Исследование коэффициента теплопроводности стеновых материалов
ВВЕДЕНИЕ
Тепловая защита и теплоизоляция строительных
конструкций зданий и сооружений имеют огромное значение в современном
строительстве. Правильное ее применение в значительной мере определяет
возможность поддержания требуемых технологических процессов,
энергоэффективности и эксплуатации оборудования, комфортных условий жизни и
труда человека, повышение эффективности энергетических систем в целом.
Большую роль в этих вопросах играет разработка
новых методов определения теплофизических свойств и теплофизических
характеристик строительных материалов, которые позволят эффективно оценить
тепловой и воздушно-влажностный режимы зданий и сооружений различного
назначения.
Конец XX и начало ХХI века характеризуются
постоянным ростом цен на нефть, природный газ и электроэнергию, что связано с
исчерпанием запасов традиционных источников энергии и что послужило
естественным толчком для рационального использования энергоресурсов, для поиска
решений, ведущих к их экономии.
Научно-техническая и промышленная революции прошлого
столетия привели к созданию огромного количества предприятий и различных форм
производства, для работы которых необходимы миллионы тонн условного топлива.
При этом следует учитывать постоянный рост объектов производства, а,
следовательно, и потребляемой энергии. С одной стороны, строительство объектов
какой-либо индустрии на территории государства ведёт к обеспечению населения
рабочими местами и к росту экономики в целом. С другой стороны, появляется
новый источник энергопотребления.
В последние годы в России уделяется всё больше
внимания вопросу экономии энергоресурсов. Несмотря на отдельные успехи в
некоторых отраслях промышленности, в целом мы существенно отстаём в этом от
достижений стран Запада и Америки. Расход электрической энергии на 1 доллар валового
продукта составляет на мировом рынке 0,46 кВтч, в США - 0,52 кВтч, в России же
- 4,7 кВтч. Доля энергии в структуре и себестоимости валового продукта
составляет около 50%, тогда как в промышленно развитых странах она меньше 5%.
Нерациональное использование энергоресурсов наносит ежегодно ущерб в размере 40
млрд.у.е.
Серьёзных продвижений и результатов по данному
вопросу в области строительства можно добиться активной пропагандой, агитацией
и внедрением в массы идеи экономии ресурсов и разумного использования природных
ископаемых, а также путём проведения широкого фронта исследований по повышению
энергоэффективности зданий и их ограждающих конструкций. Затраты на подобные
мероприятия малы по сравнению с прогнозируемой экономией.
Строительство выделяется среди основных
энергоёмких отраслей экономики страны. Из общего энергопотребления данной
отраслью 90% расходуется при эксплуатации зданий. Наибольшим энергопотреблением
характеризуются жилые здания - 50-55%, несколько меньшим - 35-45% -
промышленные здания, а на долю гражданских зданий приходится около 10%.
В целом, для теплоснабжения гражданских зданий
требуется до 30% добываемого в нашей стране твёрдого и газообразного топлива.
Потенциал энергосбережения в России составляет 40-45% современного энергопотребления
в стране, что находится в пределах 360-430 млн т.у.т. Свыше трети этого
потенциала сосредоточена в жилищно-коммунальном хозяйстве, а в строительстве и
промышленности - свыше одной трети.
Для количественной оценки теплопроводности
существует коэффициент теплопроводности материалов. Этот коэффициент отражает
свойство вещества проводить тепловую энергию. Чем больше значение коэффициента,
тем лучше он проводит тепло. Если мы собираемся утеплять дом, то нужно выбирать
материалы с наименьшим значением данного коэффициента. Чем он меньше, тем
лучше. Коэффициент теплопроводности является физическим параметром вещества и
зависит от его структуры, плотности, влажности, температуры и давления.
Коэффициент теплопроводности определяется опытным путем
Цель работы: Исследование теплотехнических
характеристик строительных материалов.
Задачи исследования:
Определение сопротивления теплопередаче
теплоэффективного трехслойного блока.
Определение коэффициента теплопроводности
кирпича керамического (полнотелого и пустотелого) и кирпича керамического
одинарного.
Предмет исследования: процессы
тепломассопереноса, обеспечивающие повышение тепловой эффективности наружных
ограждающих конструкций и требуемые условия микроклимата помещений.
Методы исследования включали: натурные
исследования тепловой защиты зданий
. ОБЗОР НОРМАТИВНЫХ ДОКУМЕНТОВ И ОПРЕДЕЛЕНИЕ
ТЕПЛОТЕХНИЧЕСКИХ ПОКАЗАТЕЛЕЙ СТРОИТЕЛЬНЫХ МАТЕРИАЛОВ
Строительные материалы, используемые для
ограждающих конструкций, должны быть не только прочными и долговечными, но и
обладать надлежащими теплотехническими свойствами, например низкой
теплопроводностью и высоким сопротивлением теплопередач. Для разных материалов
данные характеристики определяются по-разному.
ГОСТ 26254-84. Здания и сооружения. Методы
определения сопротивления теплопередаче ограждающих конструкций:[2]
Сопротивление теплопередаче R0 для термически
однородной зоны ограждающей конструкции вычисляют по формуле
,
где Rb и Rн - сопротивления теплопередаче
соответственно внутренней и наружной поверхностей ограждающей конструкции,
м2·°С/Вт;термическое сопротивление однородной зоны ограждающей конструкции,
м2·°С/Вт;
tв и tн - средние за расчетный период измерений
значения температур соответственно внутреннего и наружного воздуха, °С;
в и
н
- средние за расчетный период измерений значения температур соответственно
внутренней и наружной поверхностей ограждающей конструкции,°С;ф - средняя за
расчетный период измерения фактическая плотность теплового потока, Вт/м2
Термическое сопротивление отдельных слоев
ограждающей конструкции определяют по формуле:
где
-
разность температур на границах слоя, °С;
С целью сопоставления фактических
значений теплопроводности материалов, использованных в конструкции, с
проектными значениями, теплопроводность материала слоя
определяют
по формуле:
где
-
толщина слоя, м.
ГОСТ 530.2012. Кирпич и камень керамические.
Общие технические условия.[1]
Коэффициент теплопроводности кладок определяют
по ГОСТ 26254 [2] со следующими дополнениями:
Для каждого тепломера и термопары определяется
среднеарифметическое значение показании за период наблюдений qt и где i- номер
датчика. По результатам испытаний вычисляется средневзвешенные значения
температуры наружной и внутренней поверхностей кладки
,оС
с учетом площади ложкового и тычкового измеряемых участков, а также
вертикального и горизонтального участков растворных швов по формуле:
где tj - температура поверхности в точке i на
наружной и внутренней поверхности кладки соответственно, °С;- площадь участка,
м2.
По результатам испытаний определяли термическое
сопротивление кладки RKnp, м2, °С/Вт, с учетом фактической влажности во время
испытаний по формуле:
=
t/qcp,
где
t=tBcp
- tHcp - разница средневзвешенных значений температур наружной и внутренней
поверхности кладки соответственно, °С; qcp - среднее значение плотности
теплового потока через испытываемый фрагмент кладки, Вт/м .
По значению RKnp вычисляется эквивалентный
коэффициент теплопроводности кладки
экв(
),
Вт/(м °С), по формуле:
экв(
)
=
/
,
где
-
толщина кладки, м.
Определяется изменение значения теплопроводности
кладки на один процент влажности, Вт/(м °С), используя результаты обоих этапов
испытаний по формуле:
экв(
)
=
экв1
-
экв2)/(
),
где
экв1,
экв2
- значения теплопроводности изделий в кладке при влажности образца
соответственно
, %.
Коэффициент теплопроводности кладки в сухом
состоянии
0, Вт/(м°С),
вычисляли по формулам:
0II =
экв2
-
экв
или
0I =
экв2
-
экв
За результат испытания принимается
среднеарифметическое значение коэффициента теплопроводности кладки в сухом
состоянии
0, Вт/(м °С),
вычисленное по формуле:
0=(
0I
+
0
II)/2.
Каждый из этих параметров напрямую влияет на
теплотехнические свойства строительных материалов и определяется
экспериментально-расчетным методом.
2. ИССЛЕДОВАНИЕ ТЕПЛОВОЙ ЭФФЕКТИВНОСТИ
ТРЕХСЛОЙНОГО БЛОКА
.1 Описание теплоэффективного блока
Применение теплоэффективных блоков в
строительстве домов и коттеджей приносит застройщику ощутимый экономический
эффект. Незначительный вес теплоэффективных блоков снижает транспортные расходы
и избавляет стройку от необходимости иметь подъемные устройства. Применение
клея, а не цементных растворов, исключает доставку большого количества воды,
цемента и песка на стройку, дает постоянно высокое качество кладки, сводит к
минимуму тяжелый, не продуктивный ручной труд. Четкие геометрические размеры
блока и продуманная его номенклатура позволяет использовать персонал более
низкой квалификации. Скорость кладки не соизмерима ни с каким другим
материалом, тем более, что при возведении стен строитель избавлен от дальнейшей
ее наружной обработки. Стена просто красится при помощи краскопульта или любым
другим традиционным способом. Прочность стены, уложенной на клей, становится
максимальной в течение всего нескольких часов. Это позволяет не ограничивать
производительность бригады каменщиков при кладке стены технологическими
перерывами.
В идеальном случае бригада из четырех человек
может выложить один этаж дома за одни сутки. Скорость возведения домов из
теплоэффективных блоков в несколько раз превосходит скорость строительства
домов из любых других материалов. Строитель получает возможность при более
низких затратах, за то же время, и теми же бригадами, построить в несколько раз
больше современных прекрасных каменных домом, спрос на которые очень высок.
Теплоэффективный блок с успехом может применяться и при возведении многоэтажных
каркасных домов в качестве ограждающего самонесущего материала.
Рядовой Блок (по размерам больше обычного
кирпича в 12-13 раз) состоит из трех слоев, скрепленных двумя
стеклопластиковыми стержнями, выдерживают нагрузку на разрыв до 1000 кг,
некоррозийные, щелочестойкие, легче металлических аналогов (для достижения
такой же прочности необходима арматура диаметром 12 мм).
Толщина наружного, защитно-декоративного слоя
фактурного бетона всего 5 см.
Затем идет слой пенополистирола-утеплителя.
Завершает сэндвич-конструкцию несущий слой
керамзитобетона.
Таким образом, толщина стены, сложенной из
теплоблоков, всего равна около 40-сантиметров.
Фасадный слой блока это керамзитобетон
повышенной прочности. Защитно-декаротивный слой может иметь различную фактуру.
Фасадная часть блока может быть окрашена, что придаст дому эксклюзивность и
индивидуальность.
Внутренний слой это пенополистерол ПСБС-25
плотностью от 15 до 25 кг/м³. Высокая
плотность пенополистерола это отличные теплосберегающие характеристики и
большой срок службы. Для увеличение качества пенополистерола используется.
Пенополистерол высокой плотности так же обладает отличными свойствами
шумоизоляции.
Для производства блока используются:
. Керамзит
. Цемент
. Песок - речной, мытый
. Пенообразователь
. Пластификатор
. Стеклопластиковая арматура
Технологическим недостатком всех существующих
способов возведения домов является то, что «Точка росы» у стен находится в
толще бетона, и здесь не обойтись без утеплителя, чтобы стены не промерзали. В
данной технологии эта проблема с успехом решена
Геометрия теплоблока:
В длину он равен 350 мм, в ширину 340 мм, а в
высоту 170 мм и общим весом примерно 23 кг. Геометрия теплоблока предоставлена
на рисунке 2.2:
Риунок 2.2 - Геометрия Теплоблока
.2 Определение теплотехнических характеристик
трехслойного блока экспериментальным методом
.2.1 Разработка лабораторной работы по
теплоблоку
В данной лабораторной работе будет
экспериментальным методом определен коэффициент теплопроводности и
сопротивление теплопередач теплоблока. Работа будет проводится с помощью
приборной базы. По результатам проведения эксперимента будут выявлены
теплотехнические характеристики Теплоблока.
.2.2 План испытаний
Лабораторная работа представляет собой следующую
последовательность действий:
. Установка Теплоблока в климатическую камеру
. Градуировка термопар
. Измерение приборной базы
. Выход на стационарный процесс и дальнейшее
измерение
. Обработка результатов
. Определение теплопроводности
. Вывод
.2.3 Подготовка к испытаниям
Нормативно техническая документация:
ГОСТ 26254-84. Здания и сооружения. Методы
определения сопротивления теплопередаче ограждающих конструкций. [2]
ГОСТ 25380-82 Здания и сооружения. Метод
измерения плотности тепловых потоков, проходящих через ограждающие конструкции.
[3]
Подготовку к экспериментальному определению
сопротивления теплопередаче ограждающей конструкции начинают с составления
программы испытаний и схемы размещения первичных преобразователей температур и
тепловых потоков. В программе испытаний определяют вид испытания (лабораторные,
павильонные, натурные), объекты, район, ориентировочные сроки, объем испытаний,
виды ограждающих конструкций, контролируемые сечения и др. данные, необходимые
для решения поставленной задачи.
Для определения сопротивления теплопередаче
части ограждающей конструкции, равномерной по температуре поверхности, Ro,
преобразователи температур и тепловых потоков устанавливают не менее чем в двух
характерных сечениях с одинаковым проектным решением.
Для определения сопротивления теплопередачи
термодатчики располагают в центре термически однородных зон фрагментов
ограждающей конструкции (панелей, плит, блоков, монолитных и кирпичных частей
зданий, дверей) и дополнительно в местах с теплопроводными включениями, в
углах, в стыках.
Для измерения термического сопротивления
отдельных слоев ограждающей конструкции чувствительные элементы термодатчиков
монтируют в сечениях в толще фрагмента ограждающей конструкции при его изготовлении
с шагом 50-70 мм и для многослойных конструкций дополнительно на границах
слоев.
Преобразователи тепловых потоков закрепляют на
внутренней и наружной поверхностях испытываемого ограждения не менее чем по два
на каждой поверхности.
Для измерения температур внутреннего воздуха
чувствительные элементы термодатчиков устанавливают по вертикали в центре
помещения на расстоянии 100, 250, 750 и 1500 мм от пола и 100 и 250 мм от
потолка. Для помещений высотой более 5000 мм термодатчики по вертикали
устанавливают дополнительно с шагом 1000 мм.
Для измерения температур внутреннего и наружного
воздуха вблизи ограждающей конструкции термодатчики устанавливают на расстоянии
100 мм от внутренней поверхности каждой характерной зоны и на расстоянии 100 мм
от наружной поверхности не менее чем двух характерных зон.
Чувствительные элементы термодатчиков плотно
прикрепляют к поверхности испытываемой конструкции.
При использовании термопар допускается
закреплять их на поверхности ограждающей конструкции с помощью клеящих составов:
гипса или пластилина, толщина которых должна быть не более 2 мм. Степень
черноты используемых клеящих материалов должна быть близка к степени черноты
поверхности ограждающей конструкции.
При этом термометрический провод от места
закрепления чувствительного элемента отводят по поверхности ограждающей
конструкции в направлении изотерм или минимального градиента температур на
длину не менее 50 диаметров провода. Сопротивление электрической изоляции между
цепью термопреобразователя и наружной металлической арматурой должно быть не
менее 20 МОм при температуре (25 ± 10) °С
и относительной влажности воздуха от 30 до 80 %.
Свободные концы термопар помещают в термостат с
температурой 0 °С. Допускается использовать в
качестве термостата сосуд Дьюара. При этом в нем должны быть одновременно пар,
вода и лед дистиллированной воды.
Термопары подключают к вторичному измерительному
прибору через промежуточный многоточечный переключатель.
Для измерения плотности теплового потока,
проходящего через ограждающую конструкцию, на ее внутренней поверхности
устанавливают по одному преобразователю теплового потока в каждой характерной
зоне.
Для измерения разности давления воздуха концы
шлангов от микроманометра располагают по обе стороны испытываемой конструкции
на уровне 1000 мм от пола.
Гигрографы, гигрометры, аспирационные
психрометры и термографы, предназначенные для контроля и регулирования
температуры и относительной влажности воздуха, устанавливают в центре помещения
или отсека климатической камеры, на высоте 1500 мм от пола.
При испытаниях в климатической камере после
проверки готовности оборудования и измерительных средств теплый и холодный
отсеки с помощью герметичных дверей изолируют от наружного воздуха. На
регулирующей аппаратуре устанавливают заданные температуру и влажность воздуха
в каждом отсеке и включают холодильное, нагревательное и воздухоувлажняющее
оборудование камеры.
.2.4 Описание используемой приборной базы
) Testo 830-T1
Пирометр Testo 830-T1 предназначен для быстрого
и точного дистанционного измерения температуры поверхности в диапазоне от -30
до +400 ° C в промышленном секторе и в быту. Прибор оснащен лазерным
целеуказателем, соотношение пятна измерения к расстоянию составляет 10:1,
имеется возможность установки минимальных и максимальных пороговых значений
температуры, при превышении которых происходит визуальная и звуковая
сигнализация. Высокое разрешение 0.1 0С и регулируемый коэффициент излучения
позволяют получать очень точные результаты.
Рисунок 2.1 - Прибор Testo 830-T1
теплопроводность стеновой
трехслойный кирпич
Особенности пирометра Testo 830-T1
Диапазон измерений от -40 до 400 С.
Оптическое соотношение пятна к расстоянию 10:1.
Быстрая регистрация.
Регулируемые пределы сигналов тревоги.
Звуковая и визуальная сигнализация при
превышении предельных значений.
Легкое управление благодаря эргономичному
пистолетному дизайну.
Функция удержания данных с одновременным
отображением текущего значения.
Дисплей с подсветкой.
Регулируемый коэффициент излучения (от 0,2 до
1,0).
Лазерный целеуказатель.
) Измеритель плотности теплового потока серии
ИПП-2
Прибор ИПП-2 МК рисунок 4.2 предназначен для
измерения плотности тепловых потоков по ГОСТ 25380-92 [3], проходящих через
однослойные и многослойные ограждающие конструкции зданий и сооружений, через
облицовку и теплоизоляцию энергообъектов при экспериментальном исследовании и в
условиях эксплуатации.
Рисунок 2.2 - Прибор ИПП-2 МК
Приборы серии ИПП-2 МК нашли широкое применение
в строительстве, научных организациях и на различных объектах энергетики.
Принцип действия прибора основан на измерении
перепада температур на «вспомогательной стенке». Величина температурного
перепада пропорциональна плотности теплового потока. Измерение температурного
перепада осуществляется с помощью ленточной термопары, расположенной внутри
пластинки зонда, выступающей в роли «вспомогательной стенки».
В рабочем режиме прибором производится
циклическое измерение выбранного параметра. Осуществляется переход между режимами
измерения плотности теплового потока и температуры, а также индикации заряда
аккумуляторов в процентах 0%…100%. При этом при переходе между режимами на
индикаторе отображается соответствующая надпись выбранного режима. Прибор также
может производить периодическую автоматическую запись измеренных значений в
энергонезависимую память с привязкой ко времени. Включение/выключение записи
статистики, настройка параметров записи, считывание накопленных данных
осуществляется с помощью программного обеспечения, поставляемого по заказу.
Возможность попеременного подключения к одному
прибору до восьми различных зондов теплового потока. Каждый зонд (датчик) имеет
свой индивидуальный калибровочный коэффициент (коэффициент преобразования Kq)
показывающий насколько напряжение с датчика изменяется относительно теплового
потока. Данный коэффициент используется прибором для построения калибровочной
характеристики зонда, по которой определяется текущее измеренное значение
теплового потока.
) Термогигрометр Testo 625
Рисунок 2.3 - Термогигрометр Testo 625
Прибор рисунок 2.3 для измерения значения
относительной влажности и температуры (или температуры мокрого термометра и
точки росы) индицируются одновременно на большом 2-х строчном дисплее. Прибор
имеют функции удержания текущих, максимальных и минимальных показаний,
сигнализации о разряде источника питания, а также функцию самоотключения
прибора.
Компактный прибор со встроенным зондом влажности
и температуры в комплекте. Большой двухстрочный дисплей отображает значения
влажности, температуру воздуха, температуру мокрого термометра и точку росы.
При измерении в труднодоступных местах зонд влажности легко отсоединяется и
крепится к рукоятке с кабелем (опционально).
) МИТ-1 Измеритель теплопроводности мобильный
Измеритель теплопроводности материалов МИТ-1
предназначен для оперативного определения теплопроводности широкого спектра
строительных материалов зондовым методом (ГОСТ 30256-94) при технологическом и
лабораторном контроле качества материалов, обследовании объектов с целью
определения их теплозащитных свойств, а также для контроля теплопроводности
различных композиционных материалов, утеплителей, природного камня. Область
применения: предприятия, производящие строительные и теплоизоляционные
материалы, строительные организации и лаборатории, проводящие обследование
зданий, сооружений и конструкций.
Рисунок 2.4 - МИТ-1
Преимущества измерителя теплопроводности
материалов МИТ-1:
расширенный диапазон измерения теплопроводности;
повышенная достоверность измерений;
применение новых технических решений и методов
обработки информации;
уменьшено время измерительного цикла;
возможность выполнения измерений с
теплопроводящей пастой и без нее (с воздушной прослойкой в зазорах);
встроенное в прибор зарядное устройство для
быстрой зарядки аккумуляторов;
минимальные массогабаритные показатели.
Основные функции измерителя теплопроводности
материалов МИТ-1
автоматический цикл измерений;
режим расчета термического сопротивления;
энергонезависимая память с автоматической
архивацией 1600 результатов и условий выполнения измерений, а также
возможностью просмотра результатов по номерам и датам;
диалоговый режим работы пользователя с прибором,
выбор видов испытуемого материала и смазки, условий измерения через систему
меню;
полноценное отображение результатов на
графическом дисплее с регулируемой контрастностью и подсветкой;
автоматический контроль состояния аккумуляторной
батареи прибора с переходом в режим экономии энергии и выдачей сообщения о
необходимости ее заряда;
автоматический ускоренный заряд аккумуляторной
батареи;
автоматическое отключение неработающего прибора;
выбор языка текстовых сообщений (русский /
английский);
USB-интерфейс, сервисная компьютерная программа.
.2.5 Проведение эксперимента
На рисунке 2.5 представлена фотография
климатической камеры на базе холодильника «ПРЕМЬЕР» ШСУП1ТУ-1,5М, содержащего
кондиционер SHS 13 IMBALO MULTIPL (хладон R404A), с помощью которой проводился
эксперимент
Рисунок 2.5 - Климатическая камера на базе
холодильника.
На рисунке 2.6 представлены геометрические
параметры образца, а также условные обозначения параметров, которые
определяются с помощью измерительных приборов в процессе натурных испытаний, а
именно:
Трёхслойная ограждающая конструкция была
установлена таким образом, что лицевая (наружная) поверхность GH расположена со
стороны климатической камеры, в которой поддерживается температура -6 °С, а
внутренняя поверхность EF расположена со стороны помещения, в котором
поддерживается температура 20°С.
Натурные испытания проводились при поддержании в
климатической камере температуры воздуха на уровне -6 0С в течении 4 дней с
целью определения теплотехнических свойств ограждающей конструкции при
стационарном процессе передачи теплоты.
Рисунок 2.6 - Теплоблок
.2.6 Градуировка термопары
Для калибровки термопар, то есть для
установления зависимости величины термоэлектродвижущей силы от разницы
температур спаев термопары, мы проводили опыты, для этого нам понадобились
сосуды с горячей (100 °С) и холодной водой(0 °С) для этого в ледяной воде
должны плавать кусочки льда.
Первым делом была сделана градуировка термопары
при 0 °С. Полученные данные ТЭДС представлены ниже в таблице 2.1
Таблица 2.1 - Градуировка термопар при 0 °С
|
Время
|
ТЭДС1
|
ТЭДС 2
|
ТЭДС 3
|
ТЭДС 4
|
|
0,703
|
-0,8
|
-0,8
|
-0,8
|
-0,8
|
|
1,687
|
-0,8
|
-0,8
|
-0,8
|
-0,8
|
|
2,687
|
-0,8
|
-0,8
|
-0,8
|
-0,8
|
|
3,687
|
-0,8
|
-0,8
|
-0,8
|
-0,8
|
|
4,687
|
-0,8
|
-0,8
|
-0,8
|
-0,8
|
|
5,687
|
-0,8
|
-0,8
|
-0,8
|
-0,8
|
|
6,687
|
-0,8
|
-0,8
|
-0,8
|
-0,8
|
|
7,687
|
-0,8
|
-0,8
|
-0,8
|
-0,8
|
|
8,687
|
-0,8
|
-0,8
|
-0,8
|
-0,8
|
|
9,687
|
-0,8
|
-0,8
|
-0,8
|
-0,8
|
|
10,687
|
-0,8
|
-0,8
|
-0,8
|
-0,8
|
|
11,687
|
-0,8
|
-0,8
|
-0,8
|
-0,8
|
|
т.2
|
т.1
|
т.4
|
т.3
|
|
-0,8
|
-0,8
|
-0,8
|
-0,8
|
После чего была выполнена градуировка термопары
при 100 °С(в кипящей воде). Полученные данные предоставлены в таблице 2.2
|
Таблица 2.2 - Градуировка
термопары при 100 °С
|
|
Время
|
ТЭДС1
|
ТЭДС2
|
ТЭДС3
|
ТЭДС4
|
|
0,375
|
3,3
|
3,3
|
3,3
|
3,3
|
|
1,375
|
3,3
|
3,3
|
3,3
|
3,3
|
|
2,375
|
3,3
|
3,3
|
3,3
|
3,3
|
|
3,375
|
3,3
|
3,3
|
3,3
|
3,3
|
|
4,375
|
3,3
|
3,3
|
3,3
|
3,3
|
|
5,375
|
3,3
|
3,3
|
3,3
|
3,3
|
|
6,375
|
3,3
|
3,3
|
3,3
|
3,3
|
|
7,375
|
3,3
|
3,3
|
3,3
|
3,3
|
|
8,375
|
3,3
|
3,3
|
3,3
|
3,3
|
|
9,375
|
3,3
|
3,3
|
3,3
|
3,3
|
|
10,375
|
3,3
|
3,3
|
3,3
|
3,3
|
|
11,375
|
3,3
|
3,3
|
3,3
|
3,3
|
|
12,375
|
3,3
|
3,3
|
3,3
|
3,3
|
2.2.7 Построение графиков зависимости изменения
ТЭДС от температуры
После нахождения ТЭДС термопар были построены
графики зависимости изменения ТЭДС от температуры в нескольких точках т. к.
характеристики многих термопар являются прямолинейными. Для построения графиков
использовались значения полученные после градуировка термопар при 0 °С и 100 °С
Нашли средние значения термо-ЭДС при
и при
и привели
их в таблице 2.3. В результате аппроксимации была получена линейная зависимость
t = 24,39*ТЭДС + 19,512 с целью определения промежуточных значений температуры
с точностью до 0,1 0С.
|
Таблица 2.3 - Зависимость ТЭДС от
температуры воды
|
|
Зависимость ТЭДС от температуры
воды
|
|
|
Градусы
|
t2
|
t1
|
t4
|
t3
|
среднее
|
|
0,°C
|
-0,8
|
-0,8
|
-0,8
|
-0,8
|
-0,8
|
|
100,°C
|
3,3
|
3,3
|
3,3
|
3,3
|
3,3
|

Рисунок 2.7 - Результаты тарирования термопар в
точках 1,2,3,4
Полученные результаты эксперимента
В результате поддержания в течении 4 дней
постоянных температур внутри климатической камеры воздуха в помещении процесс
теплопередачи вышел на стационарный процесс.

Рисунок 2.8 - Распределение температуры по слоям
трёхслойной ограждающей конструкции.
По рисунку 2.8 видно, что процесс теплопередачи
вышел на стационарный режим на второй день. Это обусловлено низким
коэффициентом теплопроводности второго слоя, выполненного из пенополистирола.
В связи с тем, что температуры внутри слоёв
ограждающей конструкции постоянны, следовательно, значение коэффициентов
теплопроводности, которые определяются с помощью измерительного прибора МИТ-1,
будут удовлетворительны для определения сопротивления теплопередач конструкции.
Значения коэффициентов теплопроводности, определенные экспериментально
представлены на рисунке 2.8.

Рисунок 2.9 - Коэффициенты теплопроводности
слоёв.
В результате эксперимента, значения
коэффициентов теплопроводности слоёв составили:
для 2 слоя (пенополистерол) λ2=
0,040333 Вт/(м2*0С),
для 3 слоя (цементно-песчаный раствор) λ3=
0,994167 Вт/(м2*0С).
Таблица 2.4 - Результаты эксперимента
|
Дата
|
Гисметео
|
Термогигрометр testo 625
|
Датчик
|
Термогигрометр testo 625
|
|
|
температура воздуха внутри
помещения
|
температура воздуха внутри камеры
|
отностительная влажность воздуха
внутри помещения
|
отностительная влажность воздуха
внутри камеры
|
|
t н,°C
|
Погода
|
t вн,°C
|
t н,°C
|
вн, %
|
, %
|
|
03.06.2016
|
20
|
солнце
|
20,5
|
-5,9
|
56
|
69
|
|
04.06.2016
|
15
|
дождь
|
20,8
|
-6
|
65
|
67
|
|
06.06.2016
|
15
|
дождь
|
20,6
|
-6
|
52
|
59
|
|
Температура на внутренней
поверхности 1 слоя
|
Температура между 1 и 2 слоем
|
Температура между 2 и 3 слоем
|
Температура на внутренней
поверхности 3 слоя
|
Плотность теплового потока на
внутренней поверхности 1 слоя
|
1 слоя
|
2 слоя
|
3 слоя
|
1 слоя
|
2 слоя
|
3 слоя
|
|
t1,°C
|
t2,°C
|
t3,°C
|
t4,°C
|
q1,Вт/м2
|
λ1, Вт/(м·°C)
|
λ2 Вт/(м·°C)
|
λ3 Вт/(м·°C)
|
1,%
|
2,%
|
3,%
|
|
21,951
|
19,512
|
0,149
|
0,00
|
4
|
1,123
|
0,045
|
0,986
|
5
|
0
|
3
|
|
19,512
|
19,512
|
0,00
|
0,00
|
7
|
1,121
|
0,041
|
0,983
|
5
|
0
|
3
|
|
19,512
|
19,512
|
0,00
|
0,00
|
7
|
1,091
|
0,032
|
0,981
|
5
|
0
|
3
|
Анализ микроклимата аудиторий климатической
камеры проведен на базе парка измерительных приборов кафедры
«Теплогазоснабжение и вентиляция» ВоГУ. Для измерения температуры и
относительной влажности внутреннего и наружного воздуха, поверхностей
ограждающих конструкций применялось следующее измерительное оборудование:
пирометр Testo 830-T1 ;термогигрометр Testo 625; измеритель плотности теплового
потока серии ИПП-2; Влагомер ВИМС - 1.У и с помощью измерительного прибора
МИТ-1.
.2.9 Обработка результатов
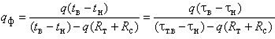
Среднюю за период измерений фактическую
плотность теплового потока определяем по формуле:
;
q - cредняя за расчетный период
измеренная плотность теплового потока, Вт/м
RT - термическое сопротивление преобразователя
теплового потока, определяемого по его паспортным данным, м°С/Вт;- термическое
сопротивление слоя, прикрепляющего преобразователь теплового потока, м°С/Вт;
определяемое расчетом;в и tн - средние за расчетный период измерений значения
температур соответственно внутреннего и наружного воздуха,°С;
н и
в
- средние за расчетный период измерений значения температур соответственно
внутренней и наружной поверхностей ограждающей конструкции, °С;
Сопротивление теплопередаче
для
термически однородной зоны ограждающей конструкции вычисляют по формуле:
Термическое сопротивление отдельных слоев
ограждающей конструкции рассчитывается:
где
-
разность температур на границах слоя, °С;
С целью сопоставления фактических
значений теплопроводности материалов, использованных в конструкции, с
проектными значениями, теплопроводность материала слоя
определяют
по формуле:
.2.10 Результаты расчетов
Результаты получены по методике ГОСТ 26254-84.
[2]
Таблица 2.5 - Результаты расчета
|
Геометрические параметры
конструкции
|
|
Толщина 1 слоя
|
0,135 м
|
|
Толщина 2 слоя
|
0,145 м
|
|
Толщина 3 слоя
|
0,07 м
|
|
Сопротивление теплопередаче и
коэффициент теплопроводности
|
|
Сопротивление теплопередач
преобразователя теплового потока
|
0,1 м2·°C/Вт
|
|
Сопротивление теплопередаче слоя,
прикрепляющего преобразователь теплового потока
|
0,1 м2·°C/Вт
|
|
Средняя за период измерений
фактическая плотность теплового потока
|
7,39 Вт/м2
|
|
Сопротивление теплопередаче 1 слоя
|
0 м2·°C/Вт
|
|
Сопротивление теплопередаче 2 слоя
|
2,64 м2·°C/Вт
|
|
Сопротивление теплопередаче 3 слоя
|
0 м2·°C/Вт
|
|
Сопротивление теплопередач
внутренней и наружной поверхностей (ГОСТ 26254-84)
|
0,97
|
|
Сопротивление теплопередач
трёхслойной конструкции (ГОСТ 26254-84)
|
3,61 м2·°C/Вт
|
В результате исследования мы нашли
теплопроводность слоев теплоблока, после чего полученные данные сравнили со
СНиП II-3-79 [4] и фактическими данными производителя. Сравнения представлены
на рисунке 2.9. Результаты теплопроводности СНиП II-3-79, эксперимента и
производителя представлены в таблице 2.6.
|
Таблица 2.6 - Теплопроводность
|
|
Теплопроводность
|
|
|
СНиП
|
Эксперимент
|
ОНИКС
|
|
λ1
|
0,9300
|
1,1124
|
1,4310
|
|
λ2
|
0,0380
|
0,0403
|
0,0420
|
|
λ3
|
0,9300
|
0,9942
|
1,4310
|

Рисунок 2.10 - Сравнение результатов
теплопроводности
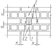
2.3 Проведение испытания кирпича керамического
(полнотелого и пустотелого) и кирпича керамического одинарного по показателю
коэффициент теплопроводности
Коэффициент теплопроводности каждого вида
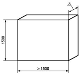
кирпичной кладки определяли экспериментально на фрагменте кладки размерами
более 1500x1500 мм, толщиной полтора кирпича с чередованием тычкового и
ложкового рядов на цементно-песчаном растворе.
Место проведения - лаборатория строительной
физики кафедры промышленное и гражданское строительство ФГБОУ ВО «Вологодский
государственный университет».
.3.1 Нормативно техническая документация
ГОСТ 530-2012. Кирпич и камень керамические.
Общие технические условия.[1]
ГОСТ 26254-84. Здания и сооружения. Методы
определения сопротивления теплопередаче ограждающих конструкций.[2]
ГОСТ 25380-82 Здания и сооружения. Метод
измерения плотности тепловых потоков, проходящих через ограждающие
конструкции.[3]
.3.2 Применяемое оборудование
Для определения теплопроводности фрагмента стены
в лабораторных условиях использовались:
климатическая камера ХК-17,7 состоящая из
холодного и тёплого отсеков, между которыми установлен испытуемый образец
кирпичной кладки;
измеритель плотности теплового потока и
температуры ИТП-МГ4.03./Х(У) «ПОТОК»;
ИТП МГ4.03 предназначен для измерения плотности
тепловых потоков, проходящих через однослойные и многослойные ограждающие
конструкции зданий и сооружений по [3], через облицовку и теплоизоляцию
энергообъектов при экспериментальном исследовании и в условиях эксплуатации.
Приборы позволяют измерять температуру воздуха
внутри и снаружи помещения, а также измерять плотность тепловых потоков.
Приборы обеспечивают выполнение измерений одновременно
по пяти измерительным каналам в оперативном режиме, а также в режиме наблюдения
с автоматической регистрацией тепловых потоков и температуры через интервалы
времени, установленные пользователем. Длительность наблюдения до 360 часов.
Прибор оснащен часами реального времени,
функцией передачи данных на ПК с возможностью документирования и построения
диаграмм. Получаемая в процессе измерений информация автоматически архивируется
и маркируется датой и временем измерения. Питание осуществляется от элемента
6LR61 или от сетевого блока питания.
Рисунок 2.11 - Измеритель плотности теплового
потока и температуры ИТП-МГ4.03
гигрометр психометрический ВИТ-2;
лабораторные термометры;
весы лабораторные BJIP-200;
камера тепла Т-579.
Термогигрометр цифровой ТГЦ-МГ4.01
Предназначен для измерения относительной
влажности и температуры в неагрессивных газовых средах производственных и жилых
помещений, в сушильных и климатических камерах, вентиляционных системах.
Прибор выполнен в виде электронного блока и
выносного зонда с преобразователями влажности и температуры, оснащен функциями
оперативных измерений влажности и температуры воздуха, а также определения
температуры точки росы.
Прибор ТГЦ-МГ4.01 дополнительно обеспечивает
выполнение измерений в режиме наблюдения с автоматической регистрацией
влажности и температуры воздуха, температуры точки росы через интервалы
времени, установленные пользователем.
Длительность наблюдения - до 24 часов (до 72
часов по спецзаказу). Интервал измерений - от 10 до 120 минут. Объем
архивируемой информации - до 200 результатов измерений. Прибор оснащен часами
реального времени, имеет связь с ПК.
Рисунок 2.12 - Термогигрометр ТГЦ-МГ4.01
.3.3 Методика испытаний
Метод определения теплопроводности в
лабораторных условиях основан на создании в ограждающей конструкции
стационарного теплового потока между холодным и теплым отсеками климатической
камеры. Испытания проводились в соответствии с ГОСТ 530-2012[1], ГОСТ 26254-84[2].
Испытуемый образец устанавливается в климатической камере с автоматическим
поддержанием температуры в холодной и тёплой зонах.
Перед испытанием на наружной и внутренней
поверхностях кладки в центральной зоне устанавливают пять термопар.
Дополнительно на внутренней поверхности кладки устанавливают тепломеры по
действующему нормативному документу. Термопары и тепломеры устанавливают так,
чтобы они охватывали зоны поверхности ложкового и тычкового рядов кладки, а
также горизонтального и вертикального растворных швов. Теплотехнические
параметры фиксируют после наступления стационарного теплового состояния кладки
не ранее чем через 72 ч после включения климатической камеры. Измерение
параметров проводят не менее трех раз с интервалом 2-3 ч.
- тепломер; 2 - термопара
Рисунок 2.13 - Расположение тепломера и термопар
Испытания проводились в два этапа, с
предварительной сушкой до влажности не более 6% и дополнительной сушкой образца
до 1%-3% влажности. Термопары устанавливались с обеих сторон образца, измерение
плотности теплового потока проводилось на тёплой стороне образца. Для измерения
температуры и относительной влажности воздуха использовался гигрометр
психометрический ВИТ-2. После стабилизации режима теплообмена через 4 дня
(достижения постоянства температуры по толщине образца и плотности теплового
потока) проводились замеры температур тёплой и холодной поверхностей и
плотности теплового потока, проходящего через образец. Результат испытаний
приведен в приложении.
По окончании испытаний определялась влажность
материала образца. Пробы материала отбирались шлямбуром из центральной части
образца, взвешивались и высушивались до постоянной массы, расчёт влажности
выполнялся в соответствии с ГОСТ 24816[5].
Рисунок 2.13 - Общий вид кладки
.3.4 Обработка результатов
Определение теплопроводности фрагмента стены.
Для каждого тепломера и термопары определяли
среднеарифметическое значение показании за период наблюдений qt и где i- номер
датчика. По результатам испытаний вычисляли средневзвешенные значения
температуры наружной и внутренней поверхностей кладки
,оС
с учетом площади ложкового и тычкового измеряемых участков, а также
вертикального и горизонтального участков растворных швов по формуле:
где tj - температура поверхности в точке i на
наружной и внутренней поверхности кладки соответственно, °С;- площадь участка,
м2.
По результатам испытаний определяли термическое
сопротивление кладки RKnp, м2, °С/Вт, с учетом фактической влажности во время
испытаний по формуле:
=
t/qcp,
где
t=tBcp
- tHcp - разница средневзвешенных значений температур наружной и внутренней
поверхности кладки соответственно, °С; qcp - среднее значение плотности
теплового потока через испытываемый фрагмент кладки, Вт/м .
По значению RKnp вычисляли эквивалентный
коэффициент теплопроводности кладки
экв(
),
Вт/(м °С), по формуле:
экв(
)
=
/
,
где
-
толщина кладки, м.
Определяли изменение значения теплопроводности
кладки на один процент влажности, Вт/(м °С), используя результаты обоих этапов
испытаний по формуле:
экв(
)
=
экв1
-
экв2)/(
),
где
экв1,
экв2
- значения теплопроводности изделий в кладке при влажности образца
соответственно
, %.
Коэффициент теплопроводности кладки в сухом
состоянии
0, Вт/(м°С),
вычисляли по формулам:
0II =
экв2
-
экв
или
0I =
экв2
-
экв
За результат испытания принимали
среднеарифметическое значение коэффициента теплопроводности кладки в сухом
состоянии
0, Вт/(м °С),
вычисленное по формуле:
0=(
0I
+
0
II)/2.
2.3.5 Результаты испытаний
На основании экспериментально полученных
значений коэффициентов теплопроводности, определявшихся при различных значениях
влажности кирпичной кладки, были рассчитаны значения коэффициентов
теплопроводности для абсолютно сухой стены и условий эксплуатации А и Б.
Значения коэффициентов теплопроводности
кирпичной кладки из:
кирпича керамического утолщенного с тремя
пустотами диаметром 54 мм, средняя плотность 1611 кг/м3 (по ГОСТ 530-2012
плотностью 1600 кг/м3):
в сухом состоянии
0=0,43
Вт/(м °С) (
0=0,45 Вт/(м °С));
при условиях эксплуатации А
А=О,60
Вт/(м °С) (
А=0,61 Вт/(м °С));
при условиях эксплуатации Б
Б=0,70
Вт/(м °С) (
Б=0,70 Вт/(м °С)).
кирпича керамического утолщенного с одной
прямоугольной пустотой, средняя плотность 1408 кг/м3 (по ГОСТ 530-2012
плотностью 1400 кг/м3):
в сухом состоянии
0=0,41
Вт/(м °С) (
0=0,41 Вт/(м °С));
при условиях эксплуатации А
а=0,49
Вт/(м °С) (
а=0,49 Вт/(м °С));
при условиях эксплуатации Б
Б=0,55
Вт/(м °С) (
Б=0,55 Вт/(м °С)).
кирпича керамического одинарного, средняя
плотность 1984 кг/м3 (по ГОСТ 530-2012 плотностью 2000 кг/м3):
в сухом состоянии
0=0,6З
Вт/(м °С) (
0= 0,66 Вт/(м
°С));
при условиях эксплуатации А
а=0,77
Вт/(м °С) (
а=0,80 Вт/(м °С));
при условиях эксплуатации Б
Б=0,88
Вт/(м °С) (
Б=0,90 Вт/(м °С)).
кирпича керамического одинарного с тремя
пустотами диаметром 40 мм, средняя плотность 1973 кг/м3 (по ГОСТ 530-2012
плотностью 2000 кг/м3):
в сухом состоянии
0=0,61
Вт/(м °С) (
0=0,66 Вт/(м °С));
при условиях эксплуатации А
а=0,75
Вт/(м °С) (
а=0,80 Вт/(м °С));
при условиях эксплуатации Б
Б=0,86
Вт/(м °С) (
Б=0,90 Вт/(м °С)).
ЗАКЛЮЧЕНИЕ
В ходе проделанной работы выполнены следующие
задачи:
Проведены испытания теплоэффективного
трехслойного блока, кирпича керамического (полнотелого и пустотелого) и кирпича
керамического одинарного по определению коэффициента теплопроводности.
Расчетно-экспериментальным путем определен
коэффициент теплопроводности кирпича керамического (полнотелого и пустотелого)
и кирпича керамического одинарного.
СПИСОК ИСПОЛЬЗОВАННЫХ ИСТОЧНИКОВ
1.ГОСТ
530.2012. Кирпич и камень керамические. Общие технические условия. - Введ.
07.01.2012. - Москва: Стандартинформ, 2012. - 39 с.
.ГОСТ
26254-84. Здания и сооружения. Методы определения сопротивления теплопередаче
ограждающих конструкций.-Введ. 01.01.1985. - Москва: НИИСФ, 1985. - 26 с.
.ГОСТ
25380-82. Здания и сооружения. Метод измерения плотности тепловых потоков,
проходящих через ограждающие конструкции. - Введ. 14.07.1982. - Москва: НИИСФ,
1982. - 39 с.
.СНиП
II-3-79. Строительная теплотехника. - Введ. 01.01.1995. - Москва: НИИСФ, 1995.
- 33 с.
.ГОСТ
24816-2014. Материалы строительные. Метод определения равновесной сорбционной
строительной влажности. -Введ. 07.01.2015.-Москва: НИИСФ, 2014. - 19 с.
.ГОСТ
30256-94. Материалы и изделия строительные. Метод определения теплопроводности
цилиндрическим зондом. -Введ. 01.01.1996.-Москва: НИИСФ, 1996. - 10 с.
.ГОСТ
3044-84. Преобразователи термоэлектрические. - Введ. 10.01.1984. - Москва:
ГСССР, 1983. - 24 с.
.СНиП
23-02-2003. Тепловая защита зданий. - Введ. 10.01.2003. - Москва: Госстрой
России, 2003. - 30 с.
.ГОСТ
530.2012. Кирпич и камни силикатные. Технические условия. - Введ. 19.07.1996. -
Москва: ВНИИ, 1995. - 24 с.
.ГОСТ
8928-81. Плиты фибролитовые на портландцементе. Технические условия. - Введ.
19.07.1981. - Москва: ЦНИИ Госстрой, 1981. - 10 с.
ПРИЛОЖЕНИЕ 1(обязательное)
Результаты испытания кирпича керамического
утолщенного с тремя пустотами диаметром 54 мм
Таблица П1.1 - Результаты испытания Модуль: А
|
ТГЦ-МГ4.01Модуль: А Режим
Наблюдение
|
|
Дата
|
q1,Вт/м2
|
q2,Вт/м2
|
q3,Вт/м2
|
t1,°С
|
t2,°C
|
t3,°C
|
t4,°C
|
t5,°C
|
t6,°C
|
|
18.12.2015 14:50
|
36,2
|
41,8
|
38,2
|
-5,3
|
-2,8
|
-3,3
|
-2,4
|
-5,5
|
-2,5
|
|
18.12.2015 15:50
|
46,3
|
48,9
|
50,9
|
-6,3
|
-3,3
|
-3,9
|
-3,4
|
-6,6
|
-2,9
|
|
18.12.2015 16:50
|
45,3
|
48,6
|
47,1
|
-5
|
-2,5
|
-3
|
-2,5
|
-5,3
|
-2,1
|
|
18.12.2015 17:50
|
28,5
|
36
|
30,5
|
-2,6
|
-0,9
|
-1,3
|
-0,8
|
-2,8
|
-0,3
|
|
18.12.2015 18:50
|
45,2
|
48,9
|
47
|
-5,9
|
-3,3
|
-3,8
|
-3
|
-6,3
|
-3,1
|
|
18.12.2015 19:50
|
36,5
|
45,8
|
39,3
|
-6,6
|
-3,6
|
4,1
|
-3,6
|
-6,9
|
-3,2
|
|
18.12.2015 20:50
|
43,7
|
45,4
|
46,7
|
-5,2
|
-2,7
|
-3,1
|
-2,6
|
-5,6
|
-2,3
|
|
18.12.2015 21:50
|
29,8
|
36,2
|
36
|
-2,1
|
-0,8
|
-1,1
|
-0,7
|
-2,3
|
-0,4
|
|
18.12.2015 22:50
|
45,3
|
48,3
|
47,3
|
-6
|
-3,5
|
-3,9
|
-3
|
-6,4
|
|
18.12.2015 23:50
|
38,6
|
43,6
|
43,8
|
-6,5
|
-3,6
|
-4
|
-3,4
|
-6,8
|
-3,1
|
|
19.12.2015 0:50
|
40,4
|
46,8
|
42,1
|
-5
|
-2,6
|
-3
|
-2,4
|
-5,3
|
-2,2
|
|
19.12.2015 1:50
|
28,3
|
36,1
|
31,2
|
-2,3
|
-0,8
|
-1,2
|
-0,7
|
-2,5
|
-0,3
|
|
19.12.2015 2:50
|
46,2
|
50,4
|
50,4
|
-6,2
|
-3,7
|
-3,9
|
-2,8
|
-6,5
|
-3,6
|
|
19.12.2015 3:50
|
35,4
|
39
|
36,6
|
-5,2
|
-2,6
|
-3,2
|
-2,4
|
-5,3
|
-2,2
|
|
19.12.2015 4:50
|
48,3
|
49,5
|
52,1
|
-5,9
|
-3,2
|
-3,6
|
-3
|
-6,2
|
-2,9
|
|
19.12.2015 5:50
|
42,9
|
48,4
|
47,2
|
-4,5
|
-2,4
|
-2,7
|
-2,1
|
-4,8
|
-2,1
|
|
19.12.2015 6:50
|
29,6
|
36,8
|
32
|
-2,9
|
-1,3
|
-1,6
|
-0,9
|
-3,1
|
-0,8
|
|
19.12.2015 7:50
|
51,2
|
56,5
|
50,7
|
-6,3
|
-3,3
|
-3,8
|
-3,2
|
-6,5
|
-2,9
|
|
19.12.2015 8:50
|
47,3
|
52,5
|
51,2
|
-5,2
|
-2,6
|
-3
|
-2,5
|
-5,5
|
-2,3
|
|
19.12.2015 9:50
|
40,3
|
47,8
|
44
|
-3,4
|
-1,5
|
-1,8
|
-1,3
|
-3,6
|
-1,1
|
|
19.12.2015 10:50
|
34,3
|
39
|
36,5
|
-5,3
|
-2,9
|
-3,4
|
-2,3
|
-5,6
|
-2,6
|
|
19.12.2015 11:50
|
45,8
|
49
|
47,5
|
-6,5
|
-3,6
|
-4,1
|
-3,4
|
-6,7
|
-3,2
|
|
19.12.2015 12:50
|
43,7
|
46
|
46,2
|
-5,4
|
-2,8
|
-3,3
|
-2,7
|
-5,7
|
-2,4
|
|
19.12.2015 13:50
|
39,8
|
50,3
|
41,3
|
-3,6
|
-1,6
|
-2
|
-1,6
|
-3,9
|
-1,3
|
|
19.12.2015 14:50
|
34,7
|
40,1
|
35,9
|
-4,6
|
-2,3
|
-2,9
|
-2
|
-4,8
|
-2
|
|
19.12.2015 15:50
|
54,8
|
55,3
|
54,7
|
-6,4
|
-3,4
|
-3,9
|
-3,3
|
-6,6
|
-2,9
|
|
19.12.2015 16:50
|
45,6
|
54,2
|
50,5
|
-5,5
|
-2,8
|
-3,3
|
-2,7
|
-5,8
|
-2,4
|
|
19.12.2015 17:50
|
44,5
|
47,1
|
48,5
|
-3,6
|
-1,7
|
-2
|
-1,5
|
-3,9
|
-1,3
|
|
19.12.2015 18:50
|
44,5
|
48,4
|
46,2
|
-6
|
-3,4
|
-3,8
|
-2,7
|
-6,2
|
-3,1
|
|
19.12.2015 19:50
|
47,3
|
51,9
|
51,1
|
-6.2
|
-3,2
|
-3,7
|
-3,2
|
-6,4
|
-2,7
|
|
19.12.2015 20:50
|
49,6
|
51,1
|
51
|
-4,6
|
-2,2
|
-2,6
|
-2,2
|
-4,9
|
-1,8
|
|
19.12.2015 21:50
|
31,9
|
37,7
|
34,5
|
-3,3
|
-1,4
|
-1,8
|
-1,2
|
-3,5
|
-0,9
|
|
19.12.2015 22:50
|
53,9
|
52,6
|
56
|
-5,4
|
-2,9
|
-3,2
|
-2,5
|
-5,7
|
-2,7
|
|
19.12.2015 23:50
|
50,9
|
49,9
|
52,2
|
-5,9
|
-3
|
-3,5
|
-2,9
|
-6,1
|
-2,5
|
|
20.12.2015 0:50
|
30,7
|
40
|
34,2
|
-2,2
|
-0,7
|
-1,1
|
-0,7
|
-2,4
|
-0,2
|
|
20.12.2015 1:50
|
53,5
|
59,7
|
57,7
|
-6,2
|
-3,4
|
-3,9
|
-2,9
|
-6,4
|
-3,1
|
|
20.12.2015 2:50
|
44,6
|
47,7
|
46,7
|
-3,5
|
-1,7
|
-2
|
-1,2
|
-3,7
|
-1,2
|
|
20.12.2015 3:50
|
50,9
|
53,7
|
52,7
|
-5,7
|
-2,8
|
-3,2
|
-2,7
|
-6
|
-2,3
|
|
20.12.2015 4:50
|
31
|
38,2
|
34,2
|
-3,2
|
-1,1
|
-1,6
|
-1
|
-3,4
|
-0,5
|
|
20.12.2015 5:50
|
47,5
|
51,1
|
51
|
-5,3
|
-2,5
|
-2,9
|
-2,5
|
-5,5
|
-2,2
|
|
20.12.2015 6:50
|
39,6
|
45,5
|
42,2
|
-5,4
|
-2,8
|
-3,3
|
-2,4
|
-5,6
|
-2,5
|
|
20.12.2015 7:50
|
51,1
|
53,7
|
52,6
|
-6
|
-3,1
|
-3,6
|
-2,7
|
-6,2
|
-2,7
|
|
20.12.2015 8:50
|
33,8
|
40,7
|
35,7
|
-3,5
|
-1,4
|
-1,9
|
-1,1
|
-3,7
|
-0,9
|
|
20.12.2015 9:50
|
49,6
|
56,9
|
50,3
|
-5
|
-2,6
|
-2,9
|
-2,1
|
|
-2,2
|
39,8
|
43,2
|
41,2
|
-4,8
|
-2,4
|
-2,8
|
-1,8
|
-5
|
-2,1
|
|
20.12.2015 11:50
|
49,9
|
54,7
|
51,9
|
-5,7
|
-2,8
|
-3,2
|
-2,6
|
-5,9
|
-2,3
|
|
20.12.2015 12:50
|
46,7
|
49,7
|
50,4
|
-6,5
|
-3,4
|
-3,9
|
-3,3
|
-6,7
|
-2,9
|
|
20.12.2015 13:50
|
36,5
|
41,1
|
41
|
-2
|
-0,6
|
-0,9
|
-0,5
|
-2,1
|
-0,1
|
|
20.12.2015 14:50
|
34,5
|
39,6
|
36,1
|
-2,9
|
-1
|
-1,4
|
-0,8
|
-3,2
|
-0,6
|
|
20.12.2015 15:50
|
52,8
|
51,1
|
52,8
|
-4,8
|
-2,1
|
-2,5
|
-2
|
-5
|
-1,6
|
|
20.12.2015 16:50
|
53,5
|
54,2
|
52,7
|
-5,5
|
-2,6
|
-3
|
-2,5
|
-5,7
|
-2,3
|
|
20.12.2015 17:50
|
52,5
|
57,1
|
55
|
-6,3
|
-3,3
|
-3,7
|
-3
|
-6,6
|
-3,1
|
|
20.12.2015 18:50
|
38,5
|
41,2
|
39,9
|
-4,3
|
-2
|
-2,4
|
-1,5
|
-4,6
|
-1,6
|
|
20.12.2015 19:50
|
50,4
|
54,7
|
53,1
|
-5,5
|
-2,8
|
-3,2
|
-2,5
|
-5,7
|
-2,3
|
|
20.12.2015 20:50
|
50,3
|
53,1
|
50,4
|
-6,1
|
-3,1
|
-3,6
|
-2,9
|
-6,2
|
-2,7
|
|
20.12.2015 21:50
|
46,1
|
51,3
|
49,8
|
-6,1
|
-3,2
|
-3,7
|
-2,8
|
-6,3
|
-2,9
|
|
20.12.2015 22:50
|
34,6
|
42,3
|
36,2
|
-3,3
|
-1,2
|
-1,6
|
-0,9
|
-3,5
|
-0,8
|
|
20.12.2015 23:50
|
52,6
|
56,3
|
55,6
|
-4,9
|
-2,3
|
-2,7
|
-2
|
-5,2
|
-1,7
|
|
21.12.2015 0:50
|
50,4
|
58
|
53,9
|
-5,3
|
-2,6
|
-3
|
-2,2
|
-5,6
|
-2,1
|
|
21.12.2015 1:50
|
54,7
|
58,6
|
55,9
|
-5,6
|
-2,9
|
-3,2
|
-2,3
|
-5,9
|
-2,6
|
|
21.12.2015 2:50
|
34
|
41,1
|
36,3
|
-2,9
|
-0,9
|
1,3
|
-0,5
|
-3,2
|
-0,5
|
|
21.12.2015 3:50
|
38,3
|
43,9
|
46,7
|
-2
|
-0,5
|
-0,9
|
-0,4
|
-2,1
|
-0,1
|
|
21.12.2015 4:50
|
42,7
|
46,8
|
43,1
|
-2,1
|
-0,6
|
-1
|
-0,4
|
-2,2
|
-0,1
|
|
21.12.2015 5:50
|
39,1
|
46
|
42
|
-1,8
|
-0,4
|
-0,8
|
-0,2
|
-1,9
|
0
|
|
21.12.2015 6:50
|
32
|
40,2
|
35
|
-3
|
-1,1
|
-1,4
|
-0,5
|
-3,2
|
-0,5
|
|
21.12.2015 7:50
|
34,9
|
41,3
|
37,9
|
-2
|
-0,6
|
-0,9
|
-0,5
|
-2,2
|
-0,1
|
|
21.12.2015 8:50
|
38,3
|
43,1
|
41,3
|
-2,3
|
-0,6
|
-1
|
-0,6
|
-2,5
|
-0,2
|
|
21.12.2015 9:50
|
37,2
|
41,2
|
44,4
|
-2,5
|
-0,9
|
-1,2
|
-0,7
|
-2,8
|
-0,5
|
Таблица П1.2 - Результаты испытания Модуль: Б
|
ТГЦ-МГ4.01Модуль: Б Режим
Наблюдение
|
|
Дата
|
q1,Вт/м.кв
|
q2, Вт/м. кв
|
q3,Вт/м.кв
|
t1,°C
|
t2,°C
|
t3,°C
|
t4,°C
|
t5,°C
|
t6,°C
|
|
21.12.2015 19:08
|
56,5
|
56,4
|
42,4
|
0,8
|
2,9
|
2,8
|
2,3
|
0,4
|
3,2
|
|
21.12.2015 20:08
|
52,9
|
52,8
|
38,4
|
-0,6
|
1,7
|
1,6
|
1,3
|
-1,1
|
2,2
|
|
21.12.2015 21:08
|
57,3
|
54,9
|
40,3
|
-1,6
|
0,6
|
0,6
|
0,1
|
-2,3
|
1
|
|
21.12.2015 22:08
|
56,8
|
56,6
|
42
|
-1,2
|
1,2
|
1,2
|
0,6
|
-1,8
|
1,6
|
|
21.12.2015 23:08
|
53,5
|
52
|
38,4
|
0
|
2,1
|
2
|
1,5
|
-0,4
|
2,4
|
|
22.12.2015 0:08
|
56,9
|
56,8
|
43,6
|
-1,4
|
0,7
|
0,7
|
0,2
|
-2
|
1,1
|
|
22.12.2015 1:08
|
56,4
|
53,9
|
42,6
|
-1,7
|
0,6
|
0,6
|
0,2
|
-2,3
|
1
|
|
22.12.2015 2:08
|
54,7
|
59,5
|
41,4
|
-2
|
0,5
|
0,5
|
0,1
|
-2,6
|
1,1
|
|
22.12.2015 3:08
|
52,9
|
54,1
|
36,8
|
-0,1
|
1,9
|
1,8
|
1,5
|
-0,5
|
2,2
|
|
22.12.2015 4:08
|
55,4
|
56,3
|
42,7
|
-1,8
|
0,3
|
0,3
|
-0,1
|
-2,3
|
|
22.12.2015 5:08
|
46,8
|
49,2
|
32,9
|
0,1
|
2,1
|
1,8
|
1,9
|
-0,4
|
2,5
|
|
22.12.2015 6:08
|
53,9
|
54
|
37,6
|
-0,3
|
1,7
|
1,5
|
1,3
|
-0,7
|
2,1
|
|
22.12.2015 7:08
|
55,7
|
54,3
|
41,7
|
-0,1
|
1,6
|
1,5
|
1,1
|
-0,6
|
1,7
|
|
22.12.2015 8:08
|
50,5
|
51,6
|
34,9
|
-0,6
|
1
|
0,9
|
0,9
|
-1,1
|
1,3
|
|
22.12.2015 9:08
|
53
|
54,3
|
41,1
|
-0,5
|
1,1
|
1
|
0,9
|
-0,9
|
1,4
|
|
22.12.2015 10:08
|
58,2
|
53,6
|
42
|
-1,6
|
0,3
|
0,3
|
0
|
-2
|
0,7
|
|
22.12.2015 11:08
|
60
|
54,1
|
44,5
|
-0,2
|
1,7
|
1,6
|
1,2
|
-0,6
|
2
|
|
22.12.2015 12:08
|
54
|
53,4
|
38,7
|
-1,1
|
0,6
|
0,6
|
0,4
|
-1,6
|
1
|
|
22.12.2015 13:08
|
56,5
|
54,1
|
38,8
|
-0,4
|
1,4
|
1,2
|
1
|
-0,8
|
1,7
|
|
22.12.2015 14:08
|
56,5
|
55,1
|
41,8
|
-1,6
|
0,4
|
0,4
|
0
|
-2,1
|
0,8
|
|
22.12.2015 15:08
|
56,8
|
60,1
|
38,9
|
-0,3
|
1,6
|
1,5
|
1,1
|
-0,7
|
1,9
|
|
22.12.2015 16:08
|
49,5
|
49,4
|
37,5
|
-0,5
|
1,3
|
1,2
|
1,1
|
-0,9
|
1,6
|
|
22.12.2015 17:08
|
55,3
|
53
|
39
|
-0,7
|
1
|
0,9
|
0,7
|
-1,1
|
1,3
|
|
22.12.2015 18:08
|
55,3
|
58,8
|
41,2
|
-1,8
|
0,2
|
0,2
|
-0,2
|
-2,3
|
0,6
|
|
22.12.2015 19:08
|
54,5
|
55,6
|
40,8
|
-0,4
|
1,5
|
1,4
|
1
|
-0,8
|
1,7
|
|
22.12.2015 20:08
|
45,7
|
43,9
|
31,1
|
-0,2
|
1,6
|
1,4
|
1,4
|
-0,6
|
2
|
|
22.12.2015 21:08
|
55,9
|
56,8
|
42,8
|
-1,3
|
0,5
|
0,5
|
0,1
|
-1,7
|
0,8
|
|
22.12.2015 22:08
|
50,2
|
52,5
|
33,3
|
-1,1
|
0,9
|
0,9
|
0,6
|
-1,5
|
1,3
|
|
22.12.2015 23:08
|
57,1
|
55,8
|
40,2
|
-0,6
|
1,2
|
1,2
|
0,7
|
-1,1
|
1,4
|
|
23.12.2015 0:08
|
55,4
|
56,4
|
43,1
|
-0,4
|
1,3
|
1,1
|
0,9
|
-0,8
|
1,4
|
|
23.12.2015 1:08
|
54,5
|
58,7
|
42
|
-1,9
|
-0,1
|
0
|
-0,4
|
-2,4
|
0,3
|
|
23.12.2015 2:08
|
53,7
|
54,6
|
37,5
|
-0,7
|
1,2
|
1,1
|
0,8
|
-1
|
1,5
|
|
23.12.2015 3:08
|
60
|
56,7
|
42
|
-0,6
|
1,3
|
1,3
|
0,8
|
-1
|
1,5
|
|
23.12.2015 4:08
|
50,2
|
50,1
|
34,7
|
0,3
|
1,9
|
1,6
|
1,6
|
-0,1
|
2,1
|
|
23.12.2015 5:08
|
58,4
|
58,5
|
43,8
|
-1,8
|
0
|
0
|
-0,3
|
-2,3
|
0,3
|
|
23.12.2015 6:08
|
47,5
|
46,8
|
33,2
|
0,3
|
2
|
1,7
|
1,7
|
-0,1
|
2,3
|
|
23.12.2015 7:08
|
56,7
|
58,4
|
42,5
|
-0,9
|
1
|
1
|
0,5
|
-1,3
|
1,3
|
ПРИЛОЖЕНИЕ 2 (обязательное)
Результаты испытания кирпича керамического
утолщенного с одной прямоугольной пустотой
Таблица П2.1 - Результаты испытания Модуль: А
|
Дата
|
Длительность изм., ч.
|
Интервал, мин
|
t1,°C
|
t2,°C
|
t3,°C
|
t4,°C
|
t5,°C
|
t6,°C
|
|
18.12.2015 14:49
|
72
|
60
|
19,4
|
19
|
18,8
|
17,8
|
22,8
|
18,5
|
|
18.12.2015 15:49
|
72
|
60
|
19,4
|
19,1
|
19
|
17,9
|
23
|
18,7
|
|
18.12.2015 16:49
|
72
|
60
|
19,4
|
19
|
18,9
|
17,8
|
22,4
|
18,6
|
|
18.12.2015 17:49
|
72
|
60
|
19,1
|
18,8
|
18,8
|
17,6
|
21,8
|
18,4
|
|
18.12.2015 18:49
|
72
|
60
|
19,3
|
19
|
18,8
|
17,8
|
22,4
|
18,5
|
|
18.12.2015 19:49
|
72
|
60
|
19,4
|
19
|
18,9
|
17,8
|
22,7
|
18,5
|
|
18.12.2015 20:49
|
72
|
60
|
19,2
|
19
|
18,8
|
17,7
|
22,3
|
18,5
|
|
18.12.2015 21:49
|
72
|
60
|
19
|
18,7
|
17,5
|
21,5
|
18,3
|
|
18.12.2015 22:49
|
72
|
60
|
19,1
|
18,9
|
18,8
|
17,7
|
22,3
|
18,4
|
|
18.12.2015 23:49
|
72
|
60
|
19,2
|
18,9
|
18,8
|
17,8
|
22,2
|
18,4
|
|
19.12.2015 0:49
|
72
|
60
|
19,1
|
18,8
|
18,8
|
17,7
|
22
|
18,3
|
|
19.12.2015 1:49
|
72
|
60
|
19
|
18,7
|
18,7
|
17,5
|
21,7
|
18,3
|
|
19.12.2015 2:49
|
72
|
60
|
19,4
|
19,1
|
19
|
18
|
23
|
18,6
|
|
19.12.2015 3:49
|
72
|
60
|
19,6
|
19,2
|
19,1
|
18
|
23,2
|
18,7
|
|
19.12.2015 4:49
|
72
|
60
|
19,5
|
19,2
|
19,1
|
18
|
23
|
18,7
|
|
19.12.2015 5:49
|
72
|
60
|
19,4
|
19
|
19
|
17,9
|
22,2
|
18,6
|
|
19.12.2015 6:49
|
72
|
60
|
19,4
|
19,1
|
19,1
|
18
|
22,5
|
18,7
|
|
19.12.2015 7:49
|
72
|
60
|
19,6
|
19,3
|
19,2
|
18,1
|
23,4
|
18,8
|
|
19.12.2015 8:49
|
72
|
60
|
19,6
|
19,3
|
19,2
|
18,1
|
22,8
|
18,8
|
|
19.12.2015 9:49
|
72
|
60
|
19,4
|
19,1
|
19,1
|
17,9
|
22,2
|
18,7
|
|
19.12.2015 10:49
|
72
|
60
|
19,6
|
19,3
|
19,3
|
18,2
|
23,2
|
18,8
|
|
19.12.2015 11:49
|
72
|
60
|
19,7
|
19,4
|
19,3
|
18,1
|
23,4
|
18,8
|
|
19.12.2015 12:49
|
72
|
60
|
19,5
|
19,1
|
19,1
|
17,9
|
22,6
|
18,7
|
|
19.12.2015 13:49
|
72
|
60
|
19,5
|
19,2
|
19,2
|
17,9
|
22,2
|
18,7
|
|
19.12.2015 14:49
|
72
|
60
|
19,9
|
19,6
|
19,5
|
18,4
|
23,7
|
19
|
|
19.12.2015 15:49
|
72
|
60
|
20
|
19,7
|
19,6
|
18,5
|
24
|
19,1
|
|
19.12.2015 16:49
|
72
|
60
|
20
|
19,7
|
19,7
|
18,5
|
23,8
|
19,1
|
|
19.12.2015 17:49
|
72
|
60
|
19,8
|
19,5
|
19,5
|
18,3
|
22,6
|
19
|
|
19.12.2015 18:49
|
72
|
60
|
20,3
|
20,1
|
20
|
18,8
|
24,3
|
19,4
|
|
19.12.2015 19:49
|
72
|
60
|
20,4
|
20
|
20,1
|
18,9
|
24,4
|
19,5
|
|
19.12.2015 20:49
|
72
|
60
|
20,3
|
19,9
|
20
|
18,7
|
23,7
|
19,4
|
|
19.12.2015 21:49
|
72
|
60
|
20,3
|
20,1
|
20,2
|
18,9
|
24,1
|
19,5
|
|
19.12.2015 22:49
|
72
|
60
|
20,7
|
20,4
|
20,5
|
19,2
|
24,5
|
19,8
|
|
19.12.2015 23:49
|
72
|
60
|
20,8
|
20,5
|
20,6
|
19,3
|
25
|
19,9
|
|
20.12.2015 0:49
|
72
|
60
|
20,5
|
20,2
|
20,3
|
19
|
23,7
|
19,7
|
|
20.12.2015 1:49
|
72
|
60
|
20,9
|
20,7
|
20,8
|
19,4
|
24,8
|
20
|
|
20.12.2015 2:49
|
72
|
60
|
20,7
|
20,3
|
20,5
|
19,1
|
23,7
|
19,8
|
|
20.12.2015 3:49
|
72
|
60
|
21,1
|
20,7
|
20,9
|
19,5
|
25
|
20,1
|
|
20.12.2015 4:49
|
72
|
60
|
20,9
|
20,6
|
20,8
|
19,4
|
24,6
|
20,1
|
|
20.12.2015 5:49
|
72
|
60
|
21
|
20,7
|
20,9
|
19,5
|
24,7
|
20,1
|
|
20.12.2015 6:49
|
72
|
60
|
21,2
|
20,9
|
21
|
19,6
|
25,1
|
20,2
|
|
20.12.2015 7:49
|
72
|
60
|
21,2
|
20,9
|
21,1
|
19,7
|
25
|
20,3
|
|
20.12.2015 8:49
|
72
|
60
|
21,2
|
20,9
|
21,1
|
19,7
|
25,2
|
20,3
|
|
20.12.2015 9:49
|
72
|
60
|
21,3
|
21,1
|
21,2
|
19,8
|
25,2
|
20,4
|
|
20.12.2015 10:49
|
72
|
60
|
21,6
|
21,2
|
21,3
|
20
|
25,6
|
20,6
|
|
20.12.2015 11:49
|
72
|
60
|
21,4
|
21,1
|
21,3
|
19,8
|
25,3
|
20,5
|
|
20.12.2015 12:49
|
72
|
60
|
21,5
|
21,2
|
20
|
25,5
|
20,6
|
|
20.12.2015 13:49
|
72
|
60
|
21,2
|
20,9
|
21,1
|
19,6
|
24,3
|
20,4
|
|
20.12.2015 14:49
|
72
|
60
|
21,4
|
21,1
|
21,3
|
19,9
|
24,8
|
20,5
|
|
20.12.2015 15:49
|
72
|
60
|
21,5
|
21,1
|
21,3
|
19,8
|
24,9
|
20,6
|
|
20.12.2015 16:49
|
72
|
60
|
21,8
|
21,5
|
21,7
|
20,3
|
25,9
|
20,8
|
|
20.12.2015 17:49
|
72
|
60
|
21,9
|
21,7
|
21,8
|
20,5
|
26,2
|
21
|
|
20.12.2015 18:49
|
72
|
60
|
22
|
21,7
|
21,9
|
20,5
|
26,2
|
21,1
|
|
20.12.2015 19:49
|
72
|
60
|
22
|
21,7
|
21,8
|
20,4
|
26,1
|
21
|
|
20.12.2015 20:49
|
72
|
60
|
22
|
21,7
|
21,9
|
20,5
|
26,2
|
21,1
|
|
20.12.2015 21:49
|
72
|
60
|
22,1
|
21,8
|
22
|
20,6
|
26,4
|
21,2
|
|
20.12.2015 22:49
|
72
|
60
|
22
|
21,7
|
21,9
|
20,4
|
26
|
21,1
|
|
20.12.2015 23:49
|
72
|
60
|
22
|
21,7
|
21,9
|
20,5
|
25,7
|
21,1
|
|
21.12.2015 0:49
|
72
|
60
|
22,1
|
21,8
|
22
|
20,6
|
26,2
|
21,2
|
|
21.12.2015 1:49
|
72
|
60
|
22,2
|
21,9
|
22,1
|
20,7
|
26,3
|
21,3
|
|
21.12.2015 2:49
|
72
|
60
|
22,2
|
21,9
|
22,2
|
20,7
|
26,2
|
21,3
|
|
21.12.2015 3:49
|
72
|
60
|
22,1
|
21,8
|
22
|
20,6
|
25,7
|
21,3
|
|
21.12.2015 4:49
|
72
|
60
|
22,2
|
21,8
|
22,1
|
20,6
|
25,7
|
21,4
|
|
21.12.2015 5:49
|
72
|
60
|
22,3
|
21,9
|
22,1
|
20,7
|
25,9
|
21,4
|
|
21.12.2015 6:49
|
72
|
60
|
22,4
|
22,1
|
22,3
|
20,8
|
26,2
|
21,5
|
|
21.12.2015 7:49
|
72
|
60
|
22,2
|
21,8
|
22,1
|
20,6
|
25,4
|
21,3
|
|
21.12.2015 8:49
|
72
|
60
|
22,1
|
21,8
|
22
|
20,5
|
25
|
21,3
|
|
21.12.2015 9:49
|
72
|
60
|
22,2
|
21,8
|
22,1
|
20,6
|
25,1
|
21,3
|
Таблица П2.2 - Результаты испытания Модуль: Б
|
Дата
|
Длительность изм., ч.
|
Интервал, мин
|
t1,°C
|
t2,°C
|
t3,°C
|
t4,°C
|
t5,°C
|
t6,°C
|
|
21.12.2015 19:06
|
72
|
60
|
19,9
|
19,3
|
19,4
|
19,4
|
20,1
|
19,4
|
|
21.12.2015 20:06
|
72
|
60
|
20,1
|
19,5
|
19,6
|
19,6
|
20,3
|
19,5
|
|
21.12.2015 21:06
|
72
|
60
|
20
|
19,4
|
19,6
|
19,6
|
20,3
|
19,4
|
|
21.12.2015 22:06
|
72
|
60
|
19,8
|
19,2
|
19,4
|
19,4
|
20,1
|
19,3
|
|
21.12.2015 23:06
|
72
|
60
|
19,7
|
19,1
|
19,3
|
19,2
|
20
|
19,2
|
|
22.12.2015 0:06
|
72
|
60
|
19,8
|
19,2
|
19,4
|
19,3
|
20
|
19,3
|
|
22.12.2015 1:06
|
72
|
60
|
19,7
|
19,1
|
19,3
|
19,3
|
20
|
19,2
|
|
22.12.2015 2:06
|
72
|
60
|
19,6
|
19
|
19,2
|
19,2
|
19,9
|
19,1
|
|
22.12.2015 3:06
|
72
|
60
|
19,5
|
18,9
|
19,1
|
19
|
19,7
|
19
|
|
22.12.2015 4:06
|
72
|
60
|
19,6
|
19
|
19,2
|
19,1
|
19,8
|
19
|
|
22.12.2015 5:06
|
72
|
60
|
19,5
|
18,9
|
19,1
|
19,1
|
19,7
|
19
|
|
22.12.2015 6:06
|
72
|
60
|
19,4
|
18,7
|
18,9
|
18,9
|
19,6
|
18,8
|
|
22.12.2015 7:06
|
72
|
60
|
19,3
|
18,7
|
18,9
|
19
|
19,6
|
18,8
|
|
22.12.2015 8:06
|
72
|
60
|
19,5
|
18,8
|
19
|
19
|
19,7
|
18,9
|
|
22.12.2015 9:06
|
72
|
60
|
19,2
|
18,6
|
18,8
|
18,8
|
19,4
|
18,7
|
|
22.12.2015 10:06
|
72
|
60
|
19,3
|
18,7
|
18,9
|
18,9
|
19,5
|
18,8
|
|
22.12.2015 11:06
|
72
|
60
|
19,2
|
18,8
|
18,8
|
19,4
|
18,6
|
|
22.12.2015 12:06
|
72
|
60
|
19,3
|
18,6
|
18,9
|
18,9
|
19,6
|
18,8
|
|
22.12.2015 13:06
|
72
|
60
|
19
|
18,4
|
18,5
|
18,6
|
19,2
|
18,5
|
|
22.12.2015 14:06
|
72
|
60
|
19,1
|
18,5
|
18,7
|
18,8
|
19,4
|
18,6
|
|
22.12.2015 15:06
|
72
|
60
|
19
|
18,4
|
18,6
|
18,6
|
19,3
|
18,5
|
|
22.12.2015 16:06
|
72
|
60
|
19,1
|
18,5
|
18,7
|
18,7
|
19,4
|
18,6
|
|
22.12.2015 17:06
|
72
|
60
|
18,9
|
18,3
|
18,5
|
18,5
|
19,1
|
18,3
|
|
22.12.2015 18:06
|
72
|
60
|
18,9
|
18,3
|
18,5
|
18,6
|
19,2
|
18,4
|
|
22.12.2015 19:06
|
72
|
60
|
18,8
|
18,3
|
18,4
|
18,5
|
19,1
|
18,3
|
|
22.12.2015 20:06
|
72
|
60
|
18,9
|
18,3
|
18,5
|
18,5
|
19,2
|
18,3
|
|
22.12.2015 21:06
|
72
|
60
|
18,7
|
18,1
|
18,3
|
18,4
|
19
|
18,2
|
|
22.12.2015 22:06
|
72
|
60
|
18,8
|
18,2
|
18,4
|
18,5
|
19,1
|
18,3
|
|
22.12.2015 23:06
|
72
|
60
|
18,7
|
18,1
|
18,3
|
18,3
|
19
|
18,1
|
|
23.12.2015 0:06
|
72
|
60
|
18,6
|
18
|
18,1
|
18,3
|
18,8
|
18,1
|
|
23.12.2015 1:06
|
72
|
60
|
18,7
|
18,1
|
18,3
|
18,3
|
19
|
18,2
|
|
23.12.2015 2:06
|
72
|
60
|
18,5
|
17,9
|
18
|
18,1
|
18,8
|
18
|
|
23.12.2015 3:06
|
72
|
60
|
18,5
|
18
|
18,2
|
18,2
|
18,8
|
18
|
|
23.12.2015 4:06
|
72
|
60
|
18,6
|
17,9
|
18,1
|
18,2
|
18,8
|
18
|
|
23.12.2015 5:06
|
72
|
60
|
18,6
|
18
|
18,1
|
18,2
|
18,9
|
T8,1
|
|
23.12.2015 6:06
|
72
|
60
|
18,5
|
17,8
|
18
|
18,1
|
18,7
|
17,9
|
|
23.12.2015 7:06
|
72
|
60
|
18,4
|
17,8
|
18
|
18,1
|
18,8
|
17,9
|
ПРИЛОЖЕНИЕ 3 (обязательное)
Результаты испытания кирпича керамического
одинарного
Таблица П3.1 - Результаты испытания Модуль: А
|
Дата
|
q1,Вт/м.кв
|
q2, Вт/м. кв
|
q3,Вт/м.кв
|
t1,°C
|
t2,°C
|
t3,°C
|
t4,°C
|
t5,°C
|
t6,°C
|
|
21.12.2015 19:08
|
56,5
|
56,4
|
42,4
|
0,5
|
0,4
|
19,9
|
18,8
|
19,4
|
19,2
|
|
21.12.2015 20:08
|
52,9
|
52,8
|
38,4
|
0,5
|
0,8
|
19,8
|
18,8
|
19,3
|
19,1
|
|
21.12.2015 21:08
|
57,3
|
54,9
|
40,3
|
-0,7
|
-0,9
|
19,9
|
18,8
|
19,4
|
19,2
|
|
21.12.2015 22:08
|
56,8
|
56,6
|
42
|
-1,4
|
-1,5
|
19,9
|
18,7
|
19,3
|
19,2
|
|
21.12.2015 23:08
|
53,5
|
52
|
38,4
|
-0,1
|
-0,2
|
19,8
|
18,7
|
19,2
|
19
|
|
22.12.2015 0:08
|
56,9
|
56,8
|
43,6
|
-1,6
|
-1,7
|
19,9
|
18,7
|
19,3
|
19,1
|
|
22.12.2015 1:08
|
56,4
|
53,9
|
42,6
|
-1,6
|
-1,7
|
19,8
|
18,6
|
19,2
|
19
|
|
22.12.2015 2:08
|
54,7
|
59,5
|
41,4
|
-0,1
|
0
|
19,6
|
18,5
|
19
|
18,8
|
|
22.12.2015 3:08
|
52,9
|
54,1
|
36,8
|
-0,2
|
-0,3
|
19,6
|
18,4
|
19,1
|
18,8
|
|
22.12.2015 4:08
|
55,4
|
56,3
|
42,7
|
-0,3
|
-0,3
|
19,6
|
18,4
|
19
|
18,8
|
|
22.12.2015 5:08
|
46,8
|
49,2
|
32,9
|
-0,2
|
0,1
|
19,6
|
18,4
|
19
|
18,7
|
|
22.12.2015 6:08
|
53,9
|
54
|
37,6
|
-1
|
-1
|
19,5
|
18,3
|
19
|
18,7
|
|
22.12.2015 7:08
|
55,7
|
54,3
|
41,7
|
-0,2
|
-0,3
|
19,5
|
18,3
|
18,9
|
18,7
|
|
22.12.2015 8:08
|
50,5
|
51,6
|
34,9
|
0,5
|
0,7
|
19,3
|
18,2
|
18,8
|
18,6
|
|
22.12.2015 9:08
|
53
|
54,3
|
41,1
|
-1
|
-1,1
|
19,5
|
18,3
|
18,9
|
18,7
|
|
22.12.2015 10:08
|
58,2
|
53,6
|
-0,7
|
-0,9
|
19,5
|
18,3
|
18,9
|
18,6
|
|
22.12.2015 11:08
|
60
|
54,1
|
44,5
|
-0,3
|
-0,4
|
19,4
|
18,2
|
18,8
|
18,6
|
|
22.12.2015 12:08
|
54
|
53,4
|
38,7
|
0,4
|
0,5
|
19,2
|
18,1
|
18,6
|
18,4
|
|
22.12.2015 13:08
|
56,5
|
54,1
|
38,8
|
-1
|
-1,1
|
19,4
|
18,1
|
18,7
|
18,5
|
|
22.12.2015 14:08
|
56,5
|
55,1
|
41,8
|
-0,7
|
-0,9
|
19,3
|
18,1
|
18,6
|
18,5
|
|
22.12.2015 15:08
|
56,8
|
60,1
|
38,9
|
-0,4
|
-0,5
|
19,3
|
18,1
|
18,7
|
18,4
|
|
22.12.2015 16:08
|
49,5
|
49,4
|
37,5
|
0,4
|
0,7
|
19,1
|
18
|
18,5
|
18,3
|
|
22.12.2015 17:08
|
55,3
|
53
|
39
|
-1,2
|
-1,3
|
19,3
|
18
|
18,6
|
18,4
|
|
22.12.2015 18:08
|
55,3
|
58,8
|
41,2
|
-0,6
|
-0,7
|
19,2
|
18
|
18,5
|
18,4
|
|
22.12.2015 19:08
|
54,5
|
55,6
|
40,8
|
-0,6
|
-0,7
|
19,1
|
17,9
|
18,4
|
18,3
|
|
22.12.2015 20:08
|
45,7
|
43,9
|
31,1
|
-0,1
|
0,2
|
19,1
|
17,8
|
18,4
|
18,2
|
|
22.12.2015 21:08
|
55,9
|
56,8
|
42,8
|
-1,5
|
-1,6
|
19
|
17,8
|
18,4
|
18,2
|
|
22.12.2015 22:08
|
50,2
|
52,5
|
33,3
|
0,3
|
0,4
|
18,8
|
17,7
|
18,2
|
18
|
|
22.12.2015 23:08
|
57,1
|
55,8
|
40,2
|
-0,7
|
-0,8
|
19
|
17,7
|
18,3
|
18,2
|
|
23.12.2015 0:08
|
55,4
|
56,4
|
43,1
|
-1,1
|
-1,1
|
19
|
17,8
|
18,4
|
18,2
|
|
23.12.2015 1:08
|
54,5
|
58,7
|
42
|
-0,2
|
-0,1
|
18,8
|
17,6
|
18,2
|
18
|
|
23.12.2015 2:08
|
53,7
|
54,6
|
37,5
|
-1,3
|
-1,3
|
18,9
|
17,7
|
18,2
|
18,1
|
|
23.12.2015 3:08
|
60
|
56,7
|
42
|
-0,7
|
-0,8
|
18,9
|
17,7
|
18,3
|
18
|
|
23.12.2015 4:08
|
50,2
|
50,1
|
34,7
|
-0,9
|
-0,9
|
18,8
|
17,6
|
18,2
|
18
|
|
23.12.2015 5:08
|
58,4
|
58,5
|
43,8
|
-0,7
|
-0,8
|
18,9
|
17,6
|
18,1
|
18
|
Таблица П3.2 - Результаты испытания Модуль: Б
|
Дата
|
q1, Вт/м.кв
|
q2, Вт/м.кв
|
q3, Вт/м.кв
|
t1,°C
|
t2,°C
|
t3,°C
|
t4,°C
|
t5,°C
|
t6,°C
|
|
18.12.2015 14:55
|
53
|
58,1
|
61,1
|
-1,8
|
-1,7
|
17,3
|
16,3
|
16,3
|
16,5
|
|
18.12.2015 15:55
|
52,2
|
57,9
|
60,9
|
-2,4
|
-2,5
|
17,5
|
16,4
|
16,4
|
16,6
|
|
18.12.2015 16:55
|
54,9
|
62,7
|
65,4
|
-4,6
|
-5,9
|
17,8
|
16,5
|
16,6
|
16,7
|
|
18.12.2015 17:55
|
53,3
|
59,6
|
62,4
|
-3,9
|
-4,7
|
17,7
|
16,4
|
16,5
|
16,6
|
|
18.12.2015 18:55
|
51,3
|
56,8
|
60,4
|
-2,3
|
-2,3
|
17,4
|
16,4
|
16,4
|
16,5
|
|
18.12.2015 19:55
|
51,2
|
57,6
|
59,2
|
-2,5
|
-2,7
|
17,4
|
16,4
|
16,4
|
16,5
|
|
18.12.2015 20:55
|
53,6
|
60,8
|
63,7
|
-3,8
|
-4,8
|
17,6
|
16,4
|
16,4
|
16,6
|
|
18.12.2015 21:55
|
53,4
|
60,8
|
63,3
|
-3,9
|
-4,7
|
17,6
|
16,4
|
16,4
|
16,6
|
|
18.12.2015 22:55
|
51
|
57,3
|
59,6
|
-2,2
|
-2,2
|
17,3
|
16,3
|
16,3
|
16,5
|
|
18.12.2015 23:55
|
48,6
|
57,7
|
59,1
|
-2
|
-2
|
17,3
|
16,3
|
16,3
|
16,5
|
|
19.12.2015 0:55
|
53,4
|
59,1
|
62,9
|
-4,7
|
-5,9
|
17,6
|
16,4
|
16,4
|
16,5
|
|
19.12.2015 1:55
|
53,1
|
59,6
|
64,3
|
-3,9
|
-4,7
|
17,7
|
16,4
|
16,4
|
16,6
|
|
19.12.2015 2:55
|
52,5
|
59,5
|
62,1
|
-2,2
|
-2,2
|
17,4
|
16,4
|
16,4
|
16,5
|
|
19.12.2015 3:55
|
54
|
60,6
|
64,2
|
-3,2
|
-3,9
|
17,6
|
16,4
|
16,5
|
16,6
|
|
19.12.2015 4:55
|
53
|
60,7
|
-2,6
|
-2,9
|
17,5
|
16,4
|
16,5
|
16,6
|
|
19.12.2015 5:55
|
56,2
|
62,5
|
64,4
|
-4,6
|
-5,7
|
17,8
|
16,5
|
16,6
|
16,7
|
|
19.12.2015 6:55
|
52,1
|
60
|
62,6
|
-1,4
|
-1,2
|
17,5
|
16,5
|
16,5
|
16,6
|
|
19.12.2015 7:55
|
53
|
59,9
|
63,2
|
-2,2
|
-2,3
|
17,6
|
16,5
|
16,5
|
16,7
|
|
19.12.2015 8:55
|
56
|
60,2
|
64,5
|
-4,1
|
-5,2
|
17,9
|
16,7
|
16,7
|
16,8
|
|
19.12.2015 9:55
|
53,6
|
58,8
|
63,3
|
-4,3
|
-5,3
|
17,9
|
16,6
|
16,7
|
16,8
|
|
19.12.2015 10:55
|
50,2
|
56,5
|
58,2
|
-1,8
|
-1,6
|
17,5
|
16,5
|
16,5
|
16,7
|
|
19.12.2015 11:55
|
54,9
|
60
|
64
|
-2,6
|
-3
|
17,7
|
16,6
|
16,7
|
16,8
|
|
19.12.2015 12:55
|
52,8
|
57,9
|
60,4
|
-3,1
|
-3,8
|
17,8
|
16,6
|
16,7
|
16,8
|
|
19.12.2015 13:55
|
57,7
|
60,9
|
63,3
|
-4,3
|
-5,5
|
18
|
16,7
|
16,8
|
17
|
|
19.12.2015 14:55
|
52,5
|
58,2
|
60,7
|
-1,7
|
-1,5
|
17,7
|
16,7
|
16,7
|
16,9
|
|
19.12.2015 15:55
|
54,6
|
59,4
|
63,2
|
-2,2
|
-2,3
|
18
|
16,8
|
16,9
|
17
|
|
19.12.2015 16:55
|
57,9
|
63,6
|
67,2
|
-3,4
|
-4,1
|
18,2
|
16,9
|
17
|
17,1
|
|
19.12.2015 17:55
|
58,2
|
65,6
|
68,8
|
-4,3
|
-5,3
|
18,4
|
17
|
17,1
|
17,2
|
|
19.12.2015 18:55
|
55,9
|
62,9
|
64,9
|
-1,8
|
-1,7
|
18,1
|
17
|
17,1
|
17,2
|
|
19.12.2015 19:55
|
57,8
|
64,1
|
67,4
|
-2,4
|
-2,7
|
18,3
|
17,1
|
17,2
|
17,3
|
|
19.12.2015 20:55
|
59,9
|
65,8
|
70,6
|
-4,6
|
-5,8
|
18,8
|
17,3
|
17,4
|
17,5
|
|
19.12.2015 21:55
|
57,6
|
65,5
|
68,5
|
-3,5
|
-4,2
|
18,6
|
17,3
|
17,3
|
17,5
|
|
19.12.2015 22:55
|
56,5
|
63,9
|
68,6
|
-1,5
|
-1,3
|
18,5
|
17,4
|
17,4
|
17,5
|
|
19.12.2015 23:55
|
58,6
|
66,1
|
70,4
|
-2,9
|
-3,4
|
18,9
|
17,5
|
17,6
|
17,7
|
|
20.12.2015 0:55
|
59,2
|
65,8
|
71
|
-3,9
|
-5
|
18,9
|
17,6
|
17,7
|
17,8
|
|
20.12.2015 1:55
|
54,5
|
66,3
|
69,8
|
-2,1
|
-2,1
|
18,8
|
17,6
|
17,6
|
17,7
|
|
20.12.2015 2:55
|
56,5
|
64,3
|
67,4
|
-1,1
|
-0,9
|
18,7
|
17,6
|
17,6
|
17,7
|
|
20.12.2015 3:55
|
58,8
|
66,9
|
69,6
|
-3,6
|
-4,6
|
19,1
|
17,8
|
17,8
|
18
|
|
20.12.2015 4:55
|
59,8
|
65,4
|
70,1
|
-3,5
|
-4,5
|
19,1
|
17,8
|
17,9
|
18
|
|
20.12.2015 5:55
|
59
|
66,6
|
71,6
|
-4,5
|
-5,9
|
19,3
|
17,8
|
17,9
|
18
|
|
20.12.2015 6:55
|
55,9
|
61,1
|
63,1
|
-1,7
|
-1,6
|
18,9
|
17,7
|
17,8
|
17,9
|
|
20.12.2015 7:55
|
56,5
|
65,5
|
68,9
|
-3
|
-3,5
|
19,3
|
17,9
|
18
|
18
|
|
20.12.2015 8:55
|
61,9
|
67,9
|
72,9
|
-3,4
|
-4,2
|
19,5
|
18
|
18,1
|
18,2
|
|
20.12.2015 9:55
|
62,5
|
69,9
|
73,3
|
-4,6
|
-5,7
|
19,8
|
18,1
|
18,3
|
18,3
|
|
20.12.2015 10:55
|
59,9
|
65
|
68,2
|
-1,4
|
-1,3
|
19,4
|
18
|
18,1
|
18,3
|
|
20.12.2015 11:55
|
59,9
|
66,3
|
71,8
|
-4,4
|
-5,7
|
19,8
|
18,1
|
18,2
|
18,4
|
|
20.12.2015 12:55
|
58,9
|
62,4
|
68,3
|
-2,4
|
-2,7
|
19,4
|
18,1
|
18,1
|
18,3
|
|
20.12.2015 13:55
|
58,4
|
65,2
|
69,8
|
-3,8
|
-4,8
|
19,8
|
18,2
|
18,2
|
18,3
|
|
20.12.2015 14:55
|
56,6
|
65,1
|
66,9
|
-1
|
-0,7
|
19,4
|
18,1
|
18,1
|
18,2
|
|
20.12.2015 15:55
|
58,5
|
67,5
|
71
|
-5,7
|
19,9
|
18,2
|
18,3
|
18,5
|
|
20.12.2015 16:55
|
62,2
|
69,6
|
73,1
|
-4,6
|
-5,9
|
20,2
|
18,4
|
18,5
|
18,6
|
|
20.12.2015 17:55
|
58,9
|
66,2
|
69,1
|
-1,9
|
-1,8
|
20
|
18,4
|
18,5
|
18,6
|
|
20.12.2015 18:55
|
58,6
|
66
|
69,7
|
-1,5
|
-1,3
|
20
|
18,4
|
18,5
|
18,6
|
|
20.12.2015 19:55
|
62
|
69,2
|
73,5
|
-4,8
|
-6
|
20,5
|
18,6
|
18,7
|
18,8
|
|
20.12.2015 20:55
|
60,4
|
66,2
|
70,2
|
-2,6
|
-2,8
|
20,2
|
18,6
|
18,7
|
18,7
|
|
20.12.2015 21:55
|
58,3
|
65,1
|
68,9
|
-2,2
|
-2,5
|
20,3
|
18,6
|
18,7
|
18,8
|
|
20.12.2015 22:55
|
57,5
|
66
|
68,4
|
-1,3
|
-1,1
|
21,1
|
18,6
|
18,7
|
18,7
|
|
20.12.2015 23:55
|
62,3
|
67,5
|
72,4
|
-4,4
|
-5,7
|
22,5
|
18,7
|
18,9
|
18,9
|
|
21.12.2015 0:55
|
62,5
|
68,2
|
72,9
|
-4,6
|
-5,9
|
31,6
|
18,8
|
18,9
|
19
|
|
21.12.2015 1:55
|
60,3
|
69
|
74,5
|
-3,5
|
-4,3
|
29,8
|
18,8
|
19
|
19
|
|
21.12.2015 2:55
|
56,5
|
65
|
67,9
|
-1
|
-0,7
|
25,7
|
18,8
|
18,8
|
19
|
|
21.12.2015 3:55
|
62,4
|
71
|
74,5
|
-3,9
|
-5
|
32
|
19
|
19,1
|
19,2
|
|
21.12.2015 4:55
|
62,1
|
68,9
|
74,2
|
-3,9
|
-4,9
|
32
|
19
|
19,1
|
19,3
|
|
21.12.2015 5:55
|
62,9
|
70,4
|
74,6
|
-3,7
|
-4,7
|
31,8
|
19,1
|
19,2
|
19,3
|
|
21.12.2015 6:55
|
59,8
|
64,2
|
68,2
|
-1,2
|
-1
|
25,9
|
19
|
19,1
|
19,2
|
|
21.12.2015 7:55
|
61,4
|
68,3
|
72,6
|
-3,9
|
-5
|
31,7
|
19,1
|
19,2
|
19,3
|
|
21.12.2015 8:55
|
60,8
|
69,4
|
73,2
|
-3,9
|
-4,9
|
31,3
|
19
|
19,1
|
19,2
|
|
21.12.2015 9:55
|
63,2
|
67
|
70,8
|
-3,9
|
-4,7
|
31,4
|
19,1
|
19,3
|
19,3
|