Технология возведения гостиницы с кафе-баром и рестораном
Введение
строительство кран монтажный
Тема курсового проекта: «Технология
возведения гостиницы с кафе - баром и рестораном».
Возведение зданий и сооружений
складывается из ряда строительных работ, которые в свою очередь подразделяются
на отдельные процессы. При этом выполнение строительных работ осуществляется в
определённой технологической последовательности: подготовительные работы -
производство работ подземной части или так называемые “нулевые циклы”;
возведение надземной части; отделочные работы; благоустройство территории.
В целях сокращения сроков
строительства эти виды работ совмещают по времени, т.е. осуществляют поточным
методом, что позволяет более эффективно использовать машины и механизмы,
повысить производительность труда и снизить стоимость строительства.
Монтаж строительных конструкций
является ведущим технологическим процессом, который во многом определяет
структуру объектных потоков, общий темп строительства объекта, порядок и методы
производства других видов работ.
При этом необходимо иметь в виду,
что выполнение всех видов строительных работ, включая и монтаж конструкций,
должно быть увязано в единый технологический процесс - поток, конечной целью
которого является получение готовой продукции в виде здания и сооружения.
Поточный метод строительства основан на применении принципов непрерывности и
равномерного выполнения процессов в строительном производстве. Для организации
поточного производства необходимо разделить общий фронт строительства на
отдельные захватки. Захватки выбирают таким образом, чтобы трудоёмкость работ
на каждой из них отличалась не более чем на 15-20%, что обеспечивает примерно
одинаковую продолжительность работ на каждой захватке.
Затем назначают потоки и определяют
их направления, для чего весь комплекс работ по строительству объектов
расчленен на составляющие строительные процессы и закреплён каждый из них за
бригадами или звеньями, максимальное совмещение во времени и пространстве,
выполнение этих процессов по захваткам.
Целью технологического
проектирования является разработка оптимальных технологических и
организационных условий для выполнения строительных процессов, обеспечивающих
выпуск строительной продукции в намеченные сроки при минимальном использовании
всех видов ресурсов.
Оптимальное решение строительного
процесса - это нахождение наилучших из всех возможных сочетаний параметров и
вариантов процесса. Для этого производят необходимые расчёты, составляют
спецификации и калькуляции, выполняют чертежи, схемы, графики, делают
необходимые описания.
Разработку строительных процессов
оформляют в виде технологических карт, карт трудовых процессов строительного
производства, которые входят составной частью в проект производства работ
(ППР).
Проектирование строительных
процессов при возведении конкретных зданий предусматривает:
) разработка технологических
вариантов строительных процессов и принятие наиболее эффективных по
технико-экономическим показателям;
) выполнение строительного
процесса в пространстве и во времени;
) расчет технологической
надёжности строительного производства;
Выявление закономерностей
строительного процесса, расчёт технологических параметров и
технико-экономических показателей позволяют разработать необходимые документы,
регламентирующие функционирование строительного процесса. К таким документам относят:
технологические карты и карты трудовых процессов строительного производства
Конечной целью технологического
проектирования является:
) уменьшение времени на
проектирование процессов;
) сокращение длительности и
трудоёмкости технологической подготовки производства;
) повышение
производительности труда и снижение себестоимости строительного производства.
1. Исходные данные
Объект строительства - гостиница с
кафе - баром и рестораном
Здание с цокольным этажом.
Конструктивная схема - бескаркасная
с несущими поперечными стенами.
Фундамент-ленточный из ж/б блоков.
Стены - кирпич.
Перекрытие - ж/б сборные плиты.
Кровля - вальмоваяиз профнастила.
Район строительства - с.
Краснотуранск.
Дальность поставки материала - 8 км.
Рисунок 1. План 1 этажа
Рисунок 2. План 2-5 этажа
Рисунок 3.Разрез 1-1
2. Определение
продолжительности строительства
Определяем строительный объем
здания:
где
- площадь вертикальных поперечных сечений;
-
длинна здания.
По СНиП 1.04.03-85* Часть IIобщая нормативная
продолжительность строительства -9 месяцев, том числе подготовительного периода
0,5 месяца.
3. Спецификация
сборных элементов
Элементы основных несущих
конструкций сведены в таблицу 1.
Таблица 1. Ведомость сборных
элементов
|
Наименование элементов
|
Эскиз, основные размеры
|
Марка элемента
|
Кол-во шт.
|
Масса, т
|
|
|
|
|
1 эл.
|
Всех эл.
|
|
Фундаментные подушки
|
|
|
|
|
|
|
L= 2380 мм; В=800 мм; Н=300 мм
|
ФЛ 8.24-3
|
30
|
1,395
|
41,85
|
|
L= 1180 мм; В=800 мм; Н=300 мм
|
ФЛ 8.12.3
|
4
|
0,685
|
2,74
|
|
L= 2380 мм; В=1000 мм; Н=300 мм
|
ФЛ 10.24-3
|
18
|
1,520
|
27,36
|
|
Блоки стен подвалов
|
|
|
|
|
|
|
L=2380 мм; В=500 мм; Н=580 мм
|
ФБС 24.5.6-Т
|
49
|
1,630
|
79,87
|
|
L=1180 мм; В=500 мм; Н=580 мм
|
ФБС 12.5.6-Т
|
41
|
0,790
|
32,39
|
|
L=880 мм; В=500 мм; Н=580 мм
|
ФБС 9.5.6-Т
|
8
|
0,590
|
4,72
|
|
L=2380 мм; В=500 мм; Н=580 мм
|
ФБС 24.4.6-Т
|
17
|
0,590
|
10,03
|
|
L=1180 мм; В=400 мм; Н=580 мм
|
ФБС 12.4.6-Т
|
17
|
0,640
|
10,88
|
|
L=880 мм; В=400 мм; Н=580 мм
|
ФБС 9.4.6-Т
|
5
|
0,470
|
2,35
|
|
Плита перекрытия
|
|
|
|
|
|
|
L=7180 мм; В=1190 мм; Н=220 мм
|
ПК 72.12-8
|
82
|
2,880
|
236,16
|
|
L=7180 мм; В=990 мм; Н=220 мм
|
ПК 72.10-8
|
56
|
2,077
|
116,312
|
|
L=6280 мм; В=1190 мм; Н=220 мм
|
ПК 63.12-8
|
38
|
2,210
|
83,98
|
|
L=6280 мм; В=990 мм; Н=220 мм
|
ПК 63.10-8
|
4
|
1,825
|
7,3
|
|
Лестничные марши
|
|
|
|
|
|
|
А=3913 мм; В=1500 мм; Н=1650 мм
|
ЛМФ 39.15.17-5
|
14
|
1,550
|
21,7
|
|
Лестничные площадки
|
|
|
|
|
|
|
L=1540 мм; В=1490 мм; Н=240 мм
|
ЛПФ 15.15в-5
|
5
|
0,76
|
3,8
|
|
Перегородки (газобетонные блоки)
|
|
|
|
|
|
|
L=600мм; В=200 мм; Н=250 мм
|
Сибит
|
724
|
0,018
|
0
|
|
Стены (кирпич силикатный)
|
|
|
|
|
|
|
L=250мм; В=120 мм; Н=65 мм
|
М 100
|
492,4
|
0,0035
|
883,8
|
Внутренние стены (кирпич
силиатный
М
100283,1
|
0,0035508,13
|
|
|
|
|
|
|
L=250мм; В=120 мм; Н=65 мм
|
|
|
|
|
|
Перемычки
|
|
|
|
|
|
|
L= 1810 мм; В=510 мм; Н=220 мм
|
6ПП18-72 АтV
|
97
|
0,508
|
49,276
|
|
L= 2070 мм; В=510 мм; Н=220 мм
|
6ПП21-72 АтV
|
8
|
0,581
|
4,648
|
|
L= 2720 мм; В=510 мм; Н=220 мм
|
6ПП27-72 АтV
|
4
|
0,763
|
3,052
|
|
L= 1290 мм; В=120 мм; Н=140 мм
|
2ПБ13-1
|
130
|
0,054
|
7,02
|
|
L= 1160 мм; В=380 мм; Н=90 мм
|
7ПП12-3
|
39
|
0,100
|
3,900
|
|
L=2460 мм; В=380 мм; Н=190 мм
|
8ПП25-8
|
4
|
0,444
|
1,776
|
|
L=3500 мм; В=380 мм; Н=290 мм
|
5ПГ35-17
|
1
|
0,805
|
0,805
|
Вывод: После подбора элементов и
конструкций выяснилось, что самый тяжелый и он же самый габаритный элемент это
плита перекрытия, ее вес составляет 2,880 т, а ее размеры составляют 7,2×1,2 метра.
4. Определение
объемов работ
Ведомость объемов работ заполняется
в последовательности, соответствующей проектируемой технологии возведения
объекта. Ведомость представлена в таблице 2 и 3.
Таблица 2. Ведомость объемов
земляных работ
|
№ п/п
|
Наименование процесса
|
Ед. изм.
|
Общее кол.
|
Эскизы, формулы и правила подсчёта
|
|
1
|
Предварительная планировка площадки
|
100
|
0,59
|
F=B+L; B=14,6+10=24,6; L=24,4+10=34,4; F=24,6+34,4=59
|
|
2
|
Срезка растительного слоя
|
1000
|
0,012
|
H=0,2м. V=F×H. V=59×0,2=11,8
|
3 Разработка
грунта экскаваторами
1032,23 
|
|
|
|
4
|
Разработка грунта вручную
|
|
72,26
|
|
|
6
|
Обратная засыпка пазух котлована
|
|
1013,825
|
м3 м3
|
Таблица 3. Ведомость объемов
надземных работ
|
№ п/п
|
Наименование процесса
|
Единицы измерения объема
|
Количество работ на этаж
|
Количество работ на здание
|
Примечания (формулы подсчета; ссылки на чертежи)
|
|
1
|
Наружные стены
|
|
1.1
|
Кладка стен из кирпича (толщина 380 мм)
|
|
142,21
|
775,5
|
(Общая длина стены × высоту стены× толщина стены) - объем проемов (127,5×3,3×0,38×5) -24,075=775,5
|
|
1.2
|
Укладка утеплителя из пенополистирола ПСБ-С35 толщиной 150мм
|
|
230,1
|
1150,5
|
Общая длина стены × высоту стены - площадь проемов 82
× 3,3 - 40,5 = 230,1
|
|
1.3
|
Облицовка наружной стены панелями с различными декоративными
покрытиями
|
м2
|
230,1
|
1150,5
|
Общая длина стены × высоту стены - площадь проемов 82
× 3,3 - 40,5 = 230,1
|
|
1.4
|
Укладка сборных железобетонных перемычек
|
.
|
50
|
283
|
Согласно табл. 1 п.2
|
|
2
|
Внутренние стены
|
|
2.1
|
Кладка перегородок из газобетонных блоков (сибита)
|
|
54,12
|
423,72
|
(Общая длина стены × высоту стены × толщина стены) - объем проемов (106 × 3,3×0,2) -15,84=54,12
|
|
3
|
Оборудование оконных проемов
|
|
3.1
|
Установка оконной столярки с остеклением в три нитки
|
|
40,5
|
232,5
|
Суммарная площадь, занимаемая оконными проемами
|
|
4
|
Устройство кровли
|
|
4.1
|
Укладка пароизоляции (изол)
|
|
-
|
438
|
Общая площадь кровли (план типового этажа)
|
|
4.2
|
Устройство утепляющего слоя.
|
|
-
|
438
|
Общая площадь кровли (план типового этажа)
|
|
4.3
|
Устройство стяжки толщиной 50 мм.
|
|
-
|
438
|
Общая площадь кровли (план типового этажа)
|
|
4.4
|
Устройство гидроизоляции (гидроизол) 2 слоя
|
|
-
|
443
|
Общая площадь кровли с учетом запусков (план типового этажа)
|
|
5
|
Подготовка стен под чистовую отделку
|
|
951,72
|
6099,72
|
Суммарная длина внутренней поверхности всех стен × высоту стены (план
типового этажа) 288,4 × 3,3= 951,72
|
|
6
|
Подготовка потолков под чистовую отделку
|
|
309,58
|
1897,14
|
-
|
|
7
|
Устройство скрытой проводки групп освещения и розеточной
|
м
|
1240
|
7590
|
Из расчета на 10 приходится 40 м провода. 309,58/10
× 40 = 1240 м
|
|
8
|
Монтаж поэтажных электрических и слаботочных щитов
|
шт.
|
2
|
12
|
Из расчета 2 щитка на один этаж
|
|
9
|
Устройство подготовки под полы
|
|
9.1
|
Подготовка основания под устройство полов
|
|
323,4
|
1940,4
|
Общая площадь пола за вычетом площади лестничной клетки и
лифтовых шахт (план типового этажа)
|
|
9.2
|
Укладка пароизоляции
|
|
299,18
|
1841,82
|
Из расчета площади пола на типовом этаже за вычетом площади
лифтовой шахты и площади, занимаемой стенами ×
на количество этажей (план типового этажа)
|
|
9.3
|
Устройство песчаного основания толщиной 100 мм
|
|
299,18
|
1841,82
|
То же самое
|
|
9.4
|
|
299,18
|
1841,82
|
То же самое
|
|
10
|
Установка межкомнатных дверей
|
|
72,8
|
159,25
|
Общая площадь межкомнатных дверных проемов на этаже × количество этажей
(план типового этажа)
|
|
11
|
Установка входных дверей
|
|
3,75
|
6,275
|
Общая площадь входных дверных проемов на этаже (план типового
этажа)
|
|
12
|
Устройство полов из плитки ПХВ или линолеума
|
|
299,18
|
1841,82
|
-
|
|
13
|
Чистовая отделка потолков
|
|
309,58
|
1897,14
|
-
|
|
14
|
Устройство поэтажных пожарных щитов
|
шт.
|
2
|
12
|
Из расчета по 2 щита на этаж, исходя из количества отсеков × количество этажей
|
|
15
|
Масляная покраска стен
|
|
481,8
|
5629,8
|
Суммарная длина внутренней поверхности всех стен общего
пользования × высоту
стены (план типового этажа) 146 × 3,3 = 481,8
|
|
16
|
Наклейка бумажных обоев
|
|
469,92
|
469,92
|
Суммарная длина внутренней поверхности всех стен за вычетом стен
общего пользования × высоту стены (план типового этажа) 951,72 - 146×3,3 = 469,92
|
. Выбор
грузозахватных и монтажных приспособлений
При монтаже стропильных конструкций
используют грузозахватные устройства (траверсы, стропы) для подъема сборных
элементов; технические средства для выверки и предварительного закрепления
конструкций; оснастку, обеспечивающую удобную и безопасную работу монтажников
на высоте.
Выбор грузозахватных устройств,
технических средств для предварительного закрепления и выверки конструкций,
монтажных приспособлений производят по приложению, таблица 6 [2], приведено в
таблице 4.
Таблица 4. Ведомость грузозахватных
приспособлений
|
№ п/п
|
Наименование приспособления
|
Назначение
|
Эскиз
|
Грузоподъемность т
|
Масса ,т
|
Высота строповки , м
|
|
1
|
Строп 4СК-3,2
|
Строповка плит перекрытия и покрытия
|
|
3,2
|
0,08
|
1,94
|
|
2
|
Строп 4СК-2,0
|
Строповка лестничных площадок, фундаментных плит, ящика с
раствором
|
|
2,00
|
0,02
|
1,85
|
3 Строп
4СК-2,0 Строп УСК1-3,2 Строповка лестничных маршей
2,30,0223,4
|
|
|
|
|
|
4
|
Тара для раствора бетона и сыпучих материалов
|
Приём раствора бетона
|
V=0,25 (1310×810×560) мм
|
0,63
|
0,05
|
-
|
|
5
|
Бадья для бетона «Туфелька»
|
Приём-подача раствора бетона
|
V=1 (3570×1524×615) мм
|
2,8
|
0,468
|
-
|
|
6
|
Приставная лестница с площадкой ПК Главсталь-конструкция, 220
|
Обеспечение рабочего места на высоте
|
|
0,11
|
-
|
-
|
6. Выбор монтажного
крана
Открытые конструкции можно
монтировать при наименьших вылетах стрелы, т.е. рационально использовать
грузоподъемность и высоту подъема крюка крана.
Монтажная высота подъема крюка
крана:
(6.1)
где
-
отметка (от уровня стоянки крана до опоры), на которую устанавливают элемент,
м;
- высота подъема
элементов над опорой (0.5
1.0
м);
- высота монтируемого
элемента, м;
- расчетная высота
захватного приспособления над монтируемым элементом.
Минимальная длина стрелы
крана определится из следующего выражения:
(6.2)
, (6.3)
где
- высота опорного шарнира стрелы (=1.5 м).
20,8+1,0+0,3+1-1,5=21,6
м
, (6.4)
где
- высота полиспаста (в расчетах принимается равной 1,5 м).
4,5+1,5-1=5
м
гдеb - ширина монтируемой конструкции.
Минимальная длина стрелы и
соответственно максимальная длина гуська определяется из выражений:
Оптимальные размеры стрелы и гуська
определяются из следующих выражений:
Максимальный вылет крюка
определяется по формуле:
т.к. масса элементов перекрытия
2,88т, то принимаем кран МКА-10м
=27,5
м;
=7,1 м; Q=2,4-13,5 т;
=27,3-27 м;
=4-15,0
м.
График грузоподъемности крана МКА -
10м представлен на рисунке 4.
Рисунок 4. График грузоподъемности
По эталонным характеристикам и
графику кривой грузоподъемности принимаем монтажный кран МКА-10м с длиной
стрелы 27,5м.
7. Выбор и расчет
транспортных средств
Транспортирование конструкций в
пределах монтажной зоны существенно влияет на экономическую эффективность
монтажа. Поэтому важно правильно выбрать тип и рассчитать количество требуемых
средств, наметить схемы их выезда из монтажной зоны, места стоянок крана и
транспортных средств, а также обеспечить бесперебойную доставку конструкций к
месту работы. При выборе транспортных средств, исходя из массы и габаритов
монтажных элементов, состояния дорог и т.д.
В курсовом проекте принята доставка
конструкций автомобильным транспортом.
Количество транспортных средств
определяем исходя из объема конструкций подлежащих перевозки, дальности
транспортирования, грузоподъемности транспортных средств и необходимости
обеспечения бесперебойной работы монтажного крана.
При перевозке однотипных изделий
время, расходуемое транспортом за один оборот, рассчитывается по формуле:
где
- время в пути;
=6 мин.
- время, расходуемое на прицепку в течение одного оборота в среднем;
=6 мин.
- время, расходуемое на отцепку в течение одного оборота в среднем;
=7 мин.
- время на маневрирование и прочие организационные мероприятия в течение одного
оборота.
Таблица 5. Данные расчета
автотранспортных средств по доставке строительных конструкций
|
Наименование перевозимого груза
|
Ед. изм.
|
Кол-во
|
Вес, т
|
Сведения о выбранных автомобилях
|
|
|
|
Единицы
|
Всего
|
Марка
|
Грузоподъемность, т
|
Количество маш.- смен
|
Количество деталей
|
Кол-во автомобилей
|
|
Фундаментные плиты
|
шт.
|
52
|
1,38
|
71,95
|
КамАЗ-5410
|
20
|
3
|
14
|
1
|
|
Блоки стен подвала
|
шт.
|
137
|
1,2
|
140,24
|
КамАЗ-5410
|
20
|
3
|
16
|
2
|
|
Плиты перекрытия и покрытия
|
шт.
|
180
|
2,46
|
443,752
|
КамАЗ-5410
|
20
|
4
|
8
|
1
|
|
Лестничные марши и площадки
|
шт.
|
19
|
1,34
|
25,5
|
КамАЗ-5410
|
20
|
5
|
15
|
2
|
|
Перемычки
|
шт.
|
283
|
0,25
|
70,477
|
КамАЗ-5410
|
20
|
5
|
|
2
|
. Фундаментные плиты
Определяем количество элементов,
поставляемых за одну ходку:
где Q - грузоподъемность;
m - масса элемента.
Определяем необходимое количество
ходок:
где
- общее количество элементов
Определяем время, необходимое на одну
ходку:
где
=12 мин. - время, необходимое на погрузку и выгрузку 1-го
элемента;
=103
мин. - время, необходимое на транспортировку.
Число оборотов за смену:
Определяем количество смен:
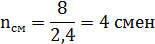
. Блоки стен подвала
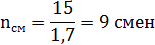
. Плиты перекрытия и покрытия
. Лестничные марши и площадки
. Перемычки
. Калькуляция
трудовых затрат
Работы идущие в две смены:
возведение стен из силикатного кирпича; установка оконных блоков; установка
дверных блоков; отделка высококачественной штукатуркой кирпичных стен,
перегородок и потолков; масляная окраска стен; отделка поверхности потолка;
устройство стяжки; наклейка линолеума; отделка керамической плиткой.
9. Расчет
численно квалификационного состава бригады и звеньев
1. Определяем численный
состав бригад:
где
- общая трудоемкость;
-
продолжительность работы;
С - средний процент выполнения норм
выработки.
. Определяем квалификацию
состав бригады по профессиям:
Количество рабочих каждой профессии
и разряд определяем по калькуляции и потребности рабочих в каждом звене,
результаты сводим в таблицу 6.
Таблица 6. Численно-квалификационный
состав бригад и звеньев
|
Специальность
|
Разряд
|
Количество рабочих
|
|
|
В звене
|
В бригаде
|
|
Машинист
|
6
|
1
|
1
|
|
Бетонщик
|
2
|
1
|
6
|
|
3
|
2
|
|
|
4
|
3
|
|
|
Арматурщик
|
2
|
2
|
3
|
|
3
|
1
|
|
|
Плотник
|
2
|
2
|
6
|
|
3
|
3
|
|
|
4
|
1
|
|
|
Монтажник
|
2
|
1
|
4
|
|
3
|
1
|
|
|
4
|
2
|
|
|
Асфалтщик
|
2
|
1
|
3
|
|
4
|
2
|
|
|
Маляр
|
3
|
2
|
3
|
|
5
|
1
|
|
|
Кровельщик
|
3
|
1
|
4
|
|
4
|
3
|
|
|
Каменщик
|
2
|
1
|
3
|
|
3
|
1
|
|
|
4
|
1
|
|
|
Разнорабочий
|
|
2
|
2
|
|
Итого
|
35
|
10. Расчет
нормокомплекта для бригад
Потребность в технических ресурсах
выражается в расчете количества и типа инструмента, инвентаря и приспособлений.
Расчет производится по составу работ
и численности рабочих.
Таблица 7. Комплект требуемых
инструментов и инвентаря
|
№
|
Вид работ
|
Наименование инструмента
|
Количество, шт.
|
|
1
|
Разработка грунта вручную
|
Лопата штыковая
|
2
|
|
2
|
Установка фундаментных плит и блоков стен подвалов
|
Ящик контейнер ёмкостью 0,25 для приема и хранения раствора
|
|
|
Отвес для выверки блоков
|
1
|
|
|
Лопата растворная
|
2
|
|
|
Скребок для очистки нижних плоскостей блоков
|
1
|
|
|
Подштопка для уплотнения горизонтальных швов
|
1
|
|
|
Лом для рихтовки блоков
|
1
|
|
|
Кельма для бетонных и каменных работ
|
2
|
|
|
Кувалда для загибки монтажных петель
|
1
|
|
|
Уровень строительный
|
1
|
|
|
Рулетка для разметки мест укладки блоков
|
2
|
|
3
|
Кладка кирпичных стен
|
Кельма
|
2
|
|
|
Кирка
|
1
|
|
|
Растворная лопата
|
1
|
|
|
Металлическая щётка
|
1
|
|
|
Ящик для раствора
|
2
|
|
|
Расшивка
|
1
|
|
|
Швабровка
|
1
|
|
|
Отвес
|
1
|
|
|
Уровень строительный
|
1
|
|
|
Угольник
|
1
|
|
|
Раскладной мент
|
1
|
|
|
Поддон с кирпичом
|
4
|
|
4
|
Кровельные работы
|
Металлический шпатель
|
4
|
|
|
Шило
|
4
|
|
|
Полутерок
|
2
|
|
|
Щетка для нанесения мастики
|
4
|
|
|
Гребенка для мастики
|
4
|
|
|
Штукатурный молоток
|
4
|
|
|
Бачок или ведро
|
4
|
|
|
Кровельный нож
|
4
|
|
|
Роликовые ножницы для поперечной резки рулонных материалов
|
4
|
|
|
Страховочный пояс
|
4
|
|
5
|
Заглаживание поверхностей при устройстве бетонного пола
|
Металлическая гладилка
|
4
|
|
6
|
Очистка поверхностей конструкций
|
Скребок
|
2
|
|
|
Стальная щётка
|
2
|
|
|
Шпатель
|
2
|
|
7
|
Гидроизоляционные работы в труднодоступных местах,
антикоррозионной покрытие сварных швов
|
Кисть
|
3
|
|
8
|
Заполнение окон и стекольные работы
|
Линейка
|
3
|
|
|
Угольник
|
3
|
|
|
Рулетка
|
3
|
|
|
Нож для замазки
|
6
|
|
|
Шпатель
|
6
|
|
|
Отвертка
|
6
|
|
|
Молоток
|
6
|
|
|
Перфоратор
|
6
|
|
|
Сверла
|
3
|
|
|
Шлифованные бруски
|
6
|
|
|
Шаблоны
|
3
|
|
|
Клещи
|
6
|
|
|
Кусачки
|
6
|
|
|
Плоскогубцы
|
6
|
|
|
Стамеска
|
6
|
|
9
|
Отделочные работы
|
Валик
|
3
|
|
|
Держатель для лещади
|
3
|
|
|
Кисть - макловица
|
3
|
|
|
Ведро
|
3
|
|
|
Гладилка
|
3
|
|
|
Полутерок
|
3
|
|
|
Терка
|
3
|
11. Стройгенплан на
период строительства
Общие
сведения
На стройгенплане показано строящееся
здание на стадии монтажа плит фундаментных. Также показано: временные здания и
сооружения, склады, временные сети, монтажные краны и вспомогательные
механизмы, ограждение площадки и т.д.
Регулярное и безопасно движение
автотранспорта по территории строительства обеспеченно постройкой постоянных и
временных дорог.
Временные дороги принанимаются из
сборных железобетонных дорожных плит шириной 3,5 метра.
Изделия заводского изготовления
(детали и материалы) складируются в зонах действия монтажных кранов.
Площадки открытого хранения
обеспечивают складирование нормативного запаса для беспрерывного производства
работ.
Раскладка материалов обеспечивает
проходы для рабочих с целью обеспечения удобства строповки изделий перед
монтажом.
Расчет
монтажных и безопасных зон работы крана