|
|
е =0,85
|
Е=18
|
|
|
0,88
|
|
|
17,1
|
|
|
е =0,95
|
Е=15
|
|
Т.к. модуль деформации
то грунт можно считать среднесжимаемым.
Слой 4. Суглинок.
Коэффициент пористости:
Число пластичности грунта:
т.к.
, то данный грунт действительно является суглинком.
Показатель текучести грунта:
По показателям текучести данный суглинок является мягкопластичным, т.к.
, что соответствует интервалу
.
Степень влажности грунта:
следовательно, данный суглинок не является просадочным.
Коэффициент пористости, соответствующий влажности на границе текучести:
Далее определим показатель
следовательно, суглинок ненабухающий.
Угол внутреннего трения φ определяем интерполируя в
зависимости от пористости e:
.
Удельное сцепление суглинка с:
Расчетное сопротивление суглинка
=192,21 кПа.
Модуль деформации Е = 10,8 МПа. Т.к. модуль деформации
, то грунт можно считать
среднесжимаемым.
Слой 5. Песок крупный.
Коэффициент пористости:
По плотности сложения, устанавливаемому по коэффициенту пористости,
данный песок крупный является песком средней плотности, т.к
, что соответствует интервалу
Степень влажности грунта:
По степени влажности данный песок крупный является насыщенным водой, т.к.
, что соответствует интервалу
.
Угол внутреннего трения φ определяем интерполируя в
зависимости от пористости e:
.
Удельное сцепление с:
Расчетное сопротивление
=500 кПа.
Модуль деформации Е = 27 МПа. Т.к. модуль деформации
, то грунт можно считать
малосжимаемым.
Слой 6. Песок средней крупности.
Коэффициент пористости:
По плотности сложения, устанавливаемому по коэффициенту пористости,
данный песок крупный является песком средней плотности, т.к
, что соответствует интервалу
Степень влажности грунта:
По степени влажности данный песок крупный является насыщенным водой, т.к.
, что соответствует интервалу
.
Угол внутреннего трения φ определяем интерполируя в
зависимости от пористости e:
.
Удельное сцепление с:
Расчетное сопротивление
=400 кПа.
Модуль деформации Е = 32 МПа. Т.к. модуль деформации
, то грунт можно считать
малосжимаемым.
.4 Оценка строительных свойств грунтов площадки
По характеристикам механических свойств грунтов (φ, с, Е) и значению расчетного
сопротивления
можно судить о несущей способности, деформируемости грунта и
возможности использования его в качестве основания фундамента. Явными для этой
цели служат модуль деформации Е и расчетное сопротивление
. Грунты принято считать
малосжимаемыми (а следовательно, хорошими как основания сооружений), если
модуль деформации Е ≥ 20 МПа; среднесжимаемыми - при 20 > Е ≥ 5
МПа; сильносжимаемыми, если Е < 5 МПа. Опирать фундаменты на сильносжимаемые
грунты, (к которым относятся пески рыхлые, пылевато-глинистые, грунты с
показателем текучести, превышающем 0,75) небезопасно, и использовать эти грунты
в качестве оснований капитальных зданий, нормативными документами не
допускается.
В целях наглядного представления о строительных свойствах грунтов
площадки классификационные показатели сведены в таблицу 1.2.
Оценка строительных свойств грунтов:
слой - почвенный - не является основанием вследствие его снятия до начала
строительных работ;
слой - глина полутвердая, непросадочная, модуль деформации Е=18 МПа -
грунт среднесжимаемый, может быть несущим;
слой - глина полутвердая, непросадочная, модуль деформации Е=17,1 МПа -
грунт среднесжимаемый, может быть несущим;
слой - суглинок мягкопластичный, непросадочный, модуль деформации Е=10,8
МПа - грунт среднесжимаемый, может быть несущим;
слой - песок крупный насыщенный водой, модуль деформации Е=27 МПа - грунт
малосжимаемый, может быть несущим;
слой - песок средней крупности насыщенный водой, модуль деформации Е=32
МПа - грунт малосжимаемый, может быть несущим.
В целом площадка пригодна для возведения здания. Все слои строительной
площадки являются несущими, следовательно, могут служить основанием под здание.
Фундамент можно заложить в любом слое, исходя из экономических и технических
соображений.
2. Фундаменты мелкого заложения
.1 Нагрузки, учитываемые в расчетах оснований фундаментов
Нагрузки и воздействия, передаваемые фундаментами сооружений на
основания, как правило, должны устанавливаться расчетом исходя из рассмотрения
совместной работы сооружения и основания или фундамента и основания.
Характер и степень перераспределения нагрузок на основание, а,
следовательно, и дополнительные усилия в конструкциях сооружения зависят от
вида, состояния и свойств грунтов, характера их напластования, статической
схемы сооружения, его пространственной жесткости и многих других факторов.
Все расчеты оснований должны производиться на расчетные значения
нагрузок, которые определяются как произведение их нормальных значений на
коэффициент надежности по нагрузке. Этот коэффициент, учитывающий возможное
отклонение нагрузок в неблагоприятную сторону, принимается при расчете
оснований по несущей способности
, а при расчете оснований по
деформациям
В соответствии с СНБ 5.01.01-99 основания фундаментов, сложенных
нескальными грунтами, рассчитываются по предельному состоянию второй группы,
т.е. по деформациям. В случаях, если на основание передаются значительные
горизонтальные нагрузки (подпорные стены, фундаменты распорных конструкций и
т.п.), если сооружение расположено на откосе или крутопадающем склоне, если
основание сложено слабыми медленно уплотняющимися пылевато-глинистыми
водонасыщенными и биогенными грунтами, если основание сложено скальными
грунтами, основания рассчитываются также по предельному состоянию первой
группы, т.е. по несущей способности.
В курсовой работе нормативные значения нагрузок и воздействий в плоскости
обреза фундамента заданы в задании на курсовое проектирование:
- Ф-1
- N=5300 кH, M=90 кH×м;
- Ф-4
- N=160 кH.
.2 Выбор типа и конструкции фундамента. Назначение глубины заложения
фундаментов. Устройство гидроизоляций
В зависимости от конструктивного решения надфундаментной части сооружения
в курсовой работе могут быть рассмотрены следующие типы фундаментов мелкого
заложения:
а) ленточные под стены зданий;
б) отдельные фундаменты под сборные колонны каркасных зданий и
сооружений.
Детальному расчету подлежат два фундамента:
Ф-1 - внецентренно нагруженный, под колонну сечением 1,0 × 1,0 м (монолитный фундамент
стаканного типа);
Ф-4
- центрально нагруженный, под наружную несущую кирпичную стену, толщиной 0,51
мм (сборный железобетонный фундамент ленточного типа).
Глубина заложения фундамента зависит от многих факторов. Определяющими из
них являются:
а) инженерно-геологические и гидрогеологические условия площадки, и
положение несущего слоя грунта;
б) глубина промерзания грунта;
в) конструктивные особенности подземной части здания (наличие подвала,
коммуникаций, примыкание к соседнему зданию и т.д.).
Глубина заложения фундаментов наружных стен и колонн df назначается в зависимости от
расчетной глубины сезонного промерзания грунтов df, м, определяемой по формуле:
,
где kn -
коэффициент влияния теплового режима сооружения на промерзание грунта у
фундамента,
dfn -
нормативная глубина сезонного промерзания грунтов равная 1,5 м.
Фундамент Ф - 4:
Определяем расчетную глубину сезонного промерзания грунтов df, м:
kh = 0,5 - для ленточных фундаментов
наружных стен отапливаемых сооружений (здание с подвалом или техническим
подпольем при среднесуточной температуре воздуха в помещении, примыкающем к
наружным фундаментам 15°С).
При выборе типа и глубины заложения фундаментов придерживаются следующих
общих правил: минимальная глубина заложения фундаментов принимается не менее
0,5м от спланированной поверхности территории; глубина заложения фундамента в
несущий слой грунта должна быть не менее 10 - 15см; по возможности закладывать
фундаменты выше уровня подземных вод для исключения необходимости применения
водопонижения при производстве работ, в подвальной части здания заглубление
фундаментов принимается не менее 0,4 м ниже пола подвала.
Под наружную кирпичную стену проектируем сборный железобетонный фундамент
ленточного типа, состоящий из фундаментных блоков стеновых и фундаментных плит.
Глубина заложения фундаментов назначается не менее 0,5 расчетной глубины промерзания
от спланированной отметки земли, т.к. несущим слоем является глина с
показателем текучести
В подвальной части здания заглубление фундаментов принимается не менее
0,4 м ниже пола подвала. Исходя из конструктивных соображений (отметка пола
подвала -2,2 м), высоты фундаментных блоков и плит, определяем глубины
заложения фундамента.
Толщину пола первого этажа принимаем 300 мм, пола подвального помещения
100 мм. Определение глубины заложения фундамента показано на рисунке 2.1.
Рисунок 2.1 Определение глубины заложения фундамента ленточного типа Ф -
4
Глубина заложения фундамента - расстояние от поверхности планировки до
подошвы фундамента, следовательно, глубина заложения фундамента d = 2,5 м.
Фундамент Ф -1:
Под внецентренно нагруженную колонну силосного корпуса проектируем
монолитный фундамент стаканного типа высотой 2,4 м.
Определяем расчетную глубину сезонного промерзания грунтов df, м:
kh = 1,0 - для столбчатых фундаментов
при расчетной температуре воздуха в помещении, примыкающем к фундаментам, не
более 0° С.
В неотапливаемых зданиях глубина заложения фундаментов для пучинистых
грунтов принимается не менее расчетной глубины промерзания.
Из конструктивных соображений (высота фундамента 2,4 м, и верхний
обрез фундамента должен быть на 0,15 м ниже отметки земли) отметка
глубины заложения фундамента равна:
Глубина заложения фундамента - d = 2,55 м. Определение глубины заложения фундамента показано на рисунке
2.2.
Рисунок 2.2 Определение глубины заложения фундамента стаканного типа Ф -
1
Практикой строительства выработаны различные способы предохранения
конструкций и подземных помещений от грунтовых вод и влаги. Многие из этих
мероприятий в период строительства, достаточно просты и эффективны.
Защитные мероприятия бывают направлены на предохранение подземных
сооружений и подвалов от сырости, затопления грунтовыми водами, от коррозии и
разрушения материалов подземных конструкций. Выбор этих мероприятий зависит от
гидрогеологических условий строительной площадки, сезонного колебания и возможного
изменения уровня грунтовых вод, их агрессивности, особенностей конструкций и
назначения помещений.
Защита надземных помещений от грунтовой сырости ограничивается
устройством по выровненной поверхности всех стен на высоте 15 - 20 см от верха
отмостки или тротуара непрерывной водонепроницаемой прослойки из жирного
цементного раствора или одного-двух слоев рулонного материала на битуме.
Изоляция от сырости подвальных и заглубленных помещений в сухих грунтах
осуществляется обмазкой за один-два раза наружной поверхности заглубленных стен
горячим битумом и прокладкой рулонной изоляции на уровне пола подвала. Во
влажных грунтах обмазку делают по оштукатуренной цементным раствором
поверхности стены.
Поверхности стен подвалов изолируются от сырости горизонтальной
водонепроницаемой прослойкой в стене, доходящей до пола подземного
.3 Определение размеров подошвы фундамента
Размеры подошвы фундамента устанавливаются путем последовательного
приближения.
В порядке первого приближения площадь подошвы фундамента А, определяется
по формуле:
где NOII - расчетная нагрузка в плоскости
обреза фундамента для расчета
оснований по предельному состоянию второй группы, кН;
RO - расчетное сопротивление грунта, залегающего под
подошвой фундамента;
gm - осредненное значение удельного веса
материала фундамента и грунта на его уступах, принимается равным 20 кН/м3;
d - глубина заложения фундамента от уровня планировки.
Фундамент Ф - 4:
Принимаем
размеры подошвы фундамента Ф - 4 b
l = 0,6
1 м.
После
того, как выбран тип фундамента и назначены его размеры, подсчитываются
нагрузки и воздействия, передающиеся на основание. Нагрузки и воздействия на
основание определяются суммированием усилий, действующих в плоскости обреза
фундамента и соответствующих усилий, возникающих от собственного веса
фундамента, веса грунта на уступах фундамента, веса стеновых блоков и панелей
подвальной части здания, бокового давления грунта на стены подвала. Боковое
давление грунта на стены подвала определяется с учетом временной нагрузки на
поверхности планировки интенсивностью 10 кН/м2. Действие временной
нагрузки заменяется эквивалентным весом грунта засыпки пазух фундамента
приведенной толщиной:
где
- удельный вес грунта засыпки.
,
на
отметке подошвы фундамента:
,
где
d - глубина заложения фундамента;
φ = 24 - осредненное значение угла сдвига грунта засыпки, зависящего от
угла внутреннего трения и удельного сцепления.
Равнодействующая
бокового давления грунта засыпки на стену подвала расчетной длиной 1,0 м:
=
.
Точка
приложения равнодействующей силы:
Расчетное
значение момента в сечении на отметке подошвы фундамента:
В
результате суммарные нагрузки и воздействия по подошве фундамента наружной
стены подвала для расчета основания по деформациям можно представить в виде:
а)
нормальная вертикальная нагрузка:
где
NOII - вертикальная нормальная нагрузка в плоскости обреза
фундамента, кН;
GфII - расчетная нагрузка от веса фундамента;
GГРII - расчетная нагрузка от веса грунта на консоли подушки.
где
γб =24
кН/м3 - удельный вес железобетона,
Vб - объём бетона.
.
Получаем:
б)
момент в плоскости подошвы фундамента:
где
MOII - момент в плоскости обреза фундамента, кН;
MЕII - моментальное усилие от активного давления грунта.
Рисунок
2.3 Расчетная схема ленточного фундамента под наружную стену здания с подвалом
Фундамент
Ф -1:
Принимаем
фундамент с размерами подошвы 3,6 × 3,6 м, второй ступени 3,0 × 3,0 м, третей ступени 2,4 × 2,4 м, размерами подколонника 1,5×1,5 м, высота ступеней по 0,3 м, высота подколонника
1,5м, глубина стакана 1,25м.
Суммарные
нагрузки и воздействия по подошве фундамента
а)
нормальная вертикальная нагрузка:
;
,
где
кН/м3 - удельный вес грунта засыпки.
б)
момент в плоскости подошвы фундамента:
Рисунок 2.4 Расчетная схема фундамента стаканного типа
.4 Проверка напряжений в основании и уточнение размеров подошвы
фундамента
Принятые в первом приближении размеры подошвы фундамента уточняются
исходя из требований СНБ 5.01.01-99 Основания и фундаменты зданий и сооружений,
выражаемых неравенствами:
где
р - среднее давление под подошвой фундамента, кПа;
pmax
и pmin -
соответственно максимальное и минимальное значения краевого давления по подошве
внецентренно нагруженного фундамента, определяемые по формуле внецентренного
сжатия
где
W - момент сопротивления подошвы фундамента,
;
где
l и b -
принятые размеры подошвы фундамента.
Фундамент
Ф - 4:
,
Фундамент
Ф - 1:
,
R -
расчетное сопротивление грунта основания, кПа, определяется по формуле:
где
gC1, gC2 -
коэффициенты условий работы, gC1 =1,25
gC2 =1,1;
k -
коэффициент, принимаемый равным 1,1;
Mg,
Mq, Mc - коэффициенты,
принимаемые по СНБ 5.01.01 - 99 Основания и фундаменты зданий и сооружений;
b - ширина
подошвы фундамента (для прямоугольной подошвы фундамента - ее меньшая сторона),
м;
kz
- коэффициент, принимаемый равным 1 при b
< 10 м;
-
осредненное значение удельного веса грунтов, залегающих выше подошвы фундамента
(с учетом фактического уплотнения обратной засыпки), кН/м3;
gII - то же для грунтов, залегающих ниже подошвы фундамента, кН/м3;
cII
- расчетное значение удельного сцепления грунта, залегающего непосредственно
под подошвой фундамента, кПа;
d1 - глубина заложения фундамента бесподвальных сооружений
или приведенная глубина заложения наружных и внутренних фундаментов от пола
подвала, определяемая по формуле:
- толщина слоя грунта выше подошвы фундамента со стороны
подвала, м;
-
толщина конструкции пола подвала, м;
-
расчетное значение удельного веса конструкции пола подвала, кН/м3;
db
- глубина подвала - расстояние от уровня планировки до пола подвала.
Удельный
вес грунта g, кН/м3, определяется по формуле
,
где
r - плотность грунта, т/м3;
g -
ускорение силы тяжести, равное 9,81 м/с2 » 10 м/с2.
При
наличии подземных вод удельные веса
и gII определяются с учетом взвешивающего действия воды (для слоев грунта,
находящихся ниже зеркала подземных вод). Для такого случая удельный вес грунта
определяется по формуле:

Осредненное
значение удельного веса грунтов, залегающих выше подошвы фундамента:
Фундамент
Ф - 4:
Фундамент
Ф - 1:
Осредненное
значение удельного веса грунтов, залегающих ниже подошвы фундамента:
Фундамент
Ф - 4:
Фундамент Ф - 1:
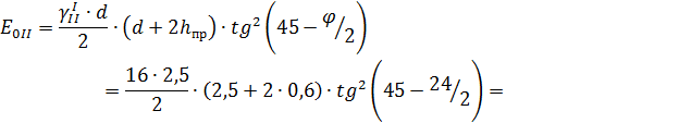
Определяем расчетное сопротивление грунта несущего слоя:
Фундамент Ф - 4:
Условие выполняется. Уменьшить ширину подошвы фундамента, чтобы избежать
недонапряжения в 19,7% невозможно из-за конструктивных особенностей
(минимальная ширина фундаментной плиты 0,6 м).
Принимаем ширину подошвы фундамента Ф - 4 равной 0,6 м.
Фундамент Ф - 1:
Условие выполняется.
Окончательно принимаем фундамент с размерами подошвы 3,6 × 3,6 м, второй ступени 3,0 × 3,0 м, третей ступени 2,4 × 2,4 м, размерами подколонника 1,5×1,5 м, высота ступеней по 0,3 м, высота
подколонника 1,5м, глубина стакана 1,25м.
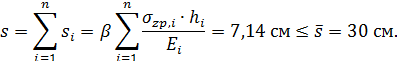
2.5 Расчет осадки фундаментов
Сущность расчета осадки фундамента заключается в удовлетворении условию:
где s - конечная осадка отдельного
фундамента, определяемая расчетом;
- предельная величина деформации основания фундаментов
зданий и сооружений, принимаемая по СНБ 5.01.01 - 99 Основания и фундаменты
зданий и сооружений.
Значение конечной осадки вычисляем по методу послойного суммирования
осадок отдельных слоев в пределах сжимаемой толщи основания, для каждого из
которых устанавливается свое значение модуля деформации с учетом природного
напряженного состояния грунта рассматриваемого слоя.
Расчет осадки фундамента производим в следующей последовательности:
) толщину основания под подошвой фундамента делим на слои в пределах
некоторой ограниченной глубины (ориентировочно 4-кратной ширины подошвы
фундамента). Толщину слоя принимают в пределах 0,4 ширины фундамента (hi £ 0,4 b);
) вычисляем значения вертикального напряжения от собственного веса грунта
на границах выделенных слоев по оси Z, проходящей через центр подошвы фундамента, по формуле:
где szg,o- напряжение от собственного веса грунта на уровне подошвы
фундамента;
,
- удельный вес грунта, залегающего выше подошвы фундамента;
d - глубина заложения фундамента от поверхности природного рельефа;
gi, hi - соответственно удельный вес и
толщина i-го слоя грунта.
) определяем дополнительные вертикальные напряжения на границах
выделенных слоев по оси Z,
проходящей через центр подошвы фундамента, по формуле:
,
где a -
коэффициент, принимаемый по СНБ 5.01.01 - 99 Основания и фундаменты зданий и
сооружений;
- дополнительное вертикальное давление на основание;
Р
- среднее давление под подошвой фундамента:
;
) устанавливаем нижнюю границу сжимаемой толщи основания, принимая ее на
глубине z = Hc, где выполняется условие:
) вычисляем значения модуля деформации грунта каждого слоя с учетом
природного напряженного состояния;
) вычисляем значения деформации каждого слоя сжимаемой толщи основания, а
затем определяем осадку фундамента суммированием деформаций отдельных слоев по
формуле:
где s - конечная (стабилизированная)
осадка фундамента;
- осадка i-го слоя
грунта основания;
- безразмерный коэффициент, принимаемый равным 0,08;
n -
число слоев на которое разбита сжимаемая толща основания;
- среднее значение дополнительного напряжения в i-м слое грунта;
- толщина i-го слоя;
- модуль деформации i-го слоя грунта.
Расчет осадки фундаментов выполнен в том порядке, в котором изложен выше.
Результаты вычислений напряжений от собственного веса грунта и дополнительных
напряжений сведены в таблицы 2.1 и 2.2.
Фундамент Ф - 4:
hi £ 0,4 ×0,6 = 0,24
м;
Таблица 2.1
Расчет осадки ленточного фундамента Ф - 4
|
Номер слоя
|
Z, м
|
zq, кПа
|
ξ=2z/b
|
Α
|
zp, кПа
|
zp,i, кПа
|
Ei, МПа
|
, см
|
|
0
|
0,0
|
47,4
|
0,0
|
1,000
|
276,86
|
|
|
|
|
|
|
|
260,39
|
17,1
|
0,292
|
|
1
|
0,24
|
52,01
|
0,8
|
0,881
|
243,91
|
|
|
|
|
|
|
|
|
|
210,83
|
17,1
|
0,236
|
|
2
|
0,48
|
56,62
|
1,6
|
0,642
|
177,74
|
|
|
|
|
|
|
|
|
|
154,90
|
17,1
|
0,173
|
|
3
|
0,72
|
61,23
|
2,4
|
0,477
|
132,06
|
|
|
|
|
|
|
|
|
|
117,80
|
17,1
|
0,132
|
|
4
|
0,96
|
65,84
|
3,2
|
0,374
|
103,54
|
|
|
|
|
|
|
|
|
|
94,13
|
17,1
|
0,105
|
|
5
|
1,2
|
70,45
|
4,0
|
0,306
|
84,72
|
|
|
|
|
|
|
|
|
|
78,08
|
17,1
|
0,087
|
|
6
|
1,44
|
75,06
|
4,8
|
0,258
|
71,43
|
|
|
|
|
|
|
|
|
|
66,59
|
17,1
|
0,074
|
|
7
|
1,68
|
79,67
|
5,6
|
0,223
|
61,74
|
|
|
|
|
|
|
|
|
|
58,00
|
17,1
|
0,065
|
|
8
|
1,92
|
84,28
|
6,4
|
0,196
|
54,26
|
|
|
|
|
|
|
|
|
|
51,36
|
17,1
|
0,058
|
|
9
|
2,16
|
88,89
|
7,2
|
0,175
|
48,45
|
|
|
|
|
|
|
|
|
|
46,09
|
17,1
|
0,051
|
|
10
|
2,4
|
93,50
|
8,0
|
0,158
|
43,74
|
|
|
|
|
|
|
|
|
|
41,67
|
17,1
|
0,047
|
|
11
|
2,64
|
98,11
|
8,8
|
0,143
|
39,59
|
|
|
|
|
|
|
|
|
|
38,07
|
17,1
|
0,043
|
|
12
|
2,88
|
102,72
|
9,6
|
0,132
|
36,54
|
|
|
|
|
|
|
|
|
|
35,16
|
17,1
|
0,039
|
|
13
|
3,12
|
107,33
|
10,4
|
0,122
|
33,78
|
|
|
|
|
|
|
|
|
|
32,52
|
17,1
|
0,036
|
|
14
|
3,36
|
111,94
|
11,2
|
0,113
|
31,26
|
|
|
|
|
|
|
|
|
|
30,72
|
17,1
|
0,020
|
|
15
|
3,5
|
114,63
|
11,6
|
0,109
|
30,18
|
|
|
|
|
|
|
|
|
|
|
|
1,458
|
Предельная деформация основания по СНБ 5.01.01 - 99 Основания и
фундаменты зданий и сооружений
.
Полная осадка фундамента:
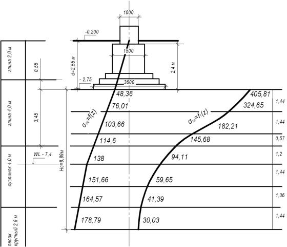
На рисунке 2.5 представлены эпюры напряжений в границах сжимаемой толщи
основания.
Рисунок 2.5 Эпюры напряжений в основании фундамента Ф - 4
Фундамент Ф - 1:
hi £ 0,4 ×3,6 = 1,44
м;
Таблица 2.2
Расчет осадки монолитного фундамента стаканного типа Ф - 1
|
Номер слоя
|
Z, м
|
zq, кПа
|
ξ=2z/b
|
Α
|
zp, кПа
|
zp,i, кПа
|
Ei, МПа
|
, см
|
0,0
|
48,36
|
0,0
|
1,000
|
405,81
|
|
|
|
|
|
|
|
365,23
|
17,1
|
2,46
|
|
1
|
1,44
|
76,01
|
0,8
|
0,8
|
324,65
|
|
|
|
|
|
|
|
|
|
253,43
|
17,1
|
1,70
|
|
2
|
2,88
|
103,66
|
1,6
|
0,449
|
182,21
|
|
|
|
|
|
|
|
|
|
163,95
|
17,1
|
0,43
|
|
3
|
3,45
|
114,60
|
1,92
|
0,359
|
145,68
|
|
|
|
|
|
|
|
|
|
119,89
|
10,8
|
1,07
|
|
4
|
4,65
|
138,00
|
2,58
|
0,232
|
94,11
|
|
|
|
|
|
|
|
|
|
76,88
|
10,8
|
0,82
|
|
5
|
6,09
|
151,66
|
3,38
|
0,147
|
59,65
|
|
|
|
|
|
|
|
|
|
50,52
|
10,8
|
0,51
|
|
6
|
7,45
|
164,57
|
4,14
|
0,102
|
41,39
|
|
|
|
|
|
|
|
|
|
35,71
|
27
|
0,15
|
|
7
|
8,89
|
178,79
|
4,94
|
0,074
|
30,03
|
|
|
|
|
|
|
|
|
|
|
|
7,14
|
Предельная деформация основания по СНБ 5.01.01 - 99 Основания и фундаменты
зданий и сооружений
.
Полная осадка фундамента:
На рисунке 2.6 представлены эпюры напряжений в границах сжимаемой толщи
основания.
Рисунок 2.6 Эпюры напряжений в основании фундамента Ф - 1
.5.1 Проверка прочности подстилающего слоя
Если в пределах сжимаемой толщи основания на глубине z от подошвы фундамента расположен
слой грунта меньшей прочности, (модуль деформации подстилающего грунта меньше
модуля деформации несущего слоя грунта) чем прочность лежащих выше слоев
необходима проверка выполнения условия, на границе более сжимаемого слоя:
где
- вертикальные нормальные напряжения в грунте на глубине z от подошвы фундамента соответственно
дополнительное от нагрузки на фундамент (от веса конструкций) и от собственного
веса грунта, кПа;
- расчетное сопротивление грунта пониженной прочности на
глубине z, кПа для условного фундамента
шириной
, опирающегося на кровлю
подстилающего слоя:
где N - суммарная вертикальная нагрузка на
основание, кН.
Определяем нормальные вертикальные напряжения на подошве фундамента:
- от собственного веса грунта:
- от веса конструкций:
Определяем нормальные вертикальные напряжения на кровле подстилающего
слоя:
- от собственного веса грунта:
- от веса конструкций:
где
.
Определяем расчетное сопротивление грунта подстилающего слоя основания по
формуле:
gC1 = 1,1 gC2 =1,0 - для суглинка с IL = 0,57;
средневзвешенный удельный вес грунта выше подошвы условного
фундамента,
- удельный вес грунта ниже подошвы условного фундамента.
Проверяем выполнение условия:
Условие выполняется, следовательно, прочность подстилающего слоя
обеспечена при принятых размерах фундамента.
3. Свайные фундаменты
3.1 Выбор типа и конструкции свай и свайных фундамента. Назначение глубины
заложения ростверка
Свайные фундаменты следует подразделять на фундаменты с высоким и низким
ростверком; на сваи-стойки и сваи трения; на жесткие и гибкие.
Фундаменты из забивных свай рассчитываются в соответствии с требованиями
СНиП 2.02.03-85 по двум предельным состояниям:
- по предельному состоянию первой группы (по несущей
способности): по прочности - сваи и ростверка, по устойчивости - основания
свайных фундаментов;
- по предельному состоянию второй группы (по деформациям) -
основания свайных фундаментов.
Прежде всего, необходимо выбрать тип сваи, назначить ее длину и размеры
поперечного сечения.
Длину сваи назначают такой, чтобы ее острие было заглублено в плотный
слой грунта. Нижние концы свай, как правило, заглубляют в плотные грунты с
высокими расчетными характеристиками, прорезая напластования слабых грунтов.
Заглубление забивных свай в грунт, принятый за основание под их нижние концы,
должно быть не менее 1 м. Исключение составляют твердые глинистые грунты,
гравелистые, крупные и средней крупности пески, в которых допускается иметь
заглубление 0,5 м, в мелкие пески и супеси - не менее чем на 2,0 м.
Полная длина сваи определяется как сумма:
где l1 - глубина заделки сваи в ростверк,
которая принимается для свайных фундаментов с вертикальной нагрузкой не менее 5
см, для свайных фундаментов, работающих на горизонтальную нагрузку - не менее
наибольшего размера поперечного сечения сваи;
l2 - расстояние от подошвы ростверка до кровли несущего слоя;
l3 - заглубление в несущий слой.
Рекомендуется применять железобетонные сваи квадратного сечения размером
250 х 250, 300 х 300 или 350 х 350 мм.
Глубина заложения ростверка назначается в зависимости от:
- наличия подвалов и подземных коммуникаций;
- геологических и гидрогеологических условий площадки
строительства (виды грунтов, их состояние, положение подземных вод и т.д.);
- возможности пучения грунтов при промерзании;
- глубины заложения фундаментов примыкающих зданий и
сооружений.
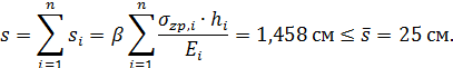
Фундамент Ф - 4:
Принимаем глубину заложения монолитного ростверка по конструктивным
соображениям dp= 2,5м. Свая заглублена в глину
полутвердую, непросадочную, ненабухающую. В данных грунтовых условиях свая
будет работать как висячая. Свая должна быть заглублена в грунт не менее чем на
1,0м. Принимаем глубину заделки сваи в ростверк 0,1 м. В результате длина сваи:
l = 0,1+ 0 +2,9=3,0 м.
Принимаем сваю С3-30 длиной 3м, сечением 0,3×0,3 м, класс бетона С20/25, продольная
арматура S500.
Рисунок 3.1 Расчетная схема свайного фундамента Ф - 4
Фундамент Ф - 1:
Принимаем глубину заложения монолитного ростверка по конструктивным
соображениям dp= 2,25м. Для сборной колонны сечением
1,0 × 1,0 м размеры подколонника равны 1,5
× 1,5м, высота плитной части ростверка
по условиям заделки головы сваи в ростверк - 0,6 м.
Для «заделки» конца сваи наиболее надежным является песок крупный,
средней плотности, малосжимаемый. В данных грунтовых условиях свая будет
работать как висячая. Свая должна быть заглублена в грунт не менее чем на 0,5
м. Принимаем заглубление в грунт 2,15 м. Принимаем глубину заделки сваи в
ростверк 0,1 м. В результате длина сваи:
l = 0,1+ 7,75 +2,15=10,0 м.
Принимаем сваю С10-35 длиной 10м, сечением 0,35×0,35м, класс бетона С20/25, продольная
арматура S500.
Рисунок 3.2 Расчетная схема свайного фундамента Ф - 1
3.2 Определение несущей способности сваи и расчетной нагрузки,
допускаемой на сваю по грунту основания и прочности материала сваи
Фундамент Ф - 4:
Несущая способность висячей сваи определяется по формуле:
где
- коэффициент условий работы сваи в грунте, принимаемый gc = 1,
- расчетное сопротивление грунта на отметке нижнего конца
сваи, расположенного на глубине 2,5 + 2,9 = 5,4 м, R=3560 кПа;
A -
площадь нижнего конца сваи, м2; A = 0,09 м2;
наружный периметр поперечного сечения сваи, м; u = 1,2 м;
-
расчетное сопротивление i-го
слоя грунта мощностью hi по боковой поверхности сваи;
и
- коэффициенты условий работы грунта под острием и по
боковой поверхности, принимаемые для забивных свай равными 1.
Действующие нагрузки и воздействия в плоскости обреза фундамента с учетом
крановых и ветровых нагрузок:
а) для расчёта по несущей способности:
Ф - 4 - NOI = 160 кН;
б) для расчёта по деформациям:
Ф - 4 - NOI = 192 кН.
Расчетное сопротивление грунта на боковой поверхности сваи:
для глины при
;
для глины при
.
1∙(1∙3560∙0,09 + 1,2∙1∙(43,5∙2
+ 47,87∙0,9)) = 476,49 кН.
Расчет свайных фундаментов и свай по несущей способности грунтов
производится исходя из условия:
где N - расчетная нагрузка, передаваемая
на сваю от внешних нагрузок (при невыгодном их сочетании);
расчетная нагрузка, допускаемая на сваю;
коэффициент надежности, принимаемый равным 1,4.
Расчетная нагрузка, допускаемая на сваю:
Фундамент Ф - 1:
Определяем несущую способность висячей сваи:
где
- коэффициент условий работы сваи в грунте, принимаемый для
всех типов свай gc = 1, кроме случая опирания буронабивных свай на покровные
глинистые грунты со степенью влажности Sr < 0,85 и на лессовидные грунты,
когда gc = 0,8;
- расчетное сопротивление грунта на отметке нижнего конца
сваи, расположенного на глубине 2,25 + 9,9 = 12,15 м, R=7915 кПа;
A -
площадь нижнего конца сваи, м2; A = 0,1225 м2;
наружный периметр поперечного сечения сваи, м; u = 1,4 м;
-
расчетное сопротивление i-го
слоя грунта мощностью hi по боковой поверхности сваи;
и
- коэффициенты условий работы грунта под острием и по
боковой поверхности, принимаемые для забивных свай равными 1.
Действующие нагрузки и воздействия в плоскости обреза фундамента с учетом
крановых и ветровых нагрузок:
а) для расчёта по несущей способности:
Ф - 1 - NOI = 6360 кН, MOI = 108 кН∙м;
б) для расчёта по деформациям:
Ф - 1 - NOI = 5300 кН, MOI = 90 кН∙м.
Расчетное сопротивление грунта на боковой поверхности сваи:
для глины при
;
для глины при
;
для суглинка при
;
для суглинка при
;
для суглинка при
;
для песка крупного при
;
для песка крупного при
.
1∙(1∙7915∙0,1225 + 1,4∙1∙(42,5∙2
+ 48,25∙1,75 + 20,4∙1,2 + 21,13∙2 + 21,34∙0,8 + +66,4∙2
+ 66,15∙0,15)) = 1523,95 кН.
Расчет свайных фундаментов и свай по несущей способности грунтов
производится исходя из условия:
где N - расчетная нагрузка, передаваемая
на сваю от внешних нагрузок (при невыгодном их сочетании);
расчетная нагрузка, допускаемая на сваю;
коэффициент надежности, принимаемый равным 1,4.
Расчетная нагрузка, допускаемая на сваю:
.3 Определение количества свай в фундаменте. Поверка фактической
нагрузки, передаваемой на сваю
Количество свай в свайном фундаменте рассчитывается по предельному
состоянию первой группы. Для этого расчетные нагрузки и воздействия определяем
путем умножения нормативных усилий на нормативный коэффициент надежности,
принимаемый равным 1,2. При определении размеров ростверка расстояние между
сваями принимается равным минимальному - 3d, где d - размер поперечного сечения сваи. Расстояние от края ростверка до
наружной грани сваи принимается не менее 0,15 м.
Фундамент Ф - 4:
Необходимое число свай на один метр длины ленточного фундамента
определяем по формуле:
где
коэффициент надежности, принимаемый
равным 1,4.
Расчётное расстояние между осями свай по длине стены определяем по
формуле:
В зависимости от величины
определяем число рядов свай, при этом расстояние между осями
свай принимаем не менее 3d.
Рекомендуется следующие варианты размещения свай в плане:
- однорядное, если 3d<а<6d;
- двухрядное шахматное если n<2 и 1,5d<а≤3d;
- двухрядное, если n>2 и a=1,5d.
Принимаем однорядное расположение свай, расстояние между осями свай
принимаем 1,6 м.
Ширину ростверка ленточного свайного фундамента определяем по формуле:
где
= 0,15 м - расстояние от края ростверка до наружной грани
сваи.
Принимаем ширину ростверка равной 0,6 м.
Рисунок 3.3 Схема расположения свай для ленточного фундамента Ф - 4
Расчетная нагрузка от ростверка с учетом его высоты, равной 0,6 м:
Общая расчетная нагрузка передаваемая на сваю:
Фактическая нагрузка, передаваемая на одну сваю:
Фундамент Ф - 1:
Определяем количество свай в свайном фундаменте под колонну.
Вычисляем среднее давление под подошвой ростверка, приняв расстояние
между осями свай 3d:
Определяем площадь подошвы ростверка:
где dp - глубина заложения ростверка.
Вес ростверка с грунтом на уступах с учётом коэффициента надёжности по
нагрузке
:
Определяем количество свай в кусте:
Принимаем 7 свай.
Конструируем ростверк и определяем его фактический вес и вес грунта на
ступенях. Размеры поперечного сечения подколонника 1,5×1,5 м. Размеры плиты ростверка в
направлении оси Х: 0,75+0,75+0,35+2×0,1 = 2,05 м, в направлении оси Y: 0,75+1,5+0,75+0,35+2×0,1 = 3,55 м.
Принимаем размеры подошвы проектируемого ростверка с учетом модуля 0,3м -
2,1×3,6 м. Высоту плиты ростверка
принимаем равной 0,6 м.
Рисунок 3.4 Схема расположения свай в свайном кусте Ф - 1
При этом вес ростверка:
Вес грунта на ступенях ростверка:
Вес ростверка и грунта:
Момент на уровне подошвы ростверка: MOI =90∙1,2= 108 кН∙м
Определяем фактическую нагрузку на сваю крайнего ряда и проверяем
выполнение условия:
где n - фактическое число свай в кусте;
расстояния от главных осей до оси каждой сваи;
расстояние от главных осей до оси каждой сваи для которой вычисляется
расчетная нагрузка.
3.4 Расчет осадки свайных фундаментов
Расчет по предельному состоянию второй группы производится аналогично
расчету по деформациям оснований фундаментов на естественном основании и
сводится к удовлетворению условия
.
При расчете осадки свайный фундамент рассматривается как условный
массивный фундамент, в состав которого входят ростверк, сваи и грунт. Контур
условного массива ограничивается сверху поверхностью планировки, снизу -
плоскостью в уровне нижних концов свай, а с боков - вертикальными плоскостями,
отстоящими от граней крайних свай на величину:
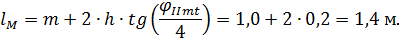
При слоистом напластовании грунтов в пределах длины сваи h угол jIImt принимается средневзвешенным и
вычисляется по формуле:
где j1, j2,..., jn - расчетные значения углов
внутреннего трения грунтов соответствующих участков h1, h2,…,hn.
Фундамент Ф - 4:
Расстояние от граней крайних свай:
Определяем размеры подошвы условного фундамента в плане и его вес (без
выделения свай и ростверка).
Длина
подошвы условного фундамента:
Ширина
подошвы условного фундамента:
Вес условного фундамента (без выделения свай и ростверка):
Давление по подошве условного фундамента определяется с
учетом веса условного массива:
где
- площадь подошвы условного фундамента, м2;
- суммарный вес условного массива и нагрузок, приложенных на
уровне обреза ростверка, кН.
где
- нагрузка, приложенная в уровне обреза ростверка;
Давление
от расчетных нагрузок не должно превышать расчетного
сопротивления грунта, залегающего под подошвой условного массива
, т.е. необходимо соблюдение условий
.

Дальнейший расчет осадки условного фундамента проводим по методу
послойного суммирования. Для этого вычисляем напряжения на границах
элементарных слоев, от собственного веса грунта и от нагрузки, передаваемой на
основание условного фундамента. Результаты вычислений напряжений сведены в
таблицу 3.1.
hi £ 0,4 ×0,7 = 0,28 м, принимаем 0,2 м.
Таблица 3.1
Расчет осадки свайного фундамента Ф - 4
|
Номер слоя
|
Z, м
|
zq, кПа
|
ξ=2z/b
|
Α
|
zp, кПа
|
zp,i, кПа
|
Ei, МПа
|
, см
|
|
0
|
0,0
|
103,03
|
0,0
|
1,000
|
163,26
|
|
|
|
|
|
|
|
158,03
|
17,1
|
0,147
|
|
1
|
0,2
|
107,14
|
0,57
|
0,936
|
152,81
|
|
|
|
|
|
|
|
|
|
139,50
|
17,1
|
0,130
|
|
2
|
0,4
|
110,98
|
1,14
|
0,773
|
126,19
|
|
|
|
|
|
|
|
|
|
113,37
|
17,1
|
0,106
|
|
3
|
0,6
|
114,82
|
1,71
|
0,616
|
100,56
|
|
|
|
|
|
|
|
|
|
90,93
|
10,8
|
0,134
|
|
4
|
118,72
|
2,28
|
0,498
|
81,30
|
|
|
|
|
|
|
|
|
|
74,44
|
10,8
|
0,110
|
|
5
|
1,0
|
122,62
|
2,85
|
0,414
|
67,58
|
|
|
|
|
|
|
|
|
|
62,60
|
10,8
|
0,092
|
|
6
|
1,2
|
126,52
|
3,42
|
0,353
|
57,63
|
|
|
|
|
|
|
|
|
|
53,79
|
10,8
|
0,079
|
|
7
|
1,4
|
130,42
|
4,0
|
0,306
|
49,95
|
|
|
|
|
|
|
|
|
|
47,01
|
10,8
|
0,069
|
|
8
|
1,6
|
134,32
|
4,57
|
0,270
|
44,08
|
|
|
|
|
|
|
|
|
|
41,71
|
10,8
|
0,061
|
|
9
|
1,8
|
138,22
|
5,14
|
0,241
|
39,34
|
|
|
|
|
|
|
|
|
|
37,36
|
10,8
|
0,055
|
|
10
|
2,0
|
140,11
|
5,71
|
0,218
|
35,39
|
|
|
|
|
|
|
|
|
|
33,93
|
10,8
|
0,050
|
|
11
|
2,2
|
142,00
|
6,28
|
0,199
|
32,48
|
|
|
|
|
|
|
|
|
|
31,87
|
10,8
|
0,047
|
|
12
|
2,4
|
143,91
|
6,85
|
0,183
|
29,87
|
|
|
|
|
|
|
|
|
|
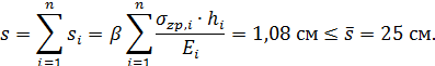
|
|
1,08
|
Предельная деформация основания по СНБ 5.01.01 - 99 Основания и
фундаменты зданий и сооружений
.
Полная осадка фундамента:
На рисунке 3.5 представлены эпюры напряжений в границах сжимаемой толщи
основания.
Рисунок 3.5 Эпюры напряжений в основании фундамента Ф - 4
Фундамент Ф - 1:
Расстояние от граней крайних свай:
Определяем размеры подошвы условного фундамента в плане и его вес (без
выделения свай и ростверка).
Длина
подошвы условного фундамента:
Ширина
подошвы условного фундамента:
Вес условного фундамента (без выделения свай и ростверка):
Давление по подошве условного фундамента определяется с учетом веса
условного массива:
где
- площадь подошвы условного фундамента, м2;
- суммарный вес условного массива и нагрузок, приложенных на
уровне обреза ростверка, кН.
где
- нагрузка, приложенная в уровне обреза ростверка;
Для внецентренно нагруженных фундаментов определяется максимальное
давление по краю подошвы условного фундамента:
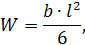
где W - момент
сопротивления подошвы условного фундамента,
;
где l и b - принятые размеры подошвы условного фундамента.
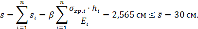
Давление P от расчетных
нагрузок не должно превышать расчетного сопротивления грунта, залегающего под
подошвой условного фундамента
, т.е. необходимо соблюдение условий
и
.

Дальнейший расчет осадки условного фундамента проводим по методу
послойного суммирования. Для этого вычисляем напряжения на границах
элементарных слоев, от собственного веса грунта и от нагрузки, передаваемой на
основание условного фундамента. Результаты вычислений напряжений сведены в
таблицу 3.2.
hi £ 0,4 ×3,65 = 1,46 м, принимаем 1,4 м.
Таблица 3.2
Расчет осадки свайного фундамента Ф - 1
|
Номер слоя
|
Z, м
|
zq, кПа
|
ξ=2z/b
|
𝛼
|
zp, кПа
|
zp,i, кПа
|
Ei, МПа
|
, см
|
|
0
|
0,0
|
185,77
|
0,0
|
1,000
|
281,95
|
|
|
|
|
|
|
|
277,43
|
27
|
0,616
|
|
1
|
0,75
|
193,18
|
0,41
|
0,968
|
272,92
|
|
|
|
|
|
|
|
|
|
234,57
|
32
|
0,820
|
|
2
|
2,15
|
207,43
|
1,17
|
0,696
|
196,23
|
|
|
|
|
|
|
|
|
|
158,87
|
32
|
0,556
|
|
3
|
3,55
|
221,68
|
1,94
|
0,431
|
121,52
|
|
|
|
|
|
|
|
|
|
99,38
|
32
|
0,347
|
|
4
|
4,95
|
235,93
|
2,71
|
0,274
|
77,25
|
|
|
|
|
|
|
|
|
|
64,70
|
32
|
0,226
|
|
5
|
6,35
|
250,18
|
3,47
|
0,185
|
52,16
|
|
|
|
|
|
|
|
|
|
|
|
2,565
|
Предельная деформация основания по СНБ 5.01.01 - 99 Основания и
фундаменты зданий и сооружений
.
Полная осадка фундамента:
На рисунке 3.6 представлены эпюры напряжений в границах сжимаемой толщи
основания.
Рисунок 3.6 Эпюры напряжений в основании фундамента Ф - 1
4. Сравнение фундаментов и выбор основного варианта
.1 Подсчет объемов работ и расчет стоимости устройства фундаментов по
первому и второму вариантам
Для сравнения разработанных вариантов фундаментов необходимо выполнить
следующие работы:
1 определить объем работ на устройство
фундамента. Объемы работ определяются аналитическим или графоаналитическим
способом с учетом геометрических размеров фундамента, вида грунта и технологических
особенностей возведения фундамента, т.е. необходимости размещения на бровке
откоса водопонизительных установок, наличия шпунтового ограждения, устройства
временных съездов в котлован и т.п.
2 определить стоимость устройства
фундамента в условных ценах.
Выбор основного варианта производится путем сопоставления стоимости
устройства фундамента на естественном основании со стоимостью свайного
фундамента.
В качестве основного варианта выбирается вид фундамента с меньшей
стоимостью.
Таблица 4.1
Расчет стоимости устройства 1 м.п. фундамента Ф - 4
|
Наименование работ и
конструктивных элементов
|
Единица измерения
|
Количество
|
Стоимость, руб.
|
Ссылка пункт таблицы
|
|
|
|
Единицы
|
общая
|
|
|
Фундаменты на
естественном основании
|
|
1. Разработка грунта в
отвал экскаватором «Драглайн» или «Обратная лопата», грунт II
группы с ковшом вместимостью 1,6 м3
|
1000 м3
|
0,00429
|
248,05
|
1,064
|
А - I -
3
|
|
2. Устройство подстилающих
и выравнивающих слоев оснований из песка
|
100 м3
|
0,001
|
42,0
|
0,042
|
А - III
- 5
|
|
3.Укладка блоков и плит
ленточных фундаментов при глубине котлована до 4 м, масса конструкции до 0,5
т
|
100 шт
|
0,01
|
342,88
|
3,429
|
Б - I -
1
|
|
4.Укладка блоков и плит
ленточных фундаментов при глубине котлована до 4 м, масса конструкции до 1,5
т
|
100 шт
|
0,04
|
426,88
|
17,075
|
Б - I -
2
|
|
Итого:
|
|
21,610
|
|
|
Свайный фундамент
|
|
1. Разработка грунта в
отвал экскаватором «Драглайн» или «Обратная лопата», грунт II
группы с ковшом вместимостью 1,6 м3
|
1000 м3
|
0,00429
|
248,05
|
1,064
|
А - I -
3
|
|
2. Погружение
дизель-молотом на экскаваторе железобетонных свай длиной до 12 м, в грунты II
группы
|
м3
|
0,27
|
13125
|
3543,75
|
Б - III
- 1
|
|
3. Устройство ростверков
железобетонных из бетона класса С12/15
|
100 м3
|
0,0036
|
7385,73
|
26,588
|
Б - III
- 3
|
|
4.Укладка блоков и плит
ленточных фундаментов при глубине котлована до 4 м, масса конструкции до 1,5
т
|
100 шт
|
0,03
|
426,88
|
12,806
|
Б - I -
2
|
|
Итого:
|
|
3584,208
|
|
Таблица 4.2
Расчет стоимости устройства фундамента Ф - 1
|
Наименование работ и
конструктивных элементов
|
Единица измерения
|
Количество
|
Стоимость, руб.
|
Ссылка пункт таблицы
|
|
|
|
единицы
|
общая
|
|
|
Фундаменты на
естественном основании
|
|
|
1. Разработка грунта в
отвал экскаватором «Драглайн» или «Обратная лопата», грунт II
группы с ковшом вместимостью 1,6 м3
|
1000 м3
|
0,04929
|
248,05
|
12,226
|
А - I -
3
|
|
2. Устройство подстилающих
и выравнивающих слоев оснований из песка
|
100 м3
|
0,016
|
42,0
|
0,672
|
А - III
- 5
|
|
3. Устройство фундаментов
бетонных из бетона класса С12/15 общего назначения под колонны объемом до 10
м3  -2,125=6,191 3
|
100 м3
|
0,06191
|
5168,95
|
320,00
|
Б - II
- 4
|
|
Итого:
|
|
332,898
|
|
|
Свайный фундамент
|
|
|
1. Разработка грунта в
отвал экскаватором «Драглайн» или «Обратная лопата», грунт II
группы с ковшом вместимостью 1,6 м3
|
1000 м3
|
0,03055
|
248,05
|
7,577
|
А - I -
3
|
|
2. Погружение
дизель-молотом на экскаваторе железобетонных свай длиной до 12 м, в грунты II
группы
|
м3
|
8,575
|
13125
|
112546,87
|
Б - III
- 1
|
|
3. Устройство ростверков
железобетонных из бетона класса С12/15
|
100 м3
|
0,04536
|
7385,73
|
335,016
|
Б - III
- 3
|
|
Итого:
|
|
112889,46
|
|
4.2 Технико-экономическое сравнение вариантов и выбор основного
Технико-экономическое сравнение вариантов производится по следующим
показаниям:
а) экономической эффективности;
б) возможности выполнения работ в сжатые сроки;
в) возможности выполнения работ в зимнее время;
г) материалоемкости (расходу равноценных материалов).
Экономическая эффективность в ряде случаев является основным показателем
при сравнении вариантов, причем весьма важно строгое соблюдение условий их
сопоставимости. Сравниваемые варианты должны обеспечивать долговечность и
выполнение функций сооружения в течение всего срока его эксплуатации,
рассчитываться на все возможные комбинации загружения, которые передают
надземные конструкции.
Проанализировав расчет устройства фундаментов мелкого заложения,
стоимость которого для фундамента Ф - 4 составила 21,610 руб. и Ф - 1 - 332,898
руб. и свайного фундамента, стоимость которого для фундамента Ф - 4 составила
3584,208 руб. и Ф - 1 - 112889,46 руб., можно сделать вывод, что более
целесообразно, исходя из экономических соображений, применять фундаменты
мелкого заложения.
Поэтому для устройства фундаментов выбираем вариант мелкого заложения.
Возможность выполнения работ в сжатые сроки также весьма существенна, так
как это непосредственно сказывается на продолжительности работ по возведению
сооружения, поскольку до устройства фундаментов возводить другие его
конструкции, как правило, нельзя. Принятие решения, при котором котлован
находится длительный период в открытом виде, может способствовать нарушению
природной структуры грунтов в основании. Особенно важны сроки выполнения работ
в зимнее время, так как промораживание грунтов в основании обычно недопустимо.
Материалоемкость конструкции фундаментов позволяет оценивать варианты,
когда фундаменты и их отдельные элементы делаются из одного и того же
материала.
Величины осадок фундаментов и их неравномерностей дают возможность
оценивать необходимость проведения послеосадочных работ и их объемы по ремонту
деформируемого сооружения.
Характер осушения при устройстве котлованов и фундаментов играет
существенную роль при выборе варианта. При выполнении работ по осушению
котлована затраты средств обычно пропорциональны продолжительности периода
устройства фундамента. В связи с этим стремятся к заложению его подошвы выше
уровня грунтовых вод, что особенно важно, когда по каким - либо причинам работы
по возведению фундаментов невозможно выполнить в сжатые сроки. Экономия
создается вследствие исключения средств на водоотлив из котлована или на
понижение уровня грунтовых вод.
5. Рекомендации по производству работ, технике безопасности
Возведение оснований и сооружений производится по проектной документации,
утвержденной в установленном порядке, проекту производства работ (ППР),
разработанному для конкретного сооружения с резолюцией заказчика, разрешающей
начало работ, с учетом норм безопасности при транспортных, грузоподъемных,
строительно-монтажных и электротехнических работах.
Контроль за исполнением требований нормативно-технических документов и
проектной документации осуществляется производителем работ.
ППР составляется на основе проектной документации и должен содержать:
состав подготовительных работ, технологические схемы организации земляных
работ, схемы движения механизмов, последовательности устройства оснований,
фундаментов и их бетонирования, требования к составу и способу приготовления
бетонной и песчано-гравийной смесей и способам их транспортировки и укладки,
методы контроля качества устройства оснований и изготовления фундаментов.
Монтаж сборных ленточных фундаментов
Разбивка сборных ленточных фундаментов начинается с того, что на обноске
натягивают проволоку для определения осей здания. Затем укладывают угловые
фундаментные блоки и на расстоянии 15 мм от них - маячные блоки. Между угловыми
и маячными блоками по линии фундамента на расстоянии 5 мм от его грани
натягивают проволоку-причалку, по которой устанавливают промежуточные блоки.
Одновременно с укладкой маячных блоков в плане нивелируют их положение по
вертикали, устанавливая нивелировочную рейку дважды на каждом блоке на концах
осевой линии. Отклонения от проектных отметок не должны превышать ±10 мм.
К работам по монтажу ленточных фундаментов разрешается приступать только
после выполнения всех земляных работ и разбивки осей фундаментов. Случайные
переборы грунта, допущенные при рытье котлованов под фундаменты, должны быть
заполнены сухим песком, гравием или щебнем слоями толщиной не более 10 см с
тщательной трамбовкой засыпки. Разжиженный грунт и вода в основании
фундаментов, образовавшиеся в результате действия атмосферных осадков и
грунтовых вод, должны быть удалены со дна котлована или траншеи, а грунт
уплотнен втрамбовыванием в него щебня, гравия или крупного песка слоями
толщиной 6-8 см.
Фундаментные блоки складываются в штабеля не более чем в 4 ряда. Общая
высота штабеля должна быть не более 2,5 м. Штабели следует располагать вне
призмы обрушения, но не ближе 1 м от бровки котлована. Расстояние от
складируемых элементов до края дорог должно быть также не менее 1 м. Нельзя
приваливать (опирать) материалы, детали и элементы к заборам и стенам траншей.
Блоки необходимо укладывать в штабеля так, чтобы их маркировки были
обращены в сторону проезда или прохода между штабелями. При складировании
блоков следует обеспечить возможность беспрепятственного подъема их из штабелей
и безопасность работы монтажников.
Расстояние между смежными штабелями должно быть не менее 20 см. В
продольном направлении следует устраивать через каждые два штабеля проходы
шириной не менее 0,7 м. Поперечные проходы шириной 1 м необходимо устраивать не
реже чем через 25 м.
Запрещается складировать блоки и другие элементы на крановых путях, а
также между наружными стенами зданий и путями.
Отклонения проектных размеров блоков не должны превышать: по длине ±15
мм; по ширине ±15 мм; по толщине ±10 мм.
Перед укладкой блоки должны быть тщательно очищены от грязи и наледи,
подъемные петли выправлены, металлические закладные части очищены от ржавчины.
Фундаментные блоки поднимают двух- или четырех-ветвенным стропом. Блок,
подаваемый краном, следует остановить на высоте 0,2-0,3 м над местом установки,
развернуть в необходимом направлении и плавно опустить. При этом следует
контролировать: маячные блоки-подушки - по двум взаимно перпендикулярным
причалкам; рядовые блоки-подушки - по причалке и монтажному зазору между
устанавливаемым и уже поставленным смежным блоком.
При монтаже блоков следует выверять отметки верха блоков-подушек,
горизонтальность верха блока в поперечном направлении, правильность установки
блока на основание. Горизонтальность блоков-подушек в поперечном направлении
следует проверять, уложив на блок правило с уровнем. Устраняют отклонения,
заново устанавливая блок. Правильность установки маячных блоков-подушек
проверяют отвесом, рядовых блоков-подушек - по причалке и монтажному зазору
между устанавливаемым и уже установленным блоком, отдельно стоящих
блоков-стаканов - шаблоном.
При значительных отклонениях блок необходимо поднять и установить заново;
незначительные отклонения устраняют, перемещая блок при помощи монтажного лома.
После окончательной выверки положения блока производят расстроповку.
Монтажные петли после укладки 4-5 блоков срезают заподлицо с поверхностью
бетона или несколько ниже.
При монтаже ленточных фундаментов из блоков-подушек места сопряжений
продольных и поперечных стен надо заделывать бетонной смесью, для чего
устанавливают простейшую опалубку из двух досок, укрепляя их распорками в
грунт.
В ленточных фундаментах оставляют (по проекту) отверстия для труб
водопровода, канализации и т. п. путем раздвижки соседних подушек,
перекрываемых вышележащими блоками. Пропуски, оставленные для прокладки
трубопроводов, после укладки труб заделываются бетонной смесью.
Горизонтальные швы кладки из крупных фундаментных блоков должны
заполняться ровным слоем раствора. Подкладывать под блоки щебенку и кирпичный
бой категорически запрещается. Вертикальные пазы между смежными блоками
заполняются раствором и тщательно уплотняются трамбованием.
Толщина швов во всех случаях должна быть не более 2 см. Деформационные
швы устраиваются в соответствии с проектом, при этом необходимо следить за
правильностью устройства изоляции.
Вслед за укладкой и выверкой блоков наружные пазухи фундаментов
заполняются грунтом с тщательным его трамбованием, не допускающим сдвига
блоков, с последующей поливкой водой.
Организация работ по монтажу фундаментов должна исключать нахождение
рабочих под опускаемым блоком.
Снимать с крюка опущенный блок разрешается только после его выверки и
окончательной установки.
При устройстве подземной части здания в зимний период необходимо
выполнять следующие требования:
- фундаментные блоки перед укладкой их на место очищать от
снега и наледи металлическими щетками и скребками, а также горячим воздухом или
пламенем от газовых горелок, электрообогревателя и др.;
- котлован в процессе возведения фундаментов предохранять от
промерзания, укрывая его щитами, рыхлой землей, шлаком или золой слоем 45-50
см;
- засыпку пазух за фундаментами выполнять сразу после монтажа
фундаментов и только незамерзшим грунтом.
Раствор должен храниться в закрытых утепленных ящиках с крышками и в момент
его укладки должен иметь температуру не ниже 15° С. Консистенция раствора
должна быть с осадкой конуса в пределах 4-5 см.
Устройство монолитного фундамента под колонну
Разбивка отдельных монолитных фундаментов осуществляется с помощью
отвесов, опускаемых в точках пересечения проволок, натянутых по осям колонн над
котлованом. На щитах опалубки, собранных в блок (короб), намечают середину
короба и по верх него прибивают накрест выстроганные рейки. Грани реек должны
располагаться по осям короба.