Разработка проекта на возведение торгово-офисного здания в городе Екатеринбурге
Введение
В выпускной квалификационной работе
разработан проект на возведение торгово-офисного здания в городе Екатеринбурге.
В Екатеринбургской области динамично
развивается строительная отрасль, что обеспечивает спрос на строительные
материалы и изделия. Строительство торгово-офисного здания в городе
компенсирует недостаток торговых площадей строительных магазинов.
В составе проекта выполнены
следующие задачи:
разработана архитектурная часть
проекта в составе пояснительной записки, основные архитектурные решения здания
и генплан;
в расчетно-конструктивной части
выполнен расчет железобетонных колонн и перекрытий здания и подобраны сечения
основных элементов;
разработан проект производства работ
в составе календарного плана и строй генплана;
выполнена технологические карты на
устройство монолитного перекрытия.
В целом проект представляет
достаточно технологичным и экономически эффективным.
1. Архитектурный раздел
.1 Характеристика района
строительства
Район по строительно-климатическому
районированию Российской Федерации - І В.
Подзона по
градостроительно-климатическому зонированию Свердловской Области - VІІ.
Расчётная температура наружного
воздуха наиболее холодной пятидневки -35 ºС.
Снеговой район - 3.
Преобладающее направление ветра -
западное, юго-западное.
Климатический коэффициент = 1,12.
Отопительный период - 230 суток.
Екатеринбург
находится в зоне умеренно-континентального климата с характерной резкой
изменчивостью погодных условий, хорошо выраженными сезонами года. Уральские
горы, несмотря на их незначительную высоту, преграждают путь массам воздуха,
поступающим с запада, из европейской части России. В результате Средний Урал
оказывается открытым для вторжения холодного арктического воздуха и сильно
выхоложенного континентального воздуха Западно-Сибирской равнины; в то же время
с юга сюда могут беспрепятственно проникать тёплые воздушные массы Прикаспия и
пустынь Средней Азии. Поэтому для Екатеринбурга и характерны резкие колебания
температур и формирование погодных аномалий: зимой - от суровых морозов до
оттепелей и дождей, летом- от жары выше +35 °C до заморозков. В январе 2002
года в Екатеринбурге наблюдалось уникальное явление - зимняя гроза.
§ Средняя
температура января −13,6 °C. Абсолютный минимум температур равен −46,7
°C(31 декабря 1978 года).
§ Средняя
температура июля +18,5 °C. Абсолютный максимум температур равен +38,8 °C(1 июля
1911 года)
§ Среднегодовая
температура+2,7 °C
§ Среднегодовая
скорость ветра- 3,1 м/с
§ Среднегодовая
влажность воздуха- 71%
§ Среднегодовое
количество осадков- 508 мм
Таблица 1.1
|
Климат Екатеринбурга
|
|
Показатель
|
Янв
|
Фев
|
Мар
|
Апр
|
Май
|
Июн
|
Июл
|
Авг
|
Сен
|
Окт
|
Ноя
|
Дек
|
Год
|
|
Абсолютный максимум,°C
|
5,6
|
9,4
|
17,3
|
28,8
|
33,4
|
35,6
|
38,8
|
37,2
|
31,9
|
24,7
|
13,5
|
8,6
|
38,8
|
|
Средний максимум, °C
|
−10
|
−7,3
|
0,6
|
9,8
|
17,3
|
22,9
|
24,0
|
20,5
|
14,2
|
5,9
|
−3,1
|
−7,5
|
7,4
|
|
Средняя температура, °C
|
−13,6
|
−11,6
|
−4,2
|
4,4
|
11,1
|
16,9
|
18,5
|
15,3
|
9,5
|
2,4
|
−6,3
|
−10,7
|
2,7
|
|
Средний минимум, °C
|
−16,8
|
−15,2
|
−8,2
|
0,0
|
5,8
|
11,7
|
14,0
|
11,2
|
6,0
|
−0,3
|
−9
|
−13,6
|
−1,1
|
|
Абсолютный минимум, °C
|
−44,6
|
−42,4
|
−39,2
|
−21,8
|
−13,5
|
−5,3
|
1,5
|
−1
|
−9
|
−26,6
|
−39,2
|
−46,7
|
−46,7
|
|
Норма осадков, мм
|
23
|
19
|
16
|
28
|
44
|
69
|
92
|
68
|
55
|
39
|
30
|
25
|
508
|
Повторяемость
направлений ветра отражена в таблице 1.2. Город Екатеринбург.
Таблица 1.2 -
Повторяемость направлений ветра. Город Екатеринбург
|
в январе, %
|
|
С
|
СВ
|
В
|
ЮВ
|
Ю
|
ЮЗ
|
З
|
СЗ
|
|
7
|
5
|
4
|
18
|
11
|
19
|
30
|
6
|
|
в июле, %
|
|
С
|
СВ
|
В
|
ЮВ
|
Ю
|
ЮЗ
|
З
|
СЗ
|
|
15
|
12
|
6
|
11
|
10
|
11
|
18
|
17
|
Рисунок 1.1 - Роза ветров город
Екатеринбург
1.2 Генеральный план и
благоустройство
Участок застройки
расположен в центральной части г. Екатеринбурга, в Ленинском административном
районе, на пересечении улиц Попова-Хохрякова.
Участок
строительства ограничен:
-к северу жилой
дом,
·к югу -
улица Попова,
·к
востоку - улица Хохрякова,
·к
западу - строящаяся дворовая часть Торгово-офисного комплекса с подземным
гаражом.
В состав
проектируемого торгово-офисного комплекса входят: 12ти этажное торгово-офисного
здание с подвальным этажом.
За условную отметку 0.00 принята
абсолютная отметка 242,5. Инженерные сети размещаются вдоль проездов
параллельно линиям застройки Водопровод, канализация, кабели проложены в
траншеях, тепловые сети в подземных каналах.
Проектом предусмотрена открытая
автостоянка на 46 автомобилей, обеспечен удобный подход и подъезд к
проектируемому зданию.
Покрытие подъездов и автостоянок -
асфальтобетон.
План организации рельефа выполнен с
учетом окружающей территории и обеспечивает поверхностный водоотвод с участка
проектирования от здания на существующие улицы путем создания уклонов в сторону
существующих улиц.
.3 Функциональная схема здания
Состав помещений, их геометрические
параметры и требования к группировке определяются функциональным процессом.
Общественные здания являются
материальной основой для широкого круга социальных процессов. Эти процессы
реализуются посредством различных услуг на основе системы обслуживания
населения, которая имеет ступенчатую организацию на следующих уровнях:
повседневного обслуживания населения, периодического его обслуживания и
эпизодического обслуживания.
Основным классификационным признаком
общественных зданий является их функциональное назначение.
По функциональному назначению все
общественные здания подразделяются прежде всего на две большие группы:
специализированные и универсальные здания.
Функциональный процесс - это тот вид
деятельности, для которой здание предназначается.
Функциональная схема - графический
метод изображения функционального процесса. Схемы составляются до разработки
планов этажей, позволяет привести функциональный процесс в логическую систему,
разработать оптимальный вариант группировки помещений здания.
.4 Объемно планировочное решение
Проектные решения общественных
зданий основываются на целом ряде следующих их особенностей:
• на разнообразии функциональных
процессов;
• на сочетании в одном здании
помещений с различными геометрическими параметрами;
• на различных физико-технических
требованиях к помещениям;
• на большом количестве и площади
коммуникационных помещений;
• на сосредоточении большого
количества людей;
• на наличии зальных помещений
большой площади.
Для общественных зданий с зальными
помещениями и большими массами людей, одновременно находящихся в зданиях,
характерны специфические физико-технические требования - к организации людских
потоков, зрительному восприятию, видимости и слышимости.
Несмотря на различные функциональные
процессы, протекающие в общественных зданиях различных типов, существует
несколько отличительных признаков, по которым можно классифицировать сами
общественные здания и их помещения.
По месту в функциональном процессе
различают следующие типы помещений:
• рабочие, в которых осуществляется
основной функциональный процесс, определяющий тип здания;
• обслуживающие, в которых
происходит обслуживание занятых в основном функциональном процессе людей;
• вспомогательные, обеспечивающие
взаимосвязь между помещениями, а также служащие для размещения
инженерно-технического оборудования.
Уровень ответственности здания - I
(повышенной);
Степень долговечности > 100лет;
Степень огнестойкости здания в целом
- I степени огнестойкости.
Таблица 1.4 - Класс функциональной
противопожарной опасности - Ф4.3, Ф1.2, Ф3.6, Ф3.5
|
Конструкции
|
Предел огнестойкости строительной конструкции
|
Класс пожарной опасности
|
|
Нормативный
|
Фактический
|
Нормативный
|
Фактический
|
|
Несущие элементы - Колонны - монолитные
железобетонные - Диафрагмы - монолитные железобетонные - Ригели
- монолитные железобетонные
|
R120
|
R120
|
K0
|
K0
|
|
Наружные ненесущие стены - Твинблоки - Минвата
- штукатурка
|
E30
|
E30
|
K0
|
K0
|
|
Междуэтажные перекрытия - монолитные железобетонные
|
REI 60
|
REI 60
|
K0
|
K0
|
|
Лестничные клетки: - стены - монолитные железобетонные
|
REI 90
|
REI 120
|
K0
|
K0
|
|
- марши и площадки - монолитные железобетонные
|
R 60
|
R 60
|
K0
|
K0
|
|
Элементы бесчердачных перекрытий:балки металлические с
покрыттием
|
R 30
|
R 30
|
|
|
Здание 12-этажное, высотой 48,6м.
прямоугольное в плане, с криволинейным главным фасадом, имеется технический
этаж (отметка пола -2,800м), размеры в плане шириной - 48м. длиной - 90м.
Высота этажей 3,6м.
На 1 этаже расположены помещения:
регистратура, администрация, кафетерии, тренажёрный зал, вспомогательные
помещения.
На 2 этаже расположены помещения:
кафе на 100 посадочных мест, технические и подсобные помещения, копировальный
салон, зимний сад.
На 3-12 этажах расположены офисные
помещения и торговые помещения.
Помещения для размещения инженерного
оборудования, прокладки коммуникаций, расположенных в техподполье: узел ввода,
венткамера, индивидуальный тепловой пункт и узел ввода ТС, мастерская.
Имеется тёплый чердак.
Таблица 1.5 - Экспликация помещений
первого этажа
|
№
|
Наименование
|
S, м2
|
примечание
|
|
1
|
Вестибюль
|
324
|
|
|
2
|
Кассовый отдел
|
10,8
|
|
|
3
|
Салон красоты
|
23,76
|
|
|
4
|
Пункт связи
|
10,8
|
|
|
5
|
Комната дежурного персонала
|
18
|
|
|
6
|
Комната администратора
|
18
|
|
|
7
|
Сейфовая
|
23,76
|
|
|
8
|
Складские помещения
|
18
|
|
|
9
|
Складские помещения
|
18
|
|
|
10
|
Охрана
|
17,4
|
|
|
11
|
Суши-бар
|
216
|
|
|
12
|
Кафе
|
220
|
|
|
13
|
Спорт-бар
|
123
|
|
|
14
|
Кухня
|
21
|
|
|
15
|
Медпункт
|
36
|
|
|
16
|
Камера хранения
|
108
|
|
|
17
|
Гардероб
|
36
|
|
|
18
|
Комната хранения
|
36
|
|
|
19
|
Комната хранения инвентаря
|
36
|
|
|
20
|
Складские помещения
|
21
|
|
|
21
|
Торговые помещения
|
123
|
|
|
22
|
Фитнес зал
|
220
|
|
|
23
|
Торговые помещения
|
216
|
|
|
24
|
Торговые помещения
|
36
|
|
|
ВСЕГО:
|
1930,52
|
|
Таблица 1.6 - Экспликация помещений
3-12 этажа
|
№
|
Наименование
|
S, м2
|
примечание
|
|
|
25
|
Офисное помещение
|
36/72/216
|
|
|
|
26
|
Архивы
|
36
|
|
|
|
27
|
Конференц-зал
|
72
|
|
|
|
28
|
Склад канцтоваров
|
36
|
|
|
|
29
|
Склад оргтехники
|
72
|
|
|
|
30
|
Инвентарь для уборки
|
36
|
|
|
|
31
|
Помещение персонала
|
36
|
|
|
|
32
|
Склад
|
72
|
|
|
|
33
|
108
|
|
|
|
34
|
Комната отдыха
|
72
|
|
|
|
35
|
Торговые помещения
|
65
|
|
|
|
36
|
Торговые помещения
|
144
|
|
|
|
37
|
Торговые помещения
|
216
|
|
|
|
ВСЕГО:
|
2212
|
|
1.5 Конструктивное решение
Конструктивная система здания
представляет собой рамный стальной каркас.
Горизонтальные конструкции
обеспечивают геометрическую неизменяемость в плане, передают приложенные к ним
нагрузки на вертикальные конструкции, участвуют в пространственной работе всей
конструкции в качестве диафрагм, препятствуют взаимному сдвигу неодинаково
нагруженных вертикальных элементов. В качестве горизонтальных конструкций
выступают ригели и монолитное перекрытие.
Вертикальные конструкции выполняют
главные несущие функции, воспринимают, в конечном счете, все приложенные к
системе нагрузки, передавая их на фундамент. В качестве вертикальных
конструкций выступают колонны.
В поперечном направлении жесткость и
неизменяемость рамы обеспечивается жестким креплением ригелей к колоннам.
В продольном направлении жесткость и
неизменяемость рамы обеспечивается жестким защемлением колонн в фундаментах.
Крепление ригелей в данном случае шарнирное. Принятый шаг колонн в продольном
направлении 6м, в поперечном - 6м.
Колонны - двутавровые стальные по
ГОСТ 26020-83, размерами 400х400 мм. С применением огнезащиты
"Технониколь" толщиной 10мм.
Ригель - двутавровые стальные балки
по ГОСТ 26020-83, размерами 200х400мм.
Фундаменты здания - монолитные
мелкого заложения, устраиваемые под колонны. Нижние концы колонн заделаны
жестко в фундаменте.
Стены - выполняются ненесущими из
пенобетонных панелей обшитых утеплителем, снаружи облицовываются навесными
вентилируемыми фасадами. Толщина пенобетонных панелей - 200мм. Применяемый
утеплитель - «Роквул» толщиной 190 мм. Стеновые панели навесные.
Лестницы - Лестницы выполняются в
виде железобетонных наборных ступеней, уложенных по металлическим косоурам:
Наружные лестницы выполняются
монолитными железобетонными.
Перегородки - выполняются в виде
гипсокартонных листов по профилям. Система KNAUF. Суммарная толщина перегородок
в служебной и общественной частях составляет 120 мм. Перегородки выполняются
толщиной 150 мм с заполнением пространства между листами звукоизолирующим
материалом. Это позволяет создать комфортные акустические условия между
помещениями.
Мокрые помещения, такие как санузлы,
цеха предприятия питания облицовываются влагостойкими гипсокартонными листами
имеющими пониженное водопоглощение (менее 10%) и обладающие повышенным
сопротивлением проникновению влаги.
Остальные помещения облицовываются
обычными гипсокартонными листами. Основой каркаса перегородок является профиль.
Они имеют сечение от 50х50 мм до 100х50 мм.
В качестве звукоизолирующего слоя
применяются изделия из минерального или стекловолокна на синтетическом
связующем. Перегородки в тамбурах, в санузлах из пазогребневых
(гидрофобизированных) плит влагостойких, толщиной 80 мм. Разделительные
перегородки в сан.узлах выполнить из ГПВЛ по металлическому каркасу, с
последующей окраской. В помещениях для занятий спорта, кабинетах, коридорах -
пазогребневые перегородки.
Перекрытие - монолитное толщиной
200мм.
Кровля - безфонарная, малоуклонная (i=3%), чердачная с внутренним
водостоком. Основные материалы кровли - гидроизолирующий слой «Изолен»,
цементная стяжка толщиной 20 мм. Водосток с покрытия устраивается внутренний
организованный. Сбор воды осуществляется воронками.
Лифт - в здании запроектировано 4
пассажирских лифта по ГОСТ 5746-89 грузоподъемностью 500 кг, скорость 1 м/c. Тип кабины - непроходная с
раздвижными дверями. Расположение противовеса - сзади кабины. Размеры кабины
1700 x 1700мм. Стены лифтовой шахты выполнены из монолитного
железобетона. Толщина стен 250 мм.
Двери: наружные - металлические по
ГОСТ 24698-81, внутренние - деревянные по ГОСТ 6629-88.
Окна - и наружные двери
индивидуального изготовления. Они представляют собой каркас из алюминиевого
профиля с полимерным покрытием и двухкамерный стеклопакет по ТНГ 55-302-2006.
Таблица 1.7 - Спецификация
металлических конструкций
|
Поз.
|
Обозначение
|
Наименование
|
Кол-во
|
Примечание
|
|
Колонны
|
|
К1
|
ГОСТ 26020-83
|
Двутавр 40К2
|
2064
|
3,6
|
|
К2
|
|
Двутавр 40К2
|
344
|
2,2
|
|
Балки
|
|
БЛ1
|
ГОСТ 26020-83
|
Двутавр 40Б2
|
2160
|
|
|
ГОСТ 8240-89
|
Косоурная балка Швеллер 20п
|
108
|
|
|
ГОСТ 8717.0-84
|
Ступень ЛС 14-Б-1
|
21
|
|
|
Лестничное ограждение
|
|
СТ1
|
02.717-9484-02-КМИ-СТ
|
Стойка ограждения СТ-1
|
100
|
|
.6 Отделка здания
Композиция фасадов здания решена из
современных архитектурных форм с использованием отделки фасадов отражена в
таблице 1.9.
Внутренняя отделка выполняется в
зависимости от функционального назначения помещений и в соответствии с
рекомендациями противопожарных и санитарных норм.
Ведомость отделки показана в таблице
1.8.
Таблица 1.8 - Ведомость отделки
помещений
|
Номер помещения
|
Потолок
|
Стены или перегородки
|
|
Площадь, м2
|
Вид отделки
|
Площадь, м2
|
Вид отделки
|
Высота отделки
|
|
2,3, 4, 5, 6, 7, 8, 9, 10,11, 12, 13, 15, 17, 18, 21, 22, 23,
24, 25, 26, 27, 28, 29, 31, 33, 34, 35, 36, 37
|
1625
|
Подвесной потолок
|
1958
|
Наклейка обоев под покраску с последующей окраской
водоэмульсионной краской
|
На всю высоту
|
|
14. 16, 19, 30, 32
|
237
|
Подвесной потолок
|
327,6
|
Оштукатуривание и покраска
|
На всю высоту
|
|
20, санузлы
|
309
|
Металлические панели
|
414
|
Штукатурка с последующей облицовкой керамической плиткой
|
На всю высоту
|
|
1, коридоры
|
3276
|
Подвесной потолок
|
3974,4
|
Фактурная штукатурка
|
На всю высоту
|
Таблица 1.9 -
Ведомость наружной отделки
|
Наименование
|
Материалы
|
|
Фасад
|
Навесной вентилируемый, "Алкон-2"-К Цвет: Тёмно-жёлтый
|
|
Цоколь
|
Облицовка серым керамогранитом
|
|
Кровля
|
Рулонный кровельный материал "Изолен"
|
|
Входные лестницы и пандусы
|
Облицевать серым гранитом, с обработкой против скольжения
|
|
Все металлические элементы
|
Окрасить матовой краской
|
|
Окна и балконные двери
|
Из ПВХ, профиль белого цвета с ламинированием
|
Таблица 1.10 -
Экспликация полов
|
Наименование
|
Площадь пола, м2
|
|
техническое подполье на отм. -2,800
|
4320
|
|
Пол 1,2 этажа, коридор торгово-офисного здания, санузлы, кухни
|
9252
|
|
Коридор офисной части, 25, 26, 27, 28, 29, 30, 31, 32, 33, 34,35
|
46570
|
|
36
|
2880
|
|
37
|
2160
|
Таблица 1.11 -
Спецификация заполнения проемов
|
Поз.
|
Обозначение
|
Наименование
|
Кол-во
|
|
|
|
1 этаж
|
2этаж
|
3-12 этаж
|
Всего
|
|
Оконные блоки из ПВХ
|
|
|
ОК 1
|
|
ОП 2330х2800
|
2
|
-
|
-
|
2
|
|
ОК 2
|
|
ОП 4400х2800
|
4
|
4
|
40
|
48
|
|
ОК 3
|
|
ОП 3600х2800
|
16
|
23
|
210
|
249
|
|
ОК 4
|
|
ОП 5280х2800
|
2
|
2
|
20
|
24
|
|
ОК 5
|
|
ОП 5680х2800
|
2
|
2
|
20
|
24
|
|
ОК 6
|
|
ОП 5960х2800
|
2
|
2
|
20
|
24
|
|
ОК 7
|
|
ОП 5300х2800
|
2
|
2
|
20
|
24
|
|
ОК 8
|
|
ОП 2000х2000
|
4
|
4
|
40
|
48
|
|
|
всего
|
|
|
|
443
|
|
Дверные блоки из ПВХ
|
|
|
ДБ1
|
ГОСТ 30674-99
|
БП 1800х2000
|
16
|
8
|
13
|
37
|
|
ДБ2
|
|
БП 1000х2000
|
28
|
47
|
60
|
135
|
|
|
всего
|
|
|
|
172
|
|
Двери внутренние
|
|
|
Д1
|
|
ДГ20-10 ГОСТ6629-88
|
16
|
8
|
13
|
37
|
|
Д2
|
|
ДГ20-18 ГОСТ6629-88
|
28
|
47
|
60
|
135
|
|
|
всего
|
|
|
|
172
|
|
Двери наружные раздвижные из ПВХ
|
|
|
Д3
|
|
ДР20-22
|
4
|
-
|
-
|
4
|
|
Д4
|
|
ДР20-30
|
2
|
-
|
-
|
2
|
|
|
всего
|
|
|
|
6
|
|
|
|
|
|
|
|
|
.7 Инженерное
оборудование
Теплоснабжение здания осуществить от
собственной котельной, работающей на природном газе. Теплоноситель в системах
отопления и теплоснабжения приточных установок - вода с параметрами 80-60 С.
Система отопления здания
комбинированная. Для отопления торговых залов магазинов и офисов 3-4 этажей в
помещениях установлены фанкойлы (режим тепло-холод). Система отопления бытовых
и вспомогательных помещений двухтрубная горизонтальная регулируемая. В качестве
нагревательных приборов используются:
стальные панельные радиаторы «PURMO»
(санузлы и бытовые помещения);
радиаторы «МС-140» (насосная,
мастерская мелкого ремонта, помещение приемщиков);
регистры из гладких труб
(электрощитовая, зарядная).
Регулирование теплоотдачи
нагревательными приборами обеспечивается радиаторными терморегуляторами фирмы
«Danfoss». Трубопроводы систем отопления приняты из полиэтиленовых труб «Rehau».
В высших точках систем отопления устанавливаются автоматические
воздухоотводчики, на приборах отопления - воздушные краны. В нижних точках для
спуска теплоносителя предусмотрен дренаж. На ветках отопительных систем
установлены балансировочные клапаны. Магистральные трубопроводы систем
отопления и теплоснабжения приточных установок, а так же стояки систем
отопления и теплоснабжения здания выполняются из стальных водогазопроводных
труб по ГОСТ 3262-75*. Все трубопроводы теплоизолированы трубной изоляцией «Энергофлекс».
Трубопроводы в местах пересечения
перекрытий, внутренних стен и перегородок прокладываются в гильзах из негорючих
материалов. Края гильз выполнить на одном уровне с поверхностью стен,
перегородок и потолков, на 30мм выше поверхности чистого пола.
Вентиляция здания приточно-вытяжная
с механическим и естественным побуждением. Воздухообмены для различных групп
помещений приняты:
в магазинах по санитарной норме
наружного воздуха на 1 человека (20 м 3 /час);
кабинеты из условия подачи
минимального количества наружного воздуха 20 м3/час на человека;
зала совещаний из условия подачи
минимального количества наружного воздуха 20 м3/час на человека;
Системы вентиляции приняты
раздельные для каждого этажа.
Оборудование систем
приточно-вытяжной вентиляции размещается за подвесными потолками поэтажных
коридоров и в венткамерах. В местах пересечения противопожарных преград
устанавливаются огнезадерживающие клапаны.
Воздух, перед подачей в помещения
очищается в фильтрах, нагревается или охлаждается до нормативной температуры в
калориферах и охладителях приточных установок. Вентиляция санузлов магазинов,
офисов - с механическим побуждением канальными вентиляторами, размещаемыми за
подвесными потолками помещений.
Воздуховоды систем приточно-вытяжной
вентиляции приняты из тонколистовой оцинкованной стали по ГОСТ 14918-98*.
Транзитные воздуховоды вытяжных систем выполнить с пределом огнестойкости 0.5
часа (состав огнезащитный вспенивающийся СГК-1 б=2.5мм). На входах в здание
предусмотрена установка электрических воздушно-тепловых завес.
Рабочие чертежи разработаны в
соответствии с действующими нормами, правилами и стандартами.
Строительство и монтаж сетей
водопровода и канализации вести согласно СП 73.13330.2012 "Внутренние
санитарно-технические согласно СП 73.13330.2012 "Внутренние
санитарно-технические системы".
Крепление трубопроводов
водоснабжения к строительным конструкциям выполнить в соответствии с серией
4.904-69. Жесткая заделка труб в фундаменте здания не допускается. Отверстия
для пропуска труб должны иметь размеры, обеспечивающие в кладке зазор вокруг
трубы не менее 0,2 м. Зазор заполнить плотным эластичным водо- и
газонепроницаемым материалом.
Стыковые соединения раструбных труб
должны обеспечить компенсацию возможных просадок, для чего применять резиновые уплотнительные
кольца. Для уменьшения усилий в трубопроводах, вызванных перемещениями
конструкций зданий вследствие усадки, следует применить компенсирующие
устройства.
При выполнении строительно-монтажных
работ необходимо составить акты освидетельствования на следующие скрытые
работы:
устройство выпусков канализации;
прокладка труб канализации под полом
1-го этажа;
выполнение стыковых соединений и
величины зазоров.
Распределение электропитания
осуществляется от силовых щитов (ЩР1, ЩР5) 380/ 220В. Силовые щиты
комплектуются автоматическими выключателями фирмы Schneider Electric серии
Multi9 в соответствие с расчетной мощностью и расчетов токов короткого
замыкания. В электрощитах используются выключатели с комбинированными
расцепителями и имеют отключающий механизм, обеспечивающий отключение с
выдержкой времени потоку перегрузки и быстродействующее электромагнитное
отключение для защиты от токов короткого замыкания. При производстве монтажных
работ обратить внимание на надежность крепления щитков, щитов, трубных
проводок. В местах присоединения питающих, распределительных и групповых линий
организовать запас проводов и кабелей 0,3м. Все электрооборудование должно
иметь сертификаты соответствия ГОСТ Р и может быть заменено на оборудование с
аналогичными характеристиками.
Проект предусматривает общее
равномерное освещение помещений на напряжение 220В. Светильники выбраны в
зависимости от характеристики окружающей среды и назначения помещений типа с
люминесцентными лампами.
В соответствии с защитными мерами по
электробезопасности однофазная электропитающая сеть проектируется 3-х проводной
с одинаковым сечением жил. Шина PE силовых щитов подключаются к заземляющей
шине здания. Нулевые проводники N подключаются к отдельным шинам на групповых
щитках.
.8 Теплотехнический расчёт наружной
стены
Исходные данные:
Климатический район - I B;
Зона влажности района - сухая (30%);
Влажность внутри помещений -
нормальная (60%);
Условия эксплуатации ограждающих
конструкций - А;
Расчетная зимняя температура
наружного воздуха - tн= - 35° С;
Расчетная температура внутреннего
воздуха
(офисных помещений) - tв= + 21° С;
- αв
= 8,7 вт/(м2 · º С);
- αн
= 23 вт/(м2 · ° С);
Средняя температура отопительного
периода - tо.п.= - 6,0º С;
Продолжительность отопительного
периода - zо.п.= 230сут.;

Рисунок 1.2 - Стена
Устанавливаем режим помещения.
Устанавливаем, что при указанной температуре и относительной влажности
внутреннего воздуха режим помещения следует считать сухим.
Температура внутреннего воздуха
.
Средняя температура отопительного
периода
.
Продолжительность отопительного
периода
.
Температура наружного воздуха
.
Таблица 1.12 - Состав стенового
ограждения
|
Наименование слоя
|
Толщина, мм
|
λ, Вт/(м·°С)
|
Плотность, кг/м3
|
|
Штукатурка
|
15
|
0.7
|
1800
|
|
Пенобетон
|
200
|
0.22
|
1200
|
|
Утеплитель "Роквул"
|
х
|
0.047
|
180
|
|
Воздушная прослойка
|
60
|
|
|
|
Облицовка
|
10
|
2.91
|
2700
|
Определяю нормируемое значение
сопротивление теплопередачи ограждающих конструкций
.
Требуемое термическое сопротивление
ограждающей конструкции:
где n-коэффициент, учитывающий положение
ограждения по отношению к наружному воздуху n=1;
= 4,0С- нормируемый температурный перепад,
= 8,7 Вт/м 2 С- коэффициент теплопроводности,
= 23 Вт/м 2 С- коэффициент теплопередачи наружной поверхности (для
зимних условий).
Выбираем наибольшее значение Rreq=R0=4,2 (м2 ∙ ºС)/Вт.
Сопротивление теплопередаче
многослойной ограждающей конструкции:
отсюда
=190мм.
Принимаем толщину утеплителя
=190мм
Сопротивление теплопередаче
ограждающей конструкции при толщине утеплителя 190мм

Теплотехнические свойства стены
удовлетворяют требованиям
.9 Мероприятия по обеспечению
условий жизнедеятельности маломобильных групп населения
Для обеспечения
деятельности маломобильных групп населения в здании предусматриваются следующие
мероприятия:
·во
входах в здание предусмотрены распашные двери; устройство дверных проходов без
порогов;
·в
здании предусмотрены специальные санузлы;
·на
любой уровень здания есть возможность подняться с помощью лифтов;
·ширина
коридоров позволяет развернуться инвалидам в коляске.
-для прохода через
контролируемую зону (турникеты) предусмотрен специальный проход.
1.10 Противопожарные мероприятия
Здание запроектировано в виде
комплекса с одним пожарным отсеком (общая площадь этажа не превышает 5000 м2).
Строительные конструкции запроектированы с классом пожарной безопасности К0.
Для обеспечения
эвакуации людей из подвальных помещений предусмотрено не менее 2 лестниц с
выходом непосредственно наружу. Эвакуация из высотной части здания
осуществляется по двум лестницам типа Н 1 и Н2.
В здании
предусматривается автоматическая спринклерная система пожаротушения и
пожаротушение пожарными кранами. Пожарные краны устанавливаются на системе
автоматического пожаротушения.
Противодымная
защита обеспечивает безопасную эвакуацию людей. В составе противодымной защиты
предусмотрены:
-автоматические
системы приточно-вытяжной вентиляции
конструкции и
оборудование с требуемыми техническими характеристиками
-средства
управления, обеспечивающие расчетные режимы совместного действия систем
противодымной вентиляции в заданной последовательности и требуемом сочетании, в
зависимости от различных пожароопасных ситуаций, определяемых местом
возникновения пожара.
Здание оборудуется
автоматической адресно-аналоговой системой пожарной сигнализации.
Автоматические пожарные извещатели установлены во всех помещениях, за
исключением помещений, не подлежащих защите. Оборудование обеспечивает
управление внешними инженерными системами (включает сигналы противопожарной
защиты оповещения и управления эвакуацией, отключает общеобменную вентиляцию,
управляет установками противодымной вентиляции, дымовыми и противопожарными
клапанами при пожаре, лифтами и другим оборудованием).
В здании
предусматривается установка системы оповещения, совмещённой с системой
трансляции. В дополнение к звуковому оповещению предусматривается установка
поблесковых световых сигналов в помещениях с высоким уровнем шума.
Противодымная
защита обеспечивает безопасную эвакуацию людей. В составе противодымной защиты
предусмотрены:
-автоматические
системы приточно-вытяжной вентиляции,
-конструкции и
оборудование с требуемыми техническими характеристиками,
-средства
управления, обеспечивающие расчетные режимы совместного действия систем противодымной
вентиляции в заданной последовательности и требуемом сочетании, в зависимости
от различных пожароопасных ситуаций, определяемых местом возникновения пожара.
Лифтовый холл подвала с подпором
воздуха на случай возникновения пожара.
Все проходы по ширине и высоте
обеспечивают безопасную эвакуацию людей из здания.
Двери кладовых, архива и других
пожароопасных помещений - противопожарные, сертифицированные.
Предусмотрен наружный и внутренний
противопожарный водопровод.
2. Расчётно-конструктивный раздел
.1 Сбор нагрузок
Нагрузки для офисов 2кПа,
Расчетная нагрузка от снега 1,8 кПа.
Высота этажа - 3,85м.
Характеристика
материалов:
Бетон: B30(Eb=3e+006т/м2,Rb=1730 т/м2,
Rbn = 2240 т/м2 . Rbt = 122 т/м2, Rbtn = 184 т/м2 )
Класс продольной
арматуры:
A500С (Еs=2e+07тонн/м2, Rs=435 кгс/см2, рабочая, Rsw=29700т/м2, Rsc=40800т/м2).
Класс поперечной
арматуры:
вспомогательная и
хомуты A500С (Еs=2e+07тонн/м2, Rs=46000 т/м2, Rsw=29700т/м2, Rsc=40800т/м2).
Размеры защитных
слоев бетона приведены в соответствии с СНиП 21-01-97. Начальной точкой отсчета
является центр конструкции.
Стены:
На поверхности
стен, касающихся грунта: 50 мм.
Огнестойкость до
180 минут: 30 мм.
Огнестойкость до
150 минут: 30 мм.
Колонны:
Огнестойкость до
180 минут: 50 мм.
Огнестойкость до
150 минут: 50 мм.
Таблица 2.1 - Нагрузки на перекрытие
|
Наименование нагрузки
|
Нормативная нагрузка, тс/м2
|
γf
|
Расчетная нагрузка, тс/м2
|
|
1. От пола:
|
|
|
|
|
15 мм Керамогранит 0,015×2,2 30
мм Цем.-песчаная стяжка 0,030×1,8 55
мм Бетонное выравнивание 0,055×2,5 Фальш-потолок
и установка
|
0,033 0,054 0,137 0,005
|
1,1 1,1 1,3 1,1
|
0,0363 0,059 0,178 0,0055
|
|
2. Собственный вес плиты 0,25×2,5
|
0,625
|
1,1
|
0,687
|
|
Σg
|
0,854
|
|
0,957
|
|
3. Временная нагрузка, в том числе:
|
0,2
|
1,2
|
0,24
|
|
4. Полная нагрузка
|
1,054
|
|
1,197
|
.2 Расчет и конструирование
монолитной железобетонного каркаса
Расчёт каркаса произведён в ПК ЛИРА.
Схема каркаса.
Рисунок 2.1 - Схема каркаса
Рисунок 2.2 - Схема каркаса
Рисунок 2.3 - Плита покрытия
Рисунок 2.4 - Плита перекрытия
Таблица 2.2 - Таблица жесткостей
. Балка.
. Колонна.
. Монолитная плита
покрытия/перекрытия.
Приложенные нагрузки.
Собственный вес.
Рисунок 2.5 - Собственный вес
Ветровая нагрузка.
Ветровой район II, w0=0.3 кН/м. СП
20.13330.2011 Нагрузки и воздействия. Актуализированная редакция СНиП
2.01.07-85.
Рисунок 2.6 - Ветровая нагрузка
Снеговая нагрузка.
Снеговой район III, s0=1.8кН/м2. СП
20.13330.2011 Нагрузки и воздействия. Актуализированная редакция СНиП
2.01.07-85.
Рисунок 2.7 - Снеговая нагрузка
Полезная нагрузка.
Рисунок 2.8 - Полезная нагрузка
Собственный вес
Рисунок 2.9 - Изополя напряжений по
Nx
Рисунок 2.10 - Изополя напряжений по
Mx
Рисунок 2.11 - Изополя напряжений по
Qx
Снеговая нагрузка
Рисунок 2.12 - Изополя напряжений по
Nx
Рисунок 2.13 - Изополя напряжений по
Mx
Рисунок 2.14 - Изополя напряжений по
Qx
Ветровая нагрузка
Рисунок 2.15 - Изополя напряжений по
Nx
Рисунок 2.16 - Изополя напряжений по
Mx
Рисунок 2.17 - Изополя напряжений по
Qx
Полезная нагрузка.
Рисунок 2.18 - Изополя напряжений по
Nx
Рисунок 2.19 - Изополя напряжений по
Mx
Рисунок 2.20 - Изополя напряжений по
Qx
Нагрузки на фундамент
Таблица 2.4 - Сводная таблица
расчётных сочетаний нагрузок
Рисунок 2.21 - Усилие в обрезе
фундамента в наиболее нагруженной точке
Армирование монолитной плиты
перекрытия
Нагрузки от собственного веса плиты.
Рисунок 2.22 - Усилие по Мх
Полезная нагрузка
Рисунок 2.23 - Усилие по Мх
Арматура.
Материалы - назначен бетон класса
В25, арматура А400.
Рисунок 2.24 - Площадь нижней
арматуры по х
Рисунок 2.25 - Площадь нижней
арматуры по у
Рисунок 2.26 - Площадь верхней
арматуры по х
Рисунок 2.27 - Площадь верхней
арматуры по х
Рисунок 2.28 - Параметры расчёта
2.3 Расчет и конструирование сборной
железобетонной колонны
здание ограждающий железобетонный проектный
Производим расчет колонны подземного
этажа по оси 13
Исходные данные:
1. Сечение колонны 800х800 мм
с симметричной арматурой:
2. Материал: бетон класса
В30:в = 17 МПа - расчетное сопротивление бетона для 1 группы ПС,
γb2 = 0,9 - коэффициент условий работы, учитывающий длительность нагрузки и
вид бетона,= Rb, ser = 22 МПа - расчетное сопротивление бетона на сжатие по 2
группе ПС,= 1,15 МПа - расчетное сопротивление бетона растяжению по 1 группе
ПС.
Еb = 32,5*104 = 30000 МПа - модуль
упругости бетона,,n = Rbt,ser = 1,75 МПа - расчетное сопротивление бетона растяжению
по 2 группе ПС.
3. Арматура: класса А500 (Rs =
455 МПа, Es = 200000 МПа, Rsc = 455 МПа), класса АI - поперечная.
M =16,06 (кНм).
Q = 5,175 кН.
N = 673.8(кН).
Определение площади продольной
арматуры колонны.
случай больших эксцентриситетов.
Принимаю: аs = 40 мм.
Высота сжатой зоны определяем из
условия:
=0,53
где
- относительная деформация арматуры растянутой зоны, вызванная
внешней нагрузкой при достижении в этой арматуре напряжения, равного
;
=
-
относительная деформация сжатого бетона при напряжениях, равных
, принимаемая равной 0,0035.
Расстояние от точки приложения силы
N до центра тяжести сечения:
Принимаю 16Æ20 А500.
Поперечное армирование принимаю с
шагом 300 мм из арматуры АI Ø6.
.4 Расчет фундамента под колонну
Оценка инженерно-геологических и
гидрогеологических условий площадки строительства.
Оценка инженерно-геологических и
гидрогеологических условий площадки строительства заключается в уточнении
наименований каждого инженерно-геологического элемента, а также в определении
производных и классификационных характеристик грунтов и начального расчетного
сопротивления
.
Расчет характеристик грунтов.
Расчет производится в порядке
залегания ИГЭ грунта от поверхности земли по первой скважине, как наиболее
близко распложенной к расчетному сечению.
Таблица 2.5 - Результаты расчета
сведены в таблицу
|
№ ИГЭ
|
Наименование грунта и его состояние
|
,
м
|
,
%
|
|
|
|
,
МПа
|
,
кПа
|
|
ИГЭ-1
|
Суглинок тугопластичный
|
4.2
|
8
|
0,5
|
0,689
|
0,944
|
14
|
218,3
|
|
ИГЭ-2
|
Глина полутвердая
|
2
|
24
|
0,25
|
0,847
|
0,956
|
18
|
269,4
|
|
ИГЭ-3
|
Песок средней крупности, средней плотности, насыщен водой
|
6
|
-
|
-
|
0,663
|
1
|
28
|
400
|
|
ИГЭ-4
|
Супесь текучая
|
3.3
|
5
|
1,2
|
0,621
|
1,036
|
16
|
239,5
|
|
ИГЭ-5
|
Суглинок полутвердый
|
3,6
|
9
|
0,111
|
0,721
|
0,862
|
22
|
238,5
|
Рисунок 2.29 -
Инженерно-геологические разрезы
Расчет и проектирование столбчатого
фундамента в сечении I-I.
Выполняем расчет фундаментов по
буквенной оси М и цифровой 13. Строительство ведется в г. Екатеринбург. Подвал
существует. Мощность
,
начальное расчетное сопротивление
и модуль деформации
грунта ИГЭ-1 являются достаточными, чтобы использовать данный
слой грунта в качестве несущего.
Назначаем класс бетона фундамента
В20. Толщину защитного слоя
.
Расчет центрально- нагруженного
столбчатого фундамента под колонну.
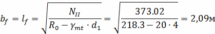
Расчет и проектирование фундамента
(1) в сечении I-I производим по заданной расчетной нагрузке на обрез фундамента:
N=373.02kH.
M=0.
Q=1.61kH.
Таблица 2.6 - Сводная таблица
расчётных сочетаний нагрузок
Рисунок 2.30 - Усилие в обрезе
фундамента в наиболее нагруженной точке
Определение высоты фундамента
Определение расчетной высоты фундамента.
Уточняем требуемую рабочую высоту плитной части фундамента
по приближенной формуле:
где:
-
расчетная нагрузка, передаваемая колонной на уровне обреза фундамента, NI=370кН.
-
коэффициент,
.
-
коэффициент, учитывающий длительность действия нагрузки,
.
-
коэффициент, учитывающий вид материала фундамента,
.
-
расчетное сопротивление бетона растяжению,
.
-
реактивный отпор грунта от расчетной продольной нагрузки
без учета веса фундамента и грунта на его уступах,
.
Определяем требуемую расчетную высоту
плитной части фундамента:
,
условие выполняется.
Полученную расчетную высоту плитной
части фундамента округляем кратно 0.15 м в большую сторону, принимая равной
.
Назначаем высоту фундамента,
принимая во внимание, что минимальная высота фундамента должна быть не менее
1.5 м,
.
Определение глубины заложения
фундамента.
Определяем расчетную глубину
промерзания несущего слоя грунта:
,
где
-
коэффициент, учитывающий температурный режим здания,
-
нормативная глубина промерзания грунта, определяемая в зависимости от
климатического района строительства,
Глубина заложения для внутреннего
фундамента не зависит от расчетной глубины промерзания грунтов.
Глубина заложения фундамента по
конструктивным требованиям:
d1=Hf+ h1=1.5+2.5=4,
где
- высота фундамента,
-
толщина слоя грунта от обреза фундамента до планировочной отметки земли, h1=2.5м.
Так как расчетная глубина
промерзания грунта меньше, чем конструктивная глубина заложения фундамента, то
в качестве расчетного значения глубины заложения фундамента принимаем большую
из них, то есть d1=4м.
Абсолютная отметка подошвы
фундамента составляет:
FL=DL-d1=241.5-4=237,5 м
Определение размеров подошвы фундамента.
Так как фундамент испытывает
воздействие только нормальной силы, он считается центрально нагруженным.
Следовательно, фундамент проектируется квадратным в плане.
Определяем предварительные
(ориентировочные) размеры подошвы фундамента.
где:
-
начальное расчетное сопротивление грунта ИГЭ-1,
,
-
осредненный удельный вес материала фундамента и грунта на его уступах,
,
-
глубина заложения фундамента, d1= 4.
Полученные размеры фундамента
округляем в большую сторону кратно 0.3. Принимаем
Определяем соотношение длины здания
к его высоте:
L/H=90/48.6=1.85
Уточняем расчетное сопротивление
грунта основания:
,
где
и
- коэффициенты условий работы,
и
-
коэффициент,
, так
как прочностные характеристики определены непосредственными испытаниями
-
коэффициенты, зависящие от угла внутреннего трения несущего слоя грунта, для
-
-
ширина подошвы фундамента,
,
-
коэффициент, так как
-
расчетное значение удельного сцепления грунта, залегающего непосредственно под
подошвой,
-
осредненное расчетное значение удельного веса грунтов, залегающих выше подошвы
фундамента
,
где
-
удельный вес грунта неразрушенной структуры ИГЭ-1
Так как расчетное сечение I-I распложено ближе к скважине №1,
следовательно, толщи грунта принимаем по ней. Тогда
,
где
-
удельный вес грунта неразрушенной структуры ИГЭ-2
-
удельный вес грунта неразрушенной структуры ИГЭ-2
-
удельный вес грунта ИГЭ-3 с учетом взвешивающего действия воды
, где
-
удельный вес твердых частиц грунта ИГЭ-3
-
плотность твердых частиц грунта ИГЭ-3
-
удельный вес воды
-
коэффициент пористости грунта ИГЭ-3
-
удельный вес грунта ИГЭ-4 с четом взвешивающего действия воды
,
где
-
удельный вес твердых частиц грунта ИГЭ-4
-
плотность твердых частиц грунта ИГЭ-4
-
удельный вес воды
-
коэффициент пористости грунта ИГЭ-4
-
удельный вес грунта ИГЭ-5 с четом взвешивающего действия воды
,
где
-
удельный вес твердых частиц грунта ИГЭ-5
-
плотность твердых частиц грунта ИГЭ-5
-
удельный вес воды
-
коэффициент пористости грунта ИГЭ-5
Уточняем размеры подошвы фундамента:
Полученные размеры фундамента
округляем в большую сторону кратно 0.3. Принимаем
.
Определяем максимальное и
минимальное краевое давление и среднее давление под подошвой центрально
нагруженного фундамента в предположении линейного распределения напряжений в грунте.
где:
Условия выполняются, следовательно,
фундамент подобран правильно.
Вычисление вероятной осадки
фундамента с учетом взаимного влияния.
Вычисление вероятной осадки
столбчатого фундамента в сечении II-II производится методом послойного
суммирования.
Вычисляем ординаты эпюр природного
давления
(вертикальные напряжения от действия собственного веса грунта) и
вспомогательной
по
формуле:
Рисунок 2.31 - Вычисление вероятной
осадки
Таблица 2.7 - Расчет ведем в
табличной форме
|
Точка
|
|
|
|
|
|
0
|
-
|
-
|
0
|
0
|
|
1
|
19,9
|
4
|
35,82
|
7,16
|
|
2
|
19,9
|
0,2
|
47,76
|
9,55
|
|
3
|
2
|
85,76
|
17,15
|
|
4
|
9,98
|
6
|
145,64
|
29,13
|
|
5
|
10,4
|
3,3
|
208,04
|
41,61
|
|
6
|
9,88
|
3,6
|
243,61
|
48,72
|
Определяем дополнительное
вертикальное давление по подошве фундамента:
Разбиваем толщу под подошвой
фундамента на элементарные подслои толщиной
Величину общей осадки определяем по
формуле:
Таблица 2.8 - Расчет выполняем в
табличной форме
|
|
|
|
|
|
0.00
|
0.00
|
0.250
|
0.250
|
|
0.36
|
0.74
|
0.245
|
0.222
|
|
0.44
|
0.92
|
0.242
|
0.207
|
|
0.71
|
1.48
|
0.225
|
0.158
|
|
1.07
|
2.22
|
0.196
|
0.109
|
|
1.42
|
2.95
|
0.168
|
0.076
|
|
1.78
|
3.69
|
0.141
|
0.055
|
|
1.93
|
4.00
|
0.132
|
0.048
|
|
2.13
|
4.43
|
0.120
|
0.041
|
|
2.49
|
5.17
|
0.102
|
0.032
|
|
2.84
|
5.91
|
0.087
|
0.025
|
|
3.20
|
6.65
|
0.075
|
0.020
|
|
3.56
|
7.38
|
0.064
|
0.017
|
|
3.91
|
8.12
|
0.056
|
0.014
|
|
4.27
|
8.86
|
0.049
|
0.012
|
Таблица 2.9 - Расчет осадок ведем в
табличной форме
|
Наименование грунта и его состояние
|
Мощность слоя,
|
,
м
|
,
м
|
|
|
,
кПа
|
,
кПа
|
,
кПа
|
,
кПа
|
,
кПа
|
|
Суглинок тугопластичный
|
4,2
|
0.00
|
0.00
|
0.00
|
1.000
|
128.90
|
0.00
|
128.90
|
122.34
|
14000
|
|
|
0.48
|
0.48
|
0.80
|
0.800
|
103.12
|
12.65
|
115.77
|
112.82
|
|
|
|
0.12
|
0.60
|
1.00
|
0.703
|
90.62
|
19.25
|
109.87
|
102.30
|
|
|
Глина полутвердая
|
2
|
0.36
|
0.96
|
1.60
|
0.449
|
57.88
|
36.85
|
94.73
|
87.85
|
18000
|
|
|
0.48
|
1.44
|
2.40
|
0.257
|
33.13
|
47.85
|
80.98
|
76.10
|
|
|
|
0.48
|
1.92
|
3.20
|
0.160
|
20.62
|
50.60
|
71.22
|
66.22
|
|
|
|
0.48
|
2.40
|
4.00
|
0.108
|
13.92
|
47.30
|
61.22
|
59.77
|
|
|
|
0.20
|
2.60
|
4.33
|
0.094
|
12.12
|
46.20
|
58.32
|
55.85
|
|
|
Песок средней крупности, средней плотности, насыщен водой
|
6
|
0.28
|
2.88
|
4.80
|
0.077
|
9.93
|
43.45
|
53.38
|
49.68
|
28000
|
|
|
0.48
|
3.36
|
5.60
|
0.058
|
7.48
|
38.50
|
45.98
|
42.94
|
|
|
|
0.48
|
3.84
|
6.40
|
0.045
|
5.80
|
34.10
|
39.90
|
37.40
|
|
|
|
0.48
|
4.32
|
7.20
|
0.036
|
4.64
|
30.25
|
34.89
|
32.24
|
|
|
|
0.48
|
4.80
|
8.00
|
0.029
|
3.74
|
25.85
|
29.59
|
27.89
|
|
|
|
0.48
|
5.28
|
8.80
|
0.024
|
3.09
|
23.10
|
26.19
|
24.56
|
|
|
|
0.48
|
5.76
|
9.60
|
0.020
|
2.58
|
20.35
|
22.93
|
|
|
Общая осадка
Условие выполняется.
Расчет тела фундамента.
Конструирование фундамента
Назначаем количество и высоту
ступеней фундамента, принимая их кратно 0.15м.
Так как
, то принимаем одну ступень фундамента, при этом высоту ступени
принимаем равной
.
Окончательная высота плитной части
, а окончательная рабочая высота плитной части
Назначаем размеры консолей ступени
плитной части, принимая их кратно 0.15м
.
Расчет прочности фундамента на
продавливание.
Так как пирамида продавливания
выходит за пределы основания фундамента, то расчет на продавливание не
производим.
Расчет по прочности на раскалывание
Проверяем выполнение условия:
,
где
-
ширина и высота сечения базы колонны,
-
коэффициент трения бетона по бетону,
-
коэффициент, учитывающий совместную работу фундамента с грунтом,
.
-
площадь вертикального сечения фундамента,
.
.
Условие выполняется, следовательно,
раскалывания фундамента не произойдет.
Расчет прочности фундамента на
смятие
Проверяем выполнение условия:
,
где:
-
фактическая площадь смятия,
,
- расчетная площадь смятия,
,
- коэффициент,
зависящий от характера распределения местной нагрузки,
,
-
расчетное сопротивление бетона смятию:
Условие выполняется, следовательно,
смятия бетона не произойдет.
Расчет прочности фундамента по
поперечной силе
Проверяем условие:
Прочность ступени по поперечной силе
обеспечена. Определение сечения арматуры плитной части фундамента. Площадь
сечения рабочей арматуры определяем из расчета на изгиб консольных выступов.
Определяем изгибающие моменты в
сечениях I-I и II-II:
Площадь сечения рабочей арматуры:
Задаемся шагом стержней 200мм. Тогда
требуемый диаметр рабочей арматуры 8 мм. Принимаем минимально допустимый
диаметр 10 мм.
Расчет прочности подколонника по
нормальным сечениям.
Фундамент центрально нагружен.
Находим требуемую площадь сечения арматуры:
Площадь сечения отрицательна.
Назначаем шаг продольных стержней 250 мм. Таким образом минимально допустимый
диаметр стержней 12 мм. Принимаем 3 стержня диаметром 12 мм.
Расчет прочности подколонника по
наклонному сечению:
Изгибающий момент.
Площадь поперечной арматуры:
Принимаем шаг поперечных сеток 200
мм.
Диаметр поперечных стержней 10 мм.
3. Технологический раздел
.1 Условия осуществления
строительства
Участок застройки расположен в
центральной части г. Екатеринбурга, в Ленинском административном районе, на
пересечении улиц Попова-Хохрякова.
Проектируемый объект примыкает к
строящемуся торгово-жилому комплексу в квартале улиц Ленина - Сакко и Ванцетти
- Попова - Хохрякова. Участок строительства свободен от существующей застройки.
Участок строительства ограничен:
к северу жилой дом, проектируемый
ЗАО «Екатеринбурггорпроект» в составе торгово-офисного комплекса
к югу - улица Попова
к востоку - улица Хохрякова
к западу - строящаяся дворовая часть
Торгово-офисного комплекса.
Объект «Торгово-офисного комплекса
по ул. Попова, Хохрякова в Ленинском районе г. Екатеринбург» предполагается
строить в одну очередь, одним пусковым комплексом.
.2 Методы производства
строительно-монтажных работ
Монтаж и установка опалубки
Установка опалубки для заливки
перекрытий - это достаточно сложный и очень ответственный процесс, требующий
определенных навыков и знаний. Иногда для самостоятельного монтажа может
понадобиться не только много материала, но и дополнительное время. Кроме
правильного выполнения установки, все необходимо правильно рассчитать и
подготовить.
До начала монтажа опалубки выполняют
следующие виды работ: разбивка осей наружной стены, нивелирование поверхности
перекрытий, выполнена разметка положения стен в соответствии с проектом, на
поверхность перекрытия краской должны быть нанесены риски, фиксирующие рабочее
положение опалубки, подготовлена монтажная оснастка и инструмент, основание
должно быть очищено от мусора и грязи.
Опалубка поступает на строительную
площадку в укомплектованном виде, должна быть пригодна к монтажу и
эксплуатации, без доделок и исправлений.
Элементы опалубки, поступающие на
строительную площадку размещают в зоне работы башенного крана. Все элементы
опалубки храниться в соответствующем транспортном положении, рассортированные
по маркам и типоразмерам. Элементы опалубки хранят под навесом и в таких
условиях, чтобы исключить в дальнейшем их порчу. Щиты укладывают на деревянные
прокладки в штабеля высотой не более 1,2 м.
Монтаж и демонтаж опалубки
осуществляется и вручную, и при помощи башенного крана.
Опалубка мелкощитовая, состоит из
щитов водостойкой бакелезированной фанеры размерами 2500×1250мм, а также
дополнительных доборных щитов, телескопических стоек, несущих балок, элементов
крепления.
Монтаж опалубки балок выполняется в
следующей последовательности:
. щиты опалубки днища балки
укладываются на оголовки стоек ранее установленных поддерживающих лесов;
. установленные боковые щиты
опалубки снизу закрепляют прижимными досками и П-образными хомутами;
. установленную опалубку
выверяют с помощью методов геодезического контроля.
Монтаж опалубки начинается с расстановки
направляющих телескопических стоек. Затем по опорным оголовкам стоек
раскладывают основные несущие балки, на которые в дальнейшем будут опираться
второстепенные балки. Несущие балки следует расположить на расстоянии не более
1,5 м друг от друга, аналогично располагают и второстепенные балки. Далее по
второстепенным балкам раскладываются щиты опалубки. Это необходимо для
обеспечения максимально возможного расходования основных щитов. Промежутки
между основными щитами заполняют доборными щитами, щели закладывают полосами их
плоского шифера, а более мелкие заделывают с помощью монтажной пены. Для
обеспечения устойчивости, балки раскрепляют с помощью деревянных клиньев. После
установки опалубки под несущие балки подводят дополнительные стойки, установленные
не менее двух в каждом пролете. После установки опалубки ее выверяют с помощью
лазерного нивелира.
Состояние установленной опалубки
должно подвергаться непрерывному наблюдению в процессе бетонирования. В случае
непредвиденных деформаций отдельных элементов опалубки или недопустимого
раскрытия щелей следует устанавливать дополнительные крепления и исправлять
деформированные места.
Демонтаж опалубки производят только
после достижения бетоном требуемой прочности, согласно СП 70.13330.2012
“Несущие и ограждающие конструкции”, и с разрешения производителя работ.
Отрыв опалубки от бетона производят
вручную с помощью специальных крюков. Бетонная поверхность в процессе демонтажа
опалубки не должна повреждаться. Использование кранов для отрыва щитов опалубки
категорически запрещено.
После снятия опалубки необходимо
произвести:
визуальный осмотр элементов
опалубки;
очистку элементов опалубки от
налипшего бетона;
смазку поверхности опалубки,
проверить и нанести смазку на винтовые соединения;
сортировку элементов опалубки по
маркам.
3.3 Мероприятия по технике
безопасности
Устройство монолитных железобетонных
стен необходимо выполнять в соответствии со СНиП 12.03.01, ППБ
01-03 Правила пожарной безопасности в Российской Федерации, ППБ 05-86
«Правила пожарной безопасности при производстве строительно-монтажных работ».
Применяемое оборудование должно
отвечать требованиям безопасности в соответствии с ГОСТ 12.1.013-78.
Опасные зоны в пределах рабочего
места ограждать. Проходы и проезды располагать за пределами опасной зоны крана
и строящегося здания.
Допуск на производственную
территорию посторонних лиц, а также работников в нетрезвом состоянии или не
занятых на работе на данной территории запретить. Выполнять правила внутреннего
распорядка, принятые в данной организации.
Рабочие места и проходы к ним
расположенные на перекрытиях и покрытиях на высоте более 1,3 м и на расстоянии
менее 2 м от границы перепада по высоте, должны быть ограждены защитными или
страховочными приспособлениями, а при расстоянии более 2м - сигнальными
ограждениями в соответствии с ГОСТ. Допускается производство работ с
применением предохранительного пояса для строителей и оформлением
наряда-допуска.
Ширина одиночных проходов к рабочим
местам и на рабочих местах должна быть не менее 0,6м, а высота в свету - не
меннее1,8м. лестницы и скобы, применяемые для подъема или спуска работников на
рабочие места , расположенные на высоте более 5 м, должны быть оборудованы
устройствами для закрепления фала предохранительного пояса.
Складирование материалов, прокладка
транспортных путей, установка опор воздушных ЛЭП производить за пределами
призмы обрушения грунта.
Складские площадки защитить от
поверхностных вод. Запрещено складирование материалов на насыпных неуплотненных
грунтах.
Материалы укладывать следующим образом:
1. опалубку применять в
соответствии с проектом производства работ, утвержденным в установленном
порядке,
2. разборка опалубки должна
производиться после достижения бетоном проектной прочности только с разрешения
производителя работ,
. элементы арматурных
каркасов пакетировать с учетом условий их подъема, складирования и
транспортирования к месту монтажа,
. ежедневно перед укладкой
бетона проверять состояние тары, опалубки и средств подмащивания,
. при уплотнении бетонной
смеси электровибраторами перемещать вибратор за токоведущие шланги не
допускается. При переходе с одного места на другое вибраторы отключать.
.4 Номенклатура и объемы
строительно-монтажных работ
I этап. Подготовительный период.
На данном этапе производятся
следующие работы: срезка растительного слоя, планировка площадки, ограждение
территории, устройство временных коммуникаций, временных дорог, складов,
временных зданий и сооружений.
II этап. Возведение подземной части.
Земляные работы:
Основные: разработка грунта в
котловане, зачистка дна котлована; Монтаж фундамента (стены подвала и
перекрытия подвального этажа), после монтажа фундамента - обратная засыпка
пазух наружных стен с послойным уплотнением грунта, подсыпки под полы подвала;
возведение конструкций подземной части здания.
Вспомогательные:
Транспортирование излишнего грунта.
Устройство гидроизоляции под подошву фундаментов, монтаж фундаментных блоков
под колонны, монтаж и закрепление колонн на 2 этажа на фундаменте, монтаж
фундаментных балок под стены подвального помещения, монтаж стеновых блоков
подвальных помещений, устройство вертикальной гидроизоляции, установка
цокольных блоков, укладка ригелей, монтаж покрытия над подвалом, монтаж
лестничной и лифтовой шахты, электросварка монтажных стыков, расшивка швов
цокольных блоков.
III этап. Возведение надземной части.
Монтаж несущего каркаса здания:
Раскладка конструкций перед
монтажом; монтаж ригелей первого этажа с окончательной выверкой и сваркой
стыков; устройство опалубки под монолитное перекрытие; установка арматуры и
замоноличивание перекрытия; установка колонн на два этажа (2-й и 3-й этаж) с
временным закреплением их в кондукторах и выверкой; стыковка и сварка колонн;
установка ригелей второго этажа с окончательной выверкой и сваркой стыков;
устройство опалубки под монолитное перекрытие 2 этажа; установка арматуры и
замоноличивание перекрытия 2 этажа; установка ригелей 3 этажа с окончательной
выверкой и сваркой стыков; устройство опалубки под монолитное перекрытие 3
этажа; установка арматуры и замоноличивание перекрытия 3 этажа; повтор операций
до монтажа чердака и чердачного покрытия; установка колонн под машинное
отделение с временным закреплением их в кондукторах и выверкой; установка
ригелей машинного отделения с окончательной выверкой и сваркой стыков;
устройство опалубки под монолитное покрытие; установка арматуры и
замоноличивание покрытия.
Монтаж конструкций здания:
Возведение шахты лифта и лестничной
шахты, монтаж лестничных маршей и площадок, монтаж стеновых панелей наружных
стен, монтаж оконных панелей, монтаж внутренних перегородок, монтаж
оборудования.
Устройство покрытия чердака:
Устройство пароизоляции, раскладка
плит утеплителя, устройство цементной стяжки.
Кровельные работы:
IV этап. Организация специальных и отделочных работ.
Установка дверей, штукатурные
работы, устройство покрытий полов, облицовка и окраска поверхностей, монтаж
лифта и его пуск, монтаж отопления, водопровода, газопровода и канализации,
слаботочных сетей.
V этап. Благоустройство и сдача работ.
Устройство отмостки вокруг здания,
устройство тротуаров и дорог, озеленение и постройка малых форм, наладка и
испытание оборудования.
Определение объёмов строительно-монтажных
работ в натуральных измерителях.
Таблица 3.1 - Определение объёмов
|
№
|
Наименование видов работ и конструкций
|
Формула подсчета
|
ед. из.
|
Кол-во (объём)
|
|
ЗЕМЛЯНЫЕ РАБОТЫ
|
|
|
|
|
1
|
Механизированная разработка грунта в котловане одноковшовым
экскаватором с ковшом вместительностью 0,8 м3 глубина 4 м. всего грунта
|
|
|
21000
|
|
в отвал
|
|
|
3800
|
|
на вывоз
|
|
|
17200
|
|
2
|
Ручная доработка грунта в котловане
|
|
|
931.4
|
|
3
|
Обратная засыпка грунта в пазухи фундамента бульдозером с
перемещением грунта до 30 м
|
V
=
|
|
3800
|
|
4
|
Механизированное уплотнение грунта грунтоуплотняющими машинами
|
V=
|
|
3800
|
|
ВОЗВЕДЕНИЕ ПОДЗЕМНОЙ ЧАСТИ ЗДАНИЯ
|
|
|
|
5
|
Устройство бетонной подготовки
|
V=Sфун*n*h
|
|
84.24
|
|
6
|
Устройство гидроизоляция под подошву фундамента
|
|
|
421
|
|
7
|
Устройство монолитных фундаментов:
|
V=Vфун*n
|
|
98.28
|
|
8
|
Устройство бетонного пола
|
|
|
4320
|
|
9
|
Укладка фундаментных балок
|
По спецификации
|
шт.
|
30
|
|
10
|
Монтаж: Колонн высотой на 2 этажа Колонн высотой на 1 этаж
Ригелей
|
По спецификации
|
шт.
|
852 16 3152
|
По справочным пособиям подбираются
монтажные приспособления на основании их данных о габаритных размерах и массе
конструктивных элементов здания.
Приятие для строительства здания
монтажные приспособления отображены в таблице 3.2.
Таблица 3.2 - Ведомость монтажных
приспособлений
|
Наименование приспособлений
|
Грузоподъемность, т
|
Масса, кг
|
Расчетная высота, м
|
Назначение
|
|
Строп четырехветвевой, ЦНИИОМПТ № 3484.47-52
|
6,3
|
48
|
3
|
Подача щитов опалубки, бетонной смеси в бадьях, поддонов с
кирпичом
|
|
Ящик металлический
|
0,15
|
75
|
1,0
|
Подача элементов опалубки, расходных материалов
|
|
Универсальный строп. Мосгорстрой, № 10920
|
2,5
|
5
|
-
|
Подача металлических конструкций, арматуры в пучках,
пиломатериалов, перемещение опалубки перекрытия
|
Выбор монтажного крана по
техническим параметрам.
Стреловые краны - выбираются по
следующим параметрам:
а) минимально допустимая длина
стрелы
;
б) расчетный вылет крюка Rтр;
в) высота подъема крюка
;
г) грузоподъемность крана
.
) вылет крюка определяют:
,
где a = 1,0 м - запас по вылету для
обеспечения безопасности;
b = 23 м - наиболее расстояние до удаленного элемента;
с = 5 м - расстояние от оси крана до
выступающей части здания.
2) минимально допустимая длина
стрелы:
,
) высота подъема крюка:
,
где
превышение монтажного горизонта над уровнем стоянки крана;
запас
по высоте для обеспечения безопасности;
высота
элемента в монтажном положении;
высота
строповки в рабочем положении от верха монтируемого элемента до крюка крана.
) грузоподъемность крана составит:
,
где
масса монтируемого элемента;
масса
монтажной оснастки;
масса
грузозахватных устройств.
По полученным данным для ведения
работ принимаем стреловой пневмоколесный кран КС-8362 с длиной стрелы 30 м.
3.5 Выбор и расчет основных
строительных машин
Выбор экскаватора.
Для сравнения выбирается 2
экскаватора:
экскаватор ЭО-4121А на гусеничном
ходу с емкостью ковша 1м3;
экскаватор Э-801 на гусеничном ходу
с емкостью ковша 0,8 м3.
1. Определяю стоимость
разработки 1м3 грунта.
Cе=
(руб/м3);
,08 - коэффициент, учитывающий
накладные расходы,
Псм.выр - сменная выработка
экскаватора,
Cмаш-смен - стоимость машино-смены экскаватора.
. Сменная выработка
экскаватора.
Псм=
(м3/маш-см)
V - объем грунта в котловане = 25648.1м3.
-
суммарное число машино-смен экскаватора
=
маш-см.
. Удельные капитальные
вложения на разработку 1м3 грунта.
Kn=1,07*Cи.р./ (Псм.выр Tсм.г.)
Cи.р. - инвентарно-расчетная стоимость экскаватора,
Tсм.г. - нормативное число смен работы экскаватора в году.
. Приведенные затраты на
разработку 1м3 грунта.
Спр=Се+Е Kn;
Е = 0,15 - нормативный коэффициент
эффективности капитальных вложений.
Таблица 3.3 - Экономическое
сравнение
|
ЭО-4121А
|
Э-801
|
|
Псм=
м3/маш-см
|
Псм=
м3/маш-см
|
|
руб/м3
|
руб/м3
|
|
Kn=1,07*23470/(638,8*350)=0,11
руб/м3
|
Kn=1,07*19320/(638,8*350)=0,09
руб/м3
|
|
Спр=0,55+0,15*0,11=0,57 руб/м3
|
Спр=0,522+0,15*0,09=0,54 руб/м3
|
Вывод. По наименьшим приведенным
затратам выбираю экскаватор ЭО-801 на гусеничном ходу, с обратной лопатой с
емкостью ковша 0,8 м3.
Выбор автосамосвалов для вывоза
лишнего грунта
В качестве комплектующих машин для
вывоза лишнего грунта выбираем автосамосвалы.
Для технико-экономического сравнения
выбирается 2 автосамосвала:
КамАЗ-55102, грузоподъёмностью 7 т;
МАЗ-533603, грузоподъёмностью 6 т.
Определение требуемого числа
автосамосвалов
1. Объем грунта в ковше
экскаватора
,
где
Vков - принятый объем ковша, kнап=0,9 - коэффициент наполнения
ковша, kпр=1,27 - коэффициент начального разрыхления грунта.
м3.
Масса грунта в ковше экскаватора
. Масса грунта в ковше экскаватора
Q=Vгрγ=0,56*1,8=1,01 т,
где
γ - объемная
масса грунта суглинка тугопластичного (III группа), т/м3;
. Количество ковшей грунта,
загружаемых в кузов
n=П/Q,
где П -
грузоподъемность автосамосвала. n1=7/1,01=6 ковшей.
n2=6/1,01=5 ковшей.
4. Объем грунта, загружаемый в
кузов:
.
. Продолжительность одного цикла
работы автосамосвала
,
мин -
для КамАЗа-55102
мин -
для МАЗа-533603
tn - время погрузки грунта, мин; L=2км- расстояние транспортировки
грунта, км; VГ=15 км/ч - средняя скорость автосамосвала в загруженном
состоянии, км/ч; Vп=25 км/ч - средняя скорость автосамосвала в порожнем состоянии, tp=2 мин - время
разгрузки, tм=3 мин - время маневрирования, Нвр - норма машинного времени для
погрузки экскаватором 1000 м3 грунта в транспортные средства, мин.
- для
КамАЗа-55102
- для
МАЗа-533603
Требуемое кол-во автосамосвалов
,
принимаем 7 автосамосвала КамАЗ-55102
,
принимаем 8 автосамосвала МАЗ-533603
Таблица 3.4 - Технико-экономические
параметры автосамосвалов
|
КамАЗ-55102
|
МАЗ-533603
|
|
Псм=
м3/маш0-см
|
Псм=
м3/маш-см
|
|
руб/м3
|
руб/м3
|
|
Kn=1,07*9170/(130*350)=0,22
руб/м3
|
Kn=1,07*8640/(130*350)=0,2
руб/м3
|
|
Спр=0,71+0,15*0,22=0,74 руб/м3
|
Спр=0,66+0,15*0,2=0,69 руб/м3
|
Вывод. По наименьшим приведенным затратам
принимаем 8 автосамосвалов МАЗ-533603.
Выбор башенного крана.
Расчет ведем по
самому невыгодному для монтажа и самому тяжелому монтируемому элементу -
верхняя стеновая панель высотой 1,5 м, массой 3.6т.
Требуемая
минимальная грузоподъемность крана Q:
, т;
-
масса монтируемого элемента,
-
масса грузозахватных устройств,
-
масса монтажной оснастки.
Высота подъёма крюка крана над
уровнем его стоянки H:
Рисунок 3.1 - Определение высоты
подъема крюка крана
, м;
-
превышение монтажного горизонта над уровнем стоянки башенного крана;
-
запас по высоте, требующийся по условиям безопасности монтажа для заводки
конструкции к месту установки или переноса через ранее смонтированные
конструкции, принимаем 1 м;
-
высота сборного элемента в монтажном положении,
-
высота строповки в рабочем положении от верха монтируемого элемента до крюка
крана, м.
Определяем требуемую
грузоподъемность крана
= 3,4 т
- наиболее тяжелая часть - цокольная панель;
= 0,09
т - масса строповки для стеновой панели (четырехветвевой строп);
= 0 т -
масса монтажных приспособлений.
Получаем: Q=3,4+0,09+0=3,49 т.
Определяем требуемую высоту подъема
крюка крана
= 47,5
м; (высота здания 49м)
= 1м;
= 1,5м
- высота верхней стеновой панели;
= 4 -
высота строповки;
Получаем: Нкр=47,5 + 1 + 1,5 + 4 =
54м.
Определяем требуемый вылет крюка
крана
Lk=a/2+b+c=6/2+2,3+24,5= 30 м
а= 6 м - ширина
подкранового пути;
b= 2,3 м - расстояние от подкранового рельса до ближайшей
выступающей части здания;
с= 24,5 м -
расстояние от центра тяжести элемента до выступающей части здания со стороны
крана.
Принимаем для дальнейшего
экономического сравнения два башенных крана: КБСМ-503Б и КБ-503Б.03
Таблица 3.5 - Технико-экономические
показатели кранов
|
Технико-экономические параметры выбранных кранов
|
Башенный кран КБСМ-503Б
|
Башенный кран КБ-503Б.03
|
|
Ширина колеи, м
|
6,0
|
6,0
|
|
Q, т.
|
7-10
|
10-12,5
|
|
Lкр,
м.
|
30
|
30
|
|
Нкр, м.
|
60.6
|
65
|
|
Смаш-см, руб.
|
35,42
|
28,86
|
|
Си.р., руб.
|
50100
|
42300
|
|
Тгод, час.
|
3075
|
3075
|
Сравнение производим по величине
удельных приведенных затрат на 1 т смонтированных конструкций.
Спр. уд. = Се + Ен*Куд,
где
Се - себестоимость монтажа 1 т
конструкций, руб/т; Ен - нормативный коэффициент экономической эффективности
капитальных вложений (принимается 0,15); Куд - удельные капитальные вложения,
руб/т;
Определяем себестоимость монтажа 1 т
конструкций:
Се = (1,08*Смаш.см.+1,5*SЗср)/Пн.см,+1,08*Сп*m/Р
где 1,08 и 1,5 - коэффициенты
накладных расходов соответственно и на зарплату монтажников;
Смаш.см. - себестоимость
машино-смены крана, руб;
SЗср - средняя заработная
плата рабочих в смену, занятых на монтаже конструкций данного потока, руб;
Пн.см - нормативная сменная
эксплуатационная производительность крана, т/см;
Пн.см = Р/nмаш.см,
где
Р - общая масса элементов в
рассматриваемом потоке, т; nмаш.см - количество машино-смен крана для монтажа данного потока,
маш-см; Сп - затраты на подготовительные работы, для башенных кранов = 105 руб.
(подкрановые пути из инвентарных деревометаллических секций шириной колеи 6м,
на щебеночном балласте), m - число звеньев подкрановых путей длиной по 12,5 м = 8.
Удельные капитальные вложения
определяются по формуле:
Куд = Си.р.*tсм/Пн.см*Тгод,
где
Си.р. - инвентарно-расчетная
стоимость крана, руб;
tсм - число часов работы крана в смену (принмаем 8 ч.);
Тгод - нормативное число часов
работы крана в год;
Общая масса конструкций для монтажа
= 7058,8 т
Таблица 3.6 - Экономическое
сравнение
|
Башенный кран КБСМ-503Б
|
Башенный кран КБ-503Б.03
|
|
P
= 7058,8 т
|
P
= 7058,8 т
|
|
nмаш.см.
= 96,2 маш-см
|
nмаш.см.
=96,2 маш-см
|
|
Пн.см =7058,8 /96,2=73,4 т/см
|
Пн.см =7058,8/96,2=73,4 т/см
|
|
Куд = 50100*8/73,4*3075=1,77 руб/т
|
Куд = 42300*8/73,4*3075=1,5 руб/т
|
|
SЗср = (2201,23+641,4)/5= 568,53 руб.
|
SЗср = (2201,23+641,4)/5= 568,53 руб.
|
|
Се = (1,08*35,42 + 1,5*568,53)/1,77 + 1,08*105*5/7058,8 = 503,53
руб/т
|
Се=(1,08*28,86 +1,5*568,53)/1,5 + 1,08*105*5/7058,8 = 586,4
руб/т
|
|
Спр. уд. = 17,4+0,15*503,53= 92,93 руб/т
|
Спр. уд. = 14,67+0,15*586,4 = 102,63 руб/т
|
Вывод. По наименьшим приведенным
затратам принимаем башенный кран КБСМ-503Б.
3.6 Технологическая карта на
возведения монолитного перекрытия
Область применения технологической
карты.
Данная
технологическая карта разработана на устройство монолитных железобетонных стен
одного этажа 8 блока.
Армирование
конструкций стены - пространственными каркасами и плоскими сетками; стыки
арматурных сеток и каркасов выполняются внахлестку, без сварки, с расположением
их вразбежку.
Технологической
картой предусматривается устройство монолитной железобетонной стены с
применением крупнощитовой опалубки.
В технологической
карте подача и укладка бетонной смеси предусматривается бадьей емкостью 1 м3.
Погрузо-разгрузочные
работы, арматурные и опалубочные работы выполняются башенным краном POTAIN 175B грузоподъемностью 8-1,9 т.
При привязке
технологической карты к конкретному объекту и условиям строительства уточняются
объемы работ, калькуляция затрат труда, средства механизации с учетом
использования наличного парка машин, оборудования и приспособлений.
Организация и технология
строительного процесса.
До начала устройства
монолитной железобетонной стены должны быть выполнены следующие работы:
обозначены пути
движения механизмов, места складирования, укрупнения элементов опалубки,
подготовлена монтажная оснастка и приспособления;
приготовлены
арматурные сетки, каркасы и комплекты опалубки в количестве, обеспечивающем
бесперебойную работу не менее, чем в течение двух смен;
составлены акты
приемки в соответствии с требованиями нормативных документов;
предусмотрены
мероприятия по обеспечению сохранения арматурных выпусков из фундаментных плит
от коррозии и деформации;
произведена
геодезическая разбивка осей и разметка положения стен в соответствии с
проектом; на поверхность фундаментной плиты краской нанесены риски, фиксирующие
положение рабочей плоскости щитов опалубки.
В состав работ,
рассматриваемых картой, входят:
вспомогательные
(разгрузка, складирование, сортировка арматурных изделий и комплектов
опалубки);
арматурные;
опалубочные;
бетонные.
Разгрузку,
сортировку, раскладку арматурных сеток, армокаркасов, элементов опалубки,
монтаж армокаркасов, сеток и укрупненных панелей опалубки, навеску площадок, а
также демонтаж опалубки выполняют с помощью башенного крана POTAIN 175B.
Арматурные сетки и
армокаркасы собираются непосредственно на стройплощадке.
Опалубочные панели
собирают из отдельных щитов на специальных стендах. Последовательность сборки
приведена ниже:
щиты соединяют
между собой пружинными скобами или крюками;
в местах
расположения деревянных реек щиты соединяют болтами;
в деревянных рейках
в местах пропуска стяжек просверливают отверстия диаметром 18 - 20 мм;
поверх щитов
раскладывают схватки;
схватки со щитами
соединяют натяжными крюками с винтовым запором;
поверх схваток
перпендикулярно им укладывают связи жесткости, для чего используют те же
схватки;
схватки со связями
соединяют болтами;
на верхнем ярусе
схваток укрепляют монтажные петли;
к нижним ярусам
схваток или связям жесткости прикрепляют подкосы, обеспечивающие устойчивость
панелей в вертикальном положении.
Работы по
возведению монолитной стены выполняются в определенной последовательности.
Уложить по всему
периметру стены маячные рейки, которые крепят гвоздями к деревянным пробкам,
заложенным в плите; внутренняя грань рейки должна совпадать с наружной гранью
бетонируемой стены.
Уложить арматурные
сетки и каркасы на всю высоту с раскреплением их расчалками; на арматурных
сетках и каркасах расположить фиксаторы с шагом 1 м для создания защитного слоя
бетона; работы ведутся с передвижных площадок; для временного крепления
арматурных каркасов к опалубке используются струбцины.
Крупнощитовая
опалубка стен состоит из прямых щитов (с подкосами и навесными площадками), и
ответных щитов (без подкосов)
Установить наружные
опалубочные панели стены (прямые щиты) и внутренние опалубочные панели
(ответные щиты). Опалубочные панели установить таким образом, чтобы нижнее
внутреннее ребро панели совпало с нанесенными рисками. Между панелями уложить
прокладки-компенсаторы из деревянных реек или оргалита для ликвидации всех
отклонений в проектных размерах панели. Смежные щиты соединять пружинными
крюками или болтами. Установку панелей опалубки производить краном. На
монтируемых опалубочных щитах должны быть закреплены подкосы. Стропы подъемного
механизма могут быть освобождены лишь после того, как установленная и выверенная
относительно горизонтальной оси панель раскреплена расчалками. После
расстроповки установить монтажные крепления между противоположными панелями.
Для этого в отверстия деревянных реек пропускают проволочные стяжки и на их
концах укрепляют клиновые замки. Затем с помощью регулировочных винтов подкосов
выверяют панели относительно вертикальной оси. Расчалки оставлять до укладки в
опалубку бетонной смеси.
Бетонную смесь
укладывать слоями 30 - 40 см. Бетонная смесь должна иметь осадку конуса 8 - 12
см. Подбор и назначение состава бетонной смеси осуществляется строительной
лабораторией. Бетонирование стены производить методом кран-бадья башенным
краном Potain 175B. Бетонирование стены следует производить без перерыва.
Мероприятия по
уходу за бетоном в период набора прочности, порядок и сроки их проведения,
контроль за выполнением этих мероприятий необходимо осуществлять в соответствии
с требованиями СНиП 3.03.01-87. Открытые поверхности бетона защитить от потерь
влаги путем поливки водой или укрытия их влажными материалами (брезентом).
Сроки выдерживания и периодичность поливки назначает строительная лаборатория.
При производстве
работ в зимних условиях принимают меры по обеспечению нормального твердения
бетона при ожидаемой среднесуточной температуре наружного воздуха ниже 5 °С и
минимальной суточной температуре ниже 0 °С в соответствии со СНиП 3.03.01-87.
Бетонировать конструкции методом электропрогрева.
Демонтаж
крупнощитовой опалубки производить после достижения бетоном прочности,
обеспечивающей сохранность поверхности и кромок углов от повреждений.
Демонтаж опалубки
производить в следующем порядке:
1. Снять
замки на стяжках;
2. убрать
навесные площадки;
. снять
крепления, соединяющие смежные опалубочные панели;
4. стропить
демонтируемую опалубочную панель, произвести ее отрыв от забетонированной
конструкции с помощью ломика или ручного домкрата;
5. переставить
щиты на площадку складирования, очистить его от бетона и смазать адгезионной
смазкой.
Монтажные работы.
Поточная организация монтажных работ
обеспечивается делением на захватки. Размеры захваток определяются организацией
монтажного процесса.
захватка - 1 этаж
Здание монолитное.
Каркас состоит из монолитных колонн
и монолитного диска перекрытия
Наружные стены - стеклянный фасад и
вентфасад выполняются после возведения каркаса с люлек.
При температуре ниже -5С применяется
метод электропрогрева.
1. Бетонировать монолитные
колонны с помощью бадьи.
2. внутренние перегородки
выполнять из твинблока.
Опалубочные работы.
При производстве работ применяются
инвентарная опалубка «Промстройконтракт», опалубка индивидуального
изготовления, выполненная из бруса 100х100мм, 100х50мм хвойных пород. В
опалубочных системах используется влагостойкая фанера толщиной 18 мм для
перекрытий и 21 мм для стен и колон. Максимальная нагрузка на опалубочную
систему перекрытия составляет 1200кг/м2 с учетом коэффициентов запаса.
Изготовление бетонных смесей на
площадке не предусматривается. Поставка бетона осуществляется
специализированными производителями бетонных смесей с выдачей документов
качества. Используемый бетон класса В30.
Доставка бетонных смесей на
строительную площадку должна осуществлятся автобетоносмесителями.
Перед бетонированием бетонная
подготовка основания, горизонтальные и наклонные бетонные поверхности рабочих
швов должны быть очищены от мусора, грязи, масел, снега и льда, цементной
пленки и др. Непосредственно перед укладкой бетонной смеси очищенные
поверхности должны быть промыты водой и просушены струей воздуха.
Перед началом бетонирования должны
быть составлены акты скрытых работ на устройство арматурных каркасов,
правильность выставления опалубки, при наличии, установки закладных деталей,
гильз.
Бетонные смеси укладываются в
бетонируемые конструкции горизонтальными слоями одинаковой толщины без
разрывов, с последовательным направлением укладки в одну сторону во всех слоях.
При уплотнении бетонной смеси не допускается опирание вибраторов на арматуру и
закладные изделия, тяжи и другие элементы крепления опалубки. Глубина
погружения глубинного вибратора в бетонную смесь должна обеспечивать углубление
его в ранее уложенный слой на 5 - 10 см. Верхний уровень уложенной бетонной
смеси должен быть на 50 - 70 мм ниже верха щитов опалубки.
Рабочие швы устраивать
перпендикулярно оси бетонируемых колонн и балок, поверхности плит и стен.
В начальный период твердения бетон
необходимо защищать от попадания атмосферных осадков или потерь влаги, для
этого бетонные конструкции покрываются полиэтиленовой пленкой. Если
бетонирование проводилось в период с отрицательными температурами уход за
бетоном осуществлять согласно технологической карте работ по электропрогреву.
Движение людей по забетонированным
конструкциям и установка опалубки вышележащих конструкций допускаются после
достижения бетоном прочности не ранее чем через 5 часов. При необходимости
провести замер прочности бетона неразрушающим методом.
Используемая арматура класса А500С.
Арматурные каркасы изготавливаются на строительной площадке с использованием
арматурно-гибочного и резочного станка. Гибка арматуры диаметром до 14мм
допускается осуществлять с использованием ручных инструментов. Скрепление
арматурных каркасов осуществляется с использованием вязальной проволоки. Замена
арматуры может осуществляться только с письменного разрешения проектной
организации. Арматурные каркасы балок собираются на специализированной
площадке. Доставка каркасов до мест монтажа осуществляется башенным краном.
Работа башенного крана осуществляется согласно ППР. Арматурные сетки плит
перекрытия изготавливаются на месте с использованием стержней заготовленных на
специализированной площадке. Защитный слой бетона обеспечивается использованием
специальный пластиковых элементов.
Хранение арматурной стали следует
выполнять по ГОСТ 7566-81 и согласно ПОС.
Сварных соединений арматуры не
предусматривается. Сварке подлежат стержни, используемые для заземления.
Стержни указанны в проекте. Сварка стержней осуществляется сварщиком после
установки арматурного каркаса, до закрытия опалубки.
Проектом предусматривается
устройство плоской кровли. При производстве кровельных работ последовательно
выполняются работы по устройству пароизоляции, укладке утеплителя, устройству
стяжки и т.д.
Перед устройством пароизоляции
производить удаление воды с основания кровли. Для удаления воды и сушки
основания использовать Ручную горелку ОТС-005 в комплекте с СО-7А (см.
табл.4.5. п.20).
Пароизоляция выполняется из одного
слоя подкладочного «бикроста» наплавляемого с помощью ручной горелки ОТС-005.
Пароизоляция оклеечная выполняется с помощью машины ОТС-005 которая разогревает
битум материала «Бикроста», Укладка плитного жесткого утеплителя "ISOVER" производится
вручную. Поверх утеплителя укладывается пленка «Изоспан».
Цементно-песчаная стяжка
устраивается с помощью УПТЖР и разглаживаются с помощью площадочного вибратора
ИЭ-4505 (см. табл.4.5. п.21) (пневмовиброгладилки ПГ-2 в комплекте с
компрессором СО-7А в труднодоступных местах)
Наклейка трехслойного
гидроизоляционного ковра производится с помощью горелки ручной ОТС-005.
Отделочные работы выполнять по
захваткам (этаж-захватка) снизу вверх.
Работы начинать только после
установки окон и дверей при температуре не ниже +5°С
Устраивается цементные стяжки пола с
помощью пневмонагнетателя СО-51 в УПТЖР с компрессорной станцией и
разглаживаются с помощью виброрейки СО-221 и ПГ-2 в комплекте с компрессором
СО-7А (в труднодоступных местах), отделываются потолки, стены, устраиваются
полы. Устанавливаются межкомнатные двери.
Бетонные стены штукатурятся
гипсовыми составами. Большинство офисов сдаются с черновой отделкой
При приемке
материалов, изделий и инвентаря на объекте проверять их размеры, предельные
отклонения положения элементов опалубки, арматурных изделий относительно
разбивочных осей или ориентирных рисок.
Отклонения не
должны превышать величин, указанных в СНиП 3.03.01-87.
При приемке работ
предъявляют журналы сварочных работ, документы лабораторных анализов и
испытаний строительных лабораторий, акты освидетельствования скрытых работ.
Состав работ
1. установка
арматурных сеток и каркасов стен 1 такта.
2. установка
крупнощитовой опалубки стен (прямых и ответных щитов) 1 такта.
. бетонирование
стен 1 такта.
. выдерживание
бетона.
. разборка
опалубки, чистка, смазка щитов.
. установка
арматурных сеток и каркасов стен 2 такта.
. установка
крупнощитовой опалубки стен (прямых и ответных щитов) 2 такта.
. бетонирование
стен 2 такта.
. выдерживание
бетона.
. разборка
опалубки, чистка, смазка щитов.
4. Организационно-строительный
раздел
.1 Календарное планирование
строительства объекта
Календарный план строительства
составляют в составе проекта организации строительства на весь комплекс
сооружений и работ, связанных с ним. В календарном плане определяют сроки и
очередность ввода отдельных частей сооружения, распределения капитальных затрат
и объемов работ по времени; потребность в материальных ресурсах, машинах, кадрах.
Объемы работ в таком плане указывают в сметной стоимости.
В проекте производства монтажных
работ составляют календарный план на работы по комплексу и на отдельные
сооружения, а также на сложные процессы на основании принятой технологии и
разработанного ППР с учетом сроков календарного плана.
Календарный план для отдельного
объекта на монтажные работы составляют на объемы работ, подлежащие выполнению в
физических единицах, т.е. в тоннах для стальных конструкций и в метрах
кубических (м3) для монолитного железобетона.
В составе проекта производства работ
разрабатывают календарный план и график работ, график движения рабочих и график
работы основных монтажных механизмов.
В календарный план включают:
подготовительные и вспомогательные работы, погрузочно-разгрузочные работы на
складе, сортировку, приемку, транспортирование и укрупнение конструкций,
монтаж, демонтаж и перестановку кранов, установку конструктивных элементов,
бетонирование раздельно по каждому виду работ.
Объем работ по всем операциям и
процессам принимают по рабочим чертежам в физических единицах или в количестве
подъемов монтажным краном. Объемы работ подготовительного периода, неучтенные и
ликвидационные работы принимают в % к общему объему работ.
При большом объеме работ на
сооружении их разделяют на отдельные секции (захватки), которые можно сдавать
раздельно под дальнейшие работы (монтаж оборудования, сетей и пр.). Календарный
план в этом случае составляют отдельно для каждой захватки или с их учетом.
Для каждого процесса в плане
указывают объем работ также в физических единицах. Трудоемкость каждого
процесса определяют на основании норм ЕНиР или временных норм ВНиР или ТНиР, а
также по местным или расчетным нормам. Для индивидуальных сооружений затраты
труда можно определять по числу подъемов элементов или блоков краном в смену.
Общие трудозатраты каждого процесса определяют в человеко-сменах путем
умножения объема работ на норматив трудоемкости, а необходимые затраты
машинного времени - в машино-сменах по нормативам. Состав работающей бригады
принимают по ЕНиР с учетом существующей практики работы и в соответствии со
сроками работы.
Количество кранов и бригад
устанавливают в соответствии с назначенными сроками работ на объект.
На основании календарного плана
работ, суммируя данные за каждый день, составляют график объемов работ по дням
и месяцам и график движения рабочей силы с разбивкой по профессиям. Также
составляют графики движения монтажных механизмов. Все эти графики служат
материалом для планирования работ, и выполнение их обеспечивает производство
работ в заданные сроки.
4.2 Строительный генеральный план
Стройгенплан является документом
проекта работ. Он представляет план строительной котором кроме существующих
зданий и показано расположение зданий и сооружений, дорог, механизмов,
площадок ,необходимых для СМР.
Исходными данными для строй
генплана генеральный план с него имеющимися и зданиями и сооружениями, а так
же подземных коммуникаций; план со сводным потребности в рабочих;
количество строительных механизмов; ведомость строительных конструкциях,
материалов; перечень, размеры временных сооружений складов.
Для составления генплана
учитывается временных сооружений и соблюдая правила безопасности.
Инженерные водо-, электроснабжения, канализация выполнены с нормативных
данных по стройгенпланов.
Проектирование и расчёт складов.
Для своевременного обслуживания
стройки строительными материалами и конструкциями в требуемом количестве и по
полной номенклатуре необходимо организовать складское хозяйство.
Временное складирование стеновых
материалов, оконных и дверных блоков производить на открытые приобъектные
склады материалов, расположенные в непосредственной близости от строящегося
объекта. Электротехнические, санитарно-технические, химические и т.п. материалы
хранить в закрытом материальном складе, находящемся на территории строительной
площадки вне зоны действия монтажных кранов.
Площадку складирования опалубки
разместить в непосредственной близости от здания в зоне действия крана.
Qскл = (Qобщ/Т)n·k1·k2 ,
где k1=1.3, k2=1.3
Qобщ - количество материалов, необходимых для выполнения в течение
планируемого периода заданного объема СМР,
T - продолжительность выполнения СМР, предусмотренных календарным
планом, с использованием рассматриваемого вида материалов; дн.
n - норма запасов материалов на складе, дн.
Площадь склада зависит от количества
материалов, подлежащих хранению, и от способа укладки материалов, определяющего
норму их хранения на 1м2 складской площади. Требуемую площадь склада можно
определить по формуле:
Sтр= Qскл/q,
где q - норма складирования
Sскл= Sтр/q