Расчет железобетонных конструкций на температурные и влажностные воздействия
Министерство
образования и науки Российской Федерации
ФГАОУ ВО
«Северо-Восточный федеральный университет имени М.К. Аммосова»
Инженерно-технический
институт
Кафедра
«Промышленное и гражданское строительство»
ОТЧЕТ
по
производственной практике
Дневник производственной практики
С 19 июня по 27 августа я работал в Приемной комиссии ИТИ СВФУ, в котором
занимал должность заместителя ответственного секретаря ПК ИТИ. С 28 августа
приступил к основной работе на кафедре «Прикладная механика» ИТИ.
Во время прохождения практики в ПК ИТИ принимал участие в мероприятиях
управленческого характера, проводимых центральной приемной комиссией
(совещаниях, собраниях, составлениях отчетов приемной комиссии). Прием
документов в будние дни начинался с 9:00 до 17:00, в субботу и воскресение с
10:30 до 17:00. Средний рабочий день на практике был 12 часов (с 9:00 до
21:00). В самых нагруженных днях работали до 1:30 ночи. Начиная с 1 августа
работали до 5 часов дня. Параллельно (или после работы) занимался решением задач
научно-исследовательской работы, в частности, сбором материалов, анализом
практических проблем методов расчета на температурные и влажностные
воздействия, изучением повреждений от температурных напряжений.
Календарный график прохождения практики в приемной комиссии предоставлен
в виде календаря на рисунках 1-3.
Рис. 1 Календарный график июня
Рис Календарный график июля
Рис. Календарный график августа
Календарные сроки выполнения научно-исследовательской работы за время
прохождения практики предоставлены на рисунках 4-7.
Календарный график НИР за июнь
Календарный график НИР за июль
Календарный график НИР за август
Календарный график НИР за сентябрь
Содержание
Введение
. Методы
моделирования работы ЖБК в стадии разрушения с помощью Ansys. Сравнение
. Оценка
температурно-влажностных деформаций в железобетонных фундаментных конструкциях
жилого здания в п. Батагай
Заключение
Список
использованной литературы
Приложение
Введение
Во время прохождения практики поставили цель частичного освоения
следующих компетенций, которые по перечню планируемых результатов при
проведении производственной практики должны освоиться за прохождения 2 и 3
семестров:
ОПК-2. Готовность руководить коллективом в сфере своей профессиональной
деятельности, толерантно воспринимая социальные, этнические, конфессиональные и
культурные различия;
ОПК-3. Способность использовать на практике навыки и умения в организации
научно-исследовательских и научно-производственных работ, в управлении
коллективом, влиять на формирование целей команды, воздействовать на ее
социально-психологический климат в нужном для достижения целей направлении,
оценивать качество результатов деятельности, способностью к активной социальной
мобильности.
ОПК-12. Способность оформлять, представлять и докладывать результаты
выполненной работы.
ПК-16. Способность организовать работы по осуществлению авторского
надзора при производстве, монтаже, наладке, сдачи в эксплуатацию продукции и
объектов производства.
1. Методы моделирования работы ЖБК в стадии разрушения с
помощью Ansys. Сравнение
При проектировании ЖБК часто возникает необходимость исследования
напряженно-деформированного состояния за линейную стадию работы конструкции, то
есть с учетом трещинообразования бетона, и пластической деформации арматуры.
Для описания процесса разрушения хрупких материалов используются модели
Уильяма-Варнке и Базанта. Конечный элемент, характеризующий модель
Уильяма-Варнке, называется Solid65,
а модель Базанта - microplane.
Пластическое поведение стальной арматуры описывается моделями
пластичности, например моделью билинейной кинематической упрочнении.
В конечно-элементных расчетах, на ряду с прямым объемным моделированием
стержней арматуры, можно выделить следующие модели арматуры в бетоне:
дискретная (discrete), встроенная (embedded), распределенная (smeared). В
первой из них узлы стержневых элементов для арматуры совпадают с узлами
объемной конечно-элементной сетки для бетона. Во второй - узлы сеток арматуры и
бетона не совпадают, но связаны уравнениями совместности. В распределенной
модели предполагается, что арматура равномерно распределена по элементам
конечно-элементной сетки для бетона.
Для выбора модели, описывающая нелинейную стадию работы ЖБК, для
диссертационной работы мною были смоделированы модели Базанта и Уильяма-Варнке,
а также провел сравнение дискретной и распределенной арматуры.
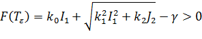
Результаты расчета модели Базанта при распределенной нагрузке 100 кПа
приведены на рисунках 1-3. Модель бетона microplane считается разрушенным при
условии:
Рис. 1 Эквивалентные напряжения по фон Мизесу и напряжения в арматуре
(модель Базанта)
Рис 2 Критерий разрушения по модели Базанта и эквивалентные относительные
деформации по фон Мизесу (модель Базанта)
Рис 3 Максимальные эквивалентные напряжения и абсолютные деформации по
времени (модель Базанта)
Результаты расчета и сравнения моделей Уильяма-Варнке с дискретной (левая
верхняя часть) и распределенной(нижняя правая часть) арматурой при нагрузке 150
кПа приведены на рисунках 4-6.
Рис 4 Эквивалентные относительные деформации по фон Мизесу и абсолютные
деформации (модель Уильяма-Варнке)
Рис 5 Эквивалентные напряжения по фон Мизесу и их график изменения
максимальных значений по времени: зеленая - модель с дискретной арматурой,
красная - с распределенной (модель Уильяма-Варнке)
Рис 6 Обозначения трещин (кружочки на левом рисунке) и элементов (модель
Уильяма-Варнке)
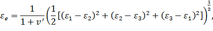
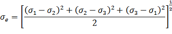
Эквивалентное напряжение (также называемое напряжением фон Мизеса). По
теории энергии формообразования пластичный материал начинает повреждаться в
местах, где напряжение по Мизесу становится равным предельному напряжению.
Эквивалентное напряжение связано с главными напряжениями уравнением:
Эквивалентная относительная деформация или относительная деформация по
фон Мизесу εе
(von Mises or equivalent strain) определяется по формуле:
где ν' = эффективное отношение Пуассона (effectivePoisson'sratio).
Результаты расчета показывают, что модель с распределенным армированием
показывает большие разрушения, чем модель с дискретной арматурой: относительные
деформации на 40%, деформации на 35%, максимальные напряжения на 18%. Так как
расчет с распределенной арматурой менее трудоемкий, для моделирования здания на
температурно-влажностные воздействия в дальнейшем используем данную модель.
По данным обследований в здании возникли косые трещины на крайних сваях и
нормальные на цокольном перекрытии в местах устройства ниш и выступов в плане
(рис. 7).Обследование было проведено организацией ООО «Нэлэгэр». Ведомость
дефектов была приведена в приложении 1.
Рис 7 Схема повреждений и дефектов
железобетонный конструкция температурный деформация
Была поставлена задача смоделировать и выполнить расчет цокольного
перекрытия и фундаментов на температурно-влажностные воздействия и сравнить
результаты расчетов с материалами обследования.
Расчет железобетонных конструкций на температурные и влажностные
воздействия в соответствии с СП 52-105-2009 произвели по 1 расчетной стадии
работы железобетонной конструкции - «первое» замораживание до расчетной зимней
температуры бетона конструкции.
В статически неопределимых конструкциях жесткость элементов является
одним из основных свойств, влияющих на напряжения, вызванные температурными
деформациями.
Выполненные расчеты подтвердили, что в рассматриваемой статически
неопределимой конструкции, усилия, рассчитанные в линейной стадии работы
железобетона, не совсем совпадают с фактической картиной трещинообразования
(рис. 8).
Поэтому учет физической нелинейности железобетона при расчете
конструкций, работающих с трещинами, является необходимым.
Рис 8 Эквивалентные напряжения (напряжения фон Мизеса) при расчете в
линейной стадии работы железобетона.
Для описания процесса разрушения бетона использовали модель
Уильяма-Варнке, конечный элемент которого в AnsysMechanical называется Solid65. КЭ Solid65
используется для трехмерного моделирования хрупких твердых тел с арматурными
стержнями, в котором твердое тело способно к растрескиванию, дроблению,
пластической деформации и ползучести, а арматура к пластической деформации и
ползучести.
В этот элемент можно включить до трёх независимых армирующих материалов,
предполагается, что они «распределены» (smeared) по всему элементу и работают только на растяжение и
сжатие.
При расчете на температурные воздействия приняли следующие параметры
математической модели Уильяма-Варнке, которые остаются постоянными при
изменении температуры:
коэффициент передачи сдвиговых усилий при открытой трещине0,3;
коэффициент передачи сдвиговых усилий при закрытой трещине 0,7;
коэффициент понижения жесткости при образовании трещины в результате растяжения
0,6.
Прочностные, упругопластические и деформативные свойства бетона приняты
по СП 52-105 для 3 группы конструкций, в предположении, что конструкция
фундамента защищена от воздействия атмосферных осадков. Принятые характеристики
меняются в зависимости от температуры и приведены в таблице 1:
Таблица 1.
|
T, °C
|
-60
|
-40
|
-20
|
0
|
20
|
|
Rbn,t, МПа
|
25.9
|
24.05
|
22.2
|
18.5
|
18.5
|
|
Rbtn,t, МПа
|
2.387
|
2.2165
|
2.046
|
1.55
|
1.55
|
|
Ebt, МПа∙103
|
39
|
39
|
33
|
30
|
30
|


Рис 9 Изменения прочностных и упругих характеристик от температуры

Рис 10 Изменения КТД и диаграммы зависимости напряжение-относительные
деформация
По СП 20.13330.2016 расчетные изменения температуры воздуха равна
.
По СП 52-105 расчетное изменение температуры для первого этапа работы
фундамента:
для второго этапа:
Сваю рассмотрели как стойку, защемленную в грунте на глубине от
поверхности земли: в первом этапе работы фундамента: Н1 = 0,827 м;
во втором этапе: Н2 = 1,966 м, по СП 52-105.
Рис 11 Эквивалентные относительные деформации
Рис 12 Зоны образования трещин
Распределение максимальных усилий при расчете в нелинейной постановке
показало, в целом, на качественное совпадение с картиной трешинообразования в
цокольном перекрытии и на сваях. Что показывает на правомочность примененной
расчетной модели работы железобетонного цокольного перекрытия и эффективность
применения программы Ansys
для анализа термонапряженного состояния железобетонных конструкций.
Выявлено негативное влияние внутренних углов в планах цокольных
перекрытий в участках ниш и выступов, которые являются концентраторами
напряжений, и способствуют трещинообразованию в конструкциях. В проектных
решениях в районах с низкими температурами желательно избегать подобных
внутренних углов.
Выполненная работа показала на необходимость разработки рекомендаций, а
лучше норм по расчету железобетонных фундаментных конструкций с учетом
температурно-влажностных воздействий.
Заключение
Во время прохождения практики мною были проделаны слудющие работы: -
анализированы методы расчетов ЖБК в Ansysв нелинейной постановке, т. е. с учетом трещинообразования и дробления
бетона, пластической деформации арматуры (модели Уильяма-Варнке и Базанта);
проведен разбор недостатков СП 52-105;
смоделировано влияние температурно-влажностных воздействий на жилое
здание в п. Батагай Верхоянского района в нелинейной постановке с учетом
изменения механических и упругопластических свойств бетона;
написана статья о результатах расчета влияния температурно-влажностных
воздействий на жилое здание в п. Батагай.
Частично освоены следующие компетенции, которые по перечню планируемых
результатов при проведении производственной практики должны быть освоены за 2
семестра: ОПК-2. Готовность руководить коллективом в сфере своей
профессиональной деятельности, толерантно воспринимая социальные, этнические,
конфессиональные и культурные различия; ОПК-3. Способность использовать на
практике навыки и умения в организации научно-исследовательских и
научно-производственных работ, в управлении коллективом, влиять на формирование
целей команды, воздействовать на ее социально-психологический климат в нужном
для достижения целей направлении, оценивать качество результатов деятельности,
способностью к активной социальной мобильности.
ОПК-12. Способность оформлять, представлять и докладывать результаты
выполненной работы.
ПК-16. Способность организовать работы по осуществлению авторского
надзора при производстве, монтаже, наладке, сдачи в эксплуатацию продукции и
объектов производства.
Список использованной литературы
1. СП
52-105-2009 «Железобетонные конструкции в холодном климате и на вечномерзлых
грунтах»
. СП
63.13330.2012 «Бетонные и железобетонные конструкции»
. Рекомендации
по расчету свайных фундаментов на ВМГ с учетом температуры и влажности
. СНиП
II-17-77 «Свайные фундаменты»
. СП
24.13330.2011 «Свайные фундаменты»
. СНиП
2.02.01-83 «Основания зданий и сооружений»
. СНиП
II-15-74 «Основания зданий и
сооружений»
. СП
22.13330.2011 «Основания зданий и сооружений»
. ГОСТ
25100-2011 «Грунты. Классификация»
. СП
20.13330.2011 «Нагрузки и воздействия»
12. ANSYS
Help Viewer
. Программа
производственной практики Б2. П.1 Практика по получению профессиональных умений
и опыта профессиональной деятельности (производственная практика)
. СНиП
2.01.07-85* «Нагрузки и воздействия»
. СНиП
II-6-74 «Нагрузки и воздействия»
. СП
20.13330.2016 «Нагрузки и воздействия»
. СП
131.13330.2012 «Строительная климаталогия»
. Муха
В.И. Основы расчета, конструирования и возведения сооружений в Якутской АССР. В
3-х частях./ В.И. Муха, Ю.Н.Абакумов,E.H. Малков. -Якутск: Якутское книжное
издательство, 1976.
Приложение
Ведомость дефектов жилого здания в п. Батагай
|
№
|
Эскиз (фото)
|
Описание
|
№
|
Эскиз (фото)
|
Описание
|
|
1
|
3
|
4
|
5
|
6
|
7
|
|
1
|
|
|
2
|
|
|
|
3
|
|
|
4
|
|
|
|
5
|
|
|
6
|
|
|
|
7
|
|
|
8
|
|
|
|
9
|
|
|
10
|
|
|
|
1
|
3
|
4
|
5
|
6
|
7
|
|
11
|
|
|
12
|
|
|
|
13
|
|
|
14
|
|
|
|
15
|
|
|
16
|
|
|
|
17
|
|
|
18
|
|
|
|
19
|
|
|
20
|
|
|
1
|
3
|
4
|
5
|
6
|
7
|
|
21
|
|
|
22
|
|
|
|
22
|
|
|
23
|
|
|
|
23
|
|
|
24
|
|
|
|
24
|
|
|
25
|
|
|
|
26
|
|
|
27
|
|
|