Совершенствование системы сбора и подготовки нефти, воды и газа на Ем-Ёгском месторождении
Оглавление
Введение
. ХАРАКТЕРИСТИКА МЕСТОРОЖДЕНИЯ
.1 Географическое расположение
.2 История освоения месторождения
.3 Геолого-физическая характеристика продуктивных пластов
.4 Сведения о запасах и свойства пластовых флюидов
. АНАЛИЗ СОСТОЯНИЯ РАЗРАБОТКИ МЕСТОРОЖДЕНИЯ
.1 Анализ показателей разработки Ем-Ёгского месторождения
.2 Анализ показателей работы фонда скважин
.3 Анализ выполнения проектных решений
.3.1 Сравнение проектных и фактических показателей разработки
.4 Конструкция и оборудование скважин (необходимость данного
раздела согласовывает с руководителем)
. СПЕЦИАЛЬНАЯ ЧАСТЬ
.1 Выбор и обоснование применения методов для увеличения
проницаемости призабойной зоны скважин Ем-Ёгского месторождения
.2 Проектирование предлагаемых методов воздействия для увеличения
проницаемости призабойных зон скважин Ем-Ёгского месторождения.
.3 Коэффициент нефтеотдачи
.4 Сравнение эффективности технологических показателей
проектируемых методов увеличение проницаемости ПЗП с другими методами
ЗАКЛЮЧЕНИЕ
СПИСОК ИСПОЛЬЗОВАННЫХ ИСТОЧНИКОВ
Приложения
Введение
Процессы сбора, транспорта и подготовки нефти должны быть обеспечены
сложными технологическими схемами, которые проектируют, исходя из особенностей
месторождения, требования безопасности, доступного оборудования и т.д. При этом
промысловое обустройство требует большого объема капитальных вложений,
значительную долю которых составляют сооружения систем сбора, подготовки и
транспорта продукции скважин. Совершенствование и упрощение систем сбора,
подготовки и транспорта нефти и газа имеет первостепенное значение как для
снижения капитальных затрат и эксплуатационных расходов, так и для сокращения
сроков обустройства и, следовательно, для ускорения ввода в действие новых
скважин и нефтяных месторождений. В целом под системами сбора и подготовки
нефти, попутного газа и пластовой воды на нефтяных месторождениях понимают все
оборудование и систему трубопроводов, построенных для сбора продукции отдельных
скважин и доставки ее до центрального пункта подготовки нефти, газа и воды.
Система сбора и подготовки нефти, газа и воды должна обеспечить
возможность осуществления следующих операций:
· измерение количества продукции каждой скважины;
· транспортировка продукции скважин до центрального пункта
· подготовки нефти, газа и воды за счет энергии пласта или
насосов;
· отделение газа от нефти и транспортировка его до пункта
· подготовки или до потребителя;
· отделение свободной воды от продукции скважин до установок
· подготовки нефти (в случае добычи обводненной нефти);
· подготовка нефти (обессоливание, стабилизация) для сдачи
· в магистральный нефтепровод;
· подготовка воды (очистка от механических примесей и нефте-
· продуктов) для закачки в нагнетательную скважину и далее в
пласт;
· подогрев продукции скважин, если невозможно ее собирать
· и транспортировать при обычных температурах.
Ем-Ёговское месторождение характеризуется сложным геологическим
строением, геолого-физическая специфика большинства месторождений и свойства
насыщающих флюидов делают многие из этих запасов трудноизвлекаемыми.
К осложняющим факторам относятся сильная, геолого-литологическая
расчлененность коллекторов, многопластовость продуктивных горизонтов, наличие
обширных водоплавающих зон, газовых шапок.
Карбонатные коллекторы наших месторождений отличаются сложным характером
строения фильтрационно-емкостной системы и спецификой взаимосвязи содержащихся
в них флюидов и поверхности породы - коллектора.
В сложнопостроенных карбонатных коллекторах на одном участке залежи могут
существовать благоприятные условия для фильтрации нефти преимущественно в
горизонтальном направлении, на другом участке - в вертикальном направлении, а в
третьем - в хаотичном направлении. Карбонатные коллекторы отличаются резкой
прерывистостью строения, которая нарушает единую гидродинамическую систему
залежи.
Системы сбора и подготовки нефти, спроектированные для нефтяного
месторождения, нуждаются во внесении существенных изменений при достижении
высокой (более 80%) обводненности добываемой продукции
На поздних стадиях разработки месторождения появляется необходимость в
реконструкция систем сбора и подготовки нефти, газа и воды, которая диктуется
сокращением объемов добываемой нефти, физическим и моральным старением
трубопроводов и оборудования.
Реконструкция должна обеспечивать сокращение протяженности промысловых
трубопроводов, количества установок подготовки нефти на месторождении, а также
других объектов сбора и подготовки нефти. Особенно это касается крупнейших
нефтяных месторождений, подобных Ем-Ёговскому .
Целью данной работы является выявление причин снижения проницаемости
призабойной зоны скважин месторождения ВК 3, и выбор оптимального комплекса
мероприятий, который позволит улучшить фильтрационную характеристику и тем
самым повысить нефтеотдачу пласта.
1.
ХАРАКТЕРИСТИКА МЕСТОРОЖДЕНИЯ
1.1 Географическое расположение
Изучаемый Ем-Ёговский лицензионный участок (ЛУ), который входит в состав
Красноленинского нефтегазоконденсатного месторождения, в административном
отношении находится в Октябрьском районе Ханты- Мансийского автономного округа
(ХМАО) Тюменской области. Ближайшим крупным населенным пунктом является город
Нягань (рисунок 1).
Краткие сведения о географо-экономических условиях исследуемого района
приводятся в таблице 1.
Проект поискового бурения на Ем-Ёговской площади составлен в 1970 году,
поисковое бурение начато в 1971 году. В пределах площади промышленная нефть
была получена в поисковой скважине 2г в 1971 году из отложений юрского
возраста.
1.2 История освоения месторождения
месторождение пласт скважина разработка
В 1953 году Западно-Сибирской аэромагнитной экспедицией выполнялась
магниторазведка 1:1 000 000 масштаба. По ее результатам были выделены зоны
преобладания положительных и отрицательных магнитных полей.
В 1955 году Ханты-Мансийской партией 37/35 была проведена магниторазведка
масштаба 1:200 000, и на фоне региональных полей выделены локальные
положительные и отрицательные магнитные аномалии.
Таблица 1 - Географо-экономические условия
|
№ п/п
|
Наименование
|
Географо-экономические
условия
|
|
1
|
Сведения о рельефе,
заболоченности,степени расчлененности, сейсмичности района исследования
|
Красноленинский
нефтегазоносный район расположен в западной части Западно-Сибирской
низменности на левом берегу реки Обь. Заболоченность 30-35 %. Расчлененность
рельефа сильная с а.о. от 24 до 208 м. Сейсмичности нет.
|
|
2
|
Характеристика гидросети и
источников питьевой и технической воды с указанием расстояния от них до
объекта исследования
|
Гидрографическая сеть
представлена реками Ендырь, Сеуль и Ендырьской протокой и их многочисленными
притоками. В период половодья судоходство возможно только по р. Ендырь на
4050 км от устья. В устье р. Ендырь находится крупное озеро Большой Сор также
судоходное в половодье. Заболоченность широко развита в юго- восточной и
южной частях.
|
|
3
|
Среднегодовые и
экстремальные температуры воздуха и количество осадков
|
Среднегодовая температура
-1.8 0С, средняя температура января -25 0С, а июля +15 0С. Экстремальные
температуры от +30 0С до -52 0С. Среднегодовое количество осадков 450-500 мм,
из которых 70 % приходится на апрель-октябрь
|
|
4
|
Преобладающее направление
ветров и их сила
|
Средняя скорость ветра -
4.4 м/сек, преобладающее направление - юго-западное, западное
|
|
5
|
Толщина снежного покрова и
его распределение
|
Снежный покров составляет
0.7 м, достигает в пониженных участках 1.5 м и лежит 180 дней
|
|
6
|
Краткая характеристика
растительного и животного мира
|
Ем-Ёговская площадь
расположена в лесной зоне, где растительность представлена преимущественно
елово-кедровым и сосновым лесом. На заболоченных участках преобладает
смешанный лес. Животный мир богат и разнообразен. Встречаются горностаи,
лоси, лисицы, олени, волки, медведи, белки, зайцы, соболь. В водоемах водятся
ондатры и выдры. Летом на реках и озерах много водоплавающей птицы. Из
промысловых птиц: куропатки, утки, глухари. В реках много рыбы,
преимущественно туводных пород.
|
|
7
|
Геокриологические условия
|
Район относится к
территориям, где многолетнемерзлые породы носят локальный характер
распространения на глубинах более 100-150 м.
|
|
8
|
Сведения о населенных
пунктах, расстояния до них; о составе населения; о ведущих отраслях народного
хозяйства
|
Населенных пунктов в районе
ЛУ нет. Город Нягань расположен в 110 км от площади. Плотность населения
невысокая, коренное население - ханты, манси занимается рыболовством и
звероловством. В экономике района ведущее место занимает нефтегазодобыча
|
|
9
|
Действующие и строящиеся
нефте- и газопроводы
|
Межпромысловый нефтепровод
ДНС-ЦТП Ем-Ёговское - ЦПС «Южный» 25 км, магистральный нефтепровод
Красноленинский- Шаим
|
Рисунок 1 - Обзорная карта Красноленинского нефтегазоконденсатного
месторождения
В 1956-1957 годах гравиметрическими партиями Ханты-Мансийской
нефтеразведочной экспедиции по результатам гравиразведки составлена схема
тектонического районирования фундамента, впервые выделен Красноленинский свод.
В 1957-1961 годах сп 14/57-58, 7/58, 3/59, 3/60, 15/60-61 экспедиции ТТГУ
проводилось сейсмозондирование (МОВ) в масштабе 1:500 000. Была изучена
обширная территория бассейна р. Обь, в том числе уточнено тектоническое
строение Красноленинской зоны, построена структурная карта по низам
платформенного мезозоя.
Ем-Ёговское локальное поднятие выявлено по результатам сейсмических работ
сп 09/60-61 в 1961 году (МОВ), в масштабе 1:100 000. Сосново-Мысское локальное
поднятие, входящее в состав Ем-Ёговского лицензионного участка, выявлено в
результате работ, проведенных сп 19/69-70 в 1970 году.
В 1961-1962 гг. сп 20/61-62 выполнялась сейсморазведка (МОВ) в масштабе
1:100 000, в результате детализировано Ем-Ёговское поднятие, подготовлено к
бурению.
Площадные сейсмические исследования (МОВ, МОГТ-20) масштаба 1:50 000,
1:100 000 в пределах Ем-Ёговской площади проводились в период с 1970 по 1983
гг. По результатам этих работ были составлены структурные карты по отражающим
горизонтам А, Б, М, М1 (К) и Г, локальные поднятия подготовлены к глубокому
бурению.
В течение всего времени также проводились региональные сейсмические
исследования, цель которых - изучить рельеф фундамента. В результате работ
выявлены многочисленные разломы, участки локальных перегибов и зоны
перспективные для поиска структурно-стратиграфических ловушек.
С 1989 года на Ем-Ёговской площади выполнялись детальные сейсмические
работы МОГТ-20 масштаба 1:25 000 сп 13/89-90 ПГО «Тюменнефтегеофизика», в том
числе методом МОГТ-30.
ОАО «Сибнефтегеофизика» в 1999 году выполнены детальные сейсморазведочные
работы МОГТ-20 с плотностью 2-2,5 км/км2, в северной части центрального купола
Ем-Ёговской площади. В 2001 году проведена переинтерпретация работ, выполненных
МОГТ-30 в 1989-91 гг. сп 13 на Мало Ем-Ёговской площади. В результате уточнено
геологическое строение доюрских образований, юрской и нижнемеловой частей
разреза по отражающим горизонтам
А, Т2, Т1, Т, П, Б, М, М1, М11, Г. Установлено блоковое строение площади
работ. Выделены зоны развития коры выветривания и триасового комплекса,
детализировано строение залежей пластов тюменской свиты, закартированы
предполагаемые зоны развития трещиноватых коллекторов в отложениях баженовской,
абалакской свит, уточнены контуры нефтеносности викуловской залежи.
В 2007-2008 гг. в юго-западной части ЛУ проведены работы МОГТ-30 (рисунок
2).
Рисунок 2 - Схема изученности сейсморазведочными работами Ем-Ёговского ЛУ
Для изучения скоростной характеристики разреза, уточнения стратификации
выделенных в нем отражающих горизонтов, проводились сейсмокаротажные работы и
работы методом ВСП. На площади такие исследования проведены в скважинах:
30034г, 30042г, 2014, 30025г, 1г, 586г.
1.3 Геолого-физическая характеристика продуктивных пластов
Геологический разрез территории представлен докембрийско-палеозойским
кристаллическим фундаментом и мезозойско-кайнозойским осадочным чехлом.
Породы юрского возраста залегают в основании осадочного чехла со
стратиграфическим перерывом на доюрских образованиях. На Красноленинском своде
отложения юрской системы представлены всеми тремя отделами (нижним, средним,
верхним) (рисунок 3).
Толщина пород юрской системы на Красноленинском своде составляет в
среднем 290 м. В направлении повышенных участков палеорельефа (Ем-Ёговская и
Каменная площади) толщина пород нижнеюрского возраста сокращается, вплоть до
полного выклинивания. Вследствие приуроченности района исследования к
повышенному участку палеорельефа, породы средней юры представлены в основном
сокращенным разрезом, а нижнеюрские отложения практически отсутствуют.
На временном сейсмическом разрезе отложениям юрского возраста
соответствует толща пород, которая заключена между отражающими горизонтами А и
Б. Отложения нижней и средней юры формировались в континентальных, переходных и
частично морских условиях, верхней юры - в морских условиях.
Породы тюменской свиты (J1-3tm) залегают в основании платформенного чехла
и имеют широкое площадное распространение. Толщина свиты на Красноленинском
своде колеблется от 0 до 330 м. По направлению к сводовым участкам рельефа по
фундаменту толщина тюменской свиты сокращаются за счет выклинивания нижних
частей разреза. Максимальные толщины отмечаются в пониженных участках рельефа
фундамента.
Тектоника
Согласно тектонической карте (под ред. Шпильмана В.И., 2013 г.) (рисунок
4) Красноленинский свод располагается в западной части Западно-Сибирской
платформы и граничит с отрицательными структурами I порядка: Южно- Бобровским
мегапрогибом на северо-западе, Елизаровским и Южно- Елизаровским прогибами на
востоке и юго-востоке, Согомской моноклиналью на юге. На юго-западе посредством
Яхлинской мегаседловины Красноленинский свод соединятся с Шаимским мегавалом.
Рассматриваемая территория принадлежит эпигерцинской части
ЗападноСибирской молодой платформы. Эта платформа в разрезе расчленяется на два
структурных этажа: фундамент и чехол.
Платформенный чехол имеет субгоризонтальное залегание и с региональным
перерывом перекрывает породы фундамента.
Согласно тектонической карте мезозойско-кайнозойского чехла (под ред.
И.И. Нестерова, 1990 г.) (рисунок 5), в пределах границ рассматриваемой
территории выделяется ряд положительных и отрицательных структур. Центральную
часть Ем-Ёговской площади занимает Потымецкий малый вал (152). На
северо-востоке Северо-Потымецкий малый прогиб (1168), вытянутый
субмеридионально, отделяет Потымецкий малый вал от Лебяжьего вала (1360). На
юге Потымецкий вал (152) отделен Северо-Ингинским малым прогибом (1004)
широтной ориентировки от Ингинского купольного поднятия (988). На северо-
западе участка выделяется локальное поднятие Талинское-II (1980) - размером 15
х 5 км, вытянутое вдоль границы Шеркалинской впадины (LI) и Красноленинского
свода (LIII).
В пределах Потымецкого вала прослеживается ряд локальных поднятий:
Западно-Ем-Ёговское (4394), площадью около 60 км2, вытянутое в северо-северо-
восточном направлении более чем на 10 км; Северо-Ем-Ёговское (4395) и
Ем-Ёговская крупная брахиантиклиналь (4396) сложной конфигурации, почти изометричная
(11-13 км в диаметре) в западной части и узкая, линейно вытянутая в восточном
направлении более чем на 20 км. Ем-Ёговская крупная брахиантиклиналь (4396)
включает в себя два локальных поднятия - Ем-Ёговское (533) размером около 100
кв. км и Пальяновское (535) площадью 30 км , вытянутое в широтном направлении
на 10 км.
Рисунок 4 - - Фрагмент тектонической карты центральной части
ЗападноСибирской плиты (Красноленинский НГР) (под ред. Шпильмана В.И., 2013 г.)
Обобщая результаты изучения тектонического строения исследуемой площади и
анализ предыдущих отчетов, результатов сейсморазведочных работ и последующих
структурных построений, данных бурения скважин, следует остановиться на
основных выводах, характеризующих тектоническое строение Ем-Ёговской площади:
структуры развивались унаследовано, постепенно выполаживаясь вверх по
разрезу, но отличались темпами тектонического развития. В целом структурный
план испытывал тенденцию к воздыманию западной части месторождения. На неотектоническом
этапе развития произошла общая инверсия структур Красноленинского свода;
тектонический фактор является основополагающим в процессе формирования
отложений осадочного чехла и образования в них зон, перспективных для поиска
углеводородов.
Рисунок 3 - Сводный литолого-стратиграфический разрез юрских отложений
Ем-Ёговской площади
На Ем-Ёговской площади разрез тюменской свиты на полную толщину вскрыт
большинством пробуренных скважин за исключением тех, которые закладывались
целевым назначением на викуловский горизонт. Толщина свиты изменяется от 0 м
(скв.7г) до 150-200 м (скв. 505г, 602г).
В разрезе тюменской свиты выделяется три подсвиты: нижняя (пласты ЮК7-9),
средняя (пласты ЮК5-6) и верхняя (пласты ЮК2-4).
Верхняя подсвита (пласты ЮК2-4) представлена чередованием прослоев и линз
песчаников, алевролитов и аргиллитов. В подошве пачки преобладают
песчано-алевритовые разности пород. В средней части доля глинистых пород
увеличивается, количество и толщина песчаных слоев уменьшается. Выше по разрезу
переслаивание пород становится более ритмичным и наблюдается незначительное
увеличение толщины линз и прослоев песчаников.
Песчаники и алевролиты полимиктовые мелкозернистые, плотные, серые и
светло-серые с обильными включениями углистого детрита на плоскостях
напластования.
Аргиллиты серые, прослоями до темно-серых, часто алевритистые, плотные,
слюдистые, часто известковистые.
Для пород верхней пачки характерно наличие плоскостей оползания и смятия
осадков, наблюдаются ходы илоедов. В верхней части встречаются остатки плохо
сохранившейся фауны пелеципод. Батский возраст отложений подтвержден
спорово-пыльцевыми комплексами, выделенными в разрезах скважины 10г Ем-Ёговской
площадей.
С кровлей отложений тюменской свиты связан отражающий горизонт Т.
1.4 Сведения о запасах и свойства пластовых флюидов
Согласно карте нефтегазогеологического районирования (под ред. Шпильмана
А.В., 2013 г.) исследуемая территория расположена в центральной части
Красноленинского свода и находится в пределах Красноленинского нефтегазоносного
района Красноленинской нефтегазоносной области ЗападноСибирской нефтегазоносной
провинции (рисунок 6).
Промышленная нефтегазоносность площади установлена в породах верхней
части доюрского основания (кора выветривания), отложениях шеркалинской
(ЮК10-11), тюменской (ЮК2-9), абалакской (ЮК1), тутлеймской (пласт ЮК0) и
викуловской (пласты ВК1-3) свит.
Рисунок 5 - Фрагмент тектонической карты мезозойско-кайнозойского
ортоплатформенного чехла Западно-Сибирской геосинеклизы (под ред. Нестерова
И.И., 1990 г.)
Рисунок 6 - Фрагмент карты нефтегеологического районирования территории
Ханты-Мансийского автономного округа (под ред. Шпильмана А.В., 2001 г.)
Стоит отметить, что в пределах Красноленинского свода существует
несколько нефтематеринских толщ. Так по результатам исследований, проведенных
совместно с автором диссертации, к нефтематеринским толщам, активно реализующим
свой генерационный потенциал, по содержанию и распределению УВ отнесены нижняя
часть тюменской свиты и тутлеймские аргиллиты. Миграция из низов тюменской
свиты происходит как в нижележащие доюрские отложения, так и в вышележащие
пласты, заполняя углеводородами юрский комплекс до абалакской свиты. Выше
абалакского флюидоупора в юрской зоне нефтепроявлений начинает доминировать
органика тутлеймской свиты.
По глубине положения тутлеймская свита вошла в главную зону
нефтеобразования. Разуплотненная структура послеюрских отложений способствовала
миграции нефти в ловушки викуловской свиты (пласт ВК1). Однако,
непосредственное примыкание к материнским отложениям пластов абалакской свиты и
верхней подсвиты тюменской свиты содействовало миграции нефти и в ловушки этих
пластов (Ю1, Ю2-5).
Отложения тюменской свиты (пласты ЮК2-9) выявлены на всей территории
Красноленинского месторождения и вскрыты в интервале глубин от 2210 м (Ем-
Ёговская площадь) до 2611 м (Талинская площадь).
Породы представлены песчано-алевролито-аргиллитовыми образованиями. Коллекторы
крайне не выдержаны как по разрезу, так и по простиранию, подвержены
выклиниванию, литологическому замещению непроницаемыми разностями пород
(рисунок 7).
Рисунок 7 - Геологический профиль по линии скважин 141г-418г Ем-Ёговской
площади
Песчаные пласты преимущественно малой толщины (до 4 м), реже средней
(4-10 м) и в единичных случаях более 10 м, весьма сложной конфигурации, которые
распределены по площади без видимой ЮК 3аимосвязи со структурными элементами. Размеры
песчаных тел колеблются от 0.2 х 1.6 км до 19.1 х 9.5 км. Строение песчаных тел
и связанных с ними залежей по продуктивным пластам мозаичное. Суммарные
эффективные нефтенасыщенные толщины пластов ЮК2-9 изменяются от 0.4 м до 16.4
м, составляя в среднем 5-6 м.
Дебиты нефти в отдельных скважинах достигают 57.6 м /сут (скв. 12) - 96 м
/сут (скв. 50) на 8 мм штуцере. В большинстве же скважин тюменской свиты и
PVT-свойства пластовых флюидов Ем-Ёговского ЛУ получены низкодебитные притоки
нефти (от долей м /сут до 3-5 м /сут).
Основные характеристики пластов-коллекторов тюменской свиты и свойства их
пластовых флюидов представлены в таблице 2.
Таблица 2 - Геолого-физическая характеристика продуктивных пластов
|
Параметры
|
ЮК2-5
|
ЮКб-9
|
|
Абсолютная отметка кровли,
м
|
2189-2261
|
2326-2422
|
|
Тип залежей
|
пластовый, литологически
экранированный
|
|
Тип коллектора
|
поровый
|
|
Площадь нефтеносности,10 м
|
31966-830451
|
284699-621239
|
|
Средняя общая толщина, м
|
65,9
|
39,6
|
|
Средняя эффективная
нефтенасыщенная толщина, м
|
15,3
|
9,52
|
|
Коэффициент песчанистости,
ед
|
0,25
|
0,19
|
|
Коэффициент расчлененности,
ед
|
11,0
|
5,0
|
|
Средний коэффициент
проницаемости,10- мкм
|
0,8
|
0,8
|
|
Средний коэффициент
пористости, д.ед
|
0,13-0,14
|
0,014-0,015
|
|
Средний коэффициент
начальной нефтенасыщенности, ед
|
0,52
|
0,58
|
|
Начальная пластовая
температура,0С
|
99
|
|
Начальное пластовое
давление, МПа
|
23,9
|
|
Давление насыщения нефти
газом, МПа
|
14,0
|
|
Газосодержание,м3/т
|
171
|
|
Плотность нефти в пластовых
условиях, кг/м3
|
0,691
|
|
Плотность нефти в
поверхностных условиях, кг/м3
|
832,0
|
|
Вязкость нефти в пластовых
условиях, мПа*с
|
0,54
|
|
Объемный коэффициент нефти,
ед
|
1,35
|
|
Плотность воды в пластовых
условиях, кг/м3
|
977
|
|
Вязкость воды в пластовых
условиях, мПа*с
|
0,32
|
|
Удельный коэффициент
продуктивности, м3/(сут*МПа*м)
|
0,2
|
0,9
|
|
Коэффициент вытеснения
нефти водой, д.ед.
|
0,465
|
0,516
|
|
|
|
|
Тип залежи пластовый литологически экранированный. На севере и востоке
залежь осложнена зонами выклинивания коллектора и выходом палеозойского
основания в районе скважин 1274, 7г, 586г, 1001г. Залежь чисто нефтяная.
Все залежи пластов тюменской свиты также тектонически экранированы на
северо-востоке, т.е. отделены зоной разломов от водоносных пластов Талинского
месторождения (скв.515г и 122г).
Покрышкой для залежей нефти тюменской свиты служат глинистые породы
абалакской свиты.
В общем объеме запасов нефти категории ВС1 по месторождению на долю ЮК2-5
приходится 103847 тыс.т или 24.7% начальных геологических и 24823 тыс.т или
21.1% начальных извлекаемых запасов нефти.
2. АНАЛИЗ
СОСТОЯНИЯ РАЗРАБОТКИ МЕСТОРОЖДЕНИЯ
2.1 Анализ показателей разработки Ем-Ёгского месторождения
На Ем-Ёгском месторождении, в разработке находятся объекты ВК1-3, ЮК1,
ЮК2-5, ЮК6-9. При этом основная добыча ведется из объекта ВК1-3.
По состоянию на 01.01.2010 г. в целом по месторождению добыто 20357 млн.т
нефти или 71,4% извлекаемых запасов, текущий КИН достиг 22%, накопленная добыча
жидкости составила 103,047 млн.т, накопленная закачка воды составляет 40,297
млн.м3, в том числе теплоносителя - 26,973 млн.м3..
Эксплуатационный фонд месторождения составляет 968 скважин, в том числе
713 добывающих и 255 нагнетательных. Кроме этого, предусматривались бурение 61
вспомогательной скважины; 50 резервных и 5 разведочных скважин.
Система ППД организована только на II объект. До 01.07.2003г.
осуществлялась циклическая закачка пара и воды по технологиям ИДТВ(П), ТЦВП,
утвержденным технологической схемой 1991г. С 01.07.2003г., применение этих
технологий прекращено по экономическим причинам; организуется закачка сточной и
теплой воды с температурой на забое не менее 35 ˚С с реконструкцией КНС,
ДНС и системы обвязки УПГ.
Динамика технологических показателей разработки месторождения
характеризуется ростом добычи нефти, жидкости и закачки воды. За последние пять
лет добыча нефти увеличилась на 9%, добыча жидкости и закачка воды возросла
более чем вдвое. Рост показателей по месторождению обусловлен увеличением
темпов освоения объектов тюменского и яснополянского горизонтов, а также
интенсификацией добычи жидкости на викуловском ярусе. Несмотря на сокращение
числа действующих скважин на месторождении (на 27% за пять лет), с применением
методов и технологий регулирования разработки удалось повысить
производительность действующих скважин, что и обеспечивает прирост добычи нефти
по месторождению. Текущие дебиты нефти действующего фонда в среднем
соответствуют начальному периоду освоения месторождения, текущие дебиты
жидкости (в среднем) максимальны за весь период разработки.
Показатели разработки Ем-Ёгского месторождения главным образом
определяются показателями разработки абалакского яруса. На этом объекте в 2009
г. добыто 80% всей годовой добычи нефти; 96% годовой добычи жидкости и 99,7%
годовой закачки воды месторождения. При этом на объекте задействовано 77%
действующего нефтяного фонда и 98% действующего нагнетательного фонда
месторождения. Оценивая динамику фактических показателей разработки объектов,
применительно к показателям абалакского яруса можно говорить о четвертой
(завершающей) стадии разработки объекта, характеризующейся стабилизацией добычи
нефти и высокой долей воды в продукции.
Объекты тюменского горизонта и тутлеймского яруса характеризуются второй
стадией - роста показателей разработки обусловленных освоением новых участков
залежей. Обобщая в целом показатели разработки Ем-Ёгского месторождения кратко
можно выделить следующее. Проектный фонд эксплуатационных скважин (нефтяных и
нагнетательных) пробурен на 90%. Почти в полной мере реализована проектная
система размещения скважин на основном объекте ВК1 абалакского яруса. В меньшей
степени (на 60%) от проектного фонда пробурено скважин на нижнем объекте ЮК2
тутлеймского яруса, содержащего 9% геологических и 6% извлекаемых запасов
нефти. Верхний объект ЮК6 (тюменского горизонта) практически не освоен. В его
разработке принимало участие 20% от проектного фонда, ввиду того, что
проектными решениями объект должен осваиваться выполнившими свое целевое
назначение скважинами абалакского яруса..
Характеристика основных показателей разработки Ем-Ёгского месторождения
приведены в таблице 3.
2.2 Анализ показателей работы фонда скважин
Согласно проектным решениям Технологической схемы разработки 1991 г.,
эксплуатационный фонд месторождения составляет 968 скважин, в том числе 713
добывающих и 255 нагнетательных. Кроме этого, предусматривались бурение 61
вспомогательной скважины; 50 резервных и 5 разведочных скважин.
Разбуривание месторождения было начато в 1984 г. В первые годы (1984 -
1986 гг.) месторождение эксплуатировалось 20-45 скважинами. Максимальные объемы
ввода скважин приходятся на 1985-1988 гг., когда в эксплуатацию была введена
621 новая скважина. В 2007-2014 гг. новые скважины в эксплуатацию не вводились.
С начала освоения месторождения в добыче нефти участвовали 868 скважин,
закачка воды осуществлялась в 180 скважин, из которых 179 первоначально
отрабатывались на нефть. Таким образом, в целом проектный эксплуатационный фонд
реализован почти полностью - на 90%. Под закачкой находилось 70% от проектного
числа нагнетательных скважин.
По состоянию на 01.01.2014 на месторождении пробурено 916 скважин (24
разведочных), в том числе, согласно проектному назначению, 637 добывающих, 243
нагнетательных и 36 специальных. Характеристика пробуренного фонда скважин по
объектам месторождения и в целом представлена в таблице 4.
Таблица 4 - Характеристика фонда скважин Ем-Ёгского месторождения по
состоянию на 01.01.2014г
|
Наименование
|
Характеристика фонда
скважин
|
Месторождение
|
|
|
ВК 1
|
ВК 2
|
Юк 2
|
Вк 3
|
Юк 4
|
|
Фонд добывающих скважин
|
Пробурено
|
8
|
584
|
1
|
42
|
|
|
из них разведочные
|
8
|
11
|
|
3
|
|
|
Возвращено с других
горизонтов
|
94
|
1
|
|
|
|
|
Всего
|
102
|
668
|
1
|
42
|
|
|
В том числе:
|
|
|
|
|
|
|
Действующие
|
84
|
337
|
|
26
|
|
|
из них фонтанные
|
|
|
|
|
|
|
ЭЦН
|
|
103
|
|
2
|
|
|
ШГН
|
84
|
234
|
|
24
|
|
|
Бездействующие
|
7
|
60
|
|
6
|
|
|
В консервации
|
10
|
144
|
|
8
|
|
|
Переведены под закачк\-
|
|
5
|
|
|
|
|
Контрольные, пьезометрические
|
1
|
19
|
|
|
|
|
Переведены на другие
горизонты
|
|
94
|
|
1
|
|
|
Ликвидированные
|
|
7
|
|
1
|
|
|
Пеоеведены в водозаборные
Гспециальный бонд4)
|
|
2
|
1
|
|
|
|
Фонд нагнетательных скважин
|
Пробурено
|
|
243
|
|
|
|
|
ВозЮК 2ащено с других
горизонтов
|
3
|
|
|
|
|
|
Переведены из других
категорий фонда
|
|
4
|
|
|
|
|
Всего
|
3
|
247
|
|
|
|
|
В том числе:
|
|
|
|
|
|
|
Под закачкой
|
3
|
138
|
|
|
|
|
Бездействующие
|
|
13
|
|
|
|
|
В консервации
|
|
|
|
|
|
|
В отработке на нефть
|
|
83
|
|
|
|
|
Переведены на другие
горизонты
|
|
3
|
|
|
|
|
Ликвидированные
|
|
10
|
|
|
|
|
Фонд специальных скважин
|
Пробурено
|
1
|
14
|
|
4
|
1
|
|
Переведены из других
категорий фонда.
|
|
4
|
1
|
|
|
|
ВозЮК 2ащено с других
горизонтов
|
|
|
5
|
|
|
|
Всего
|
1
|
18
|
6
|
4
|
1
|
|
В том числе:
|
|
|
|
|
|
|
Контрольные;
пьезометрические
|
|
15
|
|
|
|
|
Переведены под закачкч-
|
|
1
|
|
|
|
|
Переведены на другие
горизонты
|
1
|
|
|
4
|
|
|
Поглашаюшие
|
|
|
6
|
|
1
|
|
Водозаборные
|
|
2
|
|
|
|
|
Ликвидированные
|
|
|
|
|
|
|
Всего
|
Пробурено
|
9
|
841
|
1
|
46
|
1
|
Большая часть фонда пробурена на месторождении ВК 2, наиболее крупный и
освоенный объект месторождения. Показатели добычи и закачки этих скважин
определяют большинство интегральных и дифференциальных показателей разработки
всего месторождения.
На дату анализа добывающий фонд месторождения состоит из 712 скважин
(включая 83 проектных нагнетательных скважины, находящихся в отработке на
нефть), в том числе 447 действующих, 73 бездействующих, 162 в консервации, 20
контрольных и 10 ликвидированных.
Среди добывающих скважин пробурены 4 горизонтальных и 18 боковых стволов.
Доля действующего фонда в целом по месторождению составляет 64% от всех
добывающих скважин за исключением ликвидированных. Доля пассивного фонда
(бездействующие, законсервированные и контрольно-пьезометрические) составляет
36% Из 247 пробуренных и переведенных под закачку нагнетательных скважин на
дату анализа в нагнетательном фонде числилось 164 скважины, в том числе 141 под
закачкой, 13 бездействующих и 10 ликвидированных. Доля пассивного фонда от
числа дееспособных (оборудованных под нагнетание воды за исключением
ликвидированных) нагнетательных скважин на месторождении не превышает 8%. В
отработке на нефть находятся 83 нагнетательные скважины. Из общего числа
потенциальных нагнетательных скважин месторождения 155 (на 30 кустах)
оборудованы паропроводами. Под закачкой теплоносителя в пласт на дату анализа
находились 87 скважин или 56% от обустроенных.
Специальный фонд скважин состоит из 40 скважин, в том числе 17
контрольных, 20 поглощающих, 2 водозаборных и 1 ликвидированной.
Основными способами эксплуатации действующих нефтяных скважин на
месторождении являются установки ЭЦН и ШГН. При этом доля ЭЦН составляет 35% (151
скважин), доля ШГН 65% (349 скважины) действующих скважин. Большая часть
накопленной добычи нефти получена за счет ЭЦН (78%) и около 22% за счет ШГН. За
декабрь 2010 г. скважины, оборудованные ЭЦН, добыли 56% нефти и 65% воды от
всей добычи на месторождении.
Структура действующего добывающего фонда по способам эксплуатации
представлена в таблице 5.
Таблица 5 - Накопленная добыча нефти, жидкости и обводненность продукции
по способам добычи.
|
Интегральный показатель
|
Пласт
|
Способ эксплуатации
|
|
|
ШГН
|
ЭЦН
|
Итого
|
ВК 1
|
4779
|
14099
|
18878
|
|
ВК 2
|
506.0
|
-
|
506.0
|
|
ВК 3
|
703
|
270
|
973
|
|
Месторождение
|
5988
|
14369
|
20357
|
|
Доля накопленной добычи
нефти
|
ВК 1
|
96.59
|
3.41
|
100
|
|
ВК 2
|
100
|
-
|
100
|
|
ВК 3
|
94.76
|
5.24
|
100
|
|
Месторождение
|
96.58
|
3.42
|
100
|
|
Накопленная добыча жидкости
по способам эксплуатации, тыс.т
|
ВК 1
|
54367.6
|
9785.3
|
64152.8
|
|
ВК 2
|
472.5
|
-
|
472.5
|
|
ВК 3
|
8136
|
333117
|
1345.8
|
|
Месторождение
|
56097.1
|
9874.0
|
65971.1
|
|
Доля накопленной добычи
жидкости
|
ВК 1
|
84.75
|
15.25
|
100
|
|
ВК 2
|
100
|
-
|
100
|
|
ВК 3
|
93.40
|
6.60
|
100
|
|
Месторождение
|
85.03
|
14.97
|
100
|
|
Обводненность по способам
эксплуатации, %
|
ВК 1
|
70
|
94
|
74
|
|
ВК 2
|
45
|
-
|
45
|
|
ВК 3
|
56
|
65
|
56
|
|
Месторождение
|
70
|
94
|
73
|
За исторический период разработки месторождения максимальные значения
средних дебитов нефти и жидкости на скважину составлявшие 12,7 т/сут и 19,1
т/сут, соответственно, отмечались в первые годы, когда на месторождении
работали не более 50 скважин. В дальнейшем по мере разбуривании месторождения
значения средних дебитов нефти и жидкости уменьшались. Минимальное значение
среднего дебита нефти - 2,9 т/сут было отмечено в 2000 г. В последующие годы, с
увеличением дебитов жидкости возрастали и дебиты по нефти. В 2010 г. средние
значения этих параметров составили: 4,5 т/сут и 49,5 т/сут соответственно. По
скважинам эксплуатируемым ЭЦН средние дебиты составляли: по нефти - 6,9 т/сут;
по жидкости - 160 т/сут. По скважинам эксплуатируемым ШГН средние дебиты
составляли: по нефти - 3,6 т/сут; по жидкости - 17,5 т/сут. Основная часть
бездействующего (97%) и законсервированного (73%) нефтяного фонда выведены из
эксплуатации в период с 2006 по 2014 гг.
Анализ показателей эксплуатации неработающего фонда на дату остановки
показал что, все скважины были остановлены с дебитом нефти менее 2 т/сут и большая
часть этих скважин (84%) была обводнена свыше 90%. Таким образом, пассивный
фонд скважин месторождения характеризуется низкой продуктивностью. Ввод этих
скважин в эксплуатацию потребует применения современных технологий по
восстановлению подземного оборудования скважин и технологий по воздействию на
пласты с целью изоляции водопритоков и интенсификации отборов нефти.
2.3 Анализ выполнения проектных решений
.3.1 Сравнение проектных и фактических показателей разработки
Проектным документом на разработку месторождения является
«Технологическая схема разработки Ем-Ёгского месторождения с применением
высокоэффективных методов теплового воздействия на пласт». Проект составлен
коллективами специалистов НПО «Союзтермнефть», ВНИПИтермнефть (г. Тюмень). Документ
рассмотрен и принят ЦКР Минтопэнерго РФ в 1993 г. (протокол № 1537 от
13.05.1993 г).
Месторождение разрабатывалось в соответствии с решениями данной
Технологической схемы. Однако не все проектные решения удалось реализовать на
практике в полной мере.
Фактические объемы добычи нефти, жидкости, закачки воды и теплоносителя
отставали от намеченных Технологической схемой, начиная с 1992 г. В 1999 г.
протоколом ЦКР №2378 от 29.07.1999 г. были утверждены скорректированные уровни
добычи нефти по месторождениям ОАО «ТНК-Нягань» согласно работе «Анализ
разработки и прогноз технологических показателей разработки по месторождениям
ОАО «ТНК-Нягань» на лицензионный период». Корректировка прогнозных
технологических показателей разработки Ем-Ёгского месторождения произведена на
основе фактических показателей достигнутых по месторождению к тому моменту
времени. Проектные показатели 1999 г. отличались от показателей Технологической
схемы 1991 г. и предполагали уменьшение темпов разработки Ем-Ёгского
месторождения, обусловленное фактической ситуацией сложившейся на месторождении
в то время. В связи с этим, в настоящей работе, в качестве проектных
показателей использовались показатели, определенные в работе 1999 г. согласно
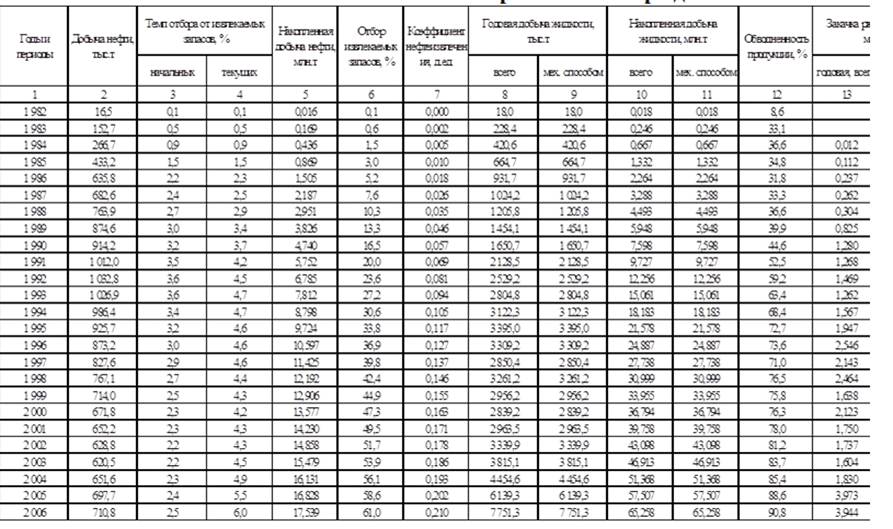
протокола ЦКР №2378 от 29.07.99 г. Результаты сопоставления проектных и
фактических показателей по месторождению в целом приведены в таблице 6. Также
динамика основных показателей разработки Ем-Ёгского месторождения представлены
на рисунках 8,9. За рассматриваемый период 2006-2014 гг. отмечается превышение
фактических показателей над проектными, за исключением количества действующих
скважин. Накопленные (с начала разработки) и текущие (годовые) показатели
добычи нефти, жидкости и закачки рабочих агентов, дебиты и приемистость
скважин, обводненность, все эти параметры по факту превысили прогнозные оценки.
Так, текущий годовой отбор жидкости в 2014 г. превысил проектные значения в три
раза, добыча нефти - в два раза. При этом фактический фонд добывающих скважин
на 16% меньше проектного. Повышенные темпы отборов обеспечены большей
производительностью скважин по факту, чем планировалось ранее. Текущие дебиты
скважин по нефти выше проекта почти в 2,5 раза, а по жидкости - в четыре раза.
Таблица 6 - . Результаты сопоставления проектных и фактических
показателей
|
№
|
Показатели
|
Ед. измер.
|
2006
|
2008
|
2010
|
2012
|
2014
|
|
|
|
Проект
|
Факт
|
Проект
|
Факт
|
Проект
|
Факт
|
Проект
|
Факт
|
Проект
|
Факт
|
|
1
|
Добыча нефти
|
тыс.т.
|
533,8
|
628,8
|
481,5
|
620,5
|
434,8
|
651,6
|
392,7
|
697,7
|
364,2
|
710,8
|
|
2
|
Ввод новых добывающих
скважин
|
шт.
|
0,0
|
0
|
0
|
0
|
0
|
0
|
0
|
0
|
2,0
|
0
|
|
3
|
в т.ч. из эксплуатационного
бурения
|
шт.
|
0,0
|
0
|
0
|
0
|
0
|
0
|
0
|
0
|
2,0
|
0
|
|
4
|
Выбытие добывающих скважин
|
шт.
|
13,0
|
55
|
11
|
16
|
11
|
62
|
11
|
32
|
15,0
|
19
|
|
5
|
Фонд добывающих скважин на
конец года
|
шт.
|
628,0
|
670
|
617
|
568
|
606
|
568
|
593
|
504
|
580
|
489
|
|
6
|
Действующий фонд добывающих
скважин на конец года
|
шт.
|
599,0
|
556
|
589
|
535
|
578
|
481
|
566
|
455
|
553
|
447
|
|
7
|
Ввод нагнетательных скважин
|
шт.
|
11,0
|
9
|
6
|
0
|
6
|
5
|
6
|
0
|
6
|
18
|
|
8
|
Выбытие нагнетательных
скважин
|
шт.
|
5,0
|
3
|
5
|
1
|
5
|
5
|
3
|
10
|
3
|
26
|
|
9
|
Фонд нагнетательных скважин
на конец года
|
шт.
|
126
|
109
|
127
|
99
|
128
|
127
|
131
|
125
|
134
|
135
|
|
10
|
Действующий фонд
нагнетательных скважин на конец года
|
шт.
|
122,0
|
83
|
123
|
66
|
124
|
78
|
127
|
83
|
130
|
109
|
|
11
|
Дебит скважин по жидкости
|
т/сут
|
11,5
|
16,0
|
11,1
|
20,6
|
11,0
|
25,7
|
11,2
|
38,7
|
11,8
|
49,5
|
|
12
|
Обводненность продукции
скважин
|
%
|
77,9
|
81,2
|
78,9
|
83,7
|
80,4
|
85,4
|
82,4
|
88,6
|
84,1
|
90,8
|
|
13
|
Дебит скважин по нефти
|
т/сут
|
2,5
|
3,0
|
2,3
|
3,4
|
2,1
|
3,8
|
2,0
|
4,4
|
1,9
|
4,5
|
|
14
|
Приемистость нагнетательных
скважин
|
м3/сут
|
54,9
|
65,4
|
50,6
|
62,6
|
49,1
|
75,0
|
48,9
|
132,6
|
53,6
|
115,5
|
|
15
|
Добыча жидкости
|
тыс.т.
|
2 413,5
|
3 339,9
|
2 283,4
|
3 815,1
|
2 220,6
|
4 454,6
|
2 230,3
|
6 139,3
|
2 291,2
|
7751,3
|
|
16
|
Добыча жидкости с начала
разработки
|
тыс.т.
|
41 584,1
|
43 097,8
|
43 867,5
|
46 913,0
|
46 088,1
|
51 367,5
|
48 318,4
|
57 506,8
|
50 609,6
|
65258,1
|
|
17
|
Добыча нефти с начала
разработки
|
тыс.т.
|
14 675,8
|
14 858,5
|
15 157,3
|
15 478,9
|
15 592,1
|
16 130,5
|
15 984,8
|
16 828,2
|
16 349,0
|
17539,0
|
|
18
|
Коэффициент нефтеотдачи
|
%
|
17,8
|
17,9
|
18,4
|
18,6
|
18,9
|
19,4
|
19,4
|
20,3
|
19,9
|
21,1
|
|
19
|
Отбор от утвержденных
извлекаемых запасов
|
%
|
51,4
|
51,8
|
53,1
|
54,0
|
54,7
|
56,0
|
58,7
|
57,3
|
61,1
|
|
20
|
Темп отбора извлекаемых
запасов
|
%
|
1,9
|
2,2
|
1,7
|
2,2
|
1,5
|
2,3
|
1,4
|
2,4
|
1,3
|
2,5
|
|
21
|
Темп отбора остаточных
извлекаемых запасов
|
%
|
3,7
|
4,3
|
3,3
|
4,5
|
3,1
|
4,9
|
2,9
|
5,6
|
2,8
|
6,0
|
|
22
|
Закачка рабочего агента
|
тыс.м3
|
2 327,2
|
1 736,7
|
2 211,2
|
1 604,1
|
2 164,3
|
1 829,9
|
2 188,8
|
3 972,9
|
2 457,1
|
3944,2
|
|
23
|
Закачка рабочего агента с
начала разработки
|
тыс.м3
|
26 584,8
|
24 946,1
|
28 796,0
|
26 550,2
|
30 960,1
|
28 380,1
|
33 148,9
|
32 353,0
|
35 606,0
|
36297,3
|
|
24
|
Закачк атеплоносителя
(проект 91г)
|
тыс.м3
|
4 600,0
|
1 205,0
|
4 600,0
|
1 350,0
|
4 600,0
|
1 006,0
|
4 600,0
|
1 850,0
|
4 600,0
|
1849,0
|
|
25
|
Закачка пеплоносителя с
начала разработки
|
тыс.м3
|
28 456,0
|
18 768,0
|
33 056,0
|
20 118,0
|
37 656,0
|
21 123,0
|
42 256,0
|
22 973,0
|
46 856,0
|
24822,0
|
|
26
|
Компенсация отбора
закачкой: текущая
|
%
|
103,7
|
56,5
|
102,3
|
46,0
|
103,1
|
45,1
|
104,1
|
71,7
|
114,0
|
56,7
|
|
27
|
с начала разработки
|
%
|
66,2
|
60,6
|
68,1
|
59,4
|
69,7
|
58,2
|
71,3
|
59,6
|
73,2
|
59,3
|
Рисунок 8 - Основные показатели разработки Ем-Ёгского месторождения
(дебит,фонд)
Рисунок
9 - Основные показатели разработки Ем-Ёгского месторождения (дебит,фонд)
Фактические накопленные показатели добычи нефти и жидкости в 2002 г.
превышали проектные на 1-3%, но уже в 2006 г. разница составляла 7% по нефти и
30% по жидкости. В целом по месторождению добыто нефти 17,5 млн.т, жидкости -
65,3 млн.т. Уровень среднегодовой обводненности, достигший в 2014 г. - 90,8%
превысил прогнозируемый - 84,1%.
Фонд действующих нагнетательных скважин в период 2011 - 2013 гг. был ниже
проектного, несмотря на тенденцию его увеличения. Так в 2011 г. фонд
нагнетательных скважин под закачкой составлял только 83 скважин( проект 116) ,
но уже в 2013 г фонд нагнетательных скважин под закачкой составлял 107 (проект
125). При этом, начиная с 2010 г., объемы годовой закачки агентов по факту
стали превышать проектные. Это было вызвано необходимостью компенсировать
возрастающие отборы жидкости. Превышение фактических показателей разработки над
проектными отмечено по всем трем объектам разработки Ем-Ёгского месторождения.
Таким образом, можно констатировать, что реальное состояние разработки
Ем-Ёгского месторождения существенно отстает от проектных показателей
Технологической схемы 1991 г., но превышает показатели принятые по протоколу
ЦКР №2378..
Следствием отставания фактических показателей от намеченных в
Технологической схеме 1991 г. стало невыполнения решений по разбуриванию
надгоризонта ЮК 6, отставание в количестве действующего фонда скважин по
основному объекту разработки месторождения (ЮК 1), не полное выполнение решений
по масштабам и качеству применения тепловых методов воздействия.
Среди причин превышения приятных в 1999 г скорректированных прогнозных
показателей является широкомасштабное применение гидродинамических методов воздействия
на пласты с целью интенсификации разработки и повышения нефтеотдачи пластов.
2.3 Анализ выработки запасов абалакского яруса (пласт ВК1)
Для характеристики выработки запасов нефти пластов по разрезу были
обработаны результаты 457 исследований потокометрии по 299-ти скважинам за
период с 2010 по 2014 гг.. Анализ проводился по пластам объекта ВК1,
продуктивным пачкам объекта, с выделением результатов самостоятельного и
совместного вскрытия пластов в добывающих и нагнетательных скважинах.
В общем, доля работающих толщин по скважинам изменяется от 3 до 100%,
составляя в среднем 36% по добывающим скважинам и 54% по нагнетательным.
Наиболее лучшими значениями коэффициента работающих толщин характеризуется
средняя часть продуктивного разреза. Кр.т. по пласту ВК1(6) составляет 36% и
57%, соответственно.
Продуктивные пласты ВК1(1-5) кровельной части объекта (верхняя пачка)
подключаются в работу в среднем на 35% в добывающих скважинах и 36% в
нагнетательных. Самые низкие значения Кр.т. отмечены в нижнем пласта ВК1(7),
относящимся к нижней продуктивной пачке: 32% и 48%, соответственно.
Дальнейшее изучение выработки запасов нефти многопластового объекта ВК1
абалакского яруса проводилось на основе данных геолого-гидродинамического
моделирования фактической истории разработки объекта. Текущее распределение
запасов нефти по ячейкам фильтрационной модели позволяет численно оценить
выработку запасов нефти по элементам геологического разреза
В подтверждении результатов промыслово-геофизических исследований скважин
и выводов специалистов ОАО «РосНИПИтермнефть» данные моделирования также
характеризуют выработку запасов нефти средней пачки более быстрыми темпами, чем
в кровельной или подошвенной части объекта. По состоянию на 1.01.2014 г. от НИЗ
отобрано: по верхней пачке - 45%; по средней - 85%; по нижней - 60% (перетоки
между пачками не учитывались). При этом, годовые темпы отбора от НИЗ по пачкам
составляют: 2,2%, 3,1% и 0,8%, соответственно.
С учетом более активной выработки запасов нефти по средней пачке объекта
ВК1, структура текущих запасов по разрезу стабилизировалась. На дату анализа
остаточные запасы нефти по рассматриваемым пачкам распределены более
равномерно, чем вначале.
В верхней пачке сосредоточено 34% остаточных запасов нефти объекта; в
средней - 39%; и в нижней - 27%. Характеризуя распределение остаточных запасов
нефти объекта ВК1 по площади залежи в целом, можно отметить, повышенную их
концентрацию в северной части залежи (см приложение 1). Именно в северной части
площади объекта, объемы накопленной закачки рабочих агентов минимальны по
сравнению с центральной частью, запас которой выработаны в большей степени.
Если говорить о текущей выработке элементов, то 31% элементов, покрывающих 31%
площади объекта и содержащих 35% начальных балансовых запасов имеют текущий КИН
ниже 0,2. В то же время около 19% элементов с площадью 17% и НБЗ - 11% имеют
текущую выработку выше утвержденной.
Таким образом, имеются значительные области, вырабатываемые без видимого
участия теплоносителя. С другой стороны выработка по разрезу идет крайне не
равномерно, немногим, превышая в среднем треть толщины. Негативным фактором,
повлиявшим на полноту выработки запасов нефти объекта, стало раннее выбытие
скважин из эксплуатации, чем это предусмотрено проектными показателями.
Тем не менее, наряду с общим отставанием, фактических темпов выработки
запасов нефти объекта ВК1 в целом, от намеченных в Технологической схеме, ряд
элементов системы разработки, где тепловые методы реализованы в полномасштабных
объемах, характеризуется повышенной выработкой запасов нефти, достигнув
значений КИН - 0,44, при утвержденном 0,392.
Таблица 7 - Основные показатели разработки и выработки запасов нефти, по
состоянию на 2014 г.
|
Объект
|
Год начала добычи
|
Год начала закачки
|
Фонд добывающих скважин
|
Фонд нагнетательных скважин
|
Среднегодовой дебит на одну
скважину
|
Приемис-тость одной
нагнетатель-ной скважины в 2009 г., м3/сут
|
|
|
|
С начала разработки
|
в т.ч. горизонтальных
|
в т.ч. ЗБС
|
в т.ч. переведен-ные с
других горизонтов
|
в т.ч. из системы ППД
|
Скважины, участвовавшие в
совместной эксплуатации
|
Среднегодовой действовавший
в 2014 г.
|
С начала разработки
|
в т.ч. из добычи
|
Среднегодовой действовавший
в 2014 г.
|
нефти, т/сут
|
жидкости, т/сут
|
|
|
ВК 1
|
1984
|
2005
|
109
|
-
|
-
|
94
|
-
|
-
|
90
|
3
|
-
|
3
|
2,9
|
5,1
|
97,1
|
|
ВК 2
|
1986
|
1983
|
816
|
3
|
15
|
6
|
-
|
-
|
375
|
180
|
179
|
135
|
4,7
|
61,5
|
115,5
|
|
ВК 3
|
1982
|
-
|
47
|
1
|
2
|
2
|
-
|
-
|
28
|
-
|
-
|
-
|
7,6
|
19,0
|
-
|
|
ЮК 3
|
-
|
-
|
-
|
-
|
-
|
-
|
-
|
-
|
-
|
-
|
-
|
-
|
-
|
-
|
-
|
|
Месторождение
|
1986
|
1983
|
868
|
4
|
17
|
-
|
-
|
-
|
489
|
180
|
179
|
135
|
4,5
|
49,5
|
115,5
|
|
Объект
|
НБЗ, тыс. т
|
Утвержденный КИН, %
|
Текущий КИН, %
|
НИЗ, тыс.т
|
Отбор НИЗ, %
|
Темп отбора от НИЗ в 20 г,
%
|
Добыча нефти
|
Добыча жидкости
|
Обводненность продукции, %
|
Закачка рабочих агентов,
тыс.м3
|
Компенсация отбора закачкой
, %
|
|
|
|
|
|
|
|
Годовая 2014 г., тыс.т
|
Накопленная, тыс.т
|
Годовая 2014 г., тыс.т
|
Накопленная, тыс.т
|
|
годовая 2014 г.
|
накопленная
|
годовая 2014 г.
|
накопленная
|
|
ВК 1
|
11 027
|
14,8
|
2,3
|
1 637
|
15,4
|
4,8
|
92
|
506
|
135
|
463
|
41,9
|
12
|
12
|
7,7
|
2,3
|
|
ВК 2
|
64 556
|
39,2
|
25,9
|
25 290
|
66,0
|
2,2
|
502
|
18 878
|
8 092
|
71 115
|
92,4
|
3 932
|
36 286
|
59,0
|
61,0
|
|
ВК 3
|
7 509
|
23,3
|
7,7
|
1 748
|
33,1
|
3,8
|
102
|
973
|
167
|
1 331
|
59,7
|
-
|
-
|
-
|
-
|
|
ЮК 3
|
174
|
16,7
|
-
|
29
|
-
|
-
|
-
|
-
|
-
|
-
|
-
|
-
|
-
|
-
|
-
|
|
Месторождение
|
83 092
|
34,5
|
21,1
|
28 690
|
61,1
|
2,5
|
711
|
17 539
|
7 751
|
65 258
|
90,8
|
3 944
|
36 297
|
58,0
|
60,3
|
2.4 Конструкция и оборудование скважин (необходимость данного
раздела согласовывает с руководителем)
Настоящую работу проведем на примере месторождения ВК 3 ОАО «ТНК Нягань».
Систематическое ведение работ по гидродинамическим и термометрическим
исследованиям паронагнетательных и добывающих скважин осуществлялась службами
ОАО «ТНК Нягань» и разовые по заданиям отраслевыми специализированными
организациями (НПО Союзтермнефть, Тюменским отделом ВНИИ и др.).
Порядок исследований и методика обработок результатов исследований
отвечал требованиям «Методического руководства по применению комплекса гидротермодинамических,
гидрохимических, физико-химических и промыслово-геофизических исследований для
контроля за разработкой нефтяных месторождений при тепловых методах воздействия
на пласт» (РД 39-0148290-201-85). Результаты гидродинамических исследований обрабатывались
машинным способом по программам, составленным НГДУ «ВК 3». Весь фонд Ем-Ёгского
месторождения механизирован. Имеется информация о 2373 исследованиях методами
КПД, КВД, КПУ и КВУ на скважинах Ем-Ёгского месторождения за период с 1986 по
2005г., из которых 1230 признаны корректными. Количество исследованных скважин
достигало свыше 200 в год (22% общего фонда скважин), в среднем составляя около
70 скважин/год. В 2004-2015г. объемы исследований скважин гидродинамическими
методами сократились до 20 скважин в год.
Результаты интерпретации данных ГДИ по абалакскому ярусу приведены в
таблице 8.
Таблица 8 - Результаты гидродинамических исследований скважин Абалакского
яруса
|
Наименование
|
количество
|
Интервал
|
Среднее
|
|
скважин
|
измерений
|
изменения
|
значение
|
|
Начальное пластовое
давление, МПа
|
|
|
|
|
12,5
|
|
Начальная пластовая
температура, оС
|
|
|
|
|
28
|
|
Добывающий фонд
|
|
Дебит жидкости, м3/сут
|
527
|
1096
|
0,1
|
143,9
|
|
Обводненность, %
|
527
|
1096
|
0,0
|
98,0
|
35,3
|
|
Продуктивность, т/(сут*МПа)
|
443
|
807
|
0,0
|
68,3
|
1,5
|
|
Гидропроводность,
м2*м*10-12/(Па*с)
|
|
|
|
|
|
|
Призабойная зона пласта
|
527
|
1096
|
0,0
|
365,2
|
9,6
|
|
Удаленная зона пласта
|
443
|
807
|
0,1
|
244,8
|
9,1
|
|
Пьезопроводность, 10-4м2/с
|
|
|
|
|
|
|
Призабойная зона пласта
|
527
|
1096
|
0,2
|
1719,6
|
27,7
|
|
Удаленная зона пласта
|
443
|
807
|
0,1
|
4037,3
|
38,3
|
|
Проницаемость, мкм2
|
|
|
|
|
|
|
Призабойная зона пласта
|
527
|
1096
|
0,000
|
0,569
|
0,092
|
|
Удаленная зона пласта
|
443
|
807
|
0,000
|
0,134
|
0,127
|
|
Приведенный радиус
скважины, м
|
443
|
807
|
0,0
|
987,3
|
12,5
|
|
Скин-эффект
|
443
|
807
|
-4,5
|
149,4
|
15,8
|
|
|
|
|
|
|
|
|
|
|
Начальное пластовое давление, приведенное к отметке ВНК составляло 12,5
МПа, начальная пластовая температура равнялась 28оС.
Как видно из приведенной таблицы, основная масса исследований по
месторождению относится именно к абалакскому ярусу. Из 817 скважин,
перебывавших в эксплуатации на абалакском ярусе, исследовано 574 скважины (70%
фонда). Большая часть исследований выполнена на добывающем фонде. Из 161
нагнетательной скважины, принимавших участие в разработке яруса, данные
исследований имеются только по 47. Всего выполнено 2107 исследований, из
которых признаны кондиционными 1352. Среднее значение проницаемости удаленной
зоны пласта по добывающим скважинам составило 127´10-3 мкм2, что существенно ниже
проницаемости, определенной на керне. Возможно это объясняется некорректностью
принятых при расчетах величин работающих толщин и вязкости водонефтяной смеси.
Полученная по результатам исследований нагнетательных скважин средняя
проницаемость составляет 101´10-3 мкм2. При более высоких, чем в добывающих скважинах,
продуктивности и гидропроводности - проницаемость оказалась немного ниже.
Гистограммы проницаемости и продуктивности по результатам ГДИ скважин
абалакского яруса приведены на рис.10. Почти 80% скважин по результатам ГДИ
имеют проницаемость до 100´10-3 мкм2.
Рисунок 10 - Гистограммы проницаемости и продуктивности по результатам
ГДИ для добывающих скважин абалакского яруса
Распределение средних проницаемостей по скважинам на площади яруса
приведено в приложении 2. Можно отметить, что более высокие значения связаны в
основном с центральной частью залежи. Но помимо того, что эти зоны имеют
наибольшие нефтенасыщенные толщины, именно в центральную часть залежи было
закачено основное количество теплоносителя.
В входе исследований и анализа были проанализированы несколько причин
снижения проницаемости ПЗП характерных для Ем-Ёгского месторождения по
выбранным скважинам.
Также основным источником информации для анализа являться
«Технологический режим работы скважин по состоянию на ноябрь месяц» а также
карта текущих подвижных запасов. В результате анализа фонда скважин были
подобраны 7 скважин. Данные по скважинам приведены в таблице 10, а их
проектирование показано на рисунке 11.
Таблица 10 - Скважины с явным снижением проницаемости
|
Месторождение
|
№ скв.
|
Динамика снижения
проницаемости (Д)
|
Динамика снижения
продуктивности (м³/атм)
|
Остаточные запасы (тыс.т)
|
|
|
2007г
|
2008г
|
2009г
|
2007г
|
2008г
|
2009г
|
|
|
ВК 3
|
231
|
0,04
|
0,035
|
0,02
|
0,40
|
0,35
|
0,20
|
19,353
|
|
ВК 3
|
1291
|
0,017
|
0,015
|
0,011
|
0,14
|
0,12
|
0,08
|
10,521
|
|
ВК 3
|
294
|
0,029
|
0,026
|
0,024
|
0,24
|
0,21
|
0,19
|
20,278
|
|
ВК 3
|
458
|
0,013
|
0,01
|
0,007
|
0,17
|
0,14
|
0,11
|
14,682
|
|
ВК 3
|
531
|
0,033
|
0,029
|
0,028
|
0,40
|
0,36
|
0,35
|
20,750
|
|
ВК 3
|
1233
|
0,017
|
0,016
|
0,013
|
0,24
|
0,23
|
0,20
|
12,445
|
|
ВК 3
|
544
|
0,02
|
0,011
|
0,007
|
0,26
|
0,17
|
0,13
|
23,320
|
Для поддержания пластового давления на Ем-Ёгском месторождении
осуществляется закачка подтоварной (пластовой) воды в нагнетательные скважины.
На дату анализа действующий фонд нагнетательных (подтоварная вода) скважин
составляет 59 скважин. Закачка пластовой воды в год составляет 2,094 мил.м³./7/.
Для условий нефтяных
пластов Ем-Ёгского месторождения в целях сохранения устойчивой приемистости
нагнетательных скважин допустимое содержание в закачиваемой воде допускает
содержание
механических примесей в (КВЧ) - не более 30-50 мг/л;
нефтепродуктов - не более 50 мг/л;
Но входе проведенного анализа проб сточной воды было выявлено, что на
Ем-Ёгском месторождении содержание механических примесей в сточной воде (КВЧ)
превышает допустимые значения (см таблицу 12).
Таблица 11 - Среднее значения плотности сточной воды.
Среднее содержание нефтепродуктов и КВЧ в сточной воде с КНС за 2014г.
|
Месяц 2014 года
|
Плотность, кг/м3
|
Нефте-продукты, мг/дм3
|
КВЧ , мг/дм3
|
|
Январь
|
1,092
|
10,6
|
32,0
|
|
Февраль
|
1,116
|
11,0
|
35,4
|
|
Март
|
1,111
|
10,7
|
90,4
|
|
Апрель
|
1,105
|
9,6
|
65,3
|
|
Май
|
1,099
|
9,3
|
88,0
|
|
Июнь
|
1,091
|
9,4
|
130,3
|
|
Июль
|
1,097
|
9,3
|
316,3
|
|
Август
|
1,082
|
10,0
|
76,3
|
|
Сентябрь
|
1,066
|
8,4
|
63,0
|
|
В среднем за 9 месяцев
|
1,095
|
9,8
|
99,7
|
Основной причиной превышение КВЧ в подтоварной закачиваемой воде
является, то что технология подготовки нефти и подтоварной воды на УПН «ВК 3»
Ем-Ёгского месторождение не позволяет качественно и целенаправленно
подготавливать подтоварную воду. На сегодняшний день в технологии подготовки
нефти не предусмотрена работа гидрофобных фильтров, подготовка осуществляется
только в результате отстоя.
Помимо этого можно добавить, что существующая система очистки подтоварной
воды на КНС-10 (кустовая насосная станция) также не позволяет снизить
содержание механических примесей в закачиваемой воде.
Можно добавить, что начиная с 2013 года на Ем-Ёгском месторождении были
осуществлены мероприятия по интенсификации добычи нефти а конкретно переводы
скважин с одного способа добычи на другой (ШГН на ЭЦН). Всего было переведено
151 скважины. Все это привело к дополнительной добычи жидкости и как следствие
увеличение объемов подготовки подтоварной воды на УПН «ВК 3». Из всего выше
сказанного следует, что в отсутствии гидрофобных фильтров в сырьевых
резервуаров и системы очистки на КНС жидкости установка подготовки нефти не
справляется с отстоем большого объема добываемой жидкости и в следствии этого в
нагнетательные скважины закачивается подтоварная вода с большим содержанием
механических примесей. Закачка подтоварной воды для поддержания пластового
давления осуществляется нагнетательными скважинами.
Каждая пачка характеризуется отличными от других фильтрационно-емкостными
свойствами коллекторов и отделена от выше и нижележащих непроницаемыми
глинистыми интервалами переменной толщины. На отдельных локальных участках эти
глинистые прослои практически исчезают (не выделяются по ГИС), образуя окна
слияния и тем самым обеспечивая общую гидродинамическую связанность подземного
резервуара пласта ВК 3. Опробование пласта ВК 3 производилось в открытом стволе
и в обсадной колонне. По основному фонду скважин не зависимо от даты их
бурения, установлено единое положение ВНК для пластов абалакского яруса в
интервале -996 ÷ (-1003м). Такая дифференциация рельефа
поверхности ВНК свидетельствует о частичной гидродинамической изоляции
коллекторов, но не противоречит тому, что пласт содержит единую залежь нефти..
Из выше сказанного можно сделать вывод, что между нагнетательными и
добывающими скважинами имеется гидродинамическая связь в следствии этого
происходит перенос механических примесей и нефтепродуктов из закачиваемой воды
нагнетательных скважин в добывающие. Подтверждению этому является, то что
добывающие скважины обводняются закачиваемой подтоварной водой.
К такому же выводу пришли специалисты ЗАО «ТННЦ», представив данные о
распределении плотности попутно добываемой воды в продукции скважин. При этом
приняты следующие граничные значения показателей плотности: пластовая вода
1,14-1,18 г/см3; вода закачиваемая (подтоварная) - 1,00-1,09 г/см3. Среди обводненных
скважин: 31% добывают преимущественно закачиваемую воду; 14% - обводнены
смешанным типом воды и большая часть скважин - 55% добывают пластовую воду.
Перемещение нагнетаемой воды на дальние расстояния по площади и разрезу пластов
абалакского яруса подтверждено гидродинамическими, трассерными исследованиями.
В результате выше сказанного, можно сделать вывод ,что в результате
загрязнения призабойной зоны нагнетательных скважин ,снижается объем
закачиваемой воды, в следствии этого снижается пластовое давление в добывающих
скважинах , которое негативно сказывается на продуктивность скважин
Одним из источников снижения гидродинамической связи пласта со скважиной
в период эксплуатации скважины является загрязнение призабойной зоны пласта во
время глушения, промывок, проведения технологий обработок ОПЗ скважин.
Способствующим процессу загрязнения пласта факторами являются: снижение
пластового давления, обеспечивающее условие более глубокого проникновения в
пласт механических примесей с жидкостью глушения; захват шламовых накоплений и
продуктов коррозии с забоя скважины; частичная декольматация прифильтровой
части пласта потоком закачиваемой жидкости и перенос кольматанта в глубь
пласта; Кроме того, нарушение послойной структуры пластовых флюидов при
глушении скважины влияет на изменение фильтрационной характеристики пород
призабойной зоны.
В среднем на Ем-Ёгском месторождении глушению в процессе подземного
ремонта подвергаются 288 скважин в год. Помимо глушения 180 скважин в год
подвергаются различным промывкам химическими реагентами. Также хочу добавить,
что на Ем-Ёгском месторождении методами ОПЗ подвергаются 15 скважин в год. В
технологии выше перечисленных операций на Ем-Ёгском месторождении применяется
жидкость используемая для закачки в нагнетательные скважины с целью поддержания
пластового давления.
В связи также как и при закачки подтоварной воды в призабойную зону
добывающих скважин при выполнений этих операций (глушение ,промывки химическими
реагентами, технологии ОПЗ) заноситься большое содержание механических
примесей, что в конечном счете приводит к снижению проницаемости ПЗП
3.
СПЕЦИАЛЬНАЯ ЧАСТЬ
3.1 Выбор и обоснование применения методов для увеличения
проницаемости призабойной зоны скважин Ем-Ёгского месторождения
В результате выявленных основных причин снижения проницаемости
призабойной зоны скважин Ем-Ёгского месторождения, в этой главе даны
обоснования предлагаемых решений по каждой причине.
этап. Предлагается на УПН «ВК 3» в вести в технологию подготовки нефти и
подтоварной воды гидрофобные фильтры
этап. Дополнительно внедрить на КНС-10 (кустовая насосная станция)
установку гидроциклонной очистки воды для систем ППД.
Обоснование решения заключается в том, что при соблюдении технологии
подготовки нефти с использованием гидрофобных фильтров приведет снижению КВЧ а
дополнительная установка гидроциклонной очистки воды снизит содержание до
предельно допустимого значения: механических примесей в закачиваемой воде - не
более 30-50 мг/л;
Применения этих решений позволит стабилизировать снижения проницаемости
ПЗП скважин Ем-Ёгского месторождения
этап. Провести метод динамического нефтекислотного разрыва карбонатных
пород (Гидровиброфрак).
Обоснование метода заключается в том, что он конкретно применяется для
карбонатных пород залегающие на глубинах до 1200-1500 м, кем являются и сложены
пласты Ем-Ёгского месторождения (пласт ВК 3). Карбонатные пласты (известняки)
характеризуются преимущественным горизонтальным напластованием и соответственно
гораздо меньшей прочностью на разрыв по плоскости, чем по вертикали.
Это подтверждает и расслаивание нефтенасыщенных известняков при отборе
керна. При таких глубинах горное давление составляет Р = 22- 23 МПа, поэтому
при его превышении наиболее вероятно образование трещин вдоль напластования.
Анализ результатов исследований (см.таблицу 12) процесса проведения технологии
Гидровиброфрак показывает, что создаются трещины глубиной несколько десятков
метров по радиусу, скин-фактор, как правило, становится отрицательным и кратно
возрастает коэффициент продуктивности скважин.
Таблица 12 - Анализ результатов исследований технологии Гидровиброфрак
|
параметры
|
До воздействия (ухудшенная
зона)
|
После воздействия (зона
воздействия)
|
|
параметры призабойной зоны
|
|
радиус зоны воздействия, м
|
0,5-10 и более
|
20-50
|
|
проницаемость, мкм²
|
0,01-0,20
|
0,1-1,0
|
|
скин-эффект
|
(+)5- (-1)
|
-2-(-5)
|
|
показатели работы скважин
|
|
дебит нефти, т/сут
|
0-8
|
3-30
|
|
дебит жидкости, м³/сут
|
0-15
|
3-50
|
скин-фактор (S):
S=0;
однородный пласт
S>0;
ухудшенное состояние проницаемости ПЗП (засорение, кальмотаж, различные
отложения)
S<0;
улучшенная ПЗП (возможно за счет проведения обработок ПЗП
( СКО, наличие трещин)
Также в ходе выполнения этой работы был проведен анализ эффективности
методов ОПЗ на Ем-Ёгском месторождении. По данным анализа видно, что
мероприятия, связанные с обработками призабойных зон (ОПЗ) пластов добывающих
скважин различными химическими реагентами имеет недостаточно высокий
коэффициентом успешности. Из 771 операций, успешными модно признать только 455.
Средние приросты дебитов нефти составили, 1,5 т/сут. Анализ проведения метода
Гидровиброфрак на месторождении Ю1 показал хорошую эффективность метода.
Средние приросты дебитов нефти составили, 3,3 т/сут.. Все это говорит о том ,
что метод динамического нефтекислотного разрыва карбонатных пород можно применить
на месторождении ВК 3 с последующим эффектом выраженным в увеличение
проницаемости ПЗП и как следствие дополнительной добычи нефти.
По причине №2
Предлагается возобновить метод импульсно -дозированного теплового
воздействия с паузой (ИДТВ (П)).
В 1991 г. специалистами ВНИПИтермнефть была создана Технологическая схема
Ем-Ёгского месторождения с применением высокоэффективных методов воздействия на
пласт. Протоколом ЦКР Минтопэнерго РФ № 1537 от 13.05.1993 г. проектные решения
утверждены в авторском варианте.
По объекту ВК 3 предусматривалось применение технологии ИДТВ(П) с
последующим переходом на технологию ТЦВП. На практике не все проектные решения
удалось выполнить
В большей степени применялась технология импульсно-дозированного
теплового воздействия ИДТВ (П), охватившая почти всю центральную часть залежи и
небольшой участок на севере залежи. Технологии ТЦВП не получила дальнейшего
промышленного применения на Ем-Ёгском месторождении. Очевидно, что одним их
основных препятствий дальнейшего развития технологии стало отсутствие надежного
теплоизолирующего оборудования в скважинах абалакского яруса и неполных охват
нагнетательных скважин внешним обустройством по подаче к ним теплоносителя.
Отметим, что закачка пара (Т - 345 0С) осуществлялась в опытном порядке в
малых объемах и не получила промышленного внедрения. В основном в качестве
теплоносителя использовалась подогретая пресная вода с Камского водозабора.
Диапазон температуры подогрева воды варьировали от 50 до 260 0С на устье. В
2005 г. средняя температура подачи теплоносителя на устье ПНС составляла
немногим более 120 0С. Применение тепловых методов позволило повысить пластовую
температуру объекта. Текущая средняя температура объекта ВК 3 на 1.01.2008 г
оценивается значением 34,7 0С.
Объект планомерно прогревался с внедрением тепловых методов разработки,
достигнув максимальных темпов прироста Тпл в период середины 90-х годов. По
результатам адаптации расчетных модельных данных на фактические данные
разработки абалакского яруса, степень прогрева запасов объекта (по состоянию на
1.01.2006 г.) можно охарактеризовать следующими значениями:
доля объема с температурой выше начальной (28 0С) 44%;
доля объема с температурой выше 50 0С 13%;
доля объема с температурой выше 100 0С 1,5%.
Прогрев пластовой системы позволяет снижать значение межвязкостного
соотношения нефти и воды в потоке, способствуя повышению дебитов скважин и
увеличению нефтеотдачи. Результатами исследований пластовой нефти Ем-Ёгского
месторождения установлено, что с повышением температуры свыше 50 0С, вязкость
пластовой нефти сокращается более чем в 3 раза. В целом, от намеченных в
Технологической схеме, ряд элементов системы разработки, где тепловые методы
реализованы в полномасштабных объемах, характеризуется повышенной выработкой
запасов нефти, достигнув значений КИН - 0,44, при утвержденном 0,392.
В связи с этим, для проведения технологических расчетов потенциальных
перспектив применения тепловых методов на месторождении, было принято решение о
использовании в качестве метода воздействия для улучшения состояния ПЗП
технологию подачи теплоносителя в пласт - технологии ИДТВ и ИДТВ(П). Отметим,
что утвержденным ЦКР, вариантом разработки абалакского яруса является вариант
3а Технологической схемы 1991 г., предполагающий импульсно-дозированное тепловое
воздействие.
3.2 Проектирование предлагаемых методов воздействия для увеличения
проницаемости призабойных зон скважин Ем-Ёгского месторождения
В ходе выполнения данной работы были выявлены 2 основные причины снижения
проницаемости призабойной зоны скважин Ем-Ёгского месторождения. Для каждой
причины разработаны проектировочные решения.
По причине №1
этап. Для снижения содержания механических примесей и нефтепродуктов в
закачиваемой воде применить технологию подготовки нефти с использованием
гидрофобных фильтров и установку гидроциклонной очистки воды для систем ППД. На
данный момент при подготовки нефти и подтоварной воды на УПН «ВК 3»
используется метод отстоя и дегазации без прохождения сточной воды через
гидрофобные фильтры. Гидрофобный фильтр представляет собой слой нефти
находящийся в резервуарах и аппаратах УПН. Сточная вода водиться через лучевой
перфорированный распределитель в слой нефти (гидрофобный фильтр) и, опускаясь
вниз освобождается от капелек нефти и механический примесей. Вода прошедшая
через слой нефти и освободившееся от основной части капельной нефти,
подвергается еще и отстою в слое воды.
этап. Установка гидроциклонной очистки воды для систем ППД предназначена
для очистки пластовой воды, не содержащей нефти от механических примесей и
подачи ее под избыточным давлением на прием насосов кустовых насосных станций
(КНС) системы поддержания пластового давления (ППД). Установка монтируется на
площадке КНС в соответствии с проектом привязки, выполненным компетентной
организацией. Устройство БТ представляет собой мобильное обогреваемое
помещение, в качестве ограждающих конструкций которого использован утепленный
бокс с трехслойными панелями. В БТ установлено следующее оборудование: два
поднапорных насосных агрегата, два мультициклона, два фильтра с фильтрующими
элементами конструкции Крапухина (ФЭК); два силовых электрических шкафа; один
шкаф управления; трубопроводная обвязка с предохранительной и
запорно-регулирующей арматурой; средства КИП и А.
Таблица 13 - Техническая характеристика установки очистки воды
|
Параметр, размер
|
Значение
|
|
Рабочая среда
|
Пластовая вода
|
|
Температура воды,ОС, в
пределах
|
40:50
|
|
Содержание твердо
взвешенных веществ на входе в установку , мг/л, не более
|
300
|
|
Содержание взвешенных
веществ на выходе , мг/л, не более
|
15
|
|
Количество гидроциклонов в
одном корпусе
|
8
|
|
Производительность одного
мультициклона, м3/сут ,номинальная
|
2250
|
|
Тип подпорного насоса
|
1Д200-90а
|
|
Мощность эл.двигателя, кВт
|
75
|
|
Подача номинальная, м3/час
|
180
|
|
Напор,м
|
74
|
|
Количество насосов, из них
рабочих
|
2(1)
|
|
Габаритные размеры
установки (длина x ширина х высота),мм
|
12220х3185х4500
|
|
Масса установки, кг, не
более
|
15000
|
этап. Метод динамического нефтекислотного разрыва карбонатных пород.
Сущность технологии заключается в комплексном воздействии на пласт, которое
включает упругие колебания, гидравлическое воздействие и использование
нефтекислотных эмульсий.
Технологический процесс включает 3 этапа. На 1-м этапе осуществляется
предварительное виброволновое воздействие на выбранные интервалы пласта для его
декольматации, разупрочнения, раскрытия существующих и создания сети новых
микротрещин, на 2-м этапе - проведение разрыва пласта рабочей жидкостью через
генератор колебаний, на 3-ем - продавка нефтекислотной эмульсии глубоко в пласт
в поле упругих колебаний. В результате создается сеть глубоких, несмыкающихся
трещин в пласте, что позволяет отказаться от закачки проппанта. Кроме того, при
воздействии на карбонатные пласты, залегающие на глубинах до 1200-1500 м,
возникают горизонтальные трещины при использовании агрегатов малой мощности,
например типа ЦА-320М, СИН-35.
С целью получить наибольший эффект был проведен анализ распределение
остаточных извлекаемых запасов нефти по скважинам. Была рассмотрена карта
текущих подвижных запасов абалакского яруса пласта ВК 3(см. приложение 2).
Также основным источником информации для выбора кандидатов (скважин) для
ОПЗ будет являться «Технологический режим работы скважин по состоянию на
октябрь месяц», а также карта текущих подвижных запасов.
В результате анализа фонда скважин были подобраны 15 скважин. С целью
минимализации рисков по проекту (неполучение запланированного эффекта) 8
скважин были исключены из списка по причине высокой кратности обработок. Данные
по оставшихся 7 скважинам приведены в таблице 14, а их проектирование показано
на рисунке 7.
Таблица 14 - Скважины кандидаты для проведения динамического
нефтекислотного разрыва пласта
|
Месторождение
|
№ скв.
|
Динамика снижения
проницаемости (Д)
|
Динамика снижения
продуктивности (м³/атм)
|
Остаточные запасы (тыс.т)
|
|
|
2010г
|
2012г
|
2014г
|
2010г
|
2012г
|
2014г
|
|
|
ВК 3
|
231
|
0,04
|
0,035
|
0,02
|
0,40
|
0,35
|
0,20
|
19,353
|
|
ВК 3
|
1291
|
0,017
|
0,015
|
0,011
|
0,14
|
0,12
|
0,08
|
10,521
|
|
ВК 3
|
294
|
0,029
|
0,026
|
0,024
|
0,24
|
0,21
|
0,19
|
20,278
|
|
ВК 3
|
458
|
0,013
|
0,01
|
0,007
|
0,17
|
0,14
|
0,11
|
14,682
|
|
ВК 3
|
531
|
0,033
|
0,029
|
0,028
|
0,40
|
0,36
|
0,35
|
20,750
|
1233
|
0,017
|
0,016
|
0,013
|
0,24
|
0,23
|
0,20
|
12,445
|
|
ВК 3
|
544
|
0,02
|
0,011
|
0,007
|
0,26
|
0,17
|
0,13
|
23,320
|
по причине №2
Анализ распределения остаточных подвижных запасов нефти, полученных с
использованием геолого-гидродинамического моделирования/14/, позволил выделить
в северной части площади участок с наибольшей концентрацией запасов (см.
приложение 1). По результатам исследований ГДИ низкие значения проницаемостей
связанны в основном в северной части месторождения. (см.приложение 2) Можно
отметить, что более высокие значения связаны в основном с центральной частью
залежи. Именно в эти зоны (центральную часть) было закачено основное количество
теплоносителя. В связи с эти область внедрения метода ИДТВ (П) будет
распространяться в северной части месторождения (см рисунок 7).Закачка
теплоносителя по технологии ИДТВ(П) будет проводиться в 34 скважины.
Рисунок 12 - Схема проектирования скважин для проведения метода
динамического нефтекислотного разрыва и метода ИДТВ (П)
3.3 Расчет технологических показателей
Также для расчета технологических показателей разделим предлагаемые
решения на 2 части согласно выявленных причин.
Добыча нефти. Добыча жидкости
) Расчет технологических показателей при применении метода КГРП
Методика прогноза технологической эффективности
. Расчет максимально возможного значения коэффициента продуктивности (для
«незагрязненного» пласта):
(1)
где
Kпл - проницаемость «незагрязненного» пласта, h -
толщина пласта, mпл -вязкость пластовой
продукции, Rпл - радиус контура питания, Rзаб - радиус
скважины.
.
Коэффициент продуктивности скважины до обработки:
(2)
где
Kск - проницаемость поврежденной скин-зоны, Rск -
радиус скин-зоны.
.
Максимально возможная степень восстановления продуктивности скважины:
(3)
.
Целевое значение уровня восстановления продуктивности (расчет требуемого
восстановления продуктивности по экономической целесообразности или экспертно):
(4)
где
nэкс - коэффициент снижения прироста добычи,
рассчитываемый по экономическим показателям или экспертно.
.
Целевое значение коэффициента продуктивности ПЗП (после обработки):
(5)
.
Дебит скважины до обработки:
(6)
Рпл
- пластовое давление на последнюю дату, МПа, Рзаб - забойное давление на
последнюю дату, МПа.
.
Дебит скважины после обработки
(7)
.
Дополнительная добыча за N месяцев длительности эффекта:
(8)
Таблица 15 - Скважинные данные для расчета технологических показателей
|
№ скв.
|
Рп
|
Нд,
|
Рзаб
|
Дебит нефти
|
дебит жидкости
|
Обвод
|
Нефт. толщина
|
|
кол.
|
атм
|
м
|
атм
|
т/сут
|
м3/сут
|
%
|
м
|
|
231
|
63,7
|
975
|
10
|
1
|
10
|
85
|
6,4
|
|
1291
|
52,8
|
1184
|
22
|
1
|
2
|
60
|
6
|
|
294
|
75,2
|
1055
|
12
|
1
|
11,1
|
88,3
|
4,8
|
|
458
|
61,8
|
1107
|
6
|
1
|
9,1
|
84,6
|
3
|
|
531
|
37,2
|
080
|
11
|
2
|
10
|
78
|
32,8
|
|
1233
|
98,9
|
1072
|
16
|
9
|
25,2
|
61,5
|
25
|
|
544
|
109,1
|
520
|
66
|
0,9
|
15,2
|
98,7
|
31
|
Результаты расчетов (см. таблицу .15)
Таблица 15 - Показатели эффективности предлагаемого метода воздействия на
ПЗП
|
Скважины
|
Параметры до ОПЗ
|
Параметры после ОПЗ
|
Прирост (т/сут)
|
Дополнительная добыча
(тыс.т)
|
Отработанное время (сут)
|
Удельной эффект по нефти
(т/сут)
|
|
нефть (т)
|
жидкость (м³)
|
нефть (т)
|
жидкость (м³)
|
нефть (т)
|
жидкость (м³)
|
нефть (т)
|
жидкость (м³)
|
|
|
|
231
|
1
|
10
|
5
|
19,8
|
4,0
|
9,8
|
1161
|
3129
|
345
|
3,4
|
|
291
|
1
|
2
|
4,9
|
10,5
|
3,9
|
8,5
|
1132
|
2716
|
345
|
3,3
|
|
294
|
1
|
11,1
|
4,8
|
15,7
|
3,8
|
4,6
|
1104
|
1481
|
345
|
3,2
|
|
458
|
1
|
9,1
|
4,7
|
17,5
|
3,7
|
8,4
|
1073
|
2703
|
345
|
3,1
|
|
531
|
2
|
10
|
5,6
|
17,2
|
3,6
|
7,2
|
1046
|
2304
|
345
|
3,0
|
|
1233
|
9
|
25,2
|
12,5
|
29,7
|
3,5
|
4,5
|
1016
|
1442
|
345
|
2,9
|
|
544
|
0,9
|
15,2
|
4,4
|
46,9
|
3,5
|
31,7
|
1015
|
10148
|
345
|
2,9
|
|
в целом
|
|
|
|
|
26,0
|
74,7
|
7547
|
23923
|
2415
|
3,1
|
) Расчет технологических показателей при применении ИДТВ (П)
Основным инструментом расчета технологических показателей разработки
выделенных объектов являются физически содержательные, трехмерные цифровые
геолого-гидродинамические модели пластов, построенные с учетом
геолого-физических, физико-химических, термобарических и промысловых данных о
пластах, насыщающих их флюидов, исследованиях и эксплуатации скважин на
месторождении. Создание моделей проводилось на тестированных программных
продуктах (Petrel-2005; Eclipse100 и Eclipse300
с дополнительными опциями «nine-point» и Thermal)/15/, в соответствии с требованиями регламентирующих
документов: РД 153-39-007-96/16/ и РД 153-39.0-47-00./17/.
В предшествующей технологии ИДТВ проявляется механизм
вытеснения ,связанный с многократным повторением термоциклики. В процессе ИДТВ
требуется осуществлять непрерывный учет изменений граничных условий.
Механизм увеличения нефтеотдачи при ИДТВ проявляется в
неоднородной трещиновато - пористой среде и заключается в интенсификации
массообмена между крупными проводящими каналами (трещинами) и слабопроницаемыми
матрицами (блоками) под воздействием температурных колебаний. Для реализации в
модели ИДТВ данного механизма увеличения нефтеотдачи сделаны следующие
предположения:
1.Каждый проницаемый пропласток рассматривается как среда
с двойной пористостью.
Общая
пористость принимается как сумма пористостей, приходящихся на трещины
и блоки
.
1.Массообмен между трещинами и блоками происходит за счет
термокапиллярных эффектов.
Для расчета процесса вытеснения нефти используются
формулы

(9)
(10)
Уравнения фильтрации для воды и нефти (9,10 )
изменяются следующим образом.
Левые части уравнений приобретают вид:
(11)
(12)
и
- выражают массообмен между трещинами и блоками в
пропластке.
В
правой части (11) и (12) вводится множитель
показывающий,
что фильтрация вдоль простирания пласта происходит по системе трещин. Объем
жидкости, поступающий в высокопроницаемые каналы из окружающих низкопроницаемых
включений за счет сил термического расширения, составляет
(13)
где
- поровый объем блока;
-
пористость;
-
водонасыщенность слабопроницаемых включений для пропластка
При
этом, если выражение в больших круглых скобках больше нуля, происходит приток в
высокопроницаемые каналы, если меньше нуля - отток из высокопроницаемых каналов
в низкопроницаемые части.
Массообмен
водой выражается в виде
(14)
Массообмен
нефтью
(15)
где
F(S) - функция Леверетта, выражающая долю воды в
суммарном потоке;
- средняя температура на отрезке времени
. Таким образом, основные особенности расчета процесса
ИДТВ связаны с определением на каждом временном шаге массообмена и
насыщенностей трещин и блоков жидкостями. Кроме того, в процессе ИДТВ
необходимо организовать задание граничных условий в соответствии с режимом
вытеснения. Из предварительного анализа определяются величины импульсов тепла
и холода
, а также
количество циклов ИДТВ - п.
В
каждом цикле ИДТВ на этапе нагнетания теплоносителя на входе в пласт задается
условие
, а на этапе нагнетания холодной воды
После завершения циклов ИДТВ процесс довытеснения
осуществляется холодной водой. На завершающей стадии задаются условия
,
В
технологии ИДТВ (П) в отличие от технологии ИДТВ возникает дополнительный
механизм вытеснения, связанный с остановками процесса нагнетания в циклическом
процессе. При математическом моделировании процесса ИДТВ (П) следует учитывать
дополнительные эффекты вытеснения, связанные с проявлением перепадов давления в
пласте.
Уравнения
фильтрации для воды и нефти (19, 20) изменяются и их левые части приобретают
вид:
(16)
(17)
где
- величины массообмена по воде и нефти между
высокопроницаемыми каналами и блоками за счет эффектов перепада давления.
Сложность структуры порового пространства не дает возможности непосредственного
определения указанных величин. Их можно представить в следующем виде:
(18)
(19)
Из
(19 ) следует, что указанные массы воды и нефти пропорциональны поровому объему
блоков, проницаемости, коэффициенту подвижности, времени восстановления
давления
и среднему значению перепада давления
. Коэффициенты пропорциональности
определяются эмпирически в лабораторных условиях
физического моделирования. В модели расчета процесса ИДТВ (П) предусматривается
также реализация граничного условия
в
периоды остановок процесса нагнетания (пауз)./10/.
Результаты
расчетов технологических показателей приведены в таблице 20
Коэффициент
нефтеотдачи
1.) В связи с тем, что дополнительная добыча составит 7547 тыс.т., то
текущий КИН увеличиться на 0,01%.
.) Гидродинамические расчеты прогнозных показателей разработки и
конечного нефтеизвлечения производились на весь объем продуктивных объектов
месторождения Определение средних значений коэффициента охвата залежей
вытеснением нефти проводилось обратным счетом, от полученных на
гидродинамических моделях значений КИН и, определенных расчетным путем, средних
значений Квыт
Таблица 16 - Расчет коэффициента КИН
|
Категория запасов нефти
|
КИН утвержденный в ГКЗ РФ,
д.ед.
|
Расчетные коэффициенты,
д.ед.
|
|
|
вытеснения нефти
|
охвата вытеснением
|
КИН
|
|
|
|
|
|
|
А
|
0,392
|
0,661
|
0,696
|
0,460
|
.
Таблице 17 - Расчет технологических показателей (ИДТВ
(П) + закачка подтоварной воды
|
Годы и периоды
|
Добыча нефти, тыс.т
|
Накопл. добыча нефти, млн.т
|
Добыча жидкости, тыс.т
|
Накопл. добыча жидкости,
млн.т
|
Обводненность , %
|
Закачка рабочих агентов,
млн.м3
|
|
|
|
|
|
|
годовая
|
накопл.
|
тепл. год
|
тепл. накопл
|
|
1
|
2
|
5
|
8
|
10
|
12
|
13
|
14
|
15
|
16
|
|
2016
|
468,1
|
4 951,125
|
8 717,7
|
82 206,566
|
94,6
|
7,576
|
69,419
|
3,462
|
29,548
|
|
2017
|
436,9
|
5 388,058
|
8 611,2
|
90 817,792
|
94,9
|
7,477
|
76,896
|
3,431
|
32,980
|
|
2018
|
408,6
|
5 796,676
|
8 530,6
|
99 348,434
|
95,2
|
7,401
|
84,297
|
3,411
|
36,390
|
|
2019
|
385,0
|
6 181,671
|
8 481,9
|
107 830,374
|
95,5
|
7,353
|
91,651
|
3,403
|
39,793
|
|
2020
|
365,3
|
6 546,971
|
8 417,1
|
116 247,424
|
95,7
|
7,293
|
98,944
|
3,389
|
43,183
|
|
2021
|
345,3
|
6 892,315
|
8 341,6
|
124 589,062
|
95,9
|
7,223
|
106,167
|
46,554
|
|
2022
|
326,8
|
7 219,115
|
8 231,7
|
132 820,800
|
96,0
|
7,125
|
113,292
|
3,340
|
49,894
|
|
2023
|
310,7
|
7 529,842
|
8 134,2
|
140 955,021
|
96,2
|
7,037
|
120,329
|
3,313
|
53,206
|
|
2024
|
294,8
|
7 824,642
|
8 010,9
|
148 965,891
|
96,3
|
6,928
|
127,257
|
3,275
|
56,482
|
3.4 Сравнение эффективности технологических показателей
проектируемых методов увеличение проницаемости ПЗП с другими методами
.) Для сравнения эффективности метода динамического нефтекислотного
разрыва пласта был выбран метод ПСКО, которым в 2015 году были обработаны 16
призабойных зон скважин Ем-Ёгского месторождения.(см.таблицу 18).
Таблица 18 - Сравнение эффективности методов Гидровиброфрак и метода ПСКО
на Ем-Ёгском месторождении
|
Показатели
|
Динамический нефтекислотный
разрыв
|
ПСКО
|
|
Количество
проанализированных скважино-операций
|
7
|
16
|
|
Дополнительная добыча
нефти, тыс.т
|
7,5
|
10,1
|
|
- на одну
скважино-операцию, тыс.т (уд показатель)
|
1,07
|
0,634
|
|
Средний дебит до
воздействия, т/сут
|
|
|
|
- нефти
|
2,2
|
2,0
|
|
- жидкости
|
11,8
|
4,1
|
|
Средний дебит после
воздействия, т/сут
|
|
|
|
- нефти
|
5,9
|
3,5
|
|
- жидкости
|
22,4
|
13,1
|
|
Средний прирост дебита нефти,
т/сут
|
3,7
|
1,5
|
Таким образом из таблицы видно, что наибольшая эффективность (уд.
показатель на одну скважину операцию) заметно выше при обработки ПЗП методом
динамического нефтекислотного разрыва который составляет 1,07
тыс.т/скважино-операцию.
) Для сравнения эффективности метода ИДТВ (П) был взят метод циклической
закачки подтоварной воды со вместо с закачкой теплоносителя 120˚С при
существующей системы разработки Ем-Ёгского месторождения.
Таблица 19 - Сравнение эффективности метода ИДТВ (П) на Ем-Ёгском
месторождении.
|
Параметры
|
закачка теплоносителя 100˚С
+ закачка сточной воды
|
ИДТВ(П) (260˚С) +
закачка сточной воды
|
|
Технологические показатели
|
|
Проектный срок разработки,
лет
|
25
|
25
|
|
Проектные уровни:
|
|
|
|
по нефти, млн.т/год
|
0,576
|
0,588
|
|
по жидкости, млн.т/год
|
8,599
|
9,425
|
|
по закачке воды, млн.м3/год
|
4,797
|
8,077
|
|
по закачке теплоносителя,
млн.м3/год
|
2,302
|
3,595
|
|
Темп отобра от НИЗ при
проектном уровне добычи нефти, %
|
2,3
|
2,3
|
|
Год выхода на проектный
уровень
|
2020
|
2024
|
|
Продолжительность
проектного уровня, лет
|
1
|
7
|
|
Накопленные объемы за
прогнозный период:
|
|
|
|
по нефти, млн.т
|
4,797
|
9,975
|
|
по жидкости, млн.т
|
143,703
|
217,774
|
|
по закачке воды, млн.м3
|
103,883
|
186,666
|
|
по закачке теплоносителя,
тыс.м3
|
45,784
|
85,184
|
|
Показатели на конец
прогнозного периода:
|
|
|
|
КИН
|
0,357
|
0,460
|
|
Отбор от утвержденных НИЗ,
%
|
91,1
|
117,4
|
|
Среднегодовая
обводненность, %
|
98,0
|
98,0
|
|
Водонефтяной фактор
|
9,6
|
11,8
|
|
Относительный отбор
жидкости к Vпор
|
3,0
|
4,6
|
|
Относительный объем
прокачки теплоносителем Vпор
|
1,1
|
2,1
|
|
Доля теплоносителя в общей
закачке
|
0,48
|
0,49
|
|
Средняя температура
объекта, 0С
|
39,5
|
80,5
|
|
Объем прогретых (свыше Тпл)
Vпор, д.ед
|
0,60
|
0,89
|
|
из них свыше 50 0С
|
0,19
|
0,65
|
Таким образом из таблицы 19 видно ,что при реализации метода ИДТВ (П) мы
достигнем увеличение нагрева объекта до 80,5˚С, что создаст благоприятные
условия для снижения вязкости нефти и как следствие образование АСПО в
призабойной зоне скважин Ем-Ёгского месторождения. Дополнительная добыча от
внедрения метода импульсно-дозированного воздействия на пласт с паузой составит
5,178 млн.т, дополнительная добыча жидкости 74,070 млн.м³
ЗАКЛЮЧЕНИЕ
Для поддержания пластового давления на Ем-Ёгском месторождении
осуществляется закачка подтоварной (пластовой) воды в нагнетательные скважины.
На дату анализа действующий фонд нагнетательных (подтоварная вода) скважин
составляет 59 скважин.
Основной причиной превышение КВЧ в подтоварной закачиваемой воде
является, то что технология подготовки нефти и подтоварной воды на УПН «ВК 3»
Ем-Ёгского месторождение не позволяет качественно и целенаправленно
подготавливать подтоварную воду. На сегодняшний день в технологии подготовки
нефти не предусмотрена работа гидрофобных фильтров, подготовка осуществляется
только в результате отстоя.
Помимо этого можно добавить, что существующая система очистки подтоварной
воды на КНС-10 (кустовая насосная станция) также не позволяет снизить
содержание механических примесей в закачиваемой воде.
В результате выявленных основных причин снижения проницаемости
призабойной зоны скважин Ем-Ёгского месторождения, в этой главе даны
обоснования предлагаемых решений по каждой причине.
этап. Предлагается на УПН «ВК 3» в вести в технологию подготовки нефти и
подтоварной воды гидрофобные фильтры
этап. Дополнительно внедрить на КНС-10 (кустовая насосная станция)
установку гидроциклонной очистки воды для систем ППД.
Обоснование решения заключается в том, что при соблюдении технологии
подготовки нефти с использованием гидрофобных фильтров приведет снижению КВЧ а
дополнительная установка гидроциклонной очистки воды снизит содержание до
предельно допустимого значения: механических примесей в закачиваемой воде - не
более 30-50 мг/л;
Применения этих решений позволит стабилизировать снижения проницаемости
ПЗП скважин Ем-Ёгского месторождения
СПИСОК ИСПОЛЬЗОВАННЫХ ИСТОЧНИКОВ
1. Авторский
надзор за выполнением «Технологической схемы разработки Красноленинского
месторождения в границах Ем-Ёговского лицензионного участка»: отчет о НИР /
В.М. Хомик, Т.Э. Шиляева, В.И. Саунин, П.Н. Федоров, В.З. Сухер, А.В. Карасев и
др. - Тюмень, 2009.
. Амиян В.А.,
Васильева Н.П., Джавадян A.A. Повышение нефтегазоотдачи пластов путем
совершенствования их вскрытия и освоения. М., 1977. 80 с. Обзор, информ.
ВНИИОЭНГ. (Сер. Нефтепромысл. дело).
. Атлас
«Геология и нефтегазоносность Ханты-Мансийского автономного округа» / Под ред.
Э.А. Ахпателова, В.А. Волкова, В.Н. Гончаровой, В.Г. Елисеева, В.И. Карасева,
А.Г. Мухера, Г.П. Мясниковой, Е.А. Теплякова, Ф.З. Хафизова, А.В. Шпильмана,
В.М. Южаковой. - Екатеринбург: ИздатНаукаСервис, 2004. - 148 с.
. Атлас
«Геология и нефтегазоносность Ханты-Мансийского автономного округа» / Под ред.
Э.А. Ахпателова, В.А. Волкова, В.Н. Гончаровой, В.Г. Елисеева, В.И. Карасева,
А.Г. Мухера, Г.П. Мясниковой, Е.А. Теплякова, Ф.З. Хафизова, А.В. Шпильмана,
В.М. Южаковой. - Екатеринбург: ИздатНаукаСервис, 2004. - 148 с.
. Атлас
месторождений нефти и газа Ханты-Мансийского автономного округа-Югры: в 2 т. //
Под ред. В.А. Волкова, А.В. Шпильмана. - Екатеринбург: ИздатНаукаСервис, 2013.
- Т. 1. - 236 с.
. Байбаков
Н.К., Гарушев А.Р. Тепловые методы разработки нефтяных месторождений. - М.:
Недра. 1989. 343 с.
. Гилязов
Ш.Я. Анализ эффективности методов ОПЗ эксплуатационных и нагнетательных скважин
НГДУ "Нурлатнефть" / Ш.Я. Гилязов, Р.З. Манапов, P.A. Сафиулин, Н.И.
Волкова, М.Ф. Вахитов // Нефтепромысловое дело. - 2000. - № 6.
. Ибрагимов J1.X.,
Мищенко И.Т., Челоянц Д.К. Интенсификация добычи нефти. М. Наука. 2000. 414 с.
. Кудряшова,
Л.К. Изучение литолого-фациальной модели для увеличения нефтеотдачи залежи на
примере песчаных пластов тюменской свиты Красноленинского месторождения / Л. К.
Кудряшова // Развитие минерально- сырьевой базы Сибири: от В.А. Обручева, М.А.
Усова, Н.Н. Урванцева до наших дней: Материалы I Всероссийской геологической
молодежной школы. - Томск, 2013. - С. 88-91.
. Лобова,
Г.А., Коржов, Ю.В., Кудряшова, Л.К. Генезис доюрских залежей нефти
Рогожниковской группы месторождений по данным гравиразведки и геохимии
(Тюменская область) / Г.А. Лобова, Ю.В. Коржов, Л.К. Кудряшова // Известия ТПУ.
- 2014. - Т. 324. - №1. - С. 65-72.
. Методического
руководства по применению комплекса гидротермодинамических, гидрохимических,
физико-химических и промыслово-геофизических исследований для контроля за
разработкой нефтяных месторождений при тепловых методах воздействия на пласт»
(РД 39-0148290-201-85).
. Михайлов
H.H. Информационно-технологическая геодинамика околоскважинных зон. М. Недра.
1996. 379 с.
. Обзорная
карта Западно-Сибирской нефтегазоносной провинции в масштабе 1:2000000 (Карты)
/ ред. А.М. Брехунцов, И.И. Нестеров, B.И. Шпильман. - Тюмень:
ЗапСибНИГНИ, 1990.
. Пыхачев Г.Б.,
Исаев Р.Г. Подземная гидравлика М. Недра, 1973. 359 с.
. Регламент
по созданию постоянно-действующих геолого-технологических моделей нефтяных и
газо-нефтяных месторождений. РД 153-39.0-47-00. Министерство топлива и
энергетики Российской Федерации. - М., 2000.
. Регламент
составления проектных технологических документов на разработку нефтяных и
газонефтяных месторождений. РД 153-39-007-96. Москва, 1996 г.
. Справочник
инженера по подготовке нефти / А.Е. Лебедьков, А.В. Кан, А.Е. Андреев, Л.В.
Лушникова; ООО «РН-Юганскнефтегаз». - Нефтеюганск, 2007. - 299 с.
. Стратегия
и основы технологии поисков углеводородов в доюрском основании Западной Сибири:
монография / В.И. Исаев, Г.А. Лобова, Ю.В. Коржов, М.Я. Кузина, Л.К. Кудряшова,
О.Г. Сунгурова. - Томск: ТПУ, 2014. -112 с
. Сурков,
В.С., Жеро, О.Г. Фундамент и развитие платформенного чехла Западно-Сибирской
плиты / В.С. Сурков, О.Г. Жеро. - Москва: Недра, 1981. - 143 с.
. Хуснуллина,
Г.Р., Биркле, Е.А., Лебедев, А.И. Гранулометрический анализ песчаников
викуловской свиты (апт, нижний мел) Красноленинского месторождения (Западная
Сибирь) / Г.Р. Хуснуллина, Е.А. Биркле, А.И. Лебедев // Литосфера. - 2012. -
№6. - С. 90-99.
. Шумилов В.А.,
Аристов В.Н., Григорьян H.A. Предохранение и восстановление проницаемости
призабойной зоны при разработке месторождений Западной Сибири. М. ВНИИОЭНГ,
серия «Нефтепромысл. дело» 1980, 55 с.
. Щелкачев В.Н.,
Лапук Б.Б. Подземная гидравлика. Москва-Ижевск PXD 2001. 735 с.
Приложения
Приложение 1
Текущие подвижные запасы абалакского яруса пласта ВК 1.
Приложение 2
Карта распределения проницаемости по результатам ГДИ скважин
месторождения КВ 3