Гостиница в городе Череповец
Содержание
Введение
. Архитектурный раздел
.1 Объемно-планировочное решение
.2 Архитектурно-конструктивное решение
.2.1 Фундаменты
.2.2 Наружные стены
.2.3 Внутренние стены
.2.4 Перегородки
.2.5 Перекрытия
.2.6 Крыша
.2.7 Покрытие
.2.8 Окна и двери
.2.9 Лестницы
.3 Наружная и внутренняя отделка
.4 Инженерные коммуникации
.5 Технико-экономические показатели
. Расчетно-конструктивный раздел
.1 Теплотехнический расчет ограждающих конструкций
.1.1 Теплотехнический расчет стены
.1.2 Теплотехнический расчет кровли
.2 Расчет стропильной системы
.2.1 Обрешетка
.2.2 Стропила для здания с двумя пролетами
.3 Расчет фундамента
.3.1 Общие положения
.3.2 Расчетные сечения
.3.3 Сбор нагрузки на покрытия и перекрытия
.3.4 Сбор нагрузки по расчётным сечениям
.3.5 Расчет фундаментов по деформациям
.3.6 Расчет осадки сечения 2-2
. Благоустройство территории
.1 Описание ситуационного плана
.2 Характеристика территории
.3 Устройство проездов, дорожек, площадок
.3.1 Характеристика элементов на проектируемой территории
.3.2 Рекомендации по устройству оснований
.3.3 Устройство асфальтобетонных покрытий
.3.4 Устройство покрытий из плитки
.3.5 Выполнение стыков покрытий
.4 Малые архитектурные формы на территории застройки
.5 Озеленение территории
.5.1 Функции озеленения
.5.2 Характеристика зеленых посадок на проектируемой
территории
.5.3 Дендрологические характеристики применяемых растений
.5.4 Выполнение работ по озеленению
.6 Технико-экономические показатели
. Организационный раздел
.1 Характеристика условий строительства
.2 Методы выполнения основных строительно-монтажных работ
.2.1 Земляные работы
.2.2 Монтаж конструкций фундамента
.2.3 Монтаж здания
.3 Стройгенплан
.4 Расчёт численности персонала строительства
.5 Подбор строительного крана
.6 Расчет потребности в ресурсах
.6.1 Расчет потребности в электроэнергии
.6.2 Расчет потребности в тепле
.6.3 Расчет потребности в воде
.6.4 Расчет потребности в транспортных средствах
.7 Технико-экономические показатели проекта
.8 Указания по технике безопасности и охране труда на
строительной площадке
. Безопасность жизнедеятельности
.1 Мероприятия по эвакуации людей в случае пожара
.1.1 Эвакуационные пути при пожаре
.1.2 Требования пожарной безопасности при проектировании
.1.3 Противопожарные мероприятия для МГН
. Экологический раздел
.1 Методы охраны и регулирования качества подземных вод
. Научно-исследовательский раздел
Заключение
Список использованных источников
Введение
Темой выбранного мною дипломного проекта является "Гостиница в г.
Череповец".
Проект разработан для применения во II климатическом районе с расчетной зимней температурой -32°С,
с нормативной снеговой нагрузкой 2,4 кПа и со скоростным напором ветра 0,23
кПа. Здание относится ко II
категории капитальности с минимальным сроком эксплуатации 150 лет, относится ко
II степени огнестойкости.
Район, в котором будет располагаться здание, привлекателен для
расположения гостиницы. Здание будет располагаться рядом с дорогой при въезде в
город. Хорошая доступность для людей, въезжающих в город, обеспечит
экономическую прибыльность гостинице. Также выгодно расположение рядом вокзала.
Большая незастроенная территория создает свободные условия для выполнения очень
выгодного благоустройства, озеленения, удобной парковки и подъезда к зданию
автотранспорта.
В настоящее время строительство гостиницы в городе является актуальным в
связи с развитием города и увеличением его производственной значимости. Все
больше людей посещают город в связи с его промышленным и индустриальным
развитием.
1.
Архитектурный раздел
.1
Объемно-планировочное решение
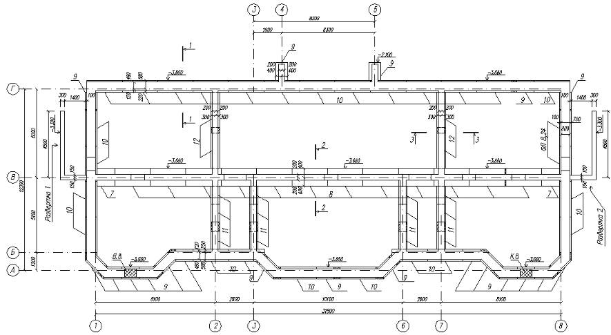
Выбранное мной здание в дипломном проекте относится к общественному типу
зданий, оно двухэтажное с мансардой и цокольным этажом, размерами в осях 31,5х
12,30 метров. Высота этажей 3 метра. В гостинице запроектированы 15 номеров,
два из которых находятся на первом этаже и предназначены для маломобильных
групп людей.
У главного входа в здание предусмотрен подъемник для маломобильных групп
населения. Сразу же после входа в здание расположен вестибюль с пунктом охраны.
Также на первом этаже располагаются помещения для приема гостей: служба приема,
касса, гардероб и камера хранения. Здесь же запроектированы кабинет директора и
помещение администратора (рядом с лестничной клеткой), гостиная для ожидающих
приема гостей и два двухместных номера.
На цокольном этаже располагаются три выхода из здания. Здесь для более
привлекательного пребывания гостей располагаются тренажерный зал, сауна и
торжественный зал - ресторан. На цокольном этаже расположены вспомогательные
помещения гостиницы, такие как: склады, мастерская, кухня с моечной, ремонтная
мастерская, инструкторская, раздевалки, помещения для белья (чистого и
грязного), постирочная - помещение для глажки белья и тепловой пункт.
На втором этаже гостиницы расположены номера для постояльцев, комната
дежурного персонала с санитарным узлом для персонала, раздевалкой и
хозяйственная кладовая. Номера имеют разную планировку и площадь, это позволяет
разделить их по классам для посетителей разных групп населения. Пять номеров
имеют доступ на балконы. Один из номеров имеет персональный балкон.
На мансардном этаже так же расположены жилые номера.
В одной из лестничных клеток устроены подъемники для спуска маломобильных
групп населения на цокольный этаж. На всех этажах выполнены общие санузлы для
гостей. Внутренняя планировка здания полностью подчиняется функциональному
назначению, технологическим процессам и нормативным требованиям СП
59.13330.2012 [1], СП 118.13330.2012 [2], СП 1.13130.2009 [3] и ФЗ № 123 [4].
.2
Архитектурно-конструктивное решение
Как и большинство гостиниц, здание в проекте коридорного типа. Аварийные
выходы гостиницы запроектированы согласно нормативным документам [2], [3], [4].
Номера для маломобильных групп населения выполнены согласно требованиям [1].
Ширина дверных проемов в проекте обеспечивает беспрепятственное прохождение
инвалидных кресел и колясок. Сам номер выполнен без тамбура и представляет одну
комнату с санитарным узлом для инвалидов. Санитарный узел просторен и
удовлетворяет требованиям [1]. Его архитектурный объем позволяет свободно
разместить сантехническое оборудование и поручни. Балконы, слуховые окна и
мансардные окна придают фасаду эстетическую выразительность и повышают
функциональность здания. Архитектурным решением соблюдены требования пожарной
безопасности [4].
.2.1
Фундаменты
Фундаменты ленточные из сборных железобетонных плит и блоков. Нижний ряд
фундаментных плит укладывается на грунт с ненарушенной структурой по
выровненному основанию толщиной 10 см из крупнозернистого песка. Сводная
спецификация элементов фундамента представлена в графической части (лист 6)
Кладка фундаментных блоков выполняется на цементном растворе М-50. Перевязка
блоков выполняется на величину не менее 25 см. Монолитные участки в стенах
выполняются из бетона В - 7,5. По граням фундаментных блоков и кирпичных участков
стен, соприкасающихся с землей, выполнить вертикальную наплавляемую
гидроизоляцию из "Изопласта" ХПП-4 в два слоя ТУ 5774-005-05766480-95
по предварительно огрунтованной поверхности раствором битума БН 90/10 ГОСТ
6617-76* в керосине, наплавленные слои "Изопласта" затереть
цементно-песчаным раствором М 100-10 мм, затем тщательно окрасить горячим
битумом за 2 раза. Кирпичную кладку в подвальной части выполнить из полнотелого
красного хорошо обожженного кирпича по ГОСТ 530-95 М-100 на растворе М-50. Для
отвода поверхностных вод по периметру здания выполнить асфальтобетонную
отмостку шириной 1000 мм.
.2.2
Наружные стены
Наружные
стены толщиной 640 мм выполняются многослойными: наружная верста 120 мм
выполнена из силикатного облицовочного кирпича СЛД 150/35 ГОСТ 379-95 на
цементно-песчаном растворе М 100, воздушная прослойка 40 мм, утеплитель URSA
П-20 с удельной теплопроводностью
=0,034
Вт/(м ×°С), внутренняя верста 380 мм выполнена из силикатного
одинарного кирпича СОР 150/35 ГОСТ 379-95 на цементно-песчаном растворе М 100.
По теплотехническим расчетам, с учетом требований энергосбережения принимаем
толщину утеплителя 100 мм. Теплоизоляционные плиты крепятся в 2 слоя толщиной
по 50 мм в двух взаимно-перпендикулярных направлениях. Между утеплителем и
внутренней верстой укладывается пароизоляция "Изоспан В"
В кладке лицевого слоя через 4 ряда выполняется перевязка вертикальных
швов. Наружная и внутренняя верста соединяются при помощи гибких оцинкованных
связей Ø5
В 500 с шагом 450 мм по
высоте и 500 мм по ширине стены здания. На гибкие связи в процессе возведения
наружной стены здания накалывается утеплитель.
В уровне перекрытий устанавливаются ж/б плиты для перевязки верст.
Вентиляция осуществляется через вертикальные щели, расположенные через четыре
кирпича вверху и внизу этажа.
.2.3
Внутренние стены
Внутренние стены здания запроектированы из полнотелого керамического
кирпича К - 0 75/15/ГОСТ 530-95 на растворе марки М 50 толщиной 380 мм.
Сопряжения наружных и внутренних стен осуществляются перевязкой кладки из
камней (наружной стены) и кирпича внутренней стены, а также с применением
металлических анкеров.
.2.4
Перегородки
Перегородки толщиной 120 мм выполнять из полнотелого керамического
кирпича К 75/1/15 ГОСТ 530-95 на растворе М 50, армировать 2 стержнями Ø4
мм В 500 через четыре
ряда кладки. Крепление перегородок к стенам допускается Т-образными
анкерами или металлическими скобами, которые укладываются в стену в уровне
горизонтальных швов перегородок и стен.
Металлические скобы и анкера должны изготавливаться из нержавеющей или
обычной стали с антикоррозийным покрытием.
Перемычки железобетонные по серии 1.038-1. Спецификацию перемычек
смотреть в графической части (лист 4).
.2.5
Перекрытия
В здании запроектированы железобетонные пустотные плиты перекрытия. Схему
расположения элементов перекрытия смотри в графической части (лист 4).
Неотъемлемой частью перекрытий являются полы. Рациональное решение
конструкции полов требует особого внимания. Полы в зависимости от назначения
помещений приняты: из керамической плитки, из линолеума, паркета, бетонные.
1.2.6
Крыша
В дипломном проекте запроектирована стропильная кровля с устройством
вентилируемого пространства за счет устройства контробрешетки по стропилам и
обрешетки под металлочерепицу. Для крепления кровельных материалов по
контробрешетке устраивают обрешетку из досок или брусков.
Запроектирован организованный водоотвод по оцинкованным стальным
настенным или навесным желобам и водосточным трубам.
Элементы стропил изготовить из древесины хвойных пород с влажностью не
более 20%, обрешетку - из лиственных пород. Материалы стропильных ног,
прогонов, контробрешетки - ель, сосна 1 категории, обрешетки-3 категории.
Пороки древесины - гниль, червоточина, трещины по плоскости скалывания не
допускаются.
Стропила выполнять по СП [5].
Элементы стропил, соприкасающиеся с кирпичными стенами
покрыть антисептиками в соответствии по СП [6].
Не допускается глухая заделка частей стропил в каменные стены.
Мауэрлаты, кобылки, лежни антисептировать, между ними и каменной кладкой
стен проложить изоляцию из двух слоев рубероида.
Все соединения выполнять на врубках, болтах, гвоздях и скобах.
В местах примыкания к вентиляционным и дымовым каналам деревянные
конструкции выполнить с соблюдением норм и требований пожарной безопасности
[2], [4].
Стропильные ноги через одну крепить скрутками из проволоки диаметром-4мм
за штыри, заделанные в стену на 40 см ниже мауэрлата.
.2.7
Покрытие
Покрытие
- скатная кровля, состоит из металлочерепицы "Ranilla", укладываемой
на обрешетку из досок. В покрытии используются жесткие плиты утеплителя "URSA M11" с удельной теплопроводностью
= 0,04 Вт/(м ×°С). Уклон кровли 35˚, 31 ˚.
.2.8 Окна
и двери
Окна деревянные по ГОСТ 23166-99, одинарной конструкции со стеклопакетом
ОД РСП. Окна окрашиваются за 2 раза масляной краской для наружных работ белого
цвета.
Оконные блоки индивидуального изготовления выполняются из белого профиля
с последующим стекольным заполнением.
Проектом предусмотрены наружные двери шириной 910мм, 1510мм, и внутренние
двери шириной 710мм, 910мм и 1310мм (ГОСТ 6629-88). Также присутствуют
балконные двери шириной 910мм.
Выходы на крышу осуществляются через слуховые и мансардные окна в крыше.
.2.9
Лестницы
В проекте запроектированы железо-бетонные лестницы по металлическим
косоурам. Два выхода из цокольного этажа выполнены из сборных железо-бетонных
ступеней. Ширина лестничного марша принята 1,2 метра, согласно СП [3].
.3
Наружная и внутренняя отделка
Стены и цоколь оштукатуриваются и красятся фасадной акриловой краской
Тиккурила.
Наружные двери и окна окрашиваются масляной краской за два раза, перила
покрываются горячей олифой за два раза по строганной поверхности а сверху -
лаком, металлические части перил лестниц окрашиваются по сурику черной масляной
краской.
Внутренняя поверхность кирпичных стен покрывается листами гипсокартона
либо оштукатуривается, затем оклеивается обоями или окрашивается. Стены
помещений санузлов и ванных комнат облицовываются керамической плиткой по
фронту санитарных приборов, выше окрашивается водоэмульсионной краской.
Потолки в ванных комнатах окрашиваются водоэмульсионной краской, потолки
остальных помещений покрываются побелкой.
Внутренние двери и дверные откосы также окрашиваются масляной краской за
два раза. Отделочные работы производятся после устройства кровли и прокладки
всех коммуникаций.
.4
Инженерные коммуникации
Характеристика инженерных сетей сведена в таблицу 1.1
Таблица 1.1 - Инженерное обеспечение здания
|
Наименование
|
Краткая характеристика
|
|
1
|
2
|
|
Водоснабжение
|
Источник водоснабжения -
запроектированная квартальная сеть водопровода. Для учета воды на вводе в
гостиницу установлен водомер марки - ВСХ-15.
|
|
Пожаротушение
|
Наружное пожаротушение
осуществляется от проектируемого пожарного гидранта.
|
|
Канализация бытовая
|
Сброс стоков - в
запроектированную систему канализации. Сеть канализации выполняется из
асбестоцементных безнапорных труб диаметром 150мм по ГОСТ 1839-80. Смотровые
колодцы выполнены из ж/б колец диаметром 1,0м по серии 3.900.1-14
|
|
Дождевая канализация,
дренаж
|
Внутренний водосток. Дренаж
- пристенный. Сброс стоков в существующую ливневую канализацию
|
|
Отопление
|
Расчетная температура
наружного воздуха -320С. Расчетные параметры теплоносителя системы
отопления - 90-700 С. Система отопления здания от газового котла Vaillant atmoSTOR VGH 130-220.
Удаление воздуха и газа из теплового пункта предусматривается через
вентиляцию.
|
|
Горячее водоснабжение
Вентиляция
|
От от газового котла.
Естественная от сан. узлов, кухни, моечной, сауны, тренажерного зала,
продуктового склада, раздевалок постирочной и теплового пункта.
|
|
Электроснабжение
|
Подключение
предусматривается к существующей трансформаторной подстанции.
|
|
Радиофикация
|
Подключение к городской
радиотрансляционной сети к существующей трубостойке.
|
1.5
Технико-экономические показатели
Строительный объём определяется как сумма строительного объёма надземной
и подземной части. Строительный объем определяется в пределах ограничивающих
поверхностей с включением ограждающих конструкций, световых фонарей и др.,
начиная с отметки чистого пола каждой из частей здания, без учета выступающих
архитектурных деталей и конструктивных элементов, террас, балконов, объема
проездов и пространства под зданием на опорах.
Общая площадь определяется как сумма площадей всех этажей.
Полезная площадь здания определяется как сумма площадей всех размещаемых
в нем помещений, а также балконов и антресолей в залах, фойе и т.п., за
исключением лестничных клеток, лифтовых шахт, внутренних открытых лестниц и
пандусов.
Площадь застройки определяется как сумма площади горизонтального сечения
по внешнему обводу здания на уровне цоколя, включающего выступающие части и
площади под здание расположенной на столбах, а также проезды под здание.
Технико-экономические показатели здания сведены в таблицу 1.2.
Таблица 1.2 - Технико-экономические показатели здания
|
Наименование
|
Ед. изм.
|
Кол-во
|
|
1
|
2
|
3
|
|
1. Строительный объем
здания
|
м²
|
7301.60
|
|
2. Общая площадь
|
м²
|
1478.43
|
|
3. Полезная площадь
|
м²
|
1247.45
|
|
4. Площадь застройки
|
м²
|
384
|
2. Расчетно-конструктивный раздел
.1
Теплотехнический расчет ограждающих конструкций
.1.1
Теплотехнический расчет стены
Рисунок 2.1- Конструкция наружной стены
Место проектирования: Российская Федерация, Вологодская область, г.
Череповец.
Данные по слоям:
Слой № 1 - Утеплитель URSA
П-20:
Толщина слоя - по расчету;
Расчетный коэффициент теплопроводности - λут.= 0,037 Вт/(м∙оС).
Слой № 2 - Кирпичная кладка:
Толщина слоя - 380 мм;
Расчетный коэффициент теплопроводности - λут.=0,87 Вт/(м∙оС).
Слой № 3- Гипсокартон:
Толщина слоя - 12,5 мм;
Расчетный коэффициент теплопроводности - λут.=0,25 Вт/(м∙оС).
В соответствии с пунктом 5.3 СНиП 23-02-2003 "Тепловая защита
зданий" [8] приведенное сопротивление теплопередаче Rо
ограждающих конструкций требуется принимать не менее нормируемых значений Rred, определяемых по табл. 4 [8] в
зависимости от градусо-суток климатического района строительства Dd.
Градусо-сутки отопительного периода - Dd определяем в соответствии с [7] по формуле 2.1:
Dd = (tint - tht)∙zht,
˚С∙сут, (2.1)
где tint - расчетная средняя температура
внутреннего воздуха здания: tint= +21 ˚С;
tht - средняя температура наружного воздуха для периода со
средней суточной температурой наружного воздуха не более 8 ˚С: tht = -4,1 ˚С;
zht - продолжительность отопительного периода для периода со
средней суточной температурой наружного воздуха не более 8 ˚С: zht = 231 день;
Dd = (21-(-4,1))∙231=5798,1˚С∙сут.
Определим нормируемое значение сопротивления теплопередаче наружной стены
- Rred по табл. 4 [7]: Rred = 3,348 м 2∙˚С/Вт.
Определим приведенное сопротивление теплопередаче Rо по
формуле 2.2:
о = 1/αint+Rк+1/αext, м 2∙˚С/Вт,
(2.2)
где αint - коэффициент теплоотдачи внутренней поверхности
ограждающей конструкции: αint = 8,7 Вт/(м 2∙оС);
αext - коэффициент теплоотдачи (для зимних
условий) наружной поверхности ограждающей конструкции: αext = 23 Вт/(м 2∙оС);к
- термическое сопротивление ограждающей конструкции;о =
1/8,7+0,38/0,87+0,0125/0,25+1/23=0,645 м 2∙˚С/Вт.
Определим толщину утеплителя t определим по формуле
t = (Rred- Rо)∙ λут, м, (2.3)
t =
(3,348-0,645)∙0,037=0,98 м
Принимаем толщину утеплителя t=100 мм.
.1.2
Теплотехнический расчет кровли
Рисунок 2.2- Сечение кровли
Данные по слоям:
Слой №1 - Утеплитель URSA
М-11:
Расчетный коэффициент теплопроводности λ.=0,04 Вт/(м∙оС);
Толщина слоя: по расчету.
Слой №4 - Гипсокартонный лист:
Расчетный коэффициент теплопроводности λ.=0,25 Вт/(м∙оС);
Толщина слоя - 25 мм.
Расчет проводим аналогично п. 2.1.1
Определим градусо-сутки отопительного периода - Dd по формуле 2.1
tint = +21 ˚С;
tht = -4,1 ˚С;
zht = 231 день;
Dd = (21-(-4,1))∙231=5798,1˚С∙сут.
Определим нормируемое значение сопротивления теплопередаче наружной стены
- Rred по табл. 4 [7]:
Rred = 4,984 м 2∙˚С/Вт.
Определим приведенное сопротивление теплопередаче Rо по
формуле 2.2
αint = 8,7 Вт/(м 2∙оС);
αext = 23 Вт/(м 2∙оС);о=1/8,7+0,025/0,25+1/23=0,26
м 2∙˚С/Вт
Определим толщину утеплителя t по формуле (2.3)
T =
(4,984-0,26)∙0,04=0,189 м
Принимаем толщину утеплителя t = 200 мм.
.2 Расчет
стропильной системы
Расчеты элементов стропильной системы произведены согласно СП
64.13330.2011 [9].
2.2.1
Обрешетка
Расчетная схема - двухпролетная балка с горизонтальной осью (рисунок
2.3).
Сочетания нагрузок:
полная погонная постоянная и временная нагрузки (рисунок 2.3);
постоянная равномерно распределенная и монтажная нагрузки (рисунок 2.3).
Рисунок 2.3 - Расчетные схемы настила и обрешетки: а-при первом сочетании нагрузок; б - при втором сочетании нагрузок
Рассчитать
обрешетку мансардного покрытия жилого здания в г. Череповец. Кровля из
металлочерепицы. Обрешетка из сосновых брусков. Шаг стропил 1,0 м. Уклон кровли
.
Предварительно
примем обрешетку сечением 50х 50 мм с шагом с=250 мм. Сбор нагрузки приведем в
таблице 2.1.
Таблица 2.1 - Сбор нагрузки на обрешетку, Н/м 2
|
Вид нагрузки
|
qн
|
q
|
|
Постоянная 1. Кровля из металлочерепицы 2. Собственный
вес обрешетки (ориентировочно)
54
,05
,156,7
|
55
|
|
|
|
|
Итого
|
=104 =111,7
|
|
|
Временная 1.
Снеговая
Погонная нагрузка:
(2.4)
. (2.5)
Изгибающий
момент:
(2.6)
Моменты
сопротивления бруска:
(2.7)
Расчет
по первому сочетанию нагрузок:
Проверка
прочности нормальных значений при косом изгибе:
(2.8)
Моменты
инерции бруска:
(2.9)
Прогиб
в плоскости, параллельный скату:
(2.10)
Прогиб
в плоскости перпендикулярной скату:
(2.11)
Полный
прогиб:
. (2.12)
Относительный
прогиб
. (2.13)
-
Расчет по второму сочетанию нагрузок:
Изгибающий
момент:
(2.14)
Проверка
прочности нормальных сечений:
.
Все
условия выполняются, принимаем обрешетку сечением 50х 50 мм с шагом 250 мм.
.2.2
Стропила для здания с двумя пролетами
Рассчитать двускатные наслонные стропила здания гостиницы в г. Череповец
под кровлю из металлочерепицы. Основанием кровли служит обрешетка 50х 50 мм с
шагом с=0,25 м. Шаг стропильных ног 1 м. Материал деревянных элементов - ель
2-го сорта.
Конструктивное решение покрытия принимаем следующее (рисунок 2.4).
Обрешетка - (1) размещена по стропильным ногам - (2), которые нижними концами
опираются на мауэрлаты - (3), уложенные по внутреннему обрезу наружных стен, а
верхними - на прогон - (4). Для уменьшения пролета стропильных ног поставлены
подкосы - (5), нижние концы которых упираются в лежень - (6), укладываемый на
внутреннюю стену. Для погашения распора стропильной системы установлены ригели
- (7).
Уклон
кровли

Высота
стропил в коньке:
. (2.15)
Расчетный
пролет:
, (2.16)
где
- величина привязки.
.
Подкос
направлен под углом
(
). Точка
пересечения осей подкоса и стропильной ноги располагается на расстоянии
.
(2.17)
. (2.18)
Рисунок
2.4 - Наклонные стропила с подкосами: а) Конструкция стропильной системы; б)
Конструкционная схема; в) Расчетная схема
Длина верхнего и нижнего участков стропильной ноги:
(2.19)
.
Длина
подкоса:
.
Угол
между подкосом и стропильной ногой:
.
Производим
сбор нагрузок на 1 м 2 в табличной форме
Таблица
2.2 - Сбор нагрузки на стропильную ногу, Н/м 2
|
Вид нагрузки
|
qн Q
|
|
|
Постоянная 1.
Металлочерепица 2. Обрешетка 3. Собственный вес стропильной ноги
(ориентировочно)
,05
,1
,1
,7
|
55
|
|
|
|
|
Итого
|
=154 =166,7
|
|
|
Временная 1.
Снеговая
Погонная нормативная нагрузка:
Погонная расчетная нагрузка
Производим
статический расчет стропильной ноги как двухпролетной балки, нагруженной
равномерно распределенной нагрузкой (рисунок 2.4 в). Опасным сечением
стропильной ноги является сечение на средней опоре. Изгибающий момент в этом
сечении:
. (2.20)
Требуемый
момент сопротивления сечения стропильной ноги с учетом ослабления врубкой:
. (2.21)
Примем
ширину стропильной ноги
, тогда
. (2.22)
Учитывая,
что величина врубки примерно 35 мм:
. (2.23)
По
сортаменту примем
. Прочность сечения проверяем по формуле:
, (2.24)
где
.
Проверяем
сечение в середине нижнего участка под действием пролетного момента
. Значение
определяем
как для простой балки на двух опорах пролетом
, считая
в запас прочности, что вследствие возможной осадки среднего узла опорный момент
будет равен нулю:
. (2.25)
Проверяем
напряжение
,
где
Проверку
жесткости наклонной стропильной ноги производим по формуле:
, где
. (2.26)
.
Расчет
подкоса и ригеля:
Вертикальная
составляющая реактивного усилия на средней опоре стропильной ноги
. (2.27)
Это
усилие раскладывается на усилие
,
сжимающее подкос, и усилие
,
направленное вдоль стропильной ноги (рисунок 2.4 б). Используя уравнение
синусов, находим:
,
откуда
.
Подкос
примем сечением 50х 100 мм. Вследствие небольшого сжимающего усилия подкос не
рассчитываем, так как он будет работать с большим запасом. Расчетная длина
подкоса
. Проверим напряжение смятия во врубке.
Подкос
упирается в стропильную ногу ортогональной лобовой врубкой. Угол смятия
. Расчетное сопротивление смятию:
(2.28)
Площадь
смятия:
. (2.29)
Напряжение
смятия:
. (2.30)
Горизонтальная
составляющая усилия
создает распор стропильной системы, который
погашается ригелем.
Распор
в ригеле:
. (2.31)
Требуемая
площадь ригеля:
. (2.32)
Примем
конструктивно ригель 50 х 150 мм площадью 75 см2 >7,2 см2 .
Ригель крепим к стропильной ноге гвоздями 5 х 120 мм.
Несущая
способность одного гвоздя
. (2.33)
Для
восприятия усилия
ставим по 4 гвоздя с каждой стороны.
Полная
несущая способность соединения:
2.3 Расчет
фундамента
2.3.1
Общие положения
Расчет фундамента проводится согласно СП 22.13330.2011 [10].
Фундамент здания - ленточный из сборных железобетонных блоков.
Строительная площадка сложена до глубины 3,0 м суглинком с показателем
текучести IL = 0,27 и плотностью ρ
= 17,55·103 Н/м 3, а ниже полутвердой
глиной с IL = 0,65 и ρ
= 22,16 Н/м 3.
Уровень грунтовых вод расположен на глубине 3 м. Данные инженерно-геологических
изысканий показаны на рисунке 2.5.
Рисунок 2.5- Данные инженерно-геологических изысканий
Глубину заложения фундаментов определяем как наибольшее из трех следующих
значений:
из условия промерзания грунта:
≥ df = dfn
· kh,, (2.34)
где df - расчетная
глубина промерзания;fn - нормативная глубина промерзания грунта, dfn=1,4
м;h - коэффициент влияния теплового режима здания, kh=0,7.≥
= 1,5 ·0,7 = 1,05 м.
с учетом наличия цокольного
этажа (от пола не менее 0,5 м):
≥db + hпол
+ 0,5, (2.35)
где db - уровень
пола цокольного этажа;пол - толщина конструкции пола цокольного
этажа.≥ 1,3+0,27+0,5 = 2,07 м.
с учетом грунтовых условий:
Согласно геологическим
условиям основанием может служить первый грунт. Глубина заложения в грунт
должна быть не менее 0,5 м.≥ 0,5
С учетом раскладки блоков
принимаем глубину заложения фундаментов 2,16 м.
.3.2
Расчетные сечения
Расчет производим по трем сечениям, которые изображены на рисунке 2.6:
по наружной несущей стене;
по внутренней несущей стене;
по внутренней самонесущей стене.
Расчетные сечения представлены на рисунках 2.6 - 2.9.
Рисунок 2.6- Расчетные сечения фундаментов
Рисунок 2.7 - Расчетное сечение 1-1
Рисунок 2.8 - Расчетное сечение 2-2
Рисунок 2.9 - Расчетное сечение 2-2
2.3.3 Сбор
нагрузки на покрытия и перекрытия
Сбор
нагрузки выполняется в табличной форме. Здание по уровню ответственности
относится ко II уровню - нормальный уровень. Поэтому коэффициент
(учитывающий уровень ответственности), и в дальнейших
расчетах условно не учитывается [11].
Таблица
2.3 - Сбор нагрузок на покрытие, Н/м2
|
Наименование нагрузок
|
Нормативное значение, Н/м²
|
γf
|
Расчётное значение, Н/м²
|
|
1
|
2
|
3
|
4
|
|
1. Металлочерепица, t=0,5
мм, ρ=7850
кг/м 3 0,5·10-3·7580·10=39,25
|
39,25
|
1,05
|
39,25
|
|
2. Обрешетка 50х 50 мм ρ=500 кг/м 3, а = 250 мм 50·10-3·50·10-3·500·10/0,25=50
|
50
|
1,1
|
55
|
|
3. Контробрешетка 50х 50 мм
ρ=500
кг/м 3 50·10-3·50
·10-3·500·10=12,5
|
12,5
|
1,1
|
13,75
|
|
4. Стропила 100х 200 мм ρ=500 кг/м 3 100·10-3·200 ·10-3·500·10=100
|
100
|
1,1
|
110
|
|
4. Утеплитель Ursa
М-11 t=200 мм, ρ=11 кг/м³
200·10-3·11·10=22
|
22
|
1,2
|
26,4
|
|
5. Гипсокартон t=25
мм, ρ=1250
кг/м 3 25·10-3·1250·10=312,5
|
312,5
|
1,2
|
375
|
|
Итого
|
536,25
|
|
619,4
|
|
Временная
|
|
|
|
|
1. Снеговая
|
2400∙0,7=1680
|
1,4
|
2352
|
|
Всего:
|
qn табл. 1 =
2216,25
|
|
q табл.1 =
2971,4
|
Таблица 2.4 - Сбор нагрузки на междуэтажные перекрытия, Н/м 2
|
Наименование нагрузки
|
Нормативная нагрузка
|
Расчетная нагрузка
|
|
|
Постоянная
|
|
|
а) от конструкции пола
|
|
|
Паркет 0,015·650
|
9,75
|
1,1
|
10,73
|
|
Цементно-песчаная стяжка
0,02∙18000
|
360
|
1,1
|
396
|
|
Звукоизолирующая прокладка
0,023·800
|
18,4
|
1,2
|
22,08
|
|
б) от собственного веса
|
|
|
Плита многопустотная 0,12∙25000
|
3000
|
1,1
|
3300
|
|
в) от веса перегородок
|
|
|
4. Перегородки
|
1200
|
1,3
|
1560
|
|
Итого:
|
4588,15
|
|
5288,81
|
|
Временные
|
2000
|
1,2
|
2400
|
|
Всего:
|
qn табл. 3 =
6588,15
|
|
q табл. 3 =
7688,81
|
2.3.4 Сбор
нагрузки по расчётным сечениям
- Сбор нагрузки по сечению 1-1:
Нагрузка от кровли определяется по схеме на рисунке
2.10 и таблице 2.3.
Рисунок 2.10 - Конструкция кровли
Нормативная нагрузка от кровли равна:
, (2.36)
где
- полная нормативная нагрузка (табл. 2.3).
Расчетная
нагрузка от кровли:
, (2.37)
5,75 кН/м
7,87 кН/м.
Нагрузка от перекрытий определяется согласно рисунку 2.11 и таблице 2.4.
На рисунке 2.11 представлены размеры грузовых площадей перекрытий.
Рисунок 2.11 - Размеры грузовых площадей
Нормативная нагрузка от перекрытий равна:
, (2.38)
где
- длина грузовой площади по конкретному сечению;
-
нормативные нагрузки из таблицы 2.4;
-
количество междуэтажных перекрытий.
- Расчетная нагрузка от перекрытий:
, кН/м
(2.39)
где
- расчетная нагрузка из таблиц 2.4.
кН/м
69,21 кН/м.
При
определении нагрузки от наружных стен, имеющих оконные проемы необходимо
учитывать коэффициент остекления
, при
определении нагрузки от сплошных и внутренних стен коэффициент остекления
не учитывают.
Коэффициент
остекления или проёмности
:
, (2.40)
где
- площадь окон на фрагменте фасада;
-
площадь стены фрагмента.
Высота
фрагмента принимается равной высоте этажа
, длина
фрагмента - от середины левого оконного проема до середины правого оконного
проема, включая ширину простенка. Схема представлена на рисунке 2.12.
Рисунок
2.12 - Схема для определения коэффициента проёмности
Коэффициент проёмности по рисунку 2.12 будет равен:
(2.41)
.
Нормативная
нагрузка от стены равна:
, (2.42)
где
- плотность i-го слоя;
- толщина i-го слоя;
- общая
длина стены;
м - ширина грузовой площади сечения;
- высота этажа;
-
количество этажей;
- количество слоев в стене.
Количество
слоев в стене определяется по конструктивному решению стены.
Расчетная
нагрузка от стены будет определяться по формуле (2.43)
; (2.43)
- для
нормального уровня ответственности здания.
Рисунок
2.13 - Конструкция наружной несущей стены после утепления и стены
надстраиваемой части
Нагрузка
от фундамента определяется по формулам 2.43 - 2.44. Нормативная нагрузка от
фундамента равна:
(2.43)
= 0,6∙1,8∙24=
25,92 кН/м
Расчётная
нагрузка равна:
(2.44)
0,6∙1,8∙24∙1,1=
28,51 кН/м
Полная нагрузка по сечению 1-1 будет равна сумме
вышеперечисленных нагрузок. Нормативная нагрузка:
кН/м;
Расчетная
нагрузка:
кН/м.
- Сбор нагрузки по сечению 2-2:
Нормативная нагрузка от кровли:
11,6 кН/м;
Расчетная
нагрузка от кровли:
15,52 кН/м;
Нормативная нагрузка от перекрытий:
кН/м;
Расчетная
нагрузка от перекрытий:
кН/м;
Нормативная
нагрузка от стены:
;
Расчетная
нагрузка от стены
;
Нормативная
нагрузка от фундамента:
= 0,4∙1,8∙24=
17,28 кН/м;
Расчётная
нагрузка от фундамента:
= 0,4∙1,8∙24∙1,1=
19,01 кН/м;
Полная нормативная по сечению 2-2 будет равна:
кН/м;
Полная
расчетная по сечению 2-2 будет равна:
кН/м.
- Сбор нагрузки по сечению 3-3:
Так как стена в сечении 3-3 является самонесущей, то
определяем только нагрузку от стены и фундамента.
Нормативная нагрузка от стены:
;
Расчетная
нагрузка от стены
;
Нормативная
нагрузка от фундамента:
= 0,4∙1,8∙24=
17,28 кН/м;
Расчётная
нагрузка от фундамента:
= 0,4∙1,8∙24∙1,1=
19,01 кН/м;
Полная нормативная по сечению 3-3 будет равна:
кН/м;
Полная
расчетная по сечению 3-3 будет равна:
кН/м.
.3.5
Расчет фундаментов по деформациям
Требуемая ширина подошвы фундамента определяется по
формуле:
(2.45)
где
=20-22 кН/м 3 - средний удельный вес материала фундамента и грунта на
его уступах.
(2.46)
где
gс 1 и gс 2 -
коэффициенты, условий работы;- коэффициент, принимаемый равным: k1 = 1, если
прочностные характеристики (j и с) определены
непосредственными испытаниями;
Мg, Мq,
Mc - коэффициенты, принимаемые по 5.3 [10];
kz - коэффициент, принимаемый равным 1 при b < 10 м;-
наименьший из размеров подошвы фундамента, м;
gII - осредненное расчетное значение удельного веса
грунтов, залегающих ниже подошвы фундамента (при наличии подземных вод
определяется с учетом взвешивающего действия воды), кН/м 3;
g/II -
то же, залегающих выше подошвы;
сII - расчетное значение удельного сцепления грунта,
залегающего непосредственно под подошвой фундамента, кПа;
d1 -
глубина заложения фундаментов бесподвальных сооружений от уровня планировки или
приведенная глубина заложения наружных и внутренних фундаментов от пола
подвала, определяемая по формуле
(2.47)
где hs -толщина слоя грунта выше подошвы фундамента со
стороны подвала, м;
hcf - толщина конструкции пола подвала, м;
gcf - расчетное значение удельного веса
конструкции пола подвала, кН/м 3;
db - глубина подвала - расстояние от уровня планировки до пола
подвала, м (для сооружений с подвалом шириной B £ 20 м и глубиной свыше 2 м
принимается db = 2 м, при ширине подвала B > 20 м - db
= 0).

.
Основанием
является грунт №1 - суглинок с показателем текучести IL =
0,27 и плотностью ρ
= 17,55·103 Н/м 3.
→
принимаем b=0,8 м.
→
принимаем b=1,2 м.
→
принимаем b=0,6 м.
2.3.6
Расчет осадки сечения 2-2
Полученные
значения ординат эпюры природного давления и вспомогательной эпюры наносим на
геологический разрез (рисунок 2.14). Ординаты эпюры дополнительного давления
определяем по формуле (2.53); значение 
находим
по таблице 1 приложения I [10]. Вычисление ведем в табличной форме (таблица 2.5).
Давление
на границах пластов основания вычисляются интерполяцией. Полученные значения
ординат эпюры наносим на геологический разрез. В точке пересечения эпюры
дополнительных давлений со вспомогательной эпюры находим нижнюю границу
сжимаемой толщи. Т.к. пересечения нет, то Hc = 7,7 м.
Сжимаемую толщу по высоте разбиваем на слои таким образом, чтобы в пределах
каждого слоя был грунт одинаковой сжимаемости.
Таблица
2.5 - Значения ординат эпюры дополнительных давлений
|
|
|
|
|
Слой основания
|
|
0 0,4 0,8 1,2 1,6 2 2,4 2,8
3,2 3,6 4 4,4 4,8 5,2 5,6 6
|
0 0,4 0,8 1,2 1,6 2 2,4 2,8
3,2 3,6 4 4,4 4,8 5,2 5,6 6
|
1 0,977 0,881 0,755
0,642 0,55 0,477 0,42 0,374 0,337 0,306 0,280 0,258 0,239 0,223 0,208
|
161 157,3 141,8 121,5 103,4
88,6 76,8 67,6 60,2 54,3 49,3 45,1 41,5 38,5 36 33,5
|
I слой
|
Определяем осадку каждого слоя:
(2.48)
где
b - безразмерный коэффициент равный 0,8;
szp,i - среднее значение доп.
нормального напряжения в i-ом слое грунта;
hi и Ei - соответственно толщина и модуль деформации i-ого слоя
грунта;
n - число слоев,
на которое разбита сжимаемая толща основания в пределах Hакт.
Толщину
грунта ниже подошвы фундамента разбиваем на условные слои hi, соблюдая условие: hi
0,4b
, (2.49)
Основание
на большую глубину сложено однородным грунтом - суглинком, поэтому при его
расчленении на элементарные слои не нужно учитывать границы между различными
инженерно-геологическими элементами szq,0 - вертикальное
напряжение от собственного веса грунта на уровне подошвы фундамента.(z=0)
к Па,
(2.50)
где
gi
- удельный вес грунта расположенного выше подошвы;
hi -
толщина слоя.
Далее
определяем дополнительное (вертикальное) напряжение в грунте под подошвой
фундамента по формуле
,кПа,
(2.51)
где
Р - среднее давление под подошвой фундамента.
Вычисляем
ординаты эпюры природного давления и вспомогательной эпюры 0,2
: на
поверхности земли:

0,2
;
Рисунок
2.14 - К расчёту осадки по методу элементарного суммирования: 1 - эпюра
природного давления грунта; 2 - эпюра дополнительного давления;
на
контакте I и II слоев (глубина 3 м):

0,2
в
II слое на уровне подземных вод (глубина 3 м):

0,2
в
II слое (глубина 6 м):

0,2
Дополнительные
вертикальные напряжения в грунте для различных глубин zi
откладываемых от подошвы фундамента определяем по формуле:
(2.52)
Где
a - коэффициент, принимаемый по табл. 1, приложение 1
[10] в зависимости от формы подошвы фундамента, соотношения сторон
прямоугольного фундамента и относительной глубины, равной:
x=2×z/b
(2.53)
Нижняя
граница сжимаемой толщи основания принимается на глубине z = Накт,
где выполняется условие szp≈0.2×szq.
Под
всеми осями осадка не превосходит предельное значение (s = 0.10м). Под
высотной частью здания относительная разность осадок (Ds/L)u
осадки не превосходят значения ((Ds/L)u = 0.0036). Это несколько выше рекомендованного (((Ds/L)u
= 0.0024)).
Средняя
осадка
= 0,018м
согласно
СП [10].
Осадка
I слоя:
Полная
осадка фундамента:
что
допустимо, т. к. s < |s| = 10 см.
3.
Благоустройство территории
3.1
Описание ситуационного плана
здание мансарда фундамент теплотехнический
Проектируемое здание будет располагаться в черте города Череповца, при
въезде в город на Кирилловском шоссе. Здание трехэтажное, с цокольным этажом,
предназначено для гостиницы.
Территория здания не застроена и создает выгодные условия для
благоустройства, озеленения и устройства удобного подъезда к зданию. Рядом
находятся Кирилловское и Северное шоссе, дающие быстрый доступ к трем из
четырех районов города в том числе к центральному району города. Вокзал
находится в шаговой доступности от проектируемого здания.
Въезд и выезд на территорию здания и доступ к автостоянкам осуществляется
с Кирилловского шоссе.
Город развивается, увеличивается его промышленная и культурная
значимость. В связи с ростом приезжающих в город людей потребность в местах для
их временного проживания растет.
В проекте благоустройства территории предполагается прокладка новых
проездов и тротуаров, устройство площадки для отдыха посетителей с зоной для
курения, площадки для мусоросборных контейнеров, хозяйственной площадки. Также
запроектировано размещение парковочных мест. Планируется сохранение
существующего озеленения и посадка деревьев, кустарников, газона, цветников.
3.2
Характеристика территории
Рельеф местности: площадка умеренно ровная, с уклоном в северном
направлении, специальная защита от затопления, подтопления, оврагообразования
не требуется. Характеристика грунтов: основанием служат суглинки
мягко-пластичные, с расчетным сопротивлением грунта 0,18 МПа. Нормативная
глубина промерзания - 1,8 м. Температура воздуха в зимний период -32°С;
продолжительность отопительного периода - 231 сутки.
3.3
Устройство проездов, дорожек, площадок
3.3.1
Характеристика элементов на проектируемой территории
Проезды приняты шириной 3,5 м с двухслойным асфальтобетонным покрытием.
Хозяйственная площадка с мусоросборниками располагается на заднем дворе, к ней
устроен дополнительный подъезд. Покрытие проездов асфальтобетонное двухслойное.
Радиусы поворотов проездов 12 м по внутренней кромке. Высота здания не
превышает 5 этажей, поэтому противопожарный проезд обеспечивается с одной
стороны здания. Поперечный профиль двускатный, с уклоном 20 ‰.
Тротуар вдоль зданий и проездов запроектированы шириной 1,5 м из
тротуарной плитки, с односкатным профилем и поперечным уклоном 20 ‰. Радиусы
поворотов тротуаров - 6 м по внутренней кромке.
Проектом благоустройства предусмотрена хозяйственная площадка с
мусоросборными контейнерами, с покрытием из однослойного асфальтобетона,
односкатного профиля с уклоном 15 ‰. Площадки для парковки имеют покрытие,
аналогичное покрытию проездов. Зона для курения располагаются изолированно, с
торца здания. Она имеет покрытие из тротуарной плитки, профиль двускатный, с
уклоном 15‰.
3.3.2
Рекомендации по устройству оснований
Ниже приведены рекомендации по устройству оснований согласно [12].
"Для нижних и средних слоев щебеночных оснований и покрытий под
проезды, тротуары, пешеходные дорожки и площадки следует применять щебень
фракций 40-70 и 70-120 мм; для верхних слоев оснований и покрытий - 40-70 мм,
для расклинивания - 5-10 мм." [12]
"Щебень в слое следует уплотнять за три раза. В первую укатку должна
быть достигнута обжимка россыпи и обеспечено устойчивое положение щебня. Во
вторую укатку должна быть достигнута жесткость основания или покрытия за счет
взаимозаклинивания фракций. В третью укатку должно быть достигнуто образование
плотной коры в верхней части слоя путем расклинивания поверхности мелкими
фракциями. Признаками окончания уплотнения во второй и третий периоды служат
отсутствие подвижности щебня, прекращение образования волны перед катком,
отсутствие следа от катка, а также раздавливание отдельных щебенок вальцами
катка, но не вдавливание их в верхний слой" [12]
"При устройстве шлаковых оснований и покрытий наибольшая толщина
уплотняемого слоя шлака (в плотном состоянии) не должна превышать 15 см. Шлак
следует поливать перед распределением по земляному полотну из расчета 30 л воды
на 1 м 3 неуплотненного шлака. Уплотнение шлака должно производиться
вначале легкими катками без полива, а затем тяжелыми, с поливом малыми дозами
из расчета до 60 л/м 3 неуплотненного шлака. После укатки шлаковое
основание (покрытие) должно поливаться в течение 10-12 дней из расчета 2,5 л/м 3
неуплотненного шлака" [12]
"Материал нижних слоев щебеночных и песчаных оснований под покрытия,
а также щебеночных покрытий, укладываемых на переувлажненную, заранее
уплотненную и отпрофилированную поверхность земляного полотна или корыта,
должен распределяться только от себя. Перед распределением материала на
переувлажненной поверхности должны быть нарезаны водоотводные канавки шириной
20-25 см и глубиной не менее толщины переувлажненного слоя. Канавки следует
располагать на расстоянии не более 3 м одна от другой и нарезать по уклону или
под углом 30-60° к направлению уклона. Грунт из канавок должен быть удален за
пределы покрытия. Отвод воды по канавкам следует производить за 3 м от границ
покрытия. Уклон канавок должен или повторять уклон засыпаемой поверхности, или
быть не менее 2%. Распределение щебня и песка должно производиться только от
высших отметок к низшим. Толщина расстилаемого слоя щебня и песка должна быть
такой, при которой не происходит выдавливание переувлажненного грунта через
поры распределяемого материала. При распределении щебня и песка необходимо
следить за тем, чтобы водоотводные канавки засыпались в первую очередь.
Движение машин и людей по переувлажненному грунту засыпаемой поверхности не
допускается" [12]
"При устройстве щебеночных и шлаковых оснований и покрытий должны
проверяться: качество материалов; планировка поверхности земляного полотна;
толщина слоя основания или покрытия из расчета один промер на 2000 м 2,
но не менее пяти промеров на любой площади; степень уплотнения" [12]
3.3.3
Устройство асфальтобетонных покрытий
"Асфальтобетонные покрытия допускается укладывать только в сухую
погоду. Основания под асфальтобетонные покрытия должны быть очищенными от грязи
и сухими. Температура воздуха при укладке асфальтобетонных покрытий из горячих
и холодных смесей должна быть не ниже +5° С весной и летом и не ниже +10°С
осенью. Температура воздуха при укладке асфальтобетонных покрытий из тепловых смесей
должна быть не ниже минус 10°С." [12]
"Основание или слой ранее уложенного асфальтобетона за 3-5 ч до
укладки асфальтобетонной смеси должны быть обработаны разжиженным или жидким
битумом или битумной эмульсией из расчета 0,5 л/м 2. Предварительной
обработки битумом или битумной эмульсией не требуется в случае укладки
асфальтобетона по основанию, построенному с обработкой органическими вяжущими
материалами, или по свежеуложенному нижнему асфальтобетонному слою." [12]
"При укладке асфальтобетонных смесей для обеспечения бесшовности
соединения смежных полос асфальтоукладчики должны быть оснащены оборудованием
для разогрева кромок ранее уложенных полос асфальтобетона. Допускается
устройство стыка путем укладки кромки по доске." [12]
"Асфальтобетонные покрытия из горячих и теплых смесей должны
уплотняться в два этапа. На первом этапе осуществляется предварительное
уплотнение путем 5-6 проходов по одному месту легкими катками со скоростью 2
км/ч. На втором этапе осуществляется доуплотнение смеси тяжелыми катками путем
4-5 проходов по одному месту со скоростью 5 км/ч. Покрытие считается укатанным,
если перед катком на покрытии не образуется волна и не отпечатывается след
вальца. После 2-3 проходов легких катков должна проверяться ровность покрытия
трехметровой рейкой и шаблоном поперечного уклона. Необходимое количество
проходов катка по одному месту следует устанавливать пробной укаткой. В
недоступных для катка местах асфальтобетонную смесь следует уплотнять горячими
металлическими трамбовками и заглаживать горячими металлическими утюгами.
Уплотнять смесь следует до полного исчезновения следов от ударов трамбовки на
поверхности покрытия." [12]
"При устройстве асфальтобетонных покрытий следует проверять
температуру смеси при укладке и уплотнении, ровность и толщину уложенного слоя,
достаточность уплотнения смеси, качество сопряжения кромок полос, соблюдение
проектных параметров. Для определения физико-механических свойств уложенного
асфальтобетонного покрытия должны отбираться керны или вырубки не менее одной
пробы с площади не более 2000 м 2." [12]
"Коэффициент уплотнения покрытия из горячей или теплой
асфальтобетонной смеси должен быть через 10 сут после уплотнения не менее
0,93%; водонасыщение - не более 5%." [12]
3.3.4
Устройство покрытий из плитки
"Плитки тротуаров и пешеходных дорожек следует укладывать на
песчаное основание при ширине дорожек и тротуаров до 2 м. Песчаное основание
должно иметь боковой упор из грунта и быть уплотнено до плотности при
коэффициенте не ниже 0,98; иметь толщину не менее 3 см и обеспечивать полное
прилегание плиток при их укладке. Наличие просветов основания при проверке его
шаблоном или контрольной рейкой не допускается." [12]
"Плотное прилегание плиток к основанию достигается осадкой их при
укладке и погружении плитки в песок основания до 2 мм. Швы между плитками
должны быть не более 15 мм, вертикальные смещения в швах между плитками должны
быть не более 2 мм." [12]
3.3.5
Выполнение стыков покрытий
"В качестве бортовых элементов используются бортовые камни марки БР
100.30.15 - между проезжей частью и прилегающей территорией (тротуары, газоны)
и БГ 100.20.8. - между тротуарами, площадками и газоном." [12]
"Бортовые камни следует устанавливать на бетонном основании с
присыпкой грунтом с наружной стороны или укреплением бетоном. Борт должен
повторять проектный профиль покрытия. Уступы в стыках бортовых камней в плане и
профиле не допускаются. В местах пересечений внутриквартальных проездов и
садовых дорожек следует устанавливать криволинейные бортовые камни. Устройство
криволинейного борта радиусом 15 м и менее из прямолинейных камней не
допускается. Швы между камнями должны быть не более 10 мм." [12]
"Раствор для заполнения швов должен приготовляться на
портландцементе марки не ниже 400 и иметь подвижность, соответствующую 5-6 см
погружения стандартного конуса." [12]
"В местах пересечения внутриквартальных проездов и пешеходных
дорожек с тротуарами, подходами к площадкам и проезжей частью улиц бортовые
камни должны заглубляться с устройством плавных примыканий для обеспечения
проезда детских колясок, санок, а также въезда транспортных средств." [12]
3.4 Малые
архитектурные формы на территории застройки
Проектом благоустройства предусмотрены МАФ утилитарного использования и
декоративного назначения. На площадке для отдыха посетителей и в месте для
курения располагаются прямые скамьи со спинками, рядом с ними обязательны урны.
Площадку для мусорных контейнеров следует оборудовать ограждением крытого
типа, без сворок.
Также к малым архитектурным формам относятся элементы освещения, представленные
уличными фонарями высотой 6м вдоль основных проездов и парковыми светильниками
высотой 3,5м по периметру здания, на площадках и у входов в здание.
Содержание малых архитектурных форм должно предусматривать их нормальную
эксплуатацию. Садово-парковая мебель, малые архитектурные формы и оборудование
должны иметь хороший внешний вид: окрашены, содержаться в чистоте, и находится
в исправном состоянии. Их цветовое решение должно вносить в городскую застройку
жизнерадостный колорит и разнообразие. Конструктивные элементы оборудования
площадок для отдыха должны отвечать требованиям прочности, надежности и
безопасности при эксплуатации.
3.5
Озеленение территории
3.5.1
Функции озеленения
Озеленение территории играет важную роль в санитарно-гигиеническом, противопожарном
и художественном отношении. Функции озеленения весьма разнообразны. Насыщая
окружающую среду кислородом, защищая от действия ветра, деревья и кустарники
служат естественным фильтром и предохраняют от пыли, копоти, вредных газов и
шума. Их можно эффективно использовать для защиты от прямых солнечных лучей и
регулирования пешеходных потоков.
Наиболее эффективными средствами борьбы загрязнением атмосферы, шумом, а
также болезнетворными микроорганизмами являются деревья и кустарники.
3.5.2 Характеристика
зеленых посадок на проектируемой территории
В
данном проекте зеленые насаждения занимают площадь 2416м
и представлены следующими породами:
деревья
(береза бородавчатая, клен серебристый);
кустарники
(сирень обыкновенная, боярышник полумягкий, спирея японская, роза морщинистая);
цветники
из однолетних растений;
газон
обыкновенный.
Применены
следующие способы посадки зеленых насаждений: одиночная, групповая и рядовая.
Спирея
японская хорошо поддается стрижке и может быть декоративно оформлена, к тому же
обладает пылезащитными свойствами, как и клен серебристый и береза
бородавчатая.
Сирень
является самым высоким из выбранных кустарников, обладает пылезащитными
свойствами, посадка предусмотрена между шоссе и гостиницей и около площадок.
Рекомендуется комбинировать группы из кустов, цветущих разными цветами. Роза
морщинистая являются защитными кустарниками с колючками, применяются в качестве
ограждения каких-либо мест, например, отделения газона от вытаптывания. Боярышник
полумягкий применяют в декоративных целях и обычно используют при одиночной
посадке, в нашем случае у главного в хода в здание.
Цветники
занимают не большую территорию, поэтому посадку осуществляют из однолетников,
они высажены около автопарковки при въезде на территорию гостиницы и в зоне для
отдыха. Газон высаживается по всей территории благоустройства.
Вдоль
проездов и около автомобильных стоянок посажены береза бородавчатая, сирень
обыкновенная. Эти растения не требуют особого ухода и неприхотливы. Вдоль
дорожек высаживается хорошо стригущаяся и переносящая плотную посадку спирея
японская. Рекомендуется комбинировать группы из кустов, цветущих разными
цветами, в разные периоды времени и растения различны по высоте: сирень
обыкновенная, роза морщинистая. На открытых и хорошо инсолируемых участках
высаживаются деревья и кустарники, светолюбивые: сирень обыкновенная, роза
морщинистая.
3.5.3
Дендрологические характеристики применяемых растений
Рассмотрим виды растений применяемых для благоустройства территории.
Береза бородавчатая, или повислая - дерево до 20 м высотой, с ажурной,
неправильной кроной и гладкой, белой, отслаивающейся корой. У взрослых деревьев
нижняя часть ствола покрыта мощной черноватой коркой, с глубокими трещинами,
этим она отличается от большинства белоствольных берез. Ветви большей частью
повислые, молодые побеги бородавчатые. Листья ромбические, голые, до 7 см, в
молодости смолистые, липкие. Сережки пониклые. Плод -
продолговато-эллиптический, крылатый орешек.
Растет быстро, морозостойка, нетребовательна к почве, очень светолюбива,
засухоустойчива. Всхожесть семян высокая. Черенки укореняются слабо (рисунок
3.1).
Рисунок 3.1 - Береза бородавчатая
Клен серебристый - дерево до 30 м высотой, с плотной,
широкоокруглой кроной. Кора молодых ветвей красновато-серая, гладкая. Ствол
покрыт темной, буровато-серой, иногда почти черной корой с многочисленными
неглубокими трещинами. Зимостоек. К плодородию и влажности почвы довольно
требователен, растет быстро, теневынослив, не переносит застоя влаги и
засоленности, дает обильную поросль от пня. Хорошо выдерживает пересадку
(рисунок 3.2).
Рисунок 3.2 - Клен серебристый
Сирень обыкновенная - крупный кустарник иди дерево до б м высотой, с
сердцевидными, плотными, темно-зелеными, голыми листьями до 12 см длиной, на
черешках до 3 см. Душистые цветки собраны в крупные, пирамидальные соцветия до
20 см дайной. Цветки простые, лиловые, различных оттенков. В цветение вступает
в четырехлетнем возрасте. Растет умеренно, морозостойка, довольно
засухоустойчива, нетребовательна к почвам, но хорошо растет и развивается на
глубокой плодородной, суглинистой почве. Вынослива в условиях города, переносит
небольшое оттенение. Дает обильную корневую поросль.
Цветки не только простые, но и густомахровые, часто очень крупные, до 4
см в диаметре; соцветия разной плотности и величины, и, бесспорно, главное у
сортов сирени - большое разнообразие в окраске цветков, которое в результате
селекции дополнилось не только различными оттенками сиреневого, но и новыми
цветами - чисто розовыми, голубыми, пурпуровыми и даже желтыми (рисунок 3.3).
Рисунок 3.3 - Сирень обыкновенная
Роза морщинистая белая - раскидистый кустарник до 2,5 м высотой. Имеет
крупные ароматные цветки белого цвета. Цветет все лето, особенно обильно в
июне, часто повторно, поэтому на кусте можно наблюдать и бутоны, и цветки, и
созревшие плоды одновременно. Очень ценный кустарник, широко распространенный в
озеленении благодаря стойкости и нетребовательности к условиям внешней среды
(рисунок 3.4).
Рисунок 3.4 - Роза морщинистая
3.5.4
Выполнение работ по озеленению
При проведении озеленения необходимо учитывать нижеприведенные указания,
согласно [12].
Работы по озеленению должны выполняться только после расстилки
растительного грунта, устройства проездов, тротуаров, дорожек, площадок и оград
и уборки остатков строительного мусора после их строительства.
Работы по расстилке растительного грунта следует выполнять по возможности
на больших территориях, выделяя под засыпку растительным грунтом только
площади, ограниченные проездами и площадками с твердым усовершенствованным
покрытием.
Подготовка посадочных мест для высадки деревьев и кустарников должна
производиться заранее с тем, чтобы посадочные места, возможно, дольше могли
подвергаться атмосферному воздействию и солнечному облучению. Допускается
подготовка посадочных мест непосредственно перед посадками.
Ямы для посадки стандартных саженцев и саженцев с комом должны иметь
глубину 75-90 см, для саженцев со стержневой корневой системой - 80-100 см.
Стандартные саженцы следует высаживать в ямы диаметром 60-80 см. Размер ям для
посадки саженцев с комом должен быть на 0,5 м больше наибольшего размера кома.
Кустарники следует высаживать в ямы и траншеи глубиной 50 см. Для
одиночных кустов и лиан ямы должны иметь диаметр 50 см. Траншеи под групповые
посадки кустарников должны иметь ширину 50 см для однорядной посадки с
добавлением 20 см на каждый следующий ряд посадки. Ямы под многолетние
цветочные растения должны иметь глубину и диаметр 40 см.
Работы по озеленению территорий следует производить в зависимости от
климатических условий подрайонов. Доставленные на озеленяемый объект неупакованные
растения, если они сразу не могут быть посажены, должны быть разгружены
непосредственно в прикоп, а упакованные в тюки растения - распакованы и
прикопаны. Участок для прикопа следует отводить на возвышенном, защищенном от
господствующих ветров месте. Растения в прикопах следует располагать корнями на
север. Почву в прикопе следует содержать в умеренно влажном состоянии.
Поврежденные корни и ветви растений перед посадкой должны быть срезаны.
Срезы ветвей и места повреждений следует зачистить и покрыть садовой замазкой
или закрасить. При посадке саженцев в нижнюю часть посадочных ям и траншей
должен засыпаться растительный грунт. Корни саженцев следует обмакнуть в
земляную жижу. При посадке необходимо следить за заполнением грунтом пустот
между корнями высаживаемых растений. По мере заполнения ям и траншей грунт в
них должен уплотняться от стенок к центру.
При посадке деревьев и кустарников в фильтрующие грунты на дно посадочных
мест следует укладывать слой суглинка толщиной не менее 15 см. На засоленных
грунтах на дне посадочных мест следует устраивать дренаж из щебня, гравия или
фашин толщиной не менее 10 см.
Посадка в населенных местах женских экземпляров тополей и шелковиц,
засоряющих территорию и воздух во время плодоношения, не допускается.
Газоны следует устраивать на полностью подготовленном и спланированном
растительном грунте, верхний слой которого перед посевом газонных смесей должен
быть проборонован на глубину 8-10 см. Засев газонов следует производить
сеялками для посева газонных трав Для заделки семян следует использовать легкие
бороны или катки с шипами и щетками. После заделки семян газон должен быть
укатан катком весом до 100 кг. На почвах, образующих корку, прикатка не
производится.
Цветочная рассада должна быть хорошо окоренившейся и симметрично
развитой, не должна быть вытянутой и переплетенной между собой. Многолетники
должны иметь не менее трех почек листьев или стебельков. Клубни цветущих
растений должны быть полными и иметь не менее двух здоровых глазков. Луковицы
должны быть полными и плотными.
Рассада цветов должна содержаться до посадки в затененных местах и в
увлажненном состоянии. Высадка цветов должна производиться утром или к концу
дня. Цветы должны высаживаться во влажную землю. Сжатие и заворот корней цветов
при посадке не допускается. После первых трех поливок почва цветника должна
быть присыпана просеянным перегноем или торфом (мульчирование).
Зеленые насаждения при посадках и в период ухода за ними должны
поливаться из расчета 20 л на одни стандартный саженец; 50 л на одно дерево с
комом размером до 1´1 м; 100 л на одно дерево с комом размером 1´1 м и более; 10 л на один куст или
лиану; 5 л на одно растение в цветниках с многолетними цветами; 10 л/м 2
высаженной цветочной рассады или газона.
Приемка озеленения должна производиться с учетом следующих требований:
толщина слоя растительного грунта в местах его расстилки должна быть не
менее 10 см.
пригодность растительного грунта должна быть подтверждена лабораторными
анализами. Если в грунт вносились какие-либо добавки, то это должно быть
подтверждено записями в журнале производства работ;
высаженный посадочный материал должен соответствовать проекту или группам
взаимозаменяемости растений древесных пород;
наличие паспортов и карантинных свидетельств на посадочный материал,
семена и цветочную рассаду.
Подрядные организации несут ответственность за качество выполненных работ
по озеленению территорий в установленном для общестроительных работ порядке.
3.6
Технико-экономические показатели
Таблица 3.1 - Технико-экономические показатели
|
Наименование
|
Единица измерения
|
Показатель
|
|
Площадь участка
|
м 2
|
3960
|
|
Площадь застройки
|
м 2
|
384
|
|
Площадь озеленения
|
м 2
|
2416
|
|
Площадь замощения
|
м 2
|
1160
|
4.
Организационный раздел
.1
Характеристика условий строительства
Проектом предусматривается надстройка здания в г. Череповец. Температура
наружного воздуха наиболее холодной пятидневки - 320 С. Нормативное
давление ветра для I ветрового
района: 0,23кПа. Вес снегового покрова для IV снегового района: 2,4кПа. Группа грунта - II. Глубина
промерзания - 1,5 м. Имеются в наличие постоянные дороги и пути.
.2 Методы
выполнения основных строительно-монтажных работ
.2.1
Земляные работы
До начала производства земляных работ в местах расположения действующих
подземных коммуникаций должны быть разработаны мероприятия по безопасным
условиям труда, а расположение подземных коммуникаций на местности обозначено
соответствующими знаками или надписями.
.2.2
Монтаж конструкций фундамента
К производству работ по устройству оснований и фундаментов можно
приступать только после разбивки котлованов, траншей, земляных сооружений,
привязки осей и высотных отметок на имеющейся геодезической основе и
закрепления необходимых разбивочных знаков.
.2.3
Монтаж здания
Монтаж необходимых элементов для возведения коробки здания и кровли
ведется автокраном КС-55717 (грузоподъемность Q=25 т и длиной стрелы Lс =
27,4м). Материалы для строительства складируются в непосредственной близости от
крана.
4.3
Стройгенплан
"Строительный генеральный план участка, являясь важным документом
после ППР, влияет на эффективность организации производства, поскольку в нем
решаются вопросы размещения и транспортировки строительных конструкций и
материалов, что отражается на производстве труда и себестоимости работ."
[16]
"Стройгенплан разработан на основании архитектурно-строительного
генплана объекта, согласно техники безопасности в строительстве.
При проектировании стройгенплана предусмотрено:
ограждение стройплощадки;
наличие временных дорог;
размещение складских площадок в зоне действия крана;
размещение двух пожарных гидрантов на расстоянии < 150 м друг от
друга, не далее 2 м от дороги с твердым покрытием.
Проектом предусмотрены бытовые временные помещения, которые обеспечивают
рабочих водоснабжением, канализацией, отоплением.
Электроснабжение осуществляется за счет трансформаторной подстанции,
установленной на объекте." [16]
.4 Расчёт
численности персонала строительства
Численность персонала строительства определяется по формуле:
, чел,
(4.1)
где
1,06 - коэффициент, учитывающий отпуска и невыходы рабочих по болезни;
−
численность рабочих основного производства;
−
численность рабочих неосновного производства;
−
численность инженерно-технических работников;
чел −
численность младшего обслуживающего персонала;
чел −
численность учеников;
.5 Подбор
строительного крана
Минимальное требуемое расстояние от уровня стоянки крана до верха стропы:
,м, (4.2)
где
- превышение опоры монтируемого элемента над нулевой
отметкой, м;
-запас
высоты, м (принимается 0,5м);
- высота
элемента, м;
- высота
строп, м.
Требуемый
вылет стрелы:
,м, (4.3)
где
е-половина толщины конструкции стрелы на уровне вероятных касаний, м
(ориентировочно 0,5м);
d- минимальный
зазор между стрелой крана и конструкциями здания, м (принимаем 1м);
- высота
оси крепления шарнира стрелы на уровне стоянки крана, м (ориентировочно 1,5м);
-
расстояние от оси вращения крана до оси шарнира крепления стрелы, м
(ориентировочно 1,5м);
-
расстояние от крайней конструкции здания до центра тяжести монтируемого
элемента, м;
Необходимая
длина стрелы:
(4.4)
По этим данным подбираем кран КС-55717 со стрелой 27.4 м
4.6 Расчет
потребности в ресурсах
.6.1
Расчет потребности в электроэнергии
Электроэнергия при строительстве расходуется:
на питание силовых потребителей;
технологические нужды;
внутреннее освещение зданий и сооружений;
наружное освещение строительной площадки, дорог и т.д.
Требуемая мощность трансформаторной подстанции:
, кВт,
(4.5)
где
1,1 - коэффициент, учитывающий потери в сети;
k1, k2, k3, k4 -
коэффициенты спроса, учитывающие несовпадение нагрузок:
k1 = 0,5 - среднее для механизмов; k2 = 0,7; k3 = 0,8; k4
= 1;
,
,
- сумма
мощностей силовых потребителей, аппаратов, участвующих в технологических
процессах, приборов внутреннего и наружного освещения соответственно кВт;
-
коэффициенты мощностей, зависящие от загрузки потребителей;
Составляем
таблицу для потребителей энергии 4.1.
Таблица
4.1 - Потребители энергии
|
Наименование
|
Мощность, кВт
|
|
Технологические
потребители:
|
|
|
-вибратор глубинный ИВ-117А
|
0,4
|
|
-виброрейка СО-132Н
|
0,6
|
|
-сварочный аппарат ТД-300
|
20
|
|
-растворонасос СО-496
|
4,0
|
|
Наружное освещение:
|
|
|
-прожектор ПКН-1000 с
лампой ПЖ-53
|
10
|
|
Внутреннее освещение:
|
|
|
Помещения временны
|
20,9
|
|
Итого
|
49,9
|
Определяем требуемую мощность:
Подбираем
трансформатор СКТМ - 100-6/10/0,4 - 100 кВт.
.6.2
Расчет потребности в тепле
Тепло на строительной площадке используется на отопление зданий или
технические нужды.
Общая потребность тепла для строительных нужд определяется:
,
кДж/час, (4.6)
где
- расход тепла на отопление пристройки;
- расход
тепла на технологические нужды;
-
коэффициент, учитывающий потери в сети;
-
коэффициент на учтенные расходы тепла
,
кДж/час, (4.7)
где
- коэффициент, зависящий от расчетной t
наружного воздуха (
);
-
удельная тепловая характеристика здания, кДж/час∙м 3∙град;
, кДж/час∙м
3∙град
- объем
здания по наружному обмеру,
;
и
- расчетная температуры внутри помещения и снаружи, °С.
-
зависит от времени, вида и объема работ.
;
;
.
.6.3
Расчет потребности в воде
Вода на строительной площадке используется на хозяйственно-бытовые и
производственные нужды и пожаротушения.
, (4.8)
где
- зависит от площади застройки: до 30 Га-10л/сек.
, (4.9)
где
- расчетная численность персонала строительства;
- расход
воды на 1 работающего 20 л (с канализацией);
-
коэффициент, учитывающий количество моющихся,
;
-
продолжительность смены, час.
Расход
воды на производственные нужды:
, (4.10)
где
1,2 - коэффициент на неучтенные потребности;
-
коэффициент неравномерности водопотребления,
= 1,5;
-
суммарный расход воды в смену в метрах по норме,
= 300 л.
;
Диаметр
трубы временного трубопровода определяется:
;
(4.11)
где
- требуемый расход воды для нужд строительства, л/с;
-
скорость движения воды по трубопроводу,
= 2 м/с.
;
.
Принимаем
диаметр трубопровода Æ100 мм для подачи воды на площадку
.6.4
Расчет потребности в транспортных средствах
Требуемое количество машино-смен работы автотранспорта определяется по
формуле:
,
машино-мест, (4.12)
где
- количество перевозящегося груза, т;
-
сменная производительность транспорта, т/см.;
, т/см.,
(4.13)
где
- количество рейсов в смену;
-
паспортная грузоподъемность машины, т, для КАМАЗ-5510 q=9
т;
-
коэффициент использования грузоподъемности машины, в зависимости от вида груза.
Количество
рейсов в смену:
, (4.14)
где
- продолжительность смены,
=8 час;
-
нормативное время погрузо-разгрузочных работ;
= 0,62
(час);
= 5 км -
расстояние перевозки;
-
средняя скорость движения в условиях города -
= 20
км/ч.
Перевозка
грунта:
Определим
объем грунта в плотном теле в ковше экскаватора:
(4.15)
где
- принятый объем ковша экскаватора, м3,
для ЭО 3211-Е
=0,65м 3;
-
коэффициент наполнения ковша (для обратной лопаты от 0,8 до 1);
-
коэффициент первоначального разрыхления грунта, для суглинка
=1,2.
Определим
массу грунта в ковше экскаватора:
,т,
(4.16)
где
- объемная масса грунта, для суглинка
=1,755 т/м 3.
.
Количество
ковшей грунта, загружаемых в кузов автосамосвала:
; (4.17)
где
- грузоподъемность автосамосвала, для КамАЗ 5510 q = 9
т.
;
Определим
объем грунта в плотном теле, загружаемый в кузов автосамосвала:
. (4.18)
Продолжительность
одного цикла работы автосамосвала:
; мин.,
(4.19)
где
- время
погрузки грунта, мин.;
=12мин;
-
расстояние транспортировки грунта,
=5 км;
- средняя
скорость автосамосвала в загруженном состоянии, км/ч; (17…21 км/ч.);
-
средняя скорость автосамосвала в порожнем состоянии, км/ч. (25…30 км/ч);
- время
разгрузки (ориентировочно 1…2 мин);
- время
маневрирования перед погрузкой и разгрузкой (2-3 мин).
мин.
, мин.,
(4.20)
где
Нвр - норма машинного времени для погрузки экскаватором 100 м 3
грунта в транспортное средство,
Требуемое
количество автосамосвалов составит:
; (4.21)
Число
N округляем до ближайшего меньшего целого числа,
учитывая перевыполнение сменного задания при работе экскаватора.
.
Принимаем
3 автосамосвала КамАЗ 5510.
Перевозка
металлических балок:
(4.22)
,рейса в
смену (4.23)
рейса в
смену
.7
Технико-экономические показатели проекта
Технико-экономические показатели представлены в таблице 4.2
Таблица 4.2
|
Обозначение
|
Единицы измерения
|
Количество
|
|
Площадь стройплощадки
|
м²
|
3960
|
|
Площадь бытовых помещений
|
м²
|
153
|
|
Площадь открытых складов
|
м²
|
51
|
|
Площадь временной дороги
|
м²
|
348
|
|
Длина временной дороги
|
п. м
|
96
|
|
Длина временного ограждения
|
п. м
|
320
|
|
Длина линии освещения
|
п. м
|
131
|
|
Длина временной канализации
|
п. м
|
11
|
|
Длина временного
водопровода
|
п. м
|
34
|
|
Площадь застройки
|
м²
|
1479
|
4.8
Указания по технике безопасности и охране труда на строительной площадке
"При проектировании строительного генерального плана (стройгенплана)
решается комплекс вопросов по созданию здоровых и безопасных условий труда. В
процессе его разработки предусматриваются следующие мероприятия по охране
труда:
проектирование помещений для санитарно-бытового обслуживания рабочих,
включая и места для обогревания в холодное время года, служебные помещения для
технического персонала строительного объекта;
рациональное размещение складов для материалов и площадок для
кратковременного хранения сборных деталей и изделий;
выбор способов безопасного складирования основных строительных
материалов, сборных деталей и изделий;
определение способов безопасной разгрузки на складах и последующей
погрузки и подачи к рабочим местам сборных элементов конструкций, материалов и
оборудования (средства механизации и автоматизации работ);
организация безопасного внутрипостроечного транспорта, размещение
основных монтажных механизмов, устройство дорог и проездов;
определение стабильных и подвижных "опасных зон", связанных с
применением основных строительных машин и средств механизации и автоматизации
погрузочно-разгрузочных работ, организация безопасного труда в зонах
транспортных узлов;
решение вопросов размещения дополнительных устройств и оборудования для
выполнения работ в зимних условиях;
решение вопросов освещенности рабочих мест." [16]
"На стройгенплане определяются площадки складирования, указываются
ограждения зон складирования деталей, места установки предупредительных
надписей и знаков." [16]
"Для исключения переноса кранами грузов над рабочими местами на
стройгенплане указывается направление движения монтажа здания. Намечаются
проезды и подъезды для подвоза материалов и конструкций. Определяются их ширина
и характер покрытия. Обозначаются места стоянок, разворотов, зона ограниченной
скорости движения автотранспорта. На схеме указываются расположение
осветительных устройств, состав и размещение санитарно-бытовых помещений."
[16]
"На строительной площадке оборудуются санитарно-бытовые помещения:
гардеробная, помещение для сушки, обезвреживания и обеспыливания одежды,
умывальная, душевая, помещение для обогрева работающих, для ремонта спецодежды,
а также пункт питания и медпункт.