 3
|
d3 = 0,150
|
l3 =
0,047
|
|
4. Оцинкованная сталь
|
d4 =
0,001
|
l4 =
58,000
|
а) Определим требуемое сопротивление ограждающей конструкции Rотр
исходя из D (градусо-сутки отопительного
периода)
D = (tint - tht)· zht., (1.2)
где t int = 21 оС - температура
внутреннего воздуха для общественных учреждений;
t ext = -31 оС - температура
воздуха наиболее холодной пятидневки обеспеченностью 0,92;
tht = -4,1 оС - средняя температура периода со средней
суточной температурой воздуха в с. Молочное Вологодской области;
zht. = 231 - число суток отопительного периода в с. Молочное Вологодской
области.
D =
(21+4,1)·231=5798,1оС·сут.
Из табл. 3 [3] выпишем значения ГСОП и Rотр для общественных учреждений.
Таблица 1.9 - Значение ГСОП для общественных зданий
|
D
|
4000
|
6000
|
8000
|
|
Rотр
|
2,8
|
3,5
|
4,2
|
Rотр = 2,4 м2·оС/Вт
б) Фактическое термическое сопротивление наружных стен Rо:
Rо
= 1/aн + 1/aв + SRi, (1.3)
где aн = 23 (Вт /м2·оС)
- коэффициент теплоотдачи наружной поверхности ограждающей поверхности;
aв = 8,7 (Вт
/м2·оС) - коэффициент теплоотдачи внутренней поверхности
ограждающей поверхности;
SRi = S(di /li)
SRi - сумма термических сопротивлений многослойной ограждающей конструкции.
Rо
= 1/8,7 +
0,001/58 + 0,0005/0,3 +0,150/0,047 +0,001/58+1/23 =3,36 м2·оС/Вт.
R0=3,36
0,92=3,09
м2·оС/Вт.
Вывод:
По результатам теплотехнического расчета принят утеплитель Минвата - 50кг/м 3
толщиной 150 мм.
1.7.2
Теплотехнический расчет покрытия
Рисунок 1.2 - Конструкция покрытия
Таблица 1.10 - Конструкция чердачного перекрытия
|
Название
|
Толщина, м
|
Теплопроводность материала,
Вт/(м.ос)
|
|
1
|
2
|
3
|
|
1. Оцинкованная сталь
|
d1 =
0,001
|
l1 =
58,000
|
|
2. Пароизоляция
|
d2 = 0,0005
|
l2 = 0,3
|
|
3. Минвата-50кг/м 3
|
d3 = 0,200
|
l3 =
0,047
|
|
4. Оцинкованная сталь
|
d4 =
0,001
|
l4 =
58,000
|
а) Определим требуемое сопротивление ограждающей конструкции Rотр
исходя из D (градус - сутки
отопительного периода) по формуле (1.2),
где t int = 21 оС - температура
внутреннего воздуха для лечебных учреждений;
t ext = -32 оС - температура
воздуха наиболее холодной пятидневки обеспеченностью 0,92;
tht = -4,1 оС - средняя температура периода со средней
суточной температурой воздуха в с. Молочное Вологодской области;
zht. = 231- число суток отопительного периода.
D =
(21+4,1)·231=5798оС·сут.
Из табл. 3 [3] выпишем значения ГСОП и Rотр для общественных учреждений.
Таблица 1.11 - Значение ГСОП для общественных учреждений
|
D
|
4000
|
6000
|
8000
|
|
Rотр
|
3,7
|
4,6
|
5,5
|
Rотр = 4,415м2·оС/Вт
б) Фактическое термическое сопротивление перекрытия Rо находим
по формуле (1.3),
где aн = 23 (Вт /м2оС) -
коэффициент теплоотдачи наружной поверхности ограждающей поверхности;
aв = 8,7 (Вт
/м2·оС) - коэффициент теплоотдачи внутренней поверхности
ограждающей поверхности;
SRi = S(di /li)
SRi - сумма термических сопротивлений многослойной ограждающей конструкции.
Приведенная толщина бетона t=60мм
Rа.l=0,15 - термическое сопротивление
замкнутой воздушной прослойки при t=159мм по [4].
Rо
= 1/8,7 +
0,001/58 + 0,0005/0,3 + 0,001/0,17 + 0,18/0,047 + 0,001/0,58 + +1/23 = 3,96 м2·оС/Вт.
R0=3,96
0,92=3,64
м2·оС/Вт.
Rо = 3,64 м2·оС/Вт > Rтр
= 3,54 м2·оС/Вт
- условие выполняется.
Вывод:
По результатам теплотехнического расчета принят выбранный пирог кровли.
1.8
Внешняя и внутренняя отделка здания
Внешняя и внутренняя отделка представлена в таблице 1.12.
Таблица 1.12 - Внешняя и внутренняя отделка
|
Наружная отделка
|
|
1
|
2
|
|
Стены
|
Сэндвич - панели ООО
"Стройпанель"
|
|
Цоколь
|
Улучшенная штукатурка
|
|
Кровля
|
Сэндвич - панели фирмы ООО
"Стройпанель"
|
|
Металлические элементы
козырьков
|
Окраска масляной краской за
2 раза
|
|
Окна, двери, витражи
|
Пластиковые из ПВХ профилей
|
|
Покрытие парапетов, цоколя,
нащельники, обрамление проемов
|
Фасонные элементы ООО
"Стройпанель"
|
|
Внутренняя отделка
|
|
Стены
|
Шпатлевка, оклейка обоями,
облицовка глазурованной плиткой, окраска масляными красками и эмульсией ПВА,
сэндвич - панели.
|
|
Потолок
|
Подвесной типа
"Armstrong", сэндвич - панели
|
|
Полы
|
Бетонные, керамогранит,
керамическая плитка, линолеум, деревянные (спортзал)
|
1.9
Инженерное оборудование
Инженерное оборудование перечислено в таблице 1.13
Таблица 1.13 - Инженерное оборудование
|
Инженерное оборудование
|
|
1
|
2
|
|
а) отопление
|
Централизованное
|
|
б) водопровод
|
Хозяйственно-питьевой
|
|
в) канализация
|
Хозяйственно-фекальная в
наружную сеть
|
|
г) газификация
|
нет
|
|
д) электроснабжение
|
360/220 от наружной сети
|
|
е) горячее водоснабжение
|
устройство горячего
водоснабжения от сети
|
|
ж) телефонная антенна
|
Есть
|
|
з) противопожарная
сигнализация
|
По ГОСТ 26342-82
|
1.10
Описание генплана участка
.10.1
Характеристика земельного участка
Реконструируемое здание пожарного депо в с. Молочное Вологодской области
разделено планировочным решением на 2 функциональные зоны: производственную
(помещения пожарной части) и спортивно-тренировочную (помещения
учебно-тренировочного комплекса).
Производственная зона с выездом пожарной техники имеет свою дворовую
территорию и ориентирована на проектируемую улицу, согласно профилю которой для
функционирования пожарной части проектом предусматривается устройство проезда и
тротуара с выходом на ул. Мира. В свою очередь учебно-тренировочный комплекс с
главной входной группой ориентирован на ул. Мира, что обеспечивает его
доступность для посетителей, минуя производственную зону. Проектом
предусмотрено беспрепятственное передвижение по участку инвалидов и
маломобильных групп населения, а также их доступ в помещения
учебно-тренировочного комплекса.
Генпланом предусмотрены парковки для посетителей учебно-тренировочного
центра, парковки для легкового транспорта пожарной части, универсальная спортивная
площадка, площадка спортивных тренажеров, площадка для отдыха, площадка для
мусорных контейнеров. Реконструируемое здание расположено с соблюдением
санитарных и противопожарных разрывов. Проезд на территорию осуществляется с
юго-востока, со стороны ул. Мира.
Разбивка реконструируемого здания выполнена с помощью координатной
привязки. Посадка здания выполнена с учетом охранных зон от инженерных
коммуникаций.
Вертикальная планировка участка выполнена методом проектных горизонталей
в увязке с существующим рельефом, проездами и тротуарами. Соблюдены нормативно
допустимые уклоны территории, что обеспечивает отвод поверхностных и талых вод
со спланированной поверхности со скоростями, исключающими возможность эрозии
почвы, в запроектированные лотки;
Отметка полов 1-го этажа (0,000) назначена с учетом существующего
рельефа, и составляет + 142.45
Система координат - местная, система высот - Балтийская.
Комплекс мероприятий по благоустройству территории реконструируемого
здания направлен на создание комфортных условий для населения, отвечающих
утвержденным нормативам, и включает в себя следующие виды работ:
устройство проездов и тротуаров с асфальтобетонным покрытием и установкой
бортового камня;
организация понижения бордюрного камня в местах примыкания тротуаров и
автомобильных проездов;
озеленение всех свободных от застройки покрытий, площадок участков путем
посадки деревьев, кустарника, устройства газона с последующим засевом его
травосмесью из расчета 200 кг/га;
устройство необходимых площадок внешнего благоустройства различного
назначения с установкой на них малых архитектурных форм.
Общее число мусорных контейнеров на площадке составляет 2 шт.
На территории предусмотрены места для отдыха с установкой скамеек и урн.
При озеленении территории предусматривается высаживание деревьев и кустарников.
.11
Технико-экономические показатели земельного участка
Площадь участка - 16930 м 2.
Площадь благоустройства - 17102,86 м 2.
В том числе площадь дополнительного благоустройства
(за границей участка) - 2824,0 м 2.
Площадь застройки - 2651,14 м 2.
Площадь проездов и стоянок - 3877,6 м 2.
Площадь тротуаров - 2056,3 м 2.
Площадь отмостки - 291,5 м 2.
Площадь хоз.площадок - 8,0 м 2.
Площадь спортивных площадок - 2432,5 м 2.
Площадь озеленения - 8436,96 м 2.
Количество стоянок автомашин - 25а/м (343,8 м 2).
в т.ч. стоянки легкового транспорта пожарной части - 8 а/м;
стоянки для посетителей учебно-тренировочного комплекса - 17а/м.
2.
Расчетно-конструктивный раздел
.1
Проверочный расчет прогонов
.1.1 Сбор
нагрузки на покрытие здания
Сбор нагрузки выполняется в табличной форме, таблица 2.1.
Таблица 2.1 - Сбор нагрузки на покрытие здания, кН/м 2
|
Наименование нагрузки
|
Нормативная нагрузка, кН/м 2
|
γf
|
Расчетная нагрузка, кН/м 2
|
|
1
|
2
|
3
|
4
|
|
Постоянная
|
|
1.Гибкая черепица SHINGLAS
|
0,08
|
1,3
|
0,104
|
|
2.Подкладочный ковер SHINGLAS
|
0,03
|
1,3
|
0,039
|
|
3.Стеновая сэндвич-панель OOO
"Стройпанель" толщиной 200 мм
|
0,31
|
1,2
|
0,372
|
|
Итого (постоянная)
|
0,42
|
|
0,515
|
|
Временная
|
|
1.Снеговая с μ=1
|
1,68
|
1,4
|
2,4
|
|
Итого:
|
2,1
|
|
2,915
|
2.1.2
Определение коэффициента
снеговой нагрузки для зданий с перепадами по высоте
Полное расчетное значение снеговой нагрузки S на горизонтальную проекцию покрытия следует
определять по формуле
(2.1)
где
Sg = 2,4 кН/м2- расчетное значение веса снегового
покрова на 1 м2 горизонтальной поверхности земли для IV
снегового района;
m - коэффициент перехода от веса снегового покрова земли к
снеговой нагрузке на покрытие.
Для
зданий с перепадом высоты коэффициент m следует принимать
равным:
(2.2)
где
h - высота
перепада, м, отсчитываемая от карниза верхнего покрытия до кровли;
l’1; l’2
- длины участков верхнего (l’1)
и нижнего (l’2) покрытия, с которых переносится снег в зону перепада
высот, м;
т1; m2
- доли снега, переносимого ветром к
перепаду высот; их значения для верхнего (т 1) и нижнего (m2) покрытий.
Длину
зоны повышенных снегоотложений b следует принимать равной:
при
b = 2h, но не более 16 м;
при
но не более 5h и не более 16 м.
а)
Определение коэффициента
снеговой
нагрузки на нижнее покрытие в осях Б-В перепада по оси 9
Высота
перепада h=9,2 - 4,8=4,4 м;
Длины
участков: верхнего покрытия - l1/ =24,0 м, нижнего - l2/
=30,0 м;
Доли
снега, переносимого ветром к перепаду высот:
верхнего
покрытия -
, нижнего - т
2 = 0,5 k1 k2 k3,
где
;
;
.
Коэффициент
m не должен превышать:
,
где
s0=0,7·2,4=1,68
кН/м 2;
4
- если нижнее покрытие является покрытием
здания;
6
- если нижнее покрытие является навесом.
Принимаем
Длину
зоны повышенных снегоотложений:
Так
как
,
то
b=2·h=2·4,4=8,8
м
Коэффициент
m1 следует
принимать
.
Рисунок
2.1 - Определение снегового мешка в осях Б-В перепада по оси 9
.1.3
Проверочный расчет прогона в осях 8-9/Б-В
Принимаем в расчетах - швеллер №24 по ГОСТ 8240-89:
p=24
кг; h=240 мм; b=90 мм;
Wx=243 cм 3; Ix=2910 cм 4;
Wу=39,5 cм 3; Iу=248 cм 4
шаг прогонов - 3,0 м, материал прогонов - сталь С 245 (Rу = 240 МПа), уклон кровли - 0,25 (α≈140).
Рисунок
2.2 - К расчету прогонов из швеллера [ 24П
Средний
коэффициент в пределах прогона для снеговой нагрузки: µср=2,8
Постоянная
нормативная нагрузка на 1 м 2 горизонтальной проекции кровли:

(2.3)
Расчетная
постоянная нагрузка:

(2.4)
Нормативная снеговая нагрузка:

(2.5)
Расчетная снеговая нагрузка:

(2.6)
Суммарная линейная нагрузка на прогон при шаге прогонов 3,0 м равна:
нормативная:

(2.7)
где
qпр -
собственный вес прогона, кН/м.
расчетная:

(2.8)
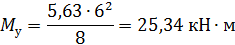
Составляющие
нагрузки по осям симметрии прогона:

(2.9)

(2.10)
Расчетные
изгибающие моменты равны:

(2.11)

(2.12)
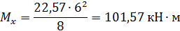
Проверка
прочности прогона:

(2.13)
1006
МПа>216 МПа
Условие
не выполняется, следовательно, прочность прогона не обеспечена.
Проверка
жесткости прогона:
Прогиб
прогона определяют от действия составляющей нормативной нагрузки:

(2.14)
Условие
выполняется, следовательно, жесткость прогона обеспечена.
2.1.4
Перерасчет прогона в осях 8-9/Б-В с уменьшенным шагом
Принимаем
в расчетах - швеллер №24 по ГОСТ 8240-89:
p=24 кг; h=240
мм; b=90 мм;
Wx=243
cм 3; Ix=2910
cм 4;
Wу=39,5 cм 3; Iу=248 cм 4
Так
как прочность прогонов не обеспечена - принимаем шаг прогонов 0,5 м, материал
прогонов - сталь С 245 (Rу = 240
МПа), уклон кровли - 0,25 (α≈140).
Средний
коэффициент в пределах прогона для снеговой нагрузки: µср=2,8.
Расчет выполняем по формулам 2.3 - 2.14.
Постоянная
нормативная нагрузка на 1 м 2 горизонтальной проекции кровли:
Расчетная
постоянная нагрузка:
Нормативная снеговая нагрузка:
Расчетная снеговая нагрузка:
Суммарная линейная нагрузка на прогон при шаге прогонов 1,5 м равна:
нормативная:
расчетная:
Составляющие нагрузки по осям симметрии прогона:
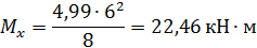
Расчетные изгибающие моменты равны:
Проверка прочности прогона:

212
МПа < 216 МПа
Условие
выполняется, следовательно, прочность прогона обеспечена.
Проверка
жесткости прогона:
Прогиб
прогона определяют от действия составляющей нормативной нагрузки:

Условие
выполняется, следовательно, жесткость прогона обеспечена.
.2 Расчет
усиления прогонов
.2.1
Описание конструкции усиления стальных прогонов
Проверочный расчет прогонов показал, что несущая способность конструкции
кровли не обеспечивается, поэтому необходимо ее усиление. В работе исследован
вариант усиления стальных прогонов, он заключается в конструировании ячеистой
балки, сечение которой представляет собой: нижний пояс - это существующие
прогоны, а верхний пояс из двух равнополочных уголков, соединение верхнего и
нижнего пояса производится с помощью металлических пластин (фасонок), для
которых в сэндвич-панелях прорезаются отверстия, к швеллерам и уголкам пластины
привариваются.
Таким образом, существующие прогоны освобождаются от снеговой нагрузки.
Нагрузка от снега будет приходиться на верхний пояс. Расчет выполнен в
соответствии с СП 16.13330.2011 "Стальные конструкции".
Рисунок 2.3 - Конструкция усиления стальных прогонов пролетом 6 м
Рисунок
2.4 - Конструкция усиления стальных прогонов пролетом 3 м
.2.2
Проверка несущей способности конструкции усиления стальных прогонов в осях 8 -
9 / Б - В
а) Исходные данные для определения нагрузок на покрытие здания:
Lбалки=6 м;
hбалки=0,64 м;
bпланки=0,3 м;
tпланки=0,01 м;
шаг планок - 1,0 м;
прогон - швеллер №24П:
p=24
кг; h=240 мм; b=90 мм;
Wx=243 cм 3; Ix=2910 cм 4;
Wу=39,5 cм 3; Iу=248 cм 4
шаг прогонов - 3 м;
сталь - С 245;
ρC245=7850 кг/м 3
Масса планки:
mпланки= hбалки· tпланки· bпланки· ρC245, кг (2.15)
mпланки =0,64·0,01·0,3·7850=15,07 кг
Масса уголка 100x10:
m└100x10=Lбалки·Р 1м.п., кг (2.16)
m└100x10=6·15,1=90,6 кг
Масса швеллера [24П:
m[24П= Lбалки·Р 1м.п, кг (2.17)
m[24П=6·24=144 кг
Масса ячеистой балки:
mбалки=nпланок· mпланки + nуголков · m└100x10+ m[24П, кг, (2.18)
где n - количество элементов, шт.
mбалки=6·15,07+3·90,6+144=506,22 кг - масса
балки
Масса 1 погонного метра балки:
m1п.м.= mбалки / Lбалки
(2.19)
m1п.м.=506,22 / 6=84,37 кг
b)
Сбор нагрузок
Таблица 2.2 - Сбор нагрузки на 1 п.м., кН/м 2
|
Наименование нагрузки
|
Нормативная нагрузка, кН/м2
|
γf
|
Расчетная нагрузка, кН/м2
|
|
1
|
2
|
3
|
4
|
|
Постоянная (нижний пояс)
|
|
1.Гибкая черепица SHINGLAS
|
0,08
|
1,3
|
0,104
|
|
2.Подкладочный ковер SHINGLAS
|
0,03
|
1,3
|
0,039
|
|
3.Стеновая сэндвич-панель OOO
"Стройпанель" толщиной 200 мм
|
0,31
|
1,2
|
0,372
|
|
4.Собственный вес ячеистой
балки
|
0,8437
|
1,05
|
0,89
|
|
Итого (нижний пояс)
|
1,2637
|
|
1,4
|
|
Постоянная (верхний пояс)
|
|
1.Профилированный лист Н
60-845-0,8, t=0,8 мм, ρ=8400 кг/м3 0,8·10-3·8400·(10)
|
0,0672
|
1,05
|
|
2.Ориентированно-стружечная
плита ОСП Kronoply (Германия) OSB3 Contifinish, t=9 мм, ρ=610 кг/м 3
|
0,0549
|
1,3
|
0,072
|
|
3.Гибкая черепица SHINGLAS
|
0,08
|
1,3
|
0,104
|
|
Временная (верхний пояс)
|
|
1.Снеговая с μ=2,8
|
4,704
|
1,4
|
6,59
|
|
Итого (верхний пояс)
|
4,91
|
|
6,84
|
|
ИТОГО:
|
6,17
|
|
8,24
|
Рисунок
2.5 - Схема нагрузок, действующих на балку в осях 8-9/Б-В
с) Определение геометрических характеристик сечения балки
Разбиваем сечение на простые фигуры:
. Швеллер №24П
z01=2,72 см
А 1=30,6 см 2
Ix1=2910
см 4
Iy1=248
см 4
Ix1·
Iy1=0
. Уголок 100х 10
z02=2,83 см
А 2=19,2 см 2
Ix2=178,95
см 4
Iy2=178,95
см 4
Ix2·
Iy2=110 см 4
. Пластина 300х 10
z03=0,5
см
А 3=30 см 2
Ix3=2250
см 4
Iy3=2,5
см 4
Ix3·
Iy3=0 см 4
Находим центр тяжести всего сечения относительно осей х 0у 0:
хс=

, см
(2.20)
ус=

, см,
(2.21)
где
А 1, А 2, А 3, А 4, А 5-
площади составных сечений
xn, yn - расстояние от центра тяжести составного сечения до осей х 0у
0.
хс=

ус=

Вычисляем
момент инерции всего сечения:
(2.22)
Оси
хс и ус не главные.
Находим
положение главных осей:
(2.23)
Находим
главные центральные моменты инерции сечения:
(2.24)
Находим
главные центральные моменты сопротивления сечения:
(2.25)
Выполняем
проверку. Находим тригонометрические функции
Проверяем
соотношение:
(2.26)
Проверка
выполнена, оси найдены верно.
Рисунок
2.6 - К определению геометрических характеристик всего сечения
d) d) Определение геометрических характеристик сечения верхнего пояса
балки
Рисунок
2.7 - К определению геометрических характеристик сечения верхнего пояса балки
Находим
центр тяжести сечения относительно осей х 0у 0 по
формулам 2.20 - 2.21:
Центр
тяжести составного сечения находится на расстоянии 71,7 мм от нижней грани.
Момент
инерции верхнего пояса:
Рисунок
2.8 - К определению геометрических характеристик сечения верхнего пояса балки
Вычисляем
момент инерции всего сечения:
(2.27)
Оси
хс и ус главные.
Находим
главные центральные моменты сопротивления сечения:
(2.28)
e) Определение геометрических характеристик сечения нижнего пояса балки
Рисунок 2.9 - К определению геометрических характеристик сечения нижнего
пояса балки
Находим центр тяжести сечения относительно осей х 0у 0
по формулам 2.21 - 2.22:
Вычисляем
момент инерции сечения по формуле 2.27:
Оси
хс и ус не главные.
Находим
положение главных осей:
Находим
главные центральные моменты инерции сечения:
(2.29)
Выполним
проверку:
Imax+Imin= Ix+ Iy
+947,18=4286,5+741,7
Проверка
выполнена, следовательно, оси найдены верно.
Находим
главные центральные моменты сопротивления сечения:
(2.30)
f) Расчетные
усилия, действующие на верхний пояс балки

(2.31)

(2.32)
F=q·d=19,983·1=19,983
кН
F/2=10 кН
Рисунок
2.10 - Схема расчетных усилий в верхнем поясе балки
g) Проверка несущей способности верхнего пояса балки
Прочность на изгиб определяется по формулам 2.33 - 2.34:
-
на расстоянии l=2,35
м (ближе к середине пролета)
Q1=10 кН
в
четверти пролета l=1,5 м
Q2=30 кН
у
опоры на расстоянии l=0,3 м
Q3=50 кН
Вывод:
Несущая способность верхнего пояса балки обеспечена!
h) Расчетные
усилия, действующие на нижний пояс балки
F=q·d=12,645·1=12,645
кН
F/2=6,32 кН
Рисунок
2.11 - Схема расчетных усилий в нижнем поясе балки
j) Проверка несущей способности нижнего пояса балки
- на
расстоянии l=2,35 м (ближе к середине пролета)
Q1=6,32 кН
в
четверти пролета l=1,5 м
Q2=18,97 кН
у
опоры на расстоянии l=0,3 м
Q3=31,6 кН
Вывод:
Несущая способность нижнего пояса балки обеспечена!
i) Расчетные
усилия, действующие в балке:
F=q·d=24,2·1=24,2
кН
F/2=12,1 кН
Рисунок
2.12 - Схема расчетных усилий в балке
k) Проверка прочности на изгиб всего сечения балки
на расстоянии l=2,35 м (ближе к
середине пролета)
Q1=12,1 кН
в
четверти пролета l=1,5 м
Q2=36,3 кН
у
опоры на расстоянии l=0,3 м
Q3=60,5 кН
Прочность
ячеистой балки в осях 8 - 9/Б - В на изгиб обеспечена.
Фактическое
касательное напряжение в I простенке:
Прочность
балки обеспечена.
Рисунок
2.13 - Эпюры касательных и нормальных напряжений в балке
Остальные
расчеты по усилению прогонов в других осях аналогичны.
После
выполненных расчетов было проведено технико-экономическое сравнение вариантов
усиления, которое представлено в таблице 2.3.
Таблица
2.3 - Сравнительный анализ вариантов усиления по весу и расходу материала
|
I вариант
|
II вариант
|
|
1
|
2
|
3
|
|
По весу материала, т
|
19,22
|
17,8
|
|
По стоимости материала, руб
|
844 368
|
481 797
|
I
вариант усиления - это вариант с уменьшением шага прогонов
II
вариант усиления - это конструирование ячеистой балки
В результате сравнения второй вариант получился дешевле на 43% и легче на
8%.
3.
Технологический раздел
.1 Область
применения
здание фундамент теплотехнический нагрузка
Технологическая карта разработана на устройство кровельного ковра из
гибкой черепицы "Shinglas".
Настоящая карта предусматривает устройство кровли из гибкой черепицы
"Shinglas" по плитам ОСП при уклоне
кровли 1,5-3% и включает следующие работы:
- очистка и сушка основания;
- устройство плит ОСП;
- монтаж гибкой черепицы.
Общие рекомендации
Обеспечить необходимый температурно-влажностный режим крыши можно только
в том случае, если ее конструкция включает в себя сплошную пароизоляцию,
необходимую для данного региона толщину утепления, ветроизоляцию и
вентилируемое подкровельное пространство. Допускается незначительное отклонение
в цветовых тонах, характерное для гибкой черепицы любого производителя. Для
минимизации тонального дисбаланса перед применением следует перемешать
содержимое 5-6 упаковок в случайном порядке. Монтаж необходимо производить
диагональными полосами. Если кровельные работы проводятся при температуре ниже
+5°С, упаковки с гибкой черепицей ТехноНИКОЛЬ SHINGLAS следует подавать из теплого
помещения по 5-6 пачек.
В одной упаковке ТехноНИКОЛЬ SHINGLAS серии КОНТИНЕНТ и ВЕСТЕРН
содержится 1,5 м 2 готовой кровли (с учетом нахлестов при монтаже
черепицы), ДЖАЗ и РАНЧО - 2 м 2, КАНТРИ - 2,6 м 2.
Упаковки остальных серий черепицы содержат по 3 м 2 готовой кровли.
При расчете необходимого количества рядовой черепицы следует учитывать
коэффициент, соответствующий уровню сложности крыши. Для гибкой черепицы
ТехноНИКОЛЬ SHINGLAS формы нарезки соната, аккорд и драконий зуб в сочетании с
коньково-карнизной черепицей необходимо предусматривать уровень отходности не
более 5%. В остальных случаях (для оформления стартовой полосы, ребер и коньков
крыши) уровень отходности составляет 10-15%. Расход специальных кровельных
гвоздей составляет порядка 80 г на м 2.
.2
Технология и организация выполнения работ
До начала кровельных работ на строительную площадку доставляется
оборудование, материалы и изделия, а также инвентарные средства безопасного
производства работ.) Работы по подготовке кровельного основания
Основание под укладку гибкой черепицы должно быть сухим, сплошным,
жестким и ровным; перепады по высоте не должны превышать 1-2 мм. Монтаж
крупнощитового настила рекомендуется вести с разбежкой швов и крепить ершенными
гвоздями или саморезами по дереву. При монтаже сплошного настила из фанеры либо
ОСП-3 между листами необходимо оставить 3-5 мм зазора для компенсации линейного
расширения. Для коллекций ВЕСТЕРН и КОНТИНЕНТ минимальная толщина
крупнощитового настила составляет 12 мм, для остальных серий минимальная
толщина - 9 мм, рекомендованная - 12 мм. Необходимо получить одобрение
проектировщика по шагу разреженной обрешетки под деревянный настил в
зависимости от района строительства здания или сооружения. При монтаже
сплошного деревянного настила следует обратить внимание на то, чтобы фрагменты
годовых колец были ориентированы выпуклостями вниз. Для укладки необходимо
сделать выборку из досок по толщине, чтобы толщина настила изменялась
постепенно, более толстые доски укладывают ближе к карнизному свесу. Стыки
досок по длине располагать на опорах, в местах стыков забивать не менее 4-х
гвоздей. При использовании влажной древесины окончания шпунтованных или
обрезных досок с каждой стороны крепятся на два самореза.) Укладка гибкой
черепицы ТехноНИКОЛЬ SHINGLAS
Общие рекомендации по монтажу гибкой черепицы ТехноНИКОЛЬ SHINGLAS
Не применять на одной и той же кровле продукцию с разными кодами цвета.
Для минимизации тонального дисбаланса перед применением следует перемешать
содержимое 5-6 упаковок в случайном порядке. Если кровельные работы проводятся
при температуре ниже +5°C, упаковки с гибкой черепицей ТехноНИКОЛЬ SHINGLAS
следует выдержать в теплом помещении при температуре +20°C не менее суток и
подавать для производства работ по 5-6 пачек. Самоклеющуюся полосу на плитке
необходимо дополнительно подогревать строительным (тепловым) феном при
температуре окружающей среды ниже + 5°С. Чтобы исключить повреждение
целостности кровли, резать материал на крыше следует на специально подложенной
дощечке. Во избежание появления пятен и следов от обуви не рекомендуется ходить
по кровле в жаркую солнечную и холодную влажную погоду. Для перемещения по
скату крыши следует использовать специальные лазы.
Каждая рядовая черепица крепится к основанию кровли с помощью специальных
оцинкованных гвоздей с широкими шляпками, количество которых зависит от угла
наклона ската. Правильное прибивание специальных гвоздей - очень важный момент.
Гвозди следует прибивать таким образом, чтобы шляпка находилась в одной
плоскости с поверхностью ТехноНИКОЛЬ SHINGLAS, а не врезалась в нее. Правильное
расположение гвоздей и их количество для каждой формы гибкой черепицы
ТехноНИКОЛЬ SHINGLAS. В форме нарезки
Драконий Зуб гвоздь одновременно должен крепить место нахлеста двух составных
частей черепицы. Для ориентира завод производитель наносит специальную
монтажную линию на лицевую поверхность ламинированной черепицы. По месту
монтажа следует убедится, что данное условие выполняется. Под коллекцию
КОНТИНЕНТ применять гвозди длиной 45 мм.) Фиксация стартовой полосы
В качестве стартовой полосы
применяется универсальная коньково-карнизная черепица либо выкройка из рядовой
черепицы (гонт с обрезанными лепестками). Карнизная черепица наклеивается
поверх подкладочного ковра с отступом от места перегиба 1-2 см и прибивается
гвоздями. Величина отступа зависит от длины и угла наклона ската. При
увеличении длины и крутизны ската, отступ от места перегиба металлической
карнизной планки также увеличивается. Выкройка из рядовой черепицы используется
под формы нарезки Трио, Бобровый хвост, Соната, Аккорд. При укладке тыльная
сторона в зоне отсутствия клейкого слоя промазывается мастикой ТехноНИКОЛЬ.
Далее укладывается аналогично монтажу коньково-карнизной черепицы. При форме
нарезки Драконий зуб и Континент стартовая полоса укладывается из рядовой
черепицы без предварительной обрезки. В этом случае используется метод монтажа
аналогичный способу укладки выкройки из рядовой черепицы.) Правила фиксации
первого и последующих рядов рядовой черепицы
На длинных скатах укладку
первого ряда рекомендуется производить с центра ската для удобства нивелировки
по горизонтали. Первый ряд укладывается с отступом от начальной полосы на 1-2
см. Монтаж необходимо производить диагональными полосами. Второй ряд
монтируется с центра ската со смещением влево или вправо на половину лепестка.
Прибивать гибкую черепицу ТехноНИКОЛЬ SHINGLAS необходимо таким образом, чтобы
нижний край лепестков находился на одном уровне с верхним краем вырезов в
первом ряде кладки. Третий ряд укладывается со смещением относительно второго
на половину лепестка влево или вправо в зависимости от первоначально выбранного
направления. Укладку черепицы начинать с центра ската, в виде полосы или
пирамиды. Для максимально эффективной защиты от косого дождя рекомендуется проклеивать
рядовую черепицу битумной мастикой ТехноНИКОЛЬ вдоль края крыши на величину 10
см в местах отсутствия самоклеющегося слоя. Верхние углы гибкой черепицы
ТехноНИКОЛЬ SHINGLAS, которые подходят к металлической фронтонной планке,
следует обрезать на 2-3 см для отбоя воды. При начале укладки необходимо
следить, чтобы стык стартовой черепицы не совпадал со стыком черепицы первого
ряда. При укладке гибкой черепицы серий ДЖАЗ, КАНТРИ и РАНЧО величина
горизонтального смещения гонтов последующего ряда относительно предыдущего
может варьироваться в интервале от 15 до 85 см. При этом не должно
прослеживаться определенного правила подбора рисунка. Рисунок готовой кровли
должен быть абстрактным.
Рисунок 3.1 - Формы нарезки для
различных серий
Обустройство кровельных
проходок
Герметизация нижних частей
кровельных проходок, антенн, труб коммуникаций осуществляется с помощью
специальных проходных эле- ментов. Если скат кровли заканчивается примыканием к
стене, в конце ската следует установить ливневой отбойник из металла с
антикоррозионным покрытием. При ширине трубы более 50 см должен быть
смонтирован разжелобок. Гвоздевыми соединениями фиксируются проходные элементы.
Ряды гонтов укладываются на проходной элемент, обрезаются и приклеиваются к
фланцу битумной мастикой ТехноНИКОЛЬ № 23 ФИКСЕР. Далее на проходной элемент
монтируется необходимый кровельный выход. Вентиляционные выходы ТехноНИКОЛЬ
выпускаются двух типов: неизолированные и изолированные (для использования в
регионах с продолжительными морозными периодами и использование для внутренней
вентиляции помещения и для канализации). На изолированный полиуретаном
вентиляционный выход не намерзает изнутри конденсат даже при длительных
морозах. Выходы канализации не рекомендуется оснащать колпаком, т.к. намерзание
конденсата внутри колпака приводит к ухудшению вентиляции. Для эстетического
выражения крыши допустимо использовать декоративный колпак без внутреннего
рассекания. Попадание при этом осадков или листьев в трубу не вызывает
неприятностей, т.к. все уходит в систему водоотведения здания и сооружения.
f) Рекомендации по уходу за кровлей
. Состояние кровли необходимо
проверять в весенний и осенний периоды.
. Удалять листья, ветки и
другой мелкий мусор с крыши рекомендуется мягкой щеткой. Использование острых
инструментов недопустимо.
. Предметы на кровле с
острыми углами необходимо удалять вручную.
. Для обеспечения свободного
стока воды с крыши необходимо по мере засорения производить чистку водосточных
желобов и воронок.
. В случае угрозы образования
большого слоя снега, его необходимо счищать, используя неострые деревянные
лопаты. Удалять снег с крыши нужно слоями, оставляя на кровле защитный слой
толщиной 10 см.
. С целью профилактики
необходимо выполнять проверку и, в случае необходимости, ремонт монтажных
проемов, отверстий, трещин и частей из металлических листов.
.3
Требования к качеству и приемке работ
Таблица 3.1 - Состав операций и средства контроля
|
Этапы работ
|
Контролируемые операции
|
Контроль (метод, объем)
|
Документация
|
|
1
|
2
|
3
|
4
|
|
Подготовительные работы
|
Проверить: - наличие акта
приемки на ранее выполненные работы;
|
Визуальный контроль
|
Акт, общий журнал работ
|
|
- очистку основания от
грязи, снега, наледи, обеспыливание;
|
Визуальный контроль
|
|
|
- установку маячных реек.
|
Визуальный, измерительный
|
|
|
Выполнение основных работ
|
Контролировать: -
отклонения поверхности основания;
|
Измерительный, технический
осмотр, не менее 5 измерений на каждые 70-100 м² поверхности или на участке меньшей площади в
местах, определяемых визуальным осмотром
|
Общий журнал работ
|
|
- отклонения плоскости
основания от заданного уклона (по всей площади);
|
Технический осмотр
|
|
|
- толщину элемента
конструкции;
|
"
|
|
|
- толщину грунтовки;
|
"
|
|
|
- влажность основания при
нанесении грунтовки;
|
Измерительный, технический
осмотр, не менее 5 измерений на каждые 50-70 м² основания
|
|
|
- прочность сцепления
грунтовки с основанием.
|
Технический осмотр
|
|
|
Приемка выполненных работ
|
Проверить: - соблюдение
заданных толщин, плоскостей, отметок и уклонов;
|
Технический осмотр
|
Акт освидетельствования
скрытых работ
|
|
- прочность сцепления
грунтовки с основанием;
|
Технический осмотр
|
|
|
- ровность поверхности
подготовки.
|
Технический осмотр
|
|
|
Контрольно-измерительные
инструменты: линейка, рулетка, отвес, уровень, двухметровая рейка.
|
|
Входной и операционный
контроль осуществляет мастер (прораб) в процессе работ. Приемочный контроль
осуществляют работники службы качества, мастер (прораб), представители
технадзора заказчика.
|
.4 Техника
безопасности
При устройстве кровель строго необходимо соблюдать правила по технике
безопасности, прилагаемые к инструкциям по эксплуатации соответствующих
механизмов.
К работам по устройству кровель из гибкой черепицы "Shinglas" допускаются лица не моложе 18
лет, прошедшие медицинское освидетельствование, специальную теоретическую и
практическую подготовку по существующим программам, сдавшие экзамены и
получившие удостоверения.
Независимо от производственного стажа кровельщики должны пройти вводный
(общий) инструктаж по технике безопасности, а также производственный инструктаж
непосредственно на рабочем месте.
На крышах зданий, где ведутся кровельные работы, должно быть оборудовано
не менее двух выходов.
Производство работ запрещается при дожде и ветре свыше 7 м/с.
Запрещается работать в промасленной одежде и курить на рабочем месте.
Здания, на крышах которых ведутся кровельные работы, следует ограждать.
Складировать на крыше кровельные материалы и инструменты можно только при
условии принятия мер против их падения или сдувания ветром.
Материалы подаются на крышу на инвентарные площадки. Допускается
складывать материалы на чердаке или на обрешетке в определенных местах и на
горизонтальных основаниях (с ножками, обрезанными по уклону), надежно закрепляя
их. Сбрасывать с крыши кровельные материалы, тару и инструменты запрещается.
При устройстве колпаков и зонтов на оголовках дымовых и вентиляционных
труб работы выполняются с подмостей. Пользоваться для этой цели приставными
лестницами запрещается.
Применять открытый огонь (костры) для приготовления и разогревания мастик
и других составов для кровельных работ, а также для обработки кровельных
материалов запрещается.
.5
Потребность в ресурсах
.5.1
Перечень основного оборудования и машин
Потребность в машинах и оборудовании принята по ГЭСН.
Перечень основного необходимого оборудования, машин, механизмов,
технологической оснастки, инструмента и приспособлений для монтажа гибкой
черепицы "SHINGLAS"
приведен в таблицах 3.2 - 3.3.
Таблица 3.2 - Машины и технологическое оборудование
|
Наименование технологического
процесса и его операций
|
Наименование машины,
технологического оборудования, тип и марка
|
Основная техническая
характеристика, параметр
|
Кол-во
|
|
Устройство кровли
|
Кран Галичанин
|
Грузоподъемность до 10 т
|
1
|
|
Растворосмеситель СО-46А
|
-
|
2
|
|
Передвижная кровельная
установка ПКУ-35
|
-
|
2
|
|
Горелка,
|
|
2
|
|
Котел битумный передвижной
|
|
2
|
|
Кран на автомобильном ходу
|
Грузоподъемность до 10 т
|
2
|
|
Автопогрузчик
|
Грузоподъемность до 5 т
|
2
|
|
Агрегат электронасосные с
регулированием подачи вручную для строительных растворов
|
подача до 2 м³/ч, напор 150 м
|
2
|
3.5.2
Применяемые материалы и комплектующие детали
Таблица 3.3 - Технологическая оснастка, инвентарь и приспособления
|
Наименование
технологического процесса и его операций
|
Наименование
технологической оснастки, инструмента, инвентаря и приспособлений, тип, марка
|
Основная техническая
характеристика, параметр
|
Кол-во
|
|
1
|
2
|
3
|
4
|
|
Строп 4-х ветвевой
|
|
2
|
|
Полутерок для разравнивания
цементно-песчаного раствора в углах
|
|
8
|
|
Рейка-правило для
разравнивания цементно-песчаного раствора
|
|
4
|
|
Лопата подборочная типа
ЛП-1
|
|
4
|
|
Уровень строительный УС
2-300
|
|
4
|
|
Кельма штукатурная КШ
|
|
4
|
|
Щетка для нанесения
грунтовки
|
|
4
|
|
Метла (l=,6 м)
|
|
2
|
|
Прокатка рулонных
материалов
|
Каток ручной СО-108
|
|
4
|
|
Нож кровельный для резки
рулонного материала
|
|
4
|
|
Рулетка измерительная
металлическая
|
|
6
|
|
Гребок деревянный для
разравнивания гравия
|
|
6
|
|
Щетка стальная
прямоугольная
|
|
6
|
|
Молоток
|
|
6
|
|
6
|
|
Безопасность труда
|
Инвентарное ограждение
кровли
|
|
2
|
|
Конус стандартный
|
|
6
|
|
Комплект противопожарных
средств (огнетушитель, лопата, багор, контейнер с песком).
|
-
|
4
|
3.6
Технико-экономические показатели
Технико-экономические показатели приведены в таблице 3.4
Таблица 3.4 - Технико-экономические показатели
|
Наименование показателя
|
Единица измерения
|
Количество
|
|
1
|
2
|
3
|
|
Объем работ
|
м 2
|
3015
|
|
Состав бригады
|
Чел
|
12
|
|
Продолжительность
выполнения работ
|
дни
|
20
|
|
Трудоемкость
|
чел-дн
|
1048.33
|
|
Выработка одного рабочего в
смену
|
м 2/чел-дн
|
1,6
|
Таблица 3.5 - Калькуляция затрат труда и машинного времени
|
Наименование
технологического процесса и его операций
|
Объем
|
Норма времени на ед.
|
Затраты труда и времени
|
|
ед.изм
|
Кол
|
чел-ч
|
маш-ч
|
чел-ч
|
маш-ч
|
|
1
|
2
|
3
|
4
|
5
|
6
|
7
|
|
Разгрузка кровельных
материалов
|
100 т
|
0,14
|
1,82
|
0,84
|
|
|
|
Устройство настила из ОСП
|
100 м 2
|
30,15
|
6,7
|
-
|
202,01
|
-
|
|
Предварительная раскладка
|
100 м 2
|
30,15
|
7,71
|
-
|
515,87
|
-
|
|
Устройство Shinglas
|
100 м 2
|
30,15
|
21
|
-
|
633,15
|
-
|
4.
Организационный раздел
.1 Общие
данные
Исходными материалами для составления ППР являются:
утвержденный ранее проект;
данные о поставке сборных конструкций, деталей, изделий и полуфабрикатов;
данные о поставке технологического, энергетического и другого
оборудования;
данные строительных и монтажных организаций о наличии парка машин и
механизмов, возможности его расширения и использования;
действующие нормативные документы: СНиПы, инструкции и указания по
производству и приемке строительных, специальных и монтажных работ, в т.ч. и по
охране труда в строительстве.
ППР на подготовительные работы выполняют в той же номенклатуре, что и для
основных работ, но в меньшем объеме.
При строительстве комплекса зданий разрабатываются сводные поточные
графики на весь объем строительства.
.1.1
Характеристика условий строительства
Здание реконструируется в с. Молочное Вологодской области. В результате
реконструкции выполняется усиление несущих конструкций кровли, устройство новой
кровли из гибкой черепицы.
Технико - экономические показатели земельного участка
Площадь участка - 16930 м 2.
Площадь благоустройства - 17102,86 м 2.
В том числе площадь дополнительного благоустройства (за границей участка)
- 2824,0 м 2.
Площадь застройки - 2651,14 м 2.
Площадь проездов и стоянок - 3877,6 м 2.
Площадь тротуаров - 2056,3 м 2
Площадь отмостки - 291,5 м 2
Площадь хоз. Площадок - 8,0 м 2
Площадь спортивных площадок - 2432,5 м 2
Площадь озеленения - 8436,96 м 2
Количество стоянок автомашин - 25а/м (343,8 м 2)
в т.ч. стоянки легкового транспорта пожарной части - 8 а/м
стоянки для посетителей учебно-тренировочного комплекса - 17а/м.
Вблизи от объекта проходят следующие инженерные сети: бытовая
канализация, теплосеть, водопровод, газопровод, высоковольтные и низковольтные
электросети на опорах.
Нормативная продолжительность реконструкции по [16] - 20 дней.
Транспортировка строительных конструкций и материалов производится
грузовым и специальным автотранспортом подрядной строительной организации.
Доставка на объект строительства основных материалов, конструкций и
деталей производится автомобильным транспортом.
В основании фундамента залегает суглинок. Уровень грунтовых вод (УГВ) по
данным изысканий на 3,2 м от поверхности земли.
.1.2
Природно-климатические условия строительства
Температура наружного воздуха наиболее холодных суток - 37о С.
Температура наружного воздуха наиболее холодной пятидневки - 320 С.
Нормативное давление ветра для I ветрового района - 0,23 кПа.
Вес снегового покрова для IV
снегового района - 2,4 кПа.
Нормативная глубина промерзания грунтов - 1,8 м.
Рельеф местности - ровный.
Средняя температура воздуха наиболее холодного периода - 4,1 о С.
Продолжительность зимнего периода - 231 сутки.
Преобладающие ветры - юго-западные.
.2
Описание методов выполнения основных СМР с указаниями по технике безопасности
Строительство проектируемого объекта осуществляется в два периода:
подготовительный и основной. Очередность осуществления строительства и методы
производства определяются подрядной строительной организацией.
.2.1
Подготовительный и основной периоды строительства
В состав подготовительного периода входят работы, связанные с подготовкой
строительной площадки:
ограждение строительной площадки;
монтаж инвентарных временных административно-бытовых зданий, создание
общего складского хозяйства на площадке строительства;
создание временной площадки для размещения бытового городка и временного
складирования материалов с последующим перебазированием на площадку
строительства;
инженерная подготовка территории строительства, планировка участка,
устройство временного дренажа поверхностных стоков;
устройство подъездных и внутриплощадочных дорог, прокладка сетей
водоснабжения, канализации, теплоснабжения и электроснабжения;
создание геодезической разбивочной основы для строительства.
Для внутрипостроечных нужд следует использовать существующие дороги и
временные внутрипостроечные дороги. Временные дороги - плиты ж/б. Ширина
временной дороги при одностороннем движении - 3,5 м, а в двух направлениях -
6,0 м. Скорость движения автотранспорта вблизи мест производства работ не
должна превышать 5-10 км/ч.
Временное освещение территории строительства предусматривается светильниками
или прожекторами, установленными на опорах. При устройстве временного освещения
строительной площадки и рабочих мест руководствоваться [34].
Во избежание доступа посторонних лиц строительная площадка ограждается
временным забором. Конструкции ограждения выполняются в соответствии с
требованиями [35]. Ограждения, примыкающие к местам массового прохода людей,
оборудованы сплошным защитным козырьком.
На территории строительной площадки предусмотрен полигон для
предварительной сборки и подготовки к монтажу металлических конструкций.
При организации строительной площадки необходимо руководствоваться
указаниями [36].
В состав основного периода строительства входят общестроительные и
специальные работы, наружные сети, благоустройство территории.
.2.2
Земляные работы
До начала производства земляных работ в местах, где расположены
действующие подземные коммуникации должны быть разработаны мероприятия по
безопасным условиям труда, а места расположения подземных коммуникаций на
местности должны быть обозначены соответствующими знаками или надписями.
Производство земляных работ в зоне действующих подземных коммуникаций
следует осуществлять под непосредственным руководством прораба или мастера, а в
охранной зоне кабелей, находящихся под напряжением, илидействующего
газопровода, кроме того, под наблюдением работников электро- или газового
хозяйства.
Грунт, извлеченный из котлована или траншеи, следует размещать на
расстоянии не менее 0,5 м от бровки выемки. Рытье котлованов и траншей с
вертикальными стенками без креплений в нескальных и незамерзших грунтах выше
уровня грунтовых вод и при отсутствии вблизи подземных сооружений допускается
на глубину не более 1 м, 1,50 м-в суглинках и глинах.
Односторонняя засыпка пазух у свежевыложенных подпорных стен и фундаментов
допускается после осуществления мероприятий, обеспечивающих устойчивость
конструкции, при принятых условиях, способах и порядке засыпки.
.2.3
Устройство фундаментов
При устройстве оснований и фундаментов земляные, бетонные и другие работы
должны выполняться с учетом требований [36], [37], [38], [39], [40], а также
соблюдаться требования нормативных документов по организации строительного
производства, технике безопасности, правилам пожарной безопасности и охране
окружающей среды.
Работы по устройству фундаментов должны производиться по проекту
производства работ, включающему данные о расположении в зоне производства работ
существующих подземных коммуникаций.
К производству земляных работ можно приступить только после привязки осей
и высотных отметок к имеющейся геодезической основе и закрепления необходимых
разбивочных знаков.
До начала работ по устройству фундаментов подготовленное основание должно
быть принято по акту комиссией с участием представителей заказчика и
подрядчика, а при необходимости - представителя проектной организации.
Разбивка осей фундамента должна производиться с закреплением относительно
осей здания.
При производстве работ по устройству фундаментов, руководствоваться
требованиями [38], [39].
Контроль качества и приемка работ должны осуществлять систематически
техническим персоналом строительной организации и выполняться представителями
авторского надзора и заказчика, с привлечением представителей строительной
организации.
Результаты контроля следует фиксировать записью в журнале производства
работ, актом промежуточной проверки или актом приемки скрытых работ.
.2.4
Монтаж здания
Возведение надземной части здания рекомендуется производить гусеничным
краном ДЭК-25. Этот же кран используется при разгрузке материалов и конструкций
с автотранспорта и подаче материалов на рабочие места.
При монтаже надземной части здания необходимо руководствоваться [19],
[39], а также соблюдаться требования нормативных документов по организации
строительного производства, технике безопасности, правилам пожарной
безопасности и охране окружающей среды.
Монтаж сэндвич-панелей производителя ООО "Стройпанель"
производства завода строительных биоконструкций "ARMAX" производить специализированной организацией.
.2.5
Общестроительные работы
Общестроительные работы делятся на следующие циклы:
устройство перекрытий;
устройство кровли;
установка сантехники;
монтаж оконных и дверных блоков;
установка приборов к дверям и окнам, остекление окон и дверей;
подготовка под окраску и окраска поверхностей;
устройство чистых полов.
Общая готовность здания к началу отделочных работ должна удовлетворять
требования [40].
Монолитные заделки в перекрытиях выполняют армированным бетоном класса В
15. Бетонная смесь, уложенная в плоские конструкции, должна уплотняться
вибраторами. Мероприятия по уходу за бетоном, порядок и сроки их проведения,
контроль за выполнением этих мероприятий, последовательность и сроки распалубки
конструкций должны устанавливаться проектом производства работ.
Необходимые отверстия в панелях для пропуска сетей инженерного
оборудования просверлить по месту, не нарушая несущих ребер. При пропуске труб
отопления и водопровода через перекрытие, в уровне перекрытия на каждой трубе
предусмотреть металлические гильзы из обрезков труб большего диаметра или
кровельной стали. Зазор между трубой и гильзой зачеканить паклей, смоченной в
гипсовом растворе. Зазор между гильзой и конструкцией перекрытия заделать
жестким цементно-песчаным раствором на всю толщину перекрытия.
Отделочные работы можно начинать выполнять после полного окончания работ
на первом этапе, а затем по мере завершения работ на захватках, расширять фронт
отделочных работ.
Водные составы при окраске стен и потолков рекомендуется наносить
механизированным способом. Масляную окраску стен и столярных изделий производить
кистями и валиком.
Качество применяемых отделочных материалов (лаки, краски, шпаклевки)
должно удовлетворять требованиям [40].
.2.6
Благоустройство территории
Мероприятия по благоустройству территории пожарной части выполняются
после окончания монтажа наружных сетей. В состав работ по благоустройству
входят: работы по устройству асфальтового покрытия для стоянок, проездов,
устройство газонов, а также установка скамеек, урн.
.2.7
Транспортные работы
Организация - владелец транспортных средств обязана обеспечить их
своевременное техобслуживание и ремонт.
Транспортировка длинномерных, тяжеловесных, крупногабаритных грузов
осуществляется на специализированном транспорте.
Груз должен быть размещен и закреплен в соответствии с техническими
условиями погрузки и крепления.
В зону материалов до начала работы должен быть доставлен запас материалов
на 2 часа работы, а в дальнейшем материалы подаются по мере их расходования.
Подача автомобиля задним ходом в зоне работ производится по команде
работающих.
.2.8 Строительный
генеральный план
Строительный генеральный план участка, являясь важным документом после
ППР, влияет на эффективность организации производства, поскольку в нем решаются
вопросы размещения и транспортировки строительных конструкций и материалов, что
отражается на производстве труда и себестоимости работ.
Стройгенплан разработан на основании архитектурно-строительного генплана
объекта, согласно техники безопасности в строительстве.
При проектировании стройгенплана предусмотрено:
ограждение стройплощадки;
наличие временных дорог;
размещение складских площадок в зоне действия крана;
размещение двух пожарных гидрантов на расстоянии < 150м друг от друга,
не далее 2 м от дороги с твердым покрытием.
Проектом предусмотрены бытовые временные помещения, которые обеспечивают
рабочих водоснабжением, канализацией, отоплением.
Электроснабжение осуществляется за счет трансформаторной подстанции,
установленной на объекте.
4.2.9
Указания по охране труда
При производстве строительно-монтажных работ необходимо строго соблюдать
правила техники безопасности в соответствии [41], [42] и требованиями [43],
[44].
Пожарная безопасность при строительстве и реконструкции зданий на
участках работ и рабочих местах должна быть обеспечена в соответствии с
Правилами пожарной безопасности при производстве строительно-монтажных работ и
Правилами пожарной безопасности при производстве сварочных и других огневых
работ на объектах народного хозяйства, утвержденными ГУПО МВД РФ.
Электробезопасность при строительстве здания на участках работ и рабочих
местах должна обеспечиваться в соответствии с требованиями [45].
Не допускается пользоваться открытым огнем в радиусе 50 м от места
применения и складирования материалов, содержащих легковоспламеняющиеся и
взрывоопасные вещества.
Строительная площадка должна быть оборудована комплектом первичных
средств пожаротушения - песок, лопаты, багры, топоры, огнетушители (пожарными
щитами).
Складирование материалов и конструкций должно осуществляться в
соответствии с требованиями стандартов или технических условий на материалы и
конструкции.
Подача материалов и строительных конструкций на рабочее место должна
выполняться механизированным способом и в технологической последовательности,
обеспечивающей безопасность работ.
Складировать материалы следует на рабочих местах так, чтобы они не
создавали опасность при выполнении работ и не стесняли проходы.
При подаче материалов, строительных конструкций следует применять
поддоны, контейнеры, тару и грузозахватные устройства, исключающие падение
груза.
Стропы, траверса и тара в процессе эксплуатации должны подвергаться
техническому осмотру в сроки, установленные требованиями Правил устройства и
безопасности эксплуатации грузоподъемных кранов, утвержденными
Госгортехнадзором РФ, а прочая технологическая оснастка - не реже, чем через
каждые 6 месяцев.
До начала производства земляных работ, действующие подземные коммуникаций
должны быть вынесены из под пятна застройки, разработаны и согласованы с
организациями, эксплуатирующими эти коммуникации, разработаны мероприятия по
безопасным условиям труда, а расположение подземных коммуникаций на местности
обозначено соответствующими знаками и надписями.
Производство работ в зоне действующих подземных коммуникаций следует
осуществлять под непосредственным руководством прораба или мастера, а в
охранной зоне кабелей, находящихся под напряжением или действующего
газопровода, кроме того, под наблюдением работников электро- или газового
хозяйства.
При рытье траншей, котлованов в местах, где проходит движение людей и
транспорта, устанавливают ограждение с предупредительными подписями, а в ночное
время - сигнальное освещение.
Загрузка автомашин производится с боковой или задней стороны кузова, а не
через кабину. Перемещение экскаватора с загруженным ковшом запрещается.
При выполнении бетонных и монолитных железобетонных работ следует
руководствоваться требованиями [39]. Опалубку необходимо изготовлять и
применять в соответствии с проектом производства работ. Заготовка и обработка
арматуры должна выполняться в специально предназначенных для этого и
соответственно оборудованных местах. Ежедневно перед укладкой бетона в опалубку
необходимо проверять состояние тары, опалубки и средств подмащивания.
При выполнении изоляционных работ с применением огнеопасных материалов, а
также выделяющих вредные вещества следует обеспечить защиту работающих от
воздействия вредных веществ.
При выполнении малярных работ с применением составов, содержащих вредные
вещества, следует соблюдать санитарные правила при красочных работах с
применением ручных распылителей, утвержденных Минздравом РФ.
Перед началом работ краном должны быть выполнены мероприятия по
безопасному устройству стройплощадки. На ее территории установить указатели
проездов и проходов. Опасные зоны должны быть ограждены, по их границе
установлены предупредительные знаки и надписи, видимые в любое время суток.
При подъеме, опускании и перемещении конструкций монтажникам следует
находиться за пределами опасной зоны со стороны, противоположной подаче их
краном.
Входы в здание должны быть защищены сплошным защитным навесом шириной 1,5
м.
Для обеспечения безопасности пешеходов в районе строительной площадки, в
работу монтажного крана вводятся ограничения по проносу грузов, для чего
устанавливается сигнальное ограждение и красные флажки, с ознакомлением крановщика,
строполя, производителя работ.
Безопасность работы крана в непосредственной близости к существующим
жилым домам и сооружениям обеспечивается следующими мероприятиями:
ограничение угла поворота стрелы в места приближения к существующим
зданиям и сооружениям;
ограничение вылета каретки грузового крюка в местах приближения к
существующим зданиям и сооружениям;
категорический запрет проноса груза в опасной близости над существующими
зданиями и сооружениями.
Все указанные основные мероприятия обеспечиваются путем установки на кран
приборов и устройств безопасности для ограничения рабочих движений крана и
автоматической остановки:
механизма подъема;
механизма поворота;
механизма изменения вылета.
.3 Расчет
численности персонала строительства
В персонал строительства входят:
рабочие основного и не основного производств;
ИТР (инженерно-технические работники);
МОП (младший обслуживающий персонал);
практиканты и ученики.
Численность рабочих основного производства определяется по эпюре движения
рабочих, построенная под календарным планом, как максимальная численность
рабочих в 1 смену.
Численность рабочих неосновного производства принимается в размере 20% от
численности рабочих основного производства.
Численность ИТР принимается в размере 6-8%, МОП - 4%, учеников и
практикантов - 5% от численности рабочих основного и не основного производства:
(4.1)
где
1,06 - коэффициент, учитывающий отпуска и невыходы по болезни
-
численность рабочих основного производства,
чел.;
-
численность рабочих не основного производства,
чел.;
-
численность инженерно-технических работников,
чел.;
-
численность работников младшего обслуживающего персонала,
чел.;
-
численность учеников (практиканты),
чел.
.4 Подбор
строительного крана
Минимальное требуемое расстояние от уровня стоянки крана до верха стропы:
,м, (4.2)
где
- превышение опоры монтируемого элемента над нулевой
отметкой, м;
-запас
высоты, м (принимается 0,5 м);
- высота
элемента, м;
- высота
строп, м.
Требуемый
вылет стрелы:
,м, (4.3)
где
е - половина толщины конструкции стрелы на уровне вероятных касаний, м
(ориентировочно 0,5 м);
d- минимальный
зазор между стрелой крана и конструкциями здания, м (принимаем 1м);
- высота
оси крепления шарнира стрелы на уровне стоянки крана, м (ориентировочно 1,5 м);
-
расстояние от оси вращения крана до оси шарнира крепления стрелы, м
(ориентировочно 1,5 м);
-
расстояние от крайней конструкции здания до центра тяжести монтируемого
элемента, м;
- высота
полиспаста, м (ориентировочно 1,5 м);
Необходимая
длина стрелы:
(4.4)
По этим данным подбираем кран КC-55713-1 "Галичанин" со стрелой
21,7 м и гуськом 9 м
4.5 Расчет
потребности в ресурсах
.5.1
Расчет потребности в электроэнергии
Электроэнергия при строительстве расходуется:
на питание силовых потребителей;
технологические нужды;
внутреннее освещение зданий и сооружений;
наружное освещение строительной площадки, дорог и т.д.
Требуемая мощность трансформаторной подстанции:
, кВт,
(4.5)
где 1,1 - коэффициент, учитывающий потери в сети;
k1, k2, k3, k4 - коэффициенты спроса, учитывающие несовпадение нагрузок: k1 = 0,5 - среднее для механизмов; k2 = 0,7; k3 = 0,8; k4 = 1;
,
,
- сумма
мощностей силовых потребителей, аппаратов, участвующих в технологических
процессах, приборов внутреннего и наружного освещения соответственно кВт;
-
коэффициенты мощностей, зависящие от загрузки потребителей;
Составляем
таблицу для потребителей энергии 4.1.
Таблица
4.1 - Потребители энергии
|
Наименование
|
Мощность, кВт
|
|
Технологические
потребители:
|
|
|
- вибратор глубинный
ИВ-117А
|
0,4
|
|
- виброрейка СО-132Н
|
0,6
|
|
- сварочный аппарат ТД-300
|
20
|
|
- растворонасос СО-496
|
4,0
|
|
Наружное освещение:
|
|
|
- прожектор ПКН-1000 с
лампой ПЖ-53
|
10
|
|
Внутреннее освещение:
|
|
|
Помещения временные
|
20,9
|
|
Итого
|
49,9
|
Определяем требуемую мощность:
Подбираем
трансформатор СКТМ - 100-6/10/0,4 - 100 кВт.
.5.2
Расчет потребности в тепле
Тепло на строительной площадке используется на отопление зданий или
технические нужды.
Общая потребность тепла для строительных нужд определяется:
,
кДж/час, (4.6)
где
- расход тепла на отопление пристройки;
- расход
тепла на технологические нужды;
-
коэффициент, учитывающий потери в сети;
-
коэффициент на учтенные расходы тепла
,
кДж/час, (4.7)
где
- коэффициент, зависящий от расчетной t
наружного воздуха
(
);
-
удельная тепловая характеристика здания, кДж/час∙м3∙град;
, кДж/час∙м3∙град
- объем
здания по наружному обмеру,
;
и
- расчетная температуры внутри помещения и снаружи, °С.
- зависит
от времени, вида и объема работ.
;
;
.
.5.3
Расчет потребности в воде
Вода на строительной площадке используется на хозяйственно-бытовые и
производственные нужды и пожаротушения.
, (4.8)
где
- зависит от площади застройки: до 30 Га-10л/сек.
, (4.9)
где
- расчетная численность персонала строительства;
- расход
воды на 1 работающего 20 л (с канализацией);
-
коэффициент, учитывающий количество моющихся,
;
-
продолжительность смены, час.
Расход
воды на производственные нужды:
, (4.10)
где
1,2 - коэффициент на неучтенные потребности;
-
коэффициент неравномерности водопотребления,
= 1,5;
-
суммарный расход воды в смену в метрах по норме,
= 300 л.
;
Диаметр
трубы временного трубопровода определяется:
;
(4.11)
где
- требуемый расход воды для нужд строительства, л/с;
-
скорость движения воды по трубопроводу,
= 2 м/с.
;
.
Принимаем
диаметр трубопровода Æ100 мм для подачи воды на площадку
.5.4
Расчет потребности в транспортных средствах
Требуемое количество машино-смен работы автотранспорта определяется по
формуле:
,
машино-мест, (4.12)
где
- количество перевозящегося груза, т;
-
сменная производительность транспорта, т/см.;
, т/см.,
(4.13)
где
- количество рейсов в смену;
-
паспортная грузоподъемность машины, т, для КАМАЗ-5510 q=9
т;
-
коэффициент использования грузоподъемности машины, в зависимости от вида груза.
Количество
рейсов в смену:
, (4.14)
где
- продолжительность смены,
=8 час;
-
нормативное время погрузо-разгрузочных работ;
= 0,62
(час);
= 5 км -
расстояние перевозки;
-
средняя скорость движения в условиях города -
= 20
км/ч.
Перевозка
металлических конструкций:
(4.15)
, рейса в
смену (4.16)
рейсов в
смену
.5.5
Определение площадей административно-бытовых помещений
Площадь бытовых помещений определяется из расчета 0,6 м2 на 1
работающего.
·0,6=12 м2
Общая площадь бытовых помещений: 12 м2
Площадь административно-конторских помещений определяется из расчета 4м2
на 1 сотрудника.
·4=16 м2
Общая площадь административно-конторских помещений: 16 м2
Потребная площадь уборных:
(0,7·20·0,1)·0,7+(1,4·20·0,1)·0,3=1,82 м2
где 0,7 и 1,4 -нормативные показатели площадей соответственно для мужчин
и женщин;
,7 и 0,3 - коэффициенты, учитывающие соотношение количества мужчин и
женщин.
Таблица 4.2 -
Расчет временных зданий и сооружений
|
Наименование зданий и
сооружений
|
Расчетная численность
персонала
|
Норма на одного чел-ка
|
Требуется
|
Принято
|
% одноврем. использующ.
|
Ед. изм
|
Кол-во
|
Ед. изм.
|
Кол-во
|
Марка
|
Кол-во
|
|
1
|
2
|
3
|
4
|
5
|
6
|
7
|
8
|
9
|
|
Проходная
|
-
|
-
|
м 2
|
6÷9
|
м 2
|
6÷9
|
Вагончик 3x3
|
1
|
|
Контора прораба
|
2
|
100
|
м 2
|
3
|
м 2
|
12
|
Вагончик 3x6
|
1
|
|
Помещение для обогрева
рабочих
|
21
|
100
|
м 2
|
0,1
|
м 2
|
2,1
|
Вагончик 3x6
|
1
|
|
Кладовая
|
-
|
-
|
м 2
|
15
|
м 2
|
15
|
Вагончик 3x6
|
1
|
|
Гардеробные с умывальными
|
21
|
70
|
м 2
|
0,5
|
м 2
|
15,5
|
Вагончик 3x6
|
3
|
|
Душевые
|
21
|
30
|
1 рожок
|
8 чел. 4 м 2
|
2 рожка
|
3 чел 12м 2
|
Вагончик 6x6
|
1
|
|
Туалет
|
21
|
100
|
1 очко
|
20чел 2 м 2
|
2 очка
|
21 чел 4 м 2
|
Вагончик 3x6
|
1
|
Расчет площадей складирования материалов
Максимальный суточный расход материалов определяется по формуле:
; (4.17)
где
- общая потребность в материале, в натуральных
единицах;
-
продолжительность работ с применением данного вида материала;
-
коэффициент неравномерности поступления материалов;
-
коэффициент неравномерности потребления материалов;
Запас
материала на складе определяется как произведение суточной потребности в
материале на запас материала на складе (в днях):
, (4.18)
где
- запас материала на складе, при автомобильных
перевозках принимается от 3х до 5ти дней.
|
1. Швеллеры стальные
|
-3дня
|
|
2. Профлист
|
-3дня
|
|
3. Гибкая черпица
|
-3дня
|
|
4. Плиты ОСП
|
-3дня
|
Определяем полезную площадь склада:
(4.19)
где
- запас материала на складе;
- норма
складирования материала.
-
коэффициент, учитывающий проходы на складах:
для
закрытых
= 0,5¸0,7;
для
открытых
= 0,4¸0,5;
Площадь складов с учетом коэффициента неравномерности потребления
материалов и изделий - 1,3 и коэффициента неравномерности поступления
материалов и изделий на склады - 1,1 (для автомобильного и железнодорожного
транспорта).
Определяем полезную площадь склада:
(4.20)
где
- запас материала на складе;
- норма
складирования материала (см. табл.4.5).
-
коэффициент, учитывающий проходы на складах:
для
закрытых
= 0,5¸0,7;
для
открытых
= 0,4¸0,5;
Закрытые отапливаемые помещения для краски, олифы, химикатов:
,875·20·1,3·1,1=25 м2
Для плит ОСП: 0,875·33·1,3·1,1=37 м2
Закрытые не отапливаемые помещения для противопожарного оборудования,
строительного инвентаря, металлической тары:
,875·6·1,3·1,1=7,5 м2
Для гидроизоляционных материалов: 0,875·28·1,3·1,1=35,04 м 2
Для битумной мастики: 0,875·13·1,3·1,1=16,3 м 2
Таблица 4.3 - Расчет площадей складирования материалов
|
Наименование изделий и
материалов
|
Ед. изм.
|
Потребность в материалах,
полуфабрикатах и изделиях
|
Запас материалов
|
Площадь склада, м 2
|
Вид склада
|
|
|
Максимальная.
|
Сут
|
Норма в дн.
|
Коэф. неравпотреблен.
|
Расчёт запаса мате-риалов
|
норма расчет. S
на ед. измер.
|
коэф.нерав. поступ
|
Потр. площадь
|
|
|
1
|
2
|
3
|
4
|
5
|
6
|
7
|
8
|
9
|
10
|
11
|
|
Металлоконструкции
|
т
|
9,4
|
0,63
|
15
|
1,3
|
0,8
|
3,3
|
1,1
|
22,9
|
откр
|
|
Гибкая черепица
|
м 3
|
52,74
|
50,3
|
10
|
1,3
|
65,4
|
3,2
|
1,1
|
23,2
|
откр
|
Открытые складские площадки определяются на основании нормативов запаса
материалов и изделий, нормативов площадей складов с учетом коэффициента
неравномерности потребления и неравномерности поступления материалов и изделий
на склады.
.6
Технико-экономические показатели проекта
Технико-экономические показатели представлены в таблице 4.3
Таблица 4.4 - Технико-экономические показатели
|
Обозначение
|
Единицы измерения
|
Количество
|
|
1
|
2
|
3
|
|
Площадь участка
|
м 2
|
16930
|
|
Площадь бытовых помещений
|
м 2
|
123
|
|
Площадь открытых складов
|
м 2
|
169,4
|
|
Площадь временной дороги
|
м 2
|
553
|
|
Длина временной дороги
|
п. м
|
158
|
|
Длина временного ограждения
|
п. м
|
115
|
|
Длина линии освещения
|
п. м
|
131
|
|
Длина временной канализации
|
п. м
|
11
|
|
Длина временного
водопровода
|
п. м
|
34
|
|
Площадь застройки
|
м 2
|
2651,14
|
5.
Техническая эксплуатация
.1
Контроль технического состояния здания в процессе эксплуатации
Контроль за техническим состоянием здания в течение всего срока
эксплуатации осуществляется при проведении осмотров здания [2].
Целью осмотров является установление возможностных причин возникновения
дефектов и выработка мер по их устранению. Плановые осмотры следует проводить:
общие, в ходе которых проводится осмотр здания в целом;
частичные - осмотры, которые предусматривают осмотр отдельных элементов
здания и инженерного оборудования.
Общие осмотры должны производиться два раза в год: весной и осенью (до
начала отопительного периода). Частичные осмотры будут проводиться в сроки,
указанные в таблице 5.1.
Таблица 5.1 - Периодичность проведения частичных осмотров
|
Элементы и помещения здания
и объекта
|
Периодичность осмотров,
мес.
|
Примечания
|
|
1
|
2
|
3
|
|
Крыши
|
3-6
|
|
|
Панели полносборных зданий
и межпанельные стыки
|
12
|
|
|
Железобетонные конструкции
|
12
|
|
|
Стальные закладные детали с
антикоррозийной защитой
|
Через 15 лет, затем через
каждые 3 года
|
|
|
Вентиляционные каналы
|
12
|
|
|
Внутренняя и наружная
отделка
|
6-12
|
|
|
Полы
|
12
|
|
|
Перила и ограждающие
решетки на окна лестничных клеток
|
6
|
|
|
Системы водопровода,
канализации, горячего водоснабжения
|
3-6
|
|
|
Системы центрального
отопления: в основных функциональных помещениях объектов коммунального и
социально-культурного назначения на чердаках, в подвалах (подпольях), на
лестницах
|
3-6 2
|
Осмотр проводится в
отопительный период
|
|
Тепловые вводы, котлы и
котельное оборудование
|
2
|
|
|
Электрооборудование:
скрытая электропроводка и электропроводка в стальных трубах светильники во
вспомогательных помещениях (на лестницах, в вестибюлях и пр.)
|
6 3
|
|
|
Системы дымоудаления и
пожаротушения
|
Ежемесячно
|
|
|
Внутридомовые сети,
оборудование и пульты ОДС
|
3
|
|
|
Лестницы, тамбуры,
вестибюли, подвалы, чердаки и прочие вспомогательные помещения объектов
коммунального и социально-культурного назначения
|
12
|
|
После ливней, ураганных ветров, обильных снегопадов проводят внеочередной
осмотр элементов зданий, а также в случае аварий на внешних линиях
оборудования, нарушающих условия нормальной эксплуатации.
При осмотрах проводят визуальный и инструментальный контроль
конструктивных элементов и инженерного оборудования.
Инструментальный контроль технического состояния конструкций и
инженерного оборудования необходимо проводить систематически в течение всего
срока эксплуатации здания во время плановых и внеочередных осмотров.
Перечень элементов, конструкций и технических систем здания, подлежащих
инструментальному контролю в процессе плановых и внеочередных осмотров здания,
следует принимать по таблице 5.2.
Таблица 5.2 - Инструментальный контроль элементов здания
|
Конструкция и измеряемый
параметр
|
Объем измерений
|
Периодичность
|
|
1
|
2
|
3
|
|
Отмостка
|
|
Уклон отмостки, %.
|
По периметру здания по
каждой стороне фасада в пяти местах.
|
|
|
Основания и фундаменты
|
|
Деформации оснований
фундаментов.
|
По периметру здания.
|
По мере необходимости. Для
жилых зданий, возведенных в особых условиях (вечномерзлые грунты,
закарстованные территории и др.), периодичность устанавливается проектной
организацией, но не реже 1 раза в год.
|
|
Стены
|
|
|
Ширина раскрытия трещин.
|
Осмотр всего фасада со
снятием измерений наиболее заметных повреждений.
|
|
Балконы и выступающие части
фасада
|
|
Уклон верха балконной плиты
(козырька). Ширина раскрытия трещин
|
Осмотр всех балконов,
козырьков и других выступающих частей, измерение наиболее заметных на глаз
повреждений. Осмотр, снятие измерений заметных повреждений
|
Первый осмотр через три
года после начала эксплуатации и далее по мере необходимости. Поведение
осмотров по мере необходимости
|
|
Подвал (техподполье)
|
|
Температура и влажность
воздуха.
|
В пределах одной секции
|
То же
|
|
Крыша
|
|
Температура и влажность
воздуха в чердачном помещении.
|
В пределах одной секции.
|
Ежегодно при весеннем
осмотре.
|
|
Жилые и подсобные помещения
квартир
|
|
Температура и влажность
воздуха. Объем воздуха, удаляемого из помещения через воздухоприемные
устройства (вентиляционные каналы).
|
В квартирах, где в течение
года имелись жалобы. То же.
|
То же. Ежегодно при
весеннем или осеннем осмотре
|
|
Лестничная клетка
|
|
Температура воздуха
|
В одной лестничной клетке
на площадках первого, среднего и последнего этажей.
|
Ежегодно
|
|
Закладные металлические
детали и связи крепления балконов, карнизных блоков, панелей наружных стен
|
|
Степень повреждения
коррозией.
|
Осмотр и измерение не менее
5 узлов на фасадах различной ориентации, включая места, подвергавшиеся
длительному увлажнению.
|
В период проведения полного
обследования.
|
|
Деревянные конструкции и
детали
|
|
Влажность древесины,
степень ее поражения
|
В одном из помещений или узлов
конструкции подвергшихся длительному увлажнению.
|
В период проведения полного
обследования.
|
|
Система отопления
|
|
Температура наружного
воздуха. Температура воды в подающем трубопроводе тепловой сети. То же, в
обратном трубопроводе Температура воды в подающем трубопроводе системы
отопления. Температура полотенцесушителей. Свободный напор у водоразборных
кранов Качество тепловой изоляции разводящей и циркуляционной магистралей,
стояков и теплотехнического оборудования То же, в обратном трубопроводе
Температура поверхности отопительных стояков у оснований (верхнего и
нижнего). Температура поверхности отопительных приборов температура
поверхности подводок (подающих и об ратных) к отопительным приборам.
|
В районе здания. На узле
теплового ввода (теплового пункта) до смесительного устройства (при его
наличии) или после вводной задвижки. На узле теплового ввода (теплового
пункта) после смесительного устройства (при его наличии) или перед вводной
задвижкой. На узле теплового ввода (теплового пункта) после теплового пункта
стояках. То же В квартирах верхнего этажа на наиболее удаленных от теплового
пункта стояках На узле теплового ввода (теплового пункта), чердак,
техническое подполье (подвал), контрольные квартиры устройства (при его
наличии) На узле теплового ввода (теплового пункта) до смесительного
устройства (при его наличии) Все стояки. По два замера с интервалом 5 мин. В
контрольных квартирах То же
|
2 раза в год, при весеннем
и осеннем (при пробном пуске) осмотрах 2 раза в год, при весеннем и осеннем
осмотрах 2 раза в год, при весеннем и осеннем осмотрах 2 раза в год, при
весеннем и осеннем осмотрах 2 раза в год, при весеннем и осеннем осмотрах 2
раза в год, при весеннем и осеннем осмотрах 2 раза в год, при весеннем и
осеннем осмотрах То же. То же. То же. То же.
|
|
Температура воздуха в
отапливаемых помещениях давление в подающем трубопроводе тепловой сети. То
же, в обратном. Давление в подающем трубопроводе системы отопления То же,
в обратном Качество тепловой изоляции поводящей магистрали главного стояка и
теплотехнического оборудования (по проекту)
|
То же. На узле теплового
ввода (теплового пункта) до смесительного устройства (при его наличии) или
после вводной задвижке. На узле теплового ввода (теплового пункта) после
смесительного устройства (при его наличии) или перед вводной задвижкой На
узле теплового ввода (теплового пункта) после смесительного устройства. На
узле теплового ввода Чердак или техническое подполье (технический чердак) в
зависимости от конструкции системы отопления (с верхней или нижней разводящей
магистралью); лестничная
|
То же. То же. То же.
То же. То же.
|
|
Система холодного
водоснабжения
|
|
Давление в подающем
трубопроводе. Свободный напор у водоразборных кранов
|
На узле ввода. В квартирах
верхнего этажа на наиболее удаленных от ввода стояков
|
То же То же
|
|
Система горячего
водоснабжения
|
|
Температура воды в подающей
магистрали тепловой сети То же, в обратном трубопроводе Температура горячей
воды, подаваемой на водоразбор
|
В местном тепловом пункте
здания. Четыре замера с интервалом 1 ч То же На выходе из водонагревателей II
ступени или на вводе в здание
|
2 раза в год, при весеннем
и осеннем (при пробном пуске) осмотрах. То же. То же.
|
|
Температура циркуляционной
воды. Температура сливаемой воды из водоразборных кранов.
|
То же, у нижних оснований
циркуляционных стояков. Контрольные квартиры и квартиры на наиболее удаленных
от ввода в здание.
|
То же. 2 раза в год, при
весеннем и осеннем осмотрах То же, а в последующие годы 1 раз в год.
|
Работы по содержанию общественных зданий включают:
Работы, выполняемые при проведении технических осмотров и обходов
отдельных элементов и помещений зданий:
устранение незначительных неисправностей в системах водопровода и
канализации;
устранение незначительных неисправностей в системах центрального
отопления и горячего;
устранение незначительных неисправностей электротехнических устройств;
регулировка и наладка систем вентиляции;
очистка и промывка водопроводных кранов;
регулировка и наладка систем автоматического управления инженерным
оборудованием;
проверка наличия тяги в дымовентиляционных каналах;
проверка целостности гидроизоляционного ковра плоской крыши;
проверка заземления оболочки электрокабеля, замеры сопротивления изоляции
проводов;
осмотр пожарной сигнализации и средств тушения;
осмотр системы инженерной защиты объектов и территории пожарного депо.
Работы, выполняемые при подготовке зданий к эксплуатации в весенне-летний
период:
промывка и опрессовка системы центрального отопления;
ремонт просевших отмосток.
Работы, выполняемые при подготовке зданий к эксплуатации в осенне-зимний
период:
утепление оконных проемов;
утепление входных дверей;
ремонт, регулировка и испытание систем центрального отопления;
утепление и прочистка дымовентиляционных каналов;
замена разбитых стекол окон и дверей;
утепление трубопроводов в подвальном помещении;
проверка состояния продухов в подвале;
ремонт и укрепление входных дверей.
Работы, выполняемые при проведении частичных осмотров:
проверка наличия тяги в вентиляционных каналах;
смена прокладок в водопроводных кранах;
прочистка внутренней канализации;
укрепление расшатавшихся санитарно-технических приборов, приборов в
местах их присоединения к трубопроводу;
набивка сальников в вентилях, кранах, задвижках;
мелкий ремонт изоляции;
протирка электролампочек, смена перегоревших электролампочек на
лестничных клетках, чердаках и в технических подпольях;
замена (исправление) штепсельных розеток и выключателей;
замена перегоревших фонарей наружного освещения;
устранение неисправностей полов залов и подсобных помещений (замена
отдельных плиток, заделка трещин, затирка швов).
Прочие работы:
подготовка здания к мероприятиям;
озеленение территорий, уход за зелеными насаждениями;
удаление с крыш снега и наледей;
очистка кровли от мусора, грязи, листьев;
уборка основных, подсобных и вспомогательных помещений;
уборка и очистка прилежащей территории;
мытье удаление пыли с окон, полов, лестничных маршей, площадок;
удаление мусора из здания и его вывоз.
5.2
Проведение текущих и капитальных ремонтов
Продолжительность эксплуатации до текущего и капитального ремонта указана
для нормальных и благоприятных условий эксплуатации [5]. При тяжелых условиях
эксплуатации в помещениях основного функционального назначения общественных
зданий продолжительность эксплуатации до капитального ремонта может быть
сокращена до 30%. Сроки проведения реконструкции зданий определяются
социальными потребностями и, как правило, совпадают со сроками капитального
ремонта. Рекомендованные сроки проведения текущего и капитального ремонта
представлены в таблице 5.3
Таблица 5.3 - Минимальная продолжительность эффективной эксплуатации
зданий
|
Виды жилых и общественных
зданий по материалам основных конструкций
|
Продолжительность, лет
|
|
до постановки на текущий
ремонт
|
до постановки на кап.
ремонт
|
|
1
|
2
|
3
|
|
Полносборные
крупнопанельные, блочные, со стенами из кирпича, естественного камня и т.п.,
с железобетонными перекрытиями и нормальными условиями эксплуатации (жилые
дома и здания с аналогичным температурно-влажностным режимом основных
функциональных помещений).
|
3-5
|
15-20
|
|
То же, с благоприятными
условиями эксплуатации при постоянно поддерживаемом температурно-влажностном
режиме (музеи, архивы, библиотеки)
|
3-5
|
20-25
|
|
Полносборные
крупнопанельные, блочные, со стенами из кирпича, естественного камня и т.п.,
с железобетонными перекрытиями и нормальными условиями эксплуатации (жилые
дома и здания с аналогичным температурно-влажностным режимом основных
функциональных помещений).
|
3-5
|
15-20
|
|
Здания со стенами из кирпича,
естественного камня и т.п. с деревянными перекрытиями; деревянные со стенами
из прочих материалов и нормальными условиями эксплуатации (жилые дома и
здания с аналогичным температурно-влажностным режимом основных функциональных
помещений).
|
2-3
|
10-15
|
|
То же, с благоприятными
условиями эксплуатации при постоянно поддерживаемом температурно-влажностном
режиме (музеи, архивы, библиотеки и т.п.).
|
2-3
|
15-20
|
|
То же, с тяжелыми условиями
эксплуатации при повышенной влажности, агрессивности воздушной среды, значительных
колебаниях температуры (бани, прачечные, бассейны, грязелечебницы и т.п.), а
также открытые сооружения (спортивные, зрелищные и т.п.).
|
2-3
|
8-12
|
5.2.1 Текущий ремонт здания
В соответствии с приложением 2 [15] текущие ремонты рекомендуется проводить
через 3-5 лет. Продолжительность проведения текущих ремонтов зависит от общей
площади здания, которая составляет: S=3126,6 м 2 .
Расчет продолжительности выполнен в табличной форме, таблица 5.4.
Таблица 5.4 - Расчет продолжительности текущего ремонта
|
Вид текущего ремонта
|
Единица измерения
|
Продолжительность, дн.
|
Фактическая
продолжительность, дн.
|
|
Плановый
|
1000 м2 общей
площади
|
22
|
69
|
|
Подготовка к эксплуатации в
весенне-летний период (с учетом наладочных работ)
|
1000 м2 общей
площади
|
5
|
16
|
|
Подготовка к эксплуатации в
зимний период
|
1000 м2 общей
площади
|
8
|
25
|
Расчет продолжительности выполняем по формуле:

(5.1)
При
выполнении текущего ремонта выполняются следующие виды работ.
Работы
по ремонту фундаментов:
заделка
и расшивка швов, трещин;
устранение
местных деформаций путем перекладки, усиления;
восстановление
участков гидроизоляции фундаментов;
пробивка
(заделка) отверстий, гнезд, борозд;
устройство
и проверка вентиляционных продухов
смена
или ремонт отмостки.
Работы
по ремонту стен:
заделка
трещин, ремонт стыков, восстановление защитного слоя;
пробивка
(заделка) отверстий, гнезд, борозд;
смена
элементов фасада (сэндвич-панели), укрепление, утепление;
восстановление
отдельных простенков, перемычек, карнизов.
Работы
по ремонту перекрытий:
временное
крепление перекрытий;
окраска
металлических элементов перекрытия;
Работы
по ремонту крыши:
все
виды работ по устранению неисправностей (кроме полной замены покрытия), включая
все элементы примыкания к конструкциям, покрытия парапетов, колпаки и зонты под
трубами;
укрепление
и замена водосточных труб и мелких покрытий по фасаду;
устройство
или восстановление слоя гидроизоляции.
Работы
по ремонту окон и дверей:
замена,
восстановление отдельных элементов, частичная замена оконных и дверных
заполнений;
замена
оконных и дверных приборов.
Работы
по ремонту лестницы:
заделка
выбоин, трещин ступеней и площадок;
замена
отдельных ступеней, проступей, подступенков;
частичная
замена и укрепление металлических перил.
Работы
по ремонту полов и внутренней отделки:
замена
отдельных участков покрытия полов;
замена
(устройство) гидроизоляции полов в отдельных санитарных узлах с полной заменой
покрытия
восстановление
штукатурки стен и потолков отдельными местами;
восстановление
облицовки стен и полов керамической и другой плиткой отдельными местами.
Работы
по ремонту наружной отделки:
укрепление
или восстановление облицовочных панелей;
Работы
по ремонту центрального отопления:
схема
отдельных участков трубопроводов, секций, отопительных приборов, запорной и
регулировочной арматуры;
утепление
труб, приборов, восстановление разрушенной теплоизоляции;
смена
при необходимости арматуры, контрольно-измерительных приборов;
промывка
радиаторов (по стояку) и в целом системы центрального отопления;
регулировка
и наладка систем центрального отопления.
Работы
по ремонту водопровода и канализации:
уплотнение
соединений, устранение течи, утепление, укрепление трубопроводов, ликвидация
засоров, смена отдельных участков трубопроводов, гидравлическое испытание
системы, ликвидация засоров;
смена
отдельных водоразборных кранов, смесителей, душей, запорной арматуры,
умывальников, унитазов;
замена
внутренних пожарных кранов.
Работы
по ремонту электроснабжения и электротехнических устройств:
замена
неисправных участков электрической сети здания.
замена
вышедших из строя электроустановочных изделий (выключатели, розетки),
светильников;
замена
предохранителей, автоматических выключателей, пакетных переключателей
вводно-распределительных устройств, щитов,
Работы,
связанные с внешним благоустройством:
восстановление
разрушенных участков тротуаров, проездов, наливных дорожек и площадок, отмосток
по периметру здания;
разработка
площадок для отдыха персонала;
устройство
и восстановление газонов, клумб, посадка деревьев и кустов, посев трав;
укрепление,
замена отдельных участков ограждений у площадок и навесов для
контейнеров-мусоросборников и т.д.;
восстановление
элементов и дорожной разметки территории стоянки автомашин.
Разные
работы:
регулировка
и наладка систем автоматического управления инженерным оборудованием, систем
диспетчеризации, дымоудаления и пожаротушения.
.2.2
Проведение капитального ремонта здания
Капитальный ремонт в реконструируемом здании рекомендуется проводить
через 15-20 лет.
Капитальный ремонт подразделяется на комплексный
капитальный ремонт и выборочный.
а) Комплексный капитальный ремонт - это ремонт с
заменой конструктивных элементов и инженерного оборудования и их модернизацией.
Он включает работы, охватывающие всё здание в целом или его отдельные секции,
при котором возмещается их физический и функциональный износ.
б) Выборочный капитальный ремонт - это ремонт с полной
или частичной заменой отдельных конструктивных элементов зданий и сооружений
или оборудования, направленные на полное возмещение их физического и частично
функционального износа.
Отнесение к виду капитального ремонта зависит от
технического состояния зданий, назначенных на ремонт, а также качества их
планировки и степени внутреннего благоустройства.
При проведении капитального ремонта следует применять
материалы, обеспечивающие нормативный срок службы ремонтируемых конструкций и
систем. Состав работ должен быть таким, чтобы после проведения капитального
ремонта здание полностью удовлетворяло всем эксплуатационным требованиям.
Выборочный капитальный ремонт проводится исходя из
технического состояния отдельных конструкций и инженерных систем путём их
полной или частичной замены.
Выборочные капитальные ремонты рекомендуется проводить в зависимости от
назначения конструкции в сроки, указанные в таблице 5.5.
Таблица 5.5 - Минимальная продолжительность эксплуатации конструкций и
продолжительность эксплуатации до капитального ремонта
|
Элементы зданий
|
Минимальный срок
эксплуатации в годах
|
Продолжительность
эксплуатации до капремонта в годах
|
|
1
|
2
|
3
|
|
А. Конструктивные элементы
и внутренняя отделка зданий
|
|
1. Фундаменты - свайные с железобетонными
ростверками
|
150
|
50
|
|
2. Стены - сэндвич-панели
|
100
|
40
|
|
3.Колонны металлические
|
150
|
80
|
|
4. Перекрытия - пустотные
железобетонные панели
|
125
|
80
|
|
5. Полы -из
керамогранитной плитки по бетонному основанию -из линолеума
|
80 20
|
30 10
|
|
6. Кровля: - гибкая
черепица - система водоотвода: система HUNTER
|
30 12
|
12 5
|
|
7. Перегородки: - гипсокартонные листы на металлическом карскасе
|
60
|
20
|
|
8.Окна и двери - Оконные
заполнения: - Дверные заполнения: входные внутренние двери
|
40 40 50
|
20 20 25
|
|
9. Внутренние отделочные
работы: облицовка керамическими плитками облицовка водными
составами в помещениях окраска безводными составами стен, потолков, полов
радиаторов, трубопроводов
|
30 3 5 3
|
15 2 2 3
|
|
Б. Инженерное оборудование
здания
|
|
11. Водопровод и канализация: - трубопроводы чугунные (канализация) - водоразборные краны -
трубопроводы оцинкованные (водопровод) - туалетные краны - умывальники
керамические - унитазы керамические - задвижки и вентили из чугуна -
водомерные узлы
|
40 15 30 5 20 15 8 15
|
30 5 25 5 10 10 8 15
|
|
12. Центральное отопление,
горячее водоснабжение: нагревательные приборы, радиаторы трубопроводы
горячей воды изоляция трубопроводов смесители вентили и пробковые краны из
латуни трубопроводы (стояки) трубопроводы (магистрали) задвижки вентили
|
40 30 10 10 15 30 20 10 10
|
25 15 10 8 12 25 12 8 8
|
|
13. Вентиляция: вытяжные каналы
|
30
|
15
|
|
14. Электрооборудование: электропроводка скрытая вводно-распределительные устройства
внутренние сети при скрытой проводке сеть освещения помещений производственно-технического
назначения
|
30 30 30 10
|
20 20 15 10
|
Из средств, выделенных на капитальный ремонт здания, выполняются
следующие виды работ:
обследование здания и изготовление проектно-сметной документации
(независимо от периода проведения ремонтных работ);
ремонтно-строительные работы по смене, восстановлению или замене
элементов здания (кроме полной замены каменных и бетонных фундаментов, несущих
стен и каркасов);
модернизация здания при их капитальном ремонте (перепланировка с учетом
расширения торговой площади за счет вспомогательных помещений);
полная замена существующих систем центрального отопления, горячего и
холодного водоснабжения;
благоустройство прилежащей территории (замощение, асфальтирование,
озеленение, устройство ограждений, оборудование хозяйственно-бытовых площадок);
утепление наружных ограждений здания (работы по улучшению теплозащитных
свойств ограждающих конструкций, устройство оконных заполнений с тройным
остеклением);
авторский надзор проектных организаций за проведением капитального
ремонта здания с полной или частичной заменой перекрытий и перепланировкой.
.3
Рекомендации по эксплуатации пожарного депо
Пожарное депо - объект пожарной охраны, в котором расположены помещения
для хранения пожарной техники и ее технического обслуживания, служебные
помещения для размещения личного состава, помещение для приема извещений о
пожаре, технические и вспомогательные помещения, необходимые для выполнения
задач, возложенных на пожарную охрану.
Рисунок 5.1 - Фасад пожарного депо в с. Молочное
Пожарные депо на территории производственного объекта должны
располагаться на земельных участках, примыкающих к дорогам общего пользования.
Выезды из пожарных депо должны быть расположены таким образом, чтобы выезжающие
пожарные автомобили не пересекали основных транспортных потоков. Требования к
пожарным депо устанавливаются нормативными документами по пожарной
безопасности: СНИП 21-01-97* "Пожарная безопасность зданий и
сооружений", Федеральный закон от 22.07.2008 N 123-ФЗ (ред. от 13.07.2015)
"Технический регламент о требованиях пожарной безопасности".
Пожарное депо - это целый комплекс строений, соединенных в единую
уникальную инфраструктуру. Из любого уголка дежурной части в случае тревоги
пожарный должен в считанные секунды добраться до оперативного блока, надеть
обмундирование, способное уберечь его от огня, сесть в машину и выехать к месту
пожара. На это отводится всего 1,5 минуты. Поэтому, комнаты отдыха пожарного
расчета находятся непосредственно над гаражом, причем именно над той машиной,
за которой закреплен тот или иной экипаж. В каждой комнате отдыха есть туалет и
душ - это очень важно. План расположения помещений, см. приложение 1.
Для каждой машины предусмотрен персональный просторный отапливаемый бокс
с удобными автоматическими воротами. Для безопасной и безотказной эксплуатации
машин, помимо гаража, есть несколько технических помещений для ремонта пожарных
машин.
Противопожарное
водоснабжение села Молочное
На территориях поселения имеются источники наружного и внутреннего
противопожарного водоснабжения.
К источникам наружного противопожарного водоснабжения относятся:
) наружные водопроводные сети с пожарными гидрантами;
) водные объекты, используемые для целей пожаротушения в соответствии с
законодательством Российской Федерации - река Вологда.
Противопожарный водопровод допускается объединять с хозяйственно-питьевым
или производственным водопроводом.
В водопроводе высокого давления стационарные пожарные насосы оборудованы
устройствами, обеспечивающими пуск насосов не позднее чем через 5 минут после
подачи сигнала о возникновении пожара.
Минимальный свободный напор в сети противопожарного водопровода низкого
давления (на уровне поверхности земли) при пожаротушении не менее 10 метров.
Минимальный свободный напор в сети противопожарного водопровода высокого
давления обеспечивает высоту компактной струи не менее 20 метров при полном
расходе воды на пожаротушение и расположении пожарного ствола на уровне
наивысшей точки самого высокого здания.
Установка пожарных гидрантов предусматривается вдоль автомобильных дорог
на расстоянии не более 2,5 метра от края проезжей части и не менее 5 метров от
стен зданий, пожарные гидранты допускается располагать на проезжей части.
Установка пожарных гидрантов на ответвлении от линии водопровода не
допускается.
Таблица 5.6 - Требуемый расход воды из водопроводной сети на наружное
пожаротушение в с. Молочное
|
Число жителей в поселении,
тысяч человек
|
Расчетное количество
одновременных пожаров
|
Расход воды на наружное
пожаротушение в поселении на один пожар, литров в секунду
|
|
|
Застройка зданиями высотой
не более 2 этажей независимо от степени их огнестойкости
|
Застройка зданиями высотой
3 и более этажа независимо от степени их огнестойкости
|
|
Более 5, но не более 10
|
1
|
10
|
15
|
Таблица 5.7 - Требуемый расход воды на наружное пожаротушение жилых и
общественных зданий с. Молочное
|
Наименование зданий
|
Расход воды на наружное
пожаротушение жилых и общественных зданий независимо от их степени
огнестойкости на один пожар, литров в секунду, при объеме зданий, тысяч
кубических метров
|
|
не более 1 тысячи
кубических метров
|
более 1 тысячи, но не более
5 тысяч кубических метров
|
более 5 тысяч, но не более
25 тысяч кубических метров
|
|
Жилые здания односекционные
и многосекционные при количестве этажей:
|
|
|
|
|
не более 2
|
10
|
10
|
-
|
|
более 2, но не более 12
|
10
|
15
|
15
|
|
Общественные здания при
количестве этажей:
|
|
|
|
|
не более 2
|
10
|
10
|
15
|
|
более 2, но не более 6
|
10
|
15
|
20
|
|
более 6, но не более 12
|
-
|
-
|
25
|
5.3.1
Требования к пожарной технике
Пожарная техника пожарного депо в с. Молочное обеспечивает выполнение
возложенных на нее функций в условиях пожара.
Конструктивное исполнение и используемые материалы пожарной техники
обеспечивают безопасность при транспортировании, хранении, эксплуатации и
утилизации пожарной техники.
Маркировка пожарной техники позволяет проводить идентификацию изделия.
Техническая документация на пожарную технику содержит информацию для
обучения персонала правилам эффективного применения пожарной техники.
Пожарная техника подвергается испытаниям на соответствие ее параметров
требованиям пожарной безопасности в соответствии с методами, установленными
нормативными документами по пожарной безопасности.
.3.2
Требования к огнетушащим веществам
Огнетушащие вещества должны обеспечивать тушение пожара поверхностным или
объемным способом их подачи с характеристиками подачи огнетушащих веществ в
соответствии с тактикой тушения пожара.
Огнетушащие вещества должны применяться для тушения пожара тех
материалов, взаимодействие с которыми не приводит к опасности возникновения
новых очагов пожара или взрыва.
Огнетушащие вещества должны сохранять свои свойства, необходимые для
тушения пожара, в процессе транспортирования и хранения.
Огнетушащие вещества не должны оказывать опасное для человека и
окружающей среды воздействие, превышающее принятые допустимые значения.
.3.3
Требования к пожарному инструменту
Пожарный инструмент в зависимости от его функционального назначения
должен обеспечивать выполнение:
) работ по резке, подъему, перемещению и фиксации различных строительных
конструкций;
) работ по пробиванию отверстий и проемов, дроблению строительных
конструкций и материалов;
) работ по закупорке отверстий в трубах различного диаметра, заделке
пробоин в емкостях и трубопроводах.
Ручной механизированный инструмент должен быть оснащен предохранительными
устройствами, препятствующими случайному попаданию в подвижные механизмы частей
тела человека или одежды. Органы управления механизированным пожарным
инструментом должны быть снабжены указателями, исключающими неоднозначное
толкование размещенной на них информации.
Конструкция механизированного и немеханизированного пожарных инструментов
должна обеспечивать возможность быстрой замены рабочих элементов.
Конструкция стыковочных узлов пожарного инструмента должна обеспечивать
быстрое и надежное их соединение вручную без применения ключей или другого
слесарного инструмента.
Конструкция пожарного инструмента должна обеспечивать электробезопасность
оператора при проведении аварийно-спасательных работ.
.3.4
Требования к дополнительному снаряжению пожарных
Дополнительное снаряжение пожарных (в том числе пожарные фонари,
тепловизоры, радиомаяки и звуковые маяки) в зависимости от его назначения
должно обеспечивать освещение места пожара, поиск очагов возгорания и людей в задымленной
атмосфере, обозначение месторасположения пожарных и выполнение других видов
работ при тушении пожара. При этом степень обеспечения выполнения указанных
функций должна характеризоваться показателями, необходимыми для выполнения
аварийно-спасательных работ.
.3.5 Общие
требования к пожарному оборудованию
Пожарное оборудование (пожарные гидранты, гидрант-колонки, колонки,
напорные и всасывающие рукава, стволы, рукавные разветвления, соединительные
головки, ручные пожарные лестницы) должно обеспечивать возможность подачи
огнетушащих веществ к месту пожара с требуемым расходом и рабочим давлением,
необходимым для тушения пожара в соответствии с тактикой тушения пожаров, а
также проникновения личного состава подразделений пожарной охраны в помещения зданий,
сооружений и строений.
.3.6
Требования к пожарным рукавам и соединительным головкам
Пожарные рукава (всасывающие, напорно-всасывающие и напорные) должны
обеспечивать возможность транспортирования огнетушащих веществ к месту пожара.
Соединительные головки должны обеспечивать быстрое, герметичное и прочное
соединение пожарных рукавов между собой и с другим пожарным оборудованием.
Прочностные и эксплуатационные характеристики пожарных рукавов и
соединительных головок должны соответствовать техническим параметрам
используемого пожарными подразделениями гидравлического оборудования.
.3.7
Требования к пожарным кранам
Конструкция пожарных кранов должна обеспечивать возможность открывания
запорного устройства одним человеком и подачи воды с интенсивностью, обеспечивающей
тушение пожара.
Конструкция соединительных головок пожарных кранов должна позволять
подсоединять к ним пожарные рукава, используемые в подразделениях пожарной
охраны.
В целом пожарное депо эксплуатируется в соответствии с нормами СНИП
21-01-97* "Пожарная безопасность зданий и сооружений", Федеральный
закон от 22.07.2008 N 123-ФЗ (ред. от 13.07.2015) "Технический регламент о
требованиях пожарной безопасности", со своей главной задачей - охраной
села Молочное от пожаров - справляется, требования, предъявляемые нормативными
документами, соблюдаются.
6.
Безопасность жизнедеятельности
.1 Расчет
времени эвакуации
Расчетное время эвакуации людей из помещений и зданий
устанавливается по расчету времени движения одного или нескольких людских
потоков через эвакуационные выходы от наиболее удаленных мест размещения людей
в соответствии с [44].
При расчете весь путь движения людского потока
разделяется на участки (проход, коридор, дверной проем, лестничный марш,
тамбур) длиной li и шириной δi. Начальными участками являются проходы между рабочими
местами, оборудованием, рядами кресел и т. п.
При определении расчетного времени длина и ширина
каждого участка пути эвакуации принимаются в соответствии
архитектурно-строительными решениями. Длина пути в дверном проеме равна нулю.
Проем, расположенный в стене толщиной более 0,7 м.
Также при расчете времени эвакуации необходимо
учитывать интервал времени от возникновения пожара до начала эвакуации людей, тнэ,
которое определяется в соответствии с таблицей 6.1.
Таблица 6.1 - Время задержи начала эвакуации
|
Тип и характеристика здания
|
Время задержи начала
эвакуации, мин, при типах систем оповещения
|
|
W1
|
W2
|
W3
|
W4
|
|
1
|
2
|
3
|
4
|
5
|
|
Административные, торговые
и производственные здания (посетители находятся в бодрствующем состоянии,
знакомы с планировкой здания и процедурой эвакуации)
|
<1
|
3
|
>4
|
<4
|
|
Магазины, выставки, музеи,
досуговые центры и другие здания массового назначения, (посетители находятся
в бодрствующем состоянии, но могут быть не знакомы с планировкой здания и
процедурой эвакуации)
|
<2
|
3
|
>6
|
<6
|
|
Общежития, интернаты
(посетители могут находиться в состоянии сна, но знакомы с планировкой здания
и процедурой эвакуации)
|
<2
|
4
|
>5
|
<5
|
|
Отели и пансионаты
(посетители могут находиться в состоянии сна, и быть не знакомыми с планировкой
здания и процедурой эвакуации)
|
<2
|
4
|
>6
|
<5
|
|
Госпитали, дома престарелых
и другие тому подобные заведения, (значительное число посетителей может
нуждаться в помощи)
|
<3
|
5
|
>8
|
<8
|
|
Примечание: Характеристика
системы оповещения W1 - оповещение и управление эвакуацией оператором; W2
- использование записанных заранее типовых фраз и информационных табло; W3
- сирена пожарной сигнализации; W4 - без оповещения.
|
Расчетное время эвакуации людей (tр)
определяется как сумма времени движения людского потока по отдельным участкам
пути ti по формуле
(6.1)
где
tн.э. - время задержки эвакуации, мин;
t1 - время движения людского потока на первом
(начальном) участке, мин;
t2,
t3,..., ti -
время движения людского потока на каждом из следующих после первого участка
пути, мин.
Время
движения людского потока по первому участку пути (t1) вычисляется по
формуле
(6.2)
где
l1 - длина первого участка пути, м;
v1, - значение скорости движения людского потока по
горизонтальному пути на первом участке, определяется по таблице 6.2 в
зависимости от плотности людского потока D, м/мин.
Таблица
6.2 - Площадь проекции человека
|
Характеристика движущегося
человека
|
Значение, м 2/чел.
|
|
1
|
2
|
|
Взрослый человек в домашней
одежде
|
0,1
|
|
Взрослый человек в зимней
одежде
|
0,125
|
|
Взрослый с ребенком на
руках
|
0,26
|
|
Взрослый с сумкой
|
0,16
|
|
Взрослый с чемоданом
|
0,35
|
|
Подросток
|
0,07
|
Плотность людского потока (D1) на первом участке пути
вычисляется по формуле
(6.3)
где
N1 - число людей на первом участке, чел.;
f - средняя площадь горизонтальной проекции человека, м
2/чел, принимаемая по таблице 1.2;
δ1, -
ширина первого участка пути, м
Скорость v1 движения людского потока на участках пути,
следующих после первого, принимается по таблице 1.3 в зависимости от значения
интенсивности движения людского потока по каждому из этих участков пути,
которое вычисляется для всех участков пути по формуле
(6.4)
где
δi, δi-1 -
ширина рассматриваемого i-гo и предшествующего ему участка пути, м;
qi, qi-1
- значения интенсивности движения людского потока по рассматриваемому i-му
и предшествующему участкам пути, м/мин, значение интенсивности движения людского
потока на первом участке пути (q=qi-1), определяемое по таблице
6.3 по значению D1.
Таблица 6.3 - Зависимость скорости и интенсивности
движения от плотности людского потока
|
Плотность потока D, м 2/м
2
|
Горизонтальный путь
|
Дверной проем,
интенсивность q, м/мин
|
Лестница вниз
|
Лестница вверх
|
интенсивность q, м/мин
|
|
скорость V, м/мин
|
интенсивность q, м/мин
|
скорость V, м/мин
|
интенсивность q, м/мин
|
|
1
|
2
|
3
|
4
|
5
|
6
|
7
|
8
|
|
0,01
|
100
|
1,0
|
1,0
|
100
|
1,0
|
60
|
0,6
|
|
0,05
|
100
|
5,0
|
5,0
|
100
|
5,0
|
60
|
3,0
|
|
0,1
|
80
|
8,0
|
8,7
|
95
|
9,5
|
53
|
5,3
|
|
0,2
|
60
|
12,0
|
13,4
|
68
|
13,6
|
40
|
8,0
|
|
0,3
|
47
|
14,1
|
15,6
|
52
|
15,6
|
32
|
9,6
|
|
0,4
|
40
|
16,0
|
18,4
|
40
|
16,0
|
26
|
10,4
|
|
0,5
|
33
|
16,5
|
19,6
|
31
|
15,6
|
22
|
11,0
|
|
0,6
|
27
|
16,2
|
19,0
|
24
|
14,4
|
18
|
10,6
|
|
0,7
|
23
|
16,1
|
18,5
|
18
|
12,6
|
15
|
10,5
|
|
0,8
|
19
|
15,2
|
17,3
|
13
|
10,4
|
13
|
10,4
|
|
0,9 и более
|
15
|
13,5
|
8,5
|
8
|
7,2
|
11
|
9,9
|
|
Примечание - табличное
значение интенсивности движения в дверном проеме при плотности потока 0,9 и
более, равное 8,5 м/мин, установлено для дверного проема шириной 1,6 м и
более, а при дверном проеме меньшей ширины δ интенсивность движения следует определять по
формуле q = 2,5 + 3,75δ.
|
Если значение qi,, меньше или равно
значению qmax, то время движения по участку пути (ti)
в минуту определяется по формуле (6.5). Значения qmax
принимается по таблице 6.4
Таблица 6.4 - Интенсивность движения людей
|
Вид пути
|
Интенсивность движения,
м/мин
|
|
1
|
2
|
|
Горизонтальный
|
16,5
|
|
Дверной проем
|
19,6
|
|
Лестница вниз
|
16
|
|
Лестница вверх
|
11
|
(6.5)
Если значение qi, определенное по формуле (6.4), больше
qmax, то ширину δi данного участка пути следует
увеличивать на такое значение, при котором соблюдается условие формулы
(6.6)
При
невозможности выполнения данного условия интенсивность и скорость движения
людского потока по участку пути i определяется по таблице 8.2 при
значении D=0,9 и более. При этом должно учитываться время задержки
движения людей из-за образовавшегося скопления.
При
слиянии вначале участка i двух и более людских потоков интенсивность
движения (qi,) вычисляется по формуле
(6.7)
где
qi-1 - интенсивность движения людских потоков, сливающихся в
начале i-го участка, м/мин;
δi-1 -
ширина участков пути слияния, м;
δi-
ширина рассматриваемого участка пути, м.
Если
значение qi, определенное по формуле (6.7), больше qmax,
то ширину δi
данного участка пути следует увеличивать на такую величину, чтобы соблюдалось
условие (6.6). В этом случае время движения по участку i определяется по
формуле (6.5).
Расчетное
время эвакуации определяется в следующей последовательности:
)
определяется наиболее длинный эвакуационный путь;
)
определяются параметры движения людского потока;
)
суммируется время движения по каждому участку;
Площадь
для расчета числа людей одновременно находящихся в пожарном депо принимается из
расчета 1,35 м 2 на человека.
Определим время эвакуации. Схема эвакуации
представлена на рисунке 6.1
Время задержки начала эвакуации принимается в
соответствие с таблицей 6.1 равным 3 минутам, так как в здании используются
записанные заранее типовые фраз и информационные табло.
Для определения времени движения людей по первому
участку, с учетом габаритных размеров кабинета, определяется плотность движения
людского потока на первом участке по формуле (6.3).
По таблице 6.3 скорость движения составляет примерно
76 м/мин, интенсивность движения 9,2 м/мин, т.о. время движения по первому
участку:
Длина
дверного проема принимается равной нулю. Наибольшая возможная интенсивность
движения в проеме в нормальных условиях qmах=19,6 м/мин, интенсивность движения в проеме шириной
1,3 м рассчитывается по формуле
qd = 2,5 + 3,75 ∙ δ, м/мин (6.8)
qd =2,5 + 3,75 ∙1,3 =
8,125 м/мин,
поэтому
движение через проем проходит беспрепятственно.
Время
движения в проеме определяется по формуле (6.5):
Для
второго участка считаем по формуле (6.7)
По
таблице 6.3 скорость движения составляет примерно 93 м/мин, интенсивность
движения 6,01м/мин, время движения по второму участку:
Следующую
часть пути рассчитываем как дверной проем, длину принимается равной нулю.
Наибольшая возможная интенсивность движения в проеме в нормальных условиях qmах=19,6
м/мин, интенсивность движения в проеме шириной 0,9 м рассчитывается по формуле
(6.8):
qd = 2,5 + 3,75 ∙0,9 =
5,88 м/мин,
поэтому
движение через проем проходит беспрепятственно.
Время
движения в проеме определяется по формуле
(6.9)
Для
третьего участка считаем по формуле:
По
таблице 6.3 скорость движения составляет 100 м/мин, время движения по третьему
участку:
На
четвертом участке:
По
таблице 8.2 скорость движения равняется 100 м/мин, поэтому время движения по
четвертому участку:
Для
пятого участка считаем по формуле:
По
таблице 6.3 скорость движения составляет 100 м/мин, время движения по пятому
участку:
Для
шестого участка считаем по формуле:
По
таблице 6.3 скорость движения составляет 100 м/мин, время движения по шестому
участку:
На седьмом участке происходит смешивание потоков
людей. Плотность вливающегося людского потока:
При
этом интенсивность движения составит около 15,6 м/мин.
Интенсивность движения на седьмом участке определяется
по формуле (6.7):
По
таблице 6.2 скорость движения равняется 53,5 м/мин, поэтому скорость движения
по седьмому участку:
Для
восьмого участка считаем по формуле:
По
таблице 6.3 скорость движения составляет 53,5 м/мин, время движения по восьмому
участку:
На девятом участке происходит смешивание потоков
людей. Плотность вливающегося людского потока А:
При
этом интенсивность движения составит 14,1 м/мин.
Плотность вливающегося людского потока Б:
При
этом интенсивность движения составит около 16 м/мин.
Плотность вливающегося людского потока В:
При
этом интенсивность движения составит 16,1 м/мин.
Интенсивность движения на девятом участке определяется
по формуле (6.7):
Проверяем
условие 6.6:
Для
определения скорости движения по наружной эвакуационной лестнице рассчитывается
интенсивность движения на третьем участке по формуле (6.4):
,
По таблице 6.3 скорость движения равняется 87,5 м/мин,
поэтому скорость движения по седьмому участку:
Расчетное
время эвакуации рассчитывается по формуле (6.1):
Допустимое
время эвакуации в зданиях II степени огнестойкости 2 минуты. Расчетное время найденное
по формуле 6.1 находится в рамках допустимого.
.2
Действия персонала в чрезвычайных ситуациях
Весь персонал независимо от занимаемой должности,
обязан четко знать и строго выполнять установленный порядок действий при угрозе
и возникновении ЧС мирного и военного времени и не допускать действий, которые
могут вызвать угрозу жизни и здоровью персонала (переменного состава,
посетителей и т.д.)
ЧС природного и техногенного характера могут
возникнуть внезапно или после различного по продолжительности периода угрозы
возникновения. Исходя из этого период угрозы возникновения ЧС, должен быть в
максимальной мере использован для предотвращения ЧС или уменьшения возможного
ущерба. С этой целью, исходя из режима функционирования территориальной или
местной подсистемы Единой государственной системы предупреждения и ликвидации
чрезвычайных ситуаций (РСЧС), малый объект также переводится в соответствующий
режим функционирования: в режим повышенной готовности или в чрезвычайный режим.
При ухудшении обстановки и получении информации об
опасности или угрозе возникновения ЧС временно прекратить выполнение
повседневных задач и сосредоточить все силы и средства на выполнении работ по
предотвращению или уменьшению последствий возникшей угрозы в соответствие с
таблицей 6.1.
Таблица 6.1- Мероприятия по предотвращению ЧС
|
Мероприятие
|
Время выполнения
|
|
1
|
2
|
|
В случае срабатывания
взрывного устройства
|
|
1
|
Немедленно приступить к
организации и производству аварийно-спасательных и других неотложных работ
(АСДНР), сообщить о факте взрыва оперативному дежурному Управления по делам
ГО и ЧС
|
Немедленно
|
|
При возникновении пожара
|
|
1
|
Немедленно сообщить о
возникновении пожара в пожарную охрану округа или города
|
немедленно
|
|
2
|
Организовать локализацию и
тушение пожара имеющимися силами и средствами
|
немедленно
|
|
3
|
Отключить подачу на объект
электроэнергии
|
Ч + 5 мин.
|
|
4
|
Эвакуировать людей
(постоянный, переменный состав, посетителей) из прилегающих к месту пожара
помещений
|
Ч + 15 мин.
|
|
5
|
Отключить вентиляционные
системы, кондиционеры, закрыть окна и двери в районе возникновения пожара для
предотвращения его распространения
|
Ч + 15 мин.
|
|
6
|
Начать вынос документации и
имущества из прилегающих к месту пожара помещений
|
немедленно
|
|
7
|
Организовать тщательную
проверку всех задымленных и горящих помещений с целью выявления пострадавших
или потерявших сознание сотрудников, обеспечить пострадавших первой
медицинской помощью и отправить их в ЛПУ
|
немедленно
|
|
8
|
Организовать встречу
пожарной команды, сообщить старшему пожарной команды сведения об очаге
пожара, принятых мерах и специфических особенностях объекта, которые могут
повлиять на развитие и ликвидацию пожара
|
по прибытию
|
|
9
|
Организовать охрану
вынесенного имущества
|
с момента выноса
|
|
10
|
Доложить о сложившейся на
объекте ситуации, количестве пострадавших и принятых мерах по ликвидации
пожара в Управление по делам ГО и ЧС округа, окружную комиссию по ЧС
|
Ч + 30 мин.
|
|
При аварии на
энергетических, инженерных и технологических системах объекта
|
|
1
|
Оповестить персонал объекта
(постоян., перемен. состав, посетителей) и организ-ть его вывод из опасной
зоны
|
Ч + 1 5 мин.
|
|
2
|
Доложить об аварии
дежурному по Управлению по делам ГО и ЧС округа и, при необходимости, вызвать
аварийные бригады соответствующих служб округа или города
|
Ч + 30 мин.
|
|
3
|
Выявить пострадавших при
аварии, оказать им первую медицинскую помощь и направить в ЛПУ
|
Ч + 1 час.
|
|
4
|
Организовать эвакуацию
имущества и документации из прилегающих к месту аварии помещений
|
по обстановке
|
|
5
|
Подготовиться к эвакуации
при необходимости персонала (постоянного, переменного состава, посетителей)
|
по обстановке
|
|
6
|
Доложить о сложившейся на
объекте ситуации, количестве пострадавших и принятых мерах по ликвидации ЧС в
Управление по делам ГО и ЧС округа, окружную комиссию по ЧС
|
Ч + 1.5 час.
|
|
При химическом заражении
(аварии с выбросом АХОВ)
|
|
1
|
Услышав сигнал
"Внимание всем" и речевую информацию, включить радио (телевизор),
прослушать сообщение по городу (округу) о факте и характере аварии,
немедленно оповестить персонал (постоянный, переменный состав,
посетителей)объекта.
|
по сигналу
|
|
2
|
Отключить вентиляционные
системы и, кондиционеры, закрыть и загерметизировать окна, двери, из
помещения никого не выпускать
|
Ч + 15 мин.
|
|
3
|
Выдать персоналу
противогазы, а при их отсутствии: при угрозе заражения аммиаком - повязки,
смоченные водой, 2% раствором лимонной или уксусной кислоты; при угрозе
заражения хлором -повязки, смоченные 2 % раствором пищевой соды
|
Ч + 20 мин.
|
|
5
|
При появлении и усилении в
помещениях объекта запаха посторонних веществ организовать выход персонала
(постоянного, переменного состава, посетителей) из зоны заражения
|
немедленно
|
|
6
|
После выхода из зоны
заражения при наличии пострадавших оказать им первую медицинскую помощь и
отправить ЛПУ
|
немедленно
|
|
7
|
Доложить о факте ЧС в
Управление по делам ГО и ЧС округа, окружную комиссию по ЧС
|
По сигналу
|
|
При радиоактивном заражении
территории
|
|
1
|
Постоянно прослушивать
городские программы радиовещания и телевидения для получения информации
Управления по делам ГО и ЧС по ситуации
|
постоянно
|
|
2
|
Оповестить персонал о
заражении территории объекта и прилегающей территории РВ
|
Ч + 5 мин.
|
|
3
|
Обеспечить периодические
запросы и получение информации об уровне РЗМ в районе объекта через
Управление по делам ГО и ЧС муниципального образования
|
постоянно
|
|
4
|
Отключить вентиляционные
системы и кондиционеры объекта и провести герметизацию помещений
|
Ч + 5 мин.
|
|
5
|
Аптекам по команде
Управления по делам ГО и ЧС при подтверждении необходимости Управлением
фармации КЗ выдать препараты стабильного йода в ДЕЗ для проведения йодной
профилактики населения
|
по согласованному графику
|
|
6
|
Сократить до минимума выход
персонала из помещений на открытую местность, в случае выхода применять
средства защиты органов дыхания и кожи. Режим поведения в сложившихся
условиях довести до персонала объекта
|
постоянно
|
|
7
|
Уточнить через Управление
по делам ГО и ЧС планируемую необходимость (целесообразность, возможность)
эвакуации персонала объекта (постоянный, переменный состав, посетителей) и
порядок дальнейших действий
|
периодически (постоянно)
|
|
При стихийных бедствиях
|
|
1
|
Организовать постоянное
наблюдение за состоянием окружающей среды и происходящими в ней изменениями
|
постоянно
|
|
2
|
Прекратить производственную
деятельность объекта, вывести посетителей за его территорию. Не допускать
паники среди персонала, запретить сотрудникам покидать служебные помещения
|
немедленно
|
|
3
|
Провести противопожарные
мероприятия, отключить всё неиспользуемое оборудование, организовать контроль
за состоянием всех помещений объекта
|
Ч + 10 мин.
|
|
4
|
При ухудшении обстановки
или угрозе затопления вывести материальные ценности и документацию из опасной
зоны
|
по обстановке
|
|
5
|
Организовать первую
медицинскую помощь пострадавшим и отправить их в ЛПУ. Организовать
жизнеобеспечение сотрудников объекта
|
постоянно
|
|
6
|
Обеспечить постоянную связь
Управлением по делам ГО и ЧС округа, окружной комиссией по ЧС
|
постоянно
|
|
При массовых пищевых
отравлениях и особо опасных ситуациях
|
|
1
|
В случае проявления
признаков группового отравления сотрудников или других инфекционных
заболеваний немедленно вызвать скорую медицинскую помощь
|
по факту
|
|
2
|
Оказать содействие бригаде
скорой медицинской помощи в оказании неотложной помощи пострадавшим
|
немедленно
|
|
3
|
Доложить о признаках
заболевания или инфекции в Управление по делам ГО и ЧС муниципального
образования, комиссию по ЧС
|
Ч + 10 мин
|
|
4
|
При появлении в округе
инфекционных заболеваний обеспечить строгое соблюдение сотрудниками объекта
противоэпидемических мероприятий и требований, предписанных Управлением
здравоохранения и Санитарно-эпидемиологической службой округа
|
Постоянно
|
Рисунок 6.1 - План эвакуации пожарного депо
7.
Экологический раздел
.1 Общие
сведения по накоплению твердых бытовых отходов
Рост современных городов, развитие промышленности и сельского хозяйства
приводят к ухудшению экологических условий проживания людей, особенно в городах
и населенных пунктах, в которых происходит наиболее интенсивное накопление
твердых бытовых отходов (ТБО). Ежегодный прирост ТБО, подлежащих сбору, вывозу
и утилизации, в среднем на городского жителя составляет 1 - 3 %.
Одной из приоритетных эколого-экономических проблем является размещение и
утилизация отходов. В настоящее время на каждого жителя Российской Федерации в
среднем образуется более 15 т твердых бытовых отходов (ТБО) в год. Учитывая
низкий уровень их утилизации, объемы накопления отходов постоянно возрастают,
что приводит к ухудшению экологической и санитарно-эпидемиологической
обстановки. Самым распространенным методом обращения с ТБО является их
захоронение на свалках или полигонах. Полигоны ТБО являются базовыми элементами
комплексной системы обращения с отходами и обеспечивают экологически безопасную
утилизацию отходов. Юридической основой для классификации ТБО служит
Федеральный классификационный каталог отходов (ФККО), утвержденный Приказом
Министерства природных ресурсов России от 02.12.2002 № 786. ФККО классифицирует
отходы по происхождению, агрегатному состоянию и опасности. В ФККО используется
термин "Твердые коммунальные отходы" код раздела 91000000 00 00 0.
Твердые коммунальные отходы относятся к 4 - 5 классам опасности.
Организация системы сбора и удаления отходов предполагает наличие
сведений об обслуживаемых объектах: степень благоустройства жилищного фонда,
этажность, численность населения, процент охвата населения планово-регулярной
системой вывоза ТБО, площади общественных и торговых зданий, численность
работающих, вместимость объектов (количество койко-мест, детей и),
периодичность вывоза отходов и т.д. Исходными данными для планирования
количества подлежащих удалению отходов являются нормы накопления ТБО. Только
имея достоверную информацию о количестве накапливающихся в населенном пункте
отходов, можно грамотно планировать всю цепочку -
сбор-транспонтировка-захоронение ТБО.
Норма накопления - это количество отходов, образующихся на расчетную
единицу (человек - для жилищного фонда; одно место в гостинице, 1 м 2 торговой
площади для магазинов и складов и т.д.) в единицу времени (день, год). Нормы
накопления определяют в единицах массы (кг) или объеме (л, м 3). К ТБО,
входящим в норму накопления от населения и удаляемым транспортом
спецавтохозяйства, относятся отходы, образующиеся в жилых и общественных
зданиях (включая отходы от текущего ремонта квартир), отходы от отопительных
устройств местного отопления, смет, опавшие листья, собираемые с дворовых
территорий, и крупные предметы домашнего обихода при отсутствии системы
специализированного сбора крупногабаритных отходов.
Работы по уточнению норм накопления твердых бытовых отходов целесообразно
проводить каждые 5 лет.
.2 Правила
организации сбора, временного хранения и планово-регулярного вывоза твердых
бытовых отходов
.2.1 Общее
положение
Для обеспечения необходимого санитарного состояния городских территорий и
более эффективного использования парка мусоровозного транспорта, сбор и
удаление твердых бытовых отходов должен осуществляться по планово-регулярной
системе с периодичностью по согласованию с санитарными органами.
Основным способом сбора и удаления твердых бытовых отходов из
домовладений является система несменяемых контейнеров.
Сбор бытовых отходов и ответственность за санитарное содержание
территорий домовладений, предприятий и организаций возлагается на руководителей
этих организаций, а регулярное удаление твердых бытовых отходов - на
спецавтохозяйство.
Отходы, образующиеся при строительстве, ремонте реконструкции жилых и
общественных зданий, а также объектов культурно-бытового назначения, вывозятся
транспортом строительных организаций. Неутилизируемые отходы промышленности
вывозятся транспортом предприятий на специальные сооружения или полигоны для
обеззараживания и захоронения.
.2.2
Организация сбора и временное хранение твердых бытовых отходов
Жилищно-эксплуатационные организации, учреждения и предприятия
культурно-бытового назначения, ответственные за организацию сбора, временного
хранения и санитарное состояние территорий, обязаны:
обеспечить устройство постоянных площадок под контейнеры;
своевременно заключать договоры на вывоз бытовых отходов и осуществлять
контроль за их исполнением;
принимать участие в разработке графиков работы мусоровозного транспорта,
осуществлять контроль за их выполнением и своевременно (телефонограммой)
сообщать диспетчеру и мастеру спецавтохозяйства о случаях несвоевременного
вывоза бытовых отходов;
7.3
Предотвращение загрязнения грунта и грунтовых вод при строительстве и
эксплуатации общественных сооружений
Обычно строительству сопутствует большой объем строительных отходов,
часть которых вывозят на расположенные вокруг населенных пунктов свалки и
сжигают, часть сжигают непосредственно на стройке или закапывают в грунт. При
сжигании отходов загрязняется воздух, а отходы, вывезенные на свалки или
закопанные на стройплощадке, загрязняют почву и воду. Процесс обезвреживания
таких отходов в естественных условиях длится 80...100 лет. Атмосферные осадки
растворяют часть отходов и загрязняют почву (не только в местах свалок, но и на
прилегающих территориях) продуктами выщелачивания. При этом происходит
распространение и болезнетворных бактерий, попавших с отходами на свалку.
Вместе со строительным мусором ежегодно в строительстве теряется свыше 1
млн. тонн металла, 1/3 используемого стекла, до 15% цемента и огромное
количество каменных материалов. До 17% кирпича превращается в бой и идет в
отходы, причем 40% оставшегося тоже имеют те или иные повреждения. По данным
Академии коммунального хозяйства им. К.О. Памфилова, за год в стране отправляют
на свалки 1,5...2 млн. тонн асфальтобетона, содержащего не менее 100... 120
тыс. тонн битума, а также песок, гравий и другие материалы.
Талые и ливневые воды с территории строек, где, как правило, уничтожен
растительный покров, разрыхлена почва и накопились различные отходы, смывают
рыхлые грунты и отходы и сносят их в реки и водоемы, загрязняя их. Вода широко
используется в строительных процессах: в качестве компонента для растворов,
бетонов, красок; как теплоноситель в тепловых сетях; при разработке грунтов
гидромониторами и земснарядами и т.д. Во многих случаях после использования
вода сбрасывается и загрязняет грунтовые воды и почвы. Водный режим территорий,
занятых под строительство, нарушается при выработке карьеров, отрывке
котлованов и траншей, буровых работах. Обычно при: этом происходит понижение
уровня грунтовых вод, что влечет за собой нарушение вегетации растений и
животных.
Выше были рассмотрены некоторые аспекты антропогенного воздействия
строительных процессов на окружающую природу. Однако само строительство -
процесс относительно скоротечный. Вместе с тем его воздействие укладывается в
рамки тех воздействий, которые достаточно хорошо изучены и известны по другим
отраслям народного хозяйства - промышленности, транспорту, сельскому хозяйству.
Соответственно существует и много рекомендаций, разработаны меры по снижению
эффекта воздействия на окружающую природную среду различных неблагоприятных
факторов, связанных с добычей ископаемых, их переработкой, производством тех
или иных материалов, их транспортировкой и монтажом.
Производство строительно-монтажных работ в пределах охранных, заповедных
и санитарных зон и территорий следует осуществлять в порядке, установленном
специальными правилами и положениями о них.
На территории строящихся объектов не допускается непредусмотренное
проектной документацией сведение древесно-кустарниковой растительности и
засыпка грунтом корневых шеек и стволов растущих деревьев и кустарников.
Выпуск воды со строительных площадок непосредственно на склоны без
надлежащей защиты от размыва не допускается. При выполнении планировочных работ
почвенный слой, пригодный для последующего использования, должен предварительно
сниматься и складироваться в специально отведенных местах.
При организации строительного производства необходимо осуществлять
мероприятия и работы по охране окружающей природной среды, которые должны
включать рекультивацию земель, предотвращение потерь природных ресурсов,
предотвращение или очистку вредных выбросов в почву, водоемы и атмосферу.
Указанные мероприятия и работы должны быть предусмотрены в проектно-сметной
документации.
Временные автомобильные дороги и другие подъездные пути должны
устраиваться с учетом требований по предотвращению повреждений
сельскохозяйственных угодий и древесно-кустарниковой растительности.
При производстве строительно-монтажных работ на селитебных территориях
должны быть соблюдены требования по предотвращению запыленности и
загазованности воздуха. Не допускается при уборке отходов и мусора сбрасывать
их с этажей зданий и сооружений без применения закрытых лотков и
бункеров-накопителей.
Производственные и бытовые стоки, образующиеся на строительной площадке,
должны очищаться и обезвреживаться в порядке, предусмотренном проектом
организации строительства и проектами производства работ.
При производстве строительно-монтажных работ необходимо руководствоваться
следующими положениями:
·
не допускается
сжигание на строительной площадке отходов и остатков материалов, в частности
рулонных на битумной основе, изоляционных материалов, красителей автопокрышек и
т.д., интенсивно загрязняющих воздух;
·
сбрасывать с
этажей зданий и сооружений отходы и мусор можно только с применением закрытых
лотков и бункеров-накопителей;
·
для
предотвращения загрязнения поверхностных и подземных вод необходимо при мытье
автотранспорта и оборудования улавливать загрязненную воду;
·
все
производственные и бытовые стоки, образующиеся на строительной площадке, должны
быть очищены и обезврежены;
·
временные здания
располагаются на участках без деревьев и кустарников, на непригодных для
землеиспользования;
·
образующиеся
производственные и бытовые сточные воды отводятся согласно решениям в проекте;
·
не допускается
выпуск неочищенных вод в реку Вологда;
·
временные дороги
устраиваются с учетом предотвращения повреждения древесно-кустарниковой
растительности;
·
типы строительных
машин, транспорта и оборудования определены с учетом минимального выделения
токсичных газов при работе;
·
строительный
мусор складируется и вывозится в места, отведенные на непригодных для землеиспользования
территориях;
·
при
благоустройстве восстанавливается растительный слой и производится озеленение,
т.е. посадка древесно-кустарниковых пород.
.4 Расчет
количества мусоросборных контейнеров для ТБО
Дворовые контейнеры устанавливают в микрорайонах на специальных площадках
с обязательным ограждением зелеными насаждениями или защитным экраном.
Расстояние от подъездов зданий до площадки не должно превышать 100 м. Размеры
площадки устанавливают из расчета 1 - 1,5 м 2 на один контейнер.
Площадки должны иметь асфальтовое покрытие и размещаться таким образом, чтобы к
ним был обеспечен удобный подход от зданий и подъезд специального транспорта.
Количество контейнеров зависит от:
климатических условий, которые определяют специфику застройки, а вследствие
этого и размещение контейнеров;
площади селитебных земель города;
численности и плотности населения, поскольку численность городского
населения является одним из основных факторов, определяющих объем работ по
сбору, вывозу и утилизации ТБО;
нормы накопления ТБО, м 3/год.
При определении количества контейнеров должен также учитываться их объем,
а также то обстоятельство, что расстояние между ними не должно превышать 300 м.
Необходимое количество контейнеров пс рассчитывается по
формуле
, (7.1)
где
Qr - расчетное накопление домового мусора в год, м3;-
предельный срок хранения мусора (периодичность удаления отходов), сут.;-
емкость 1 контейнера, м 3;2 - коэффициент наполнения
сборника, равный 0,9;3 - коэффициент, учитывающий контейнеры,
которые находятся в мойке, ремонте и пр., равный 1,05;
контейнеров
в год.
В
сутки понадобится 2 контейнера.
Контейнеры
для сбора твердых бытовых отходов устанавливают на специальных площадках с
обязательным ограждением зелеными насаждениями или защитным экраном. Площадки
должны быть удалены от жилых домов, детских учреждений, мест отдыха и т. п. на
расстояние не менее 20, но не более 100 м. Размеры площадки устанавливают из
расчета 1 - 1,5 м2 на один контейнер. Число контейнеров,
расположенных на одной площадке должно быть не более 5 - 6, при этом расстояние
между контейнерами следует принимать не менее 350 мм, а расстояние между
контейнерами и ограждением должно быть не менее 1 м. Площадки должны иметь
асфальтовое (бетонное) покрытие.
Планировка,
размеры и оформление площадки должны обеспечивать свободный проезд мусоровоза и
отвечать условиям производства погрузочно-разгрузочных работ.
Самым
распространённым способом сбора и хранения различных отходов является
полипропиленовый или полиэтиленовый бак для мусора. Он предназначен как для
пищевых отходов, так и для бытовых. Отличительной особенностью пластиковых
контейнеров для мусора является плотно прилегающая крышка, которая не позволяет
распространяться неприятным запахам. Помимо этого крышка не позволяет залезать
в мусор грызунам и домашним животным.
К
преимуществам таких пластиковых мусорных баков можно отнести достаточную
лёгкость и простоту в обращении. После длительного использования даже пустой
пластиковый контейнер для мусора начинает приобретать неприятный запах. Конечно
же, в этом случае ему просто необходима тщательная обработка. Материал, который
применяется для производства подобных ёмкостей, устойчив к негативному
воздействию даже агрессивных химических веществ. Лёгкость в обслуживании
пластиковых мусорных контейнеров также не остаётся без внимания. Очищаются они
достаточно легко, сохраняя при этом свою функциональность и презентабельный
внешний вид.
Вид
мусоросборного контейнера представлен на рисунке 7.1. Пример размещения таких
контейнеров представлен на рисунке 7.2.
Рисунок
7.1 - Мусоросборный контейнер объемом 1100 л
Рисунок
7.2 - Пример размещения контейнеров на специальной площадке
Заключение
В выпускной квалификационной работе на тему "Реконструкция пожарного
депо в селе Молочное" разобраны два варианта усиления несущих конструкций
кровли и выбран наиболее экономичный.
В архитектурно-строительном разделе представлены фасады, планы, разрезы
здания, разработаны основные узлы и детали. Разработан генплан. В пояснительной
записке приведено описание объемно-планировочного и конструктивного решения
здания, представлены теплотехнические расчеты ограждающих конструкций здания и
технико-экономические показатели.
В расчетно-конструктивной части ВКР выполнен проверочный расчет прогонов
и разработаны два варианта усиления несущих конструкций кровли. В графической
части представлены повреждения конструкции кровли, схема расположения элементов
кровли, схемы вариантов усиления.
В технологическом разделе разработана технологическая карта на устройство
кровли из гибкой черепицы. Подобран монтажный кран.
В организационном разделе разработан строительный генеральный план.
Выполнен расчет временных зданий и сооружений, инженерных сетей.
В научно-исследовательском разделе приводится сравнение и выбор наиболее
экономичного варианта усиления конструкции кровли и материала кровли.
В разделе безопасности и экологичности проекта выполнен расчет времени
эвакуации из здания и действия персонала во время ЧС, рассмотрены вопросы
удаления ТБО.
В работе использованы эффективные строительные материалы, новые конструктивные
решения и энергосберегающие технологии.
В целом, проект выполнен в полном объеме и дает необходимую
характеристику производимых работ.
Список
использованных источников
. СП 118.13330.2012 Свод правил. Общественные здания и
сооружения. Актуализированная редакция СНиП 31-06-2009 (с изменением №1): введ.
Минрегионом России 29.12.2011г. № 635/10 - 65с.
. СП 138.13330.2012 Свод правил. Общественные здания и
сооружения, доступные маломобильным группам населения. Правила проектирования:
введ. Федеральным агентством по строительству и жилищно-коммунальному хозяйству
27.12.2012 г. N 124/ГС - 85с.
. СП 131.13330.2012. Свод правил. Строительная климатология.
Актуализированная редакция СНиП 23-01-99*: утв. Минрегионом России 30.06.
2012г. №275. - Взамен СНиП 23-01-99*; введ. 01.01.2013. - М: ФАУ ФЦС, 2012.г -
109с.
. СанПиН 2.2.1/2.1.1.1200-03 Санитарные правила и нормы.
"Санитарно-защитные зоны и санитарная классификация предприятий,
сооружений и иных объектов" (с изменениями на 25.04.2014.г): введ.
постановлением Главного государственного санитарного врача РФ 25.09. 2007 г. №
74 - 53с.
. СП 5.13130.2009 Свод правил. Установка противопожарной
защиты: введ. МЧС России 25.03.2009 г. № 175 - 107с.
. СНиП 2.03.11-85 Строительные нормы и правила. Защита
строительных конструкций от коррозии: введ. 01.10.87-М: ФГУП ЦПП Госстроя
России, 1999.г - 24с.
. Серия 1.031.9-2.99 - Перегородки системы "Knauf"
поэлементной сборки из гипсокартонных листов на металлическом и деревянном
каркасах для жилых, общественных и производственных зданий: введ.
Госгражданстрой 2000. - 120 с.
. ГОСТ 30245-2003 Профили стальные гнутые замкнутые сварные
квадратные и прямоугольные для строительных конструкций. Технические условия:
введ. ЦНИИПСК 22.10.2003.г - 15с.
9.
ГОСТ 24045-86 Профили стальные листовые гнутые с трапециевидными гофрами для
строительства. Технические условия: введ. ЦНИИПСК 17.11.1994.г - 19с.
.
СП 16. 13330.2011 Строительные правила. Стальные конструкции. Актуализированная
редакция СНиП II -23-81*: введ. Министерством
регионального развития Российской Федерации (Минрегион России) от 27 декабря
2011.г№ 791 - 171с.
11. ГОСТ 9467-75 Электроды покрытые металлические для ручной
дуговой сварки конструкционных и теплоустойчивых сталей (с изменением №1):
введ. 09.1988.г - 6с.
. СП 53-102-2004 Строительные правила. Общие правила
проектирования стальных конструкций М.:введ ФГУП ЦПП, 2005г. - 100с.
. ГОСТ 54257-2010 Надежность строительных конструкций и
оснований. Основные положения и требования: введ. Федеральным агентством по
техническому регулированию и метрологии от 23.12.2010 г. № 1059-ст - 18с.
. СТО АСЧМ 20-93 Прокат стальной сортовой фасонного профиля:
ввод. 01.01.1994.г - 9с.
. СП 63.13330.2012 Бетонные и железобетонные конструкции.
Основные положения. Актуализированная редакция СНиП 52-01-2003; утв. Приказом
Минрегиона России 29.12.2011 № 635/8. - введ. 01.01.2013. - М: ОАО ЦПП, 2013. -
118 с.
. ГОСТ 22356-77* Болты и гайки высокопрочные и шайбы (с
изменением №1): введ. Постановлением Госстандарта от 28.07.92 N 791- 11с.
. СНиП 1.04.03-85* Нормы продолжительности строительства и
задела в строительстве предприятий, зданий и сооружений: введ. постановлением
Госстроя 01.01.1991 г. N 51/90 - 115c.
18. СП 45.13330.2012 Земляные сооружения, основания и
фундаменты. Актуализированная редакция СНиП 3.02.01-87: введ. Минрегионом
России 29.12.2011№635/2; введ. 01.01.2013. - ФАУ ФЦС, 2013. -113с.
. ЕНиР 5 Монтаж металлических конструкций: введ.
Государственного строительного комитета СССР 05.12.1986.г № 43/512/29-50 - 45с.
. ЕНиР 22 Сварочные работы: введ. Государственного
строительного комитета СССР 05.12.1986.г № 43/512/29-50 - 23с.
. СНиП 2.02.01-83* Основания зданий и сооружений: введ.
Госстроя СССР от 01.07.1987 г. № 125 - 49с.
. СНиП 14-4-80* Техника безопасности в строительстве: введ. Госстроем
России 28.08.1997.г №18-40 - 239с.
. СНиП 3.03.01-87. Строительные нормы и правила. Несущие и
ограждающие конструкции: введ. 01.01.87. - М.: ЦИТП Госстроя СССР, 1987. - 43
с.
. ГОСТ 8509-93 Уголки стальные горячекатаные равнополочные:
введ. Комитетом Российской Федерации по стандартизации, метрологии и
сертификации от 20.02.96 № 85 - 18с.
. СН 276-74 Инструкция по проектированию бытовых зданий и
помещений строительно-монтажных организаций: введ. Госстрой СССР 27.08.1974.г -
16с.
. ГОСТ 2458-88 Средства подмащивания. Общие технические
условия
. ГОСТ 12.4.059-89 ССБТ. Строительство. Ограждения
предохранительные инвентарные. Общие технические условия: введ. Постановлением
Государственного строительного комитета СССР от 13.04.89 № 66 - 11с.
. СП 4.13130.2013 Ограничение распространения пожара на
объектах защиты: введ. Министерством Российской Федерации по делам гражданской
обороны, чрезвычайным ситуациям и ликвидации последствий стихийных бедствий
(МЧС России) 24.04. 2013 г. № 288 - 187с.
. №7 ФЗ Об охране окружающей среды: введ. 10.01.2002 - 1с.
. №89 ФЗ \Об отходах производства и потребления: введ.
24.06.1998.г -2с.
. СП 2.2.1.1312-03 Гигиенические требования к проектированию
строящихся и реконструируемых промышленных предприятий: введ. Постановлением Правительства
Российской Федерации № 554 24.06.2000.г - 76с.
. КоАП РФ Кодекс Российской Федерации об административных
правонарушениях (с изменениями на 2 мая 2015 года): введ. 2.05.2015 -112с.
. Территориальный сборник средних сметных цен на материалы,
изделия и конструкции, применяемые в строительстве. ТССЦ 81-01-2001: введ. 15.
05.2014.г - 78с.
. Сборник территориальных сметных нормативов ТЕР
81-02-04-2001: утв. 16.01.2015.г - 249с.
. СНиП II-3-79* Строительная теплотехника: введ. Госстроем
СССР 14.03.1979 г. № 28. - введ. 01.07.1979. - М: Госстрой, 1979 - 45 с.
. СП 23-101-2004 Свод правил. Проектирование тепловой защиты
зданий: утв. и введ. ОАО "ЦНИИпромзданий" и ФГУП ЦНС 1.06. 2004 г. №
01. - М: .ОАО ЦПП,2004. - 178 с.
. СП 20.13330.2011. Свод правил. Нагрузки и воздействия.
Актуализированная редакция СНиП 2.01.07-85*: утв. Минрегионом России 27.12.
2010г. №787. - Взамен СНиП 2.01.07-85*; введ. 20.05.2011. - М: ФГУП ЦПП, 2011.
- 80 с.
. ГОСТ 30674-99 Блоки оконные из поливинилхлоридных профилей:
утв. Госстроем России 06.05.2000 № 37. - введ. 01.01.2001. - М: ГУП ЦПП, 2000 -
33 с.
. ГОСТ 6629-88 Двери деревянные внутренние для жилых и
общественных зданий: утв. Госстроем СССР 31.12.87 № 325. - введ. 01.01.1989. -
М: Госстрой, 1989 - 23 с.
. ГОСТ 31173-2003 Блоки дверные стальные. Технические
условия: утв. Госстроем России 20.06.2003 № 76. - введ. 01.03.2004. - М:
Госстрой, 2004 - 31 с.
. ГОСТ 17.4.3-85 Охрана природы. Почвы. Общие требования к
методам определения загрязняющих веществ: утв. Госстрой СССР 02.12.1985 № 3798.
- введ. 01.01.1987. - М: Стандартинформ, 1987. - 2 с.
. Земельный кодекс Российской Федерации: утв. Совет Федерации
28.12.2013 № 136. - введ. 01.01.2014. - М, 2014
. ГОСТ 17.4.2.02-83 Номенклатура показателей пригодности
нарушенного плодородного слоя почв для землевания: утв. Госстрой СССР
21.01.1983 № 300. - введ. 01.01.1984. - М. Стандартинформ, 1984. - 5 с.
. ГОСТ 17.5.3.06-85 Охрана природы. Земли. Требования к
определению норм снятия плодородного слоя почвы при производстве земляных работ:
утв. Госстрой СССР 17.07.1985 № 2256. - введ. 01.07.1986. - М. Стандартинформ,
1986. - 4 с.
. ГОСТ 17.5.3.05-84 Охрана природы. Рекультивация земель.
Общие требования к землеванию: утв. Госстрой СССР 27.03.1984 № 1020. - введ.
01.01.1985. - М. Стандартинформ, 1985. - 4 с.
. ГОСТ 17.5.3.04-83 Охрана природы. Земли. Общие требования к
рекультивации земель: утв. Госстрой СССР 30.03.1983 № 1521. - введ. 01.07.1984.
- М. Стандартинформ, 1984. - 7 с.
. ГОСТ 17.5.1.03-86 Охрана природы. Земли. Классификация вскрышных
и вмещающих пород для биологической рекультивации земель: утв. Госстрой СССР
10.11.1986 № 3400. - введ. 01.01.1988. - М. Стандартинформ, 1988. - 3 с.
. ТСН 40-303-2003 Бестраншейная прокладка коммуникаций с
применением микротоннелепроходческих комплексов и реконструкция трубопроводов с
применением специального оборудования: утв. Госстроем России 04.03.2003 №
9-29/163. - введ. 03.08.2004. - М, 2004. - 76 с.
. СП 70.13330.2012 Несущие и ограждающие конструкции.
Актуализированная редакция СНиП 3.03.01-87: утв. Госстроем России 25.12.2012. -
введ. 01.07.2013. - М, 2013. - 205 с.
55. СП 113.13330.2012. Свод правил. Стоянки автомобилей.
Актуализированная редакция СНиП 21-02-99*: утв. Минрегионом РФ от 29.12.2011 №
635/9. - Взамен СНиП 21-02-99*; введ. 01.01.2013. - М: ОАО ЦНИИпромзданий,
2013. - 20 с.
. МДС 81-35.2004 (с изменением от 20.03.2006 г.) Методика
определения стоимости строительной продукции на территории Российской
Федерации,:утв. в соответствии с поручением Правительства Российской Федерации
от 27.11.2003 № ВЯ-П 10-14161. Введ. с 09.03.2004 г. постановлением Госстроя
России от 05.03.2004 №15/1.
. МДС 81-25.2004 (с изменением от 20.03.2006 г.) Методика
определения стоимости строительной продукции на территории Российской
Федерации,:утв. постановлением от 28.02.2001 № 15,:введ. приказом Минрегиона
России от 01.06.2012 N 220
. ГСН 81-05-002-2007 Сборник сметных норм дополнительных
затрат при производстве строительно-монтажных работ в зимнее время (2007 год),:
введ. постановлением Госстроя России от 19.06.01 № 62.
. СП 52.13330.2011 Естественное и искусственное освещение.
Актуализированная редакция СНиП 23-05-95*,:утв. приказом Министерства
регионального развития Российской Федерации от 27.31. 2010 г. N 783,:введ. с
20.05.2011 г.
Приложение
Таблица 1 - Экспликация полов
Таблица 2 - Спецификация наружных дверей
Таблица
3 - Спецификация элементов заполнения оконных проемов