Расчет импульсного усилителя мощности при сопротивлении нагрузки 30 Ом, индуктивности нагрузки 30 мГн и частоте коммутации 10 кГц.
Министерство образования и науки
Российской Федерации
Федеральное государственное бюджетное
образовательное учреждение высшего образования
Московский авиационный институт
Национальный исследовательский
университет (МАИ)
КУРСОВАЯ РАБОТА
по курсу
Техническая электроника
На тему:
Расчет импульсного усилителя мощности
при сопротивлении нагрузки 30 Ом, индуктивности нагрузки 30 мГн и частоте
коммутации 10 кГц
СОДЕРЖАНИЕ
Введение
Исходные
данные для расчёта
. Статический
расчёт
.
Энергетический расчет
Список
использованных источников
ВВЕДЕНИЕ
Импульсные усилители мощности (ИУМ) - это устройства для импульсного
регулирования и преобразования энергии, поступающей от источника постоянного
напряжения в нагрузку. Такие усилители широко применяются для импульсного
регулирования.
На вход ИУМ подается управляющее периодическое напряжение прямоугольной
формы с изменяющимся коэффициентом заполнения kз = Ти/ Т (Ти - длительность импульса, Т
- период импульсного напряжения). Это напряжение снимается с выхода широтно-импульсного
модулятора (ШИМ), выходная мощность которого составляет единицы-десятки мВт.
Поэтому ИУМ должны иметь достаточно большое усиление по мощности (kp). С другой стороны, ИУМ должны иметь
хорошие энергетические характеристики для того, чтобы преобразование энергии,
поступающей от источника питания в нагрузку, происходило с наименьшими
тепловыми потерями.
Для получения требуемого усиления по мощности ИУМ должен состоять из
достаточно большого числа каскадов.
Для обеспечения высокого КПД применяются специальные методы: параллельное
соединение транзисторов, составные транзисторы, насыщение от низковольтных
источников и др.
Вариант многокаскадного ИУМ, предназначенный для регулирования среднего
значения тока в R-L нагрузках (например, обмотках
возбуждения электрических машин или обмотках других электромагнитных
механизмов) приведена на рисунке 1. Схема работает в первом импульсном режиме.
Транзисторы VT1, VT3 и VT4 работают синфазно, а VT2 - в противофазе. Схема управляется разнополярным импульсным
напряжением. При Uвх< 0 транзистор VT2 насыщен через резистор R1 от источника входного напряжения
(выход ШИМ). Транзистор VT1
заперт напряжением Uбэн2. Транзисторы VT3 и VT4 заперты от источника (-U1) через резистор R2, транзистор VT2 и диод VD1. При этом нагрузка отключена от
источника питания. С появлением на входе схемы положительного импульса
транзистор VT1 насыщается через резистор R1, транзистор VT2 запирается. Транзистор VT3 насыщается от источника +U1 через транзистор VT1 и резистор R2. Транзистор VT4 насыщается
от источника U2 через резистор R3 и транзистор VT3. при этом нагрузка подключается к
источнику питания. Для увеличения КПД напряжения источников +U1 и-U1 выбраны меньшими, чем напряжение питания (3…5 В).
Предусмотрено форсированное запирание от источника -U1 с целью уменьшения
времени отключения и динамических потерь.
Рисунок 1 - Трёхкаскадный импульсный усилитель мощности
В ходе проектирования ИУМ необходимо выполнить статический и
энергетический расчеты.
Цель статического расчета - выбор полупроводниковых приборов, расчет
сопротивлений резисторов.
Цель энергетического расчета - определение суммарных тепловых потерь в
схеме при различных режимах ее работы (изменении коэффициента заполнения),
определение КПД схемы и размеров теплоотводящих радиаторов.
ИСХОДНЫЕ
ДАННЫЕ ДЛЯ РАСЧЁТА
Исходные данные для расчёта приведены в таблице 1.
В таблице использованы следующие условные обозначения:

- напряжение
питания;

-
амплитуда входного напряжения;

-
температура окружающей среды:

-
минимальный коэффициент заполнения;

-
максимальный коэффициент заполнения;

-
сопротивление нагрузки;

-
индуктивность нагрузки;

- частота
переключений;

= 6·104;

-
минимальный КПД.
Таблица 1
Исходные данные для расчёта
|
Вариант №
|
Тип схемы
|
 Ом мГн кГц В оС  Вhmin
|
|
|
|
|
|
|
|
|
|
|
14
|
Рис. 1
|
30
|
30
|
10
|
6 × 104
|
270±10%
|
± 50
|
0,05
|
0,95
|
2,4
|
0,9
|
1.
СТАТИЧЕСКИЙ РАСЧЁТ
Определяем максимальный ток нагрузки и предельные режимы выходных
полупроводниковых приборов по току и напряжению.
Максимальное напряжение питания:
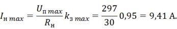
Максимальный ток нагрузки:
Максимальный ток коллектора транзистора VT4, максимальный ток диода VD1:
Максимальное напряжение коллектор-эмиттер транзистора VT4, максимальное
обратное напряжение диода VD1:
Выбираем типы силовых полупроводниковых приборов, приняв во внимание, что
по соображениям надежности все элементы схемы должны работать в режимах,
составляющих £ 50% от
предельно допустимых значений:

На основании предельно допустимых параметров выбираем транзистор КТ8144Б
и диод КД273М, параметры которых приведены в таблицах 1.1 и 1.2.
Таблица 1.1
Параметры транзистора КТ8144Б
|
Параметр
|
Значение
|
|
Статический коэффициент
передачи тока в схеме с ОЭ в пределах 95% разброса:
|
38…55
|
|
Напряжение насыщения
коллектор-эмиттер, В
|
1,5
|
|
Напряжение насыщения
база-эмиттер, В
|
2,5
|
|
Предельное постоянное
напряжение коллектор-эмиттер, В
|
600
|
|
Предельный постоянный ток
коллектора, А
|
25
|
|
Обратный ток коллектора, мА
|
1
|
Таблица 1.2
Параметры диода KД273М
|
Параметр
|
Значение
|
|
Предельное обратное
напряжение, В
|
600
|
|
Предельный прямой средний
ток, А
|
20
|
|
Максимальное прямое падение
напряжения, В
|
|
|
- при  ,I = 20
А1,3
|
|
|
- при  ,I = 20
А1,2
|
|
|
Максимальный обратный ток,
мА
|
|
|
- при  0,1
|
|
|
- при  10
|
|
|
Диапазон рабочих температур
перехода,  -55…+150
|
|
|
Максимальное тепловое
сопротивление переход-корпус,  /Вт2,0
|
|
|
Максимальная ёмкость
перехода, пФ
|
400
|
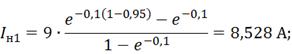
Определяем базовый ток выходного транзистора:
где

= 1,5…2
- коэффициент насыщения;

-
минимальный коэффициент усиления по току при минимальной температуре окружающей
среды.
Определяем предельные режимы предоконечного транзистораVT3:
Ток коллектора VT3
считаем примерно равным входному току оконечного каскада:
Максимальное напряжение коллектор-эмиттер транзистора VT3:
Выбираем тип транзистора VT3,
приняв во внимание, что по соображениям надежности все элементы схемы должны
работать в режимах, составляющих £ 50% от предельно допустимых значений:
На основании предельно допустимых параметров выбираем транзистор КТ841А,
параметры которого приведены в таблице 1.3.
Таблица 1.3
Параметры транзистора КТ841А
|
Параметр
|
Значение
|
|
Статический коэффициент
передачи тока в схеме с ОЭ
|
20
|
|
Напряжение насыщения
коллектор-эмиттер, В
|
1,4
|
|
Напряжение насыщения база-эмиттер,
В
|
1,5
|
|
Предельное постоянное
напряжение коллектор-эмиттер, В
|
600
|
|
Предельный постоянный ток
коллектора, А
|
2
|
Определяем базовый ток транзистораVT3:
Ток коллектора VT1считаем
примерно равным входному току оконечного каскада:
Выбираем тип транзистора VT1,
приняв во внимание, что по соображениям надежности все элементы схемы должны
работать в режимах, составляющих £ 50% от предельно допустимых значений:
Максимальное
напряжение коллектор-эмиттер транзистора VT1равно удвоенному напряжению 
Так как 
мы можем
выбрать по собственному усмотрению, берём 
= 5 В.
Тогда 
Таблица 1.4
Параметры транзистора КТ315В
|
Параметр
|
Значение
|
|
Статический коэффициент
передачи тока в схеме с ОЭ
|
20…90
|
|
Напряжение насыщения
коллектор-эмиттер, В
|
0,4
|
|
Напряжение насыщения
база-эмиттер, В
|
1,1
|
|
Предельное постоянное
напряжение коллектор-эмиттер, В
|
40
|
|
Предельный постоянный ток
коллектора, мА
|
100
|
|
Обратный ток коллектора,
мкА
|
1
|
Определяем базовый ток транзистора VT1:
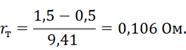
Определяем сопротивления межкаскадной связи:
где

= 1,5…2
В, 
= 0,5 В, 
= 0,5 В.
Определяем максимальный коллекторный ток VT2:
Выбираем тип транзистора VT2,
приняв во внимание, что по соображениям надежности все элементы схемы должны
работать в режимах, составляющих £ 50% от предельно допустимых значений:
Максимальное
напряжение коллектор-эмиттер транзистора VT1равно удвоенному напряжению 
Поэтому
На основании предельно допустимых параметров выбираем транзистор КТ3108В,
параметры которого приведены в таблице 1.5.
Таблица 1.5
Параметры транзистора КТ3108В
|
Параметр
|
Значение
|
|
Статический коэффициент
передачи тока в схеме с ОЭ
|
20…70
|
|
Напряжение насыщения
коллектор-эмиттер, В
|
0,25
|
|
Напряжение насыщения база-эмиттер,
В
|
1,0
|
|
Предельное постоянное
напряжение коллектор-эмиттер, В
|
45
|
|
Предельный постоянный ток
коллектора, мА
|
200
|
|
Обратный ток коллектора,
мкА
|
0,2
|
Определяем базовый ток транзистора VT2.
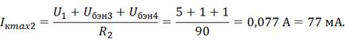
Дважды рассчитываем входной ток схемы для режимов включенного и
отключенного состояния нагрузки
Определяем мощность управления схемой в расчете на максимальный входной
ток:
Определяем сопротивление резистора R1:
Берём из ряда Е24
Диод VD2 предназначен для того, чтобы на
базу VT4 проходило запирающее напряжение от
источника -U1 чрез открытый транзистор VT2 и резистор R2. При этом, поскольку транзистор VT4 заперт, ток через диод незначителен. Будем считать, что
максимальный ток через диод VD2 не
превышает максимального тока коллектора VT2. Тогда
Поскольку ток через этот диод протекает кратковременно, во время перехода
транзистора VT4 из активного режима в режим
отсечки, будем подбирать диод по параметру «предельный импульсный прямой ток».
Обратное напряжение на диоде не превышает напряжения насыщения
база-эмиттер транзистора VT3,
поэтому
Выбираем диод КД512А, характеристики которого представлены в таблице 1.6.
Таблица 1.6
Параметры диода КД512А
|
Параметр
|
Значение
|
|
Предельное обратное
напряжение, В
|
15
|
20
|
|
Предельный импульсный
прямой ток, мА
|
200
|
|
Максимальное прямое падение
напряжения, В
|
1
|
|
Максимальный обратный ток,
мкА
|
100
|
|
Диапазон рабочих температур
перехода,  -60…+100
|
|
|
Максимальная ёмкость
перехода, пФ
|
1
|
2.
Энергетический расчет
статический энергетический трехкаскадный импульсный
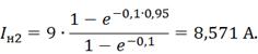
Задавшись
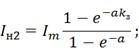
начальным значением 
определяем
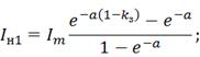
мгновенные значения токов в конце импульса и паузы:
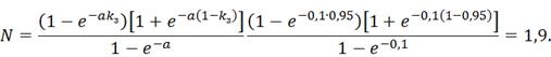
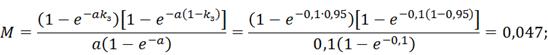
Определяем вспомогательные коэффициенты M и N:
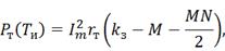
Определяем потери в выходном транзисторе за время импульса:
где

-
дифференциальное сопротивление транзистора определяем из параметров схемы
замещения для режима насыщения:

.
Определяем тепловые потери в блокирующем диоде за время паузы:
где

-
дифференциальное сопротивление диода

= 1,3 В -
прямое падение напряжения на диоде;

= 20 А -
максимальный прямой ток диода;

= 0,6 В
(для кремниевых диодов).
Определяем тепловые потери в запертых приборах выходного каскада:
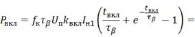
Определяем потери в каскадах предварительного усиления (цепи управления)
Определяем
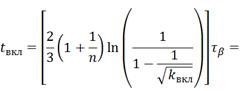
время включения выходного транзистора. Для этого сначала нужно определить 
-
коэффициент форсировки процесса включения (h21э2=40, h21э3=15,h21э4=12Uэб2=Uэб3=1):
Время включения зависит от величины отношения
где
-
постоянная времени выходного транзистора в схеме с общим эмиттером

-
постоянная времени блокирующего диодаt

- время
обратного восстановления диода.
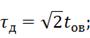
При
0,5 £
<2
Определяем динамические потери за время включения
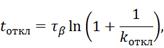
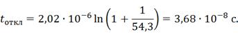
Определяем время отключения выходного транзистора:
где
-
коэффициент форсировки процесса отключения;
Определяем динамические потери за время отключения:

Определяем тепловые потери в выходном транзисторе и суммарные потери в
схеме:
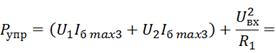
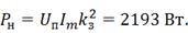
Определяем мощность в нагрузке и КПД усилителя:
Сделаем
описанные выше расчёты для других значений
в
диапазоне 0,05…0,95. Результаты расчётов приведены в таблице 2.1, а кривые

показаны
на рисунках 2.1-2.4.
Таблица
1
Результаты расчётов
|
|
|
|
|
η
|
|
0,05
|
0,361
|
0,277
|
0,706
|
0,778
|
|
0,15
|
0,362
|
0,783
|
1,302
|
0,960
|
|
0,25
|
0,441
|
1,213
|
1,898
|
0,981
|
|
0,35
|
0,649
|
1,548
|
2,530
|
0,988
|
|
0,45
|
1,037
|
1,773
|
3,232
|
0,992
|
|
0,55
|
1,659
|
1,871
|
4,038
|
0,993
|
|
0,65
|
2,564
|
1,823
|
4,984
|
0,995
|
|
0,75
|
3,805
|
1,613
|
6,104
|
0,995
|
|
0,85
|
5,433
|
1,225
|
7,432
|
0,996
|
|
0,95
|
7,501
|
0,641
|
9,004
|
0,996
|

Рисунок
2.2 - Зависимость потерь в диоде от 
Рисунок
2.3 - Зависимость потерь рассеяния от 
Рисунок
2.4 - Зависимость КПД от 
Сделаем
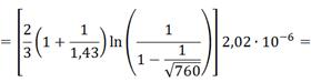
расчет поверхности радиатора для охлаждения выходного транзистора:
где

-
предельно допустимая температура перехода выходного транзистора, 
-
максимальная температура среды, 
-
тепловое сопротивление переход-среда, 
-
максимальные тепловые потери в транзисторе.
СПИСОК ИСПОЛЬЗОВАННЫХ ИСТОЧНИКОВ
1.
Полупроводниковые приборы: Транзисторы. Справочник / В.Л. Аронов, А.В. Баюков,
А.А. Зайцев и др. Под общ. ред. А.А. Горюнова.- 2-е изд., перераб. - М.:
Энергоатомиздат, 1985. - 904 с.: ил.
.
Полупроводниковые приборы. Диоды выпрямительные, стабилитроны, тиристоры:
Справочник / А.Б. Гицкевич, А.А. Зайцев, В.В. Мокряков и др. Под ред. А.В.
Голомедова. - М.: Радио и связь, 1988. - 528 с.: ил.
. Расчет
импульсных усилителей мощности. Пособие по курсовому проектированию. - М.: МАИ.
- 9 с.
. Справочник
по диодам Шоттки. [Электронный ресурс]
5. Справочник
по транзисторам мощным отечественным биполярным. [Электронный ресурс]