Проект геодезического обоснования стереотопографической съемки для составления планов масштаба 1:5000 с высотой сечения рельефа 2 метра
МИИГАиК
(МОСКОВСКИЙ ГОСУДАРСТВЕННЫЙ
УНИВЕРСИТЕТ ГЕОДЕЗИИ И КАРТОГРАФИИ)
Проект геодезического обоснования
стереотопографической съемки для составления планов масштаба 1:5000 с высотой
сечения рельефа 2 метра
Оглавление
Глава 1.
Характеристика района работы
Раздел 1.1
Определение местоположения участка работы
Раздел 1.2
Физико-географическая характеристика объекта
Раздел 1.3
Экономическая характеристика района работы
Раздел 1.4
Топографо-геодезическая изученность территории
Раздел 1.5
Номенклатуры создаваемых планов масштаба 1:5000
Глава 2.
Проект АФС и размещение планово-высотных опознаков (ОПВ)
.1
Определение маршрутов АФС и границ тройного перекрытия снимков
.2 Схема
размещения ОПВ на участке работ
Глава 3.
Проект геодезической сети сгущения
.1
Проектирование и оценка проекта полигонометрического хода 4 класса
.1.1
Определение предельной погрешности положения пункта в слабом месте хода
.1.2 Расчет
влияния погрешностей линейных измерений; выбор приборов и методов измерений
.1.3
Проектирование контрольного базиса и расчет точности его измерений.
.1.4 Расчет
влияний погрешностей угловых измерений; выбор приборов и методов измерений
.1.5 Расчет
влияния отдельных источников ошибок
.2
Проектирование высотной сети сгущения
Глава 4.
Проект геодезических работ для планово-высотной привязки опознаков
.1.1 Расчет
точности планового положения опознака, полученного проложением теодолитного
хода
.1.2 Расчет
точности планового положения опознака полученного обратной многократной
засечкой
.1.3 Расчет
точности планового положения опознака полученного прямой многократной засечкой
.2
Проектирование высотной съемочной сети
.2.1 Расчет
ошибки высотного положения опознака полученного из обратной многократной
засечки с наибольшими сторонами
.2.2 Расчет
ошибки высотного положения опознака полученного проложением теодолитного хода
Заключение
Введение
Топографические планы масштаба 1:5000 предназначаются для разработки
генеральных планов и различных проектов (промышленных районов, транспортных
путей, строительства, озеленения, благоустройства населенных пунктов, и др.);
для разведки полезных ископаемых; для составления маркшейдерских планов; для
землеустройства колхозов и совхозов; для составления технических проектов
орошения и осушения; для проектирования автодорог, воздушных линий
электропередач; для проектирования железных и автомобильных дорог; для
проектирования и строительства различного рода каналов и др.
Для решения конкретных задач отдельной отросли создаются
специализированные топографические планы.
Потребности народного хозяйства в материалах крупномасштабных
топографических съемок для обеспечения развития территориально-производственных
комплексов, проектирования, строительства со временем всё больше возрастают.
Обеспечение потребности народного хозяйства высококачественными
материаламикрупномасштабных топографических съемок требует соблюдения норм
съёмки согласно нормативно-технических актов.
В данном проекте в качестве нормативно-технического акта используется
«Инструкция по топографической съёмке масштабов 1:5000, 1:2000, 1:1000, 1:500».
Аэрофотосъёмка - фотографирование территории с высоты от сотен метров до
десятков километров при помощи аэрофотоаппарата, установленного на атмосферном
летательном аппарате (самолёте, вертолёте, дирижабле и пр. или их беспилотном
аналоге).
Стереосъемка - это получение стерео-пары изображений фотографическим
способом. Стереопара представляет собой сочетание двух изображений одного и
того же объекта с различных точек зрения. Одно изображение предназначается для
левого, а другое - для правого глаза. При рассматривании стереопары, например,
в стереоскоп изображение объекта воспринимается с такой же локальной глубиной,
что и сам объект.
Глава 1. Характеристика района работы
1.1 Определение местоположения участка работы
N-44
|
56˚00ʹ
|
|
|
1
|
2
|
3
|
4
|
5
|
6
|
7
|
8
|
9
|
10
|
11
|
12
|
|
|
13
|
14
|
15
|
16
|
17
|
18
|
19
|
20
|
21
|
22
|
23
|
24
|
|
|
25
|
26
|
27
|
28
|
29
|
30
|
31
|
32
|
33
|
34
|
35
|
36
|
|
|
37
|
38
|
39
|
40
|
41
|
42
|
43
|
44
|
45
|
46
|
47
|
48
|
|
|
49
|
50
|
51
|
52
|
53
|
54
|
55
|
56
|
57
|
58
|
59
|
60
|
|
|
61
|
62
|
63
|
64
|
65
|
66
|
67
|
68
|
69
|
70
|
71
|
72
|
|
|
73
|
74
|
75
|
76
|
77
|
78
|
79
|
80
|
81
|
82
|
83
|
84
|
|
|
85
|
86
|
87
|
88
|
89
|
90
|
91
|
92
|
93
|
94
|
95
|
96
|
|
|
97
|
98
|
99
|
100
|
101
|
102
|
103
|
104
|
105
|
106
|
107
|
108
|
|
|
109
|
110
|
111
|
112
|
113
|
114
|
115
|
116
|
117
|
118
|
119
|
120
|
|
|
121
|
122
|
123
|
124
|
125
|
126
|
127
|
128
|
129
|
130
|
131
|
132
|
|
|
52˚00ʹ
|
133
|
134
|
135
|
136
|
137
|
138
|
139
|
140
|
141
|
142
|
143
|
144
|
|
78˚00ʹ
|
|
84˚00ʹ
|
|
|
|
|
|
|
|
|
|
|
|
|
|
|
|
|
|
|
|
N-44-12
|
56˚00ʹ
|
А
|
Б
|
|
55˚40ʹ
|
В
|
Г
|
|
83˚30ʹ
|
84˚00ʹ
|
|
55˚50ʹ
|
а
|
б
|
|
55˚40ʹ
|
в
|
г
|
|
83˚30ʹ
|
83˚45ʹ
|
|
55˚50ʹ00”
|
|
|
55˚45ʹ00”
|
|
|
83˚30ʹ00”
|
83 ˚37` 30˝
|
.2 Физико-географическая характеристика
объекта
По координатам карты масштаба 1:25000 найдена местность. Это
Кожевниковский район Томской области.
Климат теплый. Средняя температура июля составляет 13-24оС.
Преобладают луговые, элювиально-глеевые, торфяно-глеевые и торфяные
почвы.
Место проведения работ сильно заболочено.
Через объект протекает река Кинда. Недалеко от места работ протекает
крупная река Обь.
1.3 Экономическая характеристика района работы
Рядом с территорией объекта находится село Чилино. Добираться до места
проведения работ можно по дорогам общего пользования, без использования спец.
транспорта. Бригаду геодезистов можно разместить непосредственно в самом
населенном пункте Чилино. Необходимые строительные материалы для закладки
долговременных пунктов можно брать непосредственно в самом населенном пункте,
либо в районном центре. Местных жителей можно нанять в качестве дополнительной
рабочей силы.
1.4 Топографо-геодезическая изученность региона
На территории участка работ имеются 3 пункта триангуляции 3 класса: Т1,
Т2, Т3
|
Исходный пункт
|
X (м)
|
Y (м)
|
Высота пункта (м)
|
|
Т1
|
5856550
|
26501550
|
338
|
|
Т2
|
5860850
|
26506125
|
149
|
|
Т3
|
5855600
|
26508200
|
339
|
Пункт Т1 находится неподалеку от г. Порецкое, рядом проходит грунтовая
дорога
Пункт Т2 находится недалеко от Октябрьска и Шалаево, рядом проходят ЛЭП и
грунтовая дорога.
Пункт Т3 находится в черте города Соболево, рядом проходит улучшенная
автомобильная дорога и ЛЭП.
.5 Определение номенклатур создаваемых планов
В основу разграфки планов масштаба 1:5000 для участков площадью свыше 20
км2принимается лист карты масштаба 1:100 000, который делится на 256
частей. Номенклатура листа карты масштаба 1:5000 состоит из номенклатуры листа
карты масштаба 1:100 000 с добавлением в скобках номера листа карты масштаба
1:5000.
Ниже приведен пример деления листа карты масштаба 1:100 000 на 256
частей, и нахождение номеров трапеций листов карты масштаба 1:5000.
|
1
|
2
|
3
|
4
|
5
|
6
|
7
|
8
|
9
|
10
|
11
|
12
|
13
|
14
|
15
|
16
|
|
|
|
|
|
|
|
|
|
|
|
|
|
|
|
32
|
|
|
|
|
|
|
|
|
|
|
|
|
|
|
|
48
|
|
|
|
|
|
|
|
|
|
|
|
|
|
|
|
64
|
|
|
|
|
|
|
|
|
|
|
|
|
|
|
|
80
|
|
|
|
|
|
|
|
|
|
|
|
|
|
|
|
96
|
|
|
|
|
|
|
|
|
|
|
|
|
|
|
|
112
|
|
|
|
|
|
|
|
|
|
|
|
|
|
|
|
128
|
|
129
|
130
|
131
|
132
|
|
|
|
|
|
|
|
|
|
|
|
144
|
|
145
|
146
|
147
|
148
|
|
|
|
|
|
|
|
|
|
|
|
160
|
|
161
|
162
|
163
|
164
|
|
|
|
|
|
|
|
|
|
|
|
176
|
|
177
|
178
|
179
|
180
|
|
|
|
|
|
|
|
|
|
|
|
192
|
|
|
|
|
|
|
|
|
|
|
|
|
|
|
|
208
|
|
|
|
|
|
|
|
|
|
|
|
|
|
|
|
224
|
|
|
|
|
|
|
|
|
|
|
|
|
|
|
|
240
|
|
|
|
|
|
|
|
|
|
|
|
|
|
|
|
256
|
|
№
|
Номенклатура
|
с.ш.
|
ю.ш.
|
в.д.
|
з.д.
|
|
1
|
N-44-12-В-а (129)
|
55˚50ʹ00”
|
55˚48ʹ45”
|
83˚30ʹ00”
|
83˚31ʹ52, 5”
|
|
2
|
N-44-12-В-а (130)
|
55˚50ʹ00”
|
55˚48ʹ45”
|
83˚31ʹ52, 5”
|
83˚33ʹ45”
|
|
3
|
N-44-12-В-а (131)
|
55˚50ʹ00”
|
55˚48ʹ45”
|
83˚33ʹ45”
|
83˚35ʹ37, 5”
|
|
4
|
N-44-12-В-а (132)
|
55˚50ʹ00”
|
55˚48ʹ45”
|
83˚35ʹ37, 5”
|
83˚37ʹ30”
|
|
5
|
N-44-12-В-а (145)
|
55˚48ʹ45”
|
55˚47ʹ30”
|
83˚30ʹ00”
|
83˚31ʹ52, 5”
|
|
6
|
N-44-12-В-а (146)
|
55˚48ʹ45”
|
55˚47ʹ30”
|
83˚31ʹ52, 5”
|
83˚33ʹ45”
|
|
7
|
N-44-12-В-а (147)
|
55˚48ʹ45”
|
55˚47ʹ30”
|
83˚33ʹ45”
|
83˚35ʹ37, 5”
|
|
8
|
N-44-12-В-а (148)
|
55˚48ʹ45”
|
55˚47ʹ30”
|
83˚35ʹ37, 5”
|
83˚37ʹ30”
|
|
9
|
N-44-12-В-а (161)
|
55˚47ʹ30”
|
55˚46ʹ15”
|
83˚30ʹ00”
|
|
10
|
N-44-12-В-а (162)
|
55˚47ʹ30”
|
55˚46ʹ15”
|
83˚31ʹ52, 5”
|
83˚33ʹ45”
|
|
11
|
N-44-12-В-а (163)
|
55˚47ʹ30”
|
55˚46ʹ15”
|
83˚33ʹ45”
|
83˚35ʹ37, 5”
|
|
12
|
N-44-12-В-а (164)
|
55˚47ʹ30”
|
55˚46ʹ15”
|
83˚35ʹ37, 5”
|
83˚37ʹ30”
|
|
13
|
N-44-12-В-а (177)
|
55˚46ʹ15”
|
55˚45ʹ00”
|
83˚30ʹ00”
|
83˚31ʹ52, 5”
|
|
14
|
N-44-12-В-а (178)
|
55˚46ʹ15”
|
55˚45ʹ00”
|
83˚31ʹ52, 5”
|
83˚33ʹ45”
|
|
15
|
N-44-12-В-а (179)
|
55˚46ʹ15”
|
55˚45ʹ00”
|
83˚33ʹ45”
|
83˚35ʹ37, 5”
|
|
16
|
N-44-12-В-а (180)
|
55˚46ʹ15”
|
55˚45ʹ00”
|
83˚35ʹ37, 5”
|
83˚37ʹ30”
|
Глава 2. Проект АФС и размещение планово-высотных опознаков
(ОПВ)
2.1 Определение маршрутов АФС и границ тройного перекрытия
снимков
Стереотопографические съемки выполняются на основании фотоснимков,
полученных при облёте территории по рассчитанным маршрутам. Положение маршрутов
должно быть таким, чтобы обеспечивалось тройной перекрытие.
Фотографирование выполняется аэрофотосъемочным аппаратом, который
выбирается с учётом масштаба предстоящей съемки и рельефа снимаемой
поверхности.
Направление маршрутов аэрофотосъемки устанавливают с запада на восток или
с востока на запад, выполняют таким образом, чтобы осуществлялось перекрытие.
Первый маршрут фотографирования совмещают с северной рамкой листа карты
(допускается совмещение и с южным).
Для расчета для числа маршрутов и количества аэрофотоснимков задано
продольное перекрытие P=80%, поперечное перекрытие Q=40%, масштаб съёмки
1/m=1:20000, размер снимка l=18Х18 см.
Рассчитаем расстояние между соседними маршрутами по фотограмметрической
формуле
D=(100-Q)/100*l*m=(0, 6*18*20000)/25000=8, 6 см на карте
Рассчитаем базис (расстояние между центрами фотографирования)
фотографирования по формуле:
B=(100-P)/100*l*m=(0, 2*18*20000)/25000=2, 9 см на карте
Необходимо также выделить зоны перекрытия:
L=1/2*l*m = =(0, 5*18*20000)=7, 2 см.
2.2 Схема размещения ОПВ на участке работ
Для выполнения фотограмметрических работ на фотоснимках должны быть
нанесены чётко опознаваемые объекты ситуации, для которых должны быть получены
координаты из наземных геодезических построений, такие геодезические работы
называются привязкой опознаков.Различают сплошную и разряженную привязку
опознаков.
При сплошной привязке для каждой пары снимков должно быть обозначены и
определены по каждым координатам 4 опорные точки. При разряженной привязке
основной объем работ по координированию точек выполняется камеральным развитием
сетей фотограмметрической, полигонометрической или триангуляции (от нескольких
опознаков, запроектированных на каждый маршрут, определенных геодезически).
В связи с большим объемом работ при сплошной привязке, запроектируем
разряженную привязку, при которой на каждый маршрут будет запроектировано
несколько опознаков по схеме (Приложение 2.1)
Таблица 2.1
|
№ ОПВ
|
Описание ОПВ
|
Способ определения координат
|
Способ определения высот
|
|
ОПВ1
|
Пересечение асфальтированной и грунтовой дороги
|
Обратная многократная засечка
|
Геометрическое нивелирование IV класса
|
|
ОПВ2
|
Пересечение шоссе и грунтовой дороги
|
Обратная многократная засечка
|
Геометрическое нивелирование IV класса
|
|
ОПВ3
|
Угол здания
|
Прямая многократная засечка
|
Тригонометрическое нивелирование
|
|
ОПВ4
|
Пересечение асфальтированной и грунтовой дороги
|
Прямая многократная засечка
|
Тригонометрическое нивелирование
|
|
ОПВ5
|
Пересечение автомобильной дороги без покрытия и грунтовой
дороги
|
Теодолитный ход
|
Тригонометрическое нивелирование
|
|
ОПВ6
|
Пересечение грунтовой и полевой дорог
|
Прямая многократная засечка
|
Тригонометрическое нивелирование
|
|
ОПВ7
|
Пересечение автомобильной дороги без покрытия и шоссе
|
Обратная многократная засечка
|
Геометрическое нивелирование IV класса
|
|
ОПВ8
|
Угол здания
|
Обратная многократная засечка
|
Тригонометрическое нивелирование
|
|
ОПВ9
|
Пересечение автомобильной дороги без покрытия и шоссе
|
Обратная многократная засечка
|
Тригонометрическое нивелирование
|
|
ОПВ10
|
Разветвление автомобильных дорог с асфальтовым покрытием
|
Полигонометрия 4* класса
|
Тригонометрическое нивелирование
|
|
ОПВ11
|
Пересечение автомобильной дороги без покрытия и грунтовой
дороги
|
Прямая многократная засечка
|
Тригонометрическое нивелирование
|
|
ОПВ*
|
Пересечение шоссе и грунтовой дороги
|
Прямая многократная засечка
|
Тригонометрическое нивелирование
|
|
|
|
|
|
3. Проектирование геодезической сети сгущения
Для сгущения ГГС проектируют полигонометрические ходы 4 класса таким
образом, чтобы созданная геодезическая сеть сгущения наилучшим образом
удовлетворяла задаче построения съемочного обоснования.
При проектировании следует руководствоваться инструкцией по
топографической съемке для масштабов 1:5000, 1:2000, 1:1000, 1:500.
Основные требования полигонометрии 4* класса
|
Основные показатели
|
Полигонометрия
|
|
4* класс
|
1 разряд
|
2 разряд
|
|
Предельная длина хода, км
|
|
|
|
|
- между твердыми пунктами
|
15
|
5
|
3
|
|
- между твердыми пунктами и узловой точкой
|
10
|
3
|
2
|
|
- между узловыми точками
|
7
|
2
|
1, 5
|
|
Длина сторон, км
|
|
|
|
|
Smax
|
2, 0
|
0, 8
|
0, 35
|
|
Smin
|
0, 25
|
0, 12
|
0, 08
|
|
Sопт.
|
0, 50
|
0, 3
|
0, 2
|
|
Число сторон в ходе, не более
|
15
|
15
|
15
|
|
Относительная погрешность хода, не более
|
1/25000
|
1/10000
|
1/5000
|
|
СКП измерения угла не более
|
2”
|
5”
|
10”
|
|
Предельная угловая невязка
|
5”√n+1
|
10” √n+1
|
20” √n+1
|
*n- число сторон в ходе, n+1 -число углов в ходе
Так как измерения углов и линий будет производиться электронным
тахеометром то максимальная длина стороны может быть увеличена на 30%.
Создаваемая геодезическая сеть относится к основным. Проектирование необходимо
производить на местности, удобной для линейных и угловых измерений, проверяя
наличие прямой видимости между пунктами хода. В данном проекте прямая видимость
присутствует не везде, так как проект учебный, в некоторых случаях мы принимаем
видимость за условную. Согласно закону вырубка в лесу запрещена.
Проектированиеходов предлагается проводить по дорогам, вершинам холмов,
нежелательно на пашне, так как это частная собственность. В редких случаях в
полигонометрические ходы можно включать опознаки, то есть объединять пункты
полигонометрии с опознаками. Запроектированные ходы показаны на основной
(общей) кальке №1 в соответствии с условными знаками. (см. приложения)
В проекте необходимо выполнить расчеты для наиболее сложного из
запроектированных ходов. В данном случае возьмем ход Т1-Т3
Измерим длины сторон хода (между пунктами полигонометрии) и занесем
результаты измерений в таблицу 3.1
Таблица 3.1
|
№
|
Название пункта
|
S, м
|
|
1
|
Т1
|
925
|
|
пп1
|
|
|
2
|
пп1
|
800
|
|
пп2
|
|
|
3
|
пп2
|
1275
|
|
пп3
|
|
|
4
|
пп3
|
1050
|
|
пп4
|
|
|
5
|
пп4
|
850
|
|
пп5
|
|
|
6
|
пп6
|
1800
|
|
пп7
|
|
|
7
|
пп7
|
1125
|
|
пп8
|
|
|
8
|
пп8
|
850
|
|
пп9
|
|
|
9
|
пп9
|
775
|
|
пп10
|
|
|
10
|
пп10
|
375
|
|
Т3
|
|
|
[S]= 9825м
|
3.1 Определение формы полигонометрического хода Т1-Т3
1) Перенесем ход на кальку №2 и по ней произведем дополнительные
построения и измерения:
проведем замыкающую L
графическим способом определим положение центра тяжести хода
проведем линию через центр тяжести параллельно замыкающей хода
) Определим: - η - удаление пункта от линии, параллельной замыкающей,
проходящей через центр тяжести хода
α (град.) - угол между направлением
замыкающей хода и каждой стороной по направлению хода от 0 до 180 градусов
и занесем результаты измерений в таблицу 3.2
Эти данные необходимы нам для того, чтобы определить форму
полигонометрического хода
Таблица 3.2
|
i
|
ηi (м)
|
αi (градусы)
|
|
1
|
825
|
84
|
|
2
|
100
|
47
|
|
3
|
650
|
12
|
|
4
|
825
|
18
|
|
5
|
1275
|
104
|
|
6
|
450
|
168
|
|
7
|
100
|
100
|
|
8
|
1000
|
21
|
|
9
|
550
|
19
|
|
10
|
400
|
90
|
=6700м
Для определения СКО конечной точки хода необходимо определить форму хода,
которая определяется по 3-м критериям.
1)
;
= 837, 5м=3, 35см в масштабе карты
)
, если
то ход изогнутый;
= 168
)
, если 0, то замкнутый, 1 -
вытянутый;
= 1, 3
Так как критерии 1 и 2 не выполняются, то ход Т1-Т3 является изогнутым.
По правилам, если хотя бы один из критерием не выполняются, то ход
является изогнутым. В данном случае мы проверили ход по всем 3-м критериям.
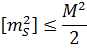
.1.1 Определение предельной погрешности положения пункта в слабом месте
хода
Средняя квадратическая погрешность (СКП) положения пункта в самом слабом
месте хода после уравнивания примерно в 2 раза меньше СКП положения конечной
точки хода до его уравнивания.
Для запроектированного хода должно выполняться условие:
В соответствии с инструкцией (1) для полигонометрического хода 4* класса
так как
, то СКП положения конечного пункта полигонометрического хода
Т1-Т3 до уравнивания равен
М=
=
0, 197м = 197мм
Следовательно, предельная ошибка положения пункта, в слабом месте хода
после уравнивая равна
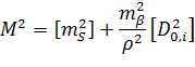
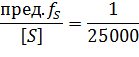
3.1.2 Расчет влияния погрешностей линейных измерений; выбор
приборов и методов измерений
Так как выполнено проектирование светодальномерного полигонометрического
хода, то СКП положения конечного пункта полигонометрического хода до
уравнивания в случае, когда углы предварительно исправлены за невязку,
вычисляются с использованием формулы:
так как ход изогнутый:
Используя принцип равного влияния погрешностей линейных и угловых
измерений на величину М, можно записать:
0, 0194(м2)
Для измерения длин линий необходимо выбрать такой светодальномер, чтобы
выполнялось условие:
С учетом этой формулы можно записать:
где n- число сторон хода
Для рассматриваемого примера получаем:
Выбираем прибор с запасом точности - LeicaTC802 с СКП измерения длин линий:
Вычисляем для каждой стороны хода
а затем [
(Таблица 3.3)
Условие выполнено, следовательно, выбранный тахеометр пригоден для
выполнения линейных измерений в запроектированном ходе Т1-Т3.
Таблица 3.3
|
мм
|
мм
|
|
3, 85
|
14, 82
|
|
3, 6
|
12, 96
|
|
4, 55
|
20, 7
|
|
4, 1
|
16, 81
|
|
3, 7
|
13, 69
|
|
5, 6
|
31, 36
|
|
4, 25
|
18, 06
|
|
3, 7
|
13, 69
|
|
3, 55
|
12, 6
|
|
2, 75
|
7, 56
|
|
[ =162, 25
|
|
Технические характеристики тахеометра LeicaTC802
|
|
Точность угловых измерений, "
|
2
|
|
Увеличение зрительной трубы, х
|
30
|
|
Компенсатор
|
двухосевой, диапазон работы 5"
|
|
Точность линейных измерений, (с отражателем)
|
±(2 + 2ppm x D) мм
|
|
Дальность линейных измерений (одна призма), м
|
3500
|
|
Диапaзон рабочих температур
|
-20°C до + 50°C
|
|
Вес, кг
|
5.4
|
3.1.3 Проектирование контрольного базиса
В современных реалиях построение контрольного базиса экономически
нецелесообразно.
Поэтому, прежде чем начать полевые работы, все измерительные приборы
должны быть поверены государственной поверкой в лицензированной метрологической
компании. Свидетельство о государственной поверке должно прикрепляться к
техническому отчету.
3.1.4 Расчет точности угловых измерений
Для расчёта точности угловых измерений применим принцип равных влияний.
(центр тяжести) найдём графическим способом. В результате
этого процесса составлена таблица.
Таблица 3.4. Таблица расстояний от центра тяжести до каждой точки хода
|
№ п/п
|
|
|
|
T1
|
3525
|
12425625
|
|
Пп1
|
3350
|
11222500
|
|
Пп2
|
2900
|
8410000
|
1850
|
3422500
|
|
Пп4
|
1425
|
2030625
|
|
Пп4
|
575
|
330625
|
|
Пп6
|
1450
|
2102500
|
|
Пп7
|
1900
|
3610000
|
|
Пп8
|
2950
|
8702500
|
|
Пп9
|
3275
|
10725625
|
|
Т3
|
3325
|
11055625
|
|
Сумма
|
|
74038125
|
|
|
|
|
СКО измерения горизонтального угла в полигонометрическом ходе 4 класса
должна быть
. Согласно вычислений она
.
Вывод: для того, чтобы обеспечить такую точность измерения
горизонтального угла необходимо применять тахзеометр LeicaTC 802 и ему равноточные тахеометры. (н-р 3Т2КП)
Организация угловых измерений:
) Необходим угломерный комплект, который состоит из:
Теодолита 3Т2КП, 3 штативов, Комплекта визирных целей (КВЦ)
Перечень необходимых поверок теодолита:
Внешний осмотр на наличие повреждений или неисправностей механизмов
Поверка оси цилиндрического уровня на алидаде горизонтального круга
Поверка положения нитей сетки
Поверка положения визирной оси
Поверка положения оси вращения зрительной трубы
Поверка вертикального круга (определение места зенита)
Поверка оптического центрира теодолита
Методика угловых измерений: (Приложение 3.1)
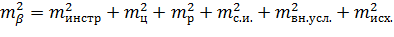
3.1.5 Расчет влияния отдельных источников ошибок
Учитывая основные источники ошибок угловых измерений запишем:
Применяя принцип равного влияния получим
отд.ист. ош.
Тогда
отд.ист. ош. =
=1, 35”
Рассчитаем необходимую точность центрирования теодолита и марок
- наименьшая сторона полигонометрического Т3-Т1.
Произведем расчёт СКО редукции по формуле
Для создания запаса точности рекомендуется центрировать оптическим
центриром и марки и теодолит.
Рассчитаем необходимое число приемов при измерении горизонтальных углов
3.2 Проектирование высотной сети сгущения
На территории имеется 3 пункта с известными высотами Т1, Т2, Т3.
Для сгущения высотного обоснования (определение высот пунктов
полигонометрии) предлагается проложить 2 хода нивелирования IV класса
параллельных полигонометрическому ходу.
Согласно требованию инструкции по нивелированию, предельная невязка
составляет
При нивелировании IV класса рекомендуется применять нивелир 4Н3КЛ
. Нивелирование IV
класса. Методика измерения и допуски
Нивелирование IV класса выполняют в одном направлении способом
"средней нити".
Нивелирование IV класса производят нивелирами с уровнем или
компенсатором.
При нивелировании IV класса отсчеты по черным и красным сторонам реек
делают по среднему штриху, а для определения расстояний от нивелира до реек
используют отсчеты по верхнему дальномерному и среднему штрихам по черным
сторонам реек.
Порядок наблюдений на станции следующий:
· отсчеты по черной стороне задней рейки;
· отсчеты по черной стороне передней рейки;
· отсчет по красной стороне передней рейки;
· отсчет по красной стороне задней рейки.
Нормальная длина луча визирования - 100 м. Если работы выполняют
нивелиром, у которого труба имеет увеличение не менее 30, то при отсутствии
колебаний изображений разрешается увеличивать длину луча до 150 м. Расстояние
от нивелира до реек можно измерять дальномером. Неравенство расстояний от
нивелира до реек на станции допускают до 5 м, а их накопление по секции - до 10
м.
Высота луча визирования над подстилающей поверхностью должна быть не
менее 0, 2 м.
Во время наблюдений на станции нивелир с уровнем защищают от солнечных
лучей зонтом.
Рейки устанавливают отвесно по уровню на костыли, башмаки, а на участках
с рыхлым и заболоченным грунтом - на колья.
По окончании нивелирования по линии между исходными реперами подсчитывают
невязку, которая не должна превышать 20 мм. В таких же пределах допускают
невязки в замкнутых полигонах, образованных линиями нивелирования IV класса. По
мере завершения нивелирования заполняют ведомость превышений установленной
формы
Технические характеристики нивелира 4Н3КЛ
|
Зрительная труба
|
|
Увеличение
|
23х
|
|
Наименьшее расстояние визирования, м
|
1, 2
|
|
Изображение
|
Прямое
|
|
Длина, мм
|
181
|
|
Угол поле зрения
|
2°
|
|
Предел разрешения
|
4.1”
|
|
Коэффициент нитяного дальномера
|
100±1
|
|
Компенсатор
|
|
Тип демпфирования
|
Магнитный
|
|
Диапазон работы
|
15’
|
|
Систематическая погрешность работы компенсатора на 1’
наклона оси нивелира
|
0.5”
|
|
Горизонтальный круг
|
|
Диаметр, мм
|
107
|
|
Цена деления лимба
|
1°
|
|
Допустимая СКП измерения горизонтального угла
|
0.5°
|
|
Точность нивелирования
|
|
Допустимая СКП на 1 км двойного хода, мм
|
2, 5
|
|
Устойчивость к воздействию внешней среды
|
|
Диапазон рабочих температур
|
-40...+50 °C
|
|
Защита от пыли и влаги (по стандарту IEC)
|
IP52
|
|
Защита от пыли и влаги в футляре (по стандарту IEC)
|
IP64
|
|
Вес и габариты
|
|
Вес инструмента, кг
|
1, 5
|
|
Вес транспортировочного футляра, кг
|
1, 3
|
|
Габариты инструмента (Д х Ш х В), мм
|
181 х 128 х 131
|
|
Габариты транспортировочного футляра (Д х Ш х В), мм
|
285 х 245 х 200
|
|
Установка инструмента
|
|
Цена деления круглого уровня
|
5’/2 мм
|
|
Форма опорной поверхности подставки
|
Плоская
|
|
Управление инструментом (наводящее устройство)
|
|
Тип
|
Фрикционное
|
|
Расположение винтов
|
С обеих сторон
|
4. Проект геодезических работ для планово-высотной привязки
опознаков
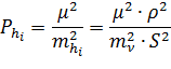
При выборе методов планово-высотной привязки опознаков стоит опираться на
требования инструкции для съемочной сети, так как при стереотопографической
съемке именно опознаки являются съемочным обоснованием.
Ошибка планового положения пунктов съемочной сети относительно пунктов
обоснования не должно превышать 0, 2мм в масштабе создаваемого плана (1:5000),
что составит 1 метр (предельная ошибка), следовательно СКО равен 0, 5м
В высотном ошибка по высоте в среднем 0, 1 высоты сечения рельефа (2м), ,
следовательно 0, 2м
Предельная ошибка равна 40 см, то есть 0, 4 м
В качестве способов привязки опознаков предлагается:
засечки многократные (прямые и обратные)
теодолитные ходы
4.1.1 Расчет точности планового положения опознака
полученного проложением теодолитного хода
Определяем плановое положение ОПВ5 с помощью теодолитного хода
Согласно требованию инструкции при проложении теодолитных ходов следует
учитывать:
|
Предельная относительная погрешность
|
Допустимые длины одиночных ходов [S], км
|
Максимальная длина стороны Smax, м
|
Минимальная длина стороны м, на тер. незастр./ застр.
|
|
1/N=1/1000
|
2, 0
|
350
|
40/20
|
|
1/N=1/2000
|
4, 0
|
350
|
40/20
|
|
1/N=1/3000
|
6, 0
|
350
|
40/20
|
При выборе пунктов необходимо обеспечить прямую видимость между пунктами
и соблюдать технику безопасности.
Определяем форму хода
|
Пункты хода
|
Si, м
|
|
L, м
|
|
пп12
|
|
425
|
700
|
|
225
|
|
|
|
1
|
|
475
|
|
|
275
|
|
|
|
2
|
|
300
|
|
|
325
|
|
|
|
3
|
|
38
|
|
|
300
|
|
|
|
4
|
|
225
|
|
|
275
|
|
|
|
5
|
|
413
|
|
|
200
|
|
|
|
ОПВ5
|
|
550
|
|
|
325
|
|
|
|
6
|
|
400
|
|
|
300
|
|
|
|
7
|
|
250
|
|
|
275
|
|
|
|
8
|
|
63
|
|
|
300
|
|
|
|
9
|
|
75
|
|
|
300
|
|
|
|
10
|
|
250
|
|
|
325
|
|
|
|
пп13
|
|
450
|
|
|
[S]=
|
3425м
|
|
|
|
Sср=
|
285м
|
|
Критерии вытянутости хода
.
L
следовательно, первый критерий не выполняется
3.
, 9
1, 3 следовательно критерий не
выполняется
По правилам, если хотя бы один критерий не выполняется, то ход является
изогнутым.
В нашем случае теодолитный ход пп12-пп13 изогнутый.
Для изогнутого хода имеем:
Длины сторон измерены тахеометромPentaxR325N.
Для запроектированного хода имеем Sср.=285м, тогда:
=
Следовательно,
Краткие характеристики PentaxR325Nпредставлены в Приложении 4.1
Определим [D2ц.т., i].
|
Пункты хода
|
[Dц.т., i], м
|
[D2ц.т., i], м
|
|
пп12
|
525
|
275625
|
|
1
|
475
|
225625
|
|
2
|
450
|
202500
|
|
3
|
475
|
225625
|
|
4
|
550
|
302500
|
|
5
|
800
|
640000
|
|
ОПВ5
|
800
|
640000
|
|
6
|
475
|
225625
|
|
7
|
225
|
50625
|
|
8
|
225
|
50625
|
|
9
|
500
|
275000
|
|
10
|
775
|
600625
|
|
пп13
|
1075
|
1155625
|
|
Σ
|
7350
|
4870000
|
Пусть горизонтальные углы измеряются способом приемов, выбранным
тахеометром LeicaTC 802. С учетом всех источников
погрешностей СКП mβ=3, 3′′, тогда
СКП положения конечного пункта хода до уравнивания равна
СКП положения в слабом месте хода после уравнивания
равна mсл.м.=M/2=0, 03м ≤0, 5м.
Следовательно, данный метод определения планового положения опознака ОПВ5
удовлетворяет требованиям инструкции.
Рассчитаем число приемов n′ при измерении горизонтальных угловдля
тахеометра PentaxR325N
Учитывая основные источники ошибок угловых измерений запишем:
Применяя принцип равного влияния получим
отд.ист. ош.
Тогда
Рассчитаем необходимую точность центрирования тахеометра и марок
- наименьшая сторона теодолитного хода пп12-пп13.
Произведем расчёт СКО редукции по формуле
Для создания запаса точности рекомендуется центрировать оптическим
центриром и марки и тахеометр.
Рассчитаем необходимое число приемов при измерении горизонтальных углов
Согласно инструкции, углы в теодолитном ходе измеряются одним приемом
Следовательно, углы необходимо измерять 1 приемом
Технические характеристики тахеометра PentaxR325Nпредставлены
в Приложении 4.1
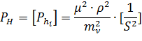
4.1.2 Расчет точности планового положения опознака
полученного обратной многократной засечкой
В данном случае рассматривается ОПВ8
Схема засечки представлена на отдельной кальке №3
Измерим дирекционные углы направлений с исходных пунктов на определяемый
и расстояния от пп до ОПВ8 и приведем результаты в Таблице 4.4
|
Направление:
|
|
Si, м
|
|
ОПВ8-Т3
|
177
|
575
|
|
ОПВ8-пп7
|
264
|
1525
|
|
ОПВ8-пп10
|
283
|
1175
|
|
ОПВ8-пп11
|
309
|
1425
|
Определяем СКП планового положения опознака Mpиз обратной многократной засечки.
Для этого воспользуемся формулами:
Результаты вычислений представим в таблице 4.5
Таблица 4.5
D= 3596568, 658Py= 4685, 52578Px=-30194, 49936x=0,
001150975my= 0, 002921802
Mp= 0, 03(м2)
Вывод: обратная многократная засечка обеспечивает необходимую точность
определения планового положения ОПВ8
Так как работаем по угловым измерениям, полигонометрия 4* класса будет
совмещена с производством прямых засечек, для расчета положения опознака
используем
Технические характеристики представлены в Приложении №4.1
4.1.3 Расчет точности планового положения опознака
полученного прямой многократной засечкой
Выполним расчёты для ОПВ11
|
Направление:
|
|
Si, км
|
|
пп6-ОПВ11
|
101
|
1, 8
|
|
пп7-ОПВ11
|
134
|
2
|
|
пп9-ОПВ11
|
187
|
0, 6
|
Для определения планового СКП положения опознака полученного прямой
многократной засечкой воспользуемся формулами:
Таблица 4.6
|
Напр
|
S
|
(ai)
|
(bi)
|
ai
|
bi
|
ai2
|
bi2
|
aibi
|
|
пп6-
|
101
|
1, 8
|
-20, 234
|
-3, 92
|
-11, 24
|
-2, 2
|
126, 34
|
4, 84
|
24, 728
|
|
пп7-
|
134
|
2
|
-14, 83
|
-14, 314
|
-7, 415
|
-7, 157
|
54, 98
|
51, 22
|
53, 069
|
|
пп9-
|
187
|
0, 6
|
2, 513
|
-20, 461
|
4, 2
|
-34, 102
|
17, 64
|
1162, 94
|
-143, 228
|
|
[*]
|
198, 96
|
1219
|
-65, 431
|
D=238251,
025
Px=195, 447=1197, 482=0, 035=0, 014
Следовательно, СКО определения планового положения опознака равна:
Mp=0,
038
0, 5м
Вывод: прямая многократная засечка обеспечивает необходимую точность
определения планового положения ОПВ11
4.2 Проектирование высотной съемочной сети
Так как для определения планового положения опознака запроектированы
засечки и проложение теодолитного хода с использованием тахеометра PentaxR325N, определение высоты опознаков предлагается выполнять
тригонометрическим нивелированием.
4.2.1 Расчет ошибки высотного положения опознака полученного
из обратной засечки
Схема и данные засечки прилагаются в Приложении №
По каждому направлению засечки должно быть выполнено тригонометрическое
нивелирование.
Пренебрегая:
Ошибками измерения и ИВ, ошибкой вычисления f, ошибкой определения с карты расстоянияS, и считая
- малой величиной, рассчитаем ошибку
превышения по отдельному направлению засечки:
Окончательное значение высоты опознака будет вычислено как среднее весовое
из отметок, полученных по всем направлениям засечки
Так как используется тахеометр Pentax R325N, то
|
Направление
|
Si, м
|
Si2, м2
|
1/Si2, 1/м2
|
|
пп6-ОПВ11
|
1800
|
3240000
|
0, 0000003086420
|
|
пп7-ОПВ11
|
2000
|
4000000
|
0, 0000002500000
|
|
пп9-ОПВ11
|
600
|
360000
|
0, 0000027777778
|
|
|
Σ1/S2, м
|
0, 0000033364198
|
Вывод: предложенный тахеометр и метод определения превышения (высоты)
обеспечивает необходимую точность высоты опознака.
4.2.2 Расчет ошибки высотного положения опознака, полученного
проложением теодолитного хода
Использование тахеометра PentaxR325Nпри проложении хода позволяет
выполнить тригонометрическое нивелирование по каждой стороне хода.
Полученный высотный ход, согласно требованию инструкции будет иметь
предельную невязку:
считая, что
, тогда
, 39м
0, 4м
Вывод: предложенный метод определения высоты опознака обеспечивает
требуемую точность высотного положения.
Заключение
Выполнено проектирование геодезического обоснования стереотопографической
съемки для составления карты в масштабе 1:5000 с высотой сечения рельефа 2
метра на площади трапеции N-44-12-В-а
Выполнена Разграфка и определена номенклатура листов карты масштаба
1:5000. Определены маршруты аэрофотосъемки и поперечное перекрытие
аэрофотоснимков.
Продольное перекрытие составляет P=80%, поперечное перекрытие Q=40%
Выполнено проектирование 12 планово-высотных опознаков.
Был выполнен расчет точности наиболее длинного полигонометрического хода.
Его длина составляет 9825 м а, число сторон n=10. Углы и длины сторон могут
быть измерены электронным тахеометромLeicaTC 802. Высоты пунктов полигонометрического хода определяются
геометрическим нивелированием IV классаcпомощью нивелира 4Н3КЛ.
В результате оценки проекта полигонометрического хода получены следующие
квадратические ошибки: - предельная ошибка положения пункта в самом слабом
месте после уравнивания
,
- в высотном положении
Составлен проект планово-высотной привязки опознаков. Для определения
планового положения ПВО используются следующие методы: прямые и обратные
многократные засечки, теодолитные ходы. Высоты ОПВ определяются методом
тригонометрического нивелирования.
В результате оценки проекта планово-высотой привязки опознаков получены
следующие максимальные средние квадратические ошибки:
СКО определения планового положения ОПВ11 полученного прямой многократной
засечкой = 0, 03м
СКО определения планового положения ОПВ8 полученного обратной
многократной засечкой = 0, 03м
СКО определения планового положения ОПВ5, полученного проложением
теодолитного хода до уравнивания = 0, 06м
СКО определения высоты ОПВ8 полученного обратной многократной засечкой MH=0, 01м
СКО определения высоты ОПВ5 полученного проложением теодолитного хода
Список используемой литературы
1.Инструкция
по топографической съёмке в масштабах 1:5000, 1:2000, 1:1000 и 1:500. МОСКВА
«НЕДРА» 1982
.Практикум по
геодезии Селиханович В.Г, и др. МОСКВА «АЛЬЯНС» 2006
.Инструкция
по нивелированию I-IV класса. МОСКВА «НЕДРА» 1967
.Интернет
Приложения
Измерение угла способом отдельного угла (способом приёмов):
· при КЛ (круге лево) навести трубу на заднюю точку п.2
(рис.7), взять отсчёт по горизонтальному кругу Л2;
· вращая алидаду, навести трубу на переднюю точку п.4, взять
отсчёт по горизонтальному кругу Л4;
· вычислить значение левого по ходу угла при КЛ по формуле,
' = Л4- Л2[+360o];
если отсчёт Л4 меньше отсчёта Л2 (угол получается
отрицательный), то нужно прибавить 360o;
· сместить лимб горизонтального круга примерно на 1o
- 1o30';
· перевести трубу через зенит в положение КП (круг право);
· вращая алидаду, навести трубу на заднюю точку п.2, взять
отсчёт по горизонтальному кругу П2;
· вращая алидаду, навести трубу на переднюю точку п.4, взять
отсчёт по горизонтальному кругу П4;
· вычислить значение левого по ходу угла при КП по формуле
"= П4 - П2[+360o];
если отсчёт П4 меньше отсчёта П2 (угол получается отрицательный), то
нужно прибавить 360o;
· если выполняется условие
, то вычисляется среднее значение
угла
= 1/2*(
' +
" ); значение 
доп следует принять для теодолитов Т30 и 2Т30 
доп=2', для теодолитов Т15 и Т5 
доп=1'
Если измеряются правые по ходу углы, то при вычислении угла при КЛ и КП
нужно из отсчёта на заднюю точку вычитать отсчёт на переднюю точку.
|
Технические характеристики тахеометра LeicaTC802
|
|
Точность угловых измерений, "
|
2
|
|
Увеличение зрительной трубы, х
|
30
|
|
Компенсатор
|
двухосевой, диапазон работы 5"
|
|
Точность линейных измерений, (с отражателем)
|
±(2 + 2ppm x D) мм
|
|
Дальность линейных измерений (одна призма), м
|
3500
|
|
Диапaзон рабочих температур
|
-20°C до + 50°C
|
|
Вес, кг
|
5.4
|