Разработка крытого плавательного бассейна в стальных конструкциях
содержание
Введение
. Архитектурно-строительный раздел
.1 Генеральный план
.2 Наружное оформление фасадов здания
.3 Объемно-планировочное решение здания
.4 Конструктивное решение здания
.4.1 Фундамент
.4.2 Стены подвала
.4.3 Наружные и внутренние стены
.4.4 Колонны и фахверки
.4.5 Перегородки
.4.6 Лестницы внутренние
.4.7 Перекрытия
.4.8 Покрытие
.4.9 Кровля
.4.10 Двери
.4.11 Окна
.4.12 Полы
.4.13 Отделка помещений
.5 Теплотехнический расчет ограждающих конструкций
.5.1 Теплотехнический расчет покрытия
.5.2 Теплотехнический расчет наружной стены
. Расчетно-конструктивный раздел
.1 Расчет стропильной фермы
.1.1 Геометрическая схема фермы
.1.2 Связи
.1.3 Расчетная схема фермы
.1.4 Нагрузки на ферму
.1.5 Расчетные усилия в стержнях фермы
.1.6 Подбор сечений стержней фермы из профилей гнутых
замкнутых сварных
.1.7 Подбор сечения стержней
.1.8 Подбор сечения сжатых стержней
.1.9 Подбор стержней при смене сечения
.2 Конструирование и расчет узлов фермы
.2.1 Расчет стенки при одностороннем примыкании к поясу
.2.2 Расчет стенки в У-образных узлах
.2.3 Расчет боковой стенки
.2.4 Расчет элемента решетки
.2.5 Расчет сварных швов
.2.6 Расчет соединения двух полуферм в узлах и
.2.7 Расчет прикрепления стойки к поясам фермы
.2.8 Принятые типы сечения
. Технологический раздел
.1 Характеристика здания
.2 Выбор метода производства строительно-монтажных работ
.3 Определение объемов строительно-монтажных работ
3.4 Выбор монтажных приспособлений
.5 Определение трудоемкости и продолжительности монтажных
работ
3.6 Определение трудоёмкости и продолжительности монтажных
работ
3.7 Расчет основных параметров и выбор монтажных кранов
.7.1 Требуемая грузоподъёмность
3.7.2 Необходимая минимальная высота крюка крана
.7.3 Требуемый вылет стрелы
.7.4 Требуемая длина стрелы
.8 Технико-экономическое обоснование выбранного варианта
крана
.9 Выбор и обоснование транспортных средств для доставки
сборных конструкций
.10 График производства работ
.11 Основные технико-экономические показатели
.12 Указания по производству работ
.13 Указания по технике безопасности
.14 Указания по осуществлению контроля и оценки качества
монтажных работ
.15 Указания по охране труда
. Организационный раздел
.1 Общие данные
.2 Характеристика условий строительства
.3 Климатические характеристики
.4 Расчет численности персонала строительства
.5 Расчет потребности во временных зданиях и сооружениях
.6 Расчет потребности в ресурсах
.6.1 Расчет потребности в электроэнергии
.6.2 Расчет потребности в тепле
.6.3 Расчет потребности в воде
.6.4 Расчет потребности в транспортных средствах
.6.5 Расчет площадей складов материалов, изделий и
конструкций
.7 Технико-экономические показатели
. Раздел безопасности жизнедеятельности
.1 Общий порядок действий в критических и чрезвычайных
ситуациях
.1.1 Задачи сотрудников спортивного комплекса
.1.2 Задачи администрации
.1.3 Задачи СБ
.1.4 Мероприятия по эвакуации из помещений здания
спорткомплекса
.2 Порядок действий в возможных критических и чрезвычайных
ситуациях в спорткомплексе в результате проведения диверсионно-террористиче-ких
акций или экстремистских проявлений
.2.1 Пожар (возгорание, задымление)
.2.2 Взрыв
.2.3 Получение угроз по телефону
.2.4 Обнаружение подозрительных бесхозных предметов
.2.5 Попытка захвата (захват) объекта, заложников
.2.6 Массовые беспорядки, проявление экстремизма
. Экологический раздел
.1 Меры по охране окружающей среды при строительстве объекта
.2 Меры по охране окружающей среды при эксплуатации объекта
. Научно-исследовательский раздел
Заключение
Список использованных источников
Приложения
Введение
Правительством Российской Федерации принята целевая программа развития
физической культуры и спорта на 2009-2018 годы. Эта программа направлена на
расширение и модернизацию спортивной инфраструктуры с целью повышения
доступности занятий физической культурой и спортом для россиян. Я считаю что
тема выпускной квалификационной работы “Крытый плавательный бассейн в стальных
конструкциях в г.Вологда” является актуальной.
Данный проект разрабатывался в интересах популяризации здорового образа
жизни и привлечения широких слоев населения к регулярным занятиям спортом.
Спорткомплекс оснащен двумя чашами бассейна и большим гимнастическим залом с
трибунами, что дает возможность проведения различных спортивных мероприятий.
Очистка воды в бассейне производится с помощью ультрафиолетового облучения, что
более благоприятно влияет на конструкцию металлического каркаса, нежели очистка
воды хлором.
Цели работы: разработать объемно - планировочное решение здания с учетом
назначения, рассчитать несущие конструкции металлокаркаса, разработать
технологическую карту на монтаж металло - конструкций, спланировать процесс
ведения СМР, обеспечить безопасность и экологичность ведения строительно -
монтажных работ и дальнейшей эксплуатации.
1. Архитектурно-строительный раздел
.1 Генеральный план
Генплан проектируемого здания разработан согласно требованиям [1].
Проезды и площадки выполнены на основании [1] и [2].
К зданию предусматриваются основные проезды со стороны ул. Чернышевского.
Зеленая зона и тротуары приподняты на 15см над уровнем проездов.
Организованная территория подвергается комплексному озеленению, которое
предусматривает посев газонов, посадку многолетних деревьев и кустарников
согласно [1]. Принятый в проекте ассортимент деревьев и кустарников подобран с
учетом местных климатических условий.
Тротуары для пешеходов шириной от 1 до 2,25 м приняты из брусчатки.
Тротуары в местах пересечения с дорогами и проездами должны иметь понижения для
возможности беспрепятственного перемещения маломобильных групп населения.
При проектировании застройки местности предусмотрено размещение площадок,
размеры которых приняты по табл. 2 [1].
Запроектированы следующие площадки:
1) для мусоросборников площадью 46,25м2;
2) для стоянки автомашин. Количество парковочных мест (50 шт.)
принято с учётом количества работников и посетителей бассейна.
Подвод инженерных сетей предусмотрен от существующих городских
коммуникаций по [1] табл. 14.
Таблица 1.1 - Основные технико-экономические показатели по генплану
|
№
|
Наименование показателей
|
Единица измерения
|
Количество, м2
|
|
1
|
2
|
3
|
4
|
|
1
|
Площадь участка
|
м2
|
22873
|
|
2
|
Площадь застройки
|
м2
|
3694,9
|
|
1
|
2
|
3
|
4
|
|
3
|
Площадь озеленения
|
м2
|
10254,1
|
|
4
|
Плотность застройки
|
%
|
16,19
|
|
5
|
Площадь дорог и площадок
|
м2
|
8921
|
|
6
|
Коэффициент использования
территории
|
м2
|
0,56
|
|
7
|
Степень озеленения
|
%
|
45,2
|
.2 Наружное оформление фасадов здания
Фасады здания по проекту должны отделываться фасадными
плитами фирмы «Термостепс» системы навесных вентилируемых фасадов, утеплитель -
минераловатные плиты на основе базальта типа «Термовент» толщиной 120 мм. Витражи
и окна приняты из алюминиевых и ПВХ профилей белого цвета с двухкамерными
стеклопакетами с твердым селективным покрытием. Расколеровка фасадов - согласно
утвержденному эскизному проекту.
.3 Объемно-планировочное решение здания
Данным проектом предусматривается возведение здания
многофункционального спортивного комплекса с плавательным бассейном.
Класс ответственности здания - II.
Степень огнестойкости здания - II.
Функциональная пожарная опасность здания Ф 2.1 и Ф 3.6.
Здание комплекса имеет сложную конфигурацию в плане с
максимальными размерами в осях 59,12 х 66,6м.
Максимальная высота здания 12,5м, высота подвального этажа -
3,0м, высота первого этажа - 3,5 - 9,1м, высота второго этажа - 3,6 - 5,3м,
высота третьего этажа - 3,5м.
За отметку 0,000 принята отметка чистого пола первого этажа
здания, соответствующая абсолютной отметке 149,00.
В здании запроектирован подвал в осях А-Д, Ж-М, 1-6, 7-8. В
подвале расположен тренажерный зал, подсобные и складские помещения.
На первом этаже запроектированы зал спортивной гимнастики,
зал бассейна с ванной 25,0х16,0 м, зал бассейна с ванной 12,5х6,0 м, блоки
раздевалок для занимающихся, санузлы для посетителей, комната охраны, блок
сауны, кабинет врача, процедурная, мастерская, рекреации для отдыха, вестибюль с
выделенной зоной регистратуры и гардероба и другие служебные помещения.
На втором этаже расположены помещения кафе на 36 мест,
пресс-центр, балкон над плавательным бассейном с ванной 25,0х16,0 м для
размещения зрителей, блоки раздевалок, зал хореографии, малый зал спортивной
гимнастики, зал подготовительных занятий (для занимающихся в бассейнах),
методические кабинеты, тренерские и административные помещения спортивного
центра.
На третьем этаже запроектированы помещения венткамер и
административные помещения.
Здание состоит из трех объемов:
1) двухсветного пространства высотой - 9,1
метра, размерами 30,0 х 57,6 метра, где находятся зал спортивной гимнастики и
помещение бассейна с ванной 25,0х16,0 метра, между собой функционально
разделены перегородками на всю высоту;
2) трехэтажной части размерами 24,0 х 57,6
метра, где расположены блоки раздевалок, тренерские, малые спортивные залы;
) трехэтажной части размерами 8,0 х 57,6
метра, где расположены вестибюль, кафе, административные помещения.
Данные объемы здания разделены на части противопожарными
стенами 1-го типа. В трехэтажных частях здания этажи соединены между собой
двумя лестницами в каждой части. Пути эвакуации в случае чрезвычайных ситуаций
предусмотрены из каждого помещения на этаже в коридор, из которого на лестницы
или непосредственно наружу. Санитарно-гигиенические правила выполнены путем
устройства необходимого состава помещений бассейнов, душевых, раздевалок,
санитарных комнат и отделки их поверхностей кафельной плиткой. Также
предусмотрены необходимые инженерные системы по очистке воды и вентиляции
воздуха.
.4 Конструктивное решение здания
строительство
крытый бассейн стропильный
Конструктивное решение здания представляет
собой систему каркасной и бескаркасных частей. Каркасная часть запроектирована
в осях 6-7, 1-6 по осям В-К. Бескаркасная часть в осях 1-6, А-В и К-М.
.4.1 Фундамент
В проекте предусмотрены свайные
фундаменты. Монолитные железобетонные ростверки высотой 600 мм из бетона класса
В15 с армированием каркасами из арматуры класса А400. Сваи марки С60.30-6 по
серии 1.011.1-10.
Для защиты стен от увлажнения в уровне
обреза фундаментов предусмотрена гидроизоляция. Для отвода атмосферной влаги от
конструкции здания по всему периметру устраивается отмостка шириной 1,0м с
уклоном 3%.
.4.2 Стены подвала
Стены подвала представлены из сборных
бетонных блоков толщиной 400мм. С внешней стороны стен предусматривается
оклеечная гидроизоляция рулонным материалом «Технониколь» по битумной мастике.
1.4.3 Наружные и внутренние стены
В проекте наружные и внутренние стены предусмотрены из
керамического полнотелого кирпича марки К125/35 на цементно-песчаном растворе
марки М75, с армированием через 4 ряда кладки арматурной сеткой
4В500-50/4В500-50;
.4.4 Колонны и фахверки
Колонны и фахверки металлические, из широкополочных двутавров
профилей 40Ш1 и 26Ш1 по ГОСТ26020-83, изготовленные из стали С345.
.4.5 Перегородки
Перегородки запроектированы гипсокартонными на металлическом
каркасе, часть перегородок - из керамического полнотелого кирпича К125/35 на
цементно-песчаном растворе марки М75.
.4.6 Лестницы внутренние
Железобетонные ступени по металлическим косоурам с облицовкой
керамической плиткой с шероховатой поверхностью на цементно-песчаном растворе. После сборки
лестничного марша косоуры и лобовые балки должны быть оштукатурены по металлической сетке для увеличения предела
огнестойкости.
.4.7 Перекрытия
Сборные перекрытия предусматриваются из железобетонных
пустотных плит по серии 1.141-1 по кирпичным стенам и металлическим балкам,
монолитные железобетонные - по металлическим балкам.
.4.8 Покрытие
В каркасной части здания покрытие из оцинкованного
профилированного настила Н75-750-0,9 по металлическим фермам с шагом 4,0 м,
опирающимся на подстропильные балки двутаврового сечения. В бескаркасной части
здания должны быть установлены сборные железобетонные пустотные плиты по серии
1.141-1 по кирпичным стенам и металлическим балкам.
.4.9 Кровля
Кровля рулонная совмещенная с покрытием из полимерной
мембраны LOGICROOFV-RP и разделительного слоя - стеклохолста с утеплителем ТехноНиколь
30-250 толщиной 60 мм. Водостоки внутренние с отводом в систему ливневой
канализации.
.4.10 Двери
Наружные двери - металлические, внутренние - деревянные
однопольные, ПВХ двупольные, противопожарные. Витражи: двухкамерные стеклопакеты
с твердым селективным покрытием в алюминиевых переплетах (Rпр≥0,48С/Вт).
.4.11 Окна
Окна индивидуальные двухкамерные стеклопакеты в ПВХ
переплетах с междустекольным расстоянием 12 мм (Rпр≥0,54С/Вт).
.4.12 Полы
В зависимости от типа помещения, в здании
предусмотрено несколько типов покрытий полов. Керамическая и стеклянная плитка
фирм «Globe Smoke», «Globe Ice», «Керамин» запроектированы в помещениях
вестибюля, регистратуры, санузлов, коридоров, залов бассейнов, раздевалки,
кафе. Линолеум ПВХ на теплозвукоизоляционной основе предусмотрен в помещениях
тамбура, гардероба, комнаты охраны, инвентарных, кабинета врача, судейской,
пресс-центра и др. Паркет - в зале хореографии, и ковролин - в зале
художественной гимнастики.
1.4.13 Отделка помещений
С внутренней стороны стеновые ограждения спортивных залов, коридоров
оштукатуриваются и окрашиваются водоэмульсионной краской, стены помещений
душевых, санузлов, бассейнов оштукатуриваются и покрываются стеклянной плиткой.
Потолки бассейнов и гимнастических залов отделываются реечным подвесным
перфорированным потолком, потолки коридоров и административных помещений -
подвесным потолком типа «Армстронг». Несущие конструкции покрытия, как и
колонны и ригели окрашиваются огнезащитным составом «Джокер» по слою грунтовки «ГФ
- 021». Все выступающие элементы конструкций и их узлы закрываются пластиковыми
накладками.
.5 Теплотехнический расчет ограждающих конструкций
.5.1 Теплотехнический расчет покрытия
Рисунок 1.1 - Конструкция покрытия
В ходе расчета определяется требуемое сопротивление теплопередаче Rreqтр (минимально допустимое) и
сопротивление теплопередаче наружного ограждения Rreq. Должно выполняться условие Rreqтр < Rreq. Rreqтр должно быть не менее значения,
исходя из условий энергосбережения; определяют с учетом градусо-суток
отопительного периода:
Dd = (tint - tht) ·zht,
0C·сут, (1.1)
где tint - расчетная температура внутреннего
воздуха, tint = 27 0C;
tht - средняя температура наружного воздуха периода со средней
суточной температурой воздуха ниже или равной 8 0C, tht = - 4;
zht - продолжительность отопительного периода со среднесуточной
температурой воздуха ниже или равной 80C, zht =
228сут;
Dd= (27+4) ·228=7068
Rтр
, м2·0С/Вт, (1.2)
где
а и b - коэффициенты, по табл. 4 [2]; а = 0,0004; b =
1,6;

,
где
Rreq определяем в зависимости от конструкции стены:
,
, (1.3)
где
αext -
коэффициент теплоотдачи внутренней поверхности, αext = 23
Вт/(м2·0C);
α
-
коэффициент теплоотдачи наружной поверхности, α
= 8,7
Вт/(м2·0C);
Rk -
термическое сопротивление отдельных слоев, Rk = R1 + R2 + …+ Rn
где
n - количество слоев;
R = δ/λ, (1.4)
где
δ
- толщина слоя, м;
λ - расчетный коэффициент теплопроводности материала слоя, Вт/(м2·0C).
Первый
слой - экструзионный пенополистирол Технониколь 30-250: t =
60, мм,
= 0,031, Вт/(м·°С).Второй слой - минераловатный утеплитель ТехноРУФ Н30: t = x мм,
= 0,039, Вт/(м·°С).
Слоями
в виде стеклохолста и пароизоляции при теплотехническом расчете можно
пренебречь, в виду их малой толщины и высокой теплопроводности.
Rreq=

х
= 0,088 м.
Принимаем
толщину утеплителя 90 мм.
.5.2
Теплотехнический расчет наружной стены
Рисунок
1.2 - Конструкция наружной стены
В
ходе расчета определяется требуемое сопротивление теплопередаче Rreqтр
(минимально допустимое) и сопротивление теплопередаче наружного ограждения Rreq. Должно выполняться условие Rreqтр < Rreq. Rreqтр должно
быть не менее значений:
исходя
из условий энергосбережения; определяют с учетом градусо-суток отопительного
периода:
Dd = (tint - tht) ·zht
, 0C·сут, (1.5)
где
tint - расчетная температура внутреннего воздуха, tint = 27 0C;
tht - средняя
температура наружного воздуха периода со средней суточной температурой воздуха
ниже или равной 8 0C, tht = - 4 0C;
zht -
продолжительность отопительного периода со среднесуточной температурой воздуха
ниже или равной 80C, zht = 228сут;
Dd= (27+4)
·228=7068 0C·сут.
Rтр
, м2·0С/Вт, (1.6)
где а и b - коэффициенты, по табл. 4 [2]; а =
0,0003; b = 1,2;
Rreqтр =0,0003·7068 + 1,2 =
3,32
Rreq определяем в зависимости от конструкции стены:
,м2·0С/Вт,
(1.7)
где
αext -
коэффициент теплоотдачи внутренней поверхности, αext = 23
Вт/(м2·0C);
Rk -
термическое сопротивление отдельных слоев: Rk = R1 + R2 + …+ Rn,
где
n - количество слоев;
R = δ/λ,
(1.8)
где
δ
- толщина слоя, м;
λ - расчетный коэффициент теплопроводности материала слоя, Вт/(м2·0C).
Первый
слой - кирпичная стена: t = 380, мм,
= 0,81,
Вт/(м·°С).
Второй
слой - утеплитель «Термовент»: t = x мм,
= 0,041,
Вт/(м·°С).
Rreq=
,
х
= 0,1, м.
Принимаем толщину утеплителя 120 мм. Суммарная толщина конструкции t = 120 мм.
.
Расчетно-конструктивный раздел
.1 Расчет стропильной фермы
.1.1 Геометрическая схема фермы
В дипломном проекте запроектирована ферма из ЗГСП, в связи с этим
принимается треугольная решетка для упрощения конструкции узлов. Уклон
выполняется в зависимости от кровельных материалов и равен 7 %. Размер верхних
и нижних панелей равен 3м. Для деления фермы на 2 отправочные марки в центре
предусматривается центральная стойка.
Рисунок 2.1 - Геометрическая схема стропильной фермы
.1.2 Связи
Связи - важные элементы здания с металлическим каркасом. Они обеспечивают
пространственную неизменяемость каркаса, создают жесткость, необходимую для
обеспечения нормальных условий эксплуатации металлоконструкций в течение всего
срока службы сооружения, обеспечивают устойчивость сжатых элементов каркаса,
воспринимают горизонтальные ветровые нагрузки действующие на здания, создают
условия для качественного и удобного монтажа элементов каркаса.
Различают связи по покрытию и связи по колоннам.
Связи по колоннам по высоте каркаса условно разделяют на 2 яруса:
) связи, размещаемые в пределах высоты колонны;
) связи, размещаемые в пределах высоты сквозного ригеля на опорах.
Связи между колоннами устанавливают в середине длины температурного
блока, а при большой его длине - в третях его длины. Расстояние от торца здания
до вертикальной связи принимаем для отапливаемых зданий не более 90м.
Связи по покрытию подразделяют:
1) горизонтальные в плоскости верхних поясов ферм, которые состоят
из поперечных связевых ферм и распорок, расположенных вдоль здания между
фермами;
Рисунок 2.2 - Схема горизонтальных связей по покрытию по верхнему поясу
2) горизонтальные в плоскости нижних поясов, которые состоят из
поперечных продольных ферм и распорок, расположенных вдоль здания между
фермами;
Рисунок 2.3 - Схема горизонтальных связей по покрытию по нижнему поясу
3) вертикальные связи между стропильными фермами, которые в
плоскости опорных, средних или ближайших к средним стоек.
При применении профилированного кровельного настила поперечные связевые
фермы в плоскости верхних поясов ферм не устанавливают, а предусматривают более
частое размещение вертикальных связей между фермами.
2.1.3 Расчетная схема фермы
В расчетах ферма принимается как балочная конструкция, свободно лежащая
на опорах.
Рисунок 2.3 -Расчетная схема стропильной фермы
.1.4 Нагрузки на ферму
Нагрузка, действующая на ферму, обычно прикладывается к узлам фермы, к
которым крепятся элементы поперечной конструкции.
Основными нагрузками на ферму при её расчете являются:
) постоянная - от веса ограждающих и несущих конструкций;
) временная - снеговая и ветровая.
Определение постоянной нагрузки на ферму.
Таблица 2.1 - Нагрузка от покрытия
|
Состав нагрузки
|
Нормативная gn, кН/м2
|
Коэффициент надежности по
нагрузке γf
|
Расчетная g,
кН/м2
|
|
1
|
2
|
3
|
4
|
|
1. Полимерная мембрана LOGICROOFV-RP, δ = 1,5 мм
|
0,0185
|
1,2
|
0,0222
|
|
2. Разделительный слой -
стеклохолст, δ = 0,1
мм
|
0,001
|
1,2
|
0,0012
|
|
3. Экструзионный
пенополистирол ТехноНиколь 30-250 δ = 60
мм, ρ
= 30 кг/м3
|
0,018
|
1,2
|
0,0216
|
|
4. Минераловатный
утеплитель ТЕХНОРУФ Н30 δ = 90 мм, ρ = 120 кг/м3
|
0,108
|
1,2
|
0,1296
|
|
5. Пароизоляция
ТехноНиколь, δ = 0,12 мм
|
0,04
|
1,2
|
0,048
|
|
6. Стальной профилированный
лист Н75-750-0,9
|
0,125
|
1,05
|
0,1313
|
|
7. Стропильные фермы
|
0,2
|
1,05
|
0,21
|
|
8. Связи
|
0,04
|
1,05
|
0,042
|
|
Итого:
|
gnn = 0,5815
|
|
gn = 0,6385
|
|
|
|
|
|
Для определения расчетной погонной постоянной нагрузки на ферму gП необходимо суммарную расчетную нагрузку от массы
конструкций покрытия, приходящуюся на 1 м2 горизонтальной проекции
кровли, умножить на ширину грузовой площади, равную шагу стропильных
конструкций.
Постоянная расчетная погонная нагрузка по ферме:
gП = gn∙B, кН, (2.1)
где gn - расчетная нагрузка от массы
кровли, несущих конструкций покрытия и связей по табл. 2.1, gn = 0,6385кН;
B -
шаг стропильных конструкций, В = 4м.
gП = gn∙B = 0,6385∙4,0 = 2,55 кН/м,
Определение снеговой нагрузки.
Нормативное значение снеговой нагрузки на горизонтальную проекцию
покрытия по [4]:
S0 = 0,7 ce ct
m Sg,
кПа, (2.2)
где се - коэффициент, учитывающий снос
снега с покрытий зданий под действием ветра или иных факторов по [4]:
(2.3)
где V -
средняя скорость ветра за три наиболее холодных месяца по [5] , V = 5 м/с;
k - принимается по таблице 11.2 [4],k = 0,85;
b - ширина покрытия, b = 30 м
ct -
термический коэффициент, принимаемый в
соответствии с п. 10.10 [4], ct = 1
m - коэффициент перехода от веса снегового покрова земли к снеговой
нагрузке на покрытие, принимаемый в соответствии с 10.4 [4], m = 1
Sg -
вес снегового покрова на 1 м2 горизонтальной поверхности земли, принимаемый в соответствии с п. 10.2. [4], Sg = 2,4 кПа (для 4 снегового района)
Расчетное
значение снеговой нагрузки на горизонтальную проекцию покрытия:
S = S0
γf, кПа (2.4) = S0
γf = 1,068
1,4 = 1,496 кПа
Расчетная
погонная нагрузка на покрытие:
qсн = S
B,
кН/м, (2.5)сн = S
B = 1,496
4
= 5,98кН/м
Расчетная постоянная нагрузка, действующая на промежуточный узел,
стропильной фермы определяется:

где

- длины
примыкающих к узлу панелей, 
и 
Расчетная
постоянная нагрузка, действующая на опорный узел:

кН
Расчетная
нагрузка от снега, действующая на промежуточный узел:

кН
Расчетная
нагрузка от снега, действующая на опорный узел:

кН (2.9)

кН
.1.5
Расчетные усилия в стержнях фермы
При
расчете легких ферм предполагается:
1) в узлах фермы идеальные шарниры;
2) оси всех стержней прямолинейные и расположены в одной плоскости;
) оси пересекаются в одной точке - центре узла.
Расчет усилий в стержнях выполнен в программе Exсel и представлен в
приложении 1.
Таблица 2.2 - Усилия в стержнях фермы, кН.
|
Элементы фермы
|
Обозначения стержня
|
Усилия от отдельных
загружений
|
Расчетные усилия
|
|
|
постоянная нагрузка
|
снеговая
|
растяжение (+)
|
сжатие (-)
|
|
|
|
Ψ
= 1,0
|
|
|
|
1
|
2
|
3
|
4
|
5
|
6
|
|
Верхний пояс
|
1-2
|
-25,90
|
-60,67
|
-
|
-86,57
|
|
2-3
|
-71,96
|
-168,52
|
-
|
-240,49
|
|
3-4
|
-106,53
|
-249,42
|
-
|
-355,94
|
|
4-5
|
-129,59
|
-303,34
|
-
|
-432,93
|
|
5-6
|
-141,15
|
-330,31
|
-
|
-471,46
|
|
Нижний пояс
|
17-18
|
144,06
|
337,05
|
481,11
|
-
|
|
18-19
|
138,25
|
323,57
|
461,81
|
-
|
|
19-20
|
120,93
|
283,12
|
404,05
|
-
|
|
20-21
|
92,12
|
215,71
|
307,83
|
-
|
|
21-22
|
51,81
|
121,34
|
173,15
|
-
|
|
Раскосы
|
1-22
|
44,25
|
103,63
|
147,88
|
-
|
|
2-22
|
-41,48
|
-97,14
|
-
|
-138,02
|
|
2-21
|
34,43
|
80,60
|
115,03
|
-
|
|
3-21
|
-32,27
|
-75,55
|
-
|
-107,83
|
|
Раскосы
|
3-20
|
24,61
|
57,57
|
82,18
|
-
|
|
4-20
|
-23,07
|
-53,97
|
-
|
-77,03
|
|
4-19
|
14,79
|
34,54
|
49,33
|
-
|
|
5-19
|
-13,86
|
-32,38
|
-
|
-46,24
|
|
5-18
|
4,97
|
11,51
|
16,48
|
-
|
|
6-18
|
-4,66
|
-10,79
|
-
|
-15,45
|
|
Стойки
|
6-17
|
20,09
|
47,01
|
67,11
|
-
|
2.1.6 Подбор сечений стержней фермы из профилей гнутых замкнутых сварных
Определим значения расчетных длин всех элементов фермы.
Таблица 2.3 - Формулы для определения расчетных длин элементов фермы
|
Направление продольного
изгиба
|
Расчетная длина, lef
|
|
Поясов
|
Опорных раскосов и стоек
|
Прочих элементов решетки
|
|
В плоскости фермы
|
l
|
l
|
0,9l
|
|
Из плоскости фермы
|
l1
|
l1
|
0,9l1
|
Таблица 2.4 - Значения расчетных длин элементов фермы
|
Элементы фермы
|
Обозначения стержня
|
lefx, мм
|
lefy, мм
|
|
1
|
2
|
3
|
4
|
|
Верхний пояс
|
1-2
|
3007
|
3007
|
|
2-3
|
3007
|
3007
|
|
3-4
|
3007
|
3007
|
|
4-5
|
3007
|
3007
|
|
5-6
|
3007
|
3007
|
|
Нижний пояс
|
17-18
|
1503
|
15000
|
|
18-19
|
3007
|
13500
|
|
19-20
|
3007
|
10500
|
|
20-21
|
3007
|
7500
|
|
21-22
|
3007
|
4500
|
|
Раскосы
|
1-22
|
2420
|
2420
|
|
2-22
|
2320
|
2320
|
|
2-21
|
2180
|
2180
|
|
3-21
|
2320
|
2320
|
|
Раскосы
|
3-20
|
2180
|
2180
|
|
4-20
|
2320
|
2320
|
|
4-19
|
2180
|
2180
|
|
5-19
|
2320
|
2320
|
|
5-18
|
2180
|
2180
|
|
6-18
|
2320
|
2320
|
|
Стойки
|
6-17
|
1800
|
1800
|
Таблица 2.5 - Значения коэффициента условия работы конструкции γc
|
Элементы фермы
|
γc
|
Элементы раскоса
|
γc
|
|
Пояса: - сжатые -
растянутые
|
1,00 1,00
|
Раскосы: - сжатые -
растянутые
|
1,0 1,0
|
|
Опорные раскосы:
|
1,00
|
Стойки: - сжатые
|
1,0
|
|
Опорные стойки:
|
1,00
|
|
|
2.1.7 Подбор сечения стержней.
Растянутые стержни.
Стержень 17-18, нижний пояс.
Определение требуемой площади:

, см2,
(2.10)
где

-
требуемая площадь сечения элемента, см2;
N - усилие в
стержне, N = 481,11 кН;

-
расчетное сопротивление стали растяжению, принято согласно [3], 
= 240
МПа;

-
коэффициент условий работы, 
= 1.

см2
Подбор сечения с А ≥ Атреб по [7] профиль 140х120х4,5:
А - площадь сечения, А = 20,27 см2, ix, iy - радиусы инерции, ix = 5,24см, iy =4,04см.
Проверка сечения по гибкости:
где

-
расчетная длина элемента фермы, 
= 150,3
см;

-
предельная гибкость, 
.

где

-
расчетная длина элемента фермы, 
= 1500
см;
Проверка сечения по прочности:

(2.13)
где

-
нормальные напряжения;
Недонапряжение
составляет ∆ = 1,1 %.
Стержень
1-22 (опорный раскос)
Определение
требуемой площади по формуле (2.10):

см2
Подбор сечения с А ≥ Атреб: профиль 60х60х3 с А = 6,61
см2; ix = iy = 2,31см.
Проверка сечения по гибкости по формулам (2.11) и (2.12):
Проверка сечения по прочности по формуле (2.13):
Недонапряжение составляет ∆ = 6,78 %.
.1.8 Подбор сечения сжатых стержней
Стержень 5-6 (верхний пояс)
Задаёмся
гибкостью 
= 100.
Вычисляем приведенную гибкость

(2.14)
Вычисляем
коэффициент продольного изгиба 
:

(2.15)
где

-
коэффициент, вычисляемый по формуле 9 [3]

, (2.16)
где

-
коэффициенты, значения которых зависит от типа сечения центрально-сжатого
стержня, по табл. 7 [3] 
.


Определяем
требуемую площадь сечения стержня:
Определение
требуемых радиусов инерции:


Подбор
сечения по 
по [6]:
профиль 140х100х6,0 с А = 26,43 см2; ix =
5,16 см; iy = 3,97 см.
Проверка
сечения на устойчивость:
Найдем
приведённую гибкость по формулам (2.20) и (2.14):
Находим
коэффициент продольного изгиба 
по
формулам (2.15) и (2.16)


Предельная
гибкость для сжатых поясов, опорных раскосов и стоек определяется по формуле
(2.22)

(2.22)
где

-
коэффициент, определяемый по формуле (2.23).

Аналогично
считаем предельную гибкость из плоскости 
.



По
формуле (2.24) проверка сечения на прочность.
Недонапряжение
составляет ∆ = 14,9 %.
Стержень
2-22 (раскос)
Задаемся
гибкостью λ
= 100.
Вычисляем
коэффициент продольного изгиба по формуле (2.15): 
Определяем
требуемую площадь сечения стержня по формуле(2.17):
Определение
требуемых радиусов инерции по формулам (2.18) и (2.19):
Подбор
сечения по 
по [6]:
Профиль 60х60х5 с А = 10,36 см2; ix = iy = 2,21 см.
Проверка
сечения на устойчивость. Найдем приведённую гибкость по формулам (2.20) и
(2.14):

Находим
коэффициент продольного изгиба 
по
формулам (2.15) и (2.16)


Предельная
гибкость для сжатых поясов, опорных раскосов и стоек определяется по формуле
(2.22), а 
-
коэффициент, по формуле (2.23):

По
формуле (2.24) проверка сечения на прочность:
Недонапряжение
составляет ∆ = 3,59 %.
2.1.9
Подбор стержней при смене сечения
Стержень
2-3 (верхний пояс)
Задаемся
гибкостью λ
= 100.
Вычисляем
коэффициент продольного изгиба по формуле (2.15): 
Определяем
требуемую площадь сечения стержня по формуле(2.17):
Определение
требуемых радиусов инерции по формулам (2.18) и (2.19):
Подбор
сечения по 
по [6]:
профиль 120х80х3,5 с А = 13,19 см2; ix =
4,47 см; iy = 3,27 см.
Проверка
сечения на устойчивость:
Найдем
приведённую гибкость по формулам (2.20) и (2.14):
Находим
коэффициент продольного изгиба 
по
формулам (2.15) и (2.16)


Предельная
гибкость для сжатых поясов, опорных раскосов и стоек определяется по формуле
(2.22), а коэффициент 
по
формуле: (2.23)

Аналогично
считаем предельную гибкость из плоскости 
.



По
формуле (2.24) проверка сечения на прочность.
Недонапряжение
составляет ∆ = 9,22 %.
Стержень
5-19 (раскос).
Задаемся
гибкостью λ
= 100.
Вычисляем
коэффициент продольного изгиба по формуле (2.15): 
Определяем
требуемую площадь сечения стержня по формуле(2.17):
Определение
требуемых радиусов инерции по формулам (2.18) и (2.19):
Подбор
сечения по 
по [6]:
Профиль 50х50х2,5 с А = 4,79 см2; ix = iy = 1,92 см.
Проверка
сечения на устойчивость. Найдем приведённую гибкость по формулам (2.20) и
(2.14):
Находим
коэффициент продольного изгиба 
по
формулам (2.15) и (2.16)


Предельная
гибкость для сжатых поясов, опорных раскосов и стоек определяется по формуле
(2.22), а 
-
коэффициент, по формуле (2.23):

По
формуле (2.24) проверка сечения на прочность:
Недонапряжение
составляет ∆ = 10,47 %.
Стержень
20-21 (нижний пояс).
Определение
требуемой площади по формуле (2.10).

см2
Подбор сечения с А ≥ Атреб по [6] профиль 120х80х3,5: А
= 13,19см2; ix = 4,47см, iy
=3,27см.
Проверка сечения по гибкости по формулам (2.11) и (2.12):

Проверка сечения по прочности по формуле (2.13):
Недонапряжение составляет ∆ = 2,75 %.
Таблица 2.6 - Подбор сечений элементов стропильной фермы из гнутосварных
профилей
|
Элементы фермы
|
Стержень
|
Расчетные усилия, кН
|
Расчетные длины, см
|
Acall, см2
|
Площадь, см2
|
Радиусы инерции
|
Гибкости
|
α
|
[λ]
|
φmin
|
γc
|
σ, МПа
|
∆,%
|
|
|
|
lefx
|
lefy
|
|
|
ixcall
|
ix
|
iycall
|
iy
|
λx
|
λy
|
|
|
|
|
|
|
|
Верхний пояс
|
5-6 2-3
|
-471,46 -240,49
|
3007 3007
|
3007 3007
|
32,06 16,35
|
26,4313,35
|
3,007 3,007
|
4,64 4,47
|
3,007 3,007
|
2,36 3,27
|
59,5 67,27
|
77,33 91,96
|
0,85 0,91
|
128,95 125,53
|
0,87 0,84
|
1,0
|
204,18 217,86
|
14,9 9,22
|
|
Нижний пояс
|
17-18 20-21
|
481,11 307,83
|
1503 3007
|
15000 7500
|
20,05 12,83
|
20,27 13,19
|
-
|
5,24 4,47
|
-
|
4,04 3,27
|
28,68 67,27
|
229,54 300
|
-
|
400
|
-
|
1
|
233,38 216,7
|
2,75 4,9
|
|
Опорный раскос
|
1-22
|
147,88
|
2420
|
2420
|
6,16
|
6,61
|
-
|
2,31
|
-
|
2,31
|
104,79
|
104,79
|
-
|
400
|
-
|
1
|
223,7
|
6,78
|
|
Раскосы
|
2-22 5-19
|
-138,02 -46,24
|
2320 2320
|
2320 2320
|
9,38 3,14
|
10,36 4,59
|
2,32 2,32
|
2,21 1,92
|
2,32 2,32
|
2,21 1,92
|
104,98 120,83
|
104,98 120,83
|
0,96 0,9
|
122,15 126,28
|
0,58 0,47
|
1,0
|
231,39 214,87
|
3,59 10,47
|
Рисунок 2.4 - Предварительно принятые для отправочной марки ФС типы
сечения из ЗГС
.2 Конструирование и расчет узлов фермы
Фермы из гнутосварных профилей проектируются бесфасоночными узлами.
Принимаем треугольную решетку без дополнительных стоек, при которой в узлах к
поясам примыкает не более двух элементов. Толщину стенок стержней принимаем не
менее 4 мм.
Узлы примыкания раскосов к поясу не менее 30° для обеспечения плотности
участка сварного шва со стороны острого угла. Следует избегать пересечения
стержней решетки в узлах во избежание двойной резки концов стержней.
Для свободного размещения стержней решетки на уровне примыкания их к
поясу приходится нарушать центрацию элементов. Если эксцентриситет e≥0,025h при расчете следует учитывать узловой момент:

(2.25)
где

-
усилия, действующие на узел, кН;

-
эксцентриситет приложения усилий, м.
Гибкость
стержней решетки в плоскости фермы значительно больше гибкости пояса, поэтому
узловой момент воспринимается в основном поясе:

(2.26)

(2.27)
Узлы
ферм из замкнутых гнутосварных профилей прямоугольного сечения (рисунок
<#"902628.files/image141.gif">
где

-
коэффициент влияния знака усилия в примыкающем элементе, принимаемый равным 1,2
при растяжении и 1,0 - в остальных случаях;

-
коэффициент влияния продольной силы в поясе, определяемый при сжатии в поясе,
если 
в
остальных случаях принимать равным 1,0;

- длина
участка линии пересечения примыкающего элемента с поясом в направлении оси
пояса


(2.30)

-
половина расстояния между смежными стенками соседних элементов решетки или
поперечной стенкой раскоса и опорным ребром;

(2.31)
Рисунок
2.5 - Узлы ферм из гнутосварных профилей
а)
- К-образный при треугольной решетке; б) - то же, при раскосной решетке; в) -
опорный; г) - У-образный
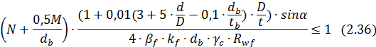
2.2.2 Расчет стенки в У-образных узлах
Несущую
способность стенки пояса в У-образных узлах при g/b 
0,25
следует определять:
2.2.3 Расчет боковой стенки
Несущую
способность боковой стенки в плоскости узла в месте примыкания сжатого элемента
при d/D 
0,85
следует проверять:
где

- коэффициент
влияния тонкостенности пояса, для отношений 
принимаемый
равным 0,8, в остальных случаях - 1,0;

- коэффициент,
принимаемый равным:
при


;
при


в
остальных случаях 
.
2.2.4 Расчет элемента решетки
Несущую способность элемента решетки вблизи примыкания к поясу следует
проверять:
а) в узлах, указанных в пункте 2.2.1:
где

следует
принимать таким же как и в пункте 2.3, но с заменой характеристик элемента
решетки: 
на большее
из значений 
или d, t на 
и 
на 
.
б)
в узлах, указанных в пункте 2.2.2:

2.2.5 Расчет сварных швов
) в узлах, указанных в пункте 2.2.1:
где

-
коэффициент для расчета углового шва по металлу шва;

- катет
углового шва

-
расчетное сопротивление угловых швов срезу по металлу шва
2) в узлах, указанных в пункте 4.2:
.2.6 Расчет соединения двух полуферм в узлах 6 и 17
Примыкание двух полуферм по верхнему и по нижнему поясам происходит с
помощью ребер жесткости. Необходимо произвести расчет болтов и сварных швов.
Расчетное усилие, которое может быть воспринято одним болтом в таком
соединении, следует определять по формулам:
На срез:

(2.37)
На
смятие:

(2.38)
где

-
расчетное сопротивление болтов срезу, по табл Г.5 [3], 
;

-
расчетное сопротивление болтов смятию, по табл. Г6 [3],
;

-
коэффициент условий работы соединения, по табл. 41 [3], при работе на срез 
, при
работе на смятие 
;

-
расчетная площадь сечения стержня болта брутто, 
см2;

- число
расчетных срезов одного болта, 
;

-
наружный диаметр болта;

-
наименьшая суммарная толщина элементов, сжимаемых в одном направлении.

,
Количество
болтов в соединении:
(2.39)
где

-
суммарная расчетная постоянная и снеговая нагрузка, действующая на
промежуточный узел, стропильной фермы;

-
наименьшее из значений 
.
Расстояние
между центрами болтов «а» и от края элемента «а*» или «b*» принимаем
кратным 5 мм.
Конструктивно
принимаем 2 болта по одну сторону.
Рисунок 2.7 - Узел 6
На растяжение:

(2.40)
где

-
расчетное сопротивление болтов растяжению, по табл. Г5 [3], 
;

-
коэффициент условий работы, определяемый по таблице <#"902628.files/image202.gif">
=0,9;

-
расчетная площадь сечения резьбовой части нетто, 
см2;
При действии на болтовое соединение продольной силы N, количество болтов определяется по
формуле (2.41)
где

-
продольное усилие в стойке 6-17, 
.
Принимаем
2 болта.
Рисунок
2.8 - Узел 17
2.2.7 Расчет прикрепления стойки к поясам фермы
Расчет угловых швов нахлестных соединений, прикрепляющие стойку к поясам
фермы выполняется на условный срез по двум сечениям:
) по металлу шва:
2) по металлу границы сплавления:
где

-
коэффициент для расчета углового шва по металлу шва, 
=0,9

-
коэффициент для расчета углового шва по металлу границы сплавления, 
=1,05;

-
расчетное значение сопротивления угловых швов, условному срезу по металлу шва, 
;

- то же,
по металлу на границе сплавления, 
;

- длина
шва, 
= 80 мм.
Принимаем
катет шва 
= 5мм.
2.2.8 Принятые типы сечения
После конструирования узлов окончательно принимаем типы сечения ЗГСП
фермы. Схема фермы представлена на рисунке 2.9.
Рисунок 2.9 - Принятые типы сечения из ЗГСП
3. Технологический раздел
.1 Характеристика здания
Проектируемое здание представляет собой каркасное здание. Каркас здания
образован металлическими колоннами двутаврового сечения, подстропильными
балками двутаврового сечения и стропильными фермами покрытия.
Габариты здания: 59,12 х 66,6м.
Стропильные фермы перекрывают два пролета здания - 24 и 30 метров. Шаг колонн 6
метров, шаг ферм 4 метра. Непосредственно по верхним поясам стропильных ферм
укладывается и закрепляется профилированный лист, по которому укладывается
двухслойный утеплитель и рулонный кровельный ковер.
В состав здания входят также фахверковые колонны для крепления витражей,
комплекта окон и дверей.
Металлические конструкции поставляются на площадку строительства в полной
заводской готовности, за исключением стропильных ферм, которые укрупняются до
готовой конструкции на стенде на строительной площадке. Внутренний объем здания
поделен на три отсека кирпичными стенами. Перегородки возводятся из
гипсокартонных листов по металлическому каркасу отдельным потоком.
.2 Выбор метода производства строительно-монтажных работ
Монтаж конструкций здания бассейна производится самоходным гусеничным
краном СКГ-40. Монтаж производится комплексным методом, здание разбивается на
захватки, в каждую из которых входит монтаж колонн, ригелей. Основное
требование при монтаже - обеспечение жесткости и геометрической неизменяемости
каркаса.
Сборные элементы подаются к рабочему месту с приобъектного склада,
расположенного в зоне действия крана. По степени укрупнения монтаж ведется
поэлементно в связи с небольшими объемами работ. По точности установки на опоры
монтаж производится с выверкой при помощи геодезических инструментов. По
способу подъема (перемещения) конструкции и установки ее на опоры применяют
подъем со сложным перемещением в пространстве (кран перемещает и поворачивает
конструкцию). По последовательности сборки конструкций по вертикали применяется
способ наращивания, при котором вышележащие элементы укладываются на
нижележащие.
.3 Определение объемов строительно-монтажных работ
Таблица 3.1 - Спецификация элементов сборных конструкций
|
Наименование Конструктивных
элементов
|
Марка элемента
|
Эскиз
|
Кол-во шт.
|
Масса,т
|
|
|
|
|
Одного элемента
|
всего
|
|
1
|
2
|
3
|
4
|
5
|
6
|
|
1. Колонны
|
|
а) колонны K1, К2
|
40Ш1 220,9621,12
|
|
|
|
|
|
б) колонны KФ-1.
|
26Ш1100,373,70
|
|
|
|
|
|
2. Подстропильные балки
|
|
а) балки подстропи- льные
БП-1
|
50Б2 100,525,2
|
|
|
|
|
|
б) балки подстропи- льные
БП-2
|
45Б1 100,383,8
|
|
|
|
|
|
|
|
|
|
|
|
|
3.Профили-рованный
лист Н75-750-0,7
1728м2
0,0921
,15
4.
Мет. Фермы покрытия Ф-1
16
,841
,46
|
|
|
|
|
|
5. Установка крестовых
связей -по колоннам -по фермам
|
[ ] №12 2 ∟ №63×5
|
|
4 2
|
1,6 1,29
|
6,4 2,6
|
.4 Выбор монтажных приспособлений
Таблица 3.2 - Ведомость монтажных приспособлений
|
Наименование сборного элемента
|
Масса элемента ,т.
|
Наимен. монтажного
приспособления
|
Характеристика
грузозахватных приспособлений
|
Эскиз
|
|
|
|
грузоподъемность, т
|
масса, т
|
расчетная высота, мм
|
|
|
1
|
2
|
3
|
4
|
5
|
6
|
7
|
|
1. Колонны:
|
|
а) колонны K1, К2
|
0,96
|
Захват для колонн КР-3.2
|
4
|
0,035
|
1000
|
|
|
в) колонны KФ-1
|
0,37
|
4
|
0,035
|
1000
|
|
|
2. Подстропильные балки
|
|
а) балки подстропи льные
БП-1
|
0,52
|
Строп двухветвевой 2СК-2-2
ГОСТ 25573-82
|
4
|
0,025
|
|
|
|
б) балки подстропи льные
БП-2
|
0,38
|
Строп двухветвевой 2СК-2-2
ГОСТ 25573-82
|
4
|
0,025
|
|
|
|
3.Металличес-кие фермы
покрытия Ф-1
|
2,8
|
Траверса
|
3
|
0,205
|
3000
|
|
|
4.Профилированный лист
|
0,30
|
Строп четырехветьевой
4СК-1-2 ГОСТ 25573-82
|
5
|
0,12
|
4500
|
|
|
5.Монтажная площадка с
лестницей
|
|
|
|
|
|
|
|
|
|
|
|
|
|
|
|
|
|
.5 Определение трудоемкости и продолжительности монтажных работ
Основным документом, определяющим затраты труда, стоимость,
продолжительность работ является калькуляция, которая выполняется по форме
(таблица 3.3), на основании [13], [14], [15]. Объемы работ для расчета
калькуляции берутся из таблицы 3.1.
Суммарное время работы крана определяет общую продолжительность монтажных
работ. Состав комплексной бригады (звена) определяем по ежедневному участию в
монтаже рабочих различной квалификации.
Затраты труда:
, (3.1)
V-
объем работы.
Заработная плата:
Таблица 3.3 - Калькуляция трудозатрат и машинного времени
|
Наименование работ
|
Ед. изм.
|
Объем работ
|
ЕНиР
|
Рекомендуемый состав звена
|
На единицу
|
На весь объём
|
|
|
|
|
|
Нвр, чел часРасценка
руб.Трудоемкость, челчасСтоимость монтажа, руб.
|
|
|
|
|
1
|
2
|
3
|
4
|
5
|
6
|
7
|
8
|
9
|
|
|
1. Разгрузка МК
|
|
|
|
|
|
|
|
|
|
|
весом до 0,5т
(подстропильных балок, колонн фахверка)
|
100т
|
0,075
|
Е1-7, т, 22,
а,б
|
Такелажники 2р - 2 Машинист
5р-1
|
37 18,5
|
23-68 16-84
|
2,78 1,39
|
1-78 1-26
|
|
|
весом до 0,75т
(подстропильных балок)
|
100т
|
0,052
|
Е1-7, т, 23а, б
|
Такелажники 2р - 2 Машинист
5р-1
|
25 12,5
|
16-00 11-38
|
1,3 0,65
|
0-83 0,59
|
|
|
весом до 1т (колонны)
|
100т
|
0,2112
|
Е1-7,т, 24а, б
|
Такелажники 2р - 2 Машинист
5р-1
|
19 9,4
|
12-16 8-55
|
4,01 1,99
|
2,57 1,81
|
|
|
весом до 1,5т (фермы)
|
100т
|
0,4546
|
Е1-7,т, 25а, б
|
Такелажники 2р - 2 Машинист
5р-1
|
14 6,9
|
8-96 6-28
|
6,36 3,14
|
4,07 2,85
|
|
|
2. Сортировка конструкций
|
1т
|
75,58
|
Е5-1-1 1, 2
|
Монтажник 4р-1 Монтажник
3р-1 Машинист 6р-1
|
0,33 0,33 0,32
|
0-48,4 0-33,9
|
24,94 24,94 24,19
|
36-58 25-62
|
|
|
3. Укрупнительная сборка
ферм 30 м
|
1 эл.
|
16
|
Е4-1 5, 2 а,б
|
Монтажник 6р-1 Монтажник
4р-2 Монтажник 3р-1 Монтажник 2р-2 Электросварщик 5р-1 Машинист 6р-1
|
2,91 5,82 2,91 5,82 2,91
1,7
|
16-63 1-80
|
46,56 93,12 46,56 93,12
46,56 27,2
|
266-08 28-8
|
|
|
4. Установка средств
подмащивания: (лестницы приставные)
|
1шт.
|
22
|
Е5-1-2 8а, б
|
Монтажник 4р-1 Монтажник
3р-1 Машинист 6р-1
|
0,17 0,17 0,17
|
0-25,3 0-18
|
3,74 3,74 3,74
|
5-56,6 3-96
|
|
|
5. Подача МК
|
|
|
|
|
|
|
|
|
|
|
весом до 0,5т (балки
подстропильные, колонны фахверка)
|
100т
|
0,075
|
Е1-7, т, 22, а,б
|
Такелажники 2р - 2 Машинист
5р-1
|
37 18,5
|
23-68 16-84
|
2,78 1,39
|
1-78 1-26
|
|
|
весом до 0,75т (балки
подстропильные)
|
100т
|
0,052
|
Е1-7, т, 23а, б
|
Такелажники 2р - 2 Машинист
5р-1
|
25 12,5
|
16-00 11-38
|
1,3 0,65
|
0-83 0,59
|
|
|
весом до 1т (колонны)
|
100т
|
0,2112
|
Е1-7, т, 24а, б
|
Такелажники 2р - 2 Машинист
5р-1
|
19 9,4
|
12-16 8-55
|
4,01 1,99
|
2,57 1,81
|
|
|
весом до 3 т (фермы)
|
100т
|
0,176
|
Е1-7, т, 25а, б
|
Такелажники 2р - 2 Машинист
5р-1
|
14 6,9
|
8-96 6-28
|
6,36 3,14
|
4,07 2,85
|
|
|
6. Монтаж колонн К1, К2
|
|
|
|
|
|
|
|
|
|
|
1эл.
|
22
|
Е5-1-9 1а,б
|
Монтажник 6р-1 Монтажник
4р-2 Монтажник 3р-1 Машинист 6р-1
|
0,9 1,8 0,9 0,7
|
2-83 0-74,2
|
19,8 39,6 19,8 15,4
|
62-26 16-32
|
|
|
1 т
|
21,12
|
Е5-1-9 2а,б
|
Монтажник 6р-1 Монтажник
4р-2 Монтажник 3р-1 Машинист 6р-1
|
0,19 0,38 0,19 0,15
|
0-60,6 0-15,9
|
4,01 8,03 4,01 3,17
|
12-79,9 3-35,8
|
|
|
7. Монтаж связей
|
1эл.
|
20
|
Е5-1-6 т. 2, 1г,3г
|
Монтажник 5р-1 Монтажник
4р-1 Монтажник 3р-1 Машинист 6р-1
|
0,21 0,21 0,21 0,21
|
0-51,2 0-22,3
|
4,2 4,2 4,2 4,2
|
10-24 4-46
|
|
|
8. Монтаж подстропильных
балок
|
1эл.
|
20
|
Е5-1-6 т. 2, 1б,3б
|
Монтажник 5р-1 Монтажник
4р-1 Монтажник 3р-1 Машинист 6р-1
|
0,1 0,1 0,1 0,1
|
0-24 0-10,6
|
2 2 2 2
|
4-8 2-12
|
|
|
1 т
|
9
|
Е5-1-6 т. 2, 2б, 4б
|
Монтажник 5р-1 Монтажник
4р-1 Монтажник 3р-1 Машинист 6р-1
|
0,33 0,33 0,33 0,33
|
0-80 0-35
|
2,97 2,97 2,97 2,97
|
7-2 3-15
|
|
|
9. Монтаж ферм
|
|
|
|
|
|
|
|
|
|
|
1эл.
|
16
|
Е5-1-6 т. 2, 1а,3а
|
Монтажник 6р-1 Монтажник
4р-3 Монтажник 3р-1 Машинист 6р-1
|
0,58 1,74 0,58 0,58
|
2-40 0-61,5
|
9,28 27,84 9,28 9,28
|
38-4 9-84
|
|
|
1 т
|
45,46
|
Е5-1-6 т. 2, 2а, 4а
|
Монтажник 6р-1 Монтажник
4р-3 Монтажник 3р-1 Машинист 6р-1
|
0,11 0,33 0,11 0,11
|
0-43,8 0-11,7
|
5 15 5 5
|
19,91 5-32
|
|
|
10. Подъем краном
профлиста в пачке на перекрытие, на кровлю
|
100м2
|
17,28
|
Е5-1-20 т.5, 9а, 9б
|
Монтажник 4р-2 Монтажник
3р-2 Машинист 6р-1
|
0,05 0,05 0,03
|
0-07,5 0-03,2
|
0,84 0,84 0,51
|
1,47 1,47 0,55
|
|
|
11. Раскладка листов
|
100м2
|
17,28
|
Е5-1-20 т.5, 10а
|
Монтажник 3р-3
|
2,6
|
1-82
|
44,93
|
31-45
|
|
|
12. Монтаж колонн фахверка
|
|
|
|
|
|
|
|
|
|
|
1эл.
|
10
|
Е5-1-9 1а,б
|
Монтажник 6р-1 Монтажник
4р-2 Монтажник 3р-1 Машинист 6р-1
|
0,88 1,75 0,88 0,7
|
2-83 0-74,2
|
8,8 17,5 8,8 7
|
28-3 7-42
|
|
|
1 т
|
3,7
|
Е5-1-9 2а,б
|
Монтажник 6р-1 Монтажник
4р-2 Монтажник 3р-1 Машинист 6р-1
|
0,19 0,38 0,19 0,15
|
0-60,6 0-15,9
|
0,7 1,41 0,7 0,56
|
2-24 0-59
|
|
|
13. Электросварка монтажных
стыков kf до 8мм - колонн - ферм
|
10м шва
|
11,7
|
Е22-1-6 1,3,4 д
|
Электросварщик 6р-1
Электросварщик 5р-1 Электросварщик 4р-1 Электросварщик 3р-1
|
0,68 0,68 0,68 0,68
|
2-13
|
7,96 7,96 7,96 7,96
|
24,92
|
|
|
|
|
|
|
|
|
|
|
|
|
|
|
|
|
|
, (3.2)
где ЗП - заработная плата звена монтажников на весь объем,
Р - расценка на выполнение единицы работы.
.6 Определение трудоёмкости и продолжительности монтажных работ
Основным документом, определяющим затраты труда, стоимость,
продолжительность работ является калькуляция. Суммарное время работы крана
определяет общую продолжительность монтажных работ. Состав комплексной бригады
определяем по ежедневному участию в монтаже рабочих различной квалификации.
Таблица 3.4 - Распределение трудоемкости по разрядам
|
Профессия
|
Разряд
|
Ежедневное
участие в работе
|
Расчетный
состав бригады
|
Принятый состав
бригады
|
|
1
|
2
|
3
|
4
|
5
|
|
Монтажник
|
VΙ
|
46,56+9,28+8,8=64,64
|
64,64/113,32=0,57
|
1
|
|
Монтажник
|
V
|
4,2+2=6,2
|
6,2/113,32=0,05
|
1
|
|
Монтажник
|
ΙV
|
24,93+93,12+3,74+39,6+4,2+2+27,84+0,84+17,5=213,77
|
213,77/113,32=1,89
|
2
|
|
Монтажник
|
ΙΙΙ
|
24,94+46,56+3,74+19,8+4,2+2+9,28+0,84+8,8+44,93=165,09
|
165,09/113,32=1,46
|
2
|
|
Монтажник
|
ΙΙ
|
93,12
|
93,12/113,32=0,8
|
2
|
|
Машинист
|
VΙ
|
24,19+27,2+3,74+19,8+15,4+4,2+2+9,28+0,51+7=113,32
|
1
|
1
|
При правильном выборе бригады средний разряд рабочих не
должен превышать среднего разряда работы.
Таблица 3.5 - Расчетное количество рабочих
|
Разряд
|
Расчетное
количество рабочих
|
Произведение
разряда на число рабочих
|
|
1
|
2
|
3
|
|
6
|
0,57
|
3,42
|
|
5
|
0,05
|
0,25
|
|
4
|
1,89
|
7,56
|
|
3
|
1,46
|
4,38
|
|
2
|
0,8
|
1,6
|
|
Итого
|
4,77
|
17,21
|
Средний разряд
Таблица 4.6 - Принятое количество рабочих
|
Разряд
|
Принятое
количество рабочих
|
Произведение
разряда на число рабочих
|
|
1
|
2
|
3
|
|
6
|
1
|
6
|
|
4
|
1
|
4
|
|
3
|
1
|
3
|
|
2
|
4
|
|
Итого
|
5
|
17
|
Средний разряд рабочих равен 17/5=3,4.
Средний разряд работы 17,21/4,77=3,61
Таким образом, состав бригады определен правильно.
.7 Расчет основных параметров и выбор монтажных кранов
Выбор кранов для монтажа зданий и сооружений должен
производиться на основе технико-экономических расчётов с учётом количества,
размера и веса монтируемых элементов, этажности или высоты, конфигурации и
размеров возводимого здания.
Основными параметрами монтажного крана являются:
грузоподъёмность (Qкр);
высота подъёма крюка (Hкр);
вылет крюка крана (lкр);
длина стрелы (Lстр).
Исходя из данных основных параметров определяем самую
тяжелую, самую высокорасположенную и самую неудобную для монтажа конструкцию.
Рисунок 3.1 - Схема для определения требуемых параметров
крана
Самая неудобная и тяжелая для монтажа конструкция - ферма
покрытия Ф-1 массой 2,841 т.
.7.1 Требуемая грузоподъёмность

, т, (3.3)
где 
- масса элемента, 
= 2,841 т;

- масса оснастки, 
= 0,205 т.

= 2,841 + 0,205 = 3,046т;

= 0,960 + 0,25 = 1,21т;

= 0,065 + 0,05 = 0,115т;

= 0,520 + 0,05 = 0,570 т.
.7.2 Необходимая минимальная высота крюка крана

, м, (3.4)
где 
- высота монтажного горизонта, 
= 12,50 м;

- высота элемента в монтажном положении, 
= 2,1 м;

- запас по высоте, требуемый для заводки конструкции к месту
установки или через ранее смонтированные конструкции, 
= 0,5м;

- высота строповки в рабочем положении от верха монтируемого
элемента до низа крюка, для фермы 
= 3,00м.

- высота полиспаста в стянутом состоянии, 
= 1,5 м.

= 0 + 12,5 + 0,5 + 3,0 + 1,5 = 17,5м

= 11,5 + 0,05 + 0,5 + 1,8 + 1,5 = 15,35м

= 10,7 + 0,5 + 0,5 + 2,0 + 1,5 = 15,2м
.7.3 Требуемый вылет стрелы
где е - половина
толщины констр. стр. на уровне вероятного касания, е = 0,5м;- минимальный зазор
между стрелой крана и конструкцией здания, d=1,5м;
Нм -
высота от крепления шарнира стрелы на уровне стоянки крана, Нм = 1,5м;
Lм - расстояние от оси вращения крана до оси шарнирного
крепления стрелы, Lм = 1,5м;
Ацт -
расстояние от крайней конструкции здания до центра тяжести монтируемого
элемента, м.


.7.4 Требуемая
длина стрелы
(3.6)
где hш
- высота шарнира пяты стрелы от уровня стоянки крана, hш =1,8м;
а - расстояние от
оси вращения крана до оси шарнира пяты стрелы, а=2,0м.
Для крана с
гуськом:КР ф = 14,24+5=19,24мКР кол =
6,07+5=11,07мКР л = 19,48+5=24,48мКР бал = 13,95+5=18,95м
где lГУС
- длина гуська, lГУС =5м
Определяют
требуемую длину стрелы для крана с гуськом.
Если краны
дополнительно оборудованы гуськом, то производятся дополнительные расчёты длины
стрелы и высоты подъёма крюка.
кр = 3,046т= 19,60мкр = 24,0мстр =
26,25м ;Lстр с гуськом = 16,9м
По справочным
материалам подбираем краны - пневмоколесный кран КС-6362 без гуська, с длиной
стрелы 30 м, и гусеничный кран СКГ-40 с гуськом длиной 5м и с длиной стрелы
30,8 м.
.8
Технико-экономическое обоснование выбранного варианта крана
Таблица 3.7
Технические характеристики сравниваемых кранов
|
Наименование
показателей
|
Модели кранов
|
|
КС-6362
|
СКГ-40
|
|
1
|
2
|
3
|
|
1.Требуемая
высота подъема крюка 29,5029,50
|
|
|
|
2. Угол
поворота стрелы между положением строповки груза и наводки на проектную
отметку a град.
|
90
|
90
|
|
3. Коэффициент,
учитывающий совмещение операций, к=0,75
|
0,75
|
0,75
|
|
4. Скорость
подъёма груза v1, м/с
|
0,08
|
0,12
|
|
5. Скорость
опускания крюка, v2, м/с
|
0,08
|
0,12
|
|
6. Частота
вращения n, с
|
0,01
|
0,005
|
|
7. Скорость
движения крана, v3, м/с
|
0,3
|
0,22
|
|
9. Длина
передвижки S, м
|
12
|
12
|
|
10.Инвертарно-расчетная
стоимость, тыс.руб.
|
77,9
|
40,3
|
|
10.Усреднённая
стоимость машино-смены, руб.
|
69,06
|
35,05
|
Основные показатели
. Суммарная длительность цикла работы крана в минутах на
монтаже выбранной конструкции:

, мин (3.7)
где 
- продолжительность машинного времени в минутах:
(3.8)

, - продолжительность ручных операций при монтаже, мин.вариант:
КС-6362
вариант: СКГ-40
. Производительность кранов:

, т/см, (3.9)
где
- продолжительность смены,
= 8 час.вариант: СКГ-40
вариант: КС-6362
. Стоимость монтажа одной тонны конструкций:

, руб/т, (3.10)
где См-см - усреднённая стоимость машино-смены,
руб.вариант: КС-6362
вариант: СКГ-40
.
На основании сравнения технико-экономических показателей
выбирается наиболее экономичный II вариант по применению монтажного крана:
СКГ-40.
3.9 Выбор и обоснование транспортных средств для доставки сборных
конструкций
Доставка конструкций осуществляется с разгрузкой на приобъектном
складе.
Таблица 3.8 - Выбор и обоснование транспортных средств для
доставки сборных конструкций
|
Наименование
элемента
|
Масса, т.
|
Марка транспортного
средства
|
Грузоподъёмность,
т.
|
Количество
элементов, перевозимых за один рейс
|
Коэффициент
использования транспорта по грузоподъёмностити
|
|
1
|
2
|
3
|
4
|
5
|
6
|
|
Колонны K1
|
0,96
|
Полуприцеп
УПР1212
|
12
|
8
|
0,64
|
|
Колонны KФ-1
|
0,37
|
Полуприцеп
УПР1212
|
12
|
12
|
0,32
|
|
Балки
подстропильные Бп-1
|
0,52
|
Полуприцеп-балковоз
УПР6 6
|
6
|
8
|
0,69
|
|
Балки
подстропильные Бп-2
|
0,38
|
Полуприцеп-балковоз
УПР6 6
|
6
|
8
|
0,51
|
|
Фермы покрытия
Ф-1
|
0,95
|
Полуприцеп
УПР1212
|
12
|
4
|
0,37
|
|
Кровельный
профнастил 0,75x4 м (по 5 штук)
|
0,065
|
Камаз 53202
|
7,8
|
7
|
0,21
|
.10 График производства работ
График составляется на основе калькуляции трудовых затрат и
нормативной продолжительности работ в табличной форме.
Нормативная продолжительность работ монтажа конструкций
определяется по [12]. Наименование работ записывается в соответствии с принятой
технологической последовательностью монтажа.
Значение трудоемкости на весь объем работ:
Т = ЗТ/8, чел.´дн., (3.11)
где ЗТ- затраты труда, чел.´ч;
- продолжительность одной смены, ч.
Продолжительность работ:
П = ЗТ/PN , дн., (3.12)
где P - количество рабочих в одном звене монтажников;-
количество смен.
Определив продолжительность, взаимно увязываем работы во
времени. Выбираем монтажные работы, оказывающие влияние на продолжительность
монтажа. Устанавливаем последовательность и совмещенность ведущих монтажных
работ, подчиняя темпу их выполнения остальные виды работ , с тем расчетом,
чтобы обеспечить устойчивость в любой момент времени каждого возводимого
элемента и здания в целом.
.11 Основные технико-экономические показатели
Таблица 4.9 - Основные технико-экономические показатели
|
Наименование
показателя
|
Ед. изм.
|
Значение
показателя
|
|
1
|
2
|
3
|
|
Выработка
одного рабочего за смену
|
т/смен
|
2
|
|
Затраты труда
на единицу работы в человеко-смену
|
смен/т
|
0,5
|
|
Срок выполнения
работы
|
дни
|
15
|
Расчетная стоимость выполнения единицы работы определяется по
формуле:
Выработка одного рабочего за смену определяется по формуле:
ВР=V/ТР, т/человеко-смен, (3.13)
где V - объем работ, подлежащих выполнению, т;
ТР - трудоемкость работ, человеко-смен.
ЗТ= ТР/V, человеко-смен/т, (3.14)
где ТР - трудоемкость работ, человеко-смен;- объем работ,
подлежащих выполнению, т.
ВР=321,8/160,5=2 т/смен
ЗТ=1/2=0,5 смен/т
.12 Указания по производству работ
Перед началом монтажа конструкций нужно проверить положение в
плане и отметки оснований фундаментов и других опорных конструкций.
Последовательность монтажа должна обеспечивать устойчивость и геометрическую
неизменяемость смонтированных конструкций. Монтаж здания ведут
специализированными потоками. Каждому потоку передается комплект монтажных и
транспортных машин и соответствующая монтажная оснастка. Участки делят на
захватки, на которых последовательно выполняют отдельные процессы всего
комплекса работ.
Движение кранов и монтажные позиции выбирают с учётом того,
чтобы кран с одной позиции смонтировал большее число элементов. Первые две
колонны ряда раскрепляют крестообразными расчалками, последующие - подкрановыми
балками, которые устанавливают после установки колонн. Балки устанавливают по
осевым рискам на балках и подкрановых консолях колонны с временным
раскреплением на анкерных болтах и выверяют при помощи специальных
приспособлений. Стропильные фермы монтируют после установки и закрепления всех
нижележащих конструкций каркаса здания. Правильность установки контролируют
путем совмещения рисок. После установки фермы закрепляют расчалками.
.13 Указания по технике безопасности
Монтажные работы.
На территории проведения монтажных работ не допускается
выполнение других работ и нахождение посторонних лиц.
Способы строповки элементов конструкции и оборудования должны
обеспечивать их подачу к месту установки в положении близком к проектному.
Запрещен подъем конструкций без монтажных петель и меток.
Строповка грузов производится инвентарными грузозахватными
устройствами. Способы строповки должны исключать падение или скольжение груза.
Элементы при перемещении удерживаются от раскачивания и
вращения гибкими оттяжками.
Во время перерывов элементы не допускается оставлять на весу.
Расстроповку элементов конструкций и оборудования,
установленных в проектное положение, выполняют после постоянного или временного
надежного закрепления.
Монтажные работы на высоте не выполняются в открытых местах
при скорости ветра 15 м/с и более, при гололеде или тумане, исключающем видимость
в пределах фронта работ. Работы по перемещению и установке вертикальных панелей
прекращают при скорости ветра 10 м/с и более.
Монтаж конструкций последующего яруса выполняют после
надежного закрепления предыдущего.
Монтаж лестничных маршей и площадок зданий производят
одновременно с монтажом конструкций здания. На смонтированных лестничных маршах
следует незамедлительно установить ограждение.
Недопустимо нахождения рабочих под монтажными конструкциями
до установки их в проектное положение.
Рабочее место должно быть оснащено необходимыми техническими
средствами: подмостями, защитными ограждениями, люльками, вышками, монтажными
столиками, лестницами, должны применяться индивидуальные средства защиты в виде
предохранительных поясов, которые прикрепляются к устойчивым элементам. Кроме
того, должны применяться ограждения в виде защитных сеток для падающего
предмета.
Транспортные работы.
Организация - владелец транспортных средств должна обеспечить
их своевременное техобслуживание и ремонт.
Транспортировка длинномерных, крупногабаритных, тяжеловесных
грузов выполняется на специализированном транспорте.
Груз должен быть размещен и закреплен в соответствии с
техническими условиями погрузки и крепления. Подача автомобиля задним ходом в
зоне работ производится по команде работающих.
.14 Указания по осуществлению контроля и оценки качества
монтажных работ
Контроль качества монтажа начинается с приемки доставленных
сборных элементов. Они должны соответствовать требованиям проекта и не должны
иметь отклонений, превышающих допустимые по СНиП.
По завершении монтажа конструкций работы принимают по акту, в
котором указывают соответствие монтажа проекту, выносят заключение о готовности
здания для производства последующих работ.
Главным критерием качества монтажных работ является
тщательность сварки и заделки стыков и точность установки конструкций в
соответствии с проектом. На все конструкции, которые при дальнейшем
производстве работ закрываются другими конструкциями, составляют акты на
скрытые работы.
Установка колонн.
геометрические оси в нижнем сечении колонн совмещают с
разбивочными осями или геометрическими осями нижеустановленных колонн.
Обеспечивают закрепление низа колонн от горизонтальных перемещений;
отклонение от проекта должны согласовываться с проектной
организацией;
Установка балок, ферм, плит перекрытий и покрытий .
при укладке элементов в направлении перекрываемого пролета
должны быть соблюдены установленные проектом размеры глубины опирания их на
опорные конструкции или зазоров между сопрягающими элементами;
в поперечном направлении перекрываемого пролета: риски
продольных осей ригелей и межколонных плит совмещают с рисками осей на
колоннах; плит перекрытий по разметке, определяющей их проектное положение на
опорах и выполняемой после установки в проектное положение;
ригели, межколонные плиты, фермы, плиты покрытий по фермам
укладывают насухо на опорные поверхности несущих конструкций;
плиты перекрытий укладывают на слой раствора 20 мм , при этом
совмещая поверхности смежных плит вдоль шва со стороны потолка.
3.15 Указания по охране труда
Конструкции, поднимаемые краном, нужно держать от
раскачивания оттяжками. К концам поднимаемых элементов, устанавливаемых в
горизонтальное положение, прикрепляются парные оттяжки. Запрещается перемещать
конструкции после их установки и открепления захватных приспособлений. При
выгрузке элементов с транспортных средств не допускается перемещение груза над
кабиной водителя. На монтажных работах обязательно должна быть предусмотрена
сигнализация. Все сигналы машинисту крана и рабочим на оттяжках подает один
человек - бригадир. Временные связи, расчалки, кондукторы допускается снимать
после окончательного постоянного закрепления конструкций.
Машинисты кранов, строповщики, сигнальщики и сварщики
проходят обучение по спецпрограммам. Монтажники, у которых стаж работы менее
одного года и разряд ниже третьего, к работе на высоте не допускаются.
4. Организационный раздел
.1 Общие данные
Исходными материалами для составления ППР служат:
ранее утвержденный проект; в т.ч. ПОС, РД и сметы;
данные о поставке сборных конструкций, деталей, изделий и полуфабрикатов;
данные о поставке технологического, энергетического и другого
оборудования;
данные строительных и монтажных организаций о наличии парка машин и
механизмов, возможности его расширения и использования;
действующие нормативные документы: СНиПы, инструкции и указания по
производству и приемке строительных, специальных и монтажных работ, в т.ч. и по
охране труда в строительстве.
ППР состоит из трех основных видов технологических документов: графиков
(календарных планов), СГП и технологических карт.
Объемы работ в ППР определяют по РД, спецификациям и сметам, расчеты всех
видов ресурсов ведут по производственным нормам.
ППР на подготовительные работы выполняют в той же номенклатуре, что и для
основных работ, но в меньшем объеме.
Для объектов строящихся по типовым размерам, в состав РД входят основные
положения по производству СМР.
При строительстве комплекса зданий разрабатываются сводные поточные
графики на весь объем строительства.
.2 Характеристика условий строительства
Земельный участок площадью 22865 м2 расположен в районе
Заречья г. Вологды и ограничен:
на севере - жилые дома с встроенными помещениями;
на западе - улица Чернышевского;
на юге - жилые дома с встроенными помещениями;
на востоке - свободная от застройки территория.
Земельный участок свободен от застройки, имеет подъезд по улице
Сернышевского, рядом размещены все требуемые инженерные коммуникации
(водоснабжение, электроснабжение, канализация и т.д).
Рельеф участка застройки относительно ровный, спланированный
насыпным грунтом с абсолютными отметками 147,66-148,35м. Проектируемые забивные
сваи под спортивный комплекс опираются на слой из мелкого плотного песка с
прослойками пылеватого и средней крупности и прорезают слои суглинка
тугопластичного с прослойками мягкопластичного полутвердого, с гравием и
галькой до 10%.
Подземные воды в процессе изысканий не встречены. Прогнозируемый уровень
грунтовых вод рекомендуется принять на глубине 1,5-2 м от поверхности земли.
Местная строительная база обеспечивает строительство
проектируемого здания. Керамический кирпич, применяемый для внутренних и
наружных стен здания, поставляется автотранспортом с Сокольского кирпичного
завода, многопустотные железобетонные плиты перекрытия, металлические
конструкции поставляются с местных вологодских заводов железобетонных и
металлических конструкций и изделий.
.3 Климатические характеристики
Основные климатические характеристики района строительства в
соответствии с данными [4] и [5]следующие:
- расчетное значение веса снегового покрова
240 кг/м.кв;
- нормативное значение ветрового давления 23
кг/м.кв;
- расчетная глубина промерзания 1,8 м;
- средняя температура наружного воздуха
наиболее холодной пятидневки -32 0С;
- климатический район IIВ;
- продолжительность отопительного периода со средней суточной
температурой воздуха 8 0С - 228 дней;
- средняя температура отопительного периода -4 0С;
- расчетная температура внутреннего воздуха для здания в
холодный период +27 0С.
.4 Расчет численности персонала строительства
В персонал строительства входят:
рабочие основного и не основного производств;
ИТР (инженерно технические работники);
МОП (младший обслуживающий персонал);
практиканты и ученики.
Численность рабочих основного производства определяется по эпюре движения
рабочих, построенная под календарным планом, как максимальная численность
рабочих в 1 смену.
Численность рабочих неосновного производства принимается в размере 20% от
численности рабочих основного производства.
Численность ИТР принимается в размере 6-8%, МОП - 4%, учеников и
практикантов - 5% от численности рабочих основного и не основного производства.
Расчетная численность персонала строительства определяется по формуле:
(4.1)
где 1,06 - коэффициент, учитывающий отпуска и невыходы рабочих по
болезни;

, 
, 
, 
, 
,
.5 Расчет потребности во временных зданиях и сооружениях
Таблица 4.1 - Расчет временных зданий и сооружений
|
Наименование зданий и
сооружений
|
Расчетная численность
персонала
|
Норма на одного человека
|
Требуется
|
Принято
|
|
Всего
|
% одноврем. использующ.
|
Ед. изм
|
Кол-во
|
Ед. изм.
|
Кол-во
|
Марка
|
Кол-во
|
|
1
|
2
|
3
|
4
|
5
|
6
|
7
|
8
|
9
|
|
Проходная
|
-
|
-
|
м2
|
6÷9
|
м2
|
6÷9
|
Вагончик 3x3
|
1
|
|
Контора прораба
|
8
|
100
|
м2
|
3
|
м2
|
24
|
Вагончик 3x9
|
1
|
|
Медицинское помещение
|
-
|
-
|
м2
|
12
|
м2
|
12
|
Вагончик 3x6
|
1
|
|
Помещение для обогрева
рабочих
|
153
|
100
|
м2
|
0,1
|
м2
|
15,3
|
Вагончик 3x6
|
1
|
-
|
-
|
м2
|
15
|
м2
|
15
|
Вагончик 3x6
|
1
|
|
Помещение для сушки и
обеспыливания одежды
|
153
|
50
|
м2
|
0,2
|
м2
|
15,3
|
Вагончик 3x6
|
1
|
|
Гардеробные с умывальными
|
153
|
70
|
м2
|
0,5
|
м2
|
53,6
|
Вагончик 3x6
|
3
|
|
Душевые
|
153
|
30
|
1рожок
|
8чел. 4м2
|
6 р.
|
46чел 32м2
|
Вагончик 6x6
|
1
|
|
Помещение для личной
гигиены женщин
|
-
|
-
|
м2
|
4
|
м2
|
4
|
|
|
|
Туалет
|
153
|
100
|
1 очко
|
22чел 2м2
|
7 очка
|
153чел 14м2
|
Вагончик 3x6
|
1
|
Примечание:
мед. помещение должно иметь отдельный вход;
помещение для личной гигиены женщин расположено в женской части душевого
помещения.
.6 Расчет потребности в ресурсах
.6.1 Расчет потребности в электроэнергии
Электроэнергия при строительстве расходуется на питание силовых
потребителей, технологические нужды, внутреннее освещение зданий и сооружений,
наружное освещение строительной площадки, дорог и т.д.
Требуемая мощность трансформаторной подстанции:
, кВт,
(4.2)
где 1,1 - коэффициент, учитывающий потери в сети.
k1, k2, k3, k4 - коэффициенты спроса, учитывающие несовпадение нагрузок, k1 = 0,36 - среднее для механизмов; k2 = 0,7; k3 = 0,8; k4 = 1;
- сумма
мощностей силовых потребителей, кВт;
- сумма
мощностей аппаратов, участвующих в технологических процессах, кВт;
- сумма
мощностей приборов освещения, кВт;
-
коэффициенты мощностей, зависящие от количества и нагрузки потребителей:
Таблица 4.2 - Потребители энергии
|
Наименование
|
Мощность, кВт
|
|
Технологические
потребители: - вибратор глубинный ИЭ-4502 - сварочный аппарат ТД-300 -
электрокраскопульт СО-61 - растворонасос СО-496 Наружное освещение:
Внутреннее освещение: - помещения временные
|
0,4 20 0,27 4,0 17,01
2,422
|
|
Итого:
|
44,7
|
Определяем требуемую мощность:
Принимаем
одну передвижную комплексную трансформаторную подстанцию закрытой конструкции:
СКТП-100-6/10/0,4,
Р=100кВт, 3,05x1,55м
Сечение
проводов во временной электросети из условия прочности принимаем 6 мм.
.6.2 Расчет потребности в тепле
Тепло на строительной площадке используется на отопление зданий или
технические нужды.
Общая потребность тепла для строительных нужд определяется:
,
кДж/час, (4.3)
где

- расход
тепла на отопление зданий, определяется по формуле (4.4)
,
кДж/час, (4.4)
где
- коэффициент, зависящий от расчетной t
наружного воздуха (
);
-
удельная тепловая характеристика здания, 
кДж/час´м3´град;
V - объем здания
по наружному обмеру,
;
и
- расчетные температуры внутри помещения и снаружи, 
;

- расход
тепла на технологические нужды;
-
коэффициент, учитывающий потери в сети,
;
-
коэффициент на учтенные расходы тепла,
;

;

;
.6.3 Расчет потребности в воде
Расход воды на производственные нужды определяется на основании
календарного плана и норм расхода воды.
Таблица 4.3-
Потребность воды на производственные нужды
|
Потребители воды
|
Единица измерения
|
Количество в смену
|
Норма расхода воды на
единицу измерения
|
Общий расход воды в смену
|
|
1
|
2
|
3
|
4
|
5
|
|
Работа экскаватора
|
маш-ч
|
1
|
12
|
12
|
|
Заправка экскаватора
|
1 маш
|
1
|
100
|
100
|
|
Штукатурные работы
|
м2
|
261,5
|
8
|
2092
|
|
Малярные работы
|
м2
|
153,5
|
1
|
245,5
|
|
Поливка уплотняемого щебня
|
м3
|
17,6
|
5
|
160,9
|
|
Мойка колес автомашин
|
1 маш
|
2
|
10
|
20
|
|
Мойка автомашин
|
маш/сут
|
2
|
200
|
400
|
|
Итого:
|
|
|
|
2865,5
|
При устройстве сетей временного водоснабжения прокладываем и используем
сети запроектированного постоянного водопровода. Полная потребность в воде
составляет:
Qобщ = 0,5·(Qпр + Qхоз + Qдуш) + Qпож , л/с, (4.5)
По максимальной потребности находят секундный расход воды на
производственные нужды:
Qпр = ∑ Qмакс1·k1/(t 1·3600) , л/с, (4.6)
где ∑ Qмакс1 - максимальный расход воды;
k1
- коэффициент
неравномерности потребления воды, равный 1,5;
t 1 - количество часов работы, к которым
отнесен расход воды.
Qпр = 532·1,5/(8·3600) = 0,03, л/с,
Секундный расход воды на хозяйственно-бытовые нужды:
Qхоз = ∑ Qмакс2·k2/(t 2·3600) , л/с, (4.7)
где ∑ Qмакс2 - максимальный расход воды в смену на
хозяйственно-питьевые нужды;
k2
- коэффициент
неравномерности потребления воды;
t2
- число часов
работы в смену.
Qхоз =63·20·2,0·/(8·3600) = 0,08, л/,с
Секундный расход воды на душевые установки:
Qдуш = ∑ Qмакс3·k3/(t 3·3600) , л/с, (4.8)
где ∑ Qмакс3 - максимальный расход воды на душевые
установки;
k3
- коэффициент
неравномерности потребления, k3 = 1;
t3
-
продолжительность работы душевой установки, обычно t3 = 45 мин (0,75 часа).
Qдуш = 32·30·1· /(0,75·3600) =
0,35 л/с,
Расход воды на пожаротушение принимаем равным 10 л/с, то есть
предусматриваем одновременное действие струй из двух гидрантов по 5 л/с. Таким
образом:
Qобщ = 0,5·(0,03 + 0,08 + 0,35) + 10 =
10,2 л/с,
Диаметр трубопровода для временного водопровода:
где

-
скорость воды, 
1,5
м/с.3
Принимаем
диаметр трубопровода 100 мм, т.к. но нормам меньше быть не может.
.6.4 Расчет потребности в транспортных средствах
Требуемое количество маш. см. работы транспортного средства для доставки
однородного груза определяется:

,
маш.см., (4.10)
где
Q - количество перевозимого однородного вида груза, т;
Рсм
− сменная производительность транспортной единицы, определяем по формуле
(4.11):
Рсм
= nр × q × кгр ,
т/см, (4.11)
где
nр -
количество рейсов в смену;
q - паспортная
грузоподъемность машины, т;
кгр
- коэффициент использования грузоподъемности машины в зависимости от вида груза
(для бетонных и ж/б конструкций - 1; для металлоконструкций - 0,8).
где
Т - продолжительность смены, час;
tпр - продолжительность погрузочно-разгрузочных операций,
час;
L - расстояние
перевозки, км;
V - средняя
скорость движения транспорта, км/ч
Для
перевозки металлических конструкций принимаем машину КАМАЗ-55111 с
грузоподъемностью q=10 т
Принимаем
12 рейсов.
Тогда
Рсм,1 =12 × 10 × 1 = 120 т/см;
Для
возведения склада требуется 471,3 тонн металлических конструкций.
маш.см
Для
перевозки кирпича принимаем машину КАМАЗ-5511 с грузоподъемностью q=10т.
Рсм
=7 × 10 × 1 = 70, т/см,
Для
возведения данного здания требуется 471086 шт. кирпича. Принимаем массу 1
кирпича = 4,7 кг.
Q = 471086 × 4,7/1000 = 2214,1, т.
маш. см.
.6.5 Расчет площадей складов материалов, изделий и конструкций
Требуется площадь склада для хранения однородного груза определяется по
формуле:
где q - подлежащий хранению запас
однородных материалов в натуральных единицах;
r -
норма хранения материала на 1 м2 площади;
кп - коэффициент учитывающий проходы на складах (закрытые
склады - кп = 0,5-0,7; открытые - кп = 0,4 - 0,5)
где Q - количество однородных материалов
для объекта (в натуральных единицах);
n -
норма запаса материалов, дни (n =
2-5 дни - при автомобильных перевозках);
к - коэффициент неравномерности снабжения, к = 1,2;
t -
продолжительность выполнения работ с использованием данного материала, дни
Складские помещения:
Металлические конструкции (колонны, балки, фермы) q = 471,3 т
.7 Технико-экономические показатели
Механовооруженность труда:
где Nср.сп. - среднесписочное количество рабочих
на объекте в день.
где Смаш - рыночная стоимость машины;
Тн - нормативная продолжительность работы в году;
t -
время работы машины на объекте.
Для бульдозера:
Для экскаватора:
Для крана:
Энерговооруженность труда:
где Wмаш. - мощность двигателя машины, кВт
Таблица 4.4 -
Технико-экономические показатели
|
Показатель
|
Количество
|
|
1
|
2
|
|
Площадь стройплощадки
|
14080 м2
|
|
Площадь застройки
|
3694,9 м2
|
|
Площадь бытовых помещений
|
180 м2
|
|
Площадь складов
|
1131 м2
|
|
Площадь временной дороги
|
2927 м2
|
|
Длина временной дороги
|
488 п.м.
|
|
Длина временного ограждения
|
476 п.м.
|
|
Длина временного
водопровода
|
147 п.м.
|
|
Строительный объем здания
|
52300 м3
|
|
Полезная площадь
|
7660 м2
|
|
Нормативная трудоёмкость
строительства
|
24026 ч-дн
|
|
Планируемая трудоемкость
строительства
|
23780 ч-дн
|
|
Затраты труда на 1 м2
площади
|
3,14 чел.-дн
|
|
Механовооруженность труда
|
32559,8 руб
|
|
Энерговооруженность труда
|
3,58 кВт
|
5. Раздел безопасности жизнедеятельности
.1 Общий порядок действий в критических и чрезвычайных ситуациях
.1.1 Задачи сотрудников спортивного комплекса
Задачами сотрудников спортивного комплекса является:
1) при выявлении ЧС максимально оперативное информирование
администрации, сотрудников службы безопасности (СБ) спорткомплекса и
правоохранительных органов;
2) помощь своим поведением и действиями сотрудникам СБ в обеспечении
безопасности на объекте, защите жизни и здоровья сотрудников и посетителей;
) выполнение требований сотрудника СБ по соблюдению установленных
пропускного и внутриобъектного режимов, а также правил пожарной безопасности;
) проверка до начала смены состояния служебных кабинетов, знание
номера эвакуационных выходов и сопровождение посетителей до данного выхода.
.1.2 Задачи администрации
Задачами администрации являются:
1) организация размещения на всех стационарных телефонах
информационного листа с номерами телефонов специальных служб (экстренных служб
(ЕДДС - единая диспетчерская дежурная служба своего региона, ФСБ И МВД);
2) организация эвакуации сотрудников и посетителей в ситуациях,
указанных в п. 5.2;
) организация обеспечения беспрепятственного прохода к эвакуационным
выходам.
5.1.3 Задачи СБ
Задачами сотрудников службы безопасности являются:
1) защита жизни и здоровья сотрудников и посетителей;
2) защита имущества и материальных ценностей;
) организация контроля за осуществлением пропускного и внутри
объектового режима;
) своевременное выявление и пресечение попыток противоправных
действий на объекте;
) бдительное несение службы и безупречное выполнение своих
служебных обязанностей;
) знание конструктивных особенностей объекта, расположения средств
связи, сигнализации и пожаротушения, умение правильно ими пользоваться;
) знание места и характера проводимых работ на объекте, времени их
начала и окончания.
.1.4 Мероприятия по эвакуации из помещений здания спорткомплекса
1) эвакуация производится по сигналу, подаваемому через
громкоговорители, расположенные в спортивных залах, коридорах, складских и
подсобных помещениях, либо по распоряжению администрации. Эвакуируются все
работники и посетители, находящиеся в здании. Контроль ведут сотрудники СБ,
специалисты видео наблюдения, которые контролируют убытие людей и их
количество. Данные сотрудники убывают в последнюю очередь, предварительно
проверив все помещения на наличие оставшихся людей, после этого докладывают
администрации количество эвакуированных.
2) эвакуация должна происходить организованно: без разговоров, без
шума, суеты.
5.2 Порядок действий в возможных критических и чрезвычайных ситуациях в
спорткомплексе в результате проведения диверсионно-террористиче-ких акций или
экстремистских проявлений
.2.1 Пожар (возгорание, задымление)
При пожаре (возгорании, задымлении) сотрудник, который стал свидетелем
происшествия, должен объективно оценить масштабы происшествия и немедленно
доложить администрации о ситуации. Администрация и сотрудники СБ должны
сообщить о случившимся в единую службу спасения и при необходимости в дежурную
часть полиции, принять меры к оповещению всех находившихся лиц в
спорткомплексе, а также вблизи с ним. По прибытии пожарных расчетов сотрудники
должны встретить их и указать наиболее короткие пути к очагу пожара, а также
места расположения пожарных кранов. После ликвидации пожара организовать
усиление пропускного режима на территорию объекта с целью недопущения
несанкционированного выноса имущества, материальных ценностей. Все действия нужно
производить оперативно, организованно и без паники.
.2.2 Взрыв
При взрыве на территории спорткомплекса сотрудник, ставший свидетелем
происшествия, должен сообщить о происшествии администрации и сотрудникам СБ. Те
же в свою очередь должны сообщить о случившемся в единую службу спасения,
дежурную часть полиции или службу ФСБ. Должны быть приняты меры к оповещению
всех находившихся лиц в спорткомплексе, а также вблизи с ним, в кратчайшие
сроки организованы меры по эвакуации из опасной зоны посетителей и сотрудников
комплекса и по защите материальных ценностей от распространения огня (при
наличии). При наличии возгораний осуществлять действия в соответствии с
п.5.2.1.
5.2.3 Получение угроз по телефону
Сотрудник спорткомплекса должен реагировать на каждый поступивший
телефонный звонок. В процессе разговора не вдаваться в панику, быть выдержанным
и вежливым, не прерывать говорящего, стараться дословно запомнить разговор и
зафиксировать его на бумаге, по ходу разговора отметить пол, возраст звонившего
и особенности его речи. Также обязательно отметить звуковой фон (шум автомашин
или железнодорожного транспорта, звук теле- или радиоаппаратуры, посторонние
голоса и другое), обязательно зафиксировать точное время начала разговора и его
продолжительность, если возможно, еще в процессе разговора сообщить о нем
правоохранительным органам. После звонка нужно сообщить о нём администрации и
сотрудникам СБ. Если сотрудник еще не совершил звонок правоохранительным
органам - сообщить о звонке. Сотрудники СБ и администрации при необходимости
должны эвакуировать посетителей и сотрудников и обеспечить беспрепятственную
работу оперативно-следственной группы. Запрещается самовольно распространять
сведения о факте разговора и его содержании. Необходимо максимально ограничить
число людей, владеющих информацией.
.2.4 Обнаружение подозрительных бесхозных предметов
Сотрудник, нашедший подозрительный предмет, должен внимательно, визуально
(не трогая), осмотреть обнаруженный предмет (сумку, коробку и т.п.), выяснить,
не принадлежит ли он кому-либо из посетителей или сотрудников, зафиксировать
время его обнаружения. Если владелец не найден - сообщить всю информацию о
находке сотрудникам администрации и СБ. Они же должны сообщить в
правоохранительные органы, а так же обеспечить присутствие лиц, обнаруживших
находку, до прибытия оперативно-следст-венной группы и фиксацию их установочных
данных. При необходимости до прибытия оперативно-следственной группы необходимо
организовать отсутствие подхода людей к месту обнаружения бесхозного предмета,
организовать размещение посетителей и сотрудников на безопасном расстоянии от
обнаруженного предмета, провести эвакуацию посетителей и персонала за пределы
помещений (на улицу) в соответствии с п. 5.1.4. Запрещается прикасаться к этому
предмету, накрывать чем-либо и перемещать его, пользоваться вблизи предмета
средствами радио и сотовой связи. При обнаружении предмета с отравляющими
веществами необходимо организовать оцепление возле подозрительного предмета на
безопасном удалении (за естественными укрытиями, обеспечив средствами
индивидуальной защиты), немедленную эвакуацию сотрудников и покупателей на
безопасное удаление в сторону противоположную направлению ветра, обеспечение
дополнительной вентиляции помещений за счет открытия окон и дверей, при
готовности применение первичных средств нейтрализации (гашенная известь,
аммиачная вода, каустическая сода (едкий натр) и т.п.). Так же необходимо
обеспечить возможность беспрепятственного подъезда к месту обнаружения
подозрительного предмета автомашин правоохранительных органов, скорой
медицинской помощи, пожарной охраны, спасательных служб, служб эксплуатации. По
прибытии сотрудников наряда милиции указать место нахождения подозрительного
предмета. После обезвреживания (устранения опасности) организовать продолжение
работы спорткомплекса.
.2.5 Попытка захвата (захват) объекта, заложников
Сотрудник, ставший свидетелем захвата, должен вне зоны видимости
захватчика сообщить о происшествии администрации и сотрудникам СБ. В особо
критической ситуации попытаться сообщить о происшествии в службу спасения.
Сотрудники спорткомплекса не должны допускать действий, которые могут
спровоцировать нападавших к применению оружия и привести к человеческим
жертвам. При необходимости выполнять требования преступников, если это не связано
с причинением ущерба жизни и здоровью людей, не противоречить преступникам, не
рисковать жизнью окружающих и своей собственной. Администрация должна
организовать меры к беспрепятственному проходу (проезду) на объект сотрудников
правоохранительных органов спасательных служб, автомашин медицинской помощи. По
прибытии сотрудников спец. подразделений (ФСБ, МВД) оказать им помощь в
получении интересующей информации.
Категорически запрещается самостоятельно вступать в переговоры с лицами,
совершившими попытку захвата.
.2.6 Массовые беспорядки, проявление экстремизма
При возникновении беспорядков среди посетителей сотрудники бассейна
должны незамедлительно сообщить о происходящем администрации и сотрудникам СБ.
Они же в свою очередь - в дежурную часть полиции или другие службы. При
возможности провести разъяснительную работу с нарушителями порядка. При
возникновении беспорядков за территорией здания необходимо не допустить
проникновения участников массовых беспорядков в здание и исключить подход
посетителей и сотрудников спорткомплекса к окнам. Все действия производить
оперативно, организованно, без паники.
6. Экологический раздел
.1 Меры по охране окружающей среды при строительстве объекта
Одна из основных проблем, с которой сталкиваются в процессе возведения
зданий и сооружений, - это проблема воздействия разнообразных факторов
строительного производства на имеющуюся окружающую среду.
Проект предполагает обнесение строительной площадки деревянным забором,
обшитым профилированным листом.
Для защиты проезжих частей и расположенных рядом территорий от
загрязнения на выезде со строительной площадки располагается пункт очистки
колес автотранспортных средств.
Большое негативное воздействие
строительные процессы оказывают на атмосферный воздух: выхлопы и горюче-смазочные
материалы строительной техники и запыление при проведении строительных работ.
Для сокращения негативного воздействия
строительства на атмосферный воздух рекомендуется:
) одновременная работа не более 1 -
2 механизмов;
2) полив территории в теплые, сухие,
солнечные дни для уменьшения запыленности воздуха;
3) корректная эксплуатация двигателей
и др.
С целью уменьшения уровня шума на строительной площадке используются
машины и механизмы с минимальными шумовыми характеристиками, малую механизацию
переводят на электропривод, временно ограничивают наиболее шумные работы
(запрет работ ночью). Например: вибропогружение или использование
бурозавинчивающихся свай заменяют погружение свай ударным способом.
Строительство объекта чревато скоплением огромного количества
строительного мусора, что при недостаточном контроле приводит к загрязнению
строительной площадки и прилегающей территории. Для сбора мусора проект
предусматривает установку металлических контейнеров, вывозимых по мере
заполнения на полигоны, свалку или пункты приёма отходов строительных
материалов. Крупногабаритный мусор или бракованные строительные конструкции
помещаются в предусмотренное место для их хранения и последующего вывоза,
возможна также альтернативная утилизация - к примеру, использование при
возведении подсобных сооружений и т.д.
Выброс технического мусора из оконных или дверных проемов на строительную
площадку при уборке помещений верхних этажей от мусора строго запрещается. С
целью более грамотной транспортировки такого мусора используются подъемники.
Во время строительства объекта нужно решать важную проблему отвода
поверхностных и производственных вод. При составлении проекта и получении
технических условий на водоотведение необходимо определить планируемый объём
стоков. При осуществлении отделочных работ грязную строительную воду, цементное
молочко ежедневно собирают в передвижные отстойники, а затем утилизируют на
специальные свалки, благодаря чему не допускается попадание загрязнителей в
общую канализационную сеть
Процесс строительства объектов нарушает естественное состояние почв и
рельефа местности. По этой причине проект строительства предусматривает
рекультивацию земель. Во время подготовительных работ уделяется особое внимание
сбору и сохранности растительного грунта и плодородных слоёв. Сохранить снятый
плодородный слой почвы - значит защитить его от загрязнения и засорения
строительными отходами, исключить вероятность его соединения с нерастительным
грунтом при срезке, транспортировке или после укладки в гурты.
Сыпучие строительные материалы: цемента,
извести, песка, щебня, гипса и пр. требуют особого хранения. Для них на
строительной площадке предусмотрено строительство временного склада, не
допускающего распыления или растекания материалов.
6.2 Меры по охране окружающей среды при эксплуатации объекта
Во время эксплуатации воздействие на
атмосферный воздух будут оказывать выхлопы автотранспорта в пределах допустимых
величин и не внесут значительных изменений в экологическую обстановку района.
Водоснабжение здания во время эксплуатации
устроено из городской сети водоснабжения с полным циклом очистки и
обеззараживания воды. Хозфекальные воды сбрасываются по общегородским сетям
канализации на очистные сооружения, где проходят полный цикл очистки и
утилизации.
На выбранной местности имеются зеленые насаждения. Для
свободной от застройки и покрытий территории предусмотрено озеленение
кустарниками, газоном, деревьями с учетом трассировки подземных инженерных
сетей и соблюдением нормативных разрывов до зданий и сооружений.
На территории комплекса имеется площадка с мусорными
баками для сбора мусора из здания.
7. Научно-исследовательский раздел
В ходе дипломного проектирования при расчете и конструировании узлов
стропильной фермы для упрощения работы была создана программа на основании приложения
Л [3] на базе Microsoft Exсel. Алгоритм
расчетов приведен в п. 2.2 раздела 2.
Программа позволяет проверить несущую способность стенки пояса, несущую
способность боковой стенки пояса в плоскости узла в месте примыкания сжатого
элемента решетки, несущую способность элемента решетки в месте примыкания к
поясу, прочность сварных швов в местах прикрепления элемента решетки к поясу.
Исходные данные, необходимые для расчета, представлены в таблице 7.1.
Таблица 7.1 - Исходные данные
|
Наименование
|
Обозначения
|
Ед. изм.
|
|
1
|
2
|
3
|
|
Сопротивление стали
|
Ryd
|
т/см2
|
|
Сопротивление стали
|
Ry
|
т/см2
|
|
Площадь поперечного сечения
|
A
|
см2
|
|
Толщина стенки пояса
|
t
|
см
|
|
Ширина сечения пояса
|
D
|
см
|
|
Высота сечения пояса
|
Db
|
|
Площадь поперечного сечения
решетки
|
Ad
|
см2
|
|
Толщина стенки решетки
|
td
|
см
|
|
Ширина сечения решетки
|
d
|
см
|
|
Высота сечения решетки
|
db
|
см
|
|
Угол между поясом и
примыкающим элементом
|
α
|
°
|
|
Длина участка db/sinα
|
b
|
см
|
|
Половина расстояния между
смежными стенками элементов решетки
|
g
|
см
|
|
Продольная сила в поясе
|
F
|
т
|
|
Продольное усилие в
примыкающем элементе
|
N
|
т
|
|
Изгибающий момент в
примыкающем элементе
|
М
|
тcм
|
|
Размер от края пояса к краю
примыкающего элемента
|
f
|
см
|
|
Коэффициент условий работы
согласно поз. 1,2 табл. 6 [3]
|
γс
|
|
|
Коэффициент влияния знака
усилия в примыкающем элементе равен 1.2 при растяжении и 1 в других случаях
|
γd
|
|
|
Коэффициент влияния
продольной силы в поясе
|
γD
|
|
При проверке несущей способности стенки пояса и несущей способности
элемента решетки в месте примыкания к поясу расчет производится дважды. Из
полученных результатов выбирается подходящий вариант для данной ситуации. Этот
выбор зависит от отношения g/b (п. Л2.2 приложения Л [3]). Пример оформления
результата расчета несущей способности стенки пояса приведен на рисунке 7.1.
Результат «Good!» означает, что расчет является
удовлетворительным, в противном случае появляется слово «Bad».
Рисунок 7.1 - Пример оформления результата расчета несущей способности
стенки пояса
По таблице 38 [3] в зависимости от класса стали, вида соединения, толщины
наиболее толстого элемента выбирается минимальный катет сварного шва. В
программе определяется расчетом максимальный катет. В пределах этих двух
значений выбирается проектный размер катета шва. Затем проверяется прочность
шва.
В расчете несущей способности стенки пояса также выполняются два расчета.
Исходя из условий п. Л2.2 приложения Л [3], выбирается расчетный случай.
Результат «Good!» означает, что расчет является
удовлетворительным, в противном случае появляется слово «Bad». Пример оформления результата
проверки прочности сварных швов в местах прикрепления элемента решетки к поясу
приведен на рисунке 7.2.
Рисунок 7.2 - Пример оформления результата проверки прочности сварных
швов в местах прикрепления элемента решетки к поясу
Заключение
Данная дипломная работа включает в себя следующие разделы:
архитектурно-строительный, расчетно-конструктивный, технологический,
организационный, безопасности жизнедеятельности и экологический.
В архитектурном разделе представлены теплотехнические расчеты ограждающих
конструкций, чертежи фасадов здания, планов этажей, разрезов и конструктивное
решение здания.
Расчетно-конструктивный раздел включает сбор нагрузок, расчет фермы
пролетом 30м, подбор сечения, расчет и конструирование узлов, спецификацию.
В технологической части рассмотрена схема монтажа металлического каркаса
большепролетной части здания. Подобран кран и необходимые приспособления для
совершения монтажных работ. Организационный раздел предусматривает разработку
стройгенплана участка.
Раздел безопасности жизнедеятельности затрагивает такой важный вопрос
как: мероприятия и действия персонала при угрозе возникновения чрезвычайных
ситуаций.
В экологическом разделе я рассмотрела возможные меры по защите окружающей
среды при строительстве и эксплуатации объекта.
Список использованной литературы
1. СП 42.13330.2011
Градостроительство. Планировка и застройка городских и сельских поселений: утв.
приказом Министерства регионального развития Российской Федерации (Минрегион
России) от 28 декабря 2010 г. N 820
<#"902628.files/image338.gif">
Рисунок А.1 - Геометрическая схема стропильной фермы
Рисунок А.2 - Расчетная схема фермы
Расчетная схема ФС и нумерация стержней приведены на рисунке А.2.
Соединение стержней в узлах предварительно принято шарнирным.
Расчет фермы производится по всем правилам строительной механики:
) проводится анализ геометрической неизменяемости и неподвижности;
) изображается схема, и определяются опорные реакции;
) изображается схема с узловой передачей нагрузки;
) определяются усилия во всех стержнях фермы
) результаты сводятся в таблицу А.1
Исходные данные для статического расчета:
Рисунок А.3 - Расчетные геометрические характеристики
Таблица А.1 -Расстояния между узлами
|
Расстояния
между узлами
|
h(плечо)
|
1996
|
|
1500
|
|
Узел
|
|
|
|
|
|
3000
|
|
1
|
1
|
2
|
3
|
4
|
5
|
|
|
Ra
|
F1
|
F
|
F
|
F
|
F
|
|
|
38,3
|
3,83
|
7,65
|
7,65
|
7,65
|
7,65
|
|
|
1500
|
1500
|
0
|
0
|
0
|
0
|
|
|
4500
|
4500
|
1500
|
0
|
0
|
0
|
|
|
7500
|
7500
|
4500
|
1500
|
0
|
0
|
|
|
10500
|
10500
|
7500
|
4500
|
1500
|
0
|
|
|
13500
|
13500
|
10500
|
7500
|
4500
|
1500
|
|
|
15000
|
15000
|
12000
|
9000
|
6000
|
3000
|
|
|
12000
|
12000
|
9000
|
6000
|
3000
|
0
|
|
|
9000
|
9000
|
6000
|
3000
|
0
|
0
|
|
|
6000
|
6000
|
3000
|
0
|
0
|
0
|
|
|
3000
|
3000
|
0
|
0
|
0
|
0
|
|
Таблица А.2 - Усилия в стержнях фермы, кН
|
Элемент фермы
|
Обозначение
стерж.
|
Геом. длина
|
Пост. нагрузка
|
Снег. нагрузка
|
|
пост
|
снег
|
Усилия
|
|
|
|
|
|
|
|
|
|
|
|
|
Верхний пояс
|
1-2
|
3007
|
-58,03
|
-167,09
|
F1
|
6,915
|
21,168
|
-225,12
|
|
|
2-3
|
3007
|
-161,20
|
-464,15
|
F
|
13,83
|
42,336
|
-625,34
|
|
|
3-4
|
3007
|
-238,57
|
-686,94
|
Ra
|
69,15
|
211,68
|
-925,51
|
|
|
4-5
|
3007
|
-290,16
|
-835,46
|
|
|
|
-1125,62
|
|
|
5-6
|
3007
|
-315,95
|
-909,73
|
|
|
|
-1225,68
|
|
|
Нижний пояс
|
17-18
|
1503
|
322,39
|
928,29
|
|
|
|
1250,69
|
|
|
18-19
|
3007
|
309,50
|
891,16
|
|
|
|
1200,66
|
|
|
19-20
|
3007
|
270,81
|
779,77
|
|
|
|
1050,58
|
|
|
20-21
|
3007
|
206,33
|
594,11
|
|
|
|
800,44
|
|
|
21-22
|
3007
|
116,06
|
334,19
|
|
|
|
450,25
|
|
|
Раскосы
|
1-22
|
2420
|
99,12
|
285,41
|
|
|
|
384,54
|
|
|
2-22
|
2580
|
-92,92
|
-267,54
|
|
|
|
-360,46
|
|
|
2-21
|
2420
|
77,10
|
221,99
|
|
|
|
299,08
|
|
|
3-21
|
2580
|
-72,27
|
-208,09
|
|
-280,36
|
|
3-20
|
2420
|
55,07
|
158,56
|
|
213,63
|
|
4-20
|
2580
|
-51,62
|
-148,63
|
|
-200,25
|
|
4-19
|
2420
|
33,04
|
95,14
|
|
128,18
|
|
5-19
|
2580
|
-30,97
|
-89,18
|
|
-120,15
|
|
5-18
|
2420
|
11,01
|
31,71
|
|
42,73
|
|
6-18
|
2580
|
-10,32
|
-29,73
|
|
-40,05
|
|
Стойка
|
6-17
|
2000
|
44,97
|
129,48
|
|
174,45
|
|
|
|
|
|
|
|
|
|
|
|
|
|
Приложение 2
Расчет и конструирование узлов из ЗГСП
Расчет и конструирование узлов из ЗГСП производится на основании
приложения Л [3].
Для упрощения и экономии времени расчет производится в созданной
программе на базе EXCEL Office. Программа позволяет проверить
несущую способность стенки пояса, несущую способность элемента решетки в месте
примыкания к поясу, а также подобрать катет шва и проверить прочность швов в
местах прикрепления элемента решетки к поясу.
Рисунок Б.1 - Узлы ферм из гнутосварных профилей:
а - К-образный при треугольной решетке; б - то же, при раскосной решетке;
в - опорный; г - У-образный