Пористость нефтеводогазосодержащих пород
Введение
Физика нефтяного и газового пласта - это наука
изучающая свойства природных коллекторов и насыщающих их углеводородных систем
воды и газов а также процессы связанные с их взаимодействием. Она является
основой для понимания процессов происходящих в нефтяных и газовых пластах для
разработки методов повышения нефтегазоотдачи залежей улучшения эффективности
эксплуатации месторождений.
Традиционно в курсе физики нефтяного и газового
пласта изучаются коллекторские механические и тепловые свойства горных пород
закономерности фильтрации жидкостей и газов состав и физические свойства воды
нефти газа и конденсата фазовые состояния углеводородных систем
поверхностно-молекулярные свойства пластовых смесей а также процессы связанные
с вытеснением нефти и газа из пористых сред. Развитие этой отрасли науки и
полученные в последнее время результаты показали что такой «описательный»
подход оказывается недостаточным. Это стало понятным при анализе протекающих в
пластах процессов с позиций синергетики - молодой науки о самоорганизации
сложных систем возраст которой всего около двух десятков лет.
Синергетический анализ показывает, что поведение
систем определяется не только их составом и свойствами. Под влиянием внешних
воздействий могут возникать новые порой неожиданные структуры упорядоченные
состояния.
Разработка и эксплуатация залежей нефти и газа
связана фильтрацией огромных масс жидкостей и газов в коллекторах к забоям
добывающих скважин. Закономерности распределения пластовых флюидов в
статическом состоянии до процесса нефтеизвлечения в объемах резервуаров
определяют начальные запасы их в месторождении, которые контролируются
емкостными параметрами пластовой системы. Изучение фильтрационных свойств
коллекторов и их изменений в процессе эксплуатации залежей позволяет оценивать
продуктивность отдельных скважин и залежи в целом как на стадии ввода
месторождения в разработку так и на стадии доизвлечения остаточных запасов
углеводородов на экономически рентабильном уровне нефтегазоизвлечения.
Важное место при этом имеет физика и физикохимия
процессов вытеснения нефти и газа из пористых и пористо-трещиноватых сред.
Следует отметить, что физика пласта как отрасль
науки о нефтяных газовых и газоконденсатных месторождениях имеет уже 50-летнюю
историю. Впервые курс физики нефтяного пласта был прочитан М.М. Кусаковым для
студентов Московского нефтяного института в 1948 г. Базой для построения
данного курса и дальнейшего развития его явились результаты исследований многих
отечественных и зарубежных ученых: Л.Г. Гурвича П.А. Ребиндера Б.В. Дерягина
Г.А. Бабаляна и др.
горный порода зерно просветность
1. Пористость и удельная поверхность горных
пород
Под пористостью породы понимают наличие в ней
пустот. Различают общую открытую и закрытую пористости. Общая пористость это
весь объем пустот в породе открытая - объем связных поровых каналов, по которым
может фильтроваться жидкость или газ. Соответственно закрытая пористость - это
объем изолированных пустот. Очевидно, что общая пористость есть сумма открытой
и закрытой.
Для количественной характеристики пористости
используется коэффициент пористости равный отношению объема пустот образца
породы к объему всего образца
= Vпор /Vобр
Для оценки коэффициента пористости
несцементированных пористых сред используется модель фиктивного грунта представляющая
грунт в виде набора шариков одинакового диаметра. Очевидно, что пористость
зависит только от конфигурации шаров. Различают два вида расположения шаров
фиктивного грунта (рис 1): тесное и свободное. Угол θ
изменяется
в пределах 600
.
а





б






Рис. 1.
Слихтер показал, что пористость т связана с
углом θ
соотношением
Из этой формулы следует, что пористость
фиктивного грунта m при изменении угла
от
60 до 90° меняется от 0 259 до 0 476. В реальных условиях на пористость
нефтеводогазосодержащих пород влияют несколько факторов: размер и форма зерен
породы их расположение распределение частиц по размерам процессы цементации
растворения и отложения солей разрушения минералов и др. Обычно пористость
реальных пород не превышает 20-25% (у песков и песчаников). У глин она может
достигать 50% и более у известняков - еще большее значение.
Наряду с пористостью используется еще одна
характеристика пористой среды - просветность. Если взять поперечное сечение
керна, то под просветностью понимается отношение площади пустот к общей площади
поперечного сечения керна т. е.
Нетрудно показать взаимосвязь пористости и
просветности умножив числитель и знаменатель правой части предыдущей формулы на
длину керна L:
Особо важное значение имеет зависимость
пористости от давления. Установлено что с повышением пластового давления
пористость возрастает. Причем если пористая среда обладает пластическими
свойствами, то изменения пористости могут иметь необратимый гистерезисный
характер.
Пористость - это основной параметр при подсчете
запасов нефти или природного газа в залежи.
Наиболее простым способом определения открытой
пористости образца породы является объемный метод. Образец породы насыщают
газом который не сорбируется породой например азотом или воздухом. В образце
породы создается некоторое давление >t. После установления в системе
равновесия производят выпуск газа из породы при этом давление снижается до
атмосферного р0. Затем с помощью газового счетчика замеряют объем
газа V вышедшего из образца.
Запишем уравнение материального баланса для
начального и конечного состояний:
где Vnop - поровый объем образца; z1 z0 --
коэффициент сжимаемости соответственно при давлении р 1 и р0 ; р 0 - плотность
газа при стандартных условиях; V1 V0 - объем газа в образце соответственно при
давлении p1 и р0.
Учитывая, что Vпор - тVобр, где Vобр -
геометрический объем образца v=v1-v2 и вычитая из первого уравнения системы
второе получаем
откуда и определяем пористость т.
Внутреннюю структуру пористого пространства
изучают на основе результатов исследований сечений кернов отбираемых в скважине
из данного пласта. Восстановление внутреннего строения породы по ее
поверхностным свойствам является единственно возможным, поскольку материал
породы коллектора непрозрачен. Такое восстановление основано на методах одной
из отраслей прикладной математики - стереологии - науки рассматривающей
исследования трехмерной структуры тел. когда известны только их сечения или
проекции на плоскость.
Применение стереологических методов позволяет
оценивать такие параметры как удельная поверхность, извилистость и т. д. Для
уяснения основных положений стереологических методов. Оказывается, что если
подсчитать среднее число пересечений этой прямой с линиями границ зерен при
многократном случайном бросании указанного отрезка на выделенную плоскость то
можно определить суммарную протяженность линий границ зерен на единице площади
шлифа удельную поверхность породы и ряд других характеристик пористой среды.
Решение этой задачи связано с известной задачей
Бюффона об игле, которая заключается в следующем. Пусть горизонтальная плоскость
разграфлена системой параллельных прямых отстоящих друг от друга на расстоянии
а. На эту плоскость случайным образом бросается игла длиной l<а. Говоря о
случайном бросании мы подразумеваем что средняя точка иглы может с равной
вероятностью оказаться на любом расстоянии от какой-либо линии на плоскости а
любой угол между иглой и линией является равновероятным. Брошенная описанным
образом игла в каждом случае может не пересечь ни одной линии или пересечь
только одну, поскольку l<а. Требуется определить среднее число χ
пересечений
иглы с какой-либо прямой линией при многократном бросании.
Точки указанного прямоугольника соответствующие
данному неравенству находятся в заштрихованной на этом рисунке области.
Очевидно, что искомая вероятность равна отношению заштрихованной области к
площади прямоугольника
Из уравнения следует, что математическое
ожидание числа пересечений при n бросаниях
=2ln/(na).
При замене иглы какой-либо линией длиной L можно
разделить последнюю на элементарные участки длиной l
каждый. По закону сложения вероятностей математическое ожидание числа
пересечений в данном случае будет во столько раз больше этого показателя при
бросании иглы длиною l
во сколько раз длина линии больше длины иглы т. е. произведение In равно
суммарной длине линий пересекающих систему линий на плоскости при всех
бросаниях на нее любой линии длиной L (эти линии называются случайными секущими
а сам метод - методом случайных секущих). Число т пересечений линии длиной Ах
системой линий нанесенных на плоскости приходящееся на единицу длины секущих
линий можно определить по формуле
т = 2/ (an).
Заметим далее что величина 1/а является
суммарной протяженностью нанесенных на плоскости параллельных линий отнесенных
к единице ее площади т. е. удельной протяженностью линий на плоскости или
удельным периметром. Действительно, если на плоскости выделить квадрат со
стороной равной единице, причем две стороны квадрата направить параллельно сети
линий нанесенных на плоскости, то длина каждого отрезка этих линий внутри
квадрата будет равна единице, а их число внутри квадрата окажется равным 1 / а
- Руд. Поэтому исходя из формулы удельный периметр
Руд = π/2m= 1 571 m.
Отметим, что величина Руд характеризует
извилистость поровых каналов.
Исходя из формулы нетрудно оценить и удельную
поверхность. Будем рассматривать вместо секущих цилиндрики исчезающе малой
площади поперечного сечения, ось которых совпадает с осью секущих. Тогда
площадь пересечения границ раздела зерен цилиндром отнесенная к его объему
будет (в силу предполагаемой изотропности образца) пропорциональна удельной
поверхности. С другой стороны эта величина пропорциональна числу пересечений т.
Таким образом удельную поверхность можно
определить по формуле
= 4m.
. Виды пористости
Под пористостью горной породы понимают наличие в
ней пусто различной формы и происхождения. Количественно величина пористости
определяется коэффициентом пористости - отношением объема пор V0 к объему
образца горной породы Vo6p. (в долях или процентах):
Различают общую открытую и динамическую
(эффективную) пористость часть объема открытых пор с движущейся фазой. Для
несцементированных пород в оценке коэффициента пористости можно использовать
модель фиктивного грунта, для которого величина пористости будет согласно
Слихтеру определяться характером упаковки зерен.
В соответствии с углом пористость меняется от 0
259 до 0 476.
Для реальных гранулярных пород структура
перового пространства зависит от многих факторов:
) гранулометрического состава пород;
) степени цементации;
) степени трещиноватости пород.
Характер (степень) цементации может существенно
изменить пористость породы:
Типы цемента в гранулярном коллекторе:
цемент соприкосновения, пленочный цемент,
базальный цемент.
Становится очевидным, что в зависимости от
размеров зерен и характера цементации пористость будут предопределять размеры
поровых каналов:
) сверхкапиллярные - более 0 5 мм;
) капиллярные - от 0 5 до 0 0002 мм;
) субкапиллярные - менее 0 0002 мм.
По сверхкапиллярным каналам происходит свободное
движение нефти воды и газа по капиллярным - при значительном влиянии
капиллярных сил. В субкапиллярных каналах пластовые флюиды практически
перемещаться не могут (это глинистые разности пород). Методы определения
пористости горных пород.
Из приведенных соотношений следует, что для
определения коэффициентов пористости достаточно знать объемы пор и образца
объемы зерен и образца или плотности образца и зерен. Главным показателем в
оценке запасов нефти является коэффициент открытой пористости, который
определяется методом насыщения образца керна по И.А. Преображенскому
взвешиванием освобожденной от нефти и воды породы в воздухе затем насыщенной
керосином в воздухе и в керосине и по закону Архимеда рассчитывается объем
образца (по объему вытесненной образцом жидкости). Для песчаников и алевролитов
открытая пористость равна 8-35%. По данным А.А. Ханина полная пористость может
на 5-6% превышать открытую.
В промысловой практике широко используется метод
определения открытой пористости, основанный на использовании амплитуды кривой
естественной поляризации между фоновыми значениями в непродуктивной части
разреза и аномальными значениями в продуктивной части (метод Вилкова предложен
в 1959 г.). Сущность метода изложена в ряде монографий по геофизическим методам
контроля за разработкой нефтяных месторождений.
В расчетах по подсчету запасов неизбежны
процедуры осреднения пористости по разрезу каждой скважины и по расчетным
блокам (по зоне участку).
. Методы измерения пористости горных пород
Из определения понятия коэффициента полной
пористости вытекают следующие соотношения, которые используются для его
измерения:

Для определения объема образца часто пользуются
ж И.А. Преображенскому методом взвешивания насыщенной жидкостью (обычно
керосином) породы в той же жидкости и в воздухе (при этом для расчета объема
образца используете* закон Архимеда). Объем породы можно найти по объему вы
тесненной жидкости при погружении в нее образца насыщенного той же жидкостью.
Насыщения образца жидкостью можно избежать, если
и пользовать метод парафинизации (метод Мельчера). При stoiv способе образец
породы перед взвешиванием в жидкости покрывается тонкой пленкой парафина объем
которого определяется по массе породы до и после парафинизации. Метод
парафинизации трудоемок и не повышает точности определений
Объем образца также определяют по его размерам,
если придать ему правильные геометрические формы а объем пор - по методу
взвешивания. Объем пор при этом находится разности давлений массы породы
насыщенной под вакуумом жидкостью и массы сухого образца плотность жидкости.
Следует учитывать, что методом насыщения и
взвешиванием определяется не полная пористость так как часть пор (замкнутых) не
заполняется жидкостью а так называемая пористость насыщения. Поэтому объем пор
часто находят по объему зерен с помощью пикнометров и специальных приборов -
жидкостных и газовых порозиметров. Порозиметрами пользуются также для
нахождения открытой пористости.
Принцип действия газового порозиметра основан на
законе Бойля - Мариотта: изменяя в системе объемы газа и давление по полученным
данным подсчитывают объем частиц и пористость.
В жидкостном порозиметре объем зерен или образца
предварительно насыщенного под вакуумом керосином определяется по объему
вытесненной жидкости (керосина) после помещения в камеру прибора твердого тела.
Пористость образца можно представить в виде
отношения площади пор к площади всего образца в каком-либо сечении. В этом
случае пористость оценивается с помощью методов основанных па измерении
площадей под микросколом или определении соотношения этих площадей по
фотографиям. Для контрастности при изучении степени взаимосвязанности пор
последние иногда заполняются окрашенным воском или пластиками.
При выборе методов измерения пористости
необходимо учитывать особенности и свойства коллектора. Для песков значения
открытой и полной пористости практически одинаковы. В песчаниках и алевролитах
по данным А.А. Ханина полная пористость может на 5-6 % превышать открытую.
Наибольший объем замкнутых пор характерен для известняков и туфов. При оценке
пористости пород газовых коллекторов сложенных алевролитами и
песчано-алевролитовыми отложениями открытую пористость следует измерять
газометрическим способом с помощью газовых порозиметров. Пористость их
оказывается существенно большей чем при насыщении этих пород керосином.
Газометрический способ следует также применять
для измерения пористости пород разрушающихся при насыщении керосином а также
образцов с низкой пористостью (менее 5%) так как в последнем случае объем
пленки керосина покрывающего образец становится сравнимым с объемом пор что
сильно искажает результаты определений.
Пористость пород нефтяных и газовых коллекторов
может изменяться в широких пределах - от нескольких процентов до 52%. В
большинстве случаев она составляет 15-20%.
Пример. Определение открытой пористости по И.А.
Преображенскому. Взвешивают сухой и насыщенный керосином под вакуумом образец в
воздухе и образец насыщенный керосином - в керосине.
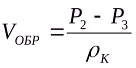
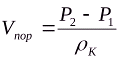
Пусть pi - масса сухого образца в воздухе; Р2 -
масса образца с керосином в воздухе; рз - масса насыщенного керосином образца
помещенного и керосин; р <- плотность керосина. Тогда объем пор в образце
а объем образца
Коэффициент открытой пористости образца
.
Динамическую полезную емкость ЯДИн коллектора
(динамическую пористость) можно определить по результатам специальных опытов по
вытеснению из кернов нефти водой или газом (или газа водой в случае имитации
газовых коллекторов).
. Определение открытой пористости горных пород
Коэффициент открытой пористости характеризует
это отношение объема взаимосвязанных пустотных каналов различной конфигурации к
общему объёму образца породы.
Определение открытой пористости, то есть
определение объёма пор за вычетом объёма изолированных пор и субкапиллярных пор
можно произвести с достаточной для практических целей точностью методом
Преображенского.
Необходимая аппаратура и принадлежности
Аналитические весы с разновесами жестяной мостик
стакан ёмкостью на 100 мл вакуум-насос со стеклянным колпаком и притертой
пробкой тонкая капроновая нить и очищенный керосин.
Порядок работ
Определяют массу проэкстрагированного и
высушенного образца путем взвешивания на аналитических весах. Точность с
которой определяется масса во время опыта составляет 0 001 г.
После взвешивания образец ставят в сосуд
помешают под колпак вакуумной установки и вакуумируют раздельно с рабочей
жидкостью до остаточного давления 3-5 мм ртутного столба. Затем рабочую
жидкость постепенно пропускают в сосуд с образцом до погружения образца в
жидкость на 0 5 см. Продолжают вакуумировать до тех пор пока образец полностью
пропитается рабочей жидкостью. Это будет заметно по изменению цвета поверхности
образца. После окончания капиллярной пропитки поднимают уровень жидкости в
сосуде с образцом на 2-3 см над поверхностью образца и затем вакуумируют до
прекращения выделения пузырьков воздуха из образца. Затем под колпак вакуумной
установки впускают воздух. Под воздействием атмосферного давления рабочая
жидкость дополнительно проталкивается в поры образца не содержащие воздух.
Насыщенный образец вынимают из рабочей жидкости
и избыток жидкости с него удаляют. Для этого образец кладут на стекло и
перекатывают его несколько раз на сухое место пока не будет оставаться следов
жидкости на стекле и поверхность образца не станет матовой.
Путем взвешивания на аналитических весах
определяют массу образца насыщенного рабочей жидкостью.
Обвязывают образец капроновой нитью и взвешивают
в рабочей жидкости. Для этого над чашкой весов устанавливают мостик со стаканчиком
в который налита рабочая жидкость. Образец опускают в жидкость и подвешивают на
нитке к крюку коромысла весов. Определяют массу капроновой нити (Мн).
Коэффициент открытой пористости образца горной
породы рассчитывают по формуле:
mо = 100 (М 2 - М 1) / [М 2 - ( М 3 - Мн)]
где: Мо - коэффициент открытой пористости %;
М 1 - масса сухого образца в воздухе г;
М 2 - масса образца насыщенного рабочей
жидкостью в воздухе г;
М 3 - масса образца насыщенного жидкостью в
рабочей жидкости г;
Мн - Масса капроновой нити г.
Величину открытой пористости породы рассчитывают
с точностью до 0 1 %.
Оформление результатов исследования
Все результаты исследований удобно оформить в
виде таблицы 1.
Таблица 1. Результаты исследования пород при
определении открытой пористости
|
Вид
информации
|
Значение
|
|
Открытая
пористость, (М ), %…………………………… Масса сухого образца в воздухе (М 1),
г………………… Масса насыщенного образца в воздухе (М 2), г………… Масса насыщенного
образца в жидкости (М 3), г……… Масса капроновой нити (Мн), г………………………….
|
|