Классификация ИМС и система условных обозначений

  • Вид работы:
    Дипломная (ВКР)
  • Предмет:
    Информатика, ВТ, телекоммуникации
  • Язык:
    Русский
    ,
    Формат файла:
    MS Word
    868,26 Кб
  • Опубликовано:
    2017-02-10
Вы можете узнать стоимость помощи в написании студенческой работы.
Помощь в написании работы, которую точно примут!

Классификация ИМС и система условных обозначений

Введение


Современная электрорадиоаппаратура проходит несколько этапов разработки, в частности: создание концепции продукта, техническая проработка изделия, создание опытных образцов, проведение сертификационных испытаний, подготовка к производству, выпуск установочной партии и серийное производство. Техническая проработка изделия является, пожалуй, самым важным этапом разработки, так как ошибки на данном этапе могут вызвать большие финансовые потери, а также сильно отсрочить выпуск устройства, что сделает его менее актуальным на рынке.

На этапе технической проработки изделия создается эскизный проект, разрабатывается техническое задание (ТЗ), создаются спецификации и анализируются примеры использования продукта. Оцениваются выбранные аппаратные и программные технические решения, изучаются потенциально проблемные моменты с точки зрения последующей технической реализации, производительность платформы и другие важные характеристики. Часто этап заканчивается сборкой и тестированием «настольного» прототипа изделия.

Важной составляющей данного этапа является компьютерное моделирование работы устройства в заданных рабочих условиях. Это помогает заказчику увидеть, отвечает ли создаваемое устройство его требованиям еще на этапах проектирования, и сделать выбор в пользу того или иного изделия.

1. Специальная часть

. Анализ особенностей корпусов интегральных микросхем как объекта для исследования механических и тепловых процессов

Объектом исследования является микросхема 4-х процессорной «системы на кристалле» на базе ядер 32-разрядных процессов цифровой обработки сигналов с плавающей точкой. В состав микросхемы входят четыре микропроцессорных ядра, два контроллера UART 16550, контроллер MIL Std 1553, контроллер Ethernet, контроллер USB 2.0.

Описание объекта исследования

В соответствии с техническими требованиями ТЗ микросхема должна быть разработана в металлокерамическом корпусе с общей массой не более 50 г.

При разработке конструктивных решений микросхемы 4-х процессорной «системы на кристалле» и технологических процессов ее изготовления необходимо, прежде всего, исходить из упаковки кристалла микросхемы в корпус, поскольку от технологии монтажа кристалла в корпус на 2/3 зависят характеристики надежности микросхемы. Выбор корпуса определяется количеством сигнальных выводов и выводов питания.

Число выводов питания определяется током, потребляемым ядром и буферами ввода / вывода микросхем.

Ядро микросхемы должно потреблять не более 1000 мА. Так как максимальный ток, обеспечиваемый буфером питания выбранной библиотеки, не должен превышать 50 мА, то число выводов питания ядра микросхемы должно быть не меньше, чем Nc=20 выводов.

Число выводов микросхемы для питания буферов ввода / вывода рассчитывается исходя из требования: не более 4-х выходов на 1 буфер питания буферов ввода / вывода для выбранной библиотеки I/О.

Так как общее число выходов и входов / выходов микросхемы равно 851, то число выводов питания буферов ввода / вывода равно Nio = 213.

Таким образом, общее число выводов микросхемы при такой реализации должно быть не менее, чем

Nm = Ns + Nc + Nio=954 + 20 + 213 = 1187.

Керамических корпусов с таким числом выводов в РФ не существует, кроме того, при таком числе выводов возможен лишь монтаж кристалла в корпус по методу flip-chip.

Если учесть, что технология монтажа flip-chip в РФ находится в экспериментальном состоянии, то необходим керамический корпус со штырьковыми выводами и достаточным количеством выводов, обеспечивающих требуемую в ТЗ функциональность и показатели надежности.

В результате конструкторско-технологической проработки микросхемы в составе кристалл + корпус, из доступных в РФ в настоящее время металлокерамических корпусов, был выбран корпус PGA-602 (KD-PB1D79) производства фирмы Kyocera, который и будет исследован в данной работе. Чертеж корпуса приведен в приложении.

В таблице 1 приведены характеристики проектируемой микросхемы, определяющие выбор корпуса.

Таблица 1. Характеристики проектируемой микросхемы

Характеристики проектируемой СБИС

Параметр

Тактовая частота

200 МГц

Частота на входах / выходах

100 МГц

Напряжение питания

1.2 В/3.3 В

Потребляемая мощность, не более

1000 мА

Размер кристалла

10 × 10 мм

Расположение контактных площадок по периметру кристалла

2 ряда в шахматном порядке

Размеры контактных площадок, мкм

40 × 60

Шаг контактных площадок, мкм

80

Расстояние между рядами контактных площадок, мкм

50

Расстояние от границ контактной площадки до ближайшей шины под другим потенциалом, мкм

12

Толщина контактных площадок, мкм

0.8

Материал контактных площадок

Al + Si + Cu

Общее число слоев металлизации в контактной площадке (микросхеме)

6

Материал слоев пассивации

SiO2/Si2N4

ᴓ кремниевой пластины, мм

200

Толщина пластины, мм

0.42

Ширина разделительной дорожки, мкм

100


Таблица 2. Требования к корпусу

Требования к корпусу

Параметр

Примечание

Корпус должен отвечать требованиям ГОСТ РВ 5901-004-2010 «Микросхемы интегральные и приборы полупроводниковые. Корпуса. Общие технические условия»



6-й тип (PGA) по ГОСТ Матрица штырьковых выводов

металлокерамика


Количество шин «питание», «земля»

4


Шаг выводов, мм

1.27


Герметизация

шовная роликовая сварка


Метод монтажа кристалла в корпус

проводной монтаж


Трассировка проволочных соединений с контактными площадками кристалла

перехлест проволочек не допускается


Монтажная площадка, мм

12 × 12

Критичный параметр

Расположение траверс

три уровня


Металлизация

Н2 Зл3


Сопротивление выводов «питание-земля». Сопротивление сигнальных выводов

не более 0.16 Ом не более 0.8 Ом


Рассеиваемая мощность, не менее

2.5 Вт


Входная емкость вывода корпуса, не более

5 пФ


Герметичность корпуса

6.65×10-3 Па*см3/с по нормализованному потоку гелия


Устойчивость к воздействию температур

от -60 ОС до +155 ОС


Устойчивость к термоциклам

не менее 10 циклов от -60 ОС до +155 ОС по 15 минут

Без потери герметичности

Устойчивость к воздействию линейного ускорения

10000g

Без потери герметичности

Устойчивость к воздействию температуры

+450 ОС ± 10 ОС в течение двух минут

Без изменения свойств покрытия и без потери герметичности

Стойкость к технологическим воздействиям

В соответствии с требованиями ОСТ В 11 0998-99, ГОСТ РВ 0.39.412-97


Методы расчета механических процессов в САПР

Конечно-элементный анализ широко применяется при решении задач механики деформируемого твердого тела, теплообмена, гидро- и газодинамики, электро- и магнитостатики, а также других областей физики. Потребность в решении подобных задач возникает в системах автоматизированного конструирования для моделирования поведения изделия в цифровом виде (не прибегая к изготовлению самого изделия или его макета). Типичными примерами процессов, моделирование которых на компьютере позволяет значительно сократить расходы на испытания, являются продувка в аэродинамической трубе и аварийные испытания (крэш-тесты). Конечно-элементный анализ основан на использовании математического метода конечных элементов (МКЭ).

Метод конечных элементов

Метод конечных элементов позволяет приближенно численно решать широкий спектр физических проблем [1], которые математически формулируются в виде системы дифференциальных уравнений или в вариационной постановке. Этот метод можно использовать для анализа напряженно деформированного состояния конструкций, для термического анализа, для решения гидро-газодинамических задач и задач электродинамики. Могут решаться и связанные задачи.

Историческими предшественниками МКЭ были различные методы строительной механики и механики деформируемого твёрдого тела, использующие дискретизацию, в частности, метод сил и метод перемещений [2]. Основные идеи и процедуры МКЭ впервые были использованы Курантом [3] в 1943 г. при решении задачи о кручении стержня. Но только с 50-х годов началось активное практическое применение МКЭ, сначала в области авиации и космонавтики, а затем и в других направлениях. Термин «конечные элементы» (КЭ) ввел в 1960 году Клаф [4]. Развитию этого метода способствовало совершенствование цифровых электронных вычислительных машин.

Область применения МКЭ значительно расширилась, когда для его обоснования стали применяться методы взвешенных невязок - Галёркина и наименьших квадратов [5, 6]. МКЭ превратился в универсальный способ решения дифференциальных уравнений.

Основные понятия МКЭ

Исходным объектом для применения МЮ является материальное тело (в общем случае - область, занимаемая сплошной средой или полем), которое разбивается на части - конечные элементы (КЭ) (рис. 1). В результате разбивки создается сетка из границ элементов. Точки пересечения этих границ образуют узлы. На границах и внутри элементов могут быть созданы дополнительные узловые точки. Ансамбль из всех конечных элементов и узлов является основной конечно-элементной моделью деформируемого тела. Дискретная модель должна максимально полно покрывать область исследуемого объекта.

Рис. 1. Разбитие тела на конечные элементы

Выбор типа, формы и размера конечного элемента зависит от формы тела и вида напряжённо-деформированного состояния. Стержневой КЭ применяется для моделирования одноосного напряжённого состояния при растяжении (сжатии), а также в задачах о кручении или изгибе. Плоский двумерный КЭ в виде, например, треугольной или четырёхугольной пластины используется для моделирования плоского напряжённого или плоского деформированного состояния. Объёмный трёхмерный КЭ в виде, например, тетраэдра, шестигранника или призмы служит для анализа объёмного напряжённого состояния. КЭ в форме кольца применяется в случае осесимметричного напряжённого состояния. Для расчёта изгиба пластины берётся соответствующий плоский КЭ, а для расчёта оболочки используется оболочечный КЭ или также изгибаемый плоский элемент. В тех зонах деформируемого тела, где ожидаются большие градиенты напряжений, нужно применять более мелкие КЭ или элементы большего порядка [7].

Конечные элементы наделяются различными свойствами, которые задаются с помощью констант и опций. Например, для стержневого ферменного КЭ указывается площадь поперечного сечения, а если моделируется трос, работающий только на растяжение, то назначается соответствующая опция. Для плоских несгибаемых КЭ может указываться толщина и задаваться вид напряжённого состояния: плоское напряжённое, плоское деформированное или осесимметричное. Для плоских изгибаемых и оболочечных КЭ должна задаваться толщина.

Все элементы и узлы нумеруются. Нумерация узлов бывает общей (глобальной) для всей конечно-элементной модели и местной (локальной) внутри элементов. Нумерацию элементов и общую нумерацию узлов желательно производить так, чтобы трудоёмкость вычислений была наименьшей. Существуют алгоритмы оптимизации этой нумерации [8]. Должны быть определены массивы связей между номерами элементов и общими номерами узлов, а также между местными и общими номерами узлов.

Для расчета полей различных физических величин с помощью МКЭ в рассматриваемой области необходимо определить материалы элементов и задать их свойства. В задачах деформирования, прежде всего, нужно указать упругие свойства - модуль упругости и коэффициент Пуассона [9]. Если предполагается пластическое течение, то необходимо задать истинные диаграммы деформирования, которые аппроксимируются билинейными или мультилинейными кривыми. Когда тело неравномерно нагрето, указанные выше механические свойства требуется задать для ряда температур и, кроме того, нужно ввести коэффициент теплового расширения. Для динамических задач необходимо определить плотность материала и, возможно, коэффициент вязкого демпфирования.

В стационарных задачах теплопроводности для выбранного материала тела должен быть задан коэффициент теплопроводности. При нестационарной теплопроводности нужно дополнительно знать плотность материала и его теплоёмкость. Если рассматривается нелинейная задача теплопроводности, то указанные физические свойства требуется определять как функции температуры.

Состояние тела характеризуется конечным числом независимых параметров, определённых в узлах конечно-элементной сетки. Такие параметры называются степенями свободы. В рассматриваемых ниже деформационных задачах в качестве степеней свободы применяются перемещения узлов, среди компонентов которых могут быть и угловые перемещения. В задачах теплопроводности степенями свободы являются температуры узлов.

Координаты узлов, перемещения узлов и произвольных точек элементов, силы и другие объекты могут определяться в различных системах отсчёта (системах координат). В алгоритме МКЭ используются общая (глобальная) система координат, привязанная ко всей конечно-элементной модели (см. рис. 1.1), и местные (локальные) системы координат, связанные с конкретными конечными элементами, в силу чего их называют элементными системами отсчёта. Переход от одной системы отсчёта к другой производится с помощью матриц преобразования.

В деформационной задаче число степеней свободы одного узла зависит от типа задачи и от системы отсчёта. На рис. 1 показан узел i, имеющий в общей системе координат х, у, z три степени свободы, составляющих узловой вектор степеней свободы (перемещений). В общей системе координат этот вектор может быть записан в виде [10]:

 (1)

Если узел i имеет ni степеней свободы, а конечный элемент включает пе узлов, то число степеней свободы одного элемента равно пе × ni. Число степеней свободы всей модели, имеющей п однотипных узлов равно N=n × ni Набор всех степеней свободы модели составляет общий (глобальный) вектор степеней свободы (то есть узловых перемещений модели), в котором нумерация степеней свободы может быть общей (глобальной) или по номерам узлов с добавлением индекса узловой степени свободы


где {U,} - подматрица, составленная из всех пi, компонентов перемещения узла i. В частности, для трехмерной задачи при использовании общей декартовой системы координат х, у, z эта подматрица является вектором перемещений узла (1.1). Переход от узловой нумерации к общей очевиден. Например, для рассмотренного выше случая трех степеней свободы в узле формулы преобразования имеют следующий вид: uix = u3i-2, uiy = u3i-1, иiz = u3i.

Для тепловой задачи один узел с глобальным номером i имеет одну степень свободы - температуру Тi. Общий (глобальный) вектор степеней свободы в этом случае имеет вид

Анализ результатов исследования

В задаче деформирования после определения глобального вектора степеней свободы {U} находят элементные векторы узловых перемещений {U}e. Через них путём интерполяции с помощью функций формы вычисляются перемещения любых точек элементов. Для стержневых элементов по известным векторам {U}e из уравнений находят вектора {F}e, а затем методами сопротивления материалов вычисляют внутренние силы, моменты и напряжения. Для плоских и объёмных элементов, дифференцируя аппроксимирующие функции перемещений внутри элементов, находят деформации и по закону Гука вычисляют напряжения [11].

Для конечных элементов первого порядка с линейной интерполяцией перемещений величины деформаций и напряжений внутри элементов получаются постоянными, следовательно, на межэлементных границах эти величины будут иметь разрывы. Для квадратичных элементов и элементов более высокого порядка с нелинейной интерполяцией перемещений величины деформаций и напряжений внутри элементов изменяются и вычисляются обычно приближенно. На границах элементов при таком подходе поля деформаций и напряжений имеют конечные разрывы. С целью уточнения результатов вычислений применяют различные способы усреднения. Например, в выбранном узле берут среднюю величину узловых значений напряжений, найденных для всех элементов, примыкающих к этому узлу. Более точные результаты получаются с помощью теории сопряжённой аппроксимации [6,10].

Реакции опор вычисляют из соответствующих уравнений общей системы, взятой до её модификации, учитывающей связи. Используя глобальную нумерацию компонентов векторов узловых сил, можно записать следующую формулу для реакций в опорных узлах:


В динамической задаче общий вектор узловых перемещений и все другие указанные выше величины (деформации, напряжения, реакции) находятся как функции времени. В задаче теплопроводности через найденные узловые температуры, используя аппроксимирующие функции формы, можно определить температуру любой точки, градиенты температур и потоки тепла. В нестационарной задаче теплопроводности все указанные выше величины определяются как функции времени.

Классификация ИМС и система условных обозначений

Из всех изделий микроэлектроники наибольшее распространение получили интегральные микросхемы. Именно они характеризуют современный уровень развития микроэлектроники. Техника изготовления интегральных микросхем основана на обобщении как ранее используемых в полупроводниковом производстве и при получении пленочных покрытий групповых технологических приемов, так и новых технологических процессов [12]. Это и определило два главных направления в создании интегральных микросхем: полупроводниковое и пленочное. Однако совершенствование полупроводниковой и пленочной технологии, а также возможность их комбинирования позволили выделить целый ряд новых самостоятельных направлений, по которым можно классифицировать интегральные микросхемы.

Для классификации интегральных микросхем можно использовать различные критерии: степень интеграции, физический принцип работы активных элементов, выполняемую функцию, быстродействие, потребляемую мощность, применяемость в аппаратуре и др. Наиболее распространена классификация по конструктивно-технологическим признакам, поскольку при этом в названии микросхемы содержится общая информация о ее конструкции и технологии изготовления.

Одним из основных критериев оценки технологического уровня производства и отработанности конструкции интегральной микросхемы является степень интеграции.

Важным конструктивным признаком интегральной микросхемы является тип подложки. По этому признаку все известные интегральные микросхемы можно подразделить на два класса: 1) микросхемы с активной подложкой; 2) микросхемы с пассивной подложкой. К первому классу относят микросхемы, все или часть элементов которых выполнены внутри самой подложки, представляющей собой пластину из полупроводникового материала, а второму - микросхемы, элементы которых размещены на поверхности подложки, выполненной из диэлектрического материала. Тип подложки определяется технологией изготовления интегральной микросхемы. Для полупроводниковых ИМС используют активные и пассивные подложки, для пленочных и гибридных ИМС, как правило, - пассивные, для БИС - активные и пассивные, СВЧ- и пьезокерамических микросхем - пассивные подложки [13].

На рис. 1.2 приведена классификация интегральных микросхем по конструктивно-технологическим признакам и физическому принципу работы элементов.

Для интегральных микросхем любого типа основными и наиболее сложными элементами являются транзисторы, которые по физическому принципу подразделяются на биполярные и униполярные (на МДП-структурах). В гибридных интегральных микросхемах используют бескорпусные дискретные биполярные и МДП-транзисторы, изготовляемые на основе кремния по планарно-эпитаксиальной технологии, диоды, бескорпусные микросхемы (иногда называемые чипами). В полупроводниковых интегральных микросхемах применяют биполярные и МДП-транзисторы, изготовляемляемые в основном по планарной технологии.

Все интегральные микросхемы подвергают герметизации с целью защиты их от внешних воздействий. По конструктивно-технологическим признакам герметизации интегральные микросхемы делят на корпусные и бескорпусные. Для первых применяют вакуумную герметизацию в специальных корпусах или опрессовку в пластмассу. Для вторых - покрытие эпоксидным или другими лаками.

По функциональному назначению различают цифровые, аналоговые (линейные) и аналого-цифровые интегральные микросхемы, а по применяемости в аппаратуре - изделия широкого и специального применения (по заказу потребителя).


Интегральные микросхемы стали основой элементной базы для всех видов электронной аппаратуры. Для построения различной аппаратуры (цифровой, аналоговой и комбинированной - аналого-цифровой) необходимы не отдельные микросхемы, а функционально полные системы (серии) микросхем. Поэтому элементную базу микроэлектронной аппаратуры составляют серии интегральных микросхем - совокупность микросхем, выполняющих различные функции, имеющих единую конструктивно-технологическую основу и предназначенных для совместного применения в аппаратуре.

Состав серии определяется в основном функциональной полнотой отдельных микросхем, удобством построения сложных устройств и систем и типом стандартного корпуса. В зависимости от функционального назначения и областей применения серии могут содержать от трех-четырех до нескольких десятков различных типов микросхем. С течением времени состав перспективных серий расширяется.

Все выпускаемые интегральные микросхемы в соответствии с принятой системой условных обозначений по конструктивно-технологическому исполнению делятся ив три группы: полупроводниковые, гибридные и прочие. К последней группе относят пленочные ИМС, которые в настоящее время выпускаются в ограниченном количестве, а также вакуумные, керамические и др. Этим группам в системе условных обозначений присвоены следующие цифры: 1, 5, 7 - ИМС полупроводниковые (7 - бескорпусные полупроводниковые ИМС); 2, 4, 6, 8 - ИМС гибридные; 3 - ИМС прочие.

По характеру выполняемых функций в радиоэлектронной аппаратуре ИМС подразделяются на подгруппы (например, генераторы, усилители, модуляторы, триггеры) и виды (например, преобразователи частоты, фазы, напряжения).

По принятой системе обозначение ИМС состоит из четырех элементов.

Первый элемент - цифра, соответствующая конструктивнотехнологической группе.

Второй элемент - две-три цифры, присвоенные данной серии ИМС как порядковый номер разработки. Таким образом, первые два элемента составляют три-четыре цифры, характеризующие полный номер серии ИМС.

Третий элемент - две буквы, соответствующие подгруппе и виду ИМС.

Четвертый элемент - порядковый номер разработки ИМС в данной серии, в которой может быть несколько одинаковых по функциональному признаку ИМС. Он может состоять как из одной, так и из нескольких цифр.

Иногда в конце условного обозначения добавляют букву, определяющую технологический разброс электрических параметров данного типономинала. Конкретное значение электрических параметров и отличие каждого типономинала друг от друга приводятся в технической документации.

В некоторых сериях (это также оговаривается в технической документации) буква в конце условного обозначения ИМС определяет тип корпуса, в котором выпускается данный типономинал. Например, буква П обозначает пластмассовый корпус, а буква М - керамический. Для микросхем широкого применения в начале условного обозначения указывается буква К. Обозначение принимает вид К140УД11. Если после буквы К перед номером серии указывается еще буква М, то это означает, что данная серия вся выпускается в керамическом корпусе (например, КМ155ЛА1).

Для серии в бескорпусном варианте, без присоединения выводов к кристаллу микросхемы, ставят букву Б перед обозначением серии (например, КБ524РП1А-4).

Для бескорпусных ИМС в состав сокращенного обозначения, через дефис вводится цифра, характеризующая соответствующую модификацию конструктивного исполнения (например, 703ЛБ1-2): с гибкими выводами - 1; с ленточными (паучковыми) выводами, в том числе на полиимидной пленке, - 2; с жесткими выводами - 3; на общей пластине (неразделенные) - 4; разделенные без потери ориентации (например, наклеенные на пленку) - 5; с контактными; площадками без выводов (кристалл) - 6.

Полупроводниковые ИМС

Полупроводниковые интегральные микросхемы получили широкое применение в основном из-за массового их использования в вычислительной технике. Все элементы и межэлементные соединения выполнены в объеме и на поверхности полупроводника.

Полупроводниковые интегральные микросхемы изготовляют на основе планарной технологии полупроводниковых приборов. Все элементы полупроводниковых ИМС (транзисторы, диоды, резисторы, конденсаторы и др.) формируют в едином технологическом потоке в тонком поверхностном слое полупроводниковой пластины (подложки) диаметром 40-150 мм и толщиной 0.2-0,4 мм [14].

На одной подложке диаметром 40-75 мм одновременно изготовляют до 1000 микросхем, после чего ее разрезают алмазным резцом или другими способами на прямоугольные пластины - отдельные кристаллы микросхемы [15]. Кристалл микросхемы крепят к основанию корпуса и, выполнив необходимые электрические соединения с внешними выводами, герметизируют.

Различают четыре типа полупроводниковых интегральных микросхем:

·        планарно-диффузионные (однокристальные) на биполярных структурах;

·        совмещенные (с тонкопленочными пассивными элементами);

·        на МДП-структурах (металл-диэлектрик-полупроводник);

·        многокристальные.

В планарно-диффузионных микросхемах элементы представляют собой области с различным типом электропроводности внутри монокристаллической полупроводниковой подложки. Эти элементы изолированы друг от друга либо обратносмещенным р-n-переходом, либо слоем диэлектрического материала, например окиси кремния.

Совмещенные микросхемы (рис. 1.4) - это сочетание полупроводниковой микросхемы с тонкопленочными элементами на подложке из кремния. Осаждение тонких пленок производят непосредственно после выполнения всех диффузионных операций; с помощью тонкопленочной технологии создают резисторы и конденсаторы. Эти элементы в микросхеме могут быть выполнены более точными по номинальным значениям по сравнению с диффузионным методом.

Рис. 3. Структура совмещенной микросхемы

Поэтому совмещенную технологию используют в основном для создания аналогичных (линейных) микросхем.

Микросхемы на МДП-структурах выполняют на основе полевого транзистора с изолированным затвором, структура которого показана на рис. 1.5. В интегральных микросхемах эти транзисторы используют в качестве как активных, так и пассивных элементов (нагрузочных резисторов), что обеспечивает максимальную повторяемость и технологичность при изготовлении микросхем. Микросхемы на МДП-структурах имеют более высокую степень интеграции по сравнению с другими типами подулупроводниковых микросхем.

Рис. 4. Полевой транзистор с изолированным затвором

Многокристальные микросхемы состоят из отдельных компонентов, расположенных на общей подложке и соединенных между собой тонкопленочными проводниками и проволочными выводами. С целью герметизации общую подложку размешают в корпусе. Изготовление многокристальных микросхем требует меньшего числа технологических операций, поскольку все компоненты выполняются отдельно; однако эти микросхемы в условиях массового производства несколько дороже, поскольку в них трудно автоматизировать сборочные операции.

Многокристальные микросхемы обладают лучшими рабочими характеристиками, так как влияние паразитных связей в них меньше, чем в однокристальных ИМС.

Пленочные и гибридные ИМС

В пленочных интегральных микросхемах элементы реализуются в виде пленок различной конфигурации из разных материалов. В зависимости от толщины используемых пленок и способа их нанесения различают тонкопленочные и толстопленочные ИМС.

Все элементы пленочной ИМС и соединения между ними наносят в определенной последовательности и требуемой конфигурации через трафареты на нагретую до соответствующей температуры полированную подложку (обычно из керамики). ИМС, в которых пассивные элементы (резисторы, конденсаторы) выполнены в виде пленок, а активными являются полупроводниковые приборы или кристаллы микросхем, называют гибридными. При изготовлении тонкопленочных резисторов в качестве материалов применяют хром, нихром, тантал, металлокерамические смеси, при изготовлении тонкопленочных конденсаторов - моноокись кремния и германия, окись тантала, а также органические пленки. Для получения проводников и контактных площадок используют медь, алюминий, золото, никель и другие материалы.

В настоящее время не существует стабильных пленочных активных элементов (диодов и транзисторов), так как возникают большие трудности при изготовлении качественных монокристаллических полупроводниковых пленок. Так, получаемые напылением в вакууме монокристаллические полупроводниковые пленки на изолирующей подложке, несмотря на принимаемые меры, содержат нежелательные примеси, приводящие к нестабильности и малому сроку службы активных элементов.

При изготовлении гибридных ИМС активные элеценты размещают на плате с пассивными элементами, представляющей собой тонкопленочную либо толстопленочную ИМС. В качестве активных элементов в гибридных ИМС применяют дискретные полупроводник новые миниатюрные элементы (диоды и транзисторы), а также диодные и транзисторные матрицы.

Активные элементы дли гибридных ИМС применяют или бескорпусными, поверхность которых защищена с помощью специальных защитных покрытий (лаки, эмали, смолы, компаунды и т.д.), или в миниатюрных металлических корпусах.

Наиболее распространенная конструкция толстопленочной интегральной микросхемы представляет собой керамическую подложку с пассивными и активными элементами, армированную иеобходимым количеством выводов, закрытую со стороны электрической схемы металлическим колпачком и залитую с обратной стороны изолирующим компаундом.

К достоинствам микросхем на толстых пленках относятся сравнительно меньшие сложность и стоимость оборудования для их изготовления, малые затраты при эксплуатации оборудования и более широкие возможности массового производства. Из схемотехнических преимуществ, следует указать на возможность изготовления резисторов больших номиналов. Недостатком микросхем на толстых пленках является трудность получения конденсаторов большой емкости (более 0.2 мкФ/см2).

Основные преимущества гибридных интегральных микросхем: возможность создания широкого класса цифровых и аналоговых микросхем при сравнительно коротком цикле их разработки: возможность получения пассивных элементов широкой номенклатуры с жесткими допусками; универсальность метода конструирования микросхем, позволяющая применять в качестве активных элементов бескорпусные интегральные микросхемы, МДП-приборы, диодные и транзисторные матрицы и т.д.; сравнительно высокий процент выхода годных микросхем.

Большие интегральные микросхемы

Как отмечалось, основной тенденцией интегральной микроэлектроники является повышение степени интеграции микросхем. Наряду с этим возрастает и функциональная сложность интегральных микросхем.

Для современной микроэлектроники характерна комплексная интеграция: технологических процессов, элементов на подложке, схемных функций в пределах единой структурной единицы, новых физических явлений, методов проектирования и этапов процесса создания микросхем.

Увеличение степени интеграции связано с уменьшением размеров активных и пассивных элементов, совершенствованием технологии изготовления и обработки подложек больших размеров, использованием новых, более совершенных активных элементов, обладающих технологическими и функциональными преимуществами и повышенной надежностью.

Увеличение числа элементов и возрастание функциональной плотности обусловили создание микросхем с высокой степенью интеграции - больших интегральных схем (БИС) [16].

Основными параметрами, характеризующими конструктивнотехнологические и схематические особенности БИС, являются степень интеграции, функциональная сложность, интегральная плотность, функциональная плотность и информационная сложность.

Функциональная сложность - среднее число преобразований в микросхеме, приходящихся на одну переменную.

Интегральная плотность - число элементов, приходящихся на единицу площади, занимаемой БИС.

Информационная сложность - среднее число элементов в БИС, приходящихся на преобразование одной переменной.

БИС являются сложными микросхемами, в объеме которым реализуются блоки, узлы и целые радиоэлектронные устройствам. Поэтому БИС не обладают широкой универсальностью и предназначаются в основном для конкретных типов аппаратуры.

Переход на БИС требует новых качественных изменений в конструировании радиоэлектронной аппаратуры.

Изготовление в едином технологическом процессе сложного функционального узла позволяет производить наилучшую оптимизацню его параметров, так как ведется расчет не отдельных элементов, а узла в целом. Объединение элементов в БИС повышает быстродействие узлов, уменьшает их восприимчивость к помехам: сокращается задержка передачи сигнала, достигается хорошая защита элементов от внешних помех.

Помимо повышения степени интеграции в пределах конструктивно оформленной микросхемы БИС дает возможность получить более высокие качественные показатели и большую надежность радиоэлектронных устройств при меньших затратах.

Повышение надежности БИС достигается путем уменьшения числа соединений в пределах одного реализуемого узла и сокращения количества технологических операций.

Снижение стоимости БИС по сравнению с узлами на обычных микросхемах обусловливается прогрессом технологии, позволяющим увеличивать степень интеграции, и уменьшением объема монтажно-сборочных работ.

По виду обрабатываемой информации БИС можно классифицировать на цифровые и аналоговые. Цифровые БИС обычно используют в устройствах обработки информации, к которым относятся полупроводниковые запоминающие устройства, многоразрядные регистры, счетчики, сумматоры и др. Примерами аналоговых БИС являются преобразователи напряжение - код и код - напряжение, блоки аппаратуры связи (тракты высокой и промежуточной частот, формирователи сигналов, многокаскадные схемы радиоустройств и т.д.).

По степени применяемости в разработках аппаратуры различают БИС общего и специального назначения.

Примерами цифровых БИС общего назначения являются различные полупроводниковые запоминающие устройства, регистры, дешифраторы, субсистемы и специальные вычислители. Аналоговые БИС общего назначения - это субсистемы взаимного преобразования напряжения в код, прецизионные операционные усилители высшего класса, усилители для высококачественного воспроизведения звука, СВЧ-субсистемы модулей для фазированных антенных решеток и другие устройства. К аналоговым БИС специального назначения относятся усилительные тракты радиоприемных и радиопередающих устройств на фиксированные частоты, формирователи частот из последовательности, определяемой частотами задающих генераторов или внешней тактовой частотой, и другие субсистемы.

Наибольшее применение БИС получили в вычислительных системах с производительностью порядка нескольких миллионов операций в секунду, где используют в основном полупроводниковые и гибридные БИС.

Развитие БИС происходит в направлении увеличения степени их интеграции и создания сверхбольших интегральных микросхем (СБИС). Число функциональных элементов в них может составлять несколько тысяч и даже десятков тысяч. Многокристальные СБИС могут объединять в одном корпусе несколько кристаллов БИС и дискретных бескорпусных активных элементов, образующих, например, всю электронную часть вычислительной машины. При разработке таких микросхем решают задачи не только схемотехники, но и системотехники.

Корпуса для интегральных микросхем

Корпуса интегральных микросхем должны удовлетворять ряду требований, обеспечивающих их надежную эксплуатацию. Корпус должен обладать достаточной механической прочностью, чтобы выдерживать нагрузки, возникающие при сборке, соединении с другими корпусами и во время эксплуатации. Стремятся получить возможно меньшие размеры корпуса и придать ему форму, позволяющую осуществлять компактную сборку. Конструкция корпуса должна позволять легко и надежно выполнять электрические соединения между микросхемой, расположенной внутри корпуса, и другими микросхемами. Паразитные индуктивности и емкости, несмотря на высокую плотность проводников в корпусе, должны быть минимальными, элементы в микросхеме - надежно изолированы друг от друга, а тепловое сопротивление между микросхемой и окружающей средой должно иметь минимально возможное значение.

Как правило, корпус интегральной микросхемы должен быть герметичным. Внутренняя среда в корпусе не должна сказываться на его рабочих характеристиках и надежности. Корпус должен защищать прибор или микросхему от внешних воздействий, в том числе от влияния света либо другого внешнего излучения, химического воздействия, например кислорода или влажности.

Для полупроводниковых микросхем разработано большое число различных типов корпусов, но применяют в основном плоский металлостеклянный или керамический, модифицированный вариант транзисторного корпуса типа ТО и пластмассовый корпус

Плоский корпус может быть прямоугольным или квадратным. Прямоугольный плоский металлостекляниый корпус имеет размеры 9,8×6,5 мм, высоту 2 мм и 14 выводов при шаге 0,625 мм.

Корпус типа ТО имеет круглую форму, диаметр 9,6 мм, высоту 4,6 мм, 8, 10 или 12 выводов. Корпуса типа ТО обладают высокой надежностью и хорошей экранировкой микросхемы от внешних электромагнитных воздействий. Основной деталью корпуса является металлический колпачок с отверстиями (по числу выводов), расположенными равномерно по кругу.

Пластмассовый корпус (рис. 1.8) находит все большее применение для полупроводниковых микросхем благодаря сравнительно невысокой стоимости. В отличие от корпусов других типов он не обладает способностью отводить теплоту и не может работать в больших температурных пределах, которые требуются в некоторых устройствах. Однако во многих случаях пластмассовый корпус вполне приемлем.

Рис. 4. Пластмассовый корпус для полупроводниковых микросхем

Условное обозначение конструкции корпуса состоит из шифра типоразмера корпуса, числа, указывающего количество выводов, и номера модификации. Шифр типоразмера корпуса состоит из обозначения типа корпуса (1, 2, 3 или 4) и двухзначного числа (от 01 до 99), означающего номер типоразмера. Например, корпус 201.14-2 - прямоугольный корпус типа 2, типоразмера 01, число выводов 14, модификация вторая.

Для гибридных микросхем применяют в основном три вида корпусов: металлостеклянный квадратный или прямоугольный, металлостеклянный круглый (по типу ТО) и пенальный.

Металлостеклянный квадратный корпус состоит из металлического основания с впаянными изолированными выводами, изолятора и металлической крышки. Выводы в основании корпуса герметизируют металлостеклянным спаем. После окончательного монтажа микросхемы герметизацию корпуса производят электронно-лучевой сваркой основания с крышкой. Допустимая рассеиваемая мощность 750 мВт.

Металлостеклянный круглый корпус состоит из изолятора, металлического фланца, крышки и выводов. Фланец имеет ключ, расположенный против вывода. Выводы в основании корпуса герметизируют металлостеклянным спаем. После окончательного монтажа микросхемы герметизацию корпуса осуществляют конденсаторной сваркой металлического фланца с крышкой. Допустимая рассеиваемая мощность 60 мВт.

Металлостеклянный круглый корпус на восемь выводов может иметь в необходимых случаях вывод, который приваривается к фланцу и служит для заземления корпуса.

Пенальный корпус состоит из алюминиевого кожуха, в который вставляют плату с пленочной микросхемой. К контактным площадкам приваривают контактную гребенку из меди (лента толщиной 0,1 мм, мягкая, серебреная), после обрезки которой образуются выводы. Транзисторы помещают в кассету, которую укрепляют на плате клеем, при совмещении выводов транзисторов с соответствующими контактами. Герметизацию корпуса осуществляют путем заливки компаундом со стороны выводов.

Кроме описанного вида применяют пенальные корпуса, состоящие из пластмассового основания с впрессованными в него выводами, изготовленными из бронзы, и алюминиевого кожуха.

При выборе вида корпуса руководствуются требованиями, предъявленными к условиям работы гибридной интегральной микросхемы. Корпусная защита рекомендуется в случаях длительной (более 10 сут.) эксплуатации микросхем в условиях повышенной влажности.

Рассмотренные металлостеклянные и металлополимерные (пенальные) корпуса обеспечивают длительную работу в условиях повышенной относительной влажности (до 98%) и в температурном диапазоне от -60 до +125°С.

2. Анализ программного обеспечения для моделирования механических и тепловых процессов

В работе использовались следующее программное обеспечение для решения поставленных задач: AutoCAD, ANSYS Workbench, ANSYS Icepak. Система AutoCAD использовалась для создания 3-D модели корпуса микросхемы, которая используется для механических расчетов в ANSYS Workbench и тепловых в ANSYS Icepak. Далее приведено описание каждой из систем.

Система Autocad

AutoCAD - это графическая система, работающая по принципу открытой архитектуры, кто позволяет применять AutoCAD не только для решения задач по строительству и архитектуре, но и множества других проектов [18].

Сам по себе AutoCAD предназначен для автоматизации проектно-конструкторских работ, очень удобен для работы как отдельных архитекторов и проектировщиков, так и для работы целого бюро.

Главная задача САПР AutoCAD - это предоставить возможность специалистам для автоматизированного параметрического твердотельного моделирования трехмерных объектов, состоящих из нескольких сотен компонентов [19]. Позволяет организовывать совместную работу нескольких специалистов разом, а также удобный обмен данных, как с другими САПР, так и с графическими редакторами, а также широкие возможности по проектировке конструкторской документации и осуществлению документооборота. Рабочая среда AutoCAD приведена на рисунке 5.

Рис. 5. Рабочая среда AutoCAD

AutoCAD обеспечивает высокую скорость работы по проектировке трехмерных изделий, также очень широкие возможности по комплексному редактированию готовых моделей, а также возможности перевода трехмерного изображения в двухмерное и наоборот. Помимо этого AutoCAD предоставляет удобные возможности по предоставлению разреза и других возможных представлений спроектированной детали, это ощутимо экономит время конструкторам.

Ранние версии AutoCAD оперировали элементарными объектами, такими как круги, линии, дуги и др., из которых составлялись более сложные объекты [20]. Однако на современном этапе программа включает в себя полный набор средств, обеспечивающих комплексное трёхмерное моделирование, в том числе работу с произвольными формами, создание и редактирование 3D-моделей тел и поверхностей, улучшенную 3D-навигацию и эффективные средства выпуска рабочей документации. Начиная с версии 2010, в AutoCAD реализована поддержка параметрического черчения, то есть возможность налагать на объект геометрические или размерные зависимости. Это гарантирует, что при внесении любых изменений в проект, определённые параметры и ранее установленные между объектами связи сохраняются.

Самые современные версии AutoCAD позволяют вести работу одновременно над несколькими чертежами, которые могут быть связаны и менять свои параметры относительно друг друга. Так же имеет очень мощные средства по визуализации спроектированной модели в трехмерном пространстве. Удобный и адаптивный интерфейс AutoCAD позволит настроить его под нужды конкретного пользователи, либо задачи, связывает графические объекты с внешними базами данных. Позволяет использовать чертеж в режиме просмотре без его обязательной загрузки.

Многие компании специально разрабатывают дополнительные модули, плагины и приложения для AutoCAD. Эти решения ощутимо расширяют систему, позволяют рассчитывать прочностные характеристики моделей, изменять принцип работы, дополнять базу материалов, рассчитывать воздействие различных погодных и других явлений, рассчитать динамику и кинематику объекта и провести полные исследования без изготовления прототипа изделия.

Пользователи AutoCAD всегда имеют под рукой эффективную систему документации. Она позволяет создавать разнообразные проекты, работать с таблицами и текстовыми вставками, ускоряет проверку чертежей, а также взаимодействует с MS Excel [21]. Для работы с двухмерными проектами лучшей утилиты просто не найти, ведь она располагает самими необходимыми инструментами.

Программа обладает удобным интерфейсом, пользователю доступно масштабирование изображений, а также панорамные функции. Кроме основного функционала для составления чертежей, утилита посредством ссылок позволяет выполнять привязку объектов, которые хранятся в иной базе данных. Еще один дополнительный и весьма полезный инструмент AutoCAD - вывод на печать нескольких чертежей одновременно.

Последняя версия утилиты располагает инструментами для трехмерного проектирования, дает возможность просматривать модели под различными углами, экспортировать их с целью создания анимации, проверять интерференцию, извлекать данные для проведения технического анализа.поддерживает несколько форматов файлов:

1.       DWG - закрытый формат, разрабатываемый непосредственно утилитой;

.        DXF - открытый формат, используется для обмена данными с пользователями иных САПР;

.        DWF - для публикации 3D-моделей и чертежей.

Все перечисленные форматы позволяют работать с несколькими слоями, в результате чего проектирование становится особенно удобным, ведь в такой способ над каждым объектом можно трудиться по отдельности. Слои при необходимости можно отключать, делая тем самым объекты невидимыми.

Помимо этого, программа поддерживает чтение и запись (посредством процедур экспорта / импорта) файлов таких форматов: SAT, DGN, 3DS. Сегодня без настоящего программного обеспечения не обходится ни одно архитектурно-проектное бюро. Это и не удивительно, ведь AutoCAD поддерживает как индивидуальную, так и коллективную разработку архитектурных проектов [22].

Благодаря специальным алгоритмам визуализации, существенно ускоряется обработка ресурсоемких процессов. К тому же, в утилите предусмотрен вывод на печать материалов больших размеров, что весьма важно при составлении крупных проектных планов.

Обзор интерфейса AutoCAD

 

На рисунке 6 приведено главное окно программы. Интерфейс программы состоит из:

Рис. 6. Главное окно программы

1.       панели быстрого доступа;

.        ленты;

.        строки состояния;

.        видовой панели;

.        командной строки;

.        рабочего поля.

1. Панель быстрого доступа (рис. 2.3).

По умолчанию включает в себя стандартный набор наиболее часто используемых команд: «Создать», «Открыть», «Сохранить», «Печать», «Отменить» и «Повторить». Программа предоставляет возможность самостоятельно задать команды и инструменты, выводимые на панель быстрого доступа.


Рис. 7. Панель быстрого доступа

2. Лента (рис. 8).

Структура ленты состоит из вкладок, содержащих несколько панелей каждая, которые в свою очередь включают в себя инструменты и элементы управления. По умолчанию лента расположена в верхней части окна. AutoCAD предоставляет возможность пользователю самостоятельно редактировать внешний вид ленты, а также делать панели плавающими, открепляя их от ленты.

Рис. 8. Основные элементы ленты

Основные элементы Ленты:

1.       Вкладка - включает в себя сгруппированные панели. Очередность расположения вкладок на ленте можно изменять.

.        Панель - Содержит набор инструментов.

.        Кнопка развертывания - Развертывает панель для отображения дополнительных инструментов.

.        Развернутая панель.

.        Булавка - по умолчанию отключена, в таком режиме развернутая панель автоматически сворачивается при отводе от нее курсора. При включенной булавке, развернутая панель не сворачивается.

.        Название панели.

. Строка состояния (рис. 9).

Строка состояния включает в себя значки для быстрого доступа и управления чертежными средствами. При помощи контекстного меню, открываемого щелчком ПКМ по полю строки, можно переключать вид отображения строки - знаки или текстовые метки.

В левой части строки находятся значки управления и доступа чертежными средствами: «Привязка», «Сетка», «Вес линий», «Динамический ввод».

Рис. 9. Строка состояния

4. Видовая панель (рис. 10).

Видовая панель является модулем управления видового окна и включает в себя:

·        Гизмобокс, предназначен для перемещения и вращения вида в пространстве. Включает в себя возможность выбора стандартных проекционных видов;

·        меню выбора системы координат;

·        меню видовых инструментов.


Рис. 10. Видовая панель

5. Командная строка (рис. 11).

Командная строка в текстовом режиме отображает все производимые операции пользователя. А также дает возможность текстового ввода команд и использования подменю команд в текстовом режиме.


Рис. 11. Командная строка

Программный комплекс ANSYS

ANSYS - универсальная программная система конечно-элементного (КЭ) анализа, которая на протяжении последних 30 лет является одним из мировых лидеров в области компьютерного инжиниринга (CAE, Computer-Aided Engineering) и КЭ решения линейных и нелинейных, стационарных и нестационарных пространственных задач механики деформируемого твердого тела и механики конструкций (включая нестационарные геометрически и физически нелинейные задачи контактного взаимодействия элементов конструкций), задач механики жидкости и газа, теплопередачи и теплообмена, электродинамики, акустики, а также механики связанных полей.

Программная система КЭ анализа ANSYS разрабатывается американской компанией ANSYS Inc., которая в течение последних нескольких лет входит в список наиболее быстро растущих и динамично развивающихся компаний США. Использование системы ANSYS дает возможность ее клиентам производить продукцию высокого качества и быстро добиваться успеха на рынке товаров и услуг. В течение этого времени фирма ANSYS Inc., непрерывно совершенствуя технологию, создает мощные, гибкие и удобные системы КЭ моделирования (ANSYS, DesignSpace, AI Solutions (NASTRAN, ICEM CFD)). Эти CAE-системы предназначены для использования в разных отраслях производства, где обеспечивают полноценную инженерную поддержку проектных разработок при максимальной эффективности затрат на вычислительную технику и программные средства.

Компания ANSYS Inc следует подходу к проектированию и производству изделий, который опирается на расчет, строится с привязкой к анализу и позволяет избежать дорогостоящих и длительных циклов разработки типа «проектирование - изготовление - испытания». В качестве стратегического партнера фирма сотрудничает со многими компаниями, помогая им провести необходимые изменения и сохранить первенство в конкурентной борьбе. Предлагаемые фирмой ANSYS Inc. средства численного моделирования и анализа удобны для пользователя, совместимы с другими пакетами, работают на различных платформах и позволяют решать связанные задачи механики и физики[23].

Программная система ANSYS является широко известной CAE-системой мирового уровня, которая используется на таких всемирно известных предприятиях, как ABB, BMW, Boeing, Caterpillar, Daimler-Chrysler, Exxon, FIAT, Ford, GeneralElectric, Lockheed, MeyerWerft, Mitsubishi, Siemens, Shell, Volkswagen-Audi и др., а также применяется на многих ведущих предприятиях промышленности РФ. Программная система ANSYS эффективно сопрягается с известными CAD-системами Unigraphics, CATIA, Pro/ENGINEER, SolidEdge, SolidWorks, AutodeskInventor и др.

В настоящее время программная система ANSYS представляет собой многоцелевой пакет проектирования и анализа, признанный во всем мире. В настоящее время программа ANSYS насчитывает более 100 000 коммерческих и 100 000 университетских рабочих мест по всему миру. В СНГ коммерческие версии программы ANSYS приобрели и используют уже более 200 организаций. ANSYS был первым коммерческим конечноэлементным продуктом, получившим в свое время сертификат ISO. Сегодня все программные продукты ANSYS сертифицированы согласно серии стандартов ISO 9000,1 [24].

С 2002 г. программа ANSYS бессрочно аттестована Госатомнадзором России (аттестация проводилась НТЦ по ядерной и радиационной безопасности)

Регистрационный номер ПС в ЦОЭП при РНЦ КИ - 490

Регистрационный номер паспорта аттестации ПС - 145

Дата регистрации 10.09.2002

Описание подсистемы ANSYS Workbench

Workbench - это единая интерактивная среда, интегрирующая различные программные продукты, разрабатываемые ANSYS Inc. как друг с другом, так и с CAD-системами, имеющая модульную структуру и дающая новые возможности как в препроцессорной подготовке, так и в решении задач и обработке результатов.

Основное призвание Workbench в том, чтобы максимально ускорить, упростить, повысить эффективность и унифицировать постановку задач вне зависимости от их принадлежности к той или иной физической дисциплине и используемого решателя [26].

Оболочка и модуль DS (Design Simulation) входят в состав всех базовых лицензий ANSYS (Multiphysics, Mechanical, Structural, Professional) и не требуют отдельной оплаты. В случае, если помимо базового программного продукта приобретается также и другой / другие (например ICEM, CFX, AutoDYN), они интегрируются в среду Workbench и помимо возможности самостоятельного запуска получают взаимодействия в рамках этой среды, обретая в ней вид модулей.имеет и собственные, присущие только этой среде модули, которые поставляются опционно. К их числу относятся DM (Design Modeler), DX (Design Xplorer), Fatigue. На рисунке 2.8 приведено главное окно Design Modeler.

Рис. 12. Design Modeler

Обзор интерфейса ANSYS Workbench

После загрузки ANSYS Workbench будет выведено основное окно программы (рис. 13), состоящее в свою очередь из нескольких окон. Каждое из окон может быть изменено в размерах, свернуто или закрыто обычными средствами Windows. Ниже представлено описание и функциональные особенности окон.

Рис. 13. Главное окно ANSYS Workbench

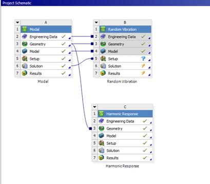
Окно Project Schematic (рис. 14) - главное окно проекта, расположено в центре основного окна Workbench. Содержит структурные компоненты проекта (блоки) и связи между ними. Такой подход позволяет наглядно представлять части проекта и управлять связями между его отдельными блоками.

Рис. 14 Окно Project Schematic

Окно Toolbox (рис. 15) - окно инструментов проекта, расположено слева от окна Project Schematic. Содержит несколько разделов, отображенных в виде раскрывающихся списков. Первый из них: Analysis Systems - раздел, содержащий все виды инженерных анализов, выполняемых в ANSYS. Перечень рассматриваемых в настоящем пособии видов инженерного анализа будет дан ниже.

Рис. 15. Окно Toolbox

Component Systems - раздел, содержащий отдельные компоненты инженерного анализа, такие как: геометрическая модель, конечно-элементная сетка и др.

Раздел Custom Systems содержит шаблоны для связанных инженерных расчетов, то есть когда результаты решения одной задачи являются исходными данными для другой. Типичным примером связанного анализа может служить термопрочностная задача, в которой для определения прочностных характеристик используются предварительно полученные результаты решения тепловой задачи. Последний раздел Design Exploration содержит инструменты для оптимизации моделей по набору геометрических или физических параметров, построения их корреляционных матриц и в настоящем пособии не рассматривается.

Окно Properties - окно, в котором отображаются свойства выбранного в Project Schematic объекта. Все свойства объекта в данном окне отображаются в виде таблицы, в первом столбце которой записано наименование свойства или параметра, а во втором отражено его значение, либо флажок активации свойства. Если второй столбец окна свойств не отображается на экране, то нужно увеличить размер окна, перетащив его левую границу влево с помощью мыши.

В нижней части экрана расположено окно Messages, которое служит для отображения служебных сообщений, предупреждений или сообщений об ошибках. Если компьютер имеет подключение к сети Интернет, то в окне Messages могут отображаться новости, рассылаемые компанией ANSYS об обновлениях своих программных продуктов, конференциях пользователей и пр. Управляет отображением окна сообщений кнопка Hide/Show Messages, расположенная в нижнем правом углу основного окна Workbench.

Места расположения вышеперечисленных окон внутри основного окна Workbench могут быть изменены пользователем по своему усмотрению. Перетащить окно на новое место можно, удерживая нажатой левую клавишу мыши на заголовке окна. Для восстановления принятых по умолчанию положений всех окон нужно выбрать пункт Reset Window Layout в меню View.

В верхней части основного окна расположены кнопки для стандартных операций с проектом. Помимо операций создания, открытия и сохранения имеется возможность импортировать проект (или его отдельные файлы) формата предыдущих версий Workbench или импортировать файлы других CAD/CAE-систем.

Кнопка Refresh Project запускает обновление входных данных проекта, а кнопка Update Project считывает обновленные входные данные и запускает пересчет проекта для получения новых результатов анализа. Кнопка Compact Mode включает упрощенный вид основного окна Workbench, в котором при наведении курсора на заголовок окна отображено только содержимое проекта.

Основные настройки среды Workbench можно изменить в меню Tools/Options. Для возврата к настройкам по умолчанию нужно нажать кнопку Restore Defaults в нижней части окна настроек.

Меню Units позволяет задавать систему единиц измерения, принимаемую для всех расчетов в проекте. Текущая система единиц отмечена слева галочкой и в любой момент может быть изменена. Следует отметить, что геометрический модуль, модуль симуляции и другие также позволяют в процессе работы изменять систему единиц измерения.

ANSYS Icepak

ANSYS Icepak - это мощный инструмент для решения задач охлаждения электроники. ANSYS Icepak использует всем хорошо известный встроенный решатель ANSYS Fluent. Сочетая в себе передовые технологии решателя, генератор адаптивной сетки и простой графический интерфейс, ANSYS Icepak позволяет быстро получить точные результаты теплового анализа системы охлаждения любого электронного устройства.

Более десяти лет компании во всем мире доверяют ANSYS Icepak тепловой анализ интегральных микросхем, печатных плат и электронных устройств, а так же проводят проверку всех конструктивных изменений перед изготовлением физических прототипов и проведением испытаний.

Возможности ANSYS Icepak

ANSYS Icepak обладает возможностями, которые позволяют быстро построить модель системы охлаждения интегральной микросхемы, печатной платы и электронного блока.

Для создания полной модели электронного устройства используются такие объекты, как вентиляторы, интегральные микросхемы, печатные платы и радиаторы. Модели создаются простым перетаскиванием из панели инструментов иконки объекта. Эти объекты содержат информацию о геометрических размерах, свойствах материала, параметрах настройки сетки и граничные условия. Все эти значение могут быть параметризованными для исследования и оптимизации конструкций.

Рис. 16. Контур электрического потенциала импортированной топологии печатной платы

Для ускорения разработки модели ANSYS Icepak поддерживает импорт топологи печатной платы (ECAD) и 3D модели (MCAD) из различных средств автоматизированного проектирования.

Топология печатной платы может быть импортирована в ANSYS Icepak с помощью файлов формата IDF, MCM, BRD и TCB, созданных в средах Cadence Allegro или Cadence Allegro Package Designer. Дополнительный программный продукт ALinks расширяет возможности ANSYS Icepak, позволяя импортировать ECAD данные из Cadence, Zuken, Sigrity, Synopsys и Mentor Graphics [27].Icepak поддерживает импорт 3D моделей в виде файлов нейтральных форматов STEP и IGES. Импорт 3D моделей из других средств автоматизированного проектирования обеспечивается геометрическим интерфейсом ANSYS Workbench, с помощью ANSYS DesignModeler.

Импортированная геометрия и топология печатной платы могут совместно использоваться со встроенными объектами ANSYS Icepak для еще более эффективного построения моделей электронных устройств.Icepak содержит передовые алгоритмы для автоматической генерации сетки высокого качества, которая точно определяет и повторяет форму электронных компонентов. Существует возможность выбрать тип сетки (hex-dominant, unstructured hexahedral или Cartesian) и запустить процесс построения сетки с минимальным вмешательством пользователя. Плотность сетки может быть увеличена для определенных компонентов с помощью дополнительных настроек, при этом настройки сетки остальных компонентов модели не изменятся.

Рис. 17. Сетка для радиатора микросхемы из листового материала

Обладая полностью автоматизированным процессом генерации сетки, ANSYS Icepak содержит дополнительные инструменты управления сеткой, которые позволяют сократить время расчета, при этом сохранив точность решения.

Решатель Fluent

ANSYS Icepak использует самые современные технологии решателя ANSYS Fluent для расчета теплообмена и движения воздушных потоков. Решатель Icepak поддерживает все способы теплопередачи: теплопроводность, конвекция и излучение, а так же стационарные и нестационарные расчеты для решения задач охлаждения электронных устройств. Решатель использует многосеточный (multigrid) метод для ускорения сходимости задач с сопряженным теплообменом. Это обеспечивает гибкость сетки и позволяет проводить тепловой анализ самых сложных электронных устройств, используя неструктурированные сетки, и при этом быстро получать точное решение.

Рис. 18. Тепловое поле и линии воздушного потока корпуса с массивом печатных плат и тремя осевыми вентиляторами

1.3 Расчет корпуса микросхемы 4-х процессорной «системы на кристалле» в программном комплексе ANSYS

Для проверки соответствия требованиям ТЗ, была поставлена задача разработки 3-D модели корпуса Kyocera KD-PB1D79 при помощи системы AutoCAD. В этой части работы показаны этапы создания модели и последующего ее моделирования в программном комплексе ANSYS.

Постановка задачи

Соответствие требованиям ТЗ одно из главных условий стабильного функционирования изделия. Была поставлена задача проверить, работает ли устройство в пределах заданных температур (до +155 ОС) в заданных условиях температуры окружающей среды (+40 ОС) и заданной рассеиваемой мощности (2.5 Вт). Также необходимо узнать, деформируется ли корпус устройства при воздействии на него линейного ускорения в размере 10000g. Для создания документации к устройству необходимо узнать собственные и резонансные частоты устройства при подаче на него случайных и синусоидальных вибраций.

Создание 3-D модели корпуса в системе Autocad

Для исследования в программном комплексе ANSYS корпуса микросхемы была создана его 3-D модель в системе AutoCAD, так как встроенная в ANSYS система для создания 3-D моделей, SpaceClaim, является неудобной, со скудными возможностями. При создании модели были проделаны шаги по ее упрощению, чтобы расчеты в ANSYS стали возможными, не требовали огромного количества оперативной памяти и не занимали большое количество времени (сутки и более).

В частности, были убраны все скругления на крышке корпуса. Ножки микросхемы было принято сделать в виде параллелепипедов, так как сетка, автоматически генерируемая в ANSYS, получается гораздо проще, если в модели отсутствуют «круглые» элементы. Готовая модель корпуса представлена на рисунке 19.

Рис. 19. Модель корпуса микросхемы в системе AutoCAD

Также на модель были помещены «датчики» в виде кубов, так как ANSYS не позволяет узнать результаты исследования в какой либо точке на плоскости устройства, только на гранях или вершинах. Кубы эти достаточно малы и выбираются из легкого материала, чтобы никак не влиять на результаты исследований.

Тепловое моделирование в системе ANSYS Icepak

Тепловое моделирование было проведено в системе ANSYS Icepak. При заданных условиях окружающей среды (температура +40 ОС), температура на корпусе микросхемы была более 100 ОС. Такая температура является довольно высокой и близкой к критичному значению в 155 ОС, поэтому было принято решение установить медный радиатор, размером 30 × 30 мм. Это позволило снизить температуру на корпусе микросхемы до 87 ОС. Результаты исследования показаны на рисунках 20 и 21.

Рис. 20. Результаты тепловых исследований, вид сверху

Рис. 21. Результаты тепловых исследований, вид снизу

Результаты моделирования в системе ANSYS Workbench

Первым исследовалось воздействие на устройство линейного ускорения в 10000g. Главным условием является то, что при таком воздействии, корпус микросхемы не должен деформироваться. Результаты исследования представлены на рисунке 22.

Рис. 22. Результаты воздействия на устройство линейного ускорения в 10000g

Из рисунка видно, что, несмотря на солидную деформацию печатной платы, корпус устройства не деформировался - линии ровные. Из полученных результатов можно сделать вывод, что при таком воздействии, сначала сломается печатная плата, на которой установлена микросхема, но сам корпус устройства останется целым, что удовлетворяет требованиям ТЗ.

Для дальнейших исследований на конструкцию подаются сначала синусоидальные, потом случайные вибрации. Выходным результатом является АЧХ - амплитудно-частотная характеристика, зависимость линейного отклонения по оси Z от частоты вибраций. Результаты воздействия случайных вибраций представлены на рисунке 23.

Рис. 24. Результаты воздействия на конструкцию синусоидальных вибраций

На рисунке 25 эти результаты показаны в виде таблицы.

Рис. 25. Результаты воздействия на конструкцию синусоидальных вибраций в виде таблицы


Рис. 26. Результаты воздействия на конструкцию случайных вибраций (данные с датчика, расположенного на крышке корпуса)

Рис. 27. Результаты воздействия на конструкцию случайных вибраций (данные с датчика, расположенного на печатной плате)

Из результатов видно, что резонанс в заданном промежутке частот не наступает, но корпус микросхемы более вибронагружен, чем печатная плата, на которой он располагается.

Также необходимо отметить, что для более точных результатов исследования, нужно для каждого из материалов конструкции точно определить некоторые его свойства - коэффициент теплового расширения, модуль Юнга, коэффициент Пуассона, модуль объемного сжатия и модуль сдвига. Пример таблицы с параметрами материала приведен на рисунке 28.

Рис. 28. Таблица с параметрами материала крышки корпуса (алюминий)

Выводы

Как показали результаты моделирования, корпус Kyocera KD-PB1D79 полностью отвечает требованиям ТЗ.

Устройство работает в заданном диапазоне температур - температура на корпусе микросхемы составляет +87 ОС, что не превышает +155 ОС. В процессе исследования было принято решение установки в конструкцию медного радиатора для снижения температуры на корпусе.

В исследовании на линейное ускорение амплитудой 10000g, было выяснено, что сам корпус микросхемы не деформируется, в отличие от печатной платы, которая сломается при гораздо меньшем воздействии.

В результате исследования конструкции на синусоидальные и случайные вибрации, были сделаны выводы, что в заданном диапазоне частот резонанса ни на корпусе микросхемы, ни на печатной плате не возникает. Это позволяет сделать вывод о том, что дополнительные изменения, связанные с уменьшением воздействия вибраций, вносить в конструкцию не требуется.

2. Конструкторско-технологическая часть

.1 Особенности оформления конструкторской документации РЭА в соответствии с ЕСКД

микросхема программный механический интегральный

Как известно, основой грамотного оформления конструкторской документации в России и СНГ является ЕСКД - единая система конструкторской документации, основные положения которой (действующая в настоящее время редакция) определены ГОСТ 2.001-93, введенном с 1 января 1995 года. Этот стандарт устанавливает назначение, область распространения, классификацию и правила обозначения межгосударственных стандартов, входящих в комплекс стандартов Единой системы конструкторской документации (ЕСКД), а также порядок их внедрения.

ЕСКД определяется как комплекс стандартов, устанавливающих взаимосвязанные нормы и правила по разработке, оформлению и обращению конструкторской документации, разрабатываемой и применяемой на всех стадиях жизненного цикла изделия. Следует заметить, что конструкторская документация является товаром, и на нее распространяются все нормативно-правовые акты, как на товарную продукцию. Основное назначение стандартов ЕСКД состоит в установлении единых оптимальных правил выполнения, оформления и обращения конструкторской документации, которые обеспечивают:

·        применение современных приемов и средств при проектировании изделий;

·        возможность взаимообмена конструкторской документацией без ее переоформления;

·        оптимальную комплектность конструкторской документации;

·        автоматизацию обработки конструкторских документов и содержащейся в них информации;

·        высокое качество изделий;

·        возможность расширения унификации и стандартизации при проектировании изделий;

·        возможность проведения сертификации изделий;

·        сокращение сроков и снижение трудоемкости подготовки производства;

·        правильную эксплуатацию изделий;

·        оперативную подготовку документации для быстрой переналадки действующего производства;

·        упрощение форм конструкторских документов и графических изображений;

·        возможность создания единой информационной базы автоматизированных систем (САПР, АСУП и др.);

·        гармонизацию с соответствующими международными стандартами.

Стандарты ЕСКД распространяются на изделия машиностроения и приборостроения. Область распространения отдельных стандартов расширена, что оговорено во введении к ним. Установленные стандартами ЕСКД нормы и правила по разработке, оформлению и обращению документации распространяются на следующую документацию:

·        все виды конструкторских документов;

·        учетно-регистрационную документацию для конструкторских документов;

·        документацию по внесению изменений в конструкторские документы;

·        нормативно-техническую, технологическую, программную документацию, а также научно-техническую и учебную литературу, в той части, в которой они могут быть для них применимы и не регламентируются другими стандартами и нормативами, например форматы и шрифты для печатных изданий и т.п.

Установленные в стандартах ЕСКД нормы и правила распространяются на документацию, разработанную предприятиями и предпринимателями стран СНГ, в том числе научно-техническими, инженерными обществами и другими общественными объединениями.

Обозначение стандарта состоит из:

·        индекса категории стандарта - ГОСТ;

·        цифры 2, присвоенной комплексу стандартов ЕСКД;

·        цифры (после точки), обозначающей номер группы стандартов в соответствии с таблицей;

·        двузначного числа, определяющего порядковый номер стандарта в данной группе;

·        двух последних цифр (после тире), указывающих две последние цифры года утверждения стандарта.

Виды конструкторских документов определяются ГОСТ 2.102-68. К конструкторским документам относят графические и текстовые документы, которые в отдельности или в совокупности определяют состав и устройство изделия и содержат необходимые данные для его разработки или изготовления, контроля, приемки, эксплуатации и ремонта.

Документы, предназначенные для разового использования в производстве, такие как документы макета, стендов для лабораторных испытаний и им подобные, допускается выполнять в виде эскизных конструкторских документов.

При определении комплектности конструкторских документов на изделия следует различать:

·        основной конструкторский документ;

·        основной комплект конструкторских документов;

·        полный комплект конструкторских документов.

Основной конструкторский документ изделия в отдельности или в совокупности с другими записанными в нем конструкторскими документами полностью и однозначно определяют данное изделие и его состав.

За основные конструкторские документы принимают:

·        для деталей - чертеж детали;

·        для сборочных единиц, комплексов и комплектов - спецификацию.

Изделие, примененное по конструкторским документам, выполненным в соответствии со стандартом ЕСКД, записывают в документы других изделий, в которых оно применено, за обозначением своего основного конструкторского документа. Считается, что такое изделие применено по своему основному конструкторскому документу. Основной комплект конструкторских документов изделия объединяет конструкторские документы, относящиеся ко всему изделию, например, сборочный чертеж, принципиальная электрическая схема, технические условия, эксплуатационные документы. Конструкторские документы составных частей в основной комплект документов изделия не входят.

Полный комплект конструкторских документов изделия составляют в общем случае из следующих документов:

·        основного комплекта конструкторских документов на данное изделие;

·        основных комплектов конструкторских документов на все составные части данного изделия, примененные по своим основным конструкторским документам.

В основной комплект конструкторских документов изделия могут входить также групповые конструкторские документы, если эти документы распространяются и на данное изделие, например, групповые технические условия.

3. Охрана труда

Комплекс мероприятий, направленных на обеспечение безопасности на рабочем месте человека, в том числе и сохранности его жизни, включающих в себя профилактику, гигиену, организацию и проведение мер правовой, социально-экономической и технической направленности, называется охраной труда.

Когда производственный процесс в полной мере соответствует всем требованиям и нормам трудовой безопасности, согласно всем нормативно-правовым документам, он называется производственно безопасным.

Организация системы технических мероприятий, направленных на отсутствие возникновения различных опасных факторов на производстве называется безопасностью труда.

Производственные факторы делятся на: опасные и вредные. Зависят от срока применения и интенсивности применения.

Когда в результате воздействия, работник получает травму или у него ухудшается здоровье, то производственный фактор называют опасным.

Когда в результате воздействия, работник заболевает или снижается его работоспособность, то производственный фактор называют вредным.

Производственные факторы имеют следующую классификацию:

·        химические

·        психофизиологические

·        физические

·        биологические.

3.1 Электробезопасность

Как говорилось в специальной части, механический и тепловой расчет производится в системе ANSYS, что означает использование ЭВМ[28]. Для питания почти всех персональных компьютеров используется напряжение 220 вольт и частота 50 Гц, поэтому при проведении работ необходимо заботиться об электробезопасности. Электрическая сеть, имеющая такое напряжение несет опасность здоровью и жизни работника.

Технические и организационные мероприятия, направленные на обеспечение защищенности человека от различного рода электрического воздействия, например ток, электромагнитное и тд.

В первую очередь проблема электрического удара заключается в том, что человек не может опознать ток ни по каким внешним признакам. Так же необходимо заметить, что по причине скоротечности процесса электрического удара и природа процесса протекания тока, человек не имеет возможности самолично освободиться. Это связано с пониженной скоростью реагирования человеческого тела.

Основные причины, приводящие к электротравматизму:

·        нарушение всех правил использования оборудования, питающегося от электрического тока;

·        нарушение изоляции токопроводящих изделий;

·        неверное применение заземления;

·        нарушений условий работы с изделием, предписанных по нормативам;

·        нарушение правил безопасности при работе с переносным электрическим оборудованием;

·        работа с оборудованием неквалифицированных кадров, а так же некачественная работа отдела Охраны труда.

Электрический ток оказывает на тело человека следующие виды внешнего воздействия:

·        Термовоздействие - нагревание внешних тканей тела человека;

·        Электролитическое воздействие - нанесение вреда крови человека;

·        Биовоздействие - нанесение вреда живым тканям внутри организма;

·        Механическое воздействие - возможность нанесения вреда из судороги мышц человека.

Для того чтобы избежать поражения током на рабочем месте, необходимо соблюдать следующие предписания:

·        использовать защитные ограждения;

·        использовать защитные оболочки;

·        максимально удалять токопроводящие части;

·        изолировать токопроводящие части;

·        заземлить рабочее место;

·        использовать максимально низкое напряжение;

·        использовать аварийное выключение системы;

·        использование различного вида сигнализаций.

Также существует вероятность электрического удара при прикосновении к нетокопроводящим частям, по причине нарушения изоляции. Для избегания этого необходимо:

·        зануление;

·        использование заземления;

·        необходимо выравнивать потенциал;

·        использование защитных проводов;

·        проверка изоляции;

·        распределять ток по различным ветвям;

·        компенсировать ток замыкания на землю;

·        применение индивидуальной защиты.

Для рационального обеспечения оптимальной защиты, необходимо применять вышеизложенные способы, в лучшем случае несколько из них. Требования по электробезопасности обязаны быть нормированы и указываться в стандартах предприятия или технических условиях.

3.2 Пожарная безопасность

Одним из самых массовых явлений, которые несут человеческую смерть и ущерб материальной базе, является пожар. Меры по пожарной безопасности носят государственный характер. Ежегодно на защиту от пожаров тратится большое количество сил и средств на защиту от пожаров.

Защита от пожаров заключается в поиске наиболее действенных и рациональных средств, обеспечивающих предупреждение пожаров.

Пожаробезопасностью называется свойство объекта, обеспечивающее низкую вероятность появления пожара, а так же объект соответствует всем требованиям допустимых значений.

Пожаробезопасность необходимо для проведения профилактических мероприятий, направленных на защиту объектов потенциально подверженных пожарам.

Комплекс мероприятий, а так же технических средств, созданных для понижения вероятности пожара называется системой пожаробезопасности.

Комплекс мероприятий и технических средств, созданных для понижения ущерба от возникшего пожара, называется системой активной пожаробезопасности.

Комплекс мероприятий и технических средств, созданных для ограничения появления пожара, а так же ограждения людей от пожара, называется противопожарной профилактикой.

В настоящее время на каждом мероприятие создаются стандарты и нормативно-технические документы, регламентирующие средства борьбы с предупреждением и борьбой с пожарами.

 


4. Экологическая часть


4.1 Микроклимат


Движение воздуха, окружающая температура и влажность суммарно определяют микроклимат рабочего места.

Когда приходится работать с персональным компьютером необходимо задумываться о микроклимате рабочего места.

Перегреву помогает высокая влажность, нарушающая теплоотдачу за счет повышенной температуры или чрезмерно усиливающая теплоотдачу при пониженной температуре. Поэтому в рабочей зоне должна сохраняться умеренная влажность при умеренной температуре, это способствует сохранению функциональных возможностей работника. Такое состояние достигается только при наличии система кондиционирования воздуха.

Так же необходимо учитывать гигиеническое состояние рабочего места. Оно зависит от времени года, поступление теплоты в рабочую зону, а так же класса рабочего места. Микроклиматом в пределах нормы считается, если температурный избыток не превышает 23 Дж/(м3*с).

ГОСТ 12.1.005-88 [29] посвящен гигиеническим нормам на рабочем месте.

4.2 Шумовая защита


Шум можно разделить на[30]:

·        шириной больше, чем одна октава (широкополосный);

·        характерны дискретные тона (тональный).

Также шум можно разделить по времени:

·        прерывный;

·        непрерывный;

Прерывный шум делится на:

·        звук который изменяется во времени;

·        звук ступенчато изменяется;

·        импульсный звук;

Для того чтобы снизить внешнее воздействие на здоровье человека необходимо проводить комплекс мероприятий, заключаемый в снижении интенсивности шума на пути распространения, что является дешевым и эффектным решением проблемы.

Для глушения шума используют различные шумоподавители, как передвижные так и стационарные.

Также можно снизить шум путем различной регулировки механизмов, находящихся внутри помещения, например:

·        регулирование роторных частей, путем подкрутки подшипников;

·        регулирование лопастных частей систем охлаждения;

·        регулирование магнитопровдных частей.

Также на сегодняшний день широко применяются средства индивидуальной защиты, такие как разнообразные шлемы, маски, наушники и костюмы.

Заключение

В специальной части настоящей работы была поставлена задача исследовать выбранный корпус для микросхемы 4-х процессорной «системы на кристалле» на предмет соответствия требованиям ТЗ. Была создана 3-D модель устройства. В результате теплового и механического исследования модели данного корпуса был сделан вывод о том, что в процессе работы устройства его параметры полностью соответствуют требованиям ТЗ.

Изучены системы автоматизированного проектирования, дающие возможность проводить механические и тепловые расчеты радиоэлектронной аппаратуры. Была выбрана система ANSYS, так как она представляет наиболее полные и точные результаты исследования. Также она позволяет проводить разные виды расчетов (например, механические, тепловые, электрические) в одной подсистеме ANSYS Workbench, отпадает необходимость проводить каждый расчет в узкоспециализированной САПР.

В конструкторско-технологической части были рассмотрены вопросы оформления конструкторской документации РЭА в соответствии с ЕСКД.

В части посвященной охране труда были рассмотрены вопросы об электро- и пожарной безопасности при работе с персональным компьютером.

Список использованной литературы

1.   Зенкевич О. Метод конечных элементов в технике / Пер. с англ. - М.: Мир, 1975. - 541 с.

2.       Галлагер Р. Метод конечных элементов. Основы / Пер. с англ. - М.: Мир, 1984. - 428 с.

3.       Courant R. Variational Method for the Solution of Problems of Equilibrium and Vibration. Bull. Amer. Math. Soc., 49, 1943, p. 1-43.

.        Clough R.W. The finite element method in plane stress analysis. J. Struct. Div., ASCE, Proc. 2nd A.S.C.E. Conf. on Electronic Computation, Sept 1960, p. 345-378.

5.       Норри Д, Де Фриз Ж. Введение в метод конечных элементов / Пер. с англ. - М.: Мир, 1981. - 304 с.

.        Оден Дж. Конечные элементы в нелинейной механике сплошных сред / Пер. с англ. - М.: Мир, 1976. - 464 с.

.        Вержбицкий В.М. Основы численных методов: Учебник для вузов. - М.: Высш. шк., 2005. - 840 с.

.        Бате К.Д., Вилсон Е.Л. Численные методы анализа и метод конечных элементов / Пер. с англ. - М.: Стройиздат, 1982. - 448 с.

.        Норри Д, Де Фриз Ж. Введение в метод конечных элементов / Пер. с англ. - М.: Мир, 1981. - 304 с.

.        Сегерлинд Л. Применение метода конечных элементов / Пер. с англ. - М.: Мир, 1979. - 392 с.

.        Стренг Г., Фикс Дж. Теория метода конечных элементов / Пер. с англ. - М.: Мир, 1977. - 349 с.

.        Ермолаев Ю.П., Пономарев М.Ф., Крюков Ю.Г. Конструкции и технология микросхем. - М.: Советское радио, 1980.

.        Конструирование и расчет больших гибридных интегральных схем, микросборок и аппаратуры на их основе / Под ред. Б.Ф. Высоцкого. - М.: Радио и связь, 1981.

.        Фомин А.В., Боченков Ю.И., Сорокопуд В.А. Технология, надежность и автоматизация производства БГИС и МСБ. - М.: Радио и связь, 1981

.        Черняев В.Н. Технология производства интегральных микросхем / Под ред. А.А. Васенкова. - М.: Энергия, 1977

.        Микропроцессорные БИС и микро-ЭВМ. Построение и применение / А.А. Васенков, Н.М. Воробьев, В.Л. Дшхунян и др.; Под ред. А.А. Васенкова. - М.: Советское радио, 1980

.        Курносов А.И., Юдин В.В. Технология производства полупроводниковых приборов и интегральных микросхем. - М.: Высшая школа, 1979

.        Малюх В.Н. Введение в современные САПР: Курс лекций. - М.: ДМК Пресс, 2010. - 192 с.

.        Финкельштейн Э. AutoCAD 2008 и AutoCAD LT 2008. Библия пользователя = AutoCAD 2008 and AutoCAD LT 2008 Bible. - М.: «Диалектика», 2007. - С. 1344.

.        Бондаренко С.В. AutoCAD для архитекторов. - М.: «Диалектика», 2009. - С. 592.

.        Дмитрий Тищенко Solo Autocad. Статья шестая // САПР и Графика. - М.: КомпьютерПресс, 2009. - №12. - С. 117-120.

.        Полещук Н.Н., Карпушкина Н.Г. AutoCAD 2006/2007. Новые возможности. - СПб.: Питер, 2004. - С. 204.

23. Шалумов А.С., Ваченко А.С., Фадеев О.А., Багаев Д.В. Введение в ANSYS: прочностной и тепловой анализ: Учебное пособие. - Ковров: КГТА, 2002. - 33 с.

.     Огородникова О.М. Конструкционный анализ в среде ANSYS: Учебное пособие. - Екатеринбург: УГТУ-УПИ, 2004. 68 с.

25.     Дроконов, А.М. Ansys: Руководство по расчету критической частоты ротора: учеб. пособие/ А.М. Дроконов, В.В. Рогалев, А.В. Бирюков. - Брянск: БГТУ, 2010. - 79 с.

.        В.А. Бруяка, В.Г. Фокин, Я.В. Кураева. Инженерный анализ в ANSYS Workbench. - Издательство Самарского гос. тех. университета, 2013. - 149 с.

27. ANSYS Icepak 12.1. User’s Guide. - ANSYS, Inc., 2009. - 961 p.

28. ГОСТ 12.1.019-79 «Электробезопасность. Общие требования и номенклатура видов защиты»

29.     ГОСТ 12.1.005-88 (2001). Общие санитарно-гигиенические требования к воздуху санитарной зоны.

30. ГОСТ 12.1.003-83. Шум. Общие требования безопасности.

Похожие работы на - Классификация ИМС и система условных обозначений

 

Не нашли материал для своей работы?
Поможем написать уникальную работу
Без плагиата!
Без нейросетей!