Визначення параметрів процесу утворення композитів з сульфату амонію в присутності сапоніту та гуматів
визначення параметрів процесу утворення композитів з
сульфату амонію в присутності сапоніту та гуматів
Кушнір
О.С., Степанюк А.Р.
Національний
технічний університет України «Київський політехнічний інститут імені Ігоря
Сікорського»
Обґрунтовано актуальність
використання комплексних добрив, зокрема застосування сульфату амонію, гуматів
та сапоніту. Підібрано фізичну та складено математичну модель нагріву
композитної гранули з сульфату амонію в присутності сапоніту та гуматів.
Розроблено стенд для перевірки адекватності математичної моделі. Розв’язано
математичну модель та перевірено її адекватність. Надано рекомендації щодо
отриманих результатів моделювання.
Ключові слова: сульфат амонію,
гумати, комплексні добрива, сапоніт, математична модель.
Постановка проблеми
добриво сульфат гумат
сапоніт
Розвиток сучасного суспільства
неможливий без інтенсивного розвитку сільського господарства. Внесення добрив,
які містять лише водорозчинні мінеральні солі, призводить до їх значного
вимивання з ґрунтів за рахунок того, що солі зразу переходять в розчини.
Покращити умови внесення добрив та ефективність використання корисних хімічних
елементів дозволяє одночасне використання разом з хімічними добривами гумінових
компонентів та компонентів, що утримують вологу. До таких комозитів можна
віднести запропоновані добрива.
Аналіз останніх досліджень і
публікацій. Сульфат амонію (сірчано-кислий амоній) - ефективне азотне добриво,
яке забезпечує значний приріст врожаю пшениці, жита, картоплі, бавовни, рису,
вівсу, цукрового буряку та інших сільськогосподарських рослин. Проте для
збалансованого росту необхідні також стимулятори рості та комоненти -
акумулятори вологи [1, 2].
Як стимулятор росту та поліпшувач
ґрунту широко застосовуються гумінові препарати - гумати. Гумати сприяють
збільшенню здатності організмів протистояти несприятливим умовам зовнішнього
середовища, що призводить до збільшення врожайності культур [1, 2].
Для України гострою стає також
проблема нехватки в грунтах магнію, наприклад для дерново-підзолистих та сірих
лісових орних грунтів щорічно необхідно вностити від 25 до 40 кг магнію ^...3].
Його дефіцит призводить до суттєвого
зниження врожаїв та погіршення якості продукції.
Дефіцит магнію на кислих ґрунтах
можна зменшити шляхом його внесення у складі добрив, але це значно підвищить
ціну таких добрив, або внесенням доломітового борошна (яке у своєму складі
поряд з кальцієм містить достатню кількість магнію), але обсяги виробництва
доломітового борошна не перевищували 3,8% загальних поставок вапнякових
матеріалів навіть у кращі роки.
В Україні існуть декілька родовищ
сапоніто- вих глин (різновидність бентонітів), найбільшими є Ташківське та
Варварівське родовища в Хмельницькій області, а їхні запаси становлять близько
40-50 млн. тонн, вміст магнію у цих глинах коливається в межах від 10 до 12%.
Це найважливіший клас мінералів, представники якого разом із кварцом складають
95% від маси земної кори.
Сапоніти окрім високимх показників
питомої поверхні набухання мають також необхідні для сільського господарства
катіони Са2+ та М^2+, та в меншій кількості К, Иа, ИН4 [1.3].
Тому використання сапонітів як
меліоран- ту, який містить також корисні для рослинництва хімічні елементи
значно поліпшить реакцію ґрунтового середовища і одночасно підвищить вміст
рухомого магнію.
Для здешевлення процесу внесення
добрив на нашу думку доцільно використовувати комплексні добрива, створені
шляхом пошарового грану- лоутворення, які містять необхідні компоненти [2].
Гранулоутворення і, зокрема, формування гранул відбувається шляхом пошарового
нанесення компонентів з розчину, яий містить необхідні компоненти та аморфні
нерозчинні компоненти, та наступною агломерацією деякої кількості твердих
частинок у псевдозрідженому шарі [2].
Виділення невирішених раніше частин
загальної проблеми. Проблеми кристадлізації солей на сьогоднішній день широко
розглянуті у існуючі літературі я України так і світу. Але додавання у
композити аморфних складових змінює умови протікання процесу.
Метою статті є визначення впливу
технологічних параметрів на процес нагріву композитів з сульфату амонію у
присутності гуматів та сапоніту.
Виклад основного матеріалу. Для
забезпечення підтверджння утворення про пошарове гранулоутворення було
проведено кристалізацію композитів на інертних носіях (рисунок 1), при різних
температурних режимах (від 40оС до 120оС з інтервалом у 20оС).
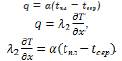
Задачею математичного моделювання є
визначення температурного розподілу в гранулі в будь-якій точці в будь-який
момент часу.
Рис. 1. Сульфат амонію в присутності
сапоніту та гуматів з концентрацією сухих компонентів 40% (сульфат амонію -
39%, гумати 0,5% і сапоніт - 0,5%)
розподіл температури. з початковими
умовами:
Т=90оС при 0<Т<г1,
Т=20оС при г1<Т<г2,
Т=120оС при >г2
з граничними умовами:
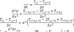
Вирішуємо задачу методом сіток. Тоді
можна апроксимувати похідні за формулами числового диференціювання: ди
З урахуванням зроблених припущень
фізина модель випаровування рідкої фази на одиничній гранулі зображена на
рисунку 2 [4].
Рис. 2. Фізична модель процесу
Цей процес описує наступна математична
модель нагрівання гранули:
У перемішуючий пристрій 1 подається
вода, сульфат амонію, сапоніт та гумати (вода - 60%, сухі компоненти - 40%).
Утворена суміш наноситься на скельце 3, де піддається сушінню зодночасним
контролем температури сушильного агенту. Після повного видалення вологи скельце
3 розташовується під мікроскопом 5, та проводиться фотофіксація результатів.
Методика проведення досліджень:
Для перевірки адекватності
математичної моделі було створено стенд, схему якого зображено на рисунку 3.

Рис. 3. Схема стенду установки для
перевірки адекватності математичної моделі
Результати перевірки адекватності
математичної моделі процесу масової кристалізації методом випарювання плівки
розчину з одиничної гранули зображено на рисунку 4. Розбіжність результатів
математичного моделювання та результатів фізичного експерименту складає 8,2%,
що свідчить про відповідність результатів математичного моделювання реальним
умовам протікання процесу.
Рис. 4. Динаміка зміни температури
одиничної гранули залежно від часу сушіння
Висновки
Розв’язок та перевірка адекватності
математичної моделі дає можливість визначити час перебування гранули в апараті
після нанесення шару композитного розчину добрив, що в свою чергу дає
можливість визначити висоту шару апарату.
Список літератури
1. Кушнір
О.С. Застосування в сільському господарстві сульфату амонію з підвищеним
вмістом органічних сполук / Кушнір О.С., Степанюк А.Р. Тези доповідей XVI
Міжнародної науково-практичниї конференції «Удосконалення процесів та
обладнання харчових та хімічних виробництв». Одеса 5-9 вересня 2016 р. 409 с.
2. Процес одержання мінерально-гумінових
твердих композитів [Електронний ресурс]: монографія / НТУУ «КПІ»; уклад. Я.М.
Корнієнко, А.Р. Степанюк. - Електронні текстові дані (1 файл: 0,6 Мбайт). -
Київ: НТУУ «КПІ», 2013. - 137 с. - Назва з екрана. - Доступ: <http://ci.kpi.ua/metodopen>
. Карасюк І.М. Агрохімія / І.М. Карасюк,
О.М. Геркіял, Г.М. Господаренко - К.: Вища школа, 1995. - 471 с.; Лосєв А.В.,
Провадкін Г.Т. Соціальна екологія - К., 2000. - 426 с.
. Кушнір О.С. Ізотермічна кристалізція
сульфату амонію з органічними домішками / Кушнір О.С., Степанюк А.Р.
Ресурсоенергозберігаючі технології. XI міжнар. наук.-пр. конф. студ.,
аспірантів та молодих вчених (Київ 06-07 грудня 2016 р.): зб. тез. доп. - К.:
Видавництво УВОЇ «Допомога» Усі» 2016 - 196 с.