История французской языковой политики
Оглавление
Введение
Глава 1. Теоретическая часть. История французской языковой
политики
.1 Становление французского языка как государственного,
франсизация населения страны
.1.1 Средние века: отделение французского языка от латыни
.1.2 XVII век: превозношение французского языка в эпоху
абсолютной монархии
.1.3 Великая французская революция: французский против
региональных языков. Лингвистический империализм XIX века
.1.4 Третья республика: окончательная франсизация населения
.2 2-я половина XX века: борьба против гегемонии английского
языка
.2.1 «Franglais» и формирование органов защиты французского
языка
.2.2 Валери Жискар-д’Эстен и поддержка международной роли
английского. Закон Ба-Лориоля
.2.3 Эпоха Миттерана и Ширака: развитие Франкофонии и
принятие закона Тубона
.2.4 Николя Саркози и отход от традционной политики поддержки
французского языка
.2.5 Пустые и размытые обещания Франуса Олланда
.3 Главная делегация по французскому языку и языкам Франции:
история и доклады правительству об использовании французского языка
Глава 2. Методы исследования
.1 История статистических методов. Описание функционала
программы T-Lab
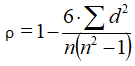
.2 Математическая статистика. Коэффициент ранговой корреляции
Спирмена
Глава 3. Исследовательская часть. Анализ докладов об
использовании французского языка Главной делегации по французскому языку и
языкам Франции
.1 Анализ словарей наиболее употребительных слов
.2 Анализ ассоциаций лексем français
и anglais
.3 Вычисление коэффициентов ранговой корреляции Спирмена
.4 Анализ количества упоминаний закона Тубона в текстах
докладов
.5 Выводы и гипотезы по результатам исследования
Заключение
Список использованной литературы
Приложение. Таблицы и графики, полученные в программе T-Lab
Введение
В современном мире политические лидеры пытаются оказывать свое влияние
всеми доступными способами. Одним из аспектов жизни государства является
языковая ситуация в стране. Изучением законодательных и субъективных мер,
направленных на защиту и распространение какого-либо языка, занимается языковая
политика. Изучение языковой политики являетсяпо своей природе междисциплинарным
и выходит за рамки лингвистики в узком смысле слова.
Французская же языковая политика неотделима от вопроса отношения к
английскому языку, перехватившему у французского доминирующие в мире позиции и
продолжающему вытеснять его как в международных организациях, так и внутри
страны. При этом, во Франции имеется юридическая база защиты использования
государственного языка, но её эффективность вызывает вопросы.
Актуальность данной работы обусловлена большим количеством вызовов, с
которыми сталкивается государственная поддержка французского языка: это и
повсеместное распространение англо-американского языка, и рост употребления
региональных языков и языков иммиграции на территории страны. Однако именно
английский язык и неоднородное отношение к нему со стороны высших чинов
политики вызывают наибольшее число обсуждений и полемики на тему того, как
Франция и особенно французский язык должны реагировать на сложившуюся в мире
языковую ситуацию.
Научная новизна работы заключается в инновационном подходе к методам
исследования официальных документов французской языковой политики, а именно с
помощью компьютерной программы, предназначенной для автоматической обработки
текста и включенных в нее инструментов лингвистического и статистического
анализа, а также с помощью методов математической статистики.
Цель исследования состоит в наблюдении и выявлении тенденций в том, как в
официальных однотипных документах французской языковой политики - отчётах об
использовании французского языка Национальной ассамблее Франции - отражается
отношение к ключевым понятиям данного исследования, французскому и английскому
языку, на протяжении почти 20 лет.
Поставленная цель предполагает решение следующих задач:
. изучить историю становления французского языка как основного и
государственного во Франции и доминирующего в мире;
. установить причины потери французским языком господствующего
положения в мире;
. проследить изменения в языковой политике президентов Пятой
республики;
. изучить юридические меры по поддержке французского языка во
Франции (закон Тубона и проч.) и отчёты по использованию французского языка,
выпускаемые в исполнение закона Тубона;
. проанализировать эти отчёты в программе T-Labс целью выявления
ассоциаций ключевых понятий «французский язык» и «английский язык» от года к
году;
. выявить тенденции изменения языковой политики с помощью
коэффициента ранговой корреляции Спирмена и вычисления частоты упоминаний
закона Тубона в данных отчётах;
. сформировать гипотезы о причинах наблюдаемых изменений и
тенденций.
Объектом исследования являются тексты докладов об использовании
французского языка, которые Главная делегация по французскому языку и языкам
Франции ежегодно представляет Парламенту во исполнение ст. 22 закона Тубона об
использовании французского языка, за 1997-2015 гг.
Предметом изучения стали текстовые ассоциации таких ключевых понятий, как
«французский язык» и «английский язык», вычисленные в каждом взятом докладе при
помощи программы T-Lab, а также количество упоминаний закона Тубона в текстах
докладов.
В качестве методов исследования использовались как высокотехнологическая
программа лингвистического анализа T-Lab, так и методы математической
статистики (в частности, коэффициент ранговой корреляции Спирмена), а также
инструмент поиска по тексту программы AdobeReader.
Основные положения, выносимые на защиту:
Французская языковая политика привела к тому, что французский язык стал
основным во Франции, а также языком международного общения, однако начал терять
эти позиции начиная с 1789 года, а после Второй мировой войны окончательно
установилась гегемония английского языка.
Французские лидеры по-разному относились к вопросу защиты французского
языка и его противопоставлению английскому, при этом в последнее время
наметился отход от позиций полной защиты французского в пользу английского и
других использующихся в стране языков.
Между 2006 и 2010 гг. происходит стабилизация отношения в языковой
политике Франции к ключевым понятиям данного исследования.
Теоретическая значимость данной работы определяется доказательной базой,
которую машинная обработка текстов докладов и методы математической статистики
привносят в развитие уже высказанных в научной литературе тезисов об изменении
вектора языковой политики Франции от защиты своего языка к открытости на
региональные и иностранные языки.
Практическая значимость работы заключается в возможности использования
полученных результатов в университетских курсах по языковой политике Франции и
языковой политике Европейского союза, в качестве примера в курсе «Анализ данных
для лингвистов». Результаты исследования могут быть использованы в
теоретических трудах по языковой политике и другим смежным дисциплинам, а также
могут быть учтены при планировании языковой политики России и других стран.
Объем и содержание работы: магистерская диссертация общим объемом в 115
страниц состоит из введения, трех глав, заключения, списка использованной
литературы, включающего 85 теоретических источников и 19 докладов, послуживших
объектом исследования, а также приложение, где приводятся графики - результаты
вычислений программы T-Lab.
Во введении обосновывается выбор объекта, предмета изучения, актуальность
исследования, определяются цель, задачи и методы исследования.
В первой главе излагается история французской языковой политики,
объясняется, каким образом французский язык превратился из одного из
многочисленных языков раздробленного средневекового государства в основной и
государственный, как осуществлялась франсизация населения, как французский язык
стал доминирующим языком в международном общении и почему утратил эти позиции,
а также подробно описывается языковая политика президентов Пятой республики в
свете их отношения к французскому и английскому языкам.
Во второй главе описываются используемые методы исследования, излагается
функционал программы T-Lab, а также история применения количественных и
математических методов в лингвистике, особое внимание уделяется коэффициенту
ранговой корреляции Спирмена.
В третьей главе описан процесс анализа текстов докладов в программе
T-Lab, проанализированы и объяснены полученные в ней результаты, описана
процедура вычисления коэффициентов ранговой корреляции Спирмена,
проанализированы и объяснены полученные результаты, произведено вычисление
количества упоминаний закона Тубона в текстах докладов, сопоставлено с
предыдущими результатами исследования, выявлена корреляция, сформулированы
гипотезы.
В заключении обобщаются результаты проведенного исследования.
Глава 1.
Теоретическая часть. История французской языковой политики
французский
империализм язык лингвистический
Язык - это основной признак нации, неосознанный шедевр национального
сознания. На сегодня у французов нет другого столь же важного дела, как дело их
языка.
Клод Эмбер, директор и основатель журнала Le Point, 8 февраля 2007
.1
Становление французского языка как государственного, франсизация населения
страны
.1.1 Средние
века: отделение французского языка от латыни
Клод Ажеж, знаменитый французский лингвист, известный своей активной
борьбой за французский язык, в интервью изданию Lаbel France отметил, что
Франция является страной, принявшей наибольшее количество законодательных
актов, касающихся своего языка.
Характерным является и тот факт, что первым в истории памятником
французского языка (а точнее - романского), отделяющим его от латыни, является
также юридический документ - а именно Страсбургские клятвы, заключенные в 842
году между двумя братьями - внуками Карла Великого, - Людовиком Германцем и
Карлом Лысым, объединившимися против их старшего брата Лотаря в целях получше
разделить доставшуюся в наследство империю. Полный текст «клятв» составлен на
латинском языке, кроме небольших отрывков, предназначенных для публичного
оглашения: они были переведены на языки, считавшиеся понятными для широкой публики
- романский и германский, ставшие предками нынешних французского и немецкого
языков.
В связи с тем, что до этого все документы писались исключительно на
латыни, «Страсбургские клятвы» называют «свидетельством о рождении»
французского языка. Однако слово «французский» применительно к языку будет
использовано лишь с XIII в., пока же речь идёт лишь о вульгарном романском
языке, который авторское сознание отныне отказывается отождествлять с латынью.
Тем не менее, латынь долго оставалась официальным языком и языком Церкви.
Все письменные документы составлялись именно на латинском. Что касается
разговорного языка, в течение всего Средневековья, в силу феодальной
раздробленности, территория, которую мы привыкли сегодня называть Францией, а
тогда являвшаяся набором различных герцогств, княжеств, графств и других форм
землевладения, не имела единого языка, но множество диалектов: пикардский,
валлонский, нормандский, орлеанский, шампанский, бретонский - для северной
части страны; окситанский, провансальский, лангедокский, гасконский и другие -
для южной, более латинизированной части страны.
Королевская династия Капетингов (987 - 1848) начинала с очень небольших
королевских владений, а её основатель Гуго Капет был первым королем франков,
говорившим только на романском диалекте, а не на германском языке. Именно этот
диалект, присущий прежде всего королевским владениям, со временем станет
называться françoys - французским.
Один из королей этой династии, Филипп II Август (1165 - 1223),
значительно расширивший площадь территории королевских владений, сделал этот
язык письменным. В подчинённых королю регионах его распространяли представители
его администрации - бальи и сенешали. Тогда же французский стал использоваться
и как язык юриспруденции.
В начале XIV века королевская администрация продолжала использовать в
своих документах практически исключительно латынь. Однако в ходе правления
Карла IV (1322 - 1328) и особенно Филиппа VI (1328 - 1350) произошёл языковой
переворот и до 80% документации стало оформляться на французском. В ходе
данного столетия наблюдались как возвращение к латыни, так и новое обращение к
французскому, что отчасти объясняется внешними причинами, а именно сменой
власти в условиях Столетней войны.
Попыткой прекратить конкуренцию латинского и французского языков стало
подписание в середине XVI века, а именно в 1539 году, ордонанса Вилле-Коттре
(Ordonnance de Villers-Cotterêts) королём Франциском I. Этот документ
содержит 192 статьи, в которых говорится преимущественно о совершенствовании
системы судопроизводства, работы правоохранительных и финансовых органов,
вводит регистрацию актов гражданского состояния, обязывает священников вести
регистрацию крещений. Лишь две статьи повествуют о языке, а непосредственно
французский упоминается лишь однажды, в статье 111. Она гласит, что всю
документацию в королевстве нужно производить, чтобы избежать недоразумений и
непонимания населением латинского языка, только «на родном французском языке и
не иначе». Отметим, что данные положения и поныне применяются в кассационном
суде Франции.
По сей день ордонанс подвергается различным трактовкам. Некоторые видят в
нём победу над латынью как французского, так и всех других родных региональных
диалектов. Некоторые склоняются к тому, что для современников Франциска I этот
законодательный акт стал скорее выражением административного выбора между
королевским французским и местными вульгарными языками. С XVI века эта статья
трактуется так, чтобы подавить провинциальные языки ради расчищения дороги
единственному официальному языку королевства. При этом, не вызывает никакого
сомнения тот факт, что даже среди учёных той эпохи региональные языки считались
самостоятельными, а не искажениями парижского королевского варианта, и ценились
ничуть не ниже, а порою и выше столичного языка.
Тем не менее, пока королевские владения продолжали расширяться,
присоединение новых территорий естественным образом сопровождалось франсизацией
этих провинций. Но эта франсизация не основывалась на ордонансе Вилле-Коттре.
Акцент при этом всегда делался на франсизацию языка права, что являлось
гарантом политического единства. Долгое время, вплоть до Революции 1789 года,
абсолютная монархия терпела наличие разных региональных языков как проявление
культурного многообразия. Необходимо лишь, чтобы при этом многообразии все
признавали короля как единую голову политического тела, что возможно только в
условиях абсолютной монархии.
1.1.2 XVII век: превозношение французского
языка в эпоху абсолютной монархии
В XVII веке, когда вектор политической жизни Франции был направлен в
сторону укрепления королевской власти и абсолютной монархии, произошли
очередные изменения в отношении французского языка, но на этот раз не
юридические. Речь идёт о формировании классического французского языка, что
связано с именами таких знаменитых писателей как Корнель, Расин, Буало,
Лафонтен и др. Особое место в этой истории занимает Франсуа Малерб, придворный
Генриха IV, положивший начало движению пуризма, которое было основано на
многочисленных запретах: всего старого, заимствований, неологизмов. Эти
ограничения, которые впоследствии подхватила созданная в 1634 г. Французская
академия, придали развитию французского языка крайне элитарную ориентацию. В
результате, французский, вскоре ставший единственным официальным языком в
стране, стал языком придворных, т. е. крайне ограниченного круга лиц, и
оторвался от народного языка (а лучше сказать - языков: Альбер Доза насчитывал
в ту эпоху 635 патуа на территории Франции), который продолжал своё
естественное развитие.
Стоит отметить, что в ту эпоху на этом языке придворных, аристократов и
буржуазии, языке литературы и образования, говорило менее одного миллиона
французов, тогда как население страны насчитывало 20 миллионов. Однако,
поскольку он был языком двора, к нему было приковано внимание короля, который,
при помощи Академии, заботился о его развитии. Остальные же языки презирались и
считались искажениями столичного королевского французского. Так, Энциклопедия
Дидро и д'Аламбера следующим образом определяет патуа: «испорченный язык, на
котором говорят почти во всех провинциях… На языках говорят только в столице».
Активная и агрессивная внешняя политика абсолютных монархов, в первую
очередь Людовика XIV, Короля-Солнце, способствовала тому, что французский язык
использовался при дворе не только в Париже, но и практически во всех
европейских монархиях, включая Россию и Турцию, а также стал международным
дипломатическим языком. Кроме того, интеллектуальным центром той эпохи также
была Франция, и такие гении пера и мысли, как Мольер, Вольтер, Дидро, Монтескье
и другие признавались и почитались по всей Европе, и вместе с их произведениями
распространялся и их язык. Англичане обозначали этот процесс словом
«gallomanie». Гений этих авторов и сильнейшее положение страны на международной
арене способствовали формированию и укреплению идеи о превосходстве
французского языка. Сам Вольтер объяснял этот универсализм (как синоним
вселенского превосходства) французского языка его внутренними достоинствами: он
«самым легким, ясным и деликатным образом выражает предметы разговора
порядочных людей».
По сей день главным символом превосходства французского языка,
упоминаемым практически во всех политических речах, остается трактат «Discours
sur l'universalité de la langue française» Антуана Ривароля (1783), ставший
лауреатом конкурса Берлинской королевской академии на лучшее сочинение, тема
которого формулировалась тремя вопросами: «Что придало французскому языку
универсальный характер? Почему он заслуживает эту привилегию? Каковы
предпосылки к ее сохранению?»
Ривароль пишет, что подобно «римскому миру» Античности в ту эпоху
царствовал «французский мир» благодаря, в частности, географическому положению
Франции, ее политической системе, климату, гению ее писателей и, конечно же,
совершенству французского языка, в котором не наблюдается тех недостатков,
которые Ривароль находит у английского, немецкого, итальянского и испанского
языков. Основным преимуществом, при этом, предстает прямой порядок слов и
построение предложения, которые являются «прямым отражением врожденной общечеловеческой
логики». Французский язык обладает уникальной ясностью: «tout ce qui n'est pas
clair n'est pas français (все, что не ясно, - это не
по-французски)».
При этом исследователи отмечают упрощенческий характер сочинения
Ривароля, так как он сводит универсализм французского к его внутренним
достоинствам. Более того, это напоминает пустые необоснованные разговоры, так
как он не проводит различия между функциями родного языка, второго языка и
языка-посредника.
Куда более обоснованной выглядит точка зрения немца Иоганна Шваба, наряду
с Риваролем ставшего лауреатом конкурса Берлинской академии. Шваб сводит
превосходство французского языка к политическим, экономическим и военным
факторам, а именно превосходству французского государства в ту эпоху, и в конце
отмечает, что роль универсального языка может перейти к Великобритании после
того, как та завладеет колоссальной империей в Северной Америке.
Именно это и произошло, и исторически Шваб оказался более прав, нежели
Ривароль. Однако дело не только в том, что начиная с конца XVIII века, вкупе с
разразившейся во Франции революцией, Великобритания вышла на первые роли в
Европе. Существует мнение, согласно которому трактат Ривароля имел своей целью
прежде всего реакцию на распространявшуюся в стране англоманию.
Интерес к Англии и всему английскому связан прежде всего с политическими
трансформациями, происходившими по ту сторону Ла-Манша и вызывавшими зависть
просвещенного французского населения, страдавшего от негуманного абсолютизма.
Французские философы регулярно посещали Англию и привозили оттуда не только
новые философские и политические идеи, но и лексику. Пятое издание Словаря
Французской академии, появившееся в 1798 году, насчитывало более 60 новых
английских заимствований, среди которых такие слова как vote, motion, jury,
budget, partenaire, paquebot, rosbif и др. Ривароль же считал английский язык
не столь совершенным, как французский, и выступил с критикой этой волны
заимствований.
1.1.3 Великая
французская революция: французский против региональных языков. Лингвистический
империализм XIXвека
Великая французская революция, начавшаяся в 1789 году, окончательно
прервала распространение французского языка и культа галломании по Европе,
однако законодательно усилила его позиции внутри страны, пусть и ценой борьбы с
региональными языками.
В ходе революции революционеры быстро осознали, что информация о
происходящих в Париже событиях если и доходит до жителей регионов, то остаётся
ими непонятой, так как они не владеют французским языком. Соответственно
большая часть населения оказывается отрезанной от революционного процесса.
Смириться с этим, насаждая идеалы демократии, нельзя: ведь для осуществления
народом его суверенной власти ему (народу) необходимо иметь возможность слушать
и говорить, читать и писать.
Выучить французский язык, вместо того чтобы развивать широкую систему
переводов, выгодно как с экономической точки зрения, так и с идеологической:
французский язык будет насаждаться через школы вместе с революционными
идеалами, и именно в том виде, революционизированном, какой ему придадут
вершители политических перемен и нового режима.
Революция связала понятия нация и язык. Французский язык становится
языком нации, языком революции, государственным языком. Для поднятия
сознательности народных масс в деле «единой и неделимой Республики» также было
необходимо распространение французского языка. Все эти факторы предопределили
борьбу революционеров с региональными языками и обособленными провинциями
(особенно теми, которые соседствовали с другими государствами и могли в этом
плане стать неблагонадежными: Эльзас, страна Басков, Корсика; всегда особняком
держалась и Бретань, чей автохтонный язык даже не относится к романской группе
языков, а является единственным сохранившимся на территории Франции языком
кельтского происхождения).
Согласно знаменитому докладу аббата Грегуара (Rapport sur la nécessité et les moyens d'anéantir les patois et d'universaliser
l'usage de la langue française), шесть миллионов жителей страны на
тот момент вообще не владели французским языком, другие шесть были неспособны
поддерживать на нем разговор; к числу говорящих можно было отнести лишь три
миллиона французов, а грамотой владело гораздо меньше.
Другой аббат, Пьер-Огюст Буасье де Соваж, так описывал языковую ситуацию
внутри страны: «те, кто считает себя говорящим по-французски, на самом деле
только коверкают на французский манер чистый лангедокский язык… Мы думаем
по-лангедокски, прежде чем сказать что-либо по-французски; этот язык всего лишь
перевод с нашего...». Так что французский язык, несмотря на приобретение
статуса государственного, оставался миноритарным.
Доклад Грегуара, а также другой основополагающий доклад депутата Баррера,
привели, в эпоху террора при Робеспьере, к террору, в том числе языковому: 2
термидора II года (20 июля 1794 г.) Конвент принял декрет об использовании
французского языка, гласящий о том, что любой документ в любой части территории
Республики должен быть написан только на французском языке, а отклоняющиеся от
данного предписания будут осуждены на шесть месяцев тюремного заключения.
Робеспьер вскоре был свергнут, но точка невозврата в языковой политике
революционной Франции была пройдена: начались гонения против региональных
языков и патуа. Как следствие, стала сокращаться сфера их употребления.
Массивную школьную реформу удалось произвести только при Третьей республике, но
постепенно население начало понимать французский язык. Немалую роль в
франсизации страны сыграла и республиканская армия, в которой носители разных
патуа и региональных языков смешивались, и французский, на котором отдавались
все приказания, становился для этих солдат и языком-посредником, языком общения
и подчинения. Солдаты возвращались со службы франкофонами и распространяли
государственный язык в своих семьях и деревнях.
Таким образом, за бурные десять лет революционного периода произошли
существенные изменения в языковой политике, значительно повлиявшие на облик
современной Франции. Язык стал отождествляться с нацией, а его активному
распространению (вопреки региональным языкам и патуа) был дан решительный
законодательно подтвержденный старт, хотя для завершения дела франсизации
Франции потребуется ещё очень много времени.
Вслед за этим бурным десятилетием последовало чуть более спокойное время
Наполеона Бонапарта, но спокойствие это было достигнуто путем установления
военной диктатуры и сверхцентрализованного государственного режима.
Первые предпринятые им шаги в языковой политике были достаточно
консервативны: он тут же прекратил любую пропаганду французского языка, вернул
школы в юрисдикцию Церкви, которая не преминула вернуться к преподаванию
латинского языка, так что в целом в распространении французского наблюдалась
ослабление.
Помимо этого, в государстве появилось несколько консервативных институтов
для контроля над языком, например Институт Франции и Грамматический совет. Как
и во времена Людовика XIV, преследовалась цель окончательно зафиксировать норму
французского языка, отбросив при этом нововведения. Лишь благодаря естественным
внешнеполитическим процессам, а именно языковым контактам наполеоновской армии
с иностранными армиями, язык пополнился немалым количеством заимствований,
особенно англицизмов.
Тем не менее, несмотря на этот консерватизм, французский язык продолжал
распространяться, как из-за войн, во время которых язык распространялся в армии
по уже описанной нами выше схеме, так и в силу очень сильной централизации и
унификации. Орудием унификации во всех отраслях общественной жизни был,
разумеется, язык как средство общения. Отныне уже можно говорить о том, что
французский стал языком всей нации, что, впрочем, не отменяло билингвизма на
практике, особенно в южных регионах.
Таким образом, политика Наполеона и его Империи способствовала подавлению
местных языков. Ее можно назвать переходным этапом к языковому империализму,
установившемуся в середине XIX века.век отмечен обширными размышлениями о
французском языке и его норме, особенно в грамматике. Происходит постепенное
становление лингвистической науки, которая начинает рассматривать язык во всех
проявлениях, начиная с грамматики; предметно интересуются историей
происхождения языка и диалектологией. Происходит грамматизация нормы
французского языка, которая не всегда приемлется, но уже осознается населением.
Проводится параллель между грамматикой и законом, язык тем самым обретает политическое
измерение, а следование грамматической норме - знаком законопослушности
гражданина. Согласно известным грамматистам братьям Бешерель, чья фамилия по
сей день на устах у французских школьников благодаря многочисленным учебным
пособиям, «грамматика обеспечила всеобщий порядок, ограничив индивидуальную
независимость», то есть сделала для языка то, что закон сделал для общества.
.1.4 Третья
республика: окончательная франсизация населения
Период Третьей республики (1870-1940) в истории становления французского
языка ознаменован реформами образования на рубеже XIX и XX веков. Республика
ставила перед собой задачу приобщения всех к высшей культуре, воспитывая в них
национальное сознание. Национальное сознание передается прежде всего через
язык, и задача франсизации населения была положена прежде всего на школу. Речь
шла о том, чтобы довершить дело, начатое революционерами, и избавиться, в
частности, от региональных языков. Патриотический аспект этой ситуации
усугублялся ещё тем, что Третья республика была провозглашена фактически во
время франко-прусской войны (1870-1871), по итогам которой Франции пришлось
уступить немцам провинции Эльзас и Лотарингию, что спровоцировало бурный подъем
патриотических настроений, желаний отомстить соседям и вернуть утраченные
провинции.
Главным реформатором системы образования, преобразовавшим школу Третьей
республики, стал Жюль Ферри, который занимал посты министра народного
просвещения, министра иностранных дел и председателя совета министров в течение
6 лет.
Жюль Ферри сделал начальное образование во Франции бесплатным для всех,
вывел его из-под власти Церкви, сделав полностью светским, а также придал ему
обязательный характер для всех детей в возрасте от 6 до 13 лет (законами
1879-1882 годов). Были преобразованы учебные программы и принципы методики
преподавания (переход от комментирования письменных текстов к обучению
разговорному языку). Школьные программы стали зеркалом насаждавшегося в стране
патриотизма, а местами даже рассадниками ксенофобии и расизма. Уже в начале XX
века был принят закон, полностью отделивший Церковь от государства, и
республика, а не только образование, обрела полностью светский характер.
Идея о величии нации, передаваемая через республиканскую школу,
подкрепляется также созданием огромной колониальной империи. Активно
продвигаются принципы революции 1789 года и лозунги о свободе, равенстве и
братстве, а день взятия Бастилии становится национальным праздником.
Население, по-прежнему широко использующее родные диалекты, постепенно
проникается мыслью о необходимости владения французским языком, осознавая, что
диалект становится показателем низкого социального статуса. Присущее же
французскому обществу многоязычие игнорируется и подавляется системой
образования, которая преследует лишь цель языковой унификации страны. Те из
учеников, кто на уроках или вообще на территории школы использует патуа,
вынуждены носить позорный знак.
Таким образом, Третья республика, и особенно преобразованная ею школа,
способствовали окончательной франсизации страны: за 40-60 лет от
образовательных реформ до падения республики в 1940 году сменилось несколько
поколений, прошедших через школы, которые подготовили из них новых французских
граждан, для которых французский язык был уже первым. Помимо этого, в 1914-1918
гг. Франция была вынуждена принять участие в Первой мировой войне. Ещё большее
количество людей прошло через перемешивающую диалекты и региональные языки
армию и траншеи, а сама война была воспринята как повод проявить патриотизм и
сплотила народ вокруг общего дела защиты родины.
1.2. 2-я
половина XX века: борьба против гегемонии
английского языка
.2.1 «Franglais» и формирование органов защиты
французского языка
Таким образом, к середине XX века стихают разговоры о том, что во Франции
не говорят на французском языке. Внешнеполитическая повестка дня также меняется
после Второй мировой войны, решающую роль в которой сыграли Соединенные штаты
Америки. И после войны именно они обретают ведущую роль в мировой политике, и
начинается эпоха гегемонии английского языка. Французский же язык переходит в
состояние постоянной борьбы с английским по всем фронтам - и борьбы неравной.
Новый лидер страны генерал Шарль де Голль осознавал грядущие перемены
акцентов в мировой политике и сразу после окончания войны озаботился тем, чтобы
французский язык сохранял свои позиции в мире: ещё в 1945 году де Голль дал
своим представителям на конференции ООН в Сан-Франциско указания, чтобы те
настояли на сохранении французского языка в качестве официального в работе
организации и рабочего языка Секретариата ООН наряду с английским.
Де Голль прилагал большие усилия, чтобы и в других странах, особенно где
французский представляет языковые меньшинства, люди имели возможность
продолжать его использовать. И хотя он всегда был очень сдержан и не стремился способствовать
созданию международного надгосударственного института, который занимался бы
защитой и продвижением языка в мире, каким стала Международная организация
Франкофонии (Organisation internationale de la Francophonie, OIF), именно во
время его президенства появилась первая внутригосударственная организация,
которая должна была заниматься защитой французского языка: в 1966 году
создается «Высший комитет по защите и распространению французского языка» (Haut
comité pour la défense et l'expansion de la langue française). У истоков создания этой
организации, чье название перекликается с докладом Иоахима дю Белле,
боровшегося с засильем итальянского языка в XVI веке, стоял Жорж Помпиду,
премьер-министр в правительстве де Голля, осознавший необходимость определённой
политики по отношению к французскому языку. Следует отметить, что Помпиду,
будучи филологом по образованию и выпускником Высшей нормальной школы,
представлял себе реальное положение французского языка. Осознавал он и то,
какое влияние на судьбу французского языка как посредника международного
общения может оказать вступление Великобритании в Европейский союз, и даже
специально встречался с британским премьером Эдвардом Хитом, чтобы обсудить
вопрос подбора франкоговорящих чиновников для европейских учреждений, вопрос
использования двух языков в качестве рабочих. Помпиду обосновывал своё
беспокойство тем, что английский язык являлся на тот момент уже не языком одной
только Англии, но прежде всего языком Америки, что представляет риск потери
европейской идентичности Европы и её подчинение заокеанской державе.
В сущности, создание этого Комитета стало реакцией премьера на выход
книги «Parlez-vous franglais?» авторства Рене Этьямбля, французского писателя и
лингвиста, с которым Помпиду вместе учился в Нормальной школе. Он не был
автором нехитрого сложения основ этого неологизма franglais(français+anglais), но популяризировал это слово своей
книгой и привлёк большое внимание к проблеме засилия английских слов во
французском языке и опасности, которой, тем самым, подвергался французский.
Претензии автора вызывают не такие англицизмы, которые прочно закрепились
в языке и больше не воспринимаются как иностранные (как microphone, téléphone или redingote), а массивное
использование характерных для эпохи слов, которым можно было без труда найти
французский аналог: business, leadership, quick lunch. Этьямбль яростно
набросился на журналистов и других французов, активно использовавших подобную
лексику, обвиняя их в снобизме, который толкал их на это. По его мнению, данная
ситуация также вела к тому, что Франция импортировала американские культуру и
образ жизни, заменяя ими свою самобытность, а также портя свой язык и превращая
его в "атлантический сабир". Более того, порой подобные
"франглицизмы" эволюционировали и уже не соответствовали нормам
языка-источника, а были французскими "сочинениями" по английским
мотивам.
Начиная с 60-х годов XX века, Франция проводит последовательную языковую
политику, направленную на сохранение присутствия французского языка и французской
культуры в условиях гегемонии англо-саксонского мира. Тем не менее, в ней
выделяются разные акценты, что зависит в первую очередь от приоритетов и
идейной приверженности политиков, которые эту политику проводят. В ответ на
ощущение угрозы, нависшей над языком после Второй мировой войны, создаются
различные организации и ассоциации, которые ставят перед собой задачу бороться
с деградацией языка и вторжением англицизмов. Франция воспряла после войны и
стремится восстановить свои влияние и престиж на международной арене, и
поднятие позиций языка - один из необходимых аспектов этого подъема. Альфред
Сови упрекает французов в «языковом низкопоклонстве» и неспособности создавать
новые слова и призывает государство вмешаться и поддержать деятельность
неофициальных организаций, особенно в том, что касается создания новых
терминов. С аналогичными требованиями выступает в своей книге и Этьямбль, и
можно утверждать, что они были услышаны, в силу того, какой шум произвела его
книга.
Именно в таком общественно-политическом контексте появляется Высший
комитет по защите и распространению французского языка, стремящийся, в духе
единства языка и его универсальности, защитить его и подкорректировать то, как
он используется. Вновь заходит речь об универсальности языка, благодаря
которому Франция сможет вновь обрести величие, основанное уже не на военных
победах, а на духовных, культурных.
В 70-х годах возникают терминологические комиссии, обязанные предлагать
новые термины для обозначения новых реалий или замены "нежелательных
заимствований", "очищения" языка. Столь жёсткие формулировки
ярко свидетельствуют о намерениях правительства бороться с влиянием другого
языка - разумеется, английского, из которого поступает наибольшее количество
заимствований. Хотя постановления этих терминологических комиссий относились
только к сфере официальных документов и к области образования, через это власти
хотели повлиять на реальный узус. Однако на практике это происходило далеко не
всегда.
1.2.2 Валери
Жискар-д’Эстен и поддержка международной роли английского. Закон Ба-Лориоля
Политический курс в отношении языка несколько меняется после
скоропостижной кончины президента Помпиду в 1974 году и победы на выборах
Валери Жискар-д'Эстена. Уже первое телеобращение к нации несколько шокировало
любителей французского языка: после нескольких минут речи на французском
новоизбранный президент решил повторить начало своей речи на английском.
Журналисту, комментировавшему эти события в прямом эфире, пришлось объяснять
телезрителям, что это было сделано для англоязычного телевидения, что он сказал
то же самое, что они уже слышали на французском.
Всё это происходило вскоре после того, как в 1961 году между США и
Великобританией было подписано соглашение о внедрении английского языка во все
страны мира скрытыми способами, прежде всего через его навязывание для
обучения: так, они считали, что обучение английскому как иностранному языку
могло навсегда изменить сознание изучающих, изменить их мир, и что английский
язык способствует развитию человечества, несмотря на возможное сопротивление со
стороны образовательных органов тех стран, на которые была направлена эта
политика, особенно отстающих в экономическом развитии.
Впоследствии Жискар д'Эстен признал, что поддержал выбор английского
языка как языка международной торговли, необходимого, в частности, для
отношений Франции с США и Японией.
Валери Жискар д'Эстен принял крайне активное участие в подготовке
конституции Евросоюза, но отказался включить туда пункт о том, что французский
является языком Евросоюза, как это было всегда. Другие языки также остались без
внимания политического руководства Евросоюза, и всем было понятно: на деле это
означало, что английский становится единственным рабочим языком Европы,
несмотря на мнение граждан, которых, разумеется, никто не спрашивал. Несмотря
на видимое равенство между тремя рабочими языками, лишь английский становился
реальным языком общения и работы. Постепенно многие международные организации,
как например Европейский банк, стали заявлять о полном переходе на английский язык.
Тем не менее, именно во время семилетнего президентского срока Жискар
д'Эстена был принят первый в Пятой республике закон, посвященный защите
французского языка: закон №75-1349 от 31 декабря 1975 года об использовании
французского языка, также известный под названием Закона Ба-Лориоля. Депутат
Национального собрания Пьер Ба выдвинул в мае 1973 года законопроект о защите
французского языка, который стал предметом доклада другого депутата, Марка
Лориоля, в июне того же года. Рассмотрение законопроекта было отложено из-за
смерти президента Помпиду, и закон был принят уже при новом президенте. Однако
этому предшествовали нешуточные дебаты, ведь первоначальный проект Ба имел
крайне широкое поле применения и буквально вмешивался в частные договоры между
гражданами, запрещая им пользоваться любой иностранной лексикой и даже кальками
с других языков.
Конечная редакция закона выглядит более мягкой и относится к трем
основным областям применения: выставление на продажу товара или услуги,
трудовые договоры и объявления о вакансиях, надписи в общественных местах и
транспорте. В этих сферах запрещается использование любых иностранных терминов
или выражений, если существуют эквивалентные им, утвержденные
терминологическими комиссиями в соответствии с декретом об обогащении языка.
Однако французский текст может быть дополнен переводами на иностранные языки.
Закон Ба-Лориоля преследовал двойную цель: с одной стороны, защитить
интересы потребителей, с другой - сохранить единство языка, воспринимаемого как
национальное наследие, и ограничительные меры, принятые в данном отношении,
вдохновлены языковым пуризмом, что несколько не сочетается с заботой об
интересах и свободе потребителей. В конечном счёте, закон был воспринят как
проявление излишнего языкового национализма, чьей целью является контроль над
языком. Закон Ба-Лориоля встретил равнодушие у тех, кем он должен был
соблюдаться, и он практически не применялся. Однако, если взглянуть
ретроспективно, он всё же представляется рациональной мерой по защите
потребителей и работников.
1.2.3 Эпоха
Миттерана и Ширака: развитие Франкофонии и принятие закона Тубона
Следующий президент, Франсуа Миттеран (1981-1995), придерживался более
патриотичных взглядов в своей языковой политике, очень радел о судьбах
французского языка, а право на язык считал одним из важнейших, о которых должны
заботиться политики. Во время его президенства политики должны были
преследовать две цели, обусловленные прямой и значительной связью между языком
и культурой: препятствовать исчезновению малых языков и не допускать никакой
языковой гегемонии. Таким образом, Миттеран первым в своей языковой политике
обратил внимание на заботу о региональных языках, поднял вопросы культурного
многообразия и заботы о его сохранении.
Большое внимание уделялось и вопросам распространения французского языка
внутри и за пределами страны, работе с различными организациями и ассоциациями.
В 1984 году Высший комитет по французскому языку был заменен на Генеральный
комиссариат по французскому языку (Commissariat général à la langue française) и Консультативный комитет по
французскому языку (Comité consultatif de la langue française). Новообразованный комитет был
призван предлагать различные инициативы касательно использования и
распространения французского языка. Комиссариат же занимался повышением
эффективности действий государства в языковой политике, а также вопросами
терминологии. В течение тридцати лет с момента их появления эти органы
административно относились напрямую к Премьер-министру, а начиная с 1996 года
созданная незадолго до этого Делегация была переведена в подчинение министру
культуры.
Миттеран также создал Высший совет франкофонии (Haut Conseil de la
francophonie) под своим председательством. Этот совет состоял из десяти
французских и иностранных представителей, а его целью было развитие культурных
и языковых аспектов международной политики французского языка. Миттеран называл
эти процессы "приведением в порядок институтов франкофонии", и за
созданием Высшего совета франкофонии последовал саммит с участием 39 глав государств
и правительств, объединенных использованием французского языка, что
впоследствии привело к созданию Международной организации Франкофонии
(Organisation Internationale de la Francophonie, OIF), которая, в частности,
заботилась и продолжает заботиться о сохранении культурного многообразия в
условиях глобализации (прежде всего подразумевается противостояние гегемонии
английского языка), являясь чуть ли не единственной организацией, открыто
провозглашающей это в качестве своей задачи.
На протяжении обоих президентских мандатов Франсуа Миттерана не умолкали
голоса тех, кто не довольствовался плохо применявшимся законом Ба-Лориоля и
стремился расширить его зоны применения. Среди многочисленных законопроектов до
принятия в качестве закона был доведен лишь законопроект Жака Тубона, министра
культуры в правительстве сосуществования. Политический вектор снова обращается
к волюнтаристской защите и продвижению языка. Представлявший законопроект
докладчик говорит о том, что угрозы единству французского языка возникают
преимущество за границей и призывает к работе над сохранением и переоценкой
значения этого "национального богатства". Предыдущий же закон был
признан робким и неполным, и было принято решение усилить принудительные меры и
снабдить новый юридический инструмент соответствующими санкциями.
Закон 94-665 от 4 августа 1994 года об использовании французского
языкапризван обеспечить использование французского языка как официального и
обязательного в документах правительства, в работе, в вывесках и маркировках товаров,
торговых договорах и некоторых других областях.
Первая статья Закона провозглашает, что французский язык, язык
Республики, является языком образования, труда и сферы услуг. Статья 2
объявляет обязательным использование французского в наименованиях, офертах,
упаковках, инструкциях, описаниях товаров и услуг, а также в счетах и
квитанциях; аналогичному правилу подчиняется любой вид рекламы. На французском
должны быть и надписи в публичных местах и общественном транспорте (ст. 3).
Если данного рода тексты являются иностранными по своей природе, их должен
сопровождать перевод на французский, который был бы представлен и виден не
хуже, чем представление информации на иностранных языках (ст. 4). Отдельного
внимания заслуживают ст. 8-10 Закона, посвященные вопросам защиты наемных
работников. Так, их трудовые договоры должны быть составлены на французском
языке; если название должности не имеет официального французского эквивалента
(т. е. утверждённого терминологическими комиссиями), то договор должен включать
объяснение данного иностранного термина. На французском должны быть и правила
внутреннего распорядка. Таким образом, даже работая на иностранном предприятии,
французский работник не может страдать от того, что не знает иностранного
языка. В свою очередь, иностранный работник может запросить перевод своего
французского контракта на его язык, и оба текста будут иметь одинаковую
юридическую силу. Французский также объявляется языком образования, а значит
языком для всех экзаменов (кроме случаев, когда преподаватель - иностранец) и
выпускных квалификационных работ (ст. 11).
В тексте закона также прописываются санкции по отношению к тем, кто не
выполняет его условия, особенно статью 2 (ст. 16). А правительство обязано
каждый год отчитываться перед парламентом о применении этого закона (ст. 22).
Часто говорят, что закон Тубона направлен на борьбу с всё усиливающимся
влиянием англо-американского языка как в повседневной, так и в
общественно-политической жизни Франции. Например, он запрещает теле- и
радиовещание на иностранных языках, когда речь не идёт о кинематографической
или аудиовизуальной продукции на иностранном языке (ст. 12). В связи с этим
некоторые исследователи называют закон Тубона мерой, продолжающей многовековую
централистскую языковую политику, направленную на исчезновение всех остальных
языков, кроме французского; называют его "языковой линией Мажино",
которая лишь ограждает Францию от прогресса и развития.
Другие ученые, в их числе Бернар Серкилини, до недавних пор ректор
Университетского агенства Франкофонии, называют этот закон прогрессивным
средством защиты права граждан Франции на их родной язык и утверждают, что он
способствует укреплению франкофонии в мире в силу солидарности, установленной
между франкоязычными странами.
Французские СМИ, в частности, печатная пресса, по-разному реагировали на
этот закон в процессе его обсуждения: от скептицизма и сатиры до выраженной
поддержки. Любопытно, что обсуждения фактически прекратились после принятия
закона Тубона: некоторые издания рассказали о практических последствиях этого
решения для работников, в других появились несколько текстов в поддержку
закона. Примечательно то, что в газетах и журналах вновь стали появляться
рубрики языковой хроники, особенно сконцентрированные на вопросах лексики, что
привлекает граждан к вопросам, связанным с их языком и его жизнью в современном
обществе. Отметим также, что профессиональные лингвисты не принимали активного
участия в обсуждении закона Тубона в прессе, возможно после неудачного исхода
обсуждений орфографических поправок в 1990 году. В целом можно сказать, что
призыв СМИ к мобилизации (и даже к "крестовому походу") за
французский язык и против волны лексических заимствований потерпел неудачу, и
подобные призывы практически исчезли из газет и журналов после 10-20 лет после
принятия закона. Вероятно, это связано с тем, что новые поколения общественной
элиты, уже лучше владеющие английским языком и лучше интегрированные в
глобализованную реальность, посвящают меньше внимания этим вопросам, а
проблемы, которые раньше рассматривались через призму языка, отныне
рассматриваются с других точек зрения: социальной, этнической, религиозной и
пр.
Принятие этого закона обернулось несколькими громкими историями со
штрафами, выписанными крупным корпорациям за его несоблюдение, однако штрафы,
по-видимому, остаются для них недостаточной угрозой: как показывает доклад
Центра исследований в области труда, на чьи результаты ссылается журнал
L'Express, 25% работников предприятий, насчитывающих от 20 и более сотрудников,
вынуждены сталкиваться в работе с иностранным языком, что вызывает неудобство у
22% работников. Газета, таким образом, называет английский язык фактором
стресса и дискриминации для этих работников, особенно если они являются
пожилыми или малоквалифицированными.
Соответственно, можно утверждать, что закон Тубона был не самой
эффективной мерой, так как не добился своих целей, однако остаётся оплотом и
«эмблемой» защитительной политики в отношении французского языка.
Следующий президент Пятой республики, Жак Ширак (1995-2007), объявил
практически открытую войну гегемонии английского языка и вытеснению
французского из Евроучреждений. Он призывал сохранять верность принципу
языкового разнообразия как в культурной сфере, так и в экономической жизни.
С борьбой Ширака против английского языка связан один публичный скандал:
23 марта 2006 года во время заседаний Евросовета Ширак, а также министры
экономики и иностранных дел демонстративно вышли из зала заседаний, когда
Эрнест-Антуан Сельер, французский председатель Европейской организации
предпринимателей (UNICE) начал свой доклад на английском как "языке
бизнеса". Свой выход Ширак мотивировал тем, что "нельзя строить
завтрашний день лишь на одном языке, и как следствие одной культуре, так как
это приведёт к страшному регрессу", а также своей борьбой за французский
язык не только в национальных интересах, но и в интересах культуры и диалога
культур.
Возможно, за этим инцидентом стояла и другая подоплека: экономический
патриотизм, обвинений в котором французский президент хотел избежать, хоть и
опроверг это. За словами "экономический патриотизм" на самом деле
скрывается политика протекционизма, которую некоторые усматривали в применении
закона Тубона в отношении компании General Electric Medical Systems, которая
отказалась перевести свою документацию на французский язык и получила за это
штраф в 580 тысяч евро.
В то же время, французский президент использовал и другие аргументы в
своих нападках на английский язык. Прежде всего, он апеллировал к тому, что
куда большее число европейцев говорит на французском или немецком языке, нежели
на английском, который является родным только для жителей Великобритании. К
тому же, тот "глобальный английский", globish, не позволяет тем, для
кого английский не является родным языком, выражать свои мысли полноценно и
точно, что дает англоязычным странам неоспоримое преимущество в любого рода
переговорах.
Жак Ширак также понимал значимость новой информационной среды, в
частности Интернета, и потому призыв к творчеству, производству и вещанию на
французском языке называл "вопросом выживания".
Английская сторона не стала молча терпеть эти нападки. Журналист The
Guardian Марсел Берлинз утверждает, что, несмотря на его собственную любовь и
уважение к французскому языку, пришло время признать, что времена его доминирования
на международной арене и в дипломатической сфере прошли, равно как и его
превосходство в Евросоюзе. Более того, журналист считает, что за этим демаршем
французского президента скрывается страх и отчаяние перед реальным упадком
французского языка внутри самой Франции. Тем не менее, он соглашается с
аргументом Ширака про обеднение культур, если общество будет построено на
одном-единственном языке.
1.2.4 Николя
Саркози и отход от традционной политики поддержки французского языка
Следующий президент Французской республики, Николя Саркози (2007-2012),
придерживался других взглядов и отдавал приоритет в политике, в том числе
языковой, экономическим связям и отношениям с крупнейшими державами (что на
практике означает - англосаксонскому миру и языку).
Еще будучи министром внутренних дел, в июле 2006 года, через несколько
месяцев после скандала с Сельером, Саркози выпускает книгу Témoignage ("Свидетельство"), в
которой излагает свои политические взгляды. Когда дело доходит до вопросов
франкофонии и политики по отношению к французскому языку, он высказывается
следующим категорическим образом: "Франция должна, наконец, стать
полноправной участницей всех крупных дебатов в международных организациях. Но
сегодня из-за нашей политики языковой непреклонности нас никто не слышит. Во
имя франкофонии мы отказываемся говорить на любом языке, кроме французского, в
ходе международных переговоров, включая неформальные дискуссии, которые
зачастую бывают самыми важными". Тем самым Саркози, который в этой же
книге рассказывает о своих президентских амбициях, хочет порвать с многолетней
традицией защиты французского языка как международного, видит во франкофонии
препятствие экономическому развитию страны и заявляет о своих проамериканских
настроениях. Известно, что Саркози, как и некоторые другие лидеры своих стран,
был участником обменных программ при Госдепартаменте США.
Тем не менее, данные взгляды не мешали политику сохранять лицо в
предвыборной кампании: 9 марта 2007 года в Кане он заявлял, что будет биться,
чтобы французский продолжал использоваться в европейских инстанциях, что станет
обязанностью любого представителя Франции в этих органах. А 13 марта в
Безансоне - что сделает франкофонию одним из дипломатических приоритетов
Франции, усилит аппарат культурного влияния Франции за рубежом, а также помощь
творчеству, которое создает славу Франции; он обещал также следить за тем,
чтобы французский оставался языком труда на всех предприятиях, расположенных на
французской территории (при отсутствии экономической или коммерческой
необходимости изъясняться на другом языке). А единственным способом борьбы с
гегемонией английского он назвал изучение двух иностранных языков на всей
территории Европы.
Тем не менее, в искренности всех этих обещаний многие усомнились вскоре
после избрания Саркози, когда он решил ратифицировать Лондонский протокол. Речь
идёт о соглашении, разработанном Европейским патентным ведомством, направленном
на упрощение лингвистического режима организации, что, по сути, означает, что
любой патент, зарегистрированный на английском языке, действует во Франции без
перевода. Таким образом, документ (патент) на английском языке приобретает
юридическую силу в любом французском суде, что перечеркивает всю языковую
политику, начиная с Ордоннанса Вилле-Коттре.
Многие известные лингвисты, включая Клода Ажежа и Бернара Лешербонье,
назвали этот шаг предательством французского языка, подчинением программе
экономического господства, замаскированной под мондиализацию, и шагом к потере
высшего образования, а следом и науки, на французском языке.
В 2013 правительство пошло на новый шаг в сторону образования на
английском, разрешив преподавание на английском языке. Статья 2 нового закона о
высшем образовании и науке вызвала огромные дискуссии в обществе, но Женевьеве
Флоразо, министру высшего образования, всё-таки удалось её продавить. Эти
исключения к закону Тубона разрешаются "только когда они оправданы
педагогической необходимостью", а именно в случае соглашений с
иностранными университетами или в рамках европейской образовательной программы.
По словам министра, "речь не идёт о том, чтобы поставить под сомнение
первичность образования на французском или франкофонии, а о том, чтобы
расширить фундамент франкофонии для молодёжи, в частности из развивающихся
стран, которая перестала ехать на учёбу во Францию". Однако факт остаётся
фактом: французы получили возможность получать высшее образование в своей
стране на чужом языке. Остаётся лишь задуматься: зачем изучать в средней школе
французский, если профессию затем престижнее получать на английском?
Что касается языковой политики президента Саркози, лучше всех его
заявлений о ней говорит документ, в котором описываются приоритеты внешней
политики Франции. По просьбе Саркози и его премьер-министра Франсуа Фийона
Бернар Кушнер, министр иностранных дел, созвал специальную комиссию, состоящую
из 40 выдающихся людей, чиновников, депутатов, дипломатов, профессоров, которая
должна была подготовить доклад о месте Франции в Европе и мире и о приоритетах,
которые страна должна включить в свою политику. Казалось бы, можно было ожидать
оригинальных и перспективных предложений, касающихся Франкофонии, однако ей
уделено минимальное внимание после остальных векторов политики МИДа, а
высказанные в этом отношении предложения - это лишь очередное повторение заезженных
формулировок: "французский язык - это незаменимый инструмент для
распространения наших идей и нашего культурного наследия". А затем и вовсе
звучит буквально следующий призыв: "не распыляться в напрасных битвах.
Франкофония не борется с тем, что английский приобрёл роль мирового языка
коммуникации". Как будто авторы забыли, что английский добился такого
положения путём целенаправленной политики, вытеснив с этого привилегированного
положения французский.
Более того, авторы призывают примириться с мыслью, что можно и нужно
работать над прославлением и защитой интересов страны не только на французском,
но и на английском и других языках. Следовательно, представители Республики
могут использовать английский язык, когда им этого захочется, внутри страны и
за ее пределами, лишь бы за этим стояли "интересы страны".
Этот документ позволяет четко понять, что к приоритетам Франции относится
положение страны в Европе, роль на международной арене и защита французских
интересов за границей, увеличение привлекательности Франции на рынке высшего
образования (что могло привести и к вышеописанным изменениям 2013 года в пользу
английского). То, что касается Франкофонии - это лишь наигранная дипломатия,
которая ничего не решает, а развитием и распространением своей культуры Франция
занимается в одиночку.
1.2.5 Пустые
и размытые обещания Франуса Олланда
Нынешний президент, социалист Франсуа Олланд (2012-...), попытался
несколько выправить сложившуюся ситуацию, по крайней мере, на словах. В ходе
предвыборной кампании будущий президент сформулировал 60 чётких обещаний того,
что он намеревается сделать в случае избрания. 2 из них, а именно номер 56 и
номер 58, напрямую относятся к языковой политике:
. Я ратифицирую Европейскую хартию региональных и миноритарных языков.
. Я буду развивать отношения Франции со странами южного берега
Средиземноморья на основании экономического, демократического и культурного
проекта. Я порву с "французской Африкой" (Françafrique), предложив отношения, основанные на
равенстве, доверии и солидарности. Я придам новый импульс франкофонии. Я приму
меры, необходимые для наших сограждан, проживающих вне Франции, в частности в
области образования, сообразно их доходам.
Сразу после избрания Франсуа Олланда спросили о том, владеет ли он
английским языком и как относится к его использованию. Хотя он сразу заявил,
что владеет им лучше, чем его предшественник, он не преминул заверить о своей
привязанности к французскому языку и франкофонии, пообещал повсюду защищать
использование французского, однако признал, что даже французскому президенту
необходимо понимать и уметь изъясняться на английском напрямую со своими
собеседниками, особенно в неформальном общении.
Олланд также сразу занялся вопросами Франкофонии как международной
организации. После пренебрежительного отношения Саркози, а также в силу
уменьшения финансирования, которое из-за кризиса Франция могла отныне оказывать
МОФ, было важно вновь привлечь внимание к роли Франкофонии, возможно намекнуть
другим франкофонным странам Севера (Канаде или Бельгии) на потенциальную
финансовую помощь с их стороны, и, особенно, изменить поведение по отношению к
лидерам "южной" Франкофонии.воё видение места Франции в современном
мире и Франкофонии Олланд выразил в речи по случаю XX-й Конференции послов, на
которой ежегодно собираются все представители дипломатического корпуса страны,
в августе 2012 года. "Франция - это мост между странами, в том числе
развивающимися, между Севером и Югом, между Востоком и Западом. Наша страна -
деятель и посредник диалога между цивилизациями". Этими словами
новоизбранный президент отмечает переход от "атлантического" видения
Саркози, сосредоточенного на Соединенных штатах Америки, выступающих в роли
всемирного гегемона, от "западного" политического мировоззрения к
мультиполярному миру, подобно тому, как это представлял себе Жак Ширак. В своей
речи он также называет французский язык "образом мысли и действия" и
призывает дипломатов продолжать "битву за множественность и разнообразие
культур: продвижение и защита языка и творчества на нём это утверждение
мировоззрения, в котором есть место всем культурам". Таким образом, Олланд
призывает послов к индивидуальной бдительности, но не говорит о конкретных и
чётких мерах, которые Франция предпримет для распространения своего языка и
культуры.
Олланд осознает, что центр тяжести внутри Франкофонии переходит на
африканский континент: к 2050 году 80% франкофонов будут африканцами, а значит
важно вспомнить об исторической, культурной и языковой близости Франции со
странами Африки.
Президент также напоминает, что французский является вторым официальным
языком европейских учреждений и настаивает на соблюдении этого
"регламента" в отношении ЕС, ООН и других международных организаций.
Таким образом, можно говорить о смене политического курса по сравнению с
политикой Саркози: Олланд понимает, что Европа уже не является центром
мультиполярного мира, а Франция не является демографической колыбелью
Франкофонии. Возможно, если бы эти слова были подкреплены логичными и разумными
действиями, можно было бы говорить, что защита французского языка и культуры
снова стали одной из "обычных" миссий французской дипломатии.
С этими настроениями и воодушевляющими для Африки речами французский
президент отправился и на 14-й саммит МОФ в Киншасу, столицу Демократической
республики Конго, и выступил там с речью, в которой "прославлял
франкофонию": "Наша общая ценность - это французский язык.
Франкофония - носительница ценностей, принципов, требований. Она - послание
свободы. Это пространство продвижения ценностей, открытости, экономических,
социальных и культурных отношений. Наконец, это связь между поколениями.
Будущее Франкофонии здесь, в Африке. И именно вы понесёте французский язык, его
ценности и в то же время его требования".
Однако таким открытым речам в центре крупнейшей франкофонной страны в
мире предшествовало некоторое дипломатическое напряжение. За несколько дней до
саммита, 10 октября того же года, Олланд на совместной пресс-конференции с
генеральным секретарем ООН Пан Ги Муном заявил буквально следующее:
"ситуация в Демократической республике Конго совершенно неприемлема в том,
что касается прав человека, демократии, признания политической оппозиции".
Чем можно объяснить такой выпад в адрес страны, которую президент
намеревался посетить? Что может за ним скрываться? Некоторые журналисты
считают, что его решение приехать, несмотря на такую критику, связано, прежде
всего, со скрываемыми экономическими интересами, в которых растворяется
демократия. ДРК, как и многие другие африканские страны, продолжают вызывать
экономический аппетит у мировых держав, так как там находится большое
количество природных ресурсов и сырья, и мировые державы борются за сферы
влияния в Африке.
Есть основания полагать, что и другие обещания и предвыборные заявления
президента Олланда были использованы им лишь для привлечения общественного
мнения на его сторону, и, как следствие, голосов на выборах или поддержки, а на
деле их никто не выполняет. С этим можно связать тот факт, что к предвыборному
обещанию номер 56, "ратифицировать Европейскую хартию региональных и
миноритарных языков", Олланд вернулся лишь в 2015 году непосредственно
перед очередными региональными выборами. Ратификации Хартии в итоге
воспрепятствовал Сенат.
К сожалению, нельзя говорить и о каких-то конкретных мерах, предпринятых
в защиту французского языка, зато можно вспомнить о том, как в 2013 году, уже
при Олланде, был принят вышеупомянутый закон о высшем образовании, разрешающий
преподавание на иностранном языке во французских вузах.
Низкие рейтинги Олланда подтолкнули находчивых журналистов создать
интернет-ресурс, на котором они детально рассмотрели все предвыборные обещания
Олланда, сравнили с реально предпринятыми мерами и оценили степень выполнения
обещания. С Хартией (обещание 56) не вышло не по его вине, а все обещания,
сгруппированные под номером 58, в том числе "перезапустить
франкофонию", отмечены как "слишком размытые". А значит и меры
конкретные к ним подобрать трудно.
Таким образом, хотя от Олланда не исходит открытая поддержка английскому
языку, и на словах он поддерживает франкофонию, нельзя сказать, что
осуществляется какая-то реальная политика поддержки французского языка.
Конечно, закон Тубона об использовании французского языка по-прежнему
действует, но очевидно, что французский язык не входит в политические
приоритеты страны, занятой, прежде всего, другими проблемами и преследующей
другие цели.
1.3 Главная
делегация по французскому языку и языкам Франции: история и доклады
правительству об использовании французского языка
На данный момент официальная организация, занимающаяся вопросами
использования французского - это Главная делегация по французскому языку и
языкам Франции (Délégation générale à la langue française et aux langues de France, DGLFLF).
Она была создана в 1989 под более кратким названием, в котором упоминался
только французский язык: DGLF (Délégation générale à la langue française). В 2001 году название расширили,
чтобы учесть и региональные языки, используемые в разных уголках страны.
Исторически Делегация является непрямой наследницей Высшего комитета по защите
и распространению французского языка (Haut comité pour la défense et l'expansion de la langue française), созданного в 1966 г. За прошедшие
с тех пор почти полвека менялись названия этого органа и его административное
подчинение, но основные цели и задачи оставались прежними. В 1973 году Комитет
сократил своё название, став просто Высшим комитетом по французскому языку. А
через 11 лет, в 1984 году, его заменили Генеральный комиссариат по французскому
языку (Commissariat général à la langue française) и Консультативный комитет по
французскому языку (Comité consultatif de la langue française). Новообразованный комитет был
призван предлагать различные инициативы по использованию и распространению
французского языка, а также франкофонии. Комиссариат же занимался повышением
эффективности действий государства в языковой политике, а также вопросами
терминологии.
В течение тридцати лет с момента их появления эти органы административно
подчинялись напрямую к Премьер-министру, а начиная с 1996 года созданная незадолго
до этого Делегация была переведена в подчинение министру культуры.
Как гласит официальный сайт Делегации, её миссией является проведение и
координация языковой политики Правительства, наряду с поддержанием социальной
консолидации и вниманием к разнообразию (diversité?) французского общества. Костяк
организации составляют порядка тридцати человек, но она также сотрудничает с
партнёрами из экономических, социологических и научных слоев, разнообразными
организациями, связанными с языковой политикой, а также прибегает к помощи
людей искусства для привлечения общественного внимания к проблемам языкового
разнообразия и права на язык.
Помимо этого, DGLFLF опирается на широкую сеть межминистерских органов, в
том числе ответственных за соблюдение существующих законов о языке, комиссии по
терминологии и неологии, в том числе высоких чиновников, призванных
распространять наработки терминологических комиссий.
К приоритетам Главной делегации относятся:
· забота о том, чтобы все граждане страны имели право на французский
язык, поддержание и развитие уровня его использования, а также обеспечение его
обогащения;
· внимание к языкам Франции: наблюдение за их использованием,
забота об их сохранении и повышение их престижности;
· продвижение многоязычия и укрепления языкового разнообразия
во Франции и во всём мире.
При этом, Делегация ссылается на французскую Конституцию, статья 2
которой гласит, что языком Республики является французский, и именно поэтому
следит за соблюдением права на язык "в обстоятельствах, предусмотренных
законом", ради равного доступа к информации и знанию.
Под эгидой DGLFLF трудятся 18 специальных терминологических комиссий,
задачей которых является предложение новых терминов для описания реалий
современного мира, то есть поддержание функциональности французского языка.
Данная политика издавна осуществляется как практически прямая борьба с засильем
английских неологизмов, чья особенно высокая концентрация наблюдается в
наиболее быстро развивающихся отраслях промышленности и общественной жизни, в
первую очередь в сфере компьютерных и информационных технологий. В связи с этим
особое внимание Делегация уделяет работе с "мощными цифровыми
устройствами", чтобы как облегчить терминологические исследования и
эффективнее распространять вводимые термины среди пользователей, а также
собирать их собственные мнения и предложения на этот счёт. Отмечается также,
что цифровая сфера позволяет обеспечивать присутствие французского в
информационном обществе, поддерживать использование языков, находящихся под
угрозой исчезновения, а также обеспечить доступ к культурным ресурсам, как на
французском, так и на других языках.
Говоря о распространении французского языка, в Делегации не забывают и
про остальные языки, используемые на территории страны: и о "местных
языках" заморских регионов и департаментов, и о политике в отношении
внутреннего языкового разнообразия, причём вновь следует ссылка на Конституцию,
согласно которой региональные языки являются частью национального достояния
Франции. Действия DGLFLF должны способствовать увеличению присутствия этих
языков «повсюду, где Конституция это позволяет», например, в СМИ и культуре.
Работы и исследования в том, что касается права французов на французский
язык, основаны прежде всего на Законе 94-665 от 4 августа 1994 года о использовании
французского языка, «законе Тубона».
Делегация призвана следить за соблюдением и применением всех
законодательных актов, связанных с французским языком, главным из которых
по-прежнему является закон Тубона. Согласно этому законодательному акту, правительство
(в лице Делегации) должно ежегодно, в срок до 15 сентября, предоставлять
парламенту (Национальной ассамблее) отчёт о применении этого закона.
Данные доклады, послужившие основным материалом нашего исследования,
общедоступны как на сайте Делегации, так и на других сайтах, в редакциях с 1997
по 2015 гг. Мы предполагаем, что докладов за период с появления закона и
документов, касающихся его применения (например, декрет 95-240 от 3 марта 1995
о применении закона 94-665 от 4 августа 1994 года касательно использования
французского языка), до появления первого общедоступного (на сегодня в
Интернете) доклада в конце 1997 года написано и выпущено не было.
Любопытно, что до 2001 года включительно доклады были озаглавлены «Доклад
Парламенту о применении закона от 4 августа 1994 года о использовании
французского языка», а с 2002 года по сей день изменили своё название на
«Доклад Парламенту об использовании французского языка».
Как правило, подобный доклад представляет из себя документ объёмом в
120-240 страниц. Он содержит предисловие, которое пишет либо действующий
премьер-министр, либо министр культуры. Начиная с 2002 года (года
переименования) доклады обретают достаточно стабильный формат: в первой части
речь идёт непосредственно о применении закона и языковых практиках внутри
страны (основные разделы повествуют о присутствии французского в общественной
жизни, о ситуации в образовании и о языковом разнообразии внутри страны), а во
второй - о том, как французский язык представлен в различных международных организациях
(Европейский союз, ООН, Международная организация Франкофонии и другие) и какие
шаги предпринимаются для его распространения.
Глава 2.
Методы исследования
2.1 История
статистических методов. Описание функционала программы T-Lab
В данной выпускной квалификационной работе широко используются
статистические методы исследования языкового материала.
Статистические, или количественные, методы для изучения текстового
материала начали появляться в начале XX века. Первым к изучению истории
(которая представляет из себя, как правило, изучение исторических текстов) стал
систематично и последовательно использовать статистические методы Н. А.
Морозов.В рамках лингвистики данные методы предварило появление структурной
лингвистики (начало XX века), а на математизацию лингвистики в свое время
указывали еще Фердинанд де Соссюр и И. А. Бодуэн де Куртенэ. Л. С. Выготский и
вовсе утверждает, что первым, кто в математике увидел мышление, происходящее из
языка, был Рене Декарт.
Статистическую лингвистику можно определить как дисциплину, изучающую
количественные закономерности естественного языка, проявляющиеся в текстах. В
основе этой дисциплины лежит предположение, что некоторые численные
характеристики и функциональные зависимости между ними, полученные для ограниченной
совокупности текстов, характеризуют язык в целом или его функциональные стили.
Многочисленные ученые, занимавшиеся проблематикой квантитативной
лингвистики, не всегда сходились во мнении относительно целей и задач
математического направления в лингвистике. Однако в современной лингвистике как
количественные, так и неколичественные математические методы приобретают все
более широкое применение, что связано как с более глубоким пониманием
устройства и функционирования языка, так и с появлением прикладных дисциплин
(социолингвистика, психолингвистика и др.) и задач, связанных с автоматической
обработкой текста. Немаловажно и стремление объективизировать результаты
научных исследований в области изучения языка, чему, несомненно, способствуют
математические методы.
Использование подобных методов возможно не только в рамках сугубо
математической лингвистики. В данной выпускной квалификационной работе
важнейшая роль отведена компьютерной программе T-Lab, над которой с 2001 года
работает группа итальянских учёных. В нашем исследовании использовалась
лицензионная программа T-Lab версии 9.1.Lab это программа, которая состоит из
комплекса лингвистических, статистических и графических инструментов анализа
текста. Главными типами доступного в программе анализа являются:
· анализ совместной встречаемости;
· тематический анализ;
· сравнительный анализ.
Анализу можно подвергнуть как отдельный текст, так и некую совокупность
текстов (от ряда интервью или веб-страниц до корпуса сообщений в социальной
сети Twitter). В самом интерфейсе программы доступна функция создания корпуса
из ряда разных текстовых файлов.
При импортировании любой текст рассматривается в программе как корпус. В
процессе импорта T-Lab осуществляет следующие процессы:
· нормализация корпуса - техническая процедура, разбивающаяся
на следующие отдельные процессы: удаление лишних пробелов, выделение знаков
препинания, добавление пробела до и после каждого знака препинания (чтобы они
не воспринимались как часть слова);
· определение неизменяемых имен собственных (выделяются в
отдельную группу), мультислов (multiwords) и «пустых» слов (stop-words, mots
vides). Мультислова - это совокупности двух или более слов (словосочетания),
функционирующих как одно на уровне означаемого: это могут быть составные имена
(например, Ministère de la Justice) или выражения (например, au fur et à mesure, afin de, à l'instar de). Под «пустыми» словами
программа определяет неполнозначные слова, не несущие своей собственной
семантики, такие как предлоги, артикли, неопределенные наречия и
прилагательные, междометия, местоимения, вспомогательные и модальные глаголы
(при необходимости, набор «пустых» слов может быть задан пользователем);
· сегментация на элементарные контексты, которыми, по выбору
пользователя, могут быть отдельные высказывания, фрагменты, чья длина
соответствует длине одного или нескольких высказываний (T-Lab отделяет их
следующим образом: новый элементарный контекст начинается после каждого
перехода на новый абзац при условии, что длина фрагмента не превышает 400
символов; в случае, когда в пределах 400 символов не происходит перехода на
красную строку, программа автоматически отыскивает первый знак препинания (? !
; : ,) и отделяет фрагмент), абзацы длиной не более 2000 символов или краткие
тексты длиной не более 2000 символов. Опцией по умолчанию, которой
воспользовались и мы, является разделение на фрагменты;
· автоматическая лемматизация: подобно тому, как в словарях
каждая словарная единица соответствует лемме, которая вбирает в себя все
результаты склонения или спряжения слова; лемма - это, можно сказать, начальная
форма слова: инфинитив для глагола, единственное число у существительных,
единственное число мужского рода у прилагательных и т. д. Все слова корпуса
распределяются программой на следующие классы: неклассфицированные слова (NCL,
non classifiés, как правило, это имена собственные,
не входящие в общепринятые словари) и классифицированные, которые включают в
себя лемматизированные (LEM, lemmatisés), то есть которым найдена начальная
форма, омографы (HOM, homographes) и дифференцированные (DIS, différenciés, à distinguer), к которым не
применяется стандартная лемматизация, чтобы не потерять различение смысла в
разных формах (например, bien и biens, savoir и savoirs). Приведенные
трехбуквенные сокращения применяются в составляемых программой словарях;
· построение словаря: приведём в качестве примера начало
словаря, построенного программой по докладу за 2000 год(табл. 1), чтобы
проиллюстрировать в том числе принцип работы лемматизации:
Таблица
1. Фрагмент словаря корпуса доклада за 2000 год, созданного программой T-Lab
|
WORD
|
OCC
|
LEMMA
|
|
a
|
371
|
avoir
|
|
à
|
1081
|
à
|
|
à_bon_escient
|
1
|
à_bon_escient
|
|
à_condition
|
2
|
à_condition
|
|
a_été
|
106
|
être
|
|
à_l_encontre
|
2
|
à_l_encontre
|
|
à_l_instar_de
|
1
|
à_l_instar_de
|
|
à_la
|
327
|
à_la
|
|
à_laquelle
|
2
|
à_laquelle
|
|
à_partir_de
|
13
|
à_partir_de
|
В таблице видим словоформу (WORD), количество ее употреблений в корпусе
(OCC), лемму, к которой относится данная словоформа (LEMMA). В данном примере
иллюстрируется, как формы глагола (a и a été) отнесены к инфинитивам
соответствующих глаголов, а устойчивые выражения, в том числе союзные,
восприняты как единое мультислово (à bon escient, à condition и т.д.);
· определение ключевых слов, под которыми понимаются все
лексические единицы, включенные в таблицы анализа; из этого списка исключаются
«пустые» слова; доступна также функция персонализации словаря ключевых слов.
После импорта корпуса пользователь получает доступ ко всем доступным в
программе функциям и методам анализа данных.
В сущности, программа состоит, помимо пользовательского интерфейса, из
базы данных, в которой рассматриваемый корпус представлен как совокупность
таблиц с единицами анализа; и алгоритмов, то есть совокупности операций,
которые можно производить с исходными данными.
Единицами анализа программы T-Lab являются:
· лексические единицы - слова, классифицированные в таблицы с
двумя столбцами: словоформа (то есть непосредственно тот вид, в котором слово
появляется в данном тексте) и лемма (то есть каноническая форма лексемы). Стоит
отметить, что программа осуществляет автоматическую лемматизацию текстов на 6
основных европейских языках;
· контекстуальные единицы - это отрезки текста, на которые
может быть подразделён корпус. Среди них различают первичные документы (в
случае составления корпуса из нескольких файлов), элементарные контексты
(соответствующие синтагматическим единицам) и подкорпуса (разделение на которые
можно осуществить автоматически с помощью инструментов программы или вручную по
своим собственным критериям).
Остановимся подробнее на основных способах использования включенных в
программу инструментов анализа текста. Все они направлены на получение таблиц и
графиков, отображающих существенные отношения между единицами текста и
позволяющих выводить определённые заключения (в зависимости от цели
исследования). Графики и таблицы можно экспортировать для работы в программах
группы Microsoft Office.
В данном исследовании использовались преимущественно инструменты анализа
совместной встречаемости. Они позволяют анализировать различные типологии отношений
между словами. Среди них выделяются следующие функции:
· Ассоциации слов: программа отображает визуальную карту слов,
схожих по своей совместной встречаемости (co-occurrence), которая вычисляется
из элементарных контекстов этих слов (т.е. исходных предложений, либо можно
выставлять свои критерии вычислений). На этом типе анализа мы подробнее
остановимся ниже, так как именно он в основном использовался в наших
исследованиях.
· Сравнения пар (рис. 1): этот инструмент позволяет сравнивать
совокупности элементарных контекстов (то есть контекстов совместной
встречаемости), в которых присутствуют оба элемента из выбранной пары ключевых
слов. График отображает, с какими леммами встречается отдельно элемент А (из
пары), элемент В или оба элемента (АВ) и в каких количественных соотношениях.
Рисунок
1. Сравнение совместной встречаемости пары лексем "Sharon" и
"Arafat" (пример взят из руководства пользователя программы T-Lab)
· Анализ ассоциированных слов и Карты концептов по тематическим
ядрам (кластерам). Получаемые результаты (по методу Сэммона) внешне напоминают
технологии «облака» используемых слов, в которых наиболее употребительные слова
изображены крупнее, чем редкие (рис. 2).
Рисунок
2. Пример кластерного анализа (взято из руководства пользователя программы
T-Lab)
· Анализ последовательностей (sequence), построенный по
принципу марковских цепей: посредством анализа всех предыдущих и следующих для
некоторой лексической единицы слов T-Lab вычисляет матрицу переходных
вероятностей, что отображается в виде графиков (рис. 3), где самые близкие
(будь то до или после рассматриваемой единицы - это два вида получаемых
графиков) слова оказываются ближе к ключевому слову.
Рисунок
3. Анализ последовательностей лексем, предшествующих лексеме "paix"
(пример взят из руководства пользователя программы T-Lab)
А теперь подробнее о методе ассоциации слов. Он позволяет установить и
проверить, как отношения совместной встречаемости и схожести определяют его
местное значение в пределах корпуса (или какой-то из его частей), то есть с
какими словами ассоциируется и как через них определяется рассматриваемое
понятие. По умолчанию расчёт совместной встречаемости и ассоциации слов ведется
в элементарных контекстах, рассчитанных для данного корпуса. При выводе карты
ассоциаций работа ведётся с таблицей наиболее употребительных слов (с указанием
количества употреблений). По умолчанию служебные слова (предлоги, союзы, артикли,
а также другие типы неполнозначных слов), которые объективно используются чаще
всего, из этой таблицы легко исключаются. При клике на каждое из слов
отображается визуальная карта ассоциаций выбранного слова. При этом, чем чаще
какое-то слово встречается в одном контексте со словом-ядром данной визуальной
карты, тем ближе оно находится на схеме. Таким образом, вычисления ведутся
попарно для отношений слова-ядра с каждым из остальных, представленных в
таблице. Доступны также таблицы, где отображены цифровые данные по совместной
встречаемости взятых слов и коэффициентам их совместной встречаемости.
Эта таблица также позволяет перейти к конкретным примерам совместной
встречаемости двух взятых слов в корпусе текстов. Программа также способна
отображать гистограммы с процентными соотношениями частоты совместного
употребления слов.
Для вывода данных карт или таблиц вычисляется индекс ассоциации (index
d'association). Индекс ассоциации (или схожести) используется для анализа
совместной встречаемости лексических единиц (ЛЕ) внутри элементарных контекстов
(ЭК). Программа T-Lab включает три типа индекса ассоциаций, чьи формулы
выглядят следующим образом (рис. 4), где a - количество ЭК, в которых
присутствуют обе рассматриваемые ЛЕ, b - количество ЭК, в которых присутствует
ЛЕ-1, но отсутствует ЛЕ-2, а с - количество ЭК, в которых присутствует ЛЕ-2, но
отсутствует ЛЕ-1.
Рисунок
4. Формулы индексов ассоциации, используемых программой T-Lab
В нашем исследовании мы ориентировались на индекс Cosinus, именно этот
индекс ассоциации представлен на приводимых в исследовательской части графиках
и в таблицах.
Процедура определения совместно встречаемых слов состоит из двух этапов.
Вычисления первого порядка затрагивают синтагматическую ось, то есть определяют
слова, находящиеся в отношениях комбинации и близости. Это слова, линейно
находящиеся рядом друг с другом в рамках данного предложения. В то же время
коэффициенты второго порядка работают с парадигматической осью (ассоциации и
схожесть in absentia, то есть отношения квази-синонимии между двумя или более
терминами, употребляемыми одним автором в схожих окружениях).
Таким образом, данные инструменты анализа совместной встречаемости
позволяют по-новому взглянуть на лингвистический анализ текста и применить к
нему новые методы с разными целями. В нашей работе анализ визуальных карт
ассоциаций слов позволит определить, как меняется со временем окружение
ключевых понятий (таких как французский язык, английский язык и др.) в
единообразных документах - докладах Национальному собранию Франции на
протяжении девятнадцати лет. Визуально отображенные изменения помогут
определить разницу тематик и контекстов, в которых идёт речь о данных ключевых
понятиях, а также, отношение автора к данным ключевым словам. Данные методы
исследования позволяют делать выводы, основанные не на субъективном
впечатлении, полученном от личного чтения документа, а на объективных
математических вычислениях.
Однако в ходе исследования мы столкнулись с тем, что полученных в
программе T-Lab данных оказалось недостаточно для того, чтобы выявить тенденции
изменения языковой политики на объёмном массиве изучаемых нами текстов. Это
понудило нас прибегнуть к методам математической статистики.
2.2
Математическая статистика. Коэффициент ранговой корреляции Спирмена
Математику часто используют как инструмент в целом ряде наук, как
технических, так и естественно-научных и гуманитарных. Благодаря таким методам,
предмет исследования может быть не только описан, но и объективно измерен, то
есть используется количественный анализ. Всем этим занимается математическая
статистика, позволяющая разбираться в сложном экспериментальном материале,
обобщать данные экспериментов, находить зависимости между экспериментальными
данными и многое другое. Также методы математической статистики помогают
избегать логических и содержательных ошибок, вероятность появления которых
велика при традиционных методах исследования.
Содержанием математической статистики является разработка приемов
статистического наблюдения и анализа статистических данных, а ее основной
задачей - выяснение вероятностных свойств генеральной совокупности
(распределение, числовые характеристики и т. п.), но, как правило, исследовать
такую совокупность целиком практически невозможно, и поэтому производится
выборка, то есть изучению подвергаются лишь некоторые объекты совокупности.
Математическая статистика использует те же методы и приемы, что теория
вероятностей.
Одним из таких понятий является корреляция, определяемая как
«статистическая зависимость между случайными величинами, не имеющими строгого
функционального характера, при которой изменение одной из случайных величин
приводит к изменению математического ожидания другой».
Понятие корреляции было введено в XIX веке в работах английского
антрополога и психолога Фрэнсиса Гальтона и математика Карла Пирсона.
Рассматриваемые величины могут быть независимыми или связанными
функциональной или вероятностной (стохастической) зависимостью. Основной
задачей корреляционного анализа является выявление тесноты связи между этими
величинами, а также количественная оценка тесноты этой связи.
Корреляционная связь показывает лишь тенденцию изменения одной величины
под действием другой, а значит, на ее основании мы можем утверждать о степени
связи между переменными.
Корреляционная связь различается по силе (тесноте) связи: связь может
быть функциональной, тесной (сильной), средней (умеренной), слабой и нулевой
(отсутствующей). Также она различается по направлению: бывает положительной и
отрицательной.
Оценка тесноты корреляции производится с помощью различных корреляции.
Коэффициент корреляции (ρ) - это безразмерная величина, изменяющаяся в пределах
от -1 до 1. При ρ=±1 корреляционная связь представляет собой
линейнуюфункциональную зависимость.
«Прямая», положительная связь наблюдается, когда ρ > 0; отрицательная связь - при ρ < 0.
Приведём таблицу оценки корреляционной связи в зависимости от величины
коэффицента корреляции:
Таблица
2. Оценка тесноты корреляционной связи в зависимости от значения коэффициента
корреляции
|
Значение коэффициента корреляции
|
Оценка тесноты корреляционной связи
|
|
| ρ | = 1
|
величины связаны линейной функциональной зависимостью
|
|
0,95 ≤ | ρ | < 1
|
связь очень сильная, практически функциональная
|
|
0,75 ≤ | ρ | < 0,95
|
связь тесная (сильная)
|
|
0,5 ≤ | ρ | < 0,75
|
связь средняя (умеренная)
|
|
0,2 ≤ | ρ | < 0,5
|
связь слабая
|
|
0 ≤ | ρ | < 0,2
|
практически нет связи
|
Приведённую классификацию значений коэффицента корреляции следует считать
информативной и приблизительной.
Однако М. А. Харченко отмечает, что если коэффицент корреляции равен
нулю, это ещё не означает независимость случайных величин, а только указывает
на отсутствие линейной корреляционной зависимости между данными величинами, но
не отсутствие корреляционной зависимости вообще
Существует несколько способов вычисления коэффициентов корреляции, однако
они не универсальны. В случаях, когда нужно проанализировать переменные,
которые нельзя измерить в интервальной или реляционной шкалах, но которые, тем
не менее, можно проранжировать по возрастанию или убыванию признака, прибегают
к ранговой корреляции. Как отмечает О. Ю. Ермолаев, в таком случае не требуется
никаких предположений о характере распределений признаков в генеральной
совокупности. Таким образом, это непараметрический метод.
Коэффициент ранговой корреляции определяет связь тесноты между
признаками, выраженными рангами. Одной из разновидностей коэффицентов ранговой
корреляции является коэффицент ранговой корреляции Спирмена. Его величина также
лежит в интервале от -1 до +1, и в целом его значения поддаются тем же
принципам интерпретации, как описано выше для неранговой корреляции.
Рассчитывается коэффициент ранговой корреляции Спирмена по следующей
формуле:
,
где n - количество ранжируемых признаков,
а d - разность рангов для каждой пары.
Для применения данного коэффициента необходимо, чтобы сравниваемые переменные
были записаны в ранговой шкале, а число варьирующих признаков в сравниваемых
переменных X и Y было одинаковым.
Поскольку коэффицент ранговой корреляции Спирмена вычисляет тесноту связи
между двумя переменными, он является парным, то есть его нельзя применять для
более чем двух рядов переменных сразу, а надо разбить их на пары.
Н. Н. Кошелева отмечает, что использование коэффициента ранговой
корреляции Спирмена позволяет быстро найти приближенную оценку коэффициента
корреляции даже в случае двумерного нормального распределения генеральной
совокупности. Коэффициент Спирмена прост в расчётах, а точность оценки даже при
больших объёмах выборки составляет порядка 91% от точности оценки по
коэффициенту корреляций точно измеренных значений признаков. Она также пишет,
что данный коэффициент применяется для оценки устойчивости тенденции динамики,
и именно с этой целью коэффициент ранговой корреляции Спирмена применяется в
нашей работе. Наконец, эта исследовательница обращает внимание на то, что
применение данного коэффициента возможно лишь при наличии не менее 5 наблюдений
в каждом ряде значений, а при большом количестве одинаковых рангов коэффициент
дает несколько огрубленные значения, что, впрочем, не мешает выявлять
тенденции.
Ранговая корреляция находит свое применение во многих науках. Впервые
коэффициент Спирмена был разработан для исследований в области психологии (сам
Чарльз Спирмен был психологом), но ныне применяется также и в социологических
исследованиях (в частности, при анкетированиях и опросах населения), и в
экономике, и в педагогике. Ничего не препятствует его использованию и в
лингвистическом исследовании, ведь его основная функция - установить связь
между явлениями, не поддающимися количественной оценке, но которые можно
подвергнуть оценке сравнительной и присвоить ранги.
Несмотря на то, что в нашем исследовании мы получим конкретные цифровые
значения индексов ассоциации, вычисленных программой T-Lab, мы решили
довольствоваться сравнением ранговых значений, так как ими значительно легче
оперировать, нежели абсолютными значениями индексов ассоциации, и при этом
сохраняется смысл исследования (выявить общие тенденции на объёмном массиве
изучаемых документов) и принцип использования объективных статистических
методов.
Наконец, к методам исследования, нашедшим применение в этой работе, можно
отнести использование программы Adobe Reader, позволяющей читать документы в
формате PDF, не только для чтения этих самых документов, но и для обработки
информации. А именно, с помощью функции «Поиск по тексту» мы подсчитали
количество упоминаний закона Тубона в каждом из доступных докладов Делегации.
Само по себе подсчитанное количество малоинформативно, однако вкупе с общим
количеством слов, доступным после создания корпуса каждого доклада в программе
T-Lab, позволяет вычислить относительную частоту употребления. А программа
Microsoft Office Excel, в которую мы внесли полученные данные, имеет встроенную
функцию построения графиков, что привносит в подобные исследования наглядность,
куда большую, чем при описании словами.
Все вышеописанные методы, программы и приемы были недоступны для
лингвистических исследований ещё 10-20 лет назад. Они позволяют использовать
современные информационные технологии в лингвистических исследованиях.
Неоспоримое преимущество машинной обработки текста заключается в ее
объективности (однако сохраняется фактор субъективности самого исследователя в
тех выводах, которые он делает, и в том, как направляет ход исследования), а
также в значительном упрощении работы с текстом, ведь при использовании
программ, подобных T-Lab, возможно исследование текста, не требующее
предварительного полного и внимательного прочтения рассматриваемых документов.
Математические методы также вносят объективность в силу своей
доказательности. Цифры и числа, за которыми скрываются результаты экспериментов
и исследований, более наглядны, чем пространные описания тех же самых
результатов словами.
Таблицы и графики, в которые вносятся данные результаты, также позволяют
существенно сократить объем интерпретирующего текста. Все это придает научному
исследованию некоторую лаконичность и доказательную наглядность.
Глава 3.
Исследовательская часть. Анализ докладов об использовании французского языка
Главной делегации по французскому языку и языкам Франции
3.1 Анализ
словарей наиболее употребительных слов
Анализ Докладов Главной делегации по французскому языку и языкам Франции
об использовании французского языка был произведён в несколько этапов.
Хотя анализу в программе T-Lab были подвергнуты все 19 рассматриваемых
докладов, нами были отобраны доклады за 2000, 2005, 2010 и 2015 года по
принципу равномерного шага в 5 лет, с отсчётом от последнего к настоящему
моменту доклада. Это позволило существенно сократить все аналитические
процедуры (ведь проанализировать нужно лишь 4 доклада, а не 19), но сохранило
возможность пронаблюдать определенные тенденции в изменениях данных.
На первом этапе исследования все доклады с 1997 по 2015 года были
проанализированы программой T-Lab, которая представила каждый доклад в виде
текстового корпуса и составила частотный словарь каждого корпуса. Мы отобрали
из этих словарей по 25 наиболее употребительных полнозначных слов, а также
подсчитали относительную частоту их употребления (разделив количество
употреблений каждого слова на суммарное количество слов в корпусе), так как
доклады различаются по объёму и абсолютная частота употребления была бы здесь
непоказательна. Словари наиболее употребительных полнозначных слов в докладах
за 2000 и 2005 гг. приведены в табл. 3; за 2010и 2015 гг. - в табл. 4.
К сожалению, в этих таблицах, извлечённых из корпуса программы, не
приводится общее количество употреблений одной леммы, а только каждой отдельной
словоформы, поэтому мы видим здесь существительные и прилагательные отдельно в
единственном числе, и отдельно - во множественном. В дальнейших частях нашего
исследования все данные учитывают лемматизацию, и такой проблемы более не
возникает.
Таблица 3. Словари наиболее употребительных слов в докладах за 2000 и
2005 гг
|
доклад за
|
общее количество слов
|
|
доклад за
|
общее количество слов
|
|
2000
|
70839
|
|
2005
|
57720
|
|
№
|
лексема
|
Абсолютная частота употреблений
|
Относительная частота употреблений
|
№
|
лексема
|
Абсолютная частота употреблений
|
Относительная частота употреблений
|
|
1
|
français
|
575
|
0,81%
|
1
|
français
|
581
|
1,01%
|
|
2
|
langue
|
552
|
0,78%
|
2
|
langue
|
495
|
0,86%
|
|
3
|
langues
|
393
|
0,55%
|
3
|
langues
|
439
|
0,76%
|
|
4
|
française
|
295
|
0,42%
|
4
|
anglais
|
328
|
0,57%
|
|
5
|
france
|
260
|
0,37%
|
5
|
française
|
223
|
|
6
|
anglais
|
216
|
0,30%
|
6
|
traduction
|
169
|
0,29%
|
|
7
|
loi
|
197
|
0,28%
|
7
|
france
|
163
|
0,28%
|
|
8
|
enseignement
|
169
|
0,24%
|
8
|
travail
|
156
|
0,27%
|
|
9
|
information
|
162
|
0,23%
|
9
|
organisation
|
138
|
0,24%
|
|
10
|
emploi
|
149
|
0,21%
|
10
|
pays
|
132
|
0,23%
|
|
11
|
ministère
|
148
|
0,21%
|
11
|
formation
|
120
|
0,21%
|
|
12
|
radio
|
137
|
0,19%
|
12
|
officielles
|
119
|
0,21%
|
|
13
|
services
|
125
|
0,18%
|
13
|
conseil
|
104
|
0,18%
|
|
14
|
notamment
|
116
|
0,16%
|
14
|
site
|
102
|
0,18%
|
|
15
|
publics
|
106
|
0,15%
|
15
|
total
|
91
|
0,16%
|
|
16
|
communication
|
104
|
0,15%
|
16
|
documents
|
90
|
0,16%
|
|
17
|
produits
|
102
|
0,14%
|
17
|
francophones
|
89
|
0,15%
|
|
18
|
traduction
|
102
|
0,14%
|
18
|
fonctionnaires
|
87
|
0,15%
|
|
19
|
linguistiques
|
101
|
0,14%
|
19
|
loi
|
87
|
0,15%
|
|
20
|
public
|
99
|
0,14%
|
20
|
enseignement
|
86
|
0,15%
|
|
21
|
travail
|
98
|
0,14%
|
21
|
européenne
|
86
|
0,15%
|
|
22
|
étrangères
|
97
|
0,14%
|
22
|
linguistique
|
86
|
0,15%
|
|
23
|
recherche
|
97
|
0,14%
|
23
|
réunions
|
85
|
0,15%
|
|
24
|
générale
|
94
|
0,13%
|
24
|
emploi
|
84
|
0,15%
|
|
25
|
nombre
|
94
|
0,13%
|
25
|
cour
|
83
|
0,14%
|
На материале таблицы 1 (словари за 2000 и 2005 гг.) мы видим, что
французский и английский языки (français и anglais) опережают все другие
полнозначные слова (за исключением France, что не нарушает общей тенденции, так
как речь, скорее всего, идёт об их употреблении на территории Франции). Это
легко объяснимо для слова français, так как мы описываем доклад об
употреблении французского языка. Что касается слова anglais, которое не
заявлено в названии документа, на этом этапе исследования пока нельзя говорить
о том, в каком тоне, с какими ассоциациями в тексте доклада ведётся речь об
английском языке, но не подлежит никакому сомнению, что ему уделено
исключительное внимание. Раз доклад тем или иным образом регулярно отсылает к
слову anglais, значит, использование французского языка так или иначе
сопоставляется с английским.
Таблица 4. Словари наиболее употребительных слов в докладах за 2010 и
2015 гг.
|
доклад за
|
общее количество слов
|
|
доклад за
|
общее количество слов
|
|
2010
|
58525
|
|
2015
|
73229
|
|
№
|
лексема
|
Абсолютная частота употреблений
|
Относительная частота употреблений
|
№
|
лексема
|
Абсолютная частота употреблений
|
Относительная частота употреблений
|
|
1
|
français
|
492
|
0,84%
|
1
|
langue
|
847
|
1,16%
|
|
2
|
langue
|
473
|
0,81%
|
2
|
français
|
541
|
0,74%
|
|
3
|
langues
|
340
|
0,58%
|
3
|
langues
|
355
|
0,48%
|
|
4
|
française
|
246
|
0,42%
|
4
|
française
|
327
|
0,45%
|
|
5
|
france
|
213
|
0,36%
|
5
|
france
|
262
|
0,36%
|
|
6
|
anglais
|
206
|
0,35%
|
6
|
enseignement
|
211
|
0,29%
|
|
7
|
Pays
|
167
|
0,29%
|
7
|
formation
|
169
|
0,23%
|
|
8
|
internet
|
138
|
0,24%
|
8
|
pays
|
156
|
0,21%
|
|
9
|
travail
|
119
|
0,20%
|
9
|
francophones
|
153
|
0,21%
|
|
10
|
francophones
|
117
|
0,20%
|
10
|
Francophonie
|
142
|
0,19%
|
|
11
|
formation
|
110
|
0,19%
|
11
|
élèves
|
141
|
0,19%
|
|
12
|
services
|
108
|
0,18%
|
12
|
anglais
|
135
|
0,18%
|
|
13
|
développement
|
106
|
0,18%
|
13
|
étrangère
|
131
|
0,18%
|
|
14
|
nombre
|
100
|
0,17%
|
14
|
linguistique
|
125
|
0,17%
|
|
15
|
traduction
|
99
|
0,17%
|
15
|
loi
|
117
|
0,16%
|
|
16
|
linguistique
|
83
|
0,14%
|
16
|
cadre
|
115
|
0,16%
|
|
17
|
francophonie
|
81
|
0,14%
|
17
|
emploi
|
115
|
0,16%
|
|
18
|
cadre
|
80
|
0,14%
|
18
|
développement
|
107
|
0,15%
|
|
19
|
emploi
|
80
|
0,14%
|
19
|
régionales
|
100
|
0,14%
|
|
20
|
membres
|
80
|
0,14%
|
20
|
nationale
|
95
|
0,13%
|
|
21
|
Communication
|
71
|
0,12%
|
21
|
université
|
95
|
0,13%
|
|
22
|
conseil
|
70
|
0,12%
|
générale
|
94
|
0,13%
|
|
23
|
documents
|
69
|
0,12%
|
23
|
programmes
|
92
|
0,13%
|
|
24
|
illettrisme
|
69
|
0,12%
|
24
|
conseil
|
89
|
0,12%
|
|
25
|
Enseignement
|
67
|
0,11%
|
25
|
nombre
|
88
|
0,12%
|
Между 2005 и 2010 гг. существенной разницы не наблюдаем, слово français сохраняет высокие позиции. То же
самое можно сказать и про anglais, чья частота хоть и ближе к показателям 2000
г., нежели 2005 г., но по-прежнему выше, чем у других лексем (за исключением
France, но это можно объяснить теми же причинами, что и в 2000-м). Однако к
2015 г. anglais резко теряет свои позиции, и доля употребления этого понятия в
тексте доклада снижается почти в два раза (0,18% против 0,35%). Подробный
анализ позиции лексемы anglais в докладах за каждый год между 2010 и 2015гг.
показывает, что это снижение было плавным (табл. 5):
Таблица 5. Изменение позиции слова "anglais" в частотных
словарях докладов за 2010-2015 гг.
|
Год
|
позиция в списке
|
слово
|
употреблений
|
% частотности
|
|
2010
|
6
|
anglais
|
206
|
0,35%
|
|
2011
|
6
|
anglais
|
248
|
0,29%
|
|
2012
|
6
|
anglais
|
167
|
0,25%
|
|
2013
|
9
|
anglais
|
148
|
0,17%
|
|
2014
|
16
|
anglais
|
112
|
0,15%
|
|
2015
|
12
|
anglais
|
135
|
0,18%
|
С чем связано это снижение? Пока что мы воздержимся от гипотез, но
уменьшение удельного веса упоминания английского языка, возможно,
свидетельствует о сокращении внимания, которое ему уделяется.
Отметим, что другие понятия, такие как enseignement, travail, formation,
emploi на протяжении этих лет также входили в почти все списки наиболее частотных
слов каждого из докладов, однако их позиции от доклада к докладу отличаются
нестабильностью, а изучение их ассоциативного поля существенно увеличило бы
объём работы, и поэтому мы решили сосредоточиться в данной выпускной
квалификационной работе на таких ключевых понятиях французской языковой
политики, как французский и английский языки.
3.2 Анализ
ассоциаций лексем français и anglais
На втором этапе исследования мы произвели анализ ассоциаций отобранных
ключевых понятий français и anglais. Вычисленные программой
T-Lab результаты можно представить в виде карты ассоциаций, в которой слова,
чей индекс ассоциации выше, изображены ближе к понятию-ядру и слова отдаляются
пропорционально уменьшению их индекса ассоциации по отношению к лемме-ядру.
Другой вариант представления - в виде графика с цифровым значением индекса
ассоциации.
Данный этап позволяет, во-первых, увидеть, с какими словами наши ключевые
понятия чаще всего появляются в одном элементарном контексте, с какими словами
они связываются, и, как следствие, сделать предварительные выводы о том, в
каком ключе языковая политика в отношении французского и английского языков
отражается в данном докладе. Далее, сравнительный анализ ассоциативных карт
даёт возможность проследить тенденции изменения отношения к ключевым понятиям.
В докладе за 2000 год ассоциативная карта лексемы «французский язык»
выглядит следующим образом (рис.4):
Рисунок 4. Карта ассоциаций лексемы "français"
в докладе за 2000 г.
График представляет те же самые результаты следующим образом (рис.5):
Рисунок 5. Ассоциации лексемы "français"
в докладе за 2000 г. в
виде графика
Из этого видим, что наиболее ассоциируемым с лексемой français словом является langue, что представляется
вполне естественным. Далее следуют étranger, вероятно французский сопоставляется
с иностранными языками; emploi (уже выше мы указали, что это одно из ключевых
понятий в докладах, в том числе, надо полагать, потому, что закон Тубона
защищает право французов на использование их языка в их трудовой деятельности);
anglais, что подтверждает, что внимание английскому уделяется, прежде всего, в
сопоставлении с французским.
В свою очередь, ассоциации лексемы «английский язык» предстают следующим
образом (рис.6 и 7):
Рисунок 6. Карта ассоциаций лексемы"anglais" в докладе за 2000
г.
Рисунок 7. Ассоциации лексемы "anglais" в докладе за 2000 г. в
виде графика
Видно, что наиболее релевантные ассоциации - это такие языки, как
немецкий (allemand), испанский (espagnol) и французский, остающийся лишь на
третьем месте с определённым «отрывом» от двух первых. Глагол rédiger, расположившийся на пятом месте сразу
перед ещё одним языком, итальянским, вероятно, указывает на то, что речь идет о
языках, на которых составляются документы. Отметим, что 9 из 20 первых
ассоциаций лексемы «английский язык» - это другие языки, а замыкает эту таблицу
слово étranger, иностранный.
Для того, чтобы не перегружать текст работы изображениями и для
облегчения восприятия и анализа мы вывели данные индексов ассоциации из отчётов
за 2005, 2010 и 2015 гг. в две отдельных сводных таблицы (табл. 6 - для
французского, и табл. 7 - для английского).
Таблица 6. Коэффициенты ассоциаций лексемы "français" в докладах за 2005, 2010 и 2015 гг.
|
2005
|
|
2010
|
2015
|
|
Лемма
|
Индекс ассоциации
|
|
Лемма
|
Индекс ассоциации
|
|
Лемма
|
Индекс ассоциации
|
|
1
|
langue
|
0,577
|
1
|
langue
|
0,603
|
1
|
langue
|
0,536
|
|
2
|
anglais
|
0,473
|
2
|
anglais
|
0,364
|
2
|
anglais
|
0,314
|
|
3
|
espagnol
|
0,306
|
3
|
francophone
|
0,252
|
3
|
étranger
|
0,246
|
|
4
|
organisation
|
0,284
|
4
|
étranger
|
0,25
|
4
|
francophone
|
0,227
|
|
5
|
usage
|
0,246
|
5
|
international
|
0,238
|
5
|
enseignement
|
0,22
|
|
6
|
étranger
|
0,234
|
6
|
emploi
|
0,232
|
6
|
allemand
|
0,212
|
|
7
|
francophone
|
0,231
|
7
|
travail
|
0,228
|
7
|
France
|
0,205
|
|
8
|
allemand
|
0,23
|
8
|
espagnol
|
0,223
|
8
|
européen
|
0,203
|
|
9
|
travail
|
0,23
|
9
|
général
|
0,223
|
9
|
usage
|
0,199
|
|
10
|
traduction
|
0,222
|
10
|
usage
|
0,219
|
10
|
relatif
|
0,197
|
|
11
|
international
|
0,215
|
11
|
pays
|
0,218
|
11
|
emploi
|
0,194
|
|
12
|
site
|
0,214
|
12
|
France
|
0,214
|
12
|
place
|
0,193
|
|
13
|
officiel
|
0,211
|
13
|
officiel
|
0,21
|
13
|
linguistique
|
0,188
|
|
14
|
document
|
0,21
|
14
|
européen
|
0,204
|
14
|
pays
|
0,176
|
|
15
|
emploi
|
0,208
|
15
|
document
|
0,203
|
15
|
général
|
0,176
|
|
16
|
européen
|
0,195
|
16
|
délégation
|
0,199
|
16
|
travail
|
0,173
|
|
17
|
général
|
0,194
|
17
|
linguistique
|
0,198
|
17
|
apprentissage
|
0,17
|
|
18
|
utiliser
|
0,191
|
18
|
formation
|
0,194
|
18
|
cadre
|
0,168
|
|
19
|
loi
|
0,19
|
19
|
allemand
|
0,188
|
19
|
document
|
0,166
|
|
20
|
conseil
|
0,188
|
20
|
fonctionnaire
|
0,187
|
20
|
action
|
0,165
|
Видно, что anglais стабильно остаётся на втором месте, при том, что
первое занимает слово langue, чья ассоциация с французским предстает
семантически естественной. Однако коэффициент ассоциации слова anglaisплавно
убывает. Стабильно высоки позиции слов étranger, francophone, наименования
иностранных языков (прежде всего, немецкий и испанский - языки стран-соседей).
Таблица 7. Коэффициенты ассоциаций лексемы "anglais" в докладах
за 2005, 2010 и 2015 гг.
|
2005
|
|
2010
|
|
2015
|
|
Лемма
|
Индекс ассоциации
|
|
Лемма
|
Индекс ассоциации
|
|
Лемма
|
Индекс ассоциации
|
|
1
|
français
|
0,473
|
1
|
espagnol
|
0,367
|
1
|
allemand
|
0,492
|
|
2
|
espagnol
|
0,429
|
2
|
français
|
0,364
|
2
|
espagnol
|
0,333
|
|
3
|
allemand
|
0,375
|
3
|
langue
|
0,354
|
3
|
italien
|
0,323
|
|
4
|
langue
|
0,375
|
4
|
allemand
|
0,329
|
4
|
français
|
0,314
|
|
5
|
italien
|
0,304
|
5
|
cument
|
0,261
|
5
|
langue
|
0,227
|
|
6
|
document
|
0,287
|
6
|
italien
|
0,233
|
6
|
russe
|
0,194
|
|
7
|
officiel
|
0,283
|
7
|
officiel
|
0,214
|
7
|
européen
|
0,185
|
|
8
|
utiliser
|
0,261
|
8
|
0,211
|
8
|
apprendre
|
0,182
|
|
9
|
site
|
0,259
|
9
|
travail
|
0,205
|
9
|
Coreper
|
0,18
|
|
10
|
organisation
|
0,252
|
10
|
site
|
0,201
|
10
|
troisième
|
0,169
|
|
11
|
page
|
0,252
|
11
|
pays
|
0,198
|
11
|
position
|
0,161
|
|
12
|
travail
|
0,251
|
12
|
traduction
|
0,187
|
12
|
étranger
|
0,16
|
|
13
|
néerlandais
|
0,246
|
13
|
réunion
|
0,187
|
13
|
document
|
0,159
|
|
14
|
présidence
|
0,233
|
14
|
filial
|
0,187
|
14
|
exprimer
|
0,15
|
|
15
|
russe
|
0,207
|
15
|
rédiger
|
0,184
|
15
|
LV2
|
0,142
|
|
16
|
réunion
|
0,197
|
16
|
exprimer
|
0,178
|
16
|
présidence
|
0,142
|
|
17
|
internet
|
0,191
|
17
|
groupe
|
0,17
|
17
|
primaire
|
0,137
|
|
18
|
relation
|
0,185
|
18
|
seul
|
0,168
|
18
|
travail
|
0,134
|
|
19
|
portugais
|
0,181
|
19
|
traduire
|
0,16
|
19
|
contenu
|
0,131
|
|
20
|
pratique
|
0,18
|
20
|
francophone
|
0,155
|
20
|
régime
|
0,13
|
Слова с наибольшей релевантностью ассоциирования - это по-прежнему
наименования языков (французский, немецкий, испанский, итальянский - каждый год
в разной последовательности). Во всех случаях идёт речь о документах (document)
и работе (travail), остальные слова трижды не повторяются.
Данный метод анализа, несомненно, позволяет извлечь большое количество
информации, даже не читая тексты самих докладов. Однако сравнение наборов слов
и коэффициентов, отличающихся в каждом отдельно взятом случае, не очень удобно
для формулировки выводов или гипотез. Посему мы обратились к использованию
рангов вместо абсолютных значений каждого отдельного коэффициента ассоциации.
3.3
Вычисление коэффициентов ранговой корреляции Спирмена
Для работы с коэффициентами ранговой корреляции в каждом из восьми (по
четыре - 2000, 2005, 2010, 2015 - списка для français и anglais) списков ассоциированных с
ключевым понятием слов первому слову, обладающим наивысшим коэффициентом
ассоциации, был присвоен ранг 1, второму по величине коэффициента - ранг 2, и
так далее до ранга 20 (в качестве примера - табл. 8).
Ранговые списки были подвергнуты анализу при помощи коэффициента ранговой
корреляции Спирмена, который отражает связь между рядами ранжированных
переменных.
Таблица 8. Ранги коэффициентов ассоциации понятия "français" в докладах за 2000 и 2005
гг.
|
LEMME
|
2000
|
2005
|
|
langue
|
1
|
1
|
|
étranger
|
2
|
6
|
|
emploi
|
3
|
15
|
|
anglais
|
4
|
2
|
|
international
|
5
|
11
|
|
France
|
6
|
26
|
|
loi
|
7
|
19
|
|
traduction
|
8
|
10
|
|
général
|
9
|
17
|
|
travail
|
10
|
9
|
|
ministère
|
11
|
26
|
|
article
|
12
|
26
|
|
association
|
13
|
26
|
|
maîtrise
|
14
|
26
|
|
national
|
15
|
26
|
|
rédiger
|
16
|
26
|
|
défense
|
17
|
26
|
|
film
|
18
|
26
|
|
information
|
19
|
26
|
|
publics
|
20
|
26
|
|
espagnol
|
26
|
3
|
|
organisation
|
26
|
4
|
|
usage
|
26
|
5
|
|
francophone
|
26
|
7
|
|
allemand
|
26
|
8
|
|
site
|
26
|
12
|
|
officiel
|
26
|
13
|
|
document
|
26
|
14
|
|
européen
|
26
|
16
|
|
utiliser
|
26
|
18
|
|
conseil
|
26
|
20
|
Отметим, что, так как списки слов пересекаются не полностью, а лишь
частично (а именно, зона пересечения составила лишь 9 слов из каждого из двух
списков), то остальным словам был присвоен коэффициент, равный среднему
арифметическому суммы тех рангов, позиции которых заняли эти слова (в данном
примере, от 21 до 31, так как общее количество слов - это именно 31). Произведя
вычисление коэффициента ранговой корреляции Спирмена, мы установили, что между
докладами 2000 и 2005 гг. ρ=0,023, то есть связь практически
отсутствует.
Если взять ту же пару ранговых списков для понятия anglais (таблица 9),
коэффициент ранговой корреляции также оказывается низким, ρ=0,078.
Таблица 9. Ранги коэффициентов ассоциации лексемы "anglais" в
докладах за 2000 и 2005 гг.
|
LEMME
|
2000
|
2005
|
|
allemand
|
1
|
3
|
|
espagnol
|
2
|
2
|
|
français
|
3
|
1
|
|
langue
|
4
|
4
|
|
rédiger
|
5
|
26
|
|
italien
|
6
|
5
|
|
version
|
7
|
26
|
|
russe
|
8
|
15
|
|
arabe
|
9
|
26
|
|
japonais
|
10
|
26
|
|
traduire
|
11
|
26
|
|
direction
|
12
|
26
|
|
traduction
|
13
|
26
|
|
chinois
|
14
|
26
|
|
disponible
|
15
|
26
|
|
portugais
|
16
|
19
|
|
travail
|
17
|
12
|
|
document
|
18
|
6
|
|
général
|
19
|
26
|
|
étranger
|
20
|
26
|
|
officiel
|
26
|
7
|
|
utiliser
|
26
|
8
|
|
Site
|
26
|
9
|
|
organisation
|
26
|
10
|
|
Page
|
26
|
11
|
|
néerlandais
|
26
|
13
|
|
présidence
|
26
|
14
|
|
réunion
|
26
|
16
|
|
Internet
|
26
|
17
|
|
relation
|
26
|
18
|
|
pratique
|
26
|
20
|
Мы показали принцип, по которому проводится вычисление коэффициента
ранговой корреляции Спирмена. На первый взгляд результаты вычислений, казалось,
не говорили ни о чём: несмотря на однородность типа и формата текстов
(однотипные доклады об использовании французского языка, которые, правда,
изменили название и структуру в 2002 году), коэффициент всех пар не превышал ρ=0,55 (для пары 2005/2010 гг., понятие
anglais), а значит нельзя говорить о наличии очень сильной связи между разными
парами рангов коэффициентов ассоциации, но наблюдается значимая положительная
корреляция.
Однако, когда мы внесли все результаты вычисления коэффициента ранговой
корреляции Спирмена в одну сводную таблицу, обнаружилась интересная
закономерность (таблица 10). В таблице получившиеся коэффициенты ранговой
корреляции поочерёдно сопоставляются сначала для всех пар, сформированных с
2000 годом, затем с 2005, с 2010 и наконец с 2015. Поэтому многие значения
встречаются чаще, чем один раз (для пары 2000/2005 и пары 2005/2000, потому что
коэффициент у них один), но это свойство симметричности коэффициента
корреляции.
Таблица 10. Коэффициенты ранговой корреляции Спирмена для всех пар рангов
коэффицентов ассоциации лексем«français» и «anglais» в докладах за 2000,
2005, 2010 и 2015 гг.
|
français
|
anglais
|
|
2000/2005
|
0,023
|
0,078
|
|
2000/2010
|
0,207
|
0,156
|
|
2000/2015
|
-0,02
|
0,04
|
|
2005/2000
|
0,023
|
0,078
|
|
2005/2010
|
0,464
|
0,55
|
|
2005/2015
|
0,141
|
0,148
|
|
2010/2000
|
0,207
|
0,156
|
|
2010/2005
|
0,464
|
0,55
|
|
2010/2015
|
0,334
|
0,092
|
|
2015/2000
|
-0,02
|
0,104
|
|
2015/2005
|
0,141
|
0,148
|
0,334
|
0,092
|
Выявленная закономерность заключается в том, что наивысшие значения
коэффициента ранговой корреляции (в таблице выделены полужирным шрифтом)
наблюдаются в парах, связанных с докладом 2010 года. Лишь один пример является
исключением: ρ=0,148 в паре 2015/2005 у понятия anglais, однако в этой части
таблицы разница с парой, которая включает в себя 2010 год, составляет менее
0,05.
Таким образом, к 2010 вычисленные коэффиценты ранговой корреляции
достигают баланса соотношения. Это позволяет нам утверждать, что к 2010 году в
докладах стабилизировалось отношение к ключевым понятиям нашего исследования.
3.4 Анализ
количества упоминаний закона Тубона в текстах докладов
После этого заключения у нас возникла гипотеза о наличии корреляции
полученных данных с количеством упоминания закона Тубона в текстах самих
докладов разных лет.
Для этого мы взяли все 19 PDF-файлов с текстами докладов DGLFLF и с
помощью функции поиска по тексту попытались сосчитать все случаи упоминания самого
закона в текстах доклада. Понимая, что при его упоминании в тексте его
необязательно называют «законом Тубона» или приводят его номер и полное
название, мы выбрали следующие, на наш взгляд, наиболее частотные способы
обозначения закона:
· loi du 4 aout (в обоих орфографиях - août и aout);
· loi relative (подразумеваетсяrelative à l'emploi de la langue française/relative à l'emploi du français);
· loi Toubon;
· loi n°94-665 (во избежание проблем, связанных с символом
«номер», использовалось сочетание «94-665»).
Даже если в текстах докладов могли быть другие способы обозначения закона
Тубона, количество этих случаев можно признать несущественным, так как большая
часть была нами обнаружена, а потенциально оставшаяся меньшая часть не
учитывалась ни в одном из докладов, так что общая картина должна оставаться
достоверной. В случаях, когда за словами loi relative шло упоминание какого-то
другого закона, данные результаты поиска отбрасывались благодаря контексту,
отображаемому программой Adobe Reader, предназначенной для чтения PDF-файлов.
Также мы добавили общее количество слов в докладе, взяв его из данных,
полученных при составлении словарей программой T-Lab и рассчитали, для
объективности, относительную частоту упоминаний закона в тексте докладов, объём
которых различается.
Этот автоматический способ, к которому мы были вынуждены, в силу
вышеописанных причин, применить ручную сортировку, помог получить следующие
данные (табл. 11):
Таблица 11.Количество упоминаний закона Тубона об использовании
французского языка в докладах DGLFLF за 1997-2015 гг. и относительная частота
их употребления.
|
loi du 4 août
|
loi relative
|
loi Toubon
|
loi n°94-665
|
итого вхождений
|
общее количество слов
|
относительная частота
|
|
1997
|
89
|
1
|
0
|
2
|
92
|
69418
|
0,133%
|
|
1998
|
49
|
0
|
0
|
1
|
50
|
54673
|
0,091%
|
|
1999
|
39
|
2
|
0
|
3
|
44
|
67723
|
0,065%
|
|
2000
|
44
|
1
|
0
|
1
|
46
|
73901
|
0,062%
|
|
2001
|
36
|
1
|
0
|
1
|
38
|
72351
|
0,053%
|
|
2002
|
16
|
1
|
0
|
1
|
18
|
25712
|
0,070%
|
|
2003
|
23
|
1
|
0
|
2
|
26
|
40466
|
0,064%
|
|
2004
|
23
|
1
|
1
|
2
|
27
|
49806
|
0,054%
|
|
2005
|
39
|
2
|
3
|
1
|
45
|
57720
|
0,078%
|
|
2006
|
42
|
2
|
0
|
2
|
46
|
54252
|
0,085%
|
|
2007
|
29
|
1
|
0
|
2
|
32
|
58485
|
0,055%
|
|
2008
|
28
|
1
|
1
|
1
|
31
|
66049
|
0,047%
|
|
2009
|
30
|
3
|
0
|
2
|
35
|
65336
|
0,054%
|
|
2010
|
17
|
3
|
0
|
3
|
23
|
58525
|
0,039%
|
|
2011
|
19
|
3
|
3
|
1
|
26
|
84676
|
0,031%
|
|
2012
|
15
|
3
|
2
|
0
|
20
|
67425
|
0,030%
|
|
2013
|
18
|
3
|
1
|
2
|
24
|
88217
|
0,027%
|
|
2014
|
20
|
3
|
0
|
9
|
32
|
76376
|
0,042%
|
|
2015
|
13
|
3
|
0
|
10
|
26
|
73229
|
0,036%
|
Результаты данного этапа исследования лучше отобразит соответствующий
график (рис. 8):
Рисунок 8. Изменение количества упоминания закона Тубона в докладах
DGLFLF за 1997-2015 гг.
График показывает, что после 2006 года начинается уверенное снижение
количества упоминаний закона Тубона в текстах докладов, изначально посвященных
именно соблюдению этого закона. Небольшой рост в 2014-2015 годах связан с тем,
что в них появилось отдельное приложение с перечислением видов нарушения закона
об использовании французского языка со ссылками на его статьи, что искусственно
увеличило число его упоминаний (это видно ещё в таблице под пунктом loi
n°94-665, это сочетание встречается соответственно 9 и 10 раз против обычных
1-3 раз). В целом же тенденция снижения очевидна.
Итак, мы имеем коэффиценты ранговой корреляции Спирмена,
свидетельствующие о стабилизации отношения к ключевым понятиям нашего
исследования к 2010 году, а также факт снижения упоминания закона Тубона о защите
французского языка в текстах докладов, которые создаются в силу этого самого
закона, начиная с 2006 года. Результаты этих исследований не противоречат друг
другу, а взаимодополняют, устанавливая две временных границы - 2006 и 2010 год.
Кроме того, наивысший коэффициент ранговой корреляции наблюдается как раз в
паре 2005/2010 годов, причём как у понятия «français», так и у понятия «anglais»
Разумеется, следует учитывать, что избранная нами веха, 2010 год, выбрана
искусственно, ради ровного шага от 2015 года.
Это позволяет нам предположить, что в период между 2006 и 2010 годами
могли произойти какие-то события, значительно повлиявшие на языковую политику
Франции, подтверждение чего мы видим в результатах нашего исследования.
3.5 Выводы и
гипотезы по результатам исследования
Следующие далее умозаключения носят гипотетический характер, потому что
нельзя утверждать наверняка, что именно то или иное событие повлияло на авторов
докладов, а мир политики, в том числе языковой, полон подводных камней и
решений, которые могут и не афишироваться, однако некоторые гипотезы
представляются очень вероятными.
Если обратиться к первой, теоретической, части нашего исследования, уже
можно обнаружить некоторые соответствия с полученными нами результатами.
Так, именно в 2007 году французская языковая политика претерпела резкое
изменение своего реального (а не провозглашаемого) вектора после избрания
президентом Николя Саркози, известного своими проамериканскими настроениями.
Президент Саркози отошёл от принятых стандартов отношения к французскому как
национальному достоянию, которое необходимо защищать. Об этом говорят и
ратификация Лондонского протокола о патентах, и направления внешней политики,
описанные в докладе специальной комиссии «La France et l'Europe dans le monde. Livre blanc sur la politique étrangère et européenne de la France 2008-2020», окоторыхмыупоминаливпервойчасти.
На данную тенденцию никак не влияет и политика следующего французского
президента, Франсуа Олланда. Отсутствие конкретных мер декларируемой поддержки
французского языка, а также переключение внимания на поддержку региональных
языков, приводят к тому, что число упоминаний закона Тубона в докладах об
использовании французского языка продолжает падать.
Из всего этого можно сделать вывод, что Франция, несмотря на наличие
законодательного инструмента защиты французского языка, отходит от его открытой
поддержки. Франция больше не может не учитывать происходящие в мире процессы
глобализации и уже смиряется с сильными позициями английского языка внутри страны,
а также пересматривает позицию исключительности французского в пользу
региональных языков, голоса защитников которых раздаются всё громче в
самобытных французских регионах.
Об этом свидетельствует и изменение названия организации, составляющих
исследуемые нами доклады, на Главную делегацию по французскому языку и языкам
Франции, в 2001 году. Предисловие к докладу за 2006 год начинается буквально
следующим образом: «Франкофония и многоязычие: под этими двумя знаками должна
проводиться языковая политика...», а «защита французского языка… неотделима от
открытости на другие языки».
А в докладе за 2007 год речь идёт, например, о растущем количестве
переводов в государственной администрации как «признаке современной
администрации», что объясняется европейской интеграцией и глобализацией.
Примечательно, что эти слова находятся именно в докладах за 2006 и 2007
гг., когда начинается падение числа упоминаний закона Тубона в текстах
докладов.
Отметим, что именно членство в Европейском союзе во многом способствует
изменению языковой политики Франции в сторону многоязычия и открытости
английскому языку и переводам. Во многом это происходит в силу несоответствия
французского законодательства, в том числе закона Тубона, нормам и принципам
европейского права, что выливается в строгие замечания от Еврокомиссии. И
Франция вынуждена с этим считаться.
Тезис о том, что Франция вынужденно изменила вектор своей языковой
политики с защиты государственного языка на открытость как региональным, так и
иностранным языкам, уже был высказан ранее в научных источниках. Наше
исследование помогло подтвердить данное мнение посредством инновационных
методов анализа информации, содержащейся в официальных документах французской
языковой политики докладах Парламенту об использовании французского языка.
Заключение
Проведенное исследование позволило выделить основные этапы истории
французской языковой политики, показать, как происходило становление
французского языка в качестве основного в стране, государственного,
официального языка. Всё это стало возможным благодаря последовательной политике
франсизации и подавления региональных языков. Международная же гегемония была
достигнута благодаря славе и могуществу абсолютных монархов Франции и философов
Просвещения, чьи произведения распространялись по всей Европе, а не благодаря
каким-то внутренним достоинствам французского языка. После Революции 1789 года,
напугавшей многие другие европейские страны, французский язык начинает уступать
свои позиции английскому, ведь Великобритания уже благополучно пережила все
революции и занялась целенаправленным развитием своего могущества. Новый этап
распространения английского языка по всему миру начинается после Второй мировой
войны, в которой значительная роль принадлежала Соединенным штатам Америки.
Многие политики и общественные организации пытались бороться за
французский язык, столкнувшийся с непрекращающимся наплывом англицизмов, для
этого создавались специальные органы власти, терминологические комиссии,
выпускались законы о защите и использовании французского языка. Однако их
применение остается непоследовательным, их сфера применения нередко
наталкивается на общеевропейское право, а некоторые президенты, как, например,
Жискар-д’Эстен или Саркози, отходят от традиционной политики поддержки
французского языка и принимают международную роль английского.
Франция также вынуждена считаться с формированием единого европейского
государства, с возрастающим недовольством носителей региональных языков, с
большим количеством её граждан, для которых французский не является родным. Все
эти факторы способствуют тому, что вектор французской языковой политики
сменился: теперь провозглашается не абсолютная защита и продвижение
французского языка, а открытость на другие языки, как региональные, так и
иностранные.
Эти тезисы подтверждаются результатами нашего исследования, проведенного
с использованием современных технологий. Инновационная программа для
лингвистического анализа T-Lab подсчитала индекс ассоциации понятий
«французский язык» и «английский язык» в докладах Главной делегации по
французскому языку и языкам Франции об использовании французского языка за
2000, 2005, 2010 и 2015 гг. Полученные результаты были проанализированы с
помощью методов математической статистики: вычисление коэффициента ранговой
корреляции Спирмена между рядами ассоциаций, полученных в T-Lab, указало на
стабилизацию отношения к ключевым понятиям к 2010 году. А анализ количества
упоминаний закона Тубона в текстах докладов, выпускаемых в его исполнение,
показал, что это число стало снижаться после 2006 г. Таким образом, основные
изменения и стабилизация отношения во французской языковой политике приходятся
на период с 2007 по 2010 гг., который практически совпадает с президентством
Николя Саркози.
Список
использованной литературы
1. Ашихмина Т. В. Теория вероятностей и математическая
статистика в примерах и задачах: учебное пособие. Киров, издательство ВятГГУ,
2010.
2. Верхозин С. С. О
статусе количественных методов в лингвистике // Вестник ИГЛУ. 2013. №3 (24).
URL: <#"901275.files/image011.jpg">
Рисунок
5. Карта ассоциаций лексемы "français" в докладе за 2000 г.
Рисунок
6. Ассоциации лексемы "français" в докладе за 2000 г. в виде графика
Рисунок
7. Карта ассоциаций лексемы "français" в докладе за 2005 г.
Рисунок
8. Ассоциации лексемы "français" в докладе за 2005 г. в виде графика
Рисунок
9. Карта ассоциаций лексемы "français" в докладе за 2010 г.
Рисунок
10. Ассоциации лексемы "français" в докладе за 2010 г. в виде графика
Рисунок
11. Карта ассоциаций лексемы "français" в докладе за 2015 г.
Рисунок
12. Ассоциации лексемы "français" в докладе за 2015 г. в виде графика
Рисунок
13. Карта ассоциаций лексемы "anglais" в докладе за 2000 г.
Рисунок
14. Ассоциации лексемы "anglais" в докладе за 2000 г. в виде графика
Рисунок
15. Карта ассоциаций лексемы "anglais" в докладе за 2005 г.
Рисунок
16. Ассоциации лексемы "anglais" в докладе за 2005 г. в виде графика
Рисунок
17. Карта ассоциаций лексемы "anglais" в докладе за 2010 г.
Рисунок
18. Ассоциации лексемы "anglais" в докладе за 2010 г. в виде графика
Рисунок
19. Карта ассоциаций лексемы "anglais" в докладе за 2015 г.
Рисунок
20. Ассоциации лексемы "anglais" в докладе за 2015 г. в виде
графика