Планирование производственных процессов и определение состава МТП для возделывания кукурузы на зерно с разработкой технологии обработки гербицидами

  • Вид работы:
    Дипломная (ВКР)
  • Предмет:
    Сельское хозяйство
  • Язык:
    Русский
    ,
    Формат файла:
    MS Word
    137,1 Кб
  • Опубликовано:
    2017-03-16
Вы можете узнать стоимость помощи в написании студенческой работы.
Помощь в написании работы, которую точно примут!

Планирование производственных процессов и определение состава МТП для возделывания кукурузы на зерно с разработкой технологии обработки гербицидами

Введение

кукуруза удобрение возделывание

Кукуруза широко распространена в  сельском хозяйстве. В настоящее  время она возделывается в 60 странах. По посевным площадям кукуруза занимает в мировом земледелии второе место  среди культурных растений, уступая  только пшенице. Валовые сборы зерна  ее также немногим меньше, чем пшеницы. Кукурузой засевают большие площади в США, Аргентине, Венгрии, Чехословакии, Румынии, Болгарии; Китае и в ряде других зарубежных стран. Площадь посева кукурузы в нашей стране превышала 25 млн. га. Кукурузу в России возделывают главным образом в южных районах. Достаточно сказать, что на Украине и на Северном Кавказе размещено до 30% площади посевов этой культуры в нашей стране. Значительный удельный вес кукуруза занимает в Грузии и Молдавии, в Кабардино-Балкарии, Дагестане и Северной Осетии, в Закарпатской и Одесской областях, в Краснодарском крае. В настоящее время производство кукурузы продвинуто в новые районы - западные и северо-восточные. Расширение и внедрение посевов кукурузы диктуются необходимостью всемерного укрепления кормовой базы. Кукуруза как кормовая культура отличается высокой урожайностью и прекрасными кормовыми достоинствами.

Возделывание кукурузы имеет важное агротехническое значение. При соблюдении высокой агротехники она способствует очищению полей от сорняков, является хорошим предшественником для зерновых культур, в частности для пшеницы. Особенно велика ценность кукурузы как кормовой культуры.

Кукуруза дает большие урожаи и  высокопитательный корм, благодаря  чему имеет решающее значение в развитии животноводства. Высокой питательностью отличаются початки кукурузы и кукурузные стебли. Стебли сохраняют кормовую ценность даже в фазе полной спелости зерна и используются для приготовления силоса а также скармливаются в сухом измельченном виде. Кукуруза, убранная в фазе молочно-восковой спелости зерна, дает ценный силос. В 100 кг силоса из початков содержится примерно 40 корм. ед., в стеблях, листьях и початках -21, в силосе из листьев и стеблей без початков- 15 корм. ед. Силос из стеблей и других частей подсолнечника имеет только 13,9 корм. ед. Колхозы и совхозы, освоившие высокую агротехнику кукурузы, получают урожаи зерна 50-80 ц и зеленой массы свыше 500 Ц с 1 га на больших площадях в различных природных условиях.

В РФ у кукурузы два основных направления возделывания:

на зерно кукурузу выращивают в основном в Северо-Кавказском, Нижневолжском, Центрально-Черноземном регионах, площадь посева в 2003г. составила - 720тыс га, урожайность - 3,25т/га;

на силос и зеленый корм кукурузу выращивают практически повсеместно, за исключением Северного региона и других северных районов, за последние 5 лет площадь со-ставила около 3млн га, урожайность - 17т/га.

Зерно кукурузы - ценный компонент для комбикормов. В чистом виде зерно кукурузы, несмотря на высокую кормовую ценность (1кг содержит - 1,34 корм.ед.), является не-сбалансированным по белку кормом.

Кукуруза - основная силосная культура. Высокое содержание моно-сахаров в зеленом растении - одно из необходимых условий молочнокислого брожения при силосовании. До образования зерна сердцевина стебля может запасать до 8-12% сахара, затем его количество снижается с образованием в зерне запасающих углеводов.

. Характеристика СПК Шагаевский

СПК Шагаевский расположен в южной части районного центра с. Починки, в км от федеральной трассы Нижний Новгород-Саратов. Ближайшая железнодорожная станция находится за 50 км в пос. Ужовка. Агрофирма включает в себя здание правления, где находятся все руководящие лица; три калды; мастерские для проведения ТО и ТР с/х машин; 3 склада, в которых хранят зерновые культуры: пшеницу, ячмень, овёс и еще 1 склад, где находятся старые детали и запчасти.

МТП предприятия представлен разнообразно и включает в себя необходимое количество тракторов, комбайнов и с/х машин для проведения различных операций: вспашки, культивации, боронования, посева, уборки и т. п.

Направления предприятия: животноводство, растениеводство.

Сфера основной деятельности - производство молока, мяса крупного рогатого скота, зерна и кормовых культур.

ВСПК Шагаевский земля является важным средством производства в получении продукции растениеводства.

Площадь землепользования предприятия за последние три года сильно изменилось, так же изменилась ее основная структура, что говорит о том, что в СПК Шагаевскийпроизошли значительные изменения. В первую очередь это связано с объединением в состав предприятия земель других хозяйств.

Таблица №1. Структура земельных угодий в СПК Шагаевский

Наименование

Всего, га.

Отклонение


2014

2015

2016



га

%

га

%

га

%


Общая площадь

6484

100

8540

100

12215

100

5731

Из них сельхозугодий

6484

100

8540

100

11608

95

5124

В т.ч. пашни

5976

92

7436

87

8538

70

2562

Сенокосы

4

-

-

-

33

0,3

29

Пастбища

504

8

1104

13

2313

20

1809

Лесные массивы

-

-

-

-

-

-

-

Кустарниковые раст.

-

-

-

-

-

-

-

Пруды и водоемы

-

-

-

-

-

-

-

Болота

-

-

-

-

-

-

-

Прочие земли

-

-

-

-

607

4,7

607


Каждое предприятие должно эффективно использовать землю, бережно относиться к ней, повышать ее плодородие, не допускать эрозии почв, заболачивания, зарастания сорняков и т.д.

Из данной таблицы видно, что в общей площади землепользования (12215 га) наибольший удельный вес занимает площадь сельскохозяйственных угодий - 11608 га. Сельскохозяйственныеугодия в основном представлены пахотными землями (70%) при незначительном удельном весе естественных сенокосов и пастбищ.

В СПК Шагаевскийкак и в большинстве предприятий Нижегородской области, основу кормовой базы составляют корма собственного производства. В связи с этим в настоящее время и в перспективе эффективность развития скотоводства, интенсификации производства молока связано с повышением урожайности кормовых культур, повышением качества заготавливаемых кормов, выходом питательных веществ в оптимальном соотношении энергии и основных нормируемых показателей рационов.

Таблица №2. Посевные площади СПК Шагаевский

Культуры

Площадь, га


2014

2015

2016


га.

%

га.

%

га.

%

Зерновые

3670

69

2580

35

3885

45

Многолетние травы

950

18

2231

30

2448

29

Однолетние травы

430

8

705

9

115

1

Площадь всего

5300

100

7436

100

8538

100




Результаты хозяйственной деятельности предприятий во многом зависят от уровня специализации производства. Специализация - это форма общественного разделения труда, выражающаяся на производстве и реализации одного (или несколько) видов продукции.

О специализации можно судить по удельному весу получаемой выручки. Если данный показатель превышает 50% рубеж по одному из видов продукции, то можно сказать, что организация специализируется на производстве и реализации именно данного вида продукции.

По данным таблицы 3 видно, чтоСПК Шагаевский специализируется в молочном направлении, так как наибольший процент в общей структуре отчетного года занимает молоко - 56%.

За анализируемый период в данном хозяйстве наблюдается увеличение общей денежной выручки от реализации продукции, которая с 2013 по 2015 год возросла на 19691 тыс. руб., что является положительной тенденцией.

Таблица №3. Состав и структура товарной продукции по денежной выручке в СПК Шагаевский

Показатели

Стоимость, тыс. руб.


2014

2015

2016


тыс. руб.

%

тыс. руб.

%

тыс. руб.

%

Всего

30202

100

48510

100

49893

100

- Молоко

22975

76

31743

65

27923

56

- Мясо КРС

4845

16

6102

13

5141

10

- Зерно

1678

6

8543

18

16371

33

Другие виды продукции

704

2

2122

4

458

1


Анализ современного состояния и развития отечественного животноводства убедительно доказывает, что главным фактором сдерживающем рост продуктивности животноводства и экономической эффективности производства продукции этой отрасли является постоянный дефицит кормовых средств, как в количественном, так и в качественном отношении.

Таблица №4. ОбеспеченностьСПК Шагаевский трудовыми ресурсами, чел.

Показатели

2014

2015

2016

Отклонение, чел.

По сельскохозяйственному предприятию - всего

129

164

110

-19

в том числе работники, занятые сельскохозяйственном производстве

129

164

110

-19

Из них рабочие постоянные

78

120

92

14

в том числе: трактористы - машинисты

14

16

18

4

 операторы машинного доения, дояры

16

16

11

-5

скотники крупного рогатого скота

22

18

16

-6

работники овцеводства и козоводства





рабочие сезонные и временные

25

23

-

-25

Служащие

26

21

18

-8

из них: руководители

2

2

2

-

 специалисты

24

19

16

-8

Работники, занятые в подсобных промышленных пред-х и промыслах

-

-

-



Под трудом понимается целесообразная деятельность человека, в процессе которой создаются потребительские стоимости. Способностью к труду обладают люди, работники представляющие собой наиболее активную составную часть производственных сил общества. Труду человека принадлежит определяющая роль в процессе материального производства. Трудовые ресурсы - это совокупность людей, имеющих способность трудиться, то есть являющихся носителями физических и духовных способностей, которые могут быть использованы для создания материальных благ. Достаточная обеспеченность сельскохозяйственных предприятий необходимыми ресурсами труда имеют большое значение для увеличения объема производства продукции и повышение эффективности производства. В частности, от обеспеченности хозяйства трудовыми ресурсами и эффективности их использования зависят объем и своевременность выполнения сельскохозяйственных работ, эффективность использования техники и, как результат, объем производства продукции, ее себестоимость, прибыль и ряд других экономических показателей.

В таблице 4 представлены все работники СПК Шагаевский- 110 человек в 2015 году, достаточно крупное предприятие. За последние годы общее число работников сильно изменилось.

Анализируя состояние материально-технической базы, необходимо отметить, нагрузка на один трактор составила в 2015 году 427 га, данный показатель также сильно изменился.

От обеспеченности хозяйства необходимой техникой во многом зависит объем и качество выпускаемой продукции, своевременное выполнение работ по обработке и уборке посевов.

Необходимо рационально использовать транспортный парк организации. Любое хозяйство заинтересовано в покупке новой технике и внедрении усовершенствованных технологий.

Таблица №5. Анализ технического состава машин в СПК Шагаевский

Показатель

2014

2015

2016

Отклонение (+,-)

Наличие тракторов всего, шт.

14

21

20

6

Наличие комбайнов, шт.

9

7

11

3

Наличие автомобилей грузоперевозящих, шт.

7

11

12

5

Приходится тракторов на 1000 га пашни, шт.

2

3

2

-1

Приходится пашни на 1 трактор, га

427

354

427

-

Приходится комбайнов на 1000 га посевной площади, шт.

2

1

1

-1

Приходится посевной площади на 1 комбайн, га

589

1062

776

187


Данные таблицы свидетельствуют о том, что обеспеченность СПК Шагаевский тракторами и комбайнами большая. Так на отчетный год приходится тракторов и комбайнов 20 и 11 шт. соответственно. В течении трех лет эти показатели увеличились, что показывает тенденцию развития предприятия и обновление машинно-тракторного парка.

Природные условия

Территория организации расположена в зоне умеренного климата. Воздушные массы часто усиливают температурные колебания и способствуют появлению жарких периодов летом и морозных зимой. Среднегодовая температура составляет +4 - +5С. Среднегодовое количество осадков 650 мм в год, причём, наибольшее количество осадков выпадает в тёплый период (с апреля по октябрь) до 70%.Преобладают северо-западные ветры, частые оттепели и потепления. В последние годы частое чередование оттепелей и заморозков в зимний период отрицательно сказываются на развитии растений, снижая их зимостойкость. А преобладающие летние южные ветры приносят летом частые дожди или, наоборот, устойчивую засушливую погоду, что сильно сказывается на урожайности сельскохозяйственных культур.

Тем не менее, климат благоприятствует выращиванию всех районированных сельскохозяйственных культур, в том числе теплолюбивых, как кукуруза, овощи и др.

По форме поверхности территория хозяйства представляет грядовый рельеф. Покровные породы представлены лёгким суглинком. Отчётливо выражена холмистость в северо-западной части хозяйства. Размеры и формы холмов самые разнообразные, для них характерны рыхло-супесчаные и песчаные покровные породы. Для всей территории характерно наличие низин и впадин.

На территории хозяйства почвенный покров преимущественно представлен рыхло-супесчаными почвами, реже связно-песчаными почвами, песками.

Характеристика центральной ремонтной мастерской

Центральная ремонтная мастерская СПК Шагаевский располагается в центральной части, где сосредоточен весь машинно-тракторный парк.

ЦРМ предназначена для проведения текущего ремонта и технического обслуживания тракторов, комбайнов, автомобилей, сельскохозяйственной техники, оборудования животноводческих ферм и энергетического оборудования.

Данная центральная ремонтная мастерская может обслуживать тракторный парк в 25 шт. Общая площадь мастерской 720 м2

В ЦРМ входят следующие участки и помещения:

1.      Слесарно-механический участок

.        Кузнечно-сварочный

.        Участок зарядки и хранения аккумуляторных батарей

.        Участок ремонта энергетического оборудования

.        Шиномонтажный и вулканизационный

.        Ремонтно-монтажный

.        Участок ремонта топливной аппаратуры

.        Участок ремонта двигателей

.        Комната мастеров

.        Кабинет зав. мастерской

Хозяйственной деятельностью ремонтной мастерской руководит главный инженер-механик. Административно он подчинен руководителю предприятия. В распоряжении главного инженера-механика находятся все участки мастерской.

. Народно-хозяйственное значение культуры

Кукуруза (Zea mays L.) во многих регионах мира - основная кормовая культура, из которой заготавливается корм с высокой концентрацией энергии. По содержанию энергии зерно кукурузы превосходит прочие злаковые культуры.  В 100 г зерна кукурузы содержится 1,382 МДж обменной энергии, тогда как в зерне пшеницы - 1,236 МДж, ячменя - 1,119, овса - 1,080 МДж. Калорийность зерна кукурузы выше, чем зерна других зерновых. В 100 г кукурузного зерна содержится 330 ккал, пшеничного - 295, ячменного - 267, овсяного - 257 ккал. Один килограмм его приравнивается к 1,34 корм..ед., тогда как 1 кг ячменя содержит 1,26, ржи - 1,18, овса - 1,0 корм.ед. Кукурузное зерно - превосходный источник энергии, но оно бедно протеином (9-11%). Богато оно и витаминами группы В.

Кукуруза - важное сырье для производства крахмала, декстринов и спирта. Производство крахмала из кукурузы - одно из главных направлений  ее использования. Крахмал из кукурузы имеет ряд положительных физических свойств: высокое водопоглощение, набухаемость и способность к пленкообразованию. При производстве крахмала получают ряд побочных продуктов таких как глютеиновая мука, отруби, которые используют на корм животным.

В свежем и, особенно, в силосованном состоянии она в значительной части районов мира превосходный корм для животных.

Кроме того, культура широко используется и на другие цели: пищевые, технические, лекарственные. Регион возделывания определяет цели ее использования, способ выращивания, выбор гибрида, технологию возделывания. Расширение посевов кукурузы во многих странах стало возможным за счет прогресса селекции в создании гибридов, приспособленных к недостатку тепла. Новые гибриды позволили значительно расширить посевы кукурузы и создали предпосылки сельскохозяйственным предприятиям для эффективного развития скотоводства.

В настоящее время на долю кукурузы приходится более 30% производимого в мире зерна при площади посева 140 млн. га или 20% от площади зерновых культур.

Важнейшими странами-экспортерами зерна кукурузы являются США, Аргентина, Китай, Франция.

3. Анализ существующей технологии возделывания культуры

Таблица№6. Структура возделывание культуры

Показатели

2014 г.

2015 г.

2016г.

Площадь, га

190

130

Урожайность, т/га

180

176

172

Себестоимость, руб.

17,65

18,16

21,87

Затраты труда, чел/час

0,08

0,13

0,18


Анализируя возделывание кукурузы в СПК Шагаевском за три года видно, что урожайность культуры не стабильна по годам, а за последние два года значительно снизилась. Наряду со снижением урожайности, возросла себестоимость и затраты труда на единицу продукции, что негативно сказалось на экономике колхоза.

Для повышения урожайности и как следствие снижения себестоимости и затрат труда, необходимо внедрять в хозяйстве интенсивную технологию возделывания кукурузы.

Интенсивная технология предусматривает прогрессивные агротехнические приемы возделывания почвы, посева, ухода, обработки и уборки, применения минеральных и органических удобрений на планируемый урожай. Для выполнения всех этих операций необходим определенный набор машин, отвечающих требованиям передовых технологий возделывания культуры.

. Технологическая часть. Разработка интенсивной технологии

Место в севообороте

Севооборот - это научно-обоснованное чередование культур и пара во времени и пространстве, то есть по годам и полям. Период в который культуры проходят через каждое поле, называется ротацией. Овощные севообороты относятся к типу специальных паропропашных видов. Назначение севооборота - борьба с сорняками, повышение плодородия почвы. Нарезка севооборотов должна осуществляться на орошаемых землях.

Схема севооборота:

. Пар химический

. Кукуруза

. Корнеплоды

. Капуста

Таблица №7. Ротация севооборота

Годы

Культура

2013

Пар химический

Кукуруза

Корнеплоды

Капуста

2014

Кукуруза

Корнеплоды

Капуста

Пар химический

2015

Корнеплоды

Капуста

Пар химический

Кукуруза

2016

Капуста

Пар химический

Кукуруза

Корнеплоды


Характеристика севооборота:

Пар химический - можно успешно бороться с сорной растительностью путем механических обработок, а также использовать гербициды.

Попав на поверхность почвы гербициды быстро связываются почвенными частицами и разлагаются микроорганизмами на углекислый газ и воду.

Кукуруза-обычно кукурузу в севообороте размещают в пропашном поле после озимых культур. Прекрасными предшественниками для нее являются зерновые бобовые культуры (фасоль, горох, чина, соя, бобы и др.), картофель, корнеплоды и другие пропашные, а также овощные и бахчевые культуры.

Сама кукуруза, особенно возделываемая на силос, служит хорошим предшественником для многих культур, в том числе для озимой пшеницы и всех яровых зерновых. Особенная и подкормка кукурузы.

В районах недостаточного увлажнения не рекомендуется высевать кукурузу  после подсолнечника и сахарной свеклы, сильно иссушающих почву на значительную глубину. Подсолнечник сильно засоряет посевы падалицей, а при размещении кукурузы после свеклы ухудшаются условия питания - понижается усвояемость фосфатов. Также следует избегать посева кукурузы после проса, у которого общий с кукурузой вредитель - кукурузный мотылек.

Корнеплоды - в севообороте их размещают на 2 - 3-й год после внесения свежего навозного удобрения. Лучшие предшественники - бобовые, ранняя капуста, ранний картофель, огурец, томат. Наиболее высокие урожаи корнеплодов получают на участках с легкими несплывющимися почвами, чистыми от семян сорных растений - особенно это имеет значение для моркови, так как ее семена прорастают очень медленно и всходы в полевых условиях появляются на 15 - 20-й день после посева.

Капуста - выращивают в овощных и овоще-кормовых севооборотах. Ее размещают после многолетних трав, бобовых культур, огурца, томата, лука, овощных корнеплодов и картофеля.

Предпосевная обработка почвы

Весной под кукурузу почву следует обрабатывать так, чтобы минимизировать механическое влияние на нее сельскохозяйственных машин сохранить сложившуюся на зиму структуру, воздействовать только на зону заделки семян, а также уберечь почву от переуплотнения, пересыхания и распыления. Действие капиллярных сил сохраняется в оптимально осевшей зимой почве, что создает наилучшие условия для прорастания высеянных семян.

С каждым дополнительным проходом сельскохозяйственной техникиразрушается сложившаяся за зиму структура пахотного слоя и происходит потеря влаги из почвы. В то же время ранней весной, при обработке почвы под кукурузу, необходимо проводить мелкое рыхление почвы (закрытие влаги), в результате которого в поверхностном слое почвы разрушаются капилляры, образовавшиеся в осеннее - зимний период.

Раннее закрытие влаги и крошение способствуют прогреванию почвы, активизации деятельности  микроорганизмов и прорастанию семян сорняков, которые затем легче уничтожить в ходе предпосевной обработки. При закрытии влаги очень эффективным является использование комбинированных агрегатов из борон и шлейфов. Используя перед посевом агрегаты, состоящие из культиватора, шлейфа и грунтовых катков, можно обеспечить желаемое состояние почвы.

Основными ошибками в ходе обработки почвы под кукурузу  весной являются слишком ранее начало работ при еще сырой почве, слишком большое число рабочих проходов, так как отдельные операции несовместимы, слишком высокая рабочая скорость и слишком глубокое рыхление.

Весеннее рыхление следует проводить только на глубину посева семян, потому что более глубокие слои почвы весной еще влажные и при их обработке ухудшается структура почвы. Кроме того, при этом происходит потеря необходимой для прорастания кукурузы почвенной влаги. При глубокой предпосевной культивации семена кукурузы не находят необходимого контакта с почвой и хуже обеспечиваются подтоком капиллярной влаги из нижних слоев.

При обработке почвы под кукурузу, если после зяблевой вспашки  остались борозды, то весной их необходимо выравнивать дисковыми лущильниками, хотя для этого и требуется дополнительный проход техники. Для предотвращения уплотнения почвы начинать ее обработку нужно тогда, когда она достигнет физической спелости, используя для этого легкие (желательно гусеничные) или колесные с широкими или сдвоенными шинами тракторы. Чем тяжелее и влажнее почва, тем меньшей должна быть глубина весеннего рыхления. Обычно достаточно обработки на глубину 3-5 см. На легких почвах и засушливых условиях ее увеличивают до 6-8 см.

Необходимо стремится к тому, чтобы ко времени посева было достигнуто оптимальное состояние почвы для прорастания семян, роста и развития растений кукурузы.

Оптимально подготовленная для посева почва состоит из разрыхленного слоя от 3 до 8 см и плотного семенного ложа, причем на поверхности находятся крупные комки. В этих условиях к семени сверху могут поступать воздух и тепло, а снизу влага.

Комбинируя соответствующие механизмы (почвоуплотнители, звездчатые или прутковые  комкодробители, вращающиеся звездчатые бороны, пружинные зубовые бороны и др.), на большинстве почв можно достичь необходимых размеров спектра почвенных агрегатов для посева.

Большое значение в обработке почвы под кукурузу имеет и направление обработки почвы. Лучше всего применять диагональное к вспашке направление. Двукратную весеннюю обработку следует проводить перекрестно. Посев кукурузы после последней обработки почвы следует проводить в течение 24 часов. Если для посева в течение этого времени поле слишком большое, то его можно разделить, но в таком случае получается больше проездов и поворотов.

При этом лучше уменьшить направление предпосевной обработки к направлению вспашки от 45 до 10-15 ºС, что позволит начинать посев на данном поле до завершения на нем предпосевной обработки.

Новые возможности для продвижения кукурузо-сеяния в северные районы и получения растений с початками молочно-восковой и восковой спелости открывает гребневый способ посева на связных (суглинистых) почвах. В ходе полевых опытов, проведенных в Смоленской области, установлено, что такой посев кукурузы существенно улучшает водно - воздушный, тепловой и пищевой режимы почвы, особенно в апреле-мае и первой декаде июня. При этом температура почвы на глубине заделки семян обычно на 0,5 - 1,5 ºС  выше, чем на ровной поверхности.

Кукуруза, выращиваемая на гребнях, меньше страдает от переувлажнения в течение вегетации. Урожай зеленой массы и СМ при посеве кукурузы на гребнях в ранние сроки в среднем на 14-26% выше, чем на ровной поверхности.

Принимать решение при обработке почвы под кукурузу следует с учетом конкретных почвенных и погодных условий, а также технических возможностей и срока проведения сева кукурузы. Но необходимо стремится к тому, чтобы ко времени сева было достигнуто оптимальное состояние почвы для прорастания  семян, роста и развития растений кукурузы.

Таблица №8. Предлагаемая система машин для предпосевной обработки почвы

Наименование операций

Состав агрегата

Лущение

ДТ-75М +ЛДГ-10

Зяблевая вспашка

ДТ-75М+ПП-4-35

культивация

ДТ-75М+КПС-4

Таблица №9. Техническая характеристика трактора ДТ-75М.

Наименование показателей

Параметр

Марка двигателя трактора ДТ-75М Мощность, кВт (л.с.) Рабочий объем Номинальная частота вращения Удельный расход топлива при номинальной мощности Тип привода Число передач:  переднего хода заднего Скорость движения, км/ч вперед назад Грузоподъемность, кг  Габаритные размеры, мм  Эксплуатационная масса, кг Вместимость топливного бака, л

ЯМЗ-236 66,2(90) 1750 об/мин  251,5 (185) г/кВт.ч. (г/л.с.ч.) Гусеничный  8 7 1  4,26 - 15,31 5,74 - 7,93 2,65 - 3.01 3480х1890х2650 6550 315


Таблица №10. Техническая характеристика плуг ПП-4-35

Наименование показателей

Параметр

Производительность, га/ч  Ширина захвата, м Глубина обработки, см Рабочая скорость, км/ч Дорожный просвет, мм Масса, кг

1,6-2,1 35 20-30 До 12 250 900


Внесение удобрений

Кукуруза выращивается в нашей стране как кормовая и зерновая культура. При выращивании на зерно без орошения в лесостепной и степной зонах кукуруза может давать урожайность 60-70 ц с 1 га, а при орошении - 100 ц и более с 1 га. Хотя вынос элементов питания на 10 ц зерна у кукурузы близок к другим зерновым культурам (25-30 N, 8-32 P2O5 и 22-27 кг K2O), размеры потребления питательных веществ этой культурой могут быть даже выше, чем с хорошими урожаями корне- и клубнеплодов. Так, при урожайности 100 ц зерна с 1 га в орошаемых условиях вынос составляет более 250 кг N, 100 кг P2O5 и 360 кг K2O, а при урожайности зеленой массы 500-600 ц с 1 га - 150-180 кг N, 50-60 кг P2O5 и 150-200 кг K2O.

Кукуруза очень требовательна к почвенному плодородию. Она не переносит кислых почв, и без их известкования даже при внесении высоких норм органических и минеральных удобрений нельзя рассчитывать на получение хорошего урожая этой культуры. Кукуруза потребляет питательные вещества в течение всего периода вегетации - вплоть до наступления восковой спелости зерна. Однако наиболее интенсивное их поглощение наблюдается в период быстрого роста за сравнительно короткий промежуток времени.

Таблица №11. Предлагаемая система машин для внесения удобрений

Наименование операцийСостав агрегата


Внесение органических удобрений

МТЗ - 82.1 + РОУ-6


Таблица №12. Техническая характеристика разбрасывателя РОУ-6

Наименование показателей

Параметр

Производительность в час основного времени при скорости 10 км/ч,  га

3...4

Рабочая ширина захвата при внесении удобрений,  м:

 

    гранулированных

14

   порошковидных и мелкокристаллических

8

Скорость,  км/ч:

 

    рабочая

12

    транспортная с грузом

16

Доза внесения,  кг/га

110

Погрузочная высота,  мм

1840

Дорожный просвет,  мм

370

Габаритные размеры,  мм:

 

    в рабочем положении

5900х1850х2250

    в транспортном

5900х1850х2250


Посев (посадка)

Посев кукурузы в борозды заслуживает особого внимания. При таком способе возможно дальнейшее окучивание растений, что обеспечивает лучшее развитие корневой системы и, в частности, воздушных корней.

В зонах или на полях, где почва переувлажняется, кукуруза высевается гребневым способом.

Норма высева кукурузы может колебаться в достаточно широких пределах в зависимости от зоны выращивания, направления культуры, способа посева, крупности семян, особенностей сорта. В среднем высевается на гектар от 15 до 20 кг семян.

При выращивании среднеспелых гибридов на зерно, предуборочная густота стояния растений в засушливых южных районах, где сумма годовых осадков не превышает 400 мм, должна быть около 30 тыс. / га, в Лесостепи и Полесье, где сумма осадков более 450 мм, - 45-55 тыс.  / га, а там, где количество годовых осадков превышает 600 мм, - количество растений на гектаре должно быть 60-65 тысяч.

Кукурузу на силос необходимо выращивать с несколько большей густотой стояния - примерно на 10-15%. При посеве кукурузы на зеленый корм плотность увеличивается до 120 тыс. / га, в пожнивных посевах густота составляет от 300 до 500 тыс. / га. На таких загущенных посевах ширина междурядий составляет 30-45 см, посев выполняется обычными зерновыми сеялками. Глубина заделки семян колеблется от 6 до 8 см. В засушливых условиях, на легких почвах и при опасности повреждения посевов грачами семена кукурузы заделывают на глубину 10-12 см. На тяжелых почвах и слабо прогреваемых глубину заделки семян уменьшают до 6 и даже 4 см.

Таблица №13. Предлагаемая система машин для посева суданки

Наименование операций

Состав агрегата

Посев озимой ржи

МТЗ-82.1+СУПН-8


Таблица №14. Техническая характеристика сеялки СУПН-8

Наименование показателейПараметр


Производительность, га/ч  Ширина захвата, м Глубина заделки семян, мм Рабочая скорость, км/ч Дорожный просвет, мм Масса, кг

5 5,6 От 4 до 12 12 150 1180


Уход за культурой

В настоящее время при возделывании кукурузы механическая борьба с сорняками без комбинирования с химической обработкой используется мало. Ее эффективность сильно зависит от погодных условий (влажности почвы) и требует высоких затрат энергии и труда. При высокой степени засоренности действия механической обработки оказывается, как правило, недостаточно.

Для механической борьбы с сорняками существует целый ряд орудий, причем их пригодность для уничтожения сорняков в посевах кукурузы неодинакова.

При уходе за кукурузой хороший эффект для уменьшения засоренности внутри рядов дают сочетания режущих и рыхлящих органов с окучивающими рабочими органами, которые покрывают сорняки внутри рядов землей. Такой же эффект дают вертикально вращающиеся мотыги с пружинными зубьями. Окучивание кукурузы положительно влияет и на рост, и на развитие растений.

Эффективность механических мероприятий в большой степени зависит от того, что сорняки не только засыпались землей, но и разрывались.

Посевы можно обрабатывать до появления всходов и после появления 3 листьев мотыгами с вертикальными пружинными зубьями поперек или по диагонали к рядам кукурузы. При этом образуются колеи, которые позже мешают проводить культивацию. Обработку до появления всходов можно проводить только на посевах с заделкой семян глубже 5 см. После появления всходов обработку проводят во второй половине дня, когда у растений кукурузы понижены устойчивость к полеганию и чувствительность к повреждениям. Очевидно, существуют и сортовые различия по чувствительности растений.

На илистых почвах с малым содержанием гумуса, которые подвергаются заплыванию, после дождя проводят обработку междурядий для рыхления поверхностного слоя, что позволяет эффективно бороться с сорняками. Обработку проводят бритвенными или стрельчатыми лапами, а также разными типами мотыг. Первую механическую обработку проводят, когда кукуруза находится в фазе 3 листьев, двудольные сорняки достигают стадии "малой розетки", а однодольные - фазы 1-2 настоящих листьев.

Вторую культивацию междурядий проводят, когда кукуруза вступила в фазу 6-8 листьев. Рабочая скорость техники во время проведения операций должна составлять 6-8 км/ч. Эффективность борьбы с сорняками повышается, если перед посевом почва обработана сетчатыми шлейфами, что способствует равномерному прорастанию.

Рыхление почвы для предотвращения потерь влаги и уменьшения опасности повреждения близко расположенной корневой системы молодых растений кукурузы следует проводить неглубоко. По этим же причинам необходимо обязательно оставлять необработанными защитные полосы по обеим сторонам ряда.

При низкой засоренности механическая обработка поля может быть достаточно эффективной. При более сильной засоренности, особенно в неблагоприятных условиях, для роста кукурузы требуется добавочная ленточная обработка рядов гербицидами.

Таблица №15. Предлагаемая система машин для ухода за кукурузой

Наименование операцийСостав агрегата


Боронование

МТЗ-82.1+ЗБЗС-1

Внесение гербицидами

МТЗ-82.1+ОП-2000

Обработка пестецыдами

МТЗ-82.1+ОВТ-1


Таблица №16. Техническая характеристика ОП-2000

Наименование показателейПараметр


Производительность в час основного времени, га

9-11

Подача насоса, л/мин

230

Ширина захвата, м

22,5

Вместимость бака, Л

2000

Масса, кг

1500

Агрегатируется с трактором тягового класса

3,0


Уборка

Для уборки кукурузы на зерно жатку зерноуборочного комбайна заменяют специальной жаткой, переоборудуют молотильный аппарат и другие рабочие органы. На комбайн СК4 навешивают жатку ЖКН-2,6М, а на комбайны СК-5 и СК-6 - ручьевую жатку ПКК-4.

Жатка ЖКН-2,6М платформенная, ширина захвата 2,6 м, рассчитана на уборку четырех рядков кукурузы с междурядьями 70 см или трех с междурядьями 90 см. Режущий аппарат нормального резания с шагом сегментов, пальцев и ходом ножа 90 мм. Диаметр мотовила можно изменять в пределах от 1800 до 2650 мм. Большинство узлов и механизмов жатки устроено аналогично подобным узлам силосоуборочного комбайна КС-2,6.

Наклонная камера устроена аналогично камере зерновой жатки, но планки наклонного транспортера, а также ведущий и ведомый барабаны усилены. Чтобы улучшить обмолот початков, снизить повреждение зерна и исключить забивание барабана, промежутки между соседними бичами молотильного барабана перекрывают специальными щитками, выступы которых вставлены под подбичники. Зазор между бичами и планками подбарабанья на входе увеличивают до 40 - 45 мм, на выходе - от 20 до 25 мм. В подбарабанье удаляют прутки через один.

К лопастям отбойного битера с нерабочей стороны, а также к кожуху битера приваривают ребра жесткости. Лоток соломонабивателя в копнителе снимают.

Технологический процесс уборки протекает так же, как и при уборке зерновых колосовых культур.

При уборке с измельчением листостебельной массы на комбайне вместо копнителя монтируют транспортер и измельчитель. Измельченная масса забрасывается в кузов автомашины, движущейся рядом с комбайном.

Приставка ПКК-4 представляет собой четырехручьевую жатку, снабженную роторным режущим аппаратом, початкоотделяющими аппаратами пиккерно-стрипперного типа (рис. ХШ.З, д), шнеком стеблей, измельчителем, шнеком и наклонной камерой с битерами для транспортировки початков.

Початки отрываются от стеблей и транспортируются шнеком, битерами наклонной камеры в молотильный аппарат, а срезанные стебли после отрыва початков подаются шнеком в измельчитель и далее в рядом идущий транспорт. Обмолоченное и очищенное от примесей зерно собирают в бункер комбайна. Ширина захвата жатки 2,8 м.

Технические характеристики зерноуборочного комбайна Колос СК-6

Тип двигателя

СМД-64


Мощность двигателя (эксплуатационная)

110

кВт

Частота вращения (номинальная)

1900

об/мин

Число цилиндров двигателя

6

шт.

Объем бака для горючего

190

л

Расход горючего (удельный)

251,5

г/кВт*ч

Скорость (транспортная, максимум)

18,7

км/ч

Скорость (рабочая, максимум)

7,4

км/ч

Производительность комбайна

8,5

т/ч

Тип молотилки

с одним бильным барабаном


Число бичей

8

шт.

Ширина молотилки

1,5

м

Диаметр барабана

0,6

м

Длина барабана

1,485

м

Угол охвата барабана

146

°

Скорость вращения барабана (без редуктора)

750-1235

об/мин

Скорость вращения барабана (с редуктором)

330-540

об/мин

Тип жатки

фронтальная


Механизм резания

с одинарными кованными пальцами из стали


Захват жатки

от 3,2 до 7

м

Высота среза с копированием (меняется перестановкой башмаков)

5, 10, 13 или 18

см

Высота среза без копирования (меняется гидроцилиндрами)

от 10 до 95

см

Тип соломотряса

двухвальный, с пятью клавишами


Длина клавиши

3,618

м

Ширина соломотряса

1,477

м

Тип зернового бункера

двухсекционный


Объем зернового бункера

3

м3

Поворотный радиус (минимум)

7,5

м

Вес

9,455

т

Размеры (с пятиметровой жаткой):



- длина транспортная

10,92

м

- длина рабочая

10,49

м

- ширина транспортная

5,3

м

- ширина рабочая

5,34

м

- высота транспортная

3,92

м

- высота рабочая

4

м

Технические характеристики жатки для уборки кукурузы ППК-4

Показатель

Значение

Число убираемых рядков

4

Ширина междурядий

70

Ширина захвата

2.8

Производительность

14

Масса

2900

Составление технологической карты

Технологическая карта составляется на основе типовых технологических карт взятых в хозяйстве. Перечень работ принимается по перспективной технологии с учётом местных условий, достижений в науке и передаваемого опыта. Объём работ в физических единицах (га, т, т-км) устанавливается в соответствии с площадью занимаемой данной культурой, нормой внесения удобрений, семян, урожайностью, расстоянием транспортировки. Объём работ в условиях эталонных гектаров определяется:

усл.эт.га = Кн.см • Wэт.см,

где:

Кн.см - количество норм смен в заданном объёме работ,эт.см - сменная эталонная наработка трактора данной марки.

Таблица №19. Сменная эталонная наработка тракторов

Марка трактора

Сменная наработка (эталонная) усл.эт.га/см

К- 701 К-700 Т-150; Т- 150К ДТ- 75М Т- 70С МТЗ-82 МТЗ-80 ЮМЗ-6 T- 40M Т-25 Т-16М

18.9 15,5 11,6 7,7 6,3 5,1 4,9 4,2 3,7 2,1 1,5


Календарные сроки выполнения работ определяются исходя из местных условий и особенностей агротехники. Одним из основных показателей качества выполнения операций, существенно влияющих на урожайность является их своевременное выполнение.

Таблица №20. Рекомендуемая продолжительность сельскохозяйственных работ

Виды работСроки


1. Боронование 2. Транспортирование воды и гербицида 3. Внесение гербицидов 4. Предпосевная культивация 5. Транспортировка семян 6. Посев и внесение удобрений 7. Прикатывание посева 8. Вегетационный полив 9. Междурядная культивация 10. Уборка культуры 11. Транспортировка зерна 12. Транспортировка силоса 13. Лущение стерни 14. Погрузка мин. удобрений 15. Транспортировка и внесение 16.Погрузка навоза 17.Транспортировка навоза 18.Вспашка 19.Культивация

4 дня 3 дня 4 дня 4 дня 4 дня 4 дня 4 дня 10 дней 6 дней 8 дней 8 дней 8 дней 7 дней 5 дней 5 дней 5 дней 5 дней 5 дней 4 дня



Состав машинно-тракторного агрегата определяется наличием машинно-тракторных агрегатов на предприятии и существующими системами машин по возделыванию озимой ржи. Количество машин в агрегате принимается на основании рекомендации с учётом конкретных условий так, чтобы обеспечить оптимальную загрузку трактора, максимальную производительность и экономичность при высоком качестве выполняемой работы.

Норма выработки за час определяется:

г=Wсмсм

где:

Тсм - время смены. В сельском хозяйстве на всех операциях, кроме операций, связанных с ядохимикатами составляет семь часов. На операциях, связанных с ядохимикатами шесть часов.

Норма выработки за рабочий день определяется:

дн = WЧ * Тдн

где:

Тдн - продолжительность рабочего дня. Продолжительность рабочего дня принимаем 7-10 часов в зависимости от особенностей хозяйства.

Потребное количество тракторов для выполнения каждой сельскохозяйственной операции определяется па формуле:

тр=Nфр-Wдн

где:

Др - число рабочих дней для выполнения данной операции.

Количество сельскохозяйственных машин определяется по формуле:
м=nтр*nм

где:м- количество сельскохозяйственных машин в одном агрегате. Количество рабочих, занятых на одном агрегате определяется техническими возможностями агрегата и принятой практикой обслуживания агрегатов.

Затраты труда определяются по формуле:

Зт = (мр + мв) * Тсм * Кнс

где:

мв - число тракторов и вспомогательных рабочих, обслуживающих один агрегат.

Тарифные ставки выбираются по тарифно-квалифицированному справочнику и по расценкам, существующим на предприятии.

Тарифная зарплата определяется по формуле:

Тортр = См * Кнем * Мтр

где:

См - тарифная ставка тракториста но данной операции.

Тор.дсп = Смв * Кн * см* мв

где:

Смв - тарифная ставка вспомогательных рабочих.

Предлагаемая система машин

Марочный состав тракторов и сельскохозяйственных машин определяется непосредственно из технологической карты.

Количество тракторов определяется по графикам загрузки. Графики загрузки строятся в прямоугольной системе координат. По оси X откладываются сроки выполнения работ, по оси У потребное количество тракторов.

Потребное количество сельскохозяйственных машин определяется непосредственно из технологической карты для тех сельскохозяйственных машин, которые заняты только на одной операции.

Для сельскохозяйственных машин, которые применяются в разные сроки, потребное количество определяется по периоду максимальной загрузки. Данные расчётов заносим в таблицу.

Таблица№21. Потребность в тракторах и с/х машинах

Наименование машин

Марка

Требуется по проекту

Имеется в хозяйстве

Требуется

Тракторы

Т-150К ВТ-90 МТЗ-82,1 К-744

4 4 4 4

- - - -

Погрузчики

ВП-60

2

3

-

Плуги

ПЛН-5-35

4

4

-

Разбрасыватели удобрений

1РМГ-6

4

5

-

Бороны

БЗСО-1

84

90

-

Сортировальный пункт

КСП-15

-

-

-

Культиваторы

КПН-4 2КПС-4

4 4

11 7

- -

Комбайны

СК-6

4

5

-

Посев

СЗУ-3,6

6

7

-

Котки

3ККШ-6

4

4

-

Опрыскиватели

ТУМАН-2 ОП-2000

1 2

2 4

- -

Разбрасыватели

РТТ-4,2А

4

6

-

Очистители зерна

ОВС-25

2

6

-

Автомобили для транспортировки

ГАЗ-3307

4

4

-


5. Разработка операционной технологии

Исходные данные

Наименование сельскохозяйственной операции - обработка гербицидами.

Размер поля, на котором выполняется операция:

длина поля - 2900 м

ширина поля- 1000 м

площадь - 290га

Уклон поля: i=0,016.

Урожайность основной культуры

Норма расхода семян и удобрений:

семян:

органических удобрений: 30 т/га

минеральных удобрений: 0,2т/га

Агротехнические требования для уборки

Опрыскивание машиной ОП-2000-2

Технические повреждения растений при опрыскивании не должны превышать 1%.

Скорость движения агрегатов при опрыскивании 4-10км/ч.

Отклонение расхода рабочей жидкости от установленной нормы на 1га не должно превышать 10%.

Отклонение концентрации рабочей жидкости от заданной не должно превышать 5%.

Рабочая жидкость должна обеспечить равномерное покрытие обрабатываемой почвы или растения.

Расчет по комплектованию агрегата

Устанавливаем диапазон скоростей, рекомендуемых по требованиям агротехники для выполнения операции:

) Выбираем диапазон скоростей движения V=5…7 км/ч. В этот диапазон входят:5 - 6,86 км/ч6 - 8,02 км/ч7 - 9,86 км/ч

) Крюковое усилие на каждой из передач, Ркр, кН

Ркр5 = 11,2кН

Ркр6 = 11,2 кН

Ркр7 = 11,2 кН

) Определяем Ркр на передачу с учетом уклона поля I=0,016


где Q - сила веса трактора, Q = 33,5 кН

) Определяем удельное сопротивление сельскохозяйственной машины.


Где: Ко - удельное сопротивление; Ко = 0,4 кН/м при Vo = 5км/ч

ΔК - относительное приращение удельного сопротивления в%. ΔК=0,01

) Определяем ширину агрегата на каждой скорости.


) Определяем число машин в агрегате:

- конструктивная ширина одной с/х машины; b = м.

Округляем число с/х машин до целого в меньшую сторону

) Определяем сопротивление с/х машин.


Вывод: принимаем для внесения гербицидов 7 передачу.

Выбор и обоснование способа движения агрегата на загоне, подготовка поля и агрегата к работе

Проверяют комплектность машины, наличие запасных частей и инструмента.

Подготовка трактора: проведение ЕТО.

Подготовка с/х машины: проведения ЕТО.

Проверить комплектность, выполнить необходимые регулировки, соединить трактор и с/х машину.

Состав агрегата:

Ширина захвата = 12 м.

Подготовка поля заключается в следующем:

очищают поле от посторонних предметов: камней, проволоки, растительных остаток, веток и др.

для выхода и разворота агрегата убирают вручную концевые и труднодоступные участки поворотных полос. Поворотные полосы отделяют контрольными линиями, от которых в обе стороны на расстоянии длины выезда агрегата прокладывают линии включения и выключения рабочих органов соответственно в начале и в конце рабочего хода.

разбивка поля на загоны имеет исключительно важное значение как для высококачественной работы, так и для повышения производительности агрегата и снижения эксплуатационных затрат. Подготовка поля самим работающим (основным) агрегатом непосредственно перед началом работы связана с большими потерями времени и существенным уменьшением сменной выработки при повышенном расходе топлива.

Способ движения агрегата - челночный.

Я выбрал этот способ движения агрегата потому, что он более эффективен и рационален чем движение перекрытием, в котором большое количество холостых проходов.

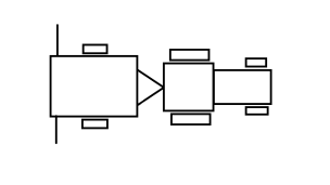
Рис 1. Способ движения агрегата

Рис 2. Схема агрегата

Расчет ширины поворотной полосы.

Размер поворотной полосы зависит от состава агрегата и вида поворота. Если , то агрегат совершает петлевой поворот, если , то беспетлевой.

Минимальная ширина  поворотной полосы определяется следующим образом:

при беспетлевых поворотах

 

- при петлевых поворотах

 

где: - радиус поворота агрегата;

е - длина выезда агрегата.


где:

 - коэффициент для оценки радиуса поворота;

В - конструктивная ширина захвата агрегата.

Длина выезда агрегата:

для агрегатов без перевода рабочих органов в транспортное положение (лущение, боронование, прикатывание).


в остальных случаях.


где:

 - кинематическая длина агрегата.


где:

 - кинематическая длина трактора;

 - кинематическая длина сцепки;

 - кинематическая длина сельскохозяйственной машины.

Агрегат совершает петлевой поворот, поэтому для определения минимальной ширины поворотной полосы используем формулу:

 

 

Ширина  поворотной полосы выбирается такой, чтобы ее значение было не менее  и кратным рабочей ширине захвата агрегата. Поэтому полученное значение  необходимо разделить на значение рабочей ширины В захвата агрегата и полученный результат округлить до целого числа в сторону увеличения. Тогда:




Определяем среднюю рабочую длину гона:

 

где:

 - длина участка (гона).

Расчет эксплуатационных затрат

Норма расхода топлива на единицу выполненной работы определяется по формуле:



где:  - значение среднего часового расхода соответственно при рабочем ходе, на холостых переездах и поворотах во время остановок агрегата с работающим двигателем (.

 - соответственно за смену рабочего времени, общее время на холостых переездах и повороты агрегата и время на остановки агрегата, составляющие баланса времени смены.

Техническая часовая производительность агрегата определяется по формуле:

 

где:

 - ширина захвата агрегата;

 - скорость движения агрегата на выбранной передаче;

 - коэффициент использования времени смены.

Техническая сменная производительность агрегата определяется по формуле:

 

где:

 - время работы смены ();

Определяем цикловые составляющие времени смены.

Чистое время за 1 цикл работы:

Определяем число циклов за смену.


где:

 - затраты времени на подготовительно-заключительные работы;

 - затраты времени на перерывы, отдых и личные нужды;

 - затраты времени на внутрисменные переезды;

 - продолжительность простоя агрегата в течении смены при технологическом обслуживании.

Принимаем:

;


 ч;

;

;

.

Определяем затраты времени на рабочий ход агрегата, холостые повороты и остановки агрегата.






Определяем расход топлива на весь объем работы:


. Экономическая часть

Расчет себестоимости одного условного эталонного гектара


где:

 - сумма затрат на амортизационные отчисления по агрегату.

 - затраты по агрегату на ремонт ТО включая хранение.

 - затраты на ГСМ.

 - затраты на заработанную плату.

Расчет амортизационных отчислений по агрегату.

Амортизационные отчисления по трактору МТЗ-82.1:


Где:

.

 - часовая производительность агрегата.

= 20;

 = 120 ч.

Затраты на текущий ремонт и ТО включая хранение агрегата.

где:

 - норма отчислений на ТР и ТО сельскохозяйственной машины.

Затраты на ГСМ.


Где:

 - комплексная цена 1 кг топлива

 = 38 руб

Затраты на заработной плате.


где:

 - основная заработная плата.

 - отчисления во внебюджетные фонды;

 

где:

 - число рабочих, обслуживающих агрегат, чел;

 - дневная тарифная ставка за сменную норму, руб.

 


Итого себестоимость одного условного гектара будет равна:

Мероприятия по снижению себестоимости механизированных полевых работ

Повышение производительности труда трактористов, комбайнеров, водителей, относительное снижение прямых затрат по заработной плате. Особое внимания заслуживают причины, приводящие к непроизводственным выплатам, например доплата в связи с изменениями условий работы, оплата целодневных и внутрисменных простоев;

Внедрение передовой техники и технологий, лучшее использование машинно-транспортного парка и оборудования, модернизация оборудования и т.д. не только повышают производительность труда работников, но и снижают сумму амортизационных отчислений в себестоимости работ. Экономия на амортизации особенно ощутима при перевыполнении планов производства работ.

Сокращение и ликвидация простоев, потерь.

Новейшее оборудование с более высокими эксплутационными возможностями обычно позволяет экономить вспомогательные материалы, топливо и энергию. Бережное использование инструментов приводит к сокращению расходов по их эксплуатации.

Удешевление заготовки и лучшее использование предметов труда, сокращение прямых материальных затрат. Снижение материалоемкости работ, норм расхода материалов, замена дорогостоящих материалов более дешевыми, экономия материальных ресурсов ведет к снижению себестоимости.

Список используемой литературы

1. Пискарев, А.В. Надежность технологических систем машиноиспользования в растениеводстве: совершенствование методов проектирования и эксплуатации на основе системного подхода [Электронный ресурс]: монография / Новосиб. гос. аграр. ун-т. - Новосибирск, 2011. - 385 с.

. Документационное обеспечение управления (делопроизводство): Учеб. пос. / Т.А. Быкова и др. - 2 изд., перераб. и доп. - М.: НИЦ Инфра-М, 2013 г. -304с.

. Организация сельскохозяйственного производства: Учебное пособие / С.И. Грядов и др.; Под ред. М.П. Тушканова, Ф.К. Шакирова. - М.: НИЦ ИНФРА-М, 2014. - 292 с.

. Зангиев А.А. Эксплуатация машинно-тракторного парка А.А. Зангиев, А.В. Шпилько, А.Г. Левшин. Москва Колос 2008 г.

. Основы управления персоналом: Учебник / А.Я. Кибанов; Министерство образования и науки РФ. - 2-e изд., перераб. и доп. - М.: НИЦ ИНФРА-М, 2014. - 447 с.

. Эксплуатация машинно-тракторного парка [Электронный ресурс]: Учебное пособие (лабораторный практикум) для студентов высш. учеб. заведений / Л.И. Высочкина, М.В. Данилов, В.Х. Малиев и др. - Ставрополь: Бюро новостей, 2013. - 74 с.

. Эксплуатация сельскохозяйственной техники. Практикум: Учебное пособие / А.В. Новиков, И.Н. Шило и др.; Под ред. А.В. Новикова - М.: НИЦ ИНФРА-М; Мн.: Нов. знание, 2014. - 176 с.

Похожие работы на - Планирование производственных процессов и определение состава МТП для возделывания кукурузы на зерно с разработкой технологии обработки гербицидами

 

Не нашли материал для своей работы?
Поможем написать уникальную работу
Без плагиата!
Без нейросетей!