Гетероядерные комплексы в системах гадолиний(III)–марганец(II)/железо(III)/ - оксиэтилидендифосфоновая кислота как потенциальные МРТ контрастные реагенты
Министерство образования и науки РФ
Федеральное
государственное автономное образовательное учреждение высшего образования
«КАЗАНСКИЙ (ПРИВОЛЖСКИЙ) ФЕДЕРАЛЬНЫЙ
УНИВЕРСИТЕТ»
ВЫПУСКНАЯ КВАЛИФИКАЦИОННАЯ РАБОТА
Гетероядерные комплексы в системах
гадолиний(III)-марганец(II)/железо(III)/ - оксиэтилидендифосфоновая кислота как
потенциальные МРТ контрастные реагенты
СОДЕРЖАНИЕ
ВВЕДЕНИЕ
ГЛАВА 1. ЛИТЕРАТУРНЫЙ ОБЗОР
1.1 Физико-химические свойства HEDP
1.2. Комплексообразование HEDP c марганцем (ii)
1.3. Комплексообразование HEDP с гадолинием
(iii)
1.4. Комплексообразование HEDP с железом (iii)
1.5. Комплексообразование HEDP с ионами
щелочных металлов
1.6. Использование ионов Mn2+ в МРТ
1.7. Использование ионов Gd3+ в МРТ
1.8. Использование ионов Fe3+ в МРТ
ГЛАВА 2. ЭКСПЕРИМЕНТАЛЬНАЯ ЧАСТЬ
2.1 Постановка задачи.
2.2 Методика эксперимента
2.2.1 Приборы и реактивы
2.2.2 Метод протонной магнитной релаксации
2.2.3 Метод математического моделирования
ГЛАВА 3. КОМПЛЕКСООБРАЗОВАНИЕ В
СИСТЕМЕ"Gd(III)-Mn(II)-HEDP"
ГЛАВА 4. КОМПЛЕКСООБРАЗОВАНИЕ В СИСТЕМЕ
"Gd(III)-Fe(III)-HEDP"
ОСНОВНЫЕ РЕЗУЛЬТАТЫ И ВЫВОДЫ
СПИСОК ЛИТЕРАТУРЫ
ВВЕДЕНИЕ
Введение некоторых комплексов на основе Gd3+ в качестве контрастных
веществ в МРТ бурно развивали исследовательскую деятельность в координационной
химии этого иона металла и других ионов лантанидов. Коммерчески доступные
контрастные агенты на основе Gd3+ представляют собой комплексы с
полиамино/поликарбоксилат октадентатным лигандом, который оставляет
координационное положение для молекулы воды вакантным. Скоординированная
молекула воды участвует в быстром обмене с водой окружающих тканей, что дает
эффективный механизм для увеличения скорости релаксации протонных ядер молекулы
воды. Ион Gd3+ был выбран в качестве контрастного агента из-за его высокого
эффективного магнитного момента и относительно медленной релаксации
электронного спина, которая связана с его симметричным основным состоянием 4f7. Однако высокоспиновые
комплексы Mn2+ и Fe3+ с конфигурацией 3d5 также обладают относительно медленной
релаксации спина и довольно высоким эффективным магнитным моментом, таким
образом, устойчивые комплексы этих ионов металлов могут применяться в качестве
контрастных агентов в МРТ, заменяя соединения на основе Gd3+. Применение комплексов
Mn2+ в качестве контрастных
агентов в МРТрассматривали ужев конце 1980-х годов [1].
Цель данной работы - описать закономерности
комплексообразования в гетероядерных системах «гадолиний(III) -марганец(II) -
HEDP» и «гадолиний(III) - железо(III)-HEDP» в водном растворе и рассмотреть
возможность комплексов данных систем выступать в качестве контрастных реагентов
в МРТ.
гетероядерный гадолиний марганец контрастный
ГЛАВА 1.
ЛИТЕРАТУРНЫЙ ОБЗОР
1.1 Физико-химические свойства HEDP
1-гидроксиэтан-1,1-дифосфоноваякислота (HEDP) обладает уникальными физико-химическими свойствами.
Она водорастворима, химически устойчива при высоком значении рН, с трудом
гидролизуется [2]. HEDP является четырехосновной кислотой и содержит наряду с
кислотными центрами (P-OH) основный атом, в качестве которого выступает
кислород от гидроксогруппы (C-OH) (рис.1).1-Гидроксиэтан-1,1-дифосфоноваякислотавзаимодействует
с кислотами, щелочами, а также окисляется хлором лучше, чем другие соли
фосфорорганических кислот. Молекула HEDP содержит в
своем составе семь электронодонорных атомов кислорода, которые могут
образовывать координационные связи с ионами металлов даже в сильнокислой среде. Химический сдвиг HEDP 31Р
составляет 19.8 м.д. относительно ортофосфорной кислоты, при этом наблюдается
только один сигнал, что свидетельствует об эквивалентности ядер фосфора в
молекуле [3].
HEDP-удивительно
мощный хелатирующий агент в умереннокислых растворахдля ионов актинидов или
лантанидов. Фосфоновыегруппы могут координироваться с ионами актинидов или
лантаноидов без полного депротонирования. Поэтому НEDPнашла применение для усиления селективностиразделения
f -элементов от других ионов металлов. Она также имеет широкое применение в
различных областях техники [2].
Также можно сделать вывод о металлохелатирующих
функциях ионов HEDP, вследствие того, что комплекс HEDPLi-AlLDH поглощает ионы Nd3+ и Sr2+ из водных растворов
[4].
В кристаллическом состояний изучен моногидрат HEDP ∙ H2O методами рентгеновской
дифракции [5] и нейтронографии [6]. HEDP ∙ H2O относится к моноклинной
пространственной группе симметрии. Примечательно, что в молекуле моногидрата HEDP водородная связь
образуется между соседними молекулами лиганда и между молекулами лиганда и
воды, однако водородных связей между молекулами воды не возникает [6]. Об обширных
водородных связях свидетельствует и высокая температура дегидратации (выше
70°C), о чем свидетельствуют данные порошкового рентгеноструктурного анализа
[7].
Рис. 1 Структурная формула HEDP
Дифосфонаты стали широко распространены в их применении для лечения
заболеваний, связанных с костями, и рака, так как они замедляют
процесс разрушения костей остеокластами, препятствуя их апоптозу (апоптоз -
форма клеточной смерти).
В последние годы проявился интерес в применении дифосфонатов в качестве
потенциальных радиофармацевтических препаратов для эффективного обезболивания
метастатического рака кости [8].1-Гидроксиэтан-1,1-дифосфоновая
кислота (HEDP), применяется в медицине в виде препаратов ксидифон и этидронат.
Благодаря полученным данным[9] по рН максимального
накопления различных форм HEDP (табл.1)сделан вывод о том, что диссоциация
иона водорода энергетически благоприятнее в случае образования дианиона, чем
при образовании моноаниона, что связано со стабилизацией димерных анионов
межчастичными водородными связями. Об этом свидетельствует и
анализсоответствующих ступенчатых констант диссоциации для моно- и дианионов.
Табл.1 Кислотно-основные свойства и калиевые комплексы HEDP в водных растворах [9]
|
№
|
Равновесие
|
n
|
рНmax накопл.
|
lgK, δ ≤ 0.12
|
|
1
|
|
1
|
2.3
|
-1.65
|
|
2
|
|
2
|
5.2
|
-4.67
|
|
3
|
|
3
|
9.2
|
-12.20
|
|
4
|
|
4
|
>12
|
-23.70
|
|
5
|
|
1
|
1.8
|
-2.90
|
|
6
|
|
1,5
|
2.6
|
-5.54
|
|
7
|
|
2
|
4.8
|
-9.23
|
|
8
|
|
2.5
|
6.8
|
-16.77
|
|
9
|
|
3
|
8.9
|
-24.79
|
|
10
|
|
3
|
8.9
|
-11.23
|
|
11
|
|
4
|
>11
|
-20.89
|
1.2
Комплексообразование HEDP c марганцем (ii)
Авторы работы [10] методами рН-потенциометрии и ЯМР релаксации определили
константы равновесия и долевые распределенияв системе «Mn2+ - HEDP».
Было установлено, что при значительном избытке
лиганда образуются преимущественно моноядерные бискомплексы. При увеличении рН
устойчивость образующихся комплексов увеличивается. Комплексообразование
протекает по следующей схеме:
(1)
При эквимолярных соотношениях металл : лиганд схема
комплексообразования усложняется, в системе в значительном количестве
образуются моно- и биядерные комплексы состава 1:1 , 1:2 и 2:2. Схема комплексообразования:
(2)
Авторы отмечают, что гидролиз с образованием гидроксида
марганца Mn(OH)2 не наблюдался при эксперименте. Также не
происходит окисления марганца(II) кислородом воздуха в более высокие степени
окисления.
Метод ЯМР-релаксации выявил высокий коэффициент
эффективности релаксации (КРЭ2) комплексов (Mn2HL23-,MnL26- , Mn2H2L22-) по времени
спин-спиновой релаксации (T2) и их значительную устойчивость, что
позволяет рассматривать их как потенциальные МРТ-контрастные реагенты [10].
1.3
Комплексообразование HEDP с гадолинием (III)
Автор работы [3, 11]выделяет два вида
зависимости при движении по ряду для всех
ионов лантаноидов иттриевой подгруппы: а)
падение значений констант в ряду Gd3+ - Dy3+ - Ho3+ и возрастание при
переходе к Er3+ и Tm3+ для комплексов LnH2L+, Ln2H2L4+; б) возрастание устойчивости комплекса при
переходе от Ho3+ к Er3+ и убывание при переходе от Gd3+ к Ho3+ и от Er3+ к Tm3+ для комплексов LnH4L2-, LnH3L22-, Ln2L22-, Ln2L2+, Ln2L2(OH)3- и Ln2L(OH)+.
В том числе нас интересует вывод, обобразовании разнообразного набора комплексных форм в
системе «Gd-HEDP»- с разной степенью депротонизации лиганда. При
значительном избытке лиганда накапливаются преимущественно комплексы с
соотношением металл:лиганд = 1:2 (GdH4L2-, GdH7L22+, GdH3L22-) и 2:2 (Gd2L22-, Gd2L2(OH)3-).При значительно больших концентрациях
катиона-комплексообразователя по сравнению с лигандом наряду с накоплением
комплексов состава металл:лиганд 1:2 и 2:2 образуются и биядерные комплексы состава
2:1 (Gd2L(OH)+, Gd2L(OH)2↓
и Gd2L2+ ). Автор отмечает, что гидролиз
катиона Gd3+ с образованием гидроксида не наблюдается, однако при рН
> 7 наблюдается образование растворимых Gd2L2(OH)3-,Gd2L(OH)+ и
нерастворимых гидроксокомплексов Gd2L(OH)2, K3Gd2L2(OH).
Суммарная схема комплексообразования ионов гадолиния (III) с HEDP, основанная на анализе
долевого распределения
1.4
Комплексообразование HEDP с железом (III)
HEDP связывается с катионами d-элементов в прочные
водорастворимые комплексы. Как и для других фосфорорганических комплексонов,
для HEDP характерно образование протонированных комплексов с Fe(III) уже в
сильнокислой среде [12]; в области рН близкой к нейтральной в растворе
существует средний комплексонат FeL-, устойчивость которого (lg β=22-23) лишь немного уступает устойчивости комплекса FeEdta- (lgβ=25.1). Дальнейшее повышение рН раствора приводит к образованию
моногидроксокомплекса, устойчивого вплоть до рН<11 [12]. Так как в работах
[13-16] схемы комплексообразования системы «Fe-HEDP» и константы
равновесий существенно различаются, нашей исследовательской группой система «Fe-HEDP» была изучена
самостоятельно[10].Было установлено, что комплексы железа (III) cHEDP значительно устойчивее комплексов
марганца (II) cHEDP. Это связано с существенно меньшим ионным радиусом и
бóльшим ионным потенциалом Fe3+(3,82) в сравнении с Mn2+(2,06),
что приводит к пространственным различиям в координации донорных групп лиганда.
Бóльшей устойчивости комплекса FeL- по сравнению MnL2- соответствует и бóльший ионный потенциал у иона Fe3+ в сравнении с Mn2+. С последним также связано и наличие
гидроксокомплексов железа: Fe2L2(OH)3-,
FeL(OH)2- и FeL2(OH)6-. Эти гидроксоформы
образуются в щелочной области по следующей схеме комплексообразования:
FeH6L33-
FeH5L34-
FeL-
Fe2L2(OH)3-
FeL(OH)2-
FeL2(OH)6-
FeHL24- FeHL24- (4)
В случае с одинаковым соотношением металл:лиганд
значительно большую долю накопления показывает комплекс Fe3H2L34-, а дальнейшее
комплексообразование идет по следующей схеме:
Fe3H2L34-
FeL-
Fe2L2(OH)3-
FeL(OH)2- (5)
1.5
Комплексообразование HEDP с ионами щелочных металлов
Молекула HEDP содержит в своем составе семь
электронодонорных атомов кислорода, которые могут образовывать координационные
связи с ионами металлов вплоть до сильно кислых сред [17, 18].
Особенностью HEDP является образование довольно устойчивых
комплексов с щелочными катионами при рН > 7. Известны комплексонаты состава
MH2L- , MHL2- и M2HL-.
Исходя из данных работы [19] применение в качестве
«фоновых» электролитов солей щелочных катионов при изучении
комплексообразования HEDP является нежелательным. Расчеты показывают,
что при концентрации ионов натрия 0,1 моль/л (I=0.1) в области рН от 5 до 7
около 25% HEDP связано в комплекс NaH2L, а при рН = 7 - 70%.
При концентрации ионов калия 0,05 моль/л в области рН = 9 приблизительно 50%
комплексона связано в комплексы щелочного катиона [19].
HEDP формирует с щелочными катионами не только
устойчивые нормальные комплексонаты ML3-, но и протонированные
комплексы MH2L-. При этом речь может идти о формировании
полноценных комплексов с хелатной структурой. На возможность наличия таковой у
протонированных комплексонатов HEDP указывают результаты рентгеноструктурных
исследований кристаллов Na2H2L ∙ 4H2О
и изоструктурного ряда MH3L ∙ 2H2O, где
M = Na+, K+, Rb+,
Cs+ (табл.2).
Табл.2 Межатомное расстояние M-O (где M = Na+, K+, Rb+ и Сs+)[21].
|
№
|
Комплекс
|
Среднее межатомное расстояние М-О (Å)
|
КЧ катиона металла
|
|
1
|
KH3L ∙
2H2O
|
2.880
|
7
|
|
2
|
RbH3L ∙
2H2O
|
3.028
|
7
|
|
3
|
RbH3L ∙
2H2O
|
3.030
|
7
|
|
4
|
RbH3L ∙
2H2O*
|
3.028
|
7
|
|
5
|
CsH3L ∙
2H2O
|
3.366
|
11
|
|
6
|
Na2H2L
∙ 4H2O
|
2.394; 2.471
|
6 →Na(1) 4 + 1 →Na(2)
|
В частности, для KH3L ∙ 2H2O показано[20], что
каждый катион К+ помимо трех атомов кислорода «своего» лиганда
координирует еще четыре атома кислорода соседних молекул HEDP (КЧ = 7).
Соответственно каждый анион H3L- связан с четырьмя
катионами К+.Присутствие тяжелых ионов Rb+ и особенно Cs+
ослабляет влияние межмолекулярных водородных связей на геометрию аниона, а
фосфоновые и фосфонатные группы становятся различимыми. В комплексе иона цезия
впервые для подобных комплексов обнаружены и четырехчленные металлоциклы [20].
Делая вывод по приведенным данным, заключаем, что HEDP могут образовывать
комплексные формы с катионом калия, добавляемого в ходе титрования. Начиная с
рН = 6, его концентрация уже в два раза превышает концентрацию HEDP, а при рН > 8 - в
три и более раз. Все это дает основание для включения калиевых комплексов
состава 1:1 (KHL2-, KL3-) и 2:1 (K2L2-), описанных в
литературе [21], в матрицу стехиометрии.
Растворы 1-гидроксиэтилиден-1,1-дифосфоновой кислоты (HEDP) в диапазоне рН от 0,98-13,00
анализировали с использованием спектроскопии FT-Raman и 31P и 23Na-ЯМР-спектроскопии. Для разных протонированных
классов наблюдались вибрационные полосы в спектрах
комбинационного рассеяния, тогда как для всех образцов наблюдался только один
сигнал ЯМР, во всем диапазоне рН. Никакого значительного сдвига в сигнале ЯМР 23Na не наблюдалось, это подтверждало,
что образование комплексов Na+(aq) не происходило; следовательно, никакого взаимодействия с
различными протонированными формами HEDP не произошло. В текущей работе, где измерения проводились в растворе,
только один 31P-сигнал
наблюдался на шкале ЯМР для каждого из образцов, изменяющихся в диапазоне
22,7-22,0 м.д. Однако по сравнению с появлением и исчезновением отдельных
колебательных полос в спектрах комбинационного рассеяния появляется логическая
последовательность. Существует превосходная корреляция между экспериментальными
спектрами комбинационного рассеяния и ЯМР со сдвигом 31P-сигнала, близкой к значению
зависящего от рН распределения всех форм HEDP[22].
Таким образом, поскольку изменение кислотности среды в растворе
проводится путем добавления щелочи, следует учитывать возможность координации
ионов щелочных металлов оксиэтилидендифосфоновой кислотой при обработке
экспериментальных данных.
1.6
Использование ионов Mn2+ в МРТ
Авторами [23]было установлено, что комплексы на основе
марганца могут рассматривается как альтернатива комплексам гадолиния (iii). Ион Mn2+
обладает всеми физическими свойствами, которые делают Gd3+
высокоэффективным зондом для визуализации в T1-взвешенных
МР-изображениях: оба иона характеризуется высоким спиновым квантовым числом (S
= 7/2 для Gd3+, S= 5/2 для Mn2+), большим временем
электронной релаксацией, а также быстрой кинетикой обмена воды. Mn2+ является
биогенным и вводится внутривенно, он очищается через желчную экскрецию, что
особенно выгодно для почек. Комплекс [Mn(DPDP)]3- был одобрен в
качестве визуализирующего агента для печени [23]. Было показано, что комплекс
[Mn(DPDP)]3- подвергается частичному растворению в плазме, а Mn2+
быстро поглощается гепатоцитами, поджелудочной железой и мышечными клетками
сердца. Комплекс [Mn(DPDP)]3- демонстрирует плюсы и минусы
использования Mn2+. С одной стороны, использование комплекса
[Mn(DPDP)]3-даёт превосходный контраст изображения, а с другой,
комплекс [Mn(DPDP)]3- подчеркивает крайнюю лабильность иона Mn2+,
и ставит задачу разработки стабильного хелата Mn2+.
Исследования также показали, что комплекс [Mn(PyC3A)(H2O)]-
обеспечивает хороший контраст изображения, имеет ожидаемое внеклеточное
распределение, и быстро выводится через почечный и печеночный каналы [23].
Авторами [24]был синтезирован и
охарактеризован комплекс Mn-ЭДТА. Используя функциональность
бензотиазол-анилина(BТА), они выявили его возможную диагностическую пользу при МРТ
печени. Кинетическая инертность этого комплекса была значительно выше, чем
MnDPDP и Mn-EDTA, и была сопоставима со стабильным комплексом Gd-DTPA. Кроме
того, его релаксивность R1(3470 М-1 с-1) была
выше, чем у MnDPDP (R1 = 2800 М-1 с-1) и
Gd-DTPA (R1 = 3300 М-1 с-1). МР-изображение
живого организма показало, что комплекс Mn-EDTA-BTA является специфическим МР
контрастным агентом для печени, который может использоваться как для почечной,
так и для гепатобилиарной системы элиминации. Процесс выведения из организма
этого комплекса имеет сходство с гепатобилиарным агентом на основе Gd, таких
как Gd-DTPA-EOB и Gd-BOTPA. В заключении, на живом организме с заболеванием
рака печени, комплекс Mn-EDTA-BTA значительно улучшал обнаружение и
характеристики опухоли по сравнению с комплексом MnDPDP. Таким образом, они
предположили, что комплекс Mn-EDTA-BTA может быть хорошим диагностическим МРТ
контрастным агентом для рака печени [24].
Авторы [1]также отметили, что в
результате исследований был одобрен для клинического использования контрастный
агент, основанный на Mn2+ (MnDPDP, TESLASCAN). Важным преимуществом
контрастного агента на основе Mn2+, по сравнению с контрастным
агентом на основе Gd3+, является низкая токсичность свободного иона
Mn2+. С другой стороны, меньшее число неспаренных электронов Mn2+
по отношению к аналогам Gd3+, как правило, приводило к более низкой
релаксивности комплексов Mn2+ в высоких полях (> 20 МГц). Чтобы
повысить релаксацию нужно было увеличить количество молекул воды,
координирующих парамагнитный ион (q), так как вклад внутренней сферы в
релаксация прямо пропорционален парамагнитному иону (q). Этот подход был
успешно использован для увеличения релаксивности Gd3+, хотя, как
правило, это снижало дентатность лиганда, вследствие увеличения количества
гидратации, что приводило к более термодинамически низкой устойчивости
комплексов. Были также предприняты некоторые попытки для получения
бисгидратированных комплексов Mn2+ в качестве потенциальных
контрастирующих агентов в МРТ, но ожидаемого усиления релаксации не было из-за
низкой скорости обмена координированной воды с общим объемом воды. Вторым
преимуществом контрастных агентов на основе Mn2+, является то, что
они могут использоваться как зонды в МРТ, которые чувствительны к
окислительному стрессу, при условии, что подходящий лиганд стабилизирует ионы
Mn2+ и Mn3+ [1].
1.7
Использование ионов Gd3+ в МРТ
Контрастные вещества на основе гадолиния (GBCAs) широко используются в
магнитно-резонансной томографии (МРТ), так как они обладают уникальной
способностью повышать T1-взвешенные изображения за счет увеличения
скорости продольной релаксации протонов внеклеточной жидкости (1/T1).
Даже если в настоящее время многие контрастные вещества
используются в клинической практике, тем не менее существует большое количество
докладов о новых комплексах Gd(III), направленных на улучшение основных
релаксирующих свойств зондов или конкретной ориентации с использованием
«быстрых» контрастных реагентов. Среди них растет интерес к фосфонированным
комплексам, поскольку введение этих функции или замещение карбоновой кислоты
фосфоновой показали, что они играют значительную роль в релаксации комплексов Gd(III). Во-первых, фосфоновая
кислота обладает двумя константами диссоциации, во-вторых-у нее рН немного ниже
нейтрального.
Ряд, состоящий из тетра-, трис- и бисфосфонированного
лиганда (рис. 2) на основе пиридинового каркаса (L4, L3 и
L2, в указанном порядке), изучался, авторами научной работы [25], в
рамках координации Gd(iii). Константы устойчивости комплексов, образованных катионом Gd3+,
определялись потенциометрией в водных растворах (25оC, 0,1 м NaClO4),
показывая, что тетрафосфонированные комплексы являются одними из наиболее
стабильных комплексов Ln(III), описанных в литературе. Эксперименты по
титрованию подтвердили образование высокостабильных комплексов [GdL4].
Магнитно-релаксационные свойства комплексов Gd(III) изучали путем регистрации их 1H-ЯМР-профилей
при различных температурах, по температурным зависимостям ЯМР-экспериментов
(GdL4) и с помощью рН-зависимых измерений релаксивности при 0,47 Tл
(GdL3 и GdL2). В дополнение к высоким значениям
релаксирующей активности, наблюдаемым для всех комплексов, результаты показали
важный вклад во внешнесферную релаксацию и вариации, зависящие от рН, связанные
с образованием агрегатов для комплексов GdL2 и GdL3.
Наконец, внутривенная инъекция комплекса GdL4 на мыши сопровождалась
функциональной МРТ-визуализацией при 1,5 Тл, которая показала, что комплекс
может быть моментально обнаружен в кровотоке и быстро удаляется через печень и
в значительной степени через почки.
Рис. 2 Молекулярные структуры лигандов L2-L4
Фосфонированные хелаты на основе пиридила представляют
собой очень перспективные платформы для комплексообразования лантанидовGd3+. В частности, комплексы, полученные с
тетрафосфонированным лигандом(L4) образуют комплексы с чрезвычайно
высокой термодинамической стабильностью. Тем не менее, наличие многочисленных
функций у фосфоната также сопровождается значительными последующими
взаимодействиями, вероятно через водородные связи, особенно в кислых средах. Для изученных
комплексов Gd(III) эти взаимодействия, другие и внешнесферные механизмы вносят существенный
вклад в релаксивность соединений. Кроме того, снижение рН приводило к
образованию агрегатов, которые сильно влияли на времена корреляции вращения и
приводили к дальнейшему увеличению релаксивности. МРТ-визуализация на мышах
показала, что комплекс GdL4 хорошо подходит для усиления
контрастности, в то время как небольшие изменения на лигандном каркасе, такие
как пара-функционализация центрального пиридинового кольца, могут позволить
увеличить время удерживания в кровотоке [25].
1.8
Использование ионов Fe3+ в МРТ
Синтезирован фторированный макроциклический комплекс
Fe(III)-DOTAm-F12, и был измерен его потенциал в качестве контрастных агентов в
магнитно-резонансной томографии. Высокая растворимость в воде этого комплекса и
наличие одного сигнала фтора в ЯМР, эти два необходимых параметра для МРТ (на
живом организме), являются существенными преимуществами по сравнению с
используемыми в настоящее время органическими полифторуглеродами и другими сообщаемыми
парамагнитными F-зондами. Чувствительность зондов фтора пропорциональна
отношению T2/T1. В воде оптимальными комплексами металлов
для приложений визуализации являются Fe(III), и в меньшей степени Tm(III) и
Yb(III). К тому же, время T1 комплексов лантанидов мало подвержен
влиянию крови, время T2 заметно короче в крови, чем в воде.
Примечательно, что времена релаксации ядер фтора комплекса
FeIII-DOTAm-F12сходны в воде и в крови. Этот комплекс имеет самое большое
значение отношений T2/T1 (0,57) и самый низкий предел
обнаружения (300 мкМ) в крови. Сочетание высокой растворимости в воде, сигнала
одиночного фтора и большого значения отношений T2/T1 в
комплексе Fe-DOTAm-F12 облегчает получение трехмерных магнитно-резонансных
изображений [26].
Были приготовлены три комплекса железа(III) с лигандами (1-H;
2-Br; 3-OMe, 3 заместителя у фенильной группы), полученными из N-этил-N-
(2-аминоэтил) салицилальдимината, также был сделан рентгеноструктурный анализ (РСА). ЯМР-исследования
растворов этих комплексов в ДМСО позволили исследовать их магнитное поведение и
вклад в парамагнитую релаксацию. Измеренные величины релаксации составляли от
0,35 до 0,80 мМ -1с-1, для протонных ларморовских частот
от 0,01 до 300 МГц, что согласуется с известными другими контрастными веществами
на основе железа(III). Биологические исследования на монослоях эпителиальных
клеток толстой кишки показали, что соединения оказывают токсическое действие
только при концентрациях выше 100 мкМ при одновременном снижении секреторной
функции толстого эпителия. Эти две особенности делают эти комплексы хорошими
кандидатами для дальнейшей разработки, чтобы их можно было использовать в
качестве контрастных агентов для МРТ [27].
ГЛАВА 2.
ЭКСПЕРИМЕНТАЛЬНАЯ ЧАСТЬ
2.1
Постановка задачи
Как следует
из обзора литературы, существует достаточно много контрастных реагентов на
основе ионов Gd(III), Mn(II) и Fe(III), что показывает актуальность их
применения, но работ по изучению комплексообразования гадолиния(III),
марганца(II) и железа (III) c
HEDP в гетерогенной системе на данный момент отсутствуют. Учитывая упомянутые
моменты, в данной работе предполагалось провести совместное титрование Gd(III),
Mn(II) и HEDP, а так же Gd(III), Fe(III) и HEDPc приблизительно 3-х кратным
разбавлением в ходе титрования. На основе полученных данных, посредством
математического моделирования, получить константы равновесия и константы
устойчивости выявленных форм. Провести сравнительный анализ полученных констант
по критерию устойчивости, с комплексными формами, полученными раннее [28,29]с
целью выявления наиболее подходящих форм, соответствующих условиям при
использовании в МРТ в качестве контрастных агентов.Провести оценку
релаксивности (коэффициента релаксационной эффективности) [30].
2.2 Методика
эксперимента
2.2.1 Приборы и реактивы
Активность протонов определяли на потенциометре "Эксперт - 001"
с точностью 0.005 ед. рН. рН-метр калибровался по стандартизованным водным
буферным растворам.
Концентрацию раствора HEDP
(«Sigma») определяли pH-метрическим титрованием бескарбонатным
раствором КОН, концентрация которого определялась титрованием раствором
фиксанала (0.1 Н раствор НСl) в
присутствии кислотно-основного индикатора фенолфталеина.
Времена протонной магнитной релаксации измеряли на "Портативном
Релаксометре ПМР" (ООО "Идея-Резонанс", Казань) с рабочей
частотой 12.2 мГц и «MinispecMQ-20» с рабочей частотой 19.75 МГц. Относительное среднеквадратичное
отклонение измерений времен релаксации/амплитуда спин-эхо - 2%. Применяемые
импульсные последовательности: для измерений Т1 последовательность
импульсов 180°-t-90° (где t - промежуток времени между соседними
импульсами), для измерения Т2 - методика Хана 90°-t-180° и последовательность импульсов 90°-t-(180°-2t) n - последовательность Карра-Парселла-Мейбума-Гилла
(КПМГ), где n - число 180°-х импульсов [31].
Тестовое титрование с вытеснением углекислого газа аргоном показало, что
подобная манипуляция не приводит к значимому отличию в кривых титрования при
использованных концентрациях, поэтому основной массив данных получен без продувки
аргоном. К выводу об отсутствии необходимости продувки аргоном пришли и авторы
работы [32], изучавшие кислотно-основное поведение алендроновой кислоты
(амино-функционализированной HEDP).
Для определения точной концентрации раствора нитрата марганца(II) (марки «ХЧ») его раствор титровали
раствором ЭДТА при рН
10. Для определения точки эквивалентности использовали
индикатор эриохром черный. Значение рН поддерживали с помощью ацетатного буфера
[33].
Для определения точной концентрации раствора нитрата гадолиния(III), его титровали раствором ЭДТА при
рН
5.6. Для определения точки
эквивалентности использовали индикатор ксиленоловый оранжевый, рН поддерживали
с помощью аммиачно-хлоридного буфера [34].
Для определения точной концентрации растворов нитрата железа(iii) (марки «ХЧ») его раствор титровали
раствором ЭДТА. Для определения точки эквивалентности использовали индикатор сульфосалициловую кислоту [33].
Все экспериментальные серии включали не менее 3-х параллельных. Поскольку
в системах, содержащих ионы металлов, в широких диапазонах рН присутствовали
осадковые формы, особое внимание уделялось времени установления равновесного
состояния, которое отслеживалось по установлению постоянного значения рН.
2.2.2 Метод протонной
магнитной релаксации
Общая теория ядерной магнитной релаксации сформировалась в результате
работ Бломбергена, Парселла, Паунда и Соломона [35-37]. Касательно
кординационной химии, в частности комплексов переходных и f- элементов с
оксикислотами, метод подробно изложен в [31, 39;40-43].
Скорость протонной магнитной релаксации в первой координационной сфере
парамагнитного комплекса обусловлена интенсивностью диполь-дипольных и
скалярных электронно-ядерных взаимодействий, а также связью их с «решеткой» -
со всеми не магнитными степенями свободы [40, 43, 44]. Скорости спин-решеточной
и спин-спиновой
релаксации являются сложной
функцией, зависящей от многих параметров, которую можно записать согласно [37]
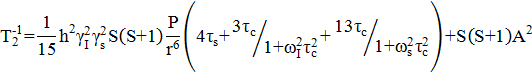
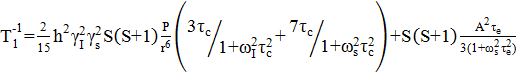
как:
(7)
где:
и
, - ларморовские частоты прецессий магнитных моментов ядра и
электрона; S - спин парамагнитного иона;
и
- гиромагнитное отношение
релаксирующего ядра и неспаренного электрона; r - расстояние между магнитными
моментами ядра и электрона; А - константы изотропного скалярного взаимодействия
времен корреляции для дипольного и скалярного взаимодействий
и
; Р - вероятность нахождения протона
в сольватной сфере парамагнитного иона
;
n - число молекул воды в первой координационной сфере; В - концентрация
парамагнитного иона, моль/л;
-концентрация воды, моль/л [35, 36, 45].
Согласно [35, 46] корреляционным временем диполь-дипольного
взаимодействия
может быть время броуновской диффузии парамагнитного
комплекса
, время электронной релаксации
и время жизни протона в первой
координационной сфере парамагнитного иона
или время корреляции обменных
взаимодействий:
(8)
Для гадолиния (III),
марганца (II) и железа(III)
[30, 43].
Корреляционное время
- является характеристикой какого-либо случайного процесса
(броуновское движение, обмен лигандов и так далее), в котором генерируется
Фурье-компонента электромагнитного поля с резонансной частотой. Согласно [46,
47]
- постоянная времени спада
корреляционной функции; спектральная плотность
, определяющая интенсивность
компоненты с частотой
, есть Фурье преобразование корреляционной функции [44]. Так как скорости спин-решеточной и спин-спиновой релаксации
линейно зависят от концентрации парамагнитного иона B, то можно записать:
(9)
КРЭ является характеристическим параметром, отражающим изменение в
геометрическом и электронном строении первой координационной сферы
парамагнитного иона. В растворе, содержащем ион-комплексообразователь и лиганд,
существует набор различных парамагнитных комплексов, находящихся в равновесии.
Каждый комплекс дает независимый вклад в скорость релаксации протонов [30]:
, (10)
Используя формулу (8), получаем:
(11)
Учитывая, что общая концентрация парамагнитного иона выражается как сумма
концентраций всех комплексных частиц, включающих этот ион:
, (12)
где Bm- равновесная концентрация
комплексных форм. Из формул (9), (10) и (11) получаем:
(13)
Измеряемый коэффициент релаксационной эффективности (или релаксивность R2 в англоязычной литературе) является
аддитивной величиной и функцией образования в физико-химических приложениях
метода протонной магнитной релаксации. Данное свойство релаксационной
эффективности служит физико-химическим откликом и дает возможность определять
состав и устойчивость парамагнитных комплексов в растворах при математическом
моделировании зависимостей [30, 48].
2.2.3 Метод математического моделирования
Обработку экспериментальных зависимостей тех или иных физико-химических
свойств от состава растворов проводили по программе СPESSP (Complex formation
Parameters of Еquilibria in Solutions with Solid Phases) [49]. Программа
реализована на IBM PC AT и позволяет обрабатывать данные различных методов
исследования (ЯМР, рН-метрия, потенциометрия, поляриметрия, спектрофотометрия и
т.д.), характеристический параметр которых подчиняется правилу аддитивности.
Рассматриваемая программа позволяет в случае многокомпонентных систем
определять константы образования и физико-химические параметры комплексов. Суть
программы заключается в нахождении в ходе итерационной процедуры минимума
функционала F:
, (14)
где Qk,эксп и Qk,теор - экспериментально измеряемое
свойство раствора в k-том эксперименте и его теоретический аналог, N - число экспериментов,
wk-cреднеквадратичная ошибка. При этом
, (15)
здесь
и
- константа образования и физико-химический параметр i-го
комплекса,
- его доля накопления,
- матрица стехиометрических
коэффициентов.
Оценка достоверности полученных результатов проводится по критерию
Фишера:
, (16)
где σ и σэксп - дисперсии расчета и эксперимента
соответственно, u1 и u2 - число степеней свободы
числителя и знаменателя (16), р - заданный уровень значимости критерия.
Так как
, (17)
(18)
Выполнение неравенства (18) означает, что найденное решение соответствует
истинному с вероятностью, близкой к (1-р).
Построение математической модели процессов комплексообразования,
сольватации или ассоциации частиц равновесной системы состоит из этапов:
. Выбор первоначальной модели на основании аналитических и графических
методов, литературных данных для сходных систем. Задание нулевого приближения.
. Нахождение в ходе математической обработки минимума целевой функции (
) и оценка по критерию адекватности
(16) согласия модели с экспериментом.
. Последовательное усложнение (если модель не достоверна по критерию
Фишера) структуры модели осуществляется за счет включения в нее дополнительных
равновесий образования молекулярных или ион-молекулярных ассоциатов.
Таким образом, достоверной можно считать модель в том случае, если она, -
во-первых, адекватно описывает экспериментальные данные и, - во-вторых, если
добавление в нее новых, “разумных” с точки зрения химизма процессов, не дает ощутимого вклада в
.
Подробно этапы моделирования многокомпонентных систем по данным различных
физических и физико-химических методов приведены в монографии [49].
Была использована последняя версия программы CPESSP, которая позволяет
учитывать влияние изменения ионной силы раствора на активности участников
моделируемых равновесий по уравнению Девис-Васильева [48].
ГЛАВА 3.
КОМПЛЕКСООБРАЗОВАНИЕ В СИСТЕМЕ "Gd(III)-Mn(II)-HEDP"
Было проведено pH-метрическое
титрование при различных концентрациях, указанных в табл. 5.
Сравнение (рис. 3) экспериментальных кривых и теоретических кривых,
рассчитанных без учета образования гетероядерных комплексов на основе данных по
гомоядерным системам [28, 29] (табл. 3, 4) и протолитическим свойствам HEDP [9] (табл. 1) показало их
существенные отличия, что свидетельствует о гетероядерном комплексообразовании.
Табл. 3 Матрицы стехиометрии и константы образования в системе Mn(II) -
HEDP [29]
|
№
|
Равновесие
|
n
|
lgKр, δ≤0.16
|
lgβ, δ≤0.2
|
|
1
|
Mn2+ + H4L MnL2- + 4H+
|
4.0
|
-12.47
|
11.2
|
|
2
|
Mn2+ + 2H4L MnH5L2- + 3H+
|
3.0
|
-0.78
|
5.5
|
|
3
|
Mn2+ + 2H4L MnH4L22-
+ 4H+
|
4.0
|
-2.50
|
6.8
|
|
4
|
Mn2+ + 2H4L MnH3L23-
+ 5H+
|
5.0
|
-7.20
|
9.7
|
|
5
|
Mn2+ + 2H4L MnH2L24-
+ 6H+
|
6.0
|
-13.77
|
10.6
|
|
6
|
Mn2+ + 2H4L MnHL25- + 7H+
|
7.0
|
-21.49
|
14.4
|
|
7
|
Mn2+ + 2H4L MnL26- + 8H+
|
8.0
|
-31.28
|
16.1
|
|
8
|
2Mn2+ + 2H4L Mn2H3L2-
+ 5H+
|
2.5
|
-4.21
|
12.7
|
|
9
|
2Mn2+ + 2H4L Mn2H2L22-
+ 6H+
|
3.0
|
-8.55
|
15.9
|
|
10
|
2Mn2+ + 2H4L Mn2HL23-
+ 7H+
|
3.5
|
-14.75
|
21.2
|
Табл.4 Матрица стехиометрии и константы
образования иустойчивости в системе «Gd3+ - HEDP» [28]
|
№
|
H4L l*)
|
Gd3+
m*)
|
K+ k*)
|
-H+ h*)
|
n
|
Форма
|
lgКр
δ≤0.19
|
lgβуст. (lgПР) δ≤0.4
|
|
1
|
1
|
1
|
0
|
2
|
2.0
|
GdH2L+
|
14.31
|
19.0
|
|
2
|
2
|
1
|
0
|
1
|
0.5
|
GdH7L22+
|
22.58
|
24.3
|
|
3
|
2
|
1
|
0
|
3
|
1.5
|
GdH5L20
|
19.87
|
26.2
|
|
4
|
2
|
1
|
0
|
4
|
2.0
|
GdH4L2-
|
19.03
|
28.4
|
|
5
|
2
|
1
|
0
|
5
|
2.5
|
GdH3L22-
|
12.87
|
29.8
|
|
6
|
2
|
2
|
0
|
8
|
4.0
|
Gd2L22-
|
20.17
|
67.6
|
|
7
|
2
|
2
|
0
|
9
|
4.5
|
Gd2L2(OH)3-
|
11.82
|
73.2
|
|
8
|
1
|
2
|
0
|
2
|
2.0
|
Gd2H2L4+
|
17.12
|
|
9
|
1
|
2
|
0
|
3
|
3.0
|
Gd2HL3+
|
16.70
|
28.9
|
|
10
|
1
|
2
|
0
|
4
|
4.0
|
Gd2L2+
|
13.48
|
37.2
|
|
11
|
1
|
2
|
0
|
5
|
5.0
|
Gd2L(OH)+
|
6.38
|
44.1
|
|
12
|
1
|
2
|
0
|
6
|
6.0
|
Gd2L(OH)2↓
|
-1.60**)
|
(-50.1)
|
|
13
|
2
|
2
|
0
|
6
|
3.0
|
Gd2H2L2↓
|
-30.20**)
|
(-54.6)
|
|
14
|
3
|
2
|
0
|
6
|
2.0
|
Gd2H6L3↓
|
-42.61**)
|
(-56.5)
|
|
15
|
2
|
2
|
1
|
7
|
3.5
|
KGd2HL2↓
|
-30.49**)
|
(-66.4)
|
|
16
|
2
|
2
|
1
|
9
|
4.5
|
K3Gd2L2(OH)↓
|
-20.45**)
|
(-81.9)
|
*) для равновесия:
(11)
**)для растворения осадка:
Введение в матрицу кроме гадолиниевых и марганцевых комплексов, а также
кислотно-основных свойств HEDP
[9] дополнительно различных гетероядерных форм, способствовало значительному улучшению общей картины, при этом
математическое моделирование дало возможность корректно описать данную систему
(табл. 6); F-критерий Фишера составил 0.20 (рис. 4).
Итоговые данные по стехиометрии и константам образования соответствующих
форм приведены в таблице 6, а доли накопления форм в зависимости от
концентрационных условий (табл. 5) - на рисунках 5-8.

Рис.3 Экспериментально полученные и
теоретически рассчитанные с использованием только гомоядерных форм комлексов
кривые зависимости функции Бьеррума (1-я базисная частица - лиганд) от pH
Табл. 5 Концентрационные условия для
системы "Gd-Mn-HEDP" (Vнач.=50м(для pH-потенциометрии), T=250C)
|
№
|
CMn2+
|
CGd3+
|
CHEDP
|
CKOH
|
Условное обозначение
|
|
1
|
0,00965
|
0,01008
|
0,0575
|
0,225
|
1-1-5
|
|
2
|
0,00965
|
0,01008
|
0,0345
|
0,1313
|
1-1-3
|
|
3
|
0,00965
|
0,0108
|
0,0230
|
0,0925
|
1-1-2
|
|
4
|
0,00965
|
0,0102
|
0,0115
|
0,0441
|
1-1-1
|
Рис. 4 Экспериментально и теоретически
полученные кривые: зависимости функции Бьеррума (1-я
базисная частица - лиганд) от pH; Fкр=0,20.
Табл. 6 Матрицы стехиометрии и константы
образования в системе Gd(III) - Mn(II) - HEDP
|
№
|
Равновесие
|
n
|
lgKр, δ≤0.20
|
lgβ, (lgПР), δ≤0.3
|
|
1
|
Mn2+ + 2H4L MnL26- +8H+
|
4.0
|
-31.28
|
16.1
|
|
2
|
Gd3+ + 2H4L GdH4L2-
+4H+
|
2.0
|
19.03
|
28.4
|
|
3
|
Gd3++Mn2+ +
2H4L GdMnH5L22+ + 3H+
|
1.5
|
31.91
|
37.5
|
|
4
|
Gd3++Mn2+ +
2H4L GdMnH4L2+ + 4H+
|
2.0
|
30.26
|
39.6
|
|
5
|
Gd3++Mn2+ +
2H4L GdMnH3L2↓ + 5H+
|
2.5
|
26.28
|
43.0
|
|
6
|
Gd3++Mn2+ +
2H4L GdMnH2L2-1 + 6H+
|
3.0
|
20.44
|
45.0
|
|
7
|
Gd3++ Mn2+ +
2H4L GdMnHL22- +7H+
|
3.5
|
13.01
|
49.3
|
|
8
|
Gd3++ Mn2+ +
2H4L GdMnL23- + 8H+
|
4.0
|
5.72
|
53.1
|
|
9
|
Gd3++ Mn2+ +
2H4L GdMnL2(OH)4- + 9H+
|
4.5
|
-5.73
|
55.6
|
|
10
|
Gd3+ +Mn2+ +
3H4L GdMnH7L3↓ + 5H+
|
1.7
|
30.91
|
52.4
|
|
11
|
Gd3+ +Mn2+ +
3H4L GdMnH6L3-1 + 6H+
|
2.0
|
29.34
|
43.4
|
|
12
|
2Gd3+ + 2H4L K3Gd2L2(OH)↓+
9H+
|
4.5
|
-20.45*)
|
(-81.9)
|
|
13
|
Gd3+ + H4L GdH2L++ 2H+
|
2.0
|
14.31
|
19.0
|
|
14
|
2Gd3+ + 2H4L+K+ KGd2HL2↓+
7H+
|
3.5
|
-30.49*)
|
(-66.4)
|
|
15
|
2Gd3+ +2Mn2+
+ 2H4L Gd2Mn2H2L24++
6H+
|
3.0
|
37.72
|
62.2
|
|
16
|
Gd3+ +Mn2+ +
H4L GdMnL++ 4H+
|
4.0
|
14.02
|
37.7
|
|
17
|
Gd3+ +Mn2+ +
H4L GdMnL(OH)2↓+ 6H+
|
6.0
|
-6.99*)
|
44.71
|
*)для растворения осадка:
Рис.5 Зависимости долей накопления (по
отношению к металлу) от pH
среды при СMn(II)=0,00965 моль/л,CGd(III)=0,01008 моль/л и СHEDP=0,0575 моль/л
Рис. 6 Зависимости долей накопления (по отношению к
металлу) от pH среды при СMn(II) =0,00965 моль/л, CGd(III) =0,01008
моль/л и СHEDP=0,0345 моль/л
Рис. 7Зависимости долей накопления (по
отношению к металлу) от pH среды при СMn(II) =0,00965 моль/л, CGd(III)
=0,0108 моль/л и СHEDP=0,0230 моль/л
Рис. 8 Зависимости
долей накопления (по отношению к металлу) от pH среды при СMn(II)
=0,00965 моль/л, CGd(III) =0,0102 моль/л и СHEDP=0,0115
моль/л
Таким образом, методом рН-потенциометрии нами была изучена
гетероядерная система Gd3+ - Mn2+ - HEDP, при концентрации
марганца (II) 0,00965 моль/л, концентрации Gd (III) в диапазоне 0,0102-0,0108моль/л
и при разных концентрациях лиганда (табл. 5). Было установлено, что в системе Gd3+ - Mn2+ - HEDP
при значительном избытке лиганда преимущественно накапливаются биядерные (GdMnH6L3-1,GdMnL23-, GdMnH2L2-1) комплексы. При незначительном избытке лиганда наблюдается большее разнообразие
преимущественно накапливающихся гетероядерных форм (GdMnH5L22+,GdMnH4L2+,GdMnH3L20,GdMnH2L2-1, GdMnL23-), а в
отсутствие избытка лиганда наибольшая доля накопления наблюдалась у комплексов,
накопление которых в остальных сериях не наблюдалось, без учета калиевого
комплекса, накопление которого в остальных сериях не превышает 10-11% (Gd2Mn2H2L24+ GdMnL+, K3Gd2L2(OH)↓). В
системе также присутствуют небольшие доли моноядерных
бискомплексов (GdH4L2-, GdH2L+), а в щелочной среде при избытке лиганда
наблюдается накопление гомоядерного комплекса марганца (MnL26-). Для каждой из форм
были рассчитаны константы устойчивости (табл. 6). При значительном избытке
лиганда (рис.5,6) комплексообразование протекает по следующей схеме:
GdMnH3L2
GdMnH5L22-
GdMnH6L3-1
GdMnH2L2
GdMnL23-
GdMnL2(OH)2-
(19)
GdMnH3L2
Картина комплексообразования несильно меняется в случае с
небольшим избытком лиганда (рис.7):
GdMnH6L31-
GdMnH3L20 (20)
GdMnH5L22+
GdMnH4L2
GdMnH3L20
GdMnH2L21-
GdMnL2(OH)2-
GdMnL23+
Значительные изменения происходят в процессе
комплексообразования при равных соотношениях металл: металл: лиганд(рис.8):
GdMnH5L22-
Gd2Mn2H2L24+
GdMnL+
K3Gd2L2(OH)
(21)
Как следует из ранее полученных данных, в системе Mn2+ - HEDP
образуется[29] 10 комплексных форм (из них 3 - биядерные), а в системе Gd3+
- HEDP образуется[28] - 16 комплексных форм (из них 3 - биядерные). При этом
следует заметить, что комплексы марганца(II) существенно менее прочные, чем
комплексы гадолиния(III). При совместном же присутствии в растворе обоих катионов
уже в сильнокислой области рН наблюдается накопление гетероядерных форм,
которые с ростом рН, в результате процесса удаления протона, переходят в
гетероядерные комплексы с соотношениями Gd:Mn:HEDP, равным 1:1:1, 1:1:2 и
1:1:3. При этом из гомоядерных форм в растворе обнаруживаются лишь пять
комплексов: MnL26- , GdH4L2-,
GdH2L+ , KGd2HL2↓, K3Gd2L2(OH)↓.
Таким образом, гетероядерные комплексы существенно более
прочные и замещают гомоядерные формыMn(ii), не давая им накапливаться в растворе.
Причиной этого может быть существенно меньший радиус (в 1.5 раза) иона
марганца(II) по сравнению с ионом гадолиния(III), что уменьшает
межкатионное отталкивание в структуре гетероядерных комплексов. Такая же
ситуация реализуется в системах гадолиний(III) - кальций(II) - HEDP[28] и эрбий(III) - кальций(II) - HEDP[11]. Не исключено
также, что комбинация "жесткого", орбитально контролируемого
ковалентного связывания ионов марганца(II) и
"подвижного" электростатического ионного взаимодействия с
нуклеофильными центрами лиганда в случае гадолиния(III) приводит к
энергетически оптимальным конфигурациям гетероядерных комплексов.
Также нашей исследовательской группой, были обработаны
магнитно-релаксационные характеристики по 3-м сериям и проведены сравнительные
измерения спин-спинового коэффициента релаксационной эффективности в
гетероядерной и гомоядерных системах для одинаковых концентрационных условий и
физиологическом значении рН (7.4). КРЭ2 для марганец-содержащей
системы[29] составляет 2500 л·моль-1·с-1, для
гадолиний-содержащей системы[3] - 5500 л·моль-1·с-1. В
гетероядерной системе КРЭ2 имеет значение 6700 л·моль-1·с-1(рис.
9) (при расчете использовалась сумма концентраций парамагнетиков). Таким
образом, гетероядерная система как контрастный реагент является более предпочтительной
в МРТ.
Рис. 9 Зависимость коэффициента релаксационной
эффективности от pH для различных серий
Кроме того было промоделировано введение раствора (при СMn2+=
0.00965 моль/л, CGd3+= 0.0108 моль/л, СHEDP=
0.0230 моль/л, рН=7,40) с гетероядерными соединениями в организм человека,
предусматривающее 1000-кратное (5мл. раствора на 5л. крови человека)
разбавление. Расчет показал, что свободные катионы отсутствуют ([Mn2+]~10-11
моль/л, [Gd3+] ~10-18 моль/л), а в растворе находятся
лишь три комплекса и они - гетероядерные: GdMnH2L21-, GdMnHL22-, GdMnL23-, доли которых
соответственно составляют 30, 29 и 41%. Таким образом, следует полагать, что
использование выбранной системы в качестве МРТ-контрастного реагента может быть
оправдано и с точки зрения достаточной прочности накапливающихся комплексов.
ГЛАВА 4.
КОМПЛЕКСООБРАЗОВАНИЕ В СИСТЕМЕ "Gd(III)-Fe(III)-HEDP"
Было проведено pH-метрическое
титрование при различных концентрациях, указанных в таблице7.Сравнение (рис.
10) экспериментальных кривых и кривых, рассчитанных без учета образования
гетероядерных комплексов на основе данных по гомоядерным системам (табл. 4, 8)
и протолитическим свойствам HEDP
[9] (табл. 1), показало их существенные отличия, что свидетельствует о
гетероядерном комплексообразовании.
Рис. 10 Экспериментально полученные и
теоретически рассчитанные с использованием форм гомоядерных комплексов кривые
зависимости функции Бьеррума (1-ая базисная - Gd(iii)) от pH.
Табл.7 Концентрационные условия для системы«Gd(III) - Fe(III) - HEDP» (Vнач.=
25 мл, T = 25 0C).
|
№
|
CоFe3+, моль/л
|
CоFe3+, моль/л
|
CоHEDP, моль/л
|
CоKOH, моль/л
|
Условное обозначение
|
|
1
|
0.0114
|
0.0104
|
0.0121
|
0.0497
|
1-1-1
|
|
2
|
0.0114
|
0.0104
|
0.0241
|
0.0993
|
1-1-2
|
|
3
|
0.0114
|
0.0104
|
0.0482
|
0.1924
|
1-1-4
|
|
4
|
0.0114
|
0.0104
|
0.0723
|
0.2880
|
1-1-6
|
Таблица 8 Матрицы стехиометрии и константы образования (lgKр)и константы устойчивости (lgβ)в системе Fe(III) - HEDP[10]
|
№
|
Равновесие
|
n
|
lgKр, δ≤0.2
|
lgβ, δ≤0.3
|
|
1
|
Fe3+ + H4L FeL- + 4H+
|
4.0
|
10.6
|
33.7
|
|
2
|
Fe3+ + H4L FeL(OH)2-+ 5H+
|
5.0
|
3.0
|
12.8
|
|
3
|
Fe3+ + 2H4L FeL2(OH)6-+ 9H+
|
9.0
|
-19.4
|
14.4
|
|
4
|
Fe3+ + 2H4L FeHL24- + 7H+
|
7.0
|
-11.0
|
24.9
|
|
5
|
3Fe3+ + 3H4L Fe3H2L3- + 10H+
|
3.3
|
42.3
|
90.4
|
|
6
|
Fe3+ + 3H4L FeH6L33- + 6H+
|
6.0
|
12.2
|
26.2
|
|
7
|
Fe3+ + 3H4L FeH5L34- + 7H+
|
7.0
|
8.0
|
29.6
|
|
8
|
2Fe3+ + 2H4L Fe2L2(OH)3- + 9H+
|
4.5
|
16.1
|
49.5
|
Добавление в матрицу различных гетероядерных форм, по принципам,
изложенным в разделе 2.2.3., способствовало значительному улучшению общей
картины. При этом математическое моделирование дало возможность корректно
описать данную систему; F-критерий
Фишера составил 0.31 (рис.11).
Рис. 11 Экспериментально
и теоретически рассчитанные(табл.9) кривыезависимости функции Бьеррума (1-ая
базисная - Gd(iii))от pH.
Табл. 9 Матрицы стехиометрии и константы
образования в системе Gd(III ) -Fe(III) - HEDP
|
№
|
Gd3+
|
Fe3+
|
H4L
|
K+
|
H+
|
n
|
Форма
|
lgКр, δ≤0.19
|
lgβуст. (lgПР) δ≤0.4
|
|
1
|
0
|
1
|
1
|
0
|
4
|
4
|
FeL-
|
10.16
|
33.7
|
|
2
|
0
|
1
|
1
|
0
|
5
|
5
|
FeL(OH)2-
|
3.08
|
12.8
|
|
3
|
0
|
1
|
2
|
0
|
9
|
FeL2(OH)6-
|
-19.37
|
14.4
|
|
4
|
0
|
1
|
2
|
0
|
7
|
7
|
FeHL24-
|
-11.03
|
24.9
|
|
5
|
0
|
1
|
3
|
0
|
6
|
6
|
FeH6L33-
|
12.19
|
26.2
|
|
6
|
0
|
1
|
3
|
0
|
7
|
7
|
FeH5L34-
|
8.02
|
29.6
|
|
7
|
0
|
1
|
0
|
0
|
1
|
1
|
Fe(OH)2+
|
-2.56
|
11.4
|
|
8
|
0
|
1
|
0
|
0
|
2
|
2
|
Fe(OH)2+
|
-6.21
|
7.8
|
|
9
|
0
|
2
|
2
|
0
|
9
|
4.5
|
Fe2L2(OH)3-
|
16.11
|
49.5
|
|
10
|
1
|
0
|
1
|
0
|
2
|
2.0
|
GdH2L+
|
14.31
|
19.0
|
|
11
|
1
|
0
|
2
|
0
|
1
|
0.5
|
GdH7L22+
|
22.58
|
24.3
|
|
12
|
1
|
0
|
2
|
0
|
3
|
1.5
|
GdH5L20
|
19.87
|
26.2
|
|
13
|
1
|
0
|
2
|
0
|
4
|
2.0
|
GdH4L2-
|
19.03
|
28.4
|
|
14
|
1
|
0
|
2
|
0
|
5
|
2.5
|
GdH3L22-
|
12.87
|
29.8
|
|
15
|
1
|
1
|
1
|
0
|
4
|
4.0
|
GdFeL2+
|
16.51
|
40.2
|
|
16
|
1
|
1
|
1
|
0
|
5
|
5.0
|
GdFeL(OH)+
|
11.18
|
48.9
|
|
17
|
1
|
1
|
1
|
0
|
6
|
6.0
|
GdFeL(OH)20
|
5.12
|
56.8
|
|
18
|
1
|
1
|
1
|
0
|
7
|
7.0
|
GdFeL(OH)3-
|
-3.91
|
61.8
|
|
19
|
1
|
1
|
2
|
0
|
4
|
4.0
|
GdFeH4L22+
|
35.02
|
44.4
|
|
20
|
1
|
1
|
2
|
0
|
7
|
7.0
|
GdFeHL2-
|
28.84
|
64.7
|
|
21
|
1
|
1
|
2
|
0
|
8
|
8.0
|
GdFeL22-
|
22.34
|
69.7
|
|
22
|
1
|
1
|
2
|
0
|
9
|
9.0
|
GdFeL2(OH)3-
|
13.70
|
75.1
|
|
23
|
1
|
1
|
2
|
0
|
10
|
10.0
|
GdFeL2(OH)24-
|
3.08
|
78.5
|
|
24
|
1
|
1
|
2
|
0
|
11
|
11.0
|
GdFeL2(OH)35-
|
-8.54
|
80.9
|
|
25
|
1
|
2
|
3
|
0
|
10
|
10.0
|
GdFe2H2L3-
|
44.22
|
92.3
|
|
26
|
1
|
1
|
3
|
0
|
11
|
11.0
|
GdFeHL35-
|
13.31
|
72.9
|
|
27
|
1
|
1
|
3
|
0
|
12
|
12.0
|
GdFeL36-
|
5.19
|
76.3
|
|
28
|
1
|
1
|
3
|
0
|
13
|
13.0
|
GdFeL3(OH)7-
|
-5.56
|
79.5
|
|
29
|
1
|
1
|
2
|
0
|
6
|
6.0
|
GdFeH2L20
|
-34.85*)
|
-10.5
|
|
30
|
1
|
1
|
2
|
1
|
7
|
7.0
|
KGdFeHL20
|
-32.76*)
|
3.1
|
для растворения осадка:
«Наложение» матрицы, полученной на основе рН-метрических
данных, на ЯМР-релаксационные данные (рис. 16), подтвердило ее адекватность и
математическую достоверность. Итоговые данные по стехиометрии и константам
образования соответствующих форм приведены в таблице 9, а доли накопления форм в зависимости от
концентрационных условий - на рисунках 12-15.
Рис 12 Зависимости долей накопления от pH среды при CGd(III) = 0.0114 моль/л , CFe(III)
= 0.0104 моль/л и СHEDP = 0.0121 моль/л.
Рис 13 Зависимости долей накопленияот pH среды при CGd(III) = 0.0114 моль/л , CFe(III)
= 0.0104 моль/л и СHEDP = 0.0241 моль/л
Рис 14 Зависимости долей накопленияот pH среды при CGd(III) = 0.0114 моль/л , CFe(III)
= 0.0104 моль/л и СHEDP = 0.0482 моль/л
Рис 15 Зависимости долей накопления от pH среды при CGd(III) = 0.0114 моль/л, CFe(III)
= 0.0104 моль/л и СHEDP = 0.0723 моль/л
Таким образом, методом рН-потенциометрии нами была изучена
гетероядерная система Gd3+ - Fe3+ - HEDP, при концентрации железа(III) 0,0104 моль/л,
концентрации Gd (III) в диапазоне 0,0114моль/л при разных концентрациях лиганда
(табл. 7). Как следует из рисунков 12-15, в
системе Gd3+ -Fe3+ - HEDP при значительном избытке лиганда преимущественно
накапливаются следующие (FeH6L33-,GdH4L2-,GdFeL3(OH)7-) комплексы. При избытке лиганда наибольшая доля накопления
наблюдалась у комплексов (GdFeL36-,GdFeHL35-, GdFeL3(OH)7-,
GdMnL23-). При
небольшом избытке лиганда наблюдается бо́льшее разнообразие
преимущественно накапливающихся гетероядерных форм(GdFeH4L22+,
GdFeH2L20, GdFeHL2-,
GdFeL22-, GdFeL2(OH)3-). Для каждой из форм были рассчитаны константы
устойчивости(табл. 9).
Общая схема комплексообразования в системе Gd-Fe-HEDPбудет выглядет следующим образом:
а) в условиях избытка лиганда, б) для соотношения металл : металл :
лиганд 1:1:2 в) в условиях недостатка лиганда.
Как следует из ранее полученных данных[10], в системе Fe3+ - HEDP образуется(табл. 8) 8
комплексных форм (из них 2 - полиядерные), а в системе Gd3+ - HEDP
образуется [28] - 16 комплексных форм (из них 3 - биядерные). При совместном
присутствии в растворе обоих катионов накопление гетероядерных форм в кислой
области наблюдается только в отсутствии избытка лиганда, однако с ростом рН, в
результате отщепления протонов, гомоядерные формы переходят в гетероядерные
комплексы с соотношениями Gd:Fe:HEDP,
равным 1:1:1 и 1:1:2. При этом из гомоядерных форм в сильнокислом растворе
обнаруживаются лишь четыре комплекса: GdH5L20, GdH7L22+, GdH4L2-,
FeH6L33-.
Кроме того было промоделировано введение раствора (при концентрациях,
указанных в табл.7 и рН=7,40) с гетероядерными соединениями в организм человека,
предусматривающее 1000-кратное разбавление. Расчет показал, что свободные
катионы практически отсутствуют, а в растворе преобладают гетероядерные
комплексы (табл. 10). Таким образом, следует полагать, что использование
выбранной системы в качестве МРТ-контрастного реагента может быть оправдано
именно с точки зрения достаточной прочности накапливающихся комплексов.
Табл. 10 Сравнительная характеристика накапливающихся форм
при 1000 кратном разбавлении, pH=7.4
|
Gd(III)
|
Fe(III)
|
HEDP
|
H+
|
Форма
|
α, % (для разных
соотношений концентраций)
|
|
|
|
|
|
1-1-1
|
1-1-2
|
1-1-4
|
1-1-6
|
|
1
|
0
|
0
|
0
|
Gd(III), aqua
|
10
(5·10-7М)
|
~0
(10-23М)
|
~0
(10-20М)
|
~0
(10-21М)
|
|
0
|
1
|
0
|
0
|
Fe(III), aqua
|
~0
(10-16М)
|
~0
(10-26М)
|
~0
(10-26М)
|
~0
(10-26М)
|
|
0
|
1
|
1
|
4
|
FeL1-
|
-
|
-
|
4
|
5
|
|
0
|
1
|
1
|
5
|
FeL(OH)2-
|
-
|
-
|
8
|
10
|
|
1
|
0
|
2
|
5
|
GdH3L22-
|
-
|
10
|
17
|
21
|
|
1
|
1
|
1
|
5
|
3
|
-
|
-
|
-
|
|
1
|
1
|
1
|
6
|
GdFeL(OH)2
|
70
|
-
|
-
|
-
|
|
1
|
1
|
1
|
7
|
GdFeL(OH)31-
|
2
|
-
|
-
|
-
|
|
1
|
1
|
2
|
7
|
GdFeHL21-
|
2
|
10
|
7
|
7
|
|
1
|
1
|
2
|
8
|
GdFeL22-
|
13
|
76
|
60
|
54
|
|
1
|
1
|
2
|
9
|
GdFeL2(OH)3-
|
-
|
4
|
4
|
3
|
В исследовании были получены магнитно-релаксационные данные
по сериям (рис. 16) и проведено сравнение спин-спинового коэффициента
релаксационной эффективности в гетероядерной и гомоядерных системах для
одинаковых концентрационных условий и физиологическом значении рН (7.4). КРЭ2
для железо-содержащей системы [10] составляет 3000 л•моль-1•с-1,
для гадолиний-содержащей системы [28] - 5500 л•моль-1•с-1.
В гетероядерной системе КРЭ2 имеет значение 3700 л•моль-1•с-1
(при расчете использовалась сумма концентраций парамагнетиков). Таким образом,
гетероядерная система как контрастный реагент является более предпочтительной в
МРТ.
Рис.16 Зависимость коэффициента релаксационной
эффективности от pH для различных серий
Исходя из рис. 9 и 16 можно сделать вывод, что обе
изученные гетероядерные системы демонстрируют высокие значения КРЭ2
(для Gd-Mn-HEDP ~ 6700 M-1•с-1для Gd-Fe-HEDP ~ 3700 M-1•с-1и выше:
~ 8000 M-1•с-1при соотношении концентраций 1-1-2).В обеих
системах в растворе при физиологическом значении pH=7,40 доминируют
гетероядерные формы.
Высокая прочность гетероядерных комплексов в системеGd-Fe-HEDPпо сравнению с системой
Gd-Mn-HEDP(см. табл. 6 и 9)
продиктована большим ионным потенциалом трехзарядного иона железа (~3.82Å-1),что дает ему преимуществов образовании более
прочных связей перед двухзарядным ионом марганца (~2.06 Å-1), а также меньшим радиусом (0,78Å у Fe3+против 0,97 Åу Mn2+), что уменьшает
межкатионное отталкивание и позволяет найти более энергетически выгодную конфигурацию.
Таким образом, существуют общие положения для обеих
гетероядерных систем.
Во-первых, в них происходит замещение гомобиядерных форм на
гетероядерные, что говорит о более высокой устойчивости последних
[Сравнительную оценку устойчивости аналогов гомо- и
гетерополиядерных комплексов можно проводить, исходя из следующих соображений.
Если представить образование гетерополиядерного комплекса
уравнением
M'nLm + M''nLm 2M'n/2M''n/2Lm, (24)
то легко показать, что сдвиг равновесия вправо будет
происходить, если будет выполняться неравенство:
lgβуст.(M'n/2M''n/2Lm) > ½ [lgβуст.(M'nLm) + lgβуст.(M"nLm)] (25)
К сожалению, подобное сопоставление невозможно провести для
изученных систем, поскольку отсутствуют соответствующие аналоги (см. табл. 3,
4, 6, 8, 9)].
Во-вторых, гетероядерные формы показывают более высокое
значение КРЭ2 в сравнении с аналогичными гомоядерными системами, а
также демонстрируют более высокий процент накопления в практически важных для
медицины областях pH; при этом наблюдается крайне малое наличие свободных катионов,
что позволяет говорить о фактической их нетоксичности.
Основываясь на полученных данных можно предположить, что
гетероядерные комплексы исследованных в этой работе систем могут быть весьма
эффективно использованы в качестве контрастных реагентов и со временем прийти
на замену своим гомоядерным аналогам.
ОСНОВНЫЕ
РЕЗУЛЬТАТЫ И ВЫВОДЫ
1. Методами
pH-потенциометрии и протонной магнитной
релаксации в сочетании с методом математического моделирования установлены
стехиометрия, константы образования, коэффициенты релаксационной эффективности
и константы устойчивости комплексных форм в системах «Gd(III) -Mn(II)-HEDP» и «Gd(III) -Fe(III) -HEDP».
. Установлено,
что в гетероядерных системах наблюдается разнообразие и высокая устойчивость
гетероядерных комплексов, благодаря чему происходит
замещение гомополиядерных форм на гетероядерные. Причиной этого может
быть существенно меньший радиус 3d-
ионов по сравнению с ионом гадолиния(III), что уменьшает межкатионное отталкивание
в структуре гетероядерных комплексов. Кроме того, комбинация
"жесткого", орбитально контролируемого ковалентного связывания 3d- ионов и "подвижного"
электростатического ионного взаимодействия с нуклеофильными центрами лиганда в
случае гадолиния(III) приводит к энергетически оптимальным конфигурациям
гетероядерных комплексов.
Установлено, что
гетероядерные формы системы «Gd(III) -Fe(III) -HEDP»устойчивее гетероядерных комплексов
системы «Gd(III) -Mn(II) -HEDP». Это связано с существенно меньшим ионным радиусом и
большим ионным потенциалом Fe3+
в сравнении с Mn2+, что приводит к различиям в энергии
связей и пространственной координации донорных групп лиганда. Результаты
моделирования гетероядерных композиций в организм человека (с 1000-кратным
разбавлением) демонстрируют доминирование устойчивых гетероядерных форм с
высокими значениями коэффициента релаксационной эффективности и практически
нулевыми концентрациями свободных катионов.Это дает возможность говорить об
изученных гетероядерных системах как о потенциальных эффективных нетоксичных
МРТ контрастных реагентах.
3.
СПИСОК
ЛИТЕРАТУРЫ
1.Forgacs A., Regueiro-Figueroa M., Barriada J.L., Esteban-Gomez D., de Blas A., Rodriguez-Bias T., Botta M., Platas-Iglesias C. Mono‐, Bi‐, and Trinuclear Bis-Hydrated Mn2+ Complexes as Potential MRI Contrast Agents / A. Forgacs, M. Regueiro-Figueroa, J.L. Barriada, D. Esteban-Gomez, A. De Blas, T. Rodriguez-Bias, M. Botta , C. Platas-Iglesias//Inorg. Chem. -
2015. - V. 54, - P. A - B.
. Kołodynska D., Hubicki Z., Skiba A. Heavy Metal Ions
Removal in the Presence of 1-Hydroxyethane-1,1-diphosphonic Acid From Aqueous
Solutions on Polystyrene Anion Exchangers / D. Kołodynska, Z. Hubicki, A. Skiba// Ind. Eng. Chem. Res. - 2009. - N. 48, - P. 10584.
3. Мусин Д.Р.1-Гидроксиэтан-1,1-дифосфоновая кислота (hedp) и 1-аминоэтан-1,1-дифосфоновая
кислота (aedp): протолитические свойства,
комплексообразование с ионами кальция(ii) и лантаноидов(iii)
иттриевой подгруппы / Дис. канд. хим. наук; Д.Р.Мусин//Казанский (Приволжский)
федеральный университет. -Казань, - 2016. -158 c.
4. Kameda T., Shinmyou T., Yoshioka T.
Kinetic and equilibrium studies on the uptake of Nd3+ and Sr2+
by Li-Al layered double hydroxide intercalated with 1-hydroxyethane-1,1-diphosphonic
acid / T. Kameda, T. Shinmyou, T. Yoshioka// Journal of Industrial and
Engineering Chemistry. -2016. - V. 36, - P. 96 - 101.
. Uchtnan, V.A. Structural
investigations of calcium binding molecules. I. The crystal and molecular
structure of ethane-I-hydroxy-l.l-diphosphonic acid monohydrate / V.A. Uchtnan
// J. Phys. Chem. - 1972. - V. 76. - P. 1298-1304.
. Silvestre, J. P. Refinement by Neutron
Diffraction of the Crystal Structure of Hydroxyethylidene Bisphosphonic ACID
Monohydrate: C(CH3)(OH)(PO3H2)2•H2O
/ J. P. Silvestre, N. Q. Dao, G Heger, A. Cousson // Phosphorus, Sulfur and
Silicon - 2002. - V. 177. - P. 277-288.
. Afonin, G.G. X-Ray Identification of
1-Hydroxyethane-1,1-diphosphonic Acid / E. G. Afonin, G. G. Aleksandrov //
Russ. J. Gen. Chem. - 2003. - V. 73. - P. 340.
. Jansen D.R., Zeevaart J.R., Kolar
Z.I., Djanashvili K., Peters J.A., Krijger G.C. 31P NMR study of the
valence stability of tin in its 1-hydroxyethylene-diphosphonate (HEDP) and N,N′,N′-trimethylenephosphonate-polyethyleneimine
(PEI-MP) complexes / D.R. Jansen, J.R. Zeevaart, Z.I. Kolar, K. Djanashvili,
J.A. Peters, G.C. Krijger// Polyhedron. - 2008. - V. 27, - P. 1779 - 1781.
9. Мусин Д.Р Кислотно-основные свойства
1-гидроксиэтилидендифосфоновой кислоты (ОЭДФК) в водных растворах /Д.Р. Мусин,
А.В.Рубанов , Ф.В.Девятов // Ученые записки Казанского университета. Серия
Естественные науки. - 2011. - Т. 153. - C. 40-47.
. Ямалтдинова А.Ф.,Гомо- и гетероядерное
комплексообразование 1-гидрокси-1,1-бисфосфоновой кислоты (HEDP) с марганцем(II) и железом(III) в водных растворах /
А.Ф.Ямалтдинова // Дипл.работа, К(П)ФУ, Казань, - 2016. - 56 с.
11. Devyatov F., Musin D. Study of homo-
and heteronuclear complex formation in 1-hydroxyethylidene-1,1-diphosphonic
acid (HEDP)-erbium(III) and HEDP-erbium(III)-calcium(II) systems in an aqueous
solution / F. Devyatov, D. Musin// Russian chemical bulletin. -2015. - V. 64, -
P. 1866 - 1870.
12. Кропачева Т.Н. Комплексообразование железа
(III) c
оксиэтилидендифосфоновой кислотой в водных растворах / Кропачева Т.Н., Пагин
А.Н., Корнев В.И. // Вестник удмуртского университета. - 2012. - Вып. 4. - С.
64 .
. Дятлова Н.М. Комплексоны и комплексонаты
металлов / Дятлова Н.М., Темкина В.Я., Попов К.И //. М.: Химия. - 1988. - С.
544.
. Lacour S. Complexation of trivalent
cations (Al(III), Cr(III), Fe(III)) with two phosphonic acids in the pH range
of fresh waters / Lacour S., Deluchat V., Bollinger J.C., Serpaud B // Talanta.
- 1998. -V. 46. - P. 999-1009.
15. Васильев В.П. Комплексообразование Fe3+ с оксиэтилидендифосфоно-вой
кислотой / Васильев В.П, Козловский Е.В., Сердюков В.В // Журн. неорг. химии. -
1990. - Т. 35. - N. 2. - С. 373-376.
. Gumienna-Kontecka E. H. Bisphosphonate chelating agents: complexation of Fe(III) and Al(III) by 1-phenyl-1-hydroxymethylene bisphosphonate and its analogues / Gumienna-Kontecka E., Silvagni R., Lipinski R., Lecoyvey M., Marincola F.C., Crisponi G., Nurchi V.M., Leroux Y., Kozlowski // Inorg. Chim. Acta. - 2002. - V. 339. - P. 111-118. 31.
. Кабачник М.И. О комплексообразующих свойствах
оксиэтилидендифос-фоновой кислоты в водных растворах/ М.И. Кабачник, Р.П.
Ластовский, Т.Я. Медведь //ДАН СССР. - 1967. - Т. 177. - С. 582.
. Claessens, R. Stability-constant of tin(II) and calcium diphoshonat complexes/ R. Claessens, J. Van der Linden //Inorg. Biochem. - 1984. - V. 21. - P. 73.
19. Wada H. Interaction of
methanehydroxyphosphonic acid and ethane-1-hydroxy- 1,1-diphosphonic acid with
alkali and alkaline earth metal ions / H. Wada, Q. Fernando // Anal. Chem. -
1972. - V. 44. - P. 1640-1643.
. Silvestre, J.P. A neutron diffraction
study of the rubidium trihydrogen 1-hydroxy 1,1 - ethanedi(phosphonate)
dihydrate / J.P. Silvestre, I. Brouche-Waksman, G. Heger, N. Q. Dao // New J.
Chem. - 1990. - V. 14, N. 1. - P. 29.
21. Школьникова, Л.М. Кристаллическая и
молекулярная структура дигидрата [1-оксиэтилидендифосфоната (1-)] калия и
дигидрата [1-оксиэтилидендифосфонато (1-)] аммония / Л. М. Школьникова, А. А.
Масюк, Г. В. Полянчук // Координационная химия. - 1989. - Т. 15, №. 4. - С.
486-495.
. Barnard W., Paul S.O., Rooyen P.H.,
Cukrowski I. The analysis of pH-dependent protonated conformers of
1-hydroxyethylidene-1,1-diphosphonic acid by means of FT-Raman spectroscopy,
multivariate curve resolution and DFT modelling / W. Barnard, S.O. Paul, P.H.
Rooyen, I. Cukrowski// J. Raman Spectrosc. -2009. - V. 40, - P. 1935 - 1941.
. Gale E.M., Atanasova I.P., Blasi F.,
Ay I., Caravan P. A Manganese Alternative to Gadolinium for MRI Contrast / E.M.
Gale, I.P. Atanasova, F. Blasi, I. Ay, P. Caravan// J. Am. Chem. Soc. - 2015. -
V. 137, - P. 2 - 5.
. Islam M.K., Kim S., Kim H.K., Park S.,
Lee G.H., Kang H.J., Jung J.C., Park J.S., Kim T.J., Chan Y. Manganese Complex
of Ethylenediaminetetraacetic Acid (EDTA) − Benzothiazole Aniline (BTA)
Conjugate as a Potential Liver-Targeting MRI Contrast Agent / M.K. Islam, S.
Kim, H.K. Kim, S. Park, G.H. Lee, H.J. Kang, J.C. Jung, J.S. Park, T.J. Kim, Y.
Chan// J Med Chem. - 2017. - V. 60, - P. 2997.
. Elhabiri M., Abada S., Sy M., Nonat
A., Choquet Ph., Esteban-Gumez D., Cassino C., Platas-Iglesias C., Botta M., Charbonniere
L. J. Importance of Outer-Sphere and Aggregation Phenomena in the Relaxation
Properties of Phosphonated Gadolinium Complexes with Potential Applications as
MRI Contrast Agents / M. Elhabiri, S. Abada, M. Sy, A. Nonat, Ph. Choquet, D.
Esteban-Gumez, C. Cassino, C. Platas-Iglesias, M. Botta, L. J. Charbonniere//
Chem. Eur. J. - 2015. - N. 21 - P. 6535 - 6543.
. Srivastava K., Weitz E.A., Peterson
K.L., Marjańska M., Pierre
V.C. Fe- and Ln-DOTAm-F12 Are Effective Paramagnetic Fluorine Contrast Agents
for MRI in Water and Blood / K. Srivastava, E.A. Weitz, K.L. Peterson, M. Marjańska, V.C. Pierre// Inorg. Chem. - 2017. - P. 1546 -
1557.
. Cardoso B.P., Vicente A.I., Ward
J.B.J., Sebastião P.J., Chávez F.V., Barroso S., Carvalho A., Keely S.J.
Fe(III) salEen derived Schiff base complexes as potential contrast agents /
B.P. Cardoso, A.I. Vicente, J.B.J. Ward, P.J. Sebastião, F.V. Chávez, S. Barroso,
A. Carvalho, S.J. Keely// Inorganica Chimica Acta. - 2015. - V. 432, - P. 258 -
266.
28. ДевятовФ.В., Д.Р. Мусин.
Комплексообразованиевсистемахгадолиний(III)
1-гидроксиэтилидендифосфоноваякислотаикальций(II)
1-гидроксиэтилидендифосфоновая кислота в водных растворах / Ф.В. Девятов, Д.Р.
Мусин// Журнал общей химии. - 2012. - Т. 83, вып. 11. - С. 1788-1795.
. BogatyrevO., YamaltdinovaA., DevyatovF. Complexationof 1-Hydroxyethylidene-1, 1-DiphosphonicAcid (HEDP) andManganese (II) inAqueousSolution / O. Bogatyrev, A. Yamaltdinova, F. Devyatov// UchenyeZapiskiKazanskogoUniversiteta. - 2016. - V. 158, - P. 44 - 54.
. Попель А.А. Магнитно-релаксационный метод
анализа неорганических веществ / А.А. Попель // Москва Химия, 1978. - 222 c.].
.Вашман, А.А. Ядерная магнитная релаксация и её
применение в химии / А.А. Вашман, И.С. Пронин // Москва, Наука. - 1979. - 236
с.
. Бойченко А.П. Пересмотренные данные о
кислотно-основных свойствах алендроновой кислоты в воде и организованных
растворах и методика простого титриметрического определения алендроната натрия
/ Бойченко А.П., Марков В.В., Иващенко А.Л., Спирина Е.Ю., Логинова Л.П. //
Вісник Харківського національного університету. - 2007. - № 770. - Вып. 15(38).
- С. 62 - 69.
.Алексеев В.Н. Количественный анализ //Москва,
Высш.школа. - 1972. - С. 504.
. Пршибил Р. Комплексоны в химическом анализе /
Пршибил Р., Корыта И. // Москва, Издательство иностранной литературы. - 1960. -
С. 313-314.
35. Blombergen N.J. The relaxation
processes in NMR / N.J. Blombergen, E.M. Pursell, R.V. Pound // Phys. Rev. -
1948. - V. 53, № 7. - P. 679-712.
. Solomon J. The relaxation processes in
the interacting systems / J. Solomon // Phys. Rev. - 1955. - V. 99, N. 2. - P.
559-565.
. Blombergen N.J. Proton relaxation
times of paramagnetic solutions / N.J. Blombergen // Phys. Rev. - 1957. - V. 27, N. 2. - P. 537-572.
.Золин, В. Ф. Редкоземельный зонд в химии и
биологии / В. Ф. Золин, Л. Г. Коренева // Москва : Наука. - 1980. - 350 c.
. Девятов Ф.В. Исследование гомо - и
гетероцентровых комплексов гадолиния(III) и ионов иттриевой группы с лимонной и
трикарбаллиловой кислотами магнитно-релаксационным методом в водных растворах:
Дисс. … канд. хим. наук: 02.00.01 / Девятов Федор Владимирович. - Казань, 1980.
- 196 c.
.Журавлева Н.Е. Гомо- и гетерополиядерные
координационные соединения 4f- ионов иттриевой группы и некоторых 3d- ионов в
цитратрых водных растворах: Дисс. … канд. хим. наук: 02.00.01 / Н.Е. Журавлева.
- Казань, 1986. - 214 с.
. Соловский А.А. Исследование гомо- и
гетероядерных комплексов ионов железа(III), кобальта(II), никеля(II), меди(II)
с d- и dl- винными кислотами методом ядерной магнитной релаксации: Дис. … канд.
хим. наук: 02.00.01 / А.А. Соловский. - Казань, 1985. - 255 c.
.Вашман И.А. Ядерная магнитная релаксация и ее
применение в химической физике / И.А. Вашман, И.С. Пронин. - М.: Наука, 1979. -
224 c.
. Фаррар Т. Импульсная и фурье-спектроскопия
ЯМР / Т. Фаррар, Э. Беккер. - М.: Мир, 1973. - 169 c.
44. Hinton J. NMR studies of ions in
pure and mixed solvents / J. Hinton, E.S. Amis // Chem. Phys. - 1967. - V. 67,
N. 4. - P. 367-392.
. Blombergen N.J. Proton relaxation
times in paramagnetic solution. Effect of electron spin relaxation /
N.J.Bloembergen, L.O. Morgan // J. Chem. Phys. - 1961. - V. 31, N 3. - P. 842-850.
.Керрингтон А. Магнитный резонанс и его
применение в химии / А. Керрингтон, Э. Мак-Лечлан. - М.: Мир. 1970. - 248 c.
.Драго Р. Физические методы в химии / Р. Драго.
- М.: Мир, 1981. - Т. 1. - 424 c.
. Васильев В.П. Термодинамические свойства
растворов электролитов / В.П. Васильев М.: Высш. школа. 1982. - 320 с.
. Сальников Ю.И. Полиядерные комплексы в
растворах / Ю.И. Cальников, А.Н. Глебов, Ф.В. Девятов // Казань.: изд-во
Казанск. ун-та. 1989. - 288 c.
Размещено на Аllbеst.ru