Особенности Я-концепции лиц, страдающих онкологическими заболеваниями
МИНИСТЕРСТВО ОБРАЗОВАНИЯ И НАУКИ
РОССИЙСКОЙ ФЕДЕРАЦИИ
Федеральное государственное бюджетное
образовательное учреждение
высшего образования
«Пермский государственный
национальный
исследовательский университет»
Кафедра общей и клинической
психологии
Выпускная квалификационная работа
Особенности Я-концепции лиц,
страдающих онкологическими заболеваниями
Михайлова Е.А.
ПЕРМЬ 2016
Введение
Проблема сохранения здоровья в ситуации онкологического заболевания
является актуальной областью современных психологических исследований,
востребованной в рамках практической медицины и психологии, в силу высокой
распространенности и выраженной тенденции роста онкологического заболевания,
как в нашей стране, так и за рубежом. Несмотря на значительные научные достижения
в области психоонкологии, не решена проблема взаимного влияния ситуации
онкологического заболевания и психологических факторов.
Данная ситуация обостряется тем, что факт наличия онкологического
заболевания является сильным психотравмирующим фактором. Характер отношения к
факту наличия онкологического заболевания и особенностей саморегуляции влияют
на преодоление пациентом трудностей болезни, возможности совладения и способы
построения им внутренней картины болезни и являются важным фактором психологической
адаптации личности больного.
Онкологическое заболевание имеет широкий спектр воздействия на человека.
Я-концепция - важный структурный элемент психического облика личности. На
сегодняшний день существует множество исследований, посвященных Я-концепции, ее
развитию и измерению. Разнообразие теорий, некоторые из которых являются
достаточно противоречивыми, и недостаточность сведений об этом феномене
обосновывают актуальность изучения данной части личности. В исследованиях
отечественных психологов (А.Ш. Тхостов, Б.А. Фетисов, Н.А. Русина, Н.А.
Сирота), в результате сопоставлений групп испытуемых без онкологического
заболеванияи онкологических больных, отмечались значимые различия в
особенностях Я-концепции.
Лечение и реабилитация онкологических больных является важной проблемой,
как в медицинской, так и в психологической науке. Данной теме в литературе в
последние годы посвящается все больше исследований.
Новизна исследования заключается в изучении взаимосвязей уровня
самооценки, уровня самоэффективности и содержательных характеристик Я-концепции
у лиц, страдающих онкологическими заболеваниями, а также сравнение данных
характеристик у онкологических больных с лицами, не имеющими онкологических
заболеваний.
Объектом исследования являются лица, имеющие онкологические заболевания.
Предметом исследования являются особенности Я-концепции лиц, страдающих
онкологическими заболеваниями.
Гипотеза исследования:
Онкологические больные и лица без онкологических заболеваний имеют
значимые различия в определении содержательных характеристик Я-концепции.
Цель исследования состоит в изучении особенностей Я-концепции
онкологических больных.
Задачи исследования:
) Проанализировать теоретические проблемы Я-концепции онкологических
больных;
) Изучить особенностей Я-концепции лиц, страдающих онкологическим
заболеванием;
) Изучить особенностей Я-концепции лиц, не имеющих онкологических
заболеваний;
) Сравнить особенностей Я-концепции онкологических больных и лиц без
онкологических заболеваний.
Выборка включила в себя 60 человек (30 человек с онкологическим
заболеванием - экспериментальная группа и 30 человек без онкологического
заболевания - контрольная группа) от 26 до 82 лет. Все выборки уравнены по
полу.
Методы:
. Тест Куна-Макпартленда (Методика «Кто я?»);
. Методика нахождения количественного уровня выражения уровня самооценки
по Будасси;
. Шкала общей самоэффективности Шварцер Ральф и Маттиас Ерусалем.
Теоретическая значимость исследования в том, что полученные результаты
позволят дополнить научные представления о взаимосвязи Я-концепции и наличия
онкологического заболевания.
Практическая значимость работы состоит в том, что полученные в нашем
исследовании результаты могут быть использованы в разработке программы
реабилитации людей, страдающих онкологическими заболеваниями.
Глава 1.
Теоретические предпосылки изучения особенности Я-концепции у лиц, страдающих
онкологическими заболеваниями.
.1 Психоонкология. Современные направления исследования
Психологические особенности онкологических больных начали сначала активно
изучать на западе - в Австралии, Европе и США, потом и в России. Одним из
основателей психоонкологии как отдельного направления клинической психологии
стал S. Greer. Развитию психоонкологии способствовало выделение
психосоматической медицины в отдельную специальность.
Так, появилась психоонкология - наука о психологических, психических,
социальных и этнических факторах, имеющих отношение к развитию, предотвращении
и устранению онкологической патологии, а также об изучении психологических
отклонений и психиатрических расстройств у лиц, страдающих онкозаболеваниями.
[19] Более узкий термин "психосоциальная онкология" обозначает
изучение и работу с психологическими реакциями онкологических пациентов, членов
их семей и медицинского персонала.
Психоонкология рассматривает два основных психологических аспекта рака:
психологические реакции пациентов их семей и опекунов на рак на всех стадиях
заболевания ("онкопсихология"), и психологические, поведенческие и
социальные факторы, которые могут влиять на процесс болезни ("психосоциальная
онкология").
Одним из определений психоонкологии является - неотъемлемая отрасль
онкологии и психиатрии, психологическое исследование условий возникновения
рака. [1].
В соответствии с этим широким определением существующие вопросы в области
психоонкологии можно разделить на несколько групп.
Во-первых, какие психологические особенности возникают у больных как
результат самого заболевания. Эти особенности могут быть связаны с отношением к
болезни, к сложностям социализации, к тяжелым физическим состояниям. Все эти
факторы, считает А.Ш. Тхостов, могут провоцировать депрессивные состояния,
состояния тревожности, активизировать действие определенных защитных
механизмов, влиять на мотивационную сферу больных. Уменьшение влияния данных
факторов дает возможность больному эффективнее совладать с онкологическим
заболеванием.
Во-вторых, ставится задача предотвращения онкологических заболеваний и
ведется поиск психологических факторов, являющихся причиной или, по крайней
мере, одной из причин возникновения онкологических заболеваний. Здесь
анализируются психологические особенности, свойственные больным уже в
преморбиде, которые возникли не как реакция на болезнь, а скорее являлись одной
из причин заболевания. М.Г. Ивашкина предполагает, что влияя на эти факторы,
можно добиться существенного прогресса в лечении заболевания, в том числе
стойких ремиссий.
В-третьих, стоит вопрос о возможности улучшения качества жизни
онкологических больных, в том числе в терминальном периоде. Развитие этой темы,
считают С.И. Бояркина и М.Н. Панков, связано с развитием паллиативной медицины
как отдельного направления, а также с вопросами психологической адаптации
родственников к ситуации онкологического больного в семье.
В-четвертых, ведется поиск максимально эффективных методов психотерапии
как для облегчения физических симптомов, например, болевого синдрома, так и для
повышения эффективности лечения в целом. Исследования во всех этих направлениях
ведутся как в России, так и за рубежом. В России количество работ по психоонкологии
несравнимо меньше, что во многом обусловлено разрывом между психологической
наукой и медицинской, который в нашей стране до сих пор очень силен. [42]
Одним из важных достижений последних десятилетий в психоонкологии стало
изучение стресса, копинг-стратегий и реакций горя в ответ на развитие рака.
Йоханссон и его группа в Дании исследовали некоторые из мифов о влиянии
психологических факторов на развитие рака. Работа группы показала, что ни
личностные особенности, ни стресс, ни горе не приводят к увеличению риска
развития рака. Эта работа положила конец предположениям о роли стресса в
этиологии онкологических заболеваний, высказанным в ранних работах по
психосоциальной онкологии [48].
С помощью таких инструментов, как госпитальная шкала тревоги и депрессии
(HADS), симптомы тревоги определяются у 15‐28% пациентов.
Большое депрессивное расстройство встречается у 10-25% пациентов с
онкологическими заболеваниями.
Также важной областью является генетическое консультирование, которое
эффективно снижает общий уровень тревоги.
Психоонкология определяется как область онкологии, имеющая дело с двумя
аспектами болезни:
) психоэмоциональными реакциями пациентов и их семей на всех стадиях
болезни, а также психосоциальной нагрузкой на персонал;
) психологическими, социальными и поведенческими факторами, которые
способствуют возникновению рака и выживаемости. В настоящее время это
определение расширено и включает в себя поддержку пациентов, находящихся в
ремиссии, и их психосоциальные проблемы. Тот факт, что большая часть
онкологической помощи стала осуществляться в амбулаторных условиях, приводит к
увеличению нагрузки на семью, которая также нуждается в поддержке.
Психиатрическим осложнениям в процессе паллиативного лечения было уделено
особое внимание, как заботе о последних днях, особенно изучению эпидемиологии
расстройств аффективного спектра у паллиативных больных. В исследованиях также
большое внимание уделяется изучению психотических состояний у пациентов
паллиативной помощи.
Несмотря на гигантский прогресс в развитии психоонкологии в России, к
сожалению, психосоциальная поддержка все еще не является обязательной при уходе
за пациентами с онкологическими заболеваниями и остается доступной далеко не
всем. Насущной потребностью является стандартизация в России международных
моделей психофармакотерапии и психотерапевтической помощи онкологическим
пациентам, а также программ реабилитации на различных этапах лечения. Большого
внимание требуют подготовка специалистов к работе в составе междисциплинарной
команды, обучение интегративным подходам, учитывающим также роль
психосоциальных факторов при лечении онкологического заболевания.
В целом, состояние вопроса таково, что происходит накопление данных,
материалов, которое позволит в итоге максимально глубоко вникнуть в тему психологических
особенностей онкологических больных, психических нарушений, возникающих при
подобных заболеваниях, и извлечь из этого максимальную практическую пользу,
результаты, которые помогут медицине в эффективном лечении, максимально раннем
выявлении, а возможно и предотвращении онкологических заболеваний.
Вывод: Из анализа литературы стало известно, что психоонкология - это
наука о психологических, психических, социальных и этнических факторах, имеющих
отношение к развитию, предотвращении и устранению онкологической патологии, а
также об изучении психологических отклонений и психиатрических расстройств у
лиц, страдающих онкозаболеваниями. [19] Развитию психоонкологии в Австралии,
Европе и США, помимо роста исследований, способствовало выделение психосоматической
медицины в отдельную специальность, а также разработка обучающих программ и
привлечение в них молодых и активных психиатров.
На современном этапе в психоонкологии можно выделить следующие основные
вопросы, в рамках, которых ведутся исследования:
. Вопрос о психологических особенностях, возникающих у больных в качестве
результата наличия онкологического заболевания;2. Одним из ключевых вопросов,
который исследует психоонкология - является задача по предотвращению
онкологического заболевания и поиска психологических факторов, являющихся
причиной или одной из причин возникновения онкологического заболевания;
. Третьим важным аспектом изучения является улучшения качества жизни
онкологических больных, в том числе и терминальном периоде;
. А также ведется поиск максимально эффективных методов психотерапии для
облегчения болевых ощущений и для повышения эффективности лечения в целом.
Большинство исследований в рамках психоонкологии посвящено изучению таких
показателей как тревожность, мотивация, механизмы психологической защиты,
копинг-стратегии и стресс.
.2 Понятие
Я-концепции
«Я-концепция»
- система представлений индивида о самом себе, осознаваемая, рефлексивная часть
личности <https://ru.wikipedia.org/wiki/%D0%9B%D0%B8%D1%87%D0%BD%D0%BE%D1%81%D1%82%D1%8C>.
Я-концепция
- относительно устойчивая, в большей или меньшей степени осознанная,
переживаемая как неповторимая система представлений индивида о самом себе, на
основе которой он строит свое взаимодействие с другими людьми и относится к
себе. Я-концепция - целостный, хотя и не лишенный внутренних противоречий,
образ собственного Я, выступающий как установка по отношению к самому себе и
включающий компоненты: когнитивный - образ своих качеств, способностей,
внешности, социальной значимости и т. д. (самосознание); эмоциональный -
самоуважение, себялюбие, самоуничижение и т. д.; оценочно-волевой - стремление
повысить самооценку, завоевать уважение. [22]
"Я"-концепция
играет, по существу, троякую роль: она способствует внутренней согласованности
личности, определяет интерпретацию опыта и является источником ожиданий.
Стремление защитить "Я"-концепцию, оградить ее от разрушающих
воздействий является одним из основополагающих мотивов всякого нормального
поведения. [5]
Субъективно
переживание наличия собственного "Я" выражается в следующих его
главных функциях:
)
самоидентичности, т.е. целостности "Я" с чувством непрерывности,
сохранения и понимания тождественности самому себе в настоящем, прошлом и
будущем;
)
активности "Я" с чувством собственной автономности и независимости от
других;
)
защиты "Я" с чувством собственного достоинства;
)
самосовершенствования "Я" с чувством определенного рода линии
надежды, направленности на цели, реализация которых мыслится как будущее личной
жизни.
)
переживание наличия "Я" является результатом длительного процесса
формирования личности. Образ "Я" не статическое, а динамическое
образование личности индивида. Фактически у человека фиксируется не один образ
его "Я", а множество сменяющих друг друга "Я"-образов,
попеременно то выступающих на передний план самосознания, то утрачивающих свое
значение в данной ситуации социального взаимодействия.
В
"Я"-концепции можно выделить следующие "Я"-образы:
"Я"-реальное,
т.е. представление о себе в настоящем, текущем времени. Если человек говорит
или думает в какой-то момент времени о себе с презрением, то это не должно
восприниматься как стабильная характеристика его "Я"-образа. Более
чем вероятно, что его представление о себе сменится через некоторое время на
противоположное.
"Я"-идеальное
можно противопоставить "Я"-реальному представлению о себе.
"Я"-идеальное -это представления о том, каким бы хотел быть индивид в
данных конкретных условиях. "Я"-идеальное выступает как необходимый
ориентир самовоспитания личности.
Иногда
в "Я"-концепции выделяют еще -"Я"-фантастическое, т.е. то,
каким бы субъект пожелал стать, даже если невероятное оказалось возможным.
Фантастический образ своего "Я" имеет большое значение у детей,
особенно у подростков, в связи с их склонностью строить планы на будущее,
создание которых невозможно без фантазии и мечты. Однако преобладание в
структуре личности фантастических представлений о себе, которые не
сопровождаются осуществлением желаемого, не всегда положительное явление, т.к.
очевидное несовпадение желаемого и действительного могут дезорганизовать
самосознание и травмировать человека. -"Я"-зеркальное, т.е.
собственных представлений человека о том, каким он воспринимается глазами
окружающих его людей. Этот компонент "Я"-образа является существенным
для формирования личностной значимости и самооценки.
Сложность
"Я"-концепции понимается как число аспектов "Я",
воспринимаемых человеком, степень дифференциации "Я"-концепции. На
ранних стадиях самосознания происходит отделение человеком себя от других.
Далее "Я" в его сознании разделяется на неограниченное число частей.
Впоследствии у человека появляется тенденция оценивать себя в сравнении с
другими людьми. Этот процесс получил подробный анализ в теории социального сравнения
Л. Фестингера (1954).
Главным
положением теории является утверждение, что в основе стремления человека
правильно оценить свое мнение и способности в сравнении себя с другими лежит
потребность иметь ясную и определенную "Я"-концепцию. Через процесс
социального сравнения у человека устанавливаются рамки социального рассмотрения
"Я" как точки отсчета.
Проблему «я», самосознание личности и Я-концепцию изучали и изучают как
зарубежные (Д. Мид, К.Роджерс, У. Джемс, Ч. Кули, Э. Эриксон), так и отечественные
психологи (Г. Ананьев, И. С. Кон, Д. А. Леонтьев, А. Б. Орлов, В. В. Столин, А.
А. Реан, С. Л. Рубинштейн). Большой интерес к данной проблеме, скорее всего,
обусловлен пониманием того, что эти структуры представляют собой ядерные
основания личности, определяющие все стороны ее жизнедеятельности, являющиеся
важнейшим фактором благополучия человека. [3]
Я-концепция характеризуется, помимо прочего, адекватностью или
неадекватностью: человек может создать такой образ самого себя (и поверить в
него), который не соответствует реальности и приводит к конфликтам с ней;
напротив, адекватная Я-концепция способствует более успешному приспособлению к
миру и другим людям. [30]
Огромное влияние на формирование Я-концепции оказывает социальная среда,
взаимодействие с другими людьми и, прежде всего, с членами семьи. В.В. Столин
выделяет в качестве основных феноменов, влияющих на формирование Я-концепции,
следующие [40]:
) прямое или опосредованное усвоение точки зрения другого на себя;
) прямое и косвенное внушение ребенку со стороны родителей норм, оценок,
стандартов, способов поведения;
) трансляция ребенку со стороны близких конкретных оценок, стандартов и
т. п.;
) система контроля за ребенком (предоставление самостоятельности или
жесткий контроль);
) система отношений, складывающихся между ребенком и родителями
(равенство общающихся, функциональное неравенство, система трансакций);
) вовлечение ребенка в реальные взаимоотношения в семье (семейная
идентичность);
) механизм идентификации, то есть уподобление себя в форме переживаний и
действий другому лицу.
«Я-концепция» имеет сложную структуру и включает следующие составные
части.
Я-физическое - образ тела, переживание отдельных сторон своего
физического облика, дефектов или недостатков. Эта сторона Я-концепции особенно
большое значение имеет в детском и подростковом возрасте, когда другие стороны
«Я» еще отстают в своем развитии. Значение Я-телесного иллюстрируется открытым
Адлером эффектом компенсации и сверхкомпенсации органических дефектов.
Я-психологическое - восприятие собственных черт личности, способностей,
мотивов, притязаний. Психологическое «Я» составляет основу Я-концепции.
Я-социально-ролевое - ощущение себя носителем тех или иных социальных
ролей и функций (например, профессионала, отца семейства, члена общественной
организации и т. п.). Социально-ролевая идентичность человека - очень важная
составляющая Я-концепции.
Самоотношение, или смысл «Я». Внешним проявлением самоотношения является
самооценка - общее положительное или отрицательное отношение к себе. Самооценка
относится к центральным образованиям личности, ее ядру, в значительной мере
определяет социальную адаптацию личности. Важными характеристиками самооценки
являются целостность, интегрированность и автономность самооценки, ее
независимости от внешних оценок. В формировании самооценки огромную роль играет
родительское отношение: положительная самооценка формируется родительской
любовью, отрицательная - нелюбовью, отвержением ребенка. Важную роль играет
также успех деятельности.
У. Джеймс определил формулу самооценки. Из этой формулы следует, что для
того, чтобы повысить самооценку, нужно либо повысить успешность деятельности,
создать для человека ситуацию переживания успеха, либо снизить притязания. Если
человек, имеющий завышенные притязания, постоянно наталкивается на неуспех, это
ведет его к фрустрирующим переживаниям.
Д.А. Леонтьев выделяет еще один уровень Я-концепции - Я-экзистенциальное,
в котором отражены особенности взаимоотношений личности с окружающим миром. Оно
проявляется в ощущении себя источником активности или, наоборот, пассивным
объектом воздействий, переживания своей свободы или несвободы, ответственности
или посторонности. Это уровень, в котором отражаются общие принципы отношений
личности с окружающим миром, а не отдельные свойства.
Принято выделять две формы Я-концепции: Я-реальное и Я-идеальное.
Я-реальное включает те представления человека о самом себе, которые, по его
мнению, наиболее достоверно и адекватно характеризуют личность в данный момент.
Идеальная Я-концепция - это представления личности о себе в соответствии с
идеалами, желаниями («каким я хотел бы быть»), сумма желательных качеств.
Фактически соотношение Я-реального и Я-идеального положено в основу самооценки,
понимаемой как соотношение реальных достижений индивида и его притязаний.
Сущностью чувства самоуважения является соотношение индивидуального идеала и
достижений. Соотношение Я-реального и Я-идеального лежит в основе механизмов
адаптации личности. Идеальное «Я» - это развитые и активные жизненные силы,
потенции Я-реального, побуждающие личность к развитию. Я-идеальное и
Я-реальное, как правило, не совпадают и не могут совпадать полностью. Однако
большие расхождения между ними, конфликтный характер соотношения (когда в
идеальном «Я» присутствует одна черта, а в реальном «Я» ее противоположность)
считается тревожным симптомом, так как ведет к нарушениям в поведении и
неадаптивности.
Х. Ремшмидт выделяет следующие воздействия неблагоприятной Я-концепции:
. Снижение самоуважения и часто как следствие - социальная деградация,
агрессивность.
. Стимуляция конформистских реакций в трудных ситуациях. Человек легко
поддается влиянию группы.
. Глубокое изменение восприятия. Люди с негативной Я-концепцией с трудом
сознают, что совершают хорошие поступки, так как считают себя неспособными к
ним.
Анализ литературы позволил выделить в структуре Я-концепции три основных
компонента: [3] [5] [34]
. когнитивный - что я знаю о себе: я - счастливый, я - неуклюжий, я -
фантазер, я - оптимист, я - общительный, я - раздражительный, я - умный и т.д.;
. оценочный - как я оцениваю то, что знаю о себе: меня это радует, мне
это безразлично, мне это неприятно и т.д.;
. поведенческий - как я веду себя в соответствии с оценкой того, что я
знаю о себе.
По мнению Р. Бернса и В. В. Столина, Я-концепция - не просто продукт
деятельности самосознания, но и важный фактор детерминации поведения, т. е.
такое внутриличностное образование, которое во многом определяет направление
деятельности и поведения человека. Таким образом, Я-концепция личности реализует
одно из направлений в своей регулирующей функции. [3]
Подход, основанный на психоаналитических взглядах, рассматривает
Я-идеальное как элемент глубинных личностных процессов. Помимо того, что
Я-идеальное может стать причиной депрессивных переживаний, что подтверждается
исследованиями, которые показали, что у больных неврозом конфликт между
Я-идеальным и Я-реальным выражен намного сильнее, чем у психически здоровых
людей, человек переживает постоянное недовольство собой, как признак
фрустрированности. Кроме того, Я-идеальное включается в структуру
защитно-психологических механизмов и стратегий, цель которых - сохранение
положительного самоотношения. Психологической защитой в настоящее время считают
любые реакции, которым человек научился и прибегает к их использованию
неосознанно, для того, чтобы защитить свои внутренние психические структуры,
свое «Я» от чувства тревоги, стыда, вины, гнева, а также от конфликта,
фрустрации и других ситуаций, переживаемых как опасные.
Восприятие себя может искажаться не только защитными механизмами, но
также мотивами, целями, установками.
Т. Ю. Каминская выделяет два подхода к разработке проблемы структуры
образа «я». В первом подходе в структуре образа «я» не выделяется
мотивационного компонента, или выделяются лишь незначительные его составляющие.
Так, С. Стейн определяет «я»-Концепцию - как «существующую в сознании индивида
систему представлений образов и оценок, относящуюся к самому субъекту».
Л. А. Венгер говорит об образе «я» как о совокупности обобщенных
содержательных и оценочных представлений.
Другой подход заключается в признании влияния мотивационного компонента
(связь образа «я» и поведения) на развитие образа «я». Иными словами,
формируются предпосылки для включения мотивационного компонента в структуру
образа «я».
Наиболее же распространенным является представление о структуре образа
«я» А.В. Петровского и М.Г. Ярошевского как единстве когнитивного (образ своих
качеств, способностей, внешности и др.), эмоционального (самоуважение,
самоуничижение и т. д.) и оценочно-волевого (стремление повысить самооценку,
завоевать уважение и др.) компонентов.
Г. Е. Залесским выделяются два компонента образа «я» - мотивационный и
когнитивный. Применительно к изучению возрастных особенностей развития образа
«я», особое внимание уделяется прояснению вопроса о том, как происходит
формирование каждого из компонентов, когда два компонента образа «я» начинают
взаимодействовать.
Когнитивный блок образа «я» отражает содержательные представления о себе.
Такое понимание когнитивного блока образа «я» близко к пониманию образа «я»
другими исследователями. Но в этот блок добавляются и оценочные (самооценка), и
целевые (уровень притязаний, система запретов и поощрений) компоненты.
Мотивационный блок отвечает за функциональную значимость этих качеств, то есть,
выступают ли эти качества критериями в выборе мотивов, целей, поступков. И если
выступают, то выполняют ли качества функцию действующих или смыслообразующих
мотивов.
«Я»-образ - это глобальная самооценка. «Я»-образ может быть адекватным и
неадекватным, реальным и идеальным, структурированным и дезинтегрированным и т.
д. Практически любой из образов «я» имеет сложное, неоднозначное по своему
происхождению строение.
Признание и принятие всех аспектов своего «я» в противоположность
«условному самопринятию» обеспечивает интегрированность «я»-концепции,
утверждает «я» в качестве мерила самого себя и своей позиции в жизненном
пространстве. Согласованность работы всех структур, их гармоничное
взаимодействие есть необходимое условие психологического комфорта.
Все исследователи отмечают сложность и неоднозначность становления и
развития образа «я». Образ «я» - это системное, многокомпонентное и
многоуровневое образование человеческой психики. Все составляющие этой системы
имеют бесчисленное множество степеней свободы, что осложняет возможность
научного подхода в диагностике и прогнозировании формирования «я»-образа.
По-видимому, точки роста и развития личности по пути самореализации совпадают с
такими человеческими реальностями как самость, самоактуализация, «я» идеальное
и стремлением человека к поиску гармоничного соответствия этих реальностей в
своем образе «я».
Вывод: Проблему «я», самосознание личности и Я-концепцию изучали и
изучают как зарубежные (Д. Мид, К.Роджерс, У. Джемс, Ч. Кули, Э. Эриксон), так
и отечественные психологи (Г. Ананьев, И. С. Кон, Д. А. Леонтьев, А. Б. Орлов,
В. В. Столин, А. А. Реан, С. Л. Рубинштейн). Большой интерес к данной проблеме,
скорее всего, обусловлен пониманием того, что эти структуры представляют собой
ядерные основания личности,
Понятие
«Я-концепция» развивалось в 1950-е годы в русле феноменологической
<https://ru.wikipedia.org/wiki/%D0%A4%D0%B5%D0%BD%D0%BE%D0%BC%D0%B5%D0%BD%D0%BE%D0%BB%D0%BE%D0%B3%D0%B8%D1%87%D0%B5%D1%81%D0%BA%D0%B0%D1%8F_%D0%BF%D1%81%D0%B8%D1%85%D0%BE%D0%BB%D0%BE%D0%B3%D0%B8%D1%8F>,
гуманистической психологии
<https://ru.wikipedia.org/wiki/%D0%93%D1%83%D0%BC%D0%B0%D0%BD%D0%B8%D1%81%D1%82%D0%B8%D1%87%D0%B5%D1%81%D0%BA%D0%B0%D1%8F_%D0%BF%D1%81%D0%B8%D1%85%D0%BE%D0%BB%D0%BE%D0%B3%D0%B8%D1%8F>,
представители которой (А. Маслоу
<https://ru.wikipedia.org/wiki/%D0%9C%D0%B0%D1%81%D0%BB%D0%BE%D1%83,_%D0%90%D0%B1%D1%80%D0%B0%D1%85%D0%B0%D0%BC_%D0%A5%D0%B0%D1%80%D0%BE%D0%BB%D1%8C%D0%B4>,
К. Роджерс <https://ru.wikipedia.org/wiki/%D0%A0%D0%BE%D0%B4%D0%B6%D0%B5%D1%80%D1%81,_%D0%9A%D0%B0%D1%80%D0%BB_%D0%A0%D1%8D%D0%BD%D1%81%D0%BE%D0%BC>),
в отличие от бихевиористов и фрейдистов, стремились к рассмотрению целостного
человеческого «я» как фундаментального фактора поведения и развития личности.
Я-концепция
представляет собой результат самоосознавания человека. Она является более или
менее осознанной, относительно устойчивой системой представлений индивида о
себе самом, сопряженной с оценкой этих представлений. Анализ литературы
позволил выделить в структуре Я-концепции три основных компонента: когнитивный,
оценочный, поведенческий.
.3 Личностные
особенности онкологических больных
Психологические факторы могут играть существенную роль в возникновении и
течении злокачественного процесса. Современные исследования подтверждают, что
онкологические пациенты имеют общий личностный профиль.
По статистике зарубежных ученых у большинства больных раком наблюдаются
признаки личностной незрелости и инфантильности жизненной позиции. Зачастую это
влечет за собой нарушения в психологической и социальной адаптации. Так
создается «почва» для развития депрессии. Депрессия формирует стрессовый
гормональный фон. А он, в свою очередь, угнетает иммунную систему организма.
Иммунная система начинает работать с мощными перегрузками, затрудняя работу
органов и систем организма, постепенно истощается жизненный запас сил, и
возникают предпосылки для развития онкологического заболевания.
Еще во 2 веке нашей эры Гален подчеркивает роль типологических
особенностей характера в возникновении рака. Он отмечает, что
женщины-меланхолики чаще болеют раком, чем женщины-сангвиники. Русские врачи в
17 веке считали, что «дальняя причина рака есть долгая печаль». В 1783 г. Д.
Барроуз говорил о причинах этой болезни словами, очень напоминающими описание
хронического стресса «…неприятные переживания души, долгие годы, терзающие
пациента».
В 18-19 веках врачи обратили внимание на связь между неблагоприятными
жизненными ситуациями, эмоциональными стрессами и раком. По мнению многих
исследователей (Г. Айзенк, Л. Лиу, Т. Кун и др.) в структуре личности больных с
онкологическими заболеваниями отмечаются следующие особенности: тенденция
подавлять гнев, тревогу, алекситимия, избегание конфликтов и подавление тех
реакций, которые могут обидеть других людей. [23]
Отечественный психолог В.В. Николаева, описывая характерологические
особенности людей со злокачественными новообразованиями, отмечает, что
сниженная чувствительность, ослабленная способность осознавать собственное
эмоциональное состояние, личностная инфантильность зачастую компенсируются
такими качествами, как рационализм и ипохондричность. [6]
Н.И. Непомнящая уделяет инфантилизму особое место в портрете личности
онкологического больного. Исследователь обращает внимание на то, что пациентам
присуще реагирование на события, неадекватное степени их тяжести, и склонность
к избеганию угрозы. Сохранение привычного способа действия и эмоционального
состояния, игнорирование собственных переживаний приводит к еще большей
«инфантилизации» психики. Тем самым, по мнению Н.И. Непомнящей, возрождается
клеточный рост, характерный для детского периода. Однако данный механизм
работает не на развитие, а на патологию, переструктурируя клетки и преобразуя
их в злокачественные новообразования
По мнению Б.Ю. Володина, теория ролевых позиций позволяет рассмотреть
дисгармоничное личностное развитие в связи с доминирующим эго-состоянием
человека. Так, например, социально неадаптивные формы взаимодействия могут быть
объяснены внутренним ролевым конфликтом, который впоследствии способен привести
к развитию невротических и психосоматических проблем. При этом яркое
преобладание детской эго-позиции не всегда исчезает бесследно и может
трансформироваться в инфантильные личностные черты. Как уже говорилось ранее,
на любом этапе возрастного развития человек способен проявлять ролевую позицию
Ребенка, которые в неконструктивном варианте приводят к актуализации
переживания индивидом детских травм или дистресса. В этом случае возможна
фиксация инфантильной роли и доминирование ее на последующих жизненных этапах.
[6]
С течением болезни у онкологических пациентов иногда отмечается наличие
навязчивых идей: «я умру, и всем будет легче», «они только и ждут, чтобы я
умерла поскорее», «я была рождена, чтобы вот так умереть молодой» и т.д.
К. Саймонтон отмечает следующие личностные черты онкологического пациента
[6]:
. Очень низкая самооценка с чувством неполноценности и нелюбви к себе. 2.
Неспособность пережить и принять потерю значимого объекта. 3. Напряжение в
отношениях с одним или обоими родителями. 4.Заметная неспособность прощать. 5.
Чувства безнадежности, беспомощности и отчаяния ("синдром отчаяния"
по LеShan) 6. Тенденция к жалости к себе. 7. Очень сильная тенденция сдерживать
враждебность и неспособность ее выражать, особенно, чтобы защитить себя.
8.Незрелая сексуальная адаптивность в отношениях. 9. Слабая способность
устанавливать и развивать значимые длительные отношения.
Самооценка - это оценка личностью самой себя, своих возможностей, качеств
и места среди других людей. Самооценка играет важную роль в регуляции поведения
человека. Завышенная самооценка приводит к тому, что человек склонен
переоценивать себя в ситуациях, которые не дают для этого повода. В результате
он нередко сталкивается с противодействием окружающих, отвергающих его
претензии. Все это может привести к озлобленности, проявлениям мстительности
или нарочитого высокомерия в поведении. Чрезмерно низкая самооценка лежит в
основе комплекса неполноценности, устойчивой неуверенности в себе и
самообвинений.
Уровень притязаний тесно связан с самооценкой. По сути, уровень
притязаний - это уровень самооценки личности, проявляющийся в степени трудности
цели, которую ставит перед собой человек. Стремление к повышению самооценки в
условиях, когда человек свободен в выборе степени трудности очередного действия,
приводит к конфликту двух мотивов (тенденций): тенденции повысить притязания,
чтобы одержать максимальный успех, и тенденции снизить их, чтобы избежать
неудачи (Хекхаузен X., 1986).
В случае тяжелых онкологических заболеваний специалисты сталкиваются с
неконгруэнтностью человека и его смыслов, неконгруэнтностью самих смыслов
личности. Неконгруэнтность проявляется в том, что сохранение здоровья не
является главным смыслом онкологического больного, при этом нормативные
критерии личности высоки.
Учет всех этих обстоятельств позволил авторам воспользоваться ситуацией
онкологического заболевания как естественно моделирующей смену иерархии
мотивов. Изучение организации самооценки здоровых испытуемых и онкологических
больных (в группах, уравненных по половозрастному и образовательному уровню)
позволило проследить различия структур самооценки, в условиях смены реально
действующих мотивов. Использовался модифицированный вариант методики изучения
самооценки Дембо - Рубинштейн. Данное исследование с привлечением сложного
статистического аппарата ясно показывает: «За изменением самооценки стоит смена
реально действующих мотивов.
Так, мотив сохранения здоровья, став главным побудительным и
смыслообразующим в деятельности онкологических больных, выдвинул на первый план
в иерархическом построении самооценки фактор «Здоровье и социальный оптимизм».
Ситуация изменения мотивации и ценностей не является локальной: произошла
переоценка прошлых событий и ценностей».
Самооценка больными своего заболевания отражается на показателях качества
жизни больных и их внутренней картине болезни. [32]
А. Гольдшейдер (1926), описал ощущения, переживания и представления
больного о своей болезни. Он назвал их аутопластической картиной заболевания.
А. Гольдшейдер выделил два уровня картины болезни: «сенситивный», основанный на
ощущениях, и «интеллектуальный» - результат размышлений больного о своем
физическом состоянии.В отечественной медицине более пристальное внимание
переживаниям и реакциям больного стало уделяться, начиная с 50-х годов ХХ века.
[39]
В последнее время широко распространена концепция внутренней болезни,
описанная Р.А.Лурией как совокупность переживаний и ощущений пациента в связи с
заболеванием и лечением.
Внутренняя картина болезни (ВКБ) как «продукт» собственной внутренней
творческой активности субъекта формируется в своих более или менее развернутых
формах при любом соматическом страдании - начиная от однократных эпизодов боли,
дискомфорта до грубых проявлений соматической патологии (при тяжелых
хронических заболеваний). Изучение сущности этого процесса - важнейшее условие
успешного изучения личности и ее изменений у онкологических больных.
В структуре ВКБ Р.А. Лурия выделяет несколько уровней: болевой,
эмоциональный, интеллектуальный и волевой. ВКБ является частью понятия качества
жизни, представляющего собой характеристику, включающими в себя весь опыт жизни
с её ценностями, событиями, целями, отношением к здоровью и болезни.
Поэтому, в большинстве современных психологических исследований
внутренней картины болезни [27], при различных нозологических формах, в ее
структуре выделяется несколько взаимосвязанных сторон (уровней):
. Болевая сторона болезни (уровень ощущений, чувственный уровень) -
локализация болей и других неприятных ощущений, их интенсивность и т.д.
. Эмоциональная сторона болезни связана с различными видами
эмоционального реагирования на отдельные стороны, симптомы, заболевание в целом
и его последствия.
. Интеллектуальная сторона болезни (рационально-информационный уровень)
связана с представлениями и знаниями больного о его заболевании, размышлениями
о его причинах и последствиях.
.Волевая сторона болезни (мотивационный уровень) связана с определенным
отношением больного к своему заболеванию, необходимостью изменения поведения и
привычного образа жизни, актуализацией деятельности по возвращению и сохранению
здоровья.
При адекватном типе реагирования (нормонозогнозия) больные правильно
оценивают свое состояние и перспективы, их оценка совпадает с оценкой врача.
При гипернозогнозии больные склонны переоценивать значимость отдельных
симптомов и болезни в целом, а при гипонозогнозии - склонны их недооценивать.
При диснозогнозии у больных наблюдаются искажение восприятия и отрицание
наличия болезни и ее симптомов с целью диссимуляции или из-за страха ее
последствий.
Анозогнозия - полное отрицание болезни как таковой; типична для больных с
алкоголизмом и онкологическими заболеваниями.
В научной литературе встречаются различные сведения о влиянии душевного
состояния на развитие и течение онкологических заболеваний, взаимосвязь эмоций,
центральной нервной и иммунной систем является доказанным фактом. [28]
А также в научной литературе для описания субъективной стороны
заболеваний используется большое количество терминов, которые были введены
различными авторами, но часто употребляются весьма сходным образом. Е.К.
Краснушкин субъективную сторону болезни раскрывает в термине «сознание
болезни», Р.А. Лурия называет ее «внутренней картиной болезни», а Е.А. Шевалев
- «переживание болезни». Немецкий интернист Гольдшейдер писал об
«аутопластической картине болезни», выделяя две взаимодействующие стороны:
сенситивную (чувственную) и интеллектуальную (рассудочную, интерпретативную).
[27]
Проблеме изучения ВКБ посвящено значительное количество работ [17], в
которых выделяются различные типы реакций на заболевание, делаются попытки
сопоставления жалоб с объективной картиной болезни, с показателями
психологических тестов и другие факторы. Большинство этих авторов отмечают, что
в редких случаях субъективная картина заболевания отражает реальные объективные
данные, так как пациент не всегда полностью доверяет медицинским заключениям.
Он склонен анализировать ситуацию сквозь призму субъективной тяжести болезни,
основываясь на ведомых только ему или его субкультурной группе (семье, микроколлективу)
отношениях к заболеванию. На формирование субъективных представлений
определенное влияние так же могут оказывать пол, возраст, особенности личности
больного, уровень его образования, социальное положение и другие факторы. Одно
из важнейших мест занимает характер патологии и степень ее витальной угрозы
[29], что позволяет некоторым авторам говорить о нозологических особенностях
ВКБ при отдельных заболеваниях. [33]
Исследования ВКБ больных злокачественными новообразованиями
немногочисленны и часто носят фрагментарный характер [12] [13] [19] [43]
Что касается изменений психики онкологических больных, то причины этой
трансформации в связи с такими особенностями раковых заболеваний как наличие
болевого синдрома, постоянная угроза возникновения рецидивов и метастазов. ВКБ
формируется на фоне стрессовой реакции личности как на сам факт наличия недуга,
традиционно причисляемого к неизлечимым, так и на симптомы заболевания,
калечащие операции, трудный период восстановительного лечения, изменения
социальных ролей [10] [14] [41]. В условиях изменившейся жизненной ситуации
структура личности пациентов существенно трансформируется, нередко приобретая
несвойственные ранее аутистические черты. В состоянии психической защиты
способность к объективному анализу ситуации нарушается, что может привести к
формированию ложной концепции заболевания с представлением наихудшего исхода.
[25]
Углубление знаний о психической стороне заболеваний в отечественной
теории и практике медицины привело к появлению к настоящему времени множества
различных концептуальных схем, раскрывающих структуру внутреннего мира больного
человека.
Так, С.В. Иванов пишет, что структура ВКБ имеет тесную связь с
особенностями реакции пациента на онкологическую патологию. В основе
индивидуальных различий в реакциях онкологических пациентов на обстоятельства,
связанные с заболеванием, лежит взаимодействие двух основных факторов: фактор
личности больного (сформировавшейся задолго до установления онкологичексого
диагноза) и фактор болезни (темп прогрессирования, тяжесть симптомов и
осложнений, терапия, прогноз). [20]
Согласно С.С. Либих и Т.Б. Березина, на основании этих сторон у больного
создается модель заболевания, т.е. представление о её этиопатогенезе, клинике,
лечении и прогнозе, которое определяет «масштаб переживаний» и поведение в
целом/ [4]
Построение ВКБ у онкологических больных, вероятно, так же имеет свои
нозологические особенности, что, по нашему мнению, может быть обусловлено целым
рядом факторов.
Во-первых, диагноз злокачественного новообразования сам по себе оказывает
выраженное психотравмирующее действие, так как, у большинства людей
ассоциируется не просто со смертью в ближайшем будущем, а с тяжелой,
мучительной смертью, выраженными страданиями и болями [13], то есть сразу
формирует негативный, фатальный эскиз будущего.
Во-вторых, выраженное психотравмирующее действие диагноза «рак» вызывает
активацию механизмов психологической защиты, нередко значительно превышающих по
силе физиологический уровень реакций. При этом у большинства пациентов регистрируется
частичное или полное отрицание диагноза. [49]
В-третьих, влияет традиционно сложившая ограниченность объема информации
у больного о распространенности заболевания и ближайших перспективах
(отдаленный прогноз, как правило, и ассоциируется со смертью). Это может
способствовать искажению представлений больного о симптомах и
распространенности заболевания, эффективности лечения и др.
В-четвертых, это наличие физической астении, составными элементами
которой на различных этапах заболевания могут выступать эндогенная (раковая)
интоксикация, последствия специальных методов лечения (оперативное
вмешательство, лучевое лечение, химиотерапия), астения, обусловленная
сопутствующей соматической патологией и др. Наличие физической астении является
базисом для соматогенно обусловленных, преимущественно астено-депрессивных
расстройств. [33]
В-пятых, отсутствие единого мнения об этиологии рака. Это, с одной
стороны, создает почву для необходимости объяснения больным причин заболевания,
а с другой - является основой поиска «новых», нетрадиционных методов лечения.
Изучение ВКБ позволяет в значительной степени рассмотреть весь сложный
процесс самопознания заболевшего человека, выявить те средства, которые
использует человек для осуществления этого познавательного процесса. В то же
время изучение ВКБ открывает возможность понимания особых способов, приемов
преодоления, овладения собственным поведением, используемых человеком в сложной
жизненной ситуации. Тем самым анализ внутренней картины болезни открывает
возможность проникновения в компенсаторный потенциал личности. [2]
В настоящее время П.Б. Зотов в своем исследовании выделяет адаптивные и
неадаптивные варианты ВКБ. Рассмотрим их.
Божественная ВКБ чаще регистрируется у больных, имеющих в жизненном опыте
религиозные представления. Данный тип может формироваться и в условиях
онкологического заболевания под влиянием окружения. Внешними признаками данного
типа ВКБ могут служить крестики, кольца с религиозными текстами у больных,
наличие в палате икон, Библии или других религиозных атрибутов. Нередко
пациенты отрицают у себя наличие религиозных представлений, а рассматривают их
частью культуры. Несмотря на такие объяснения, при наличии характерных
особенностей, указанных ниже, мы считаем целесообразным относить эти ВБК к божественному
типу.
Возникновение опухоли при данном типе ВКБ пациенты связывают с
божественным началом, при этом болезнь могла рассматриваться как:
незаслуженное наказание свыше (неадаптивный вариант);
наказание за какие-либо грехи или проступки самого больного (неадаптивный
вариант);
наказание за грехи предков (неадаптивный вариант);
испытание (адаптивный вариант);
научение, назидание другим (адаптивный вариант).
При данном типе ВКБ ответственность за заболевание больной делит между
двумя крайними полюсами: Бог-больной. Так, в случае незаслуженного наказания,
вся ответственность лежит на Боге (- За что Бог меня наказывает?), в другом -
на пациенте (например, при идеях виновности, самоуничижения).
Отношение к противоопухолевому лечению так же неоднозначно. Обязательными
(1-я линия) являются методы религиозного действия: молитвы, исповедывания,
причащения, чтение Библии и другой религиозной литературы, что в представлениях
больных является основным залогом улучшения состояния даже на фоне
традиционного лечения. Академические подходы отодвинуты на второй план (2-я
линия). Нередко по религиозным причинам пациенты отказываются от специального
лечения.
Роль врача в этих условиях пациент, как правило, ограничивает лишь
техническим выполнением процедур, а ответственность за выздоровление остается
на Боге. Сам пациент, либо занимает активную позицию - искупления, замаливания
грехов, либо пассивно страдает. В ряде случаев наблюдается постепенный переход
к полному отрицанию Бога и последующему поклонению «темным силам» и др.
Мистическая ВКБ включает комплекс представлений индивида, основанный на
сверхъестественном происхождении болезни, вследствие действия злых чар, сглаза,
порчи, вселения в больного «зла» и т.д. Как и при божественном типе, в
формировании мистической ВКБ большую роль играет, так называемое, «первобытное
мышление». Для мистического типа характерно наличие в анамнезе у больных
посещений экстрасенсов, магов, колдунов, проведения специальных магических
ритуалов и соответствующих методов лечения. Внешне о мистических представлениях
может свидетельствовать наличие у больного различных амулетов, нетрадиционных
икон, колокольчиков, специальной литературы.
При оценке источника мистического воздействия и определения
ответственного за заболевание человека выделяются 2 неадаптивных варианта. В
первом случае больные имеют точные представления о «заинтересованном» в их
заболевании лице (родственник, сосед и др.), в другом, они считают себя
случайной жертвой действий других, конкретно незаинтересованных в их нездоровье
индивидов. Для этого типа представлений характерны минимальное или полное
отсутствие ответственности пациента за заболевание.
Отношение к противоопухолевому лечению, как и при божественном типе ВКБ
так же неоднозначно. Обязательными (1-я линия) являются методы магического
действия: снятие порчи, сглаза, очищения ауры и др. Академические подходы
отодвинуты на второй план (2-я линия). Роль врача в этих условиях пациент
обычно ограничивает техническим выполнением процедур. Ответственность самого
пациента за выздоровление минимальна. Позиция больного в отношении лечения:
активная - поиск «верных» средств снятия порчи, очищения ауры, выведения из
себя злых чар, пассивная - бездействие.
Биомеханический тип ВКБ включает различные группы представлений, основой
которых является убеждение больных в «поломке» биологической программы или
механической структуры организма. Несмотря на кажущиеся различия и
неоднородность приводимых ниже групп, для данного типа ВКБ характерна тенденция
объяснять причины заболевания, основываясь на внешних факторах, отсутствии
личной ответственности за заболевание, конкретно-формальное описание и
восприятие симптомов при минимальном экзистенциальном поиске.
Заболевание при биомеханическом типе ВКБ может объясняться больным:
плохой наследственностью;
следствием травм, повреждений;
плохой экологией;
стечением обстоятельств.
Наследственный вариант регистрируется у больных, как правило, имеющих в
генеалогическом древе случаи онкологических заболеваний («И отец и дядя умерли
от рака легкого»). Возникновение опухоли пациенты связывают с «плохой»
наследственностью, «породой», и рассматривают ее как неизбежность. Печальный
опыт прошлого, особенно если близкие умирали на глазах у больных, нередко
накладывает отпечаток фатальности, бессмысленности сопротивления болезни. Его
отношение к противоопухолевому лечению может иметь два варианта. В первом
случае, если смерть близких (родители, дедушки / бабушки) была достаточно
давно, то у больного могут присутствовать определенные надежды на успешное
лечение, что пациенты объясняют возможным прогрессом науки в лечении данной
патологии. Если смерть близких от рака была в недавнем прошлом, то позиция
больного при выявлении у него опухолевого заболевания преимущественно
пассивная. В зависимости от этих вариантов на врача возлагаются определенные
надежды или отводится роль технического исполнителя в «бессмысленной борьбе».
Травмы и повреждения могут выступать в качестве причин непосредственно
предшествующих заболеванию. Чаще всего этот вариант наблюдается у женщин при
раке молочной железы. Обычно возникновение злокачественной опухоли
ассоциируется у женщин с ударом молочной железы или какими-либо манипуляциями
(«ударилась», «корова лягнула», «муж намял» и др.).
При экологическом варианте больные убеждены, что причина их заболевания
лежит в состоянии окружающей среды («В какой экологии живем…»). При варианте
«стечение обстоятельств» больные приводят в обоснование комплекс причин или
цепочку событий, приведших к заболеванию («Все к одному…»). Специальное
противоопухолевое лечение обычно принимается пациентами без противодействия.
Аутологичный тип ВКБ подразумевает восприятие болезни как следствия
действий самого индивида. Пациенты могут объяснять возникновение опухоли
неправильным образом жизни («много курил», «ел в сухомятку», «изработался») или
следствием собственных ошибок («зря не вырезал язву»).
Данный тип ВКБ нередко ассоциируется с идеями виновности в структуре
депрессивных переживаний. Присутствие идей личной ответственности за болезнь
создает базис для психотерапевтической коррекции. Предлагаемые методы
специального лечения обычно принимаются больными в полном объеме.
Недифференцированный (мозаичный) тип предполагает различное сочетание
отдельных элементов перечисленных выше типов ВКБ. Характерным для него является
высокая подвижность, нестойкость и зависимость представлений о заболевании от
мнения окружающих. Пациенты обычно не принимают на себя ответственность за
болезнь, а используемые ими нетрадиционные методы лечения могут включать самые
различные подходы, обычно рекомендованные соседями по палате, знакомыми или
прочитанные в литературе (Зотов П.Б. Типы внутренней картины болезни и
суицидальная активность больных злокачественными новообразованиями).
Интересны результаты проведенного О.П. Степановой диагностического исследования.
Они позволяют констатировать:
Во-первых, эмоционально-аффективная сфера онкологических больных имеет
дезадаптивные индивидуально-психологические черты и характеризуется
эмоциональным хроническим напряжением (повышенной тревожностью, мнительностью,
страхами), стабильно сниженным фоном настроения (гипотимией), дефицитом
положительных эмоций, подавленностью, капризностью, требовательностью,
эмоциональной нестабильностью и эмоциональной лабильностью, низкой
толерантностью по отношению к фрустрации, застреванием на
эмоционально-негативных переживаниях.
Поведенческая и коммуникативная сфера онкологических больных
характеризуется низкой социальной нормативностью, конфликтностью,
нонконформизмом, холодностью и формализмом в контактах. Онкологические больные
не стремятся к доминированию в отношениях с окружающими, но при этом ревнивы,
завистливы, подозрительны.
Интеллектуальная сфера онкологических больных характеризуется низкими
общими мыслительными способностями, конкретностью и некоторой ригидностью мышления,
узким спектром интеллектуальных интересов, приземленностью стремлений, слабо
развитым воображением, прозаичностью, консерватизмом во взглядах и способах
действия.
Во-вторых, структурные компоненты ВКБ у онкобольных имеют следующие
особенности: эмоциональный аспект ВКБ характеризуется депрессивной,
дисфорической, тревожно-ипохондрической и астено-ипохондрической симптоматикой.
Когнитивный компонент ВКБ онкологических больных характеризуется высокой
личностной значимостью болезни и патологической фиксацией и озабоченностью
всем, что с ней связано. Будущее пронизано мыслями о болезни. Болезнь является
центральным звеном в социальной ситуации развития. Для них характерна высокая
познавательная активность, направленная на свое заболевание, стремление узнать
как можно больше о своем заболевании, о способах лечения, операции и лечебных
процедурах.
Поведенческий аспект ВКБ характеризуется большим количеством
психологических защит, проекций тревоги в будущее, реакциями по типу
раздражительной слабости, «уходом» в болезнь, отказом от борьбы, «капитуляцией»
перед заболеванием, эгоцентризмом, негативизмом, снижением жизненного тонуса,
низкой антиципационной состоятельностью.
В-третьих, несмотря на наличие декларируемого смысла жизни, ощущения
осмысленности жизни нет, а вместо него присутствует экзистенциальная
фрустрация. У онкологических больных отмечается разорванность временной
перспективы, дискретное восприятие своего жизненного пути с фиксацией и
ориентацией на один из отрезков собственной жизни. Данная категория больных
испытывает неудовлетворенность жизнью в настоящем, компенсируя неполноценность
настоящего воспоминаниями о прошлом, либо возлагая большие надежды на будущее,
но эти планы не имеют под собой реальной основы в настоящем и не подкрепляются
личной ответственностью за их реализацию. Онкологические больные
характеризуются склонностью к фатальности в восприятии жизни, чувством
социальной беспомощности, как потенциальной, так и актуальной детерминированой
экстернальностью локуса контроля.
Онкологическое заболевание ставит человека на границу жизни и смерти,
меняет весь жизненный уклад, «выбивает почву из-под ног», заставляет задуматься
о смысле бытия и своей конечности, можно думать о такой жизненной ситуации,
которая описывается рядом авторов как: «эксквизитная» - острая, исключительная,
конфликтная (Киршбаум, Еремеева), экзистенциальная - столкновение с жёсткими
факторами человеческой природы, проблемами существования индивидуума (Ялом,
Франкл), кризисная или экстримальная - в которой человек оказывается внезапно и
подвергается угрозе жизни и психологической целостности (Райтер, Штоцкая).
Вследствие таких ситуаций, и переживаний, связанных с ними (тревога, страх,
гнев, отчаяние) формируются различные эмоционально-волевые нарушения
(депрессии, невротические состояния, аффективные психозы), при этом психика
человека пытается сохранить гомеостаз при помощи механизмов психологической
защиты.
Рассмотрим некоторые наиболее распространенные определения
психологической защиты. Она определяется как:
психическая деятельность, направленная на спонтанное изживание
последствий психической травмы (В.Ф. Бассин, В.Е. Рожнов);
частные случаи отношения личности больного к травматической ситуации или
поразившей его болезни (В.М. Банщиков);
способы переработки информации в мозге блокирующие угрожающую информацию
(И.В. Тонконогий);
механизм адаптивной перестройки восприятия и оценки, выступающей в
случаях, когда личность не может адекватно оценить чувство беспокойства,
вызванное внутренним или внешним конфликтом, и не может справиться со стрессом
(В.А. Ташлыков);
механизмы, поддерживающие целостность сознания (В.С. Ротенберг);
механизм компенсации психической недостаточности (В.М. Воловик, В.Д.
Вид);
пассивно-оборонительные формы реагирования в патогенной жизненной
ситуации (Р.А. Зачепицкий);
динамика системы установок личности в случае конфликта установок (Ф.В.
Бассин);
По мнению многих авторов, защитные механизмы имеют следующие общие
свойства: они действуют в бессознательном, индивид не осознаёт, что с ним
происходит, они искажают, фальсифицируют действительность, они действуют в
ситуации фрустрации, психотравмы, стресса.
«Механизм отрицания описывается психоневрологической литературе при
некоторых соматических заболеваниях, например, при раке, не осложненном еще
болевым синдромом, при котором сама личность не признает болезни: отрицает ее
наличие у себя и даже иногда приписывает ее другим, например, лечащему врачу».
[16]
Данное утверждение подтверждается исследованием механизмов психозащиты у
онкобольных, проведенным Е. Корушиной. Из него видно, что отрицание,
действительно является преобладающей формой психозащиты у онкобольных.
Классификация механизмов психологической защиты насчитывает более 20
видов, рассмотрим лишь основные обобщающие группы.
Как
отмечает Н. Маквильямс, к разряду примитивных, не зрелых защит относятся
«психотические защиты», которые имеют дело с границей между Я и внешним миром и
связаны с довербальной стадией развития (младенчество). Защиты, причисляемые к
вторичным, более зрелым <#"898268.files/image001.jpg">
Рис.1. Различия в показателях Я-концепции в группах испытуемых
Условные обозначения:
- Шкала самоэффективности
- Коммуникативное Я
- Рефлексивное Я
То есть, у лиц, страдающих онкологическим заболеванием, по сравнению с
лицами, не имеющими данного диагноза, в меньшей степени представлены
характеристики самовосприятия, осознания своего места в социальном мире,
представлений о себе, в частности о рефлексивности и коммуникативности как
характеристиках образа «Я».
Это может быть связано с ситуацией болезни, переживанием психологического
кризиса в связи с потерей стабильности в сфере здоровья, с преобладанием
сильных эмоциональных переживаний при сниженном уровне их рефлексивности, а
также с коммуникативной отстраненностью, обособленностью, закрытостью
испытуемых данной группы.
По шкале самоэффективности у лиц, страдающих онкологическим заболеванием,
выявлена тенденция к более низким значениям, что может свидетельствовать об
отсутствии субъективного ощущения личностной эффективности у онкобольных. Они
боятся и избегают тех ситуаций, с которыми, по их собственному мнению, не смогу
справиться. В сфере эмоциональных проявлений низкая самоэффективность
сопровождается депрессией, тревогой, выраженным беспокойством, ощущением
беспомощности.
Это может объясняться преобладающим негативным эмоциональным фоном в
состоянии онкобольных, когда они теряют веру в процесс выздоровления, начинают
испытывать сильную тревогу, повышенное возбуждение, панические реакции или,
напротив, депрессивные тенденции в связи с подавленным состоянием. В результате
чего, представление о собственной личной эффективности в ситуации болезни у испытуемых
данной группы оказывается сниженным.
В группе лиц, не имеющих онкологического заболевания, показатели
рефлексивного Я, коммуникативного Я и самоэффективности выражены в более
значительной степени, что может быть связано с активной реализацией собственного
потенциала в значимых областях жизни, с достаточным количеством физических и
психических ресурсов, а также со сформированной идентичностью, представлениями
о себе, о мире, о взаимоотношениях с другими людьми.
Вывод: рассмотрев выявленные различия в группах испытуемых, можно
говорить о том, что у лиц, страдающих онкологическим заболеванием, по сравнению
с лицами, не имеющими данного диагноза, в меньшей степени представлены
характеристики самовосприятия, осознания своего места в социальном мире, представлений
о себе, в частности о рефлексивности и коммуникативности как характеристиках
образа «Я». Кроме того, уровень их самоэффективности также является более
низким, чем у лиц, не имеющих онкологического заболевания.
3.4 Анализ
взаимосвязей показателей Я-концепции в группе лиц, страдающих онкологическим
заболеванием
Для изучения взаимосвязей показателей Я-концепции в группе лиц,
страдающих онкологическим заболеванием, был проведен корреляционный анализ
Спирмена. За структуру Я-концепции мы принимаем самооценку, самоэффективность и
содержательные характеристики Я-Концепции («Самоэффективность», «Самооценка»,
«Социальное Я», «Коммуникативное Я», «Материальное Я», «Физическое Я»,
«Деятельное Я», «Рефлексивное Я», «Ситуативное состояние»).
Результаты корреляционного анализа в группе лиц, страдающих
онкологическим заболеванием, представлены в таблице 6 и на рис.2:
Таблица 6. Взаимосвязи показателей Я-концепции в группе лиц, страдающих
онкологическим заболеванием
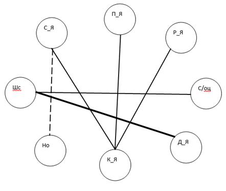
В группе онкобольных выявлена положительная взаимосвязь между шкалой
«самоэффективность» и «самооценка» (r=0,39 (связь умеренной силы); p<0,05). Можно предположить, что чем более адекватно онкобольные
оценивают себя, свои личностные качества, силы, возможности, тем в большей мере
у них присутствует субъективное ощущение личностной эффективности. Они верят,
что в силах справиться с болезнью, выздороветь и продолжать активную,
насыщенную жизнь. В эмоциональной сфере самоэффективность сопровождается
чувством удовлетворенности, хорошим настроением, оптимистичностью взглядов на
жизнь.
Рис.2. Схема взаимосвязей в группе онкобольных
Условные обозначения:
Шс - Шкала самоэффективности
С/оц - Самооценка Будасси
С_Я - Социальное Я
К_Я - Коммуникативное Я
Д_Я - Деятельное Я
П_Я - Перспективное Я
Р_Я - Рефлексивное Я
Но - Нет ответа
Положительную связь имеет шкала «самоэффективность» со шкалой «Деятельное
Я» (r=0,47 (связь высокой силы); p<0,05). Вероятно, чем более
онкобольные способны высоко оценивать свои способности к деятельности,
достижениям, работоспособности, что проявляется в разного рода интересах,
активной жизненной позиции, тем в большей степени им свойственно ощущать личную
эффективность, в том числе в процессе совладания с ситуацией болезни.
Положительную связь имеют шкалы «Социальное Я» и «Коммуникативное Я» (r=0,38 (связь умеренной силы); p<0,05). Предположительно, чем
более у онкобольных сформирована идентичность, социальные роли, мировоззрение,
групповая принадлежность, тем в большей мере они способны воспринимать себя
членом группы (друзей, коллег), быть субъектом общения, взаимодействовать с
людьми, что в ситуации болезни является положительным фактором, снижающим
социальную изоляцию и способствующим выздоровлению за счет позитивных эмоций,
впечатлений, поддержки окружения.
Шкала «Коммуникативное Я» имеет положительные связи со шкалой
«Перспективное Я» (r =0,37 (связь
умеренной силы); p<0,05) и
«Рефлексивное Я» (r=0,41 (связь
умеренной силы); p<0,05).
Вероятно, чем более высоко онкобольные оценивают свою способность к общению,
социальным контактам, тем в большей мере у них присутствует внутреннее ощущение
перспективы (это могут быть мечты или реальные намерения, касающиеся достижения
успехов в значимых областях жизни - профессиональной деятельности, семейной
жизни, общении с друзьями), а также способность к рефлексии своей жизни,
актуальной ситуации болезни и необходимых действий по выздоровлению.
Выявлена отрицательная связь шкалы «Социальное Я» и показателя «нет
ответа» (r= - 0,38 (связь умеренной силы); p<0,05). Предположительно, чем
более у онкобольных сформирована идентичность, социальные роли, мировоззрение,
групповая принадлежность, тем в меньшей степени они дают ответы «я ничто, не
знаю - кто я, не могу ответить на этот вопрос», что связано с имеющимся
представлением о себе, своих личностных качествах, способностях, сильных и
слабых сторонах характера.
Вывод: рассмотрев выявленные взаимосвязи в группе онкобольных, можно
отметить, что адекватная самооценка повышает их личную эффективность;
сформированное социальное «Я» (идентичность, социальные роли, мировоззрение,
групповая принадлежность) способствует проявлению коммуникативного «Я»
онкобольных, которое в свою очередь рождает внутреннее ощущение перспективы и
способность к рефлексии своей жизни, актуальной ситуации болезни и необходимых
действий по выздоровлению. Сформированное социальное «Я» также снижает
вероятность отсутствия полных, развернутых ответов онкобольных относительно
собственной идентичности.
3.5 Анализ взаимосвязей
показателей Я-концепции в группе лиц, не страдающих онкологическим заболеванием
Результаты корреляционного анализа в группе лиц, не страдающих
онкологическим заболеванием, представлены в таблице 7 и на рис.3:
Таблица 7. Взаимосвязи показателей Я-концепции в группе лиц, не
страдающих онкологическим заболеванием
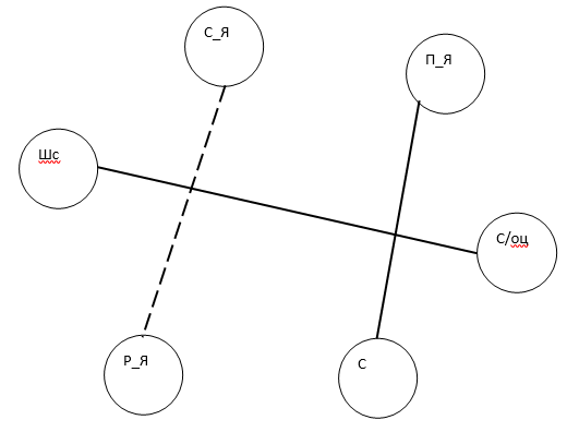
Рис.3. Схема взаимосвязей в группе лиц, не страдающих онкологическим
заболеванием
Условные обозначения:
Шс - Шкала самоэффективности
С/оц - Самооценка Будасси
С_Я - Социальное Я
К_Я - Коммуникативное Я
П_Я - Перспективное Я
С - Состояние
Отрицательную связь имеют шкалы «Социальное Я» и «Рефлексивное Я» (r = -0,36 (связь умеренной силы); p<0,05). Можно предположить, что
чем более у испытуемых контрольной группы сформирована идентичность, социальные
роли, мировоззрение, групповая принадлежность, тем в меньшей степени их
рефлексивное «Я» является проявленным, что может быть обусловлено с одной
стороны, сформированной персональной идентичностью: личностные качества,
особенности характера, описание индивидуального стиля поведения, а с другой
стороны - сложностями в осознавании своей жизни, экзистенциальных вопросов
жизни и смерти, степени реализованности, индивидуальных смыслов.
Шкала «самоэффективность» и «самооценка» положительно коррелируют между
собой (r=0,43(связь умеренной силы); p<0,05). Вероятно, чем более
адекватно испытуемые контрольной группы оценивают себя, свои личностные
качества, силы, возможности, тем в большей мере у них присутствует субъективное
ощущение личностной эффективности. Они верят, что жизнь подчинена их личным
усилиям, способны добиваться успехов, реализуя свой потенциал.
Положительную связь имеют шкалы «Перспективное Я» и «ситуативное
состояние» (r=0,46 (связь умеренной силы); p<0,05). Предположительно, чем
более испытуемые контрольной группы способны осознавать переживаемое состояние
в настоящий момент своей жизни, преобладающие эмоции, потребности, тем в
большей степени у них присутствует внутреннее ощущение перспективы (это могут
быть мечты или реальные намерения, касающиеся достижения успехов в значимых
областях жизни - профессиональной деятельности, семейной жизни, общении с
друзьями, достижении материального благополучия, поддержании хорошего
здоровья).
Вывод: рассмотрев выявленные взаимосвязи в группе лиц, не страдающих
онкологическим заболеванием, можно отметить, что адекватная самооценка повышает
их личную эффективность; способность осознавать свое эмоциональное состояние в
данный момент жизни способствует внутреннему ощущению перспективы в значимых
жизненных областях. В данной группе выявлено также, что сформированное
социальное «Я» снижает проявленность рефлексивного «Я», что по нашему
предположению, связано с одной стороны, сформированной персональной
идентичностью: личностные качества, особенности характера, описание
индивидуального стиля поведения, а с другой стороны - сложностями в осознавании
своей жизни, экзистенциальных вопросов жизни и смерти, степени реализованности,
индивидуальных смыслов.
В ходе исследования на тему «Особенности Я-концепции лиц, страдающих
онкологическими заболеваниями» были получены следующие выводы:
. Обнаружены значимые различия в структурных компонентах Я-концепции
между двумя группами. У лиц, страдающих онкологическим заболеванием, по
сравнению с лицами, не имеющими данного диагноза, в меньшей степени представлены
характеристики самовосприятия, осознания своего места в социальном мире,
представлений о себе, в частности о рефлексивности и коммуникативности как
характеристиках образа «Я». Кроме того, уровень их самоэффективности также
является более низким, чем у лиц, не имеющих онкологического заболевания.
. В обеих группах выявлена положительная связь самооценки и уровня
самоэффективности. Таким образом, можно сказать, что вера в эффективность своих
действий и ожидание успеха от их реализации напрямую зависит от уровня
самооценки: чем выше самооценка личности, тем выше ожидание успешности своей
деятельности.
. Взаимосвязи структурных компонентов Я-концепции имеют различия в
результате сравнительного анализа двух групп. В качестве специфических в
группах испытуемых выступают следующие связи:
) в группе онкологических больных сформированное социальное «Я»
способствует проявлению коммуникативного «Я», которое в свою очередь рождает
внутреннее ощущение перспективы и способность к рефлексии своей жизни,
актуальной ситуации болезни и необходимых действий по выздоровлению.
Сформированное социальное «Я» также снижает вероятность отсутствия полных,
развернутых ответов онкобольных относительно собственной идентичности.
) в группе лиц, не страдающих онкологическим заболеванием, способность
осознавать свое эмоциональное состояние в данный момент жизни способствует
внутреннему ощущению перспективы в значимых жизненных областях. Сформированное
социальное «Я» снижает проявленность рефлексивного «Я» у испытуемых контрольной
группы, что может быть обусловлено имеющимися у них сложностями в осознавании
экзистенциальных вопросов жизни и смерти, степени реализованности,
индивидуальных смыслов.
. В группе онкологических больных выявлено гораздо большее количество
взаимосвязей между структурными компонентами Я-концепции, чем в группе лиц, не
имеющих онкологического заболевания (6 против 3).
. В группах испытуемых наблюдаются взаимосвязи между различными
показателями, что так же частично говорит в пользу гипотезы о различных
особенностях Я-концепции лиц, имеющих онкологическое заболевание и испытуемых
без онкологии.
онкологический больной самооценка
Заключение
Онкологическое заболевание имеет широкий спектр воздействия на человека.
Многое в жизни меняется с того момента, как человек узнает о своем диагнозе:
возникает необходимость обращения к медицинским услугам, которые зачастую
сопровождаются неприятными последствиями (шрамы после оперативного
вмешательства, побочные эффекты химиотерапии и т.д.), перестраиваются
взаимоотношения с родными и друзьями, происходят личностные изменения, которые
могут сопровождаться повышенным уровнем тревоги и депрессии.
В результате анализа литературы, посвященной изучению взаимосвязи
Я-концепции и онкологических заболеваний, нами были выделены основные предпосылки
нашего исследования.
На сегодняшний день установлено, что у онкологических больных
прослеживается склонность к пессимистической оценке жизненных событий.
Длительные дисфории или склонность к депрессивным реакциям, сопровождаются
чувством безнадежности и потерей интереса к жизни.
У онкобольных наблюдается установка на соблюдение некой дистанции в
общении и образовании дружеских отношений. Поэтому в трудных ситуациях они с
трудом воспринимают поддержку со стороны.
У лиц, страдающих онкологическими заболеваниями, отмечается ощущение
слабости, сниженная самооценка, усиленное внимание к недостаткам, снижено
чувство симпатии к себе. Как отмечает С.А. Московина, больным свойственен
кризис жизненных смыслов, их переоценка.
По результатам исследований Н.А. Русиной, установленная положительная
связь между адекватным образом «Я» и эффективными копинг-стратегиями, приемами
совладания с болезнью и быстрым восстановлением, что подчеркивает значимость
Я-концепции в продолжительности заболевания.
Так же в исследованиях отмечено изменение образа «Я» у больных,
подвергающимся калечащим операциям, что свидетельствует о трансформации
Я-Концепции под воздействием факта наличия онкологического заболевания.
Среди возможных психологических причин возникновения онкологического заболевания,
авторы выделяют наличие длительных депрессивных реакций; дискомфортные
отношения в семье. Большинство авторов выделяют такие особенности больных как
депрессивность, тревожность, неуверенность.
Анализ результатов эмпирического исследования позволяет сформулировать
следующие выводы:
В данном исследовании мы проанализировали специфику воздействия факта
наличия онкологического заболевания на личность. В эмпирическом исследовании,
которое длилось с апреля по май 2016 года, приняло участие 60 человек (30 с
онкологическим диагнозом и 30 не имеющих онкологических заболеваний) в возрасте
от 26 до 82 лет, проживающих в городе Перми.
В данной работе были использованы методы изучения, обобщения и анализа
данных: качественные и количественные методы сбора эмпирической информации в
форме индивидуального опроса. В исследовании применялись: 1. Тест
Куна-Макпартленда (Методика «Кто я?»); 2. Методика нахождения количественного
уровня самооценки по Будасси; 3. Шкала общей самоэффективности Шварцер Ральф и
Маттиас Ерусалем.
Для определения нормальности распределения полученных данных был применен
критерий Колмогорова-Смирнова. Факт нормальности не был подтвержден поэтому
нами были использованы непараметрические методы обработки данных. Для сравнения
показателей Я-Концепции мы применили U - критерий Манна - Уитни. Для проверки гипотезы о различиях структуры
Я-концепции онкобольных и лиц, не имеющих онкологического заболевания, мы
произвели коэффициент корреляции Спирмена. Данные математические методы были
реализованы с помощью программ Exsel
и Statistica 6/0.
Рассмотрев выявленные взаимосвязи в группе лиц, не страдающих
онкологическим заболеванием, можно отметить, что адекватная самооценка повышает
их личную эффективность; способность осознавать свое эмоциональное состояние в
данный момент жизни способствует внутреннему ощущению перспективы в значимых
жизненных областях. В данной группе выявлено также, что сформированное
социальное «Я» снижает проявленность рефлексивного «Я», что может быть
обусловлено имеющимися у них сложностями в осознавании экзистенциальных
вопросов жизни и смерти, степени реализованности, индивидуальных смыслов.
Таким образом, в обеих группах выявлена положительная связь самооценки и
уровня самоэффективности. Из чего можно сделать вывод о том, что вера в
эффективность своих действий и ожидание успеха от их реализации напрямую
зависит от уровня самооценки: чем выше самооценка личности, тем выше ожидание
успешности своей деятельности. В группе онкологических больных выявлено гораздо
большее количество взаимосвязей между структурными компонентами Я-концепции,
чем в группе лиц, не имеющих онкологического заболевания (6 против 3). В
группах испытуемых наблюдаются взаимосвязи между различными показателями, что
так же частично говорит в пользу гипотезы о различных особенностях Я-концепции
лиц, имеющих онкологическое заболевание и испытуемых без онкологии.
Подводя итог проделанной работы, можно говорить о том, что выдвинутая
нами исследовательская гипотеза нашла свое эмпирическое подтверждение.
Список литературы
1. А.И.
Бабик. Психоонкология // Медицинские аспекты здоровья женщины. - Киев. - 2011.
- №1 (40). - С. 70-76
. Александер
Ф. Психосоматическая медицина. - М.: Геррус, 2003. - 350с.
. Архиреева
Т.В. Системный подход к пониманию структуры Я-концепции и закономерностей ее
развития в детском возрасте - Культурно-историческая психология - 2008. № 4.
С48
. Березин
Ф.Б. Психическая и психофизическая адаптация человека. - Л. Наука, 1998. - 269с
. Бернс
Р. Развитие Я-концепции и воспитание /Пер. с англ. - М.: "Прогресс",
1986. - с. 30-66
. Биктина
Н.Н., Кекк А.Н. Личностные особенности и ролевые позиции онкологических больных
// Современные проблемы науки и образования. - 2015. - № 2-1.
. Блинов
Н.Н., Хомяков И.П., Шиповников Н.Б. Об отношении онкологических больных к
своему диагнозу // Вопросы онкологии. - 1990. - №8. - С.966-969
. Богомолова
Н.Н., Стефаненко Т.Г. Контент-анализ. М., 1992.
. Будасси
С.А. «Нахождение количественного выражения уровня самооценки по Будасси»
Электронный ресурс: http://psylab.info
. Вассерман
Л.И., Громов С.А., Михайлов В.А., Лычник С.Д., Флерова И.Л. Концепции
реабилитации и качества жизни: преемственность и различия в современных
подходах. СПб, 2001.
. Вассерман
Л.И., Ерышев О.Ф. и др. Психодиагностика индекса жизненного стиля. Пособие для
врачей и психологов. С-Пб., 1999
. Гнездилов
А.В. Психоэмоциональные нарушения при распространенном опухолевом процессе и
методы их коррекции // Симптоматическое лечение при злокачественных
новообразованиях. - М., 1986. - С. 37-67
. Гнездилов
А.В. Путь на Голгофу: очерки работы психотерапевта в онкологической клинике и
хосписе. - СПб.: "Клинт", 1995. - 136 с.
. Григорьева
И.В., Игумнов С.А. Особенности психологического состояния и
медико-психологическая помощь пациентам, оперированным по поводу рака
щитовидной железы: основные стратегии психотерапевтической коррекции, 2010.с.19
. Грицевич
Т.Д., Черных И.Д. Особенности личности женщин, страдающих онкозаболеваниями, и
их удовлетворенность браком. http://elib.bspu.by/bitstream
. Гройсман
А.Л. Личность, творчество, регуляция состояний: Руководство по театральной и
пара театральной психологии. - М.: ИЧП «Изд-во Магистр», 1998. - 436 с
. Добровольский
А.В. Клинические особенности ИБС и внутренняя картина болезни // Журнал
неврологии и психиатрии им. С.С. Корсакова. - 2000. - № 1. - С. 23-27.
. Дунаевский
В.В. Особенности внутренней картины болезни и психотерапевтического подхода при
онкостоматологических заболеваниях // Тез. Докладов IV Всесоюзного съезда
онкологов. - Л., 1986. - С. 259-260
. Жмуров
В.А Психоонкология //Большая энциклопедия по психиатрии, 2-е изд., 2012г.
. Иванов
С.В. Особенности внутренней картины болезни у онкобольных// livejournal.com.
. Ивашкина
М.Г. Психологические особенности личности онкологических больных//Детская
психология, № 2, 2009
.
Карпенко Л.А., Петровский А.В., Ярошевский М.Г. Краткий психологический
словарь. Ростов-на-Дону: «Феникс».
. Кассинов
Г. Психотерапия гнева: полное практическое руководство. - М.: АСТ; СПб.: Сова,
2006. С.101-102
. Кернберг
О.Ф. Агрессия при расстройствах личности и перверсиях. - М.: Класс, 1998. -364с
. Козлова
Н.В., Андросова Т.В. Социально-психологическое сопровождение онкологических
больных//Вестник томского государственного университета, 2010. С 335
.
Кун М., Мак-Партланд Т. «Методика «Кто Я?» Электронный ресурс:
. Лакосина
Н.Д., Ушаков Г.К. Медицинская психология. - 2-е изд., - М.: Медицина, 2004.-
272с
. Малкина-Пых
И.Г. Психосоматика. М.: ЭКСМО, 2009.
. Менделевич
В.Д. Клиническая и медицинская психология: практическое руководство. - М.: МЕДпресс,
2001. - 592 с.
. Мещеряков
Б., Зинченко В. Большой психологический словарь /- Олма-пресс, 2004
. Москвитина
С.А. Особенности личности больных раком молочной железы//Альма матер. Вестник
высшей школы, 2012
. Мухтаренко
С.Ю., Мураталиев Т.М., Саткыналиева З.Т. Влияние особенностей восприятия
болезни на качество жизни у больных коронарной болезнью сердца, осложненной
сердечной недостаточностью - Электр. Ресурс: вестник КРСУ / № 7, 2003 г.
. Николаева
В.В. Влияние хронической болезни на психику. - М.: Изд-во Моск. ун-та, 1987. -
168 с.
. Реан
А. А. Психология личности. Социализация, поведение, общение. СПб., 2004.
. Русина
Н.А. Психологический статус и психотерапевтические «мишени» онкологических
больных//Материалы XI международной научно-практической конференции. Психология
и медицина: Пути поиска оптимального взаимодействия. Ярославль, 2011
. Русина
Н.А., Барабошин А.Т., Ларичев А.Б. Эмоциональный стресс хирургических и
онкологических пациентов [Электронный ресурс] // Медицинская психология в
России: электрон. науч. журн. - 2013.
. Сирота
Н.А., Фетисов Б.А. Копинг-поведение женщин больных раком молочной железы в
послеоперационный период. М., 2011
. Собенников
В.С., Ясникова Е.Е. Я-концепция. Внутренняя картина болезни. Учебное пособие.
Иркутск: ИГМУ, 2013.
. Столин
В. В. Самосознание личности. М., 1983.
. Ткаченко
Г.А., Шестопалова И.М. Особенности личности больных раком молочной железы в
отдаленном периоде//Вестник психотерапии, 2007, 21(26), с 66.
. Толстая
Н.В. Психологические особенности онкологических больных: состояние вопроса;
основные акценты и основные сложности//Клиническая психология в здравоохранении
и образовании. Сборник материалов. Москва, 2011. С 125.
. Тхостов
А.Ш., Арина Г.А. Теоретические проблемы исследования внутренней картины болезни
// Психологическая диагностика отношения к болезни. - Л., 1990. - С. 32-38.
. Тхостов.
А.Ш, Степанович Д.А. Влияние кризисной жизненной ситуации на структуру
самооценки.
. Урванцев
Л.П. Психология соматического больного. Ярославль, 2000.
. Ушакова
Т.Н. Латынов В.В., Павлова А.А., Павлова Н.Д. Ведение политических дискуссий:
Психологический анализ конфликтных выступлений. М., 1995. - 719 с.
. Федоренко
М.В. Особенности личности больных раком щитовидной железы на отдаленных сроках
после радикального противоопухолевого лечения на этапе психологической
реабилитации
. Холланд
Д., Ривкина Н.М. Психоонкология. История Развития//Консультативная психология и
психотерапия, 2014, №1, с14.
. Холланд
Дж., Леско Л., Фрейдин Ю.Л., Шкловский-Корди Н.Е. Опыт введения в современную
психоонкологию // Независимый психиатрический журнал. - 1995. - № 4. - С. 9-17
Приложения
Приложение 1. Первичные данные экспериментальной группы
|
№
|
ГРУППА
|
ВОЗРАСТ
|
Шкала самоэффективности
|
Самооценка Будаси
|
Социальное Я
|
Комуникативное я
|
Материальное Я
|
Физическое Я
|
Деятельное Я
|
Перспективное Я
|
Рефлексивное Я
|
Нет ответа
|
Состояние
|
продолжительность
заболевания(месяцы)
|
пол
|
|
1
|
экспер.
|
82
|
30
|
0,87
|
2
|
0
|
0
|
0
|
0
|
0
|
0
|
0
|
0
|
72
|
м
|
|
2
|
экспер.
|
67
|
26
|
0,57
|
0
|
0
|
0
|
1
|
0
|
0
|
0
|
0
|
0
|
12
|
м
|
|
3
|
экспер.
|
62
|
30
|
0
|
2
|
0
|
0
|
0
|
0
|
0
|
1
|
0
|
0
|
2
|
м
|
|
4
|
экспер.
|
61
|
34
|
0,75
|
0
|
0
|
0
|
1
|
0
|
0
|
0
|
0
|
3
|
м
|
|
5
|
экспер.
|
56
|
28
|
0
|
3
|
0
|
0
|
0
|
0
|
0
|
1
|
0
|
0
|
2
|
м
|
|
6
|
экспер.
|
63
|
30
|
0,79
|
1
|
0
|
0
|
0
|
3
|
0
|
0
|
0
|
0
|
2
|
м
|
|
7
|
экспер.
|
73
|
33
|
0,65
|
1
|
0
|
0
|
0
|
1
|
0
|
0
|
0
|
0
|
36
|
м
|
|
8
|
экспер.
|
69
|
32
|
0,34
|
1
|
0
|
0
|
0
|
0
|
0
|
0
|
0
|
0
|
36
|
м
|
|
9
|
экспер.
|
69
|
26
|
0,78
|
1
|
0
|
0
|
0
|
1
|
1
|
0
|
0
|
0
|
1
|
м
|
|
10
|
экспер.
|
65
|
30
|
0,95
|
1
|
0
|
0
|
0
|
0
|
0
|
0
|
0
|
0
|
5
|
м
|
|
11
|
экспер.
|
38
|
29
|
0,81
|
2
|
0
|
0
|
0
|
2
|
0
|
0
|
0
|
0
|
108
|
м
|
|
12
|
экспер.
|
69
|
30
|
0
|
2
|
0
|
0
|
0
|
1
|
1
|
0
|
0
|
0
|
1
|
м
|
|
13
|
экспер.
|
56
|
29
|
0,5
|
0
|
0
|
0
|
0
|
0
|
0
|
0
|
1
|
0
|
12
|
ж
|
|
14
|
экспер.
|
52
|
31
|
0,73
|
0
|
0
|
0
|
0
|
0
|
0
|
1
|
0
|
0
|
0
|
ж
|
|
15
|
экспер.
|
50
|
23
|
0,22
|
2
|
0
|
0
|
0
|
0
|
0
|
1
|
0
|
0
|
12
|
ж
|
|
16
|
экспер.
|
52
|
21
|
0
|
1
|
0
|
0
|
0
|
0
|
0
|
1
|
0
|
0
|
0
|
ж
|
|
17
|
экспер.
|
62
|
26
|
0,4
|
4
|
0
|
0
|
0
|
0
|
0
|
0
|
0
|
0
|
1
|
ж
|
|
18
|
экспер.
|
60
|
30
|
0,14
|
5
|
3
|
0
|
0
|
2
|
1
|
2
|
0
|
0
|
2
|
ж
|
|
19
|
экспер.
|
65
|
28
|
0,67
|
3
|
0
|
0
|
0
|
0
|
0
|
0
|
0
|
0
|
60
|
ж
|
|
20
|
экспер.
|
77
|
32
|
0,12
|
2
|
0
|
0
|
0
|
2
|
0
|
3
|
0
|
0
|
1,5
|
ж
|
|
21
|
экспер.
|
63
|
32
|
0,81
|
2
|
0
|
0
|
0
|
2
|
0
|
1
|
0
|
0
|
36
|
ж
|
|
22
|
экспер.
|
45
|
33
|
0,84
|
4
|
2
|
0
|
0
|
0
|
0
|
7
|
0
|
0
|
6
|
ж
|
|
23
|
экспер.
|
58
|
32
|
0,77
|
3
|
0
|
0
|
0
|
2
|
0
|
1
|
0
|
0
|
36
|
ж
|
|
24
|
экспер.
|
27
|
39
|
0,98
|
3
|
0
|
0
|
0
|
1
|
0
|
5
|
0
|
0
|
3
|
ж
|
|
25
|
экспер.
|
54
|
27
|
0,93
|
0
|
0
|
0
|
0
|
0
|
0
|
0
|
1
|
0
|
2
|
ж
|
|
26
|
экспер.
|
50
|
31
|
0,81
|
0
|
0
|
0
|
0
|
0
|
3
|
0
|
0
|
1
|
ж
|
|
27
|
экспер.
|
44
|
24
|
0,52
|
0
|
0
|
0
|
0
|
0
|
0
|
0
|
0
|
1
|
10
|
ж
|
|
28
|
экспер.
|
57
|
35
|
0,95
|
7
|
0
|
0
|
0
|
6
|
0
|
0
|
0
|
0
|
12
|
ж
|
|
29
|
экспер.
|
72
|
25
|
0,74
|
1
|
0
|
0
|
0
|
0
|
0
|
3
|
0
|
0
|
24
|
ж
|
|
30
|
экспер.
|
81
|
27
|
0,64
|
5
|
0
|
0
|
0
|
1
|
0
|
0
|
0
|
0
|
36
|
ж
|
Приложение 2
Первичные данные контрольной группы
|
№
|
ГРУППА
|
ВОЗРАСТ
|
Шкала самоэффективности
|
Самооценка Будаси
|
Социальное Я
|
Комуникативное я
|
Материальное Я
|
Физическое Я
|
Деятельное Я
|
Перспективное Я
|
Рефлексивное Я
|
Нет ответа
|
Состояние
|
Шкала самоэффективнсоти
уровень
|
Самооценка Будасси уровень
|
пол
|
|
1
|
контрол.
|
50
|
31
|
0,66
|
7
|
1
|
0
|
0
|
0
|
0
|
1
|
0
|
0
|
сред
|
средн
|
ж
|
|
2
|
контрол.
|
70
|
38
|
0,91
|
1
|
2
|
0
|
0
|
5
|
0
|
1
|
0
|
0
|
выск
|
средн
|
ж
|
|
3
|
контрол.
|
31
|
23
|
0,74
|
2
|
1
|
0
|
0
|
3
|
1
|
10
|
0
|
1
|
низк
|
средн
|
ж
|
|
4
|
контрол.
|
27
|
35
|
0,79
|
5
|
0
|
0
|
0
|
2
|
1
|
3
|
0
|
0
|
сред
|
средн
|
ж
|
|
5
|
контрол.
|
30
|
36
|
0,86
|
2
|
1
|
0
|
0
|
0
|
0
|
14
|
0
|
0
|
средн
|
средн
|
ж
|
|
6
|
контрол.
|
32
|
34
|
0,72
|
6
|
1
|
0
|
0
|
0
|
0
|
1
|
0
|
0
|
средн
|
средн
|
ж
|
|
7
|
контрол.
|
43
|
34
|
0,7
|
6
|
2
|
0
|
0
|
2
|
0
|
1
|
0
|
0
|
средн
|
средн
|
ж
|
|
8
|
контрол.
|
57
|
30
|
0,9
|
8
|
1
|
0
|
0
|
0
|
0
|
5
|
0
|
0
|
средн
|
средн
|
ж
|
|
9
|
контрол.
|
67
|
22
|
0,81
|
6
|
0
|
0
|
0
|
1
|
0
|
1
|
0
|
0
|
низк
|
средн
|
ж
|
|
10
|
контрол.
|
55
|
33
|
0
|
1
|
0
|
0
|
0
|
1
|
0
|
12
|
0
|
0
|
средн
|
Низк
|
ж
|
|
11
|
контрол.
|
26
|
30
|
0,71
|
5
|
1
|
0
|
0
|
4
|
0
|
5
|
0
|
0
|
средн
|
средн
|
ж
|
|
12
|
контрол.
|
60
|
27
|
0,72
|
4
|
2
|
0
|
0
|
1
|
0
|
1
|
0
|
0
|
средн
|
средн
|
ж
|
|
13
|
контрол.
|
68
|
25
|
0,95
|
4
|
0
|
0
|
0
|
0
|
0
|
1
|
0
|
0
|
низк
|
средн
|
м
|
|
14
|
контрол.
|
81
|
37
|
0,97
|
3
|
0
|
0
|
0
|
2
|
0
|
0
|
0
|
0
|
высок
|
средн
|
м
|
|
15
|
контрол.
|
65
|
40
|
0,96
|
3
|
1
|
1
|
0
|
4
|
0
|
2
|
0
|
0
|
высок
|
средн
|
мм
|
|
16
|
контрол.
|
29
|
0,83
|
0
|
0
|
0
|
0
|
0
|
0
|
0
|
1
|
0
|
средн
|
средн
|
м
|
|
17
|
контрол.
|
60
|
30
|
0,68
|
1
|
1
|
0
|
0
|
1
|
0
|
2
|
0
|
0
|
средн
|
средн
|
м
|
|
18
|
контрол.
|
53
|
27
|
0,21
|
1
|
1
|
0
|
1
|
3
|
0
|
7
|
0
|
0
|
средн
|
средн
|
м
|
|
19
|
контрол.
|
51
|
36
|
0,71
|
1
|
1
|
0
|
0
|
0
|
0
|
5
|
0
|
0
|
средн
|
средн
|
м
|
|
20
|
контрол.
|
69
|
29
|
-0,51
|
0
|
1
|
0
|
0
|
0
|
0
|
9
|
0
|
0
|
средн
|
Низк
|
м
|
|
21
|
контрол.
|
53
|
28
|
0
|
0
|
0
|
0
|
0
|
1
|
0
|
3
|
0
|
0
|
средн
|
Низк
|
м
|
|
22
|
контрол.
|
58
|
38
|
0,99
|
0
|
0
|
0
|
0
|
0
|
0
|
9
|
0
|
0
|
высок
|
средн
|
м
|
|
23
|
контрол.
|
39
|
38
|
0,96
|
0
|
0
|
0
|
0
|
0
|
0
|
2
|
0
|
0
|
высок
|
средн
|
м
|
|
24
|
контрол.
|
63
|
32
|
0
|
5
|
0
|
0
|
1
|
2
|
0
|
1
|
0
|
0
|
средн
|
Низк
|
м
|
|
25
|
контрол.
|
56
|
34
|
0,99
|
0
|
0
|
0
|
0
|
3
|
0
|
4
|
0
|
0
|
средн
|
средн
|
м
|
|
26
|
контрол.
|
62
|
34
|
0
|
0
|
0
|
0
|
0
|
1
|
0
|
10
|
0
|
0
|
средн
|
Низк
|
м
|
|
27
|
контрол.
|
53
|
29
|
0,87
|
1
|
1
|
0
|
0
|
0
|
0
|
7
|
0
|
0
|
средн
|
средн
|
м
|
|
28
|
контрол.
|
61
|
33
|
0,58
|
1
|
2
|
0
|
0
|
0
|
0
|
4
|
0
|
1
|
средн
|
средн
|
м
|
|
29
|
контрол.
|
58
|
26
|
-0,07
|
3
|
0
|
0
|
0
|
1
|
0
|
4
|
0
|
0
|
низк
|
Низк
|
м
|
|
30
|
контрол.
|
58
|
26
|
0
|
4
|
0
|
0
|
0
|
0
|
0
|
5
|
0
|
0
|
низк
|
Низк
|
м
|
Приложение 3
Матрица категорий и эмпирических индикаторов образа «Я» Экспериментальная
группа
|
Категория
|
Индикаторы
|
|
1. Социальное Я
|
«мужчина» «дед» «отец»
«дедушка» «пенсионер» «имею сыновей» «мужчина пожилого возраста» «патриот»
«гражданин» «служивший в СССР» «женщина» «дочь», «жена», «бабушка», «мама»,
«учитель», «[обозначает ФИО]», «[обозначает возраст]», «работала в колхозе»,
«главный зоотехник», «отрицательно отношусь к местной власти», «хочу чтобы
люди были как Верещагин - за отчизну душой болели», «состоявшийся
руководитель», «эксперт в области HR-управления», «руководитель», «живу в
Краснокамске», «родилась в Кизеле», «Окончила школу, училище», «вышла замуж»,
«родила дочь», «педагог», «гражданка России»
|
|
2. Коммуникативное Я
|
«подруга», «соседка»,
«верная подруга, товарищ», «человек, готовый выслушать и помочь», «позитивный
компаньон»
|
|
3. Материальное Я
|
|
|
4. Физическое Я
|
«больной», «бывший
наркоман», «инвалид»
|
|
5. Деятельное Я
|
«творческая личность»,
занимаюсь рыбалкой», «люблю проводить время на природе», «занимаюсь
разработкой земельного участка», «занимаюсь в настоящее время в саду»,
«трудоголик», «любитель Уральской природы», «тунеядец», «путешественник»,
«лечусь в онкологии» «работающая», «люблю читать», «люблю вышивать», «веду
хозяйство», «пою в хоре», «любительница поэзии и прозы», «люблю читать
классику», «не люблю смотреть телевизор», «человек, начинающий новый образ
жизни», автолюбитель», «спортивная», «работала в проектном институте»,
«уехала на работу в Грецию», «сейчас на лечении»
|
|
6. Перспективное Я
|
«хочу быть нужной»
|
|
7. Рефлексивное Я
|
«человек» «уравновешенный»
«трудолюбивый», «лечением доволен» «жизнелюб» «несостоявшийся семьянин»,
«ответственная», «заботливая», «помощница», «дружелюбная», «меня уважают»,
«любимая»,«хорошая бабушка», «посланец новой информации для людей,
интересующихся и ведущих ЗОЖ», «человек, на которого можно положиться»,
«энергичная», «жизнерадостная», «активная», «люблю жизнь», «эмоциональная»,
«любящая», «хорошая», «успешная», «сомневающаяся», «растерянна», «добрый»,
«люблю угождать и помогать людям»
|
Приложение 4
Матрица категорий и эмпирических индикаторов образа «Я»
Контрольная группа
|
Категория
|
Индикатор
|
|
1. Социальное Я
|
«мать», «дочь»,
«товаровед», «женщина», «сестра», «любовница», «внучка», «пенсионерка»,
«девушка», «жена», «аналитик», «менеджер», «крестная мать», «[называет ФИО]»,
«[называет возраст]», «пенсионерка», «бабушка», «у меня есть внуки», «папина
дочка», «житель Перми», «работник», бухгалтер», «гражданка РФ», «бывший
работник завода», «глава семьи», «имею семью», «инженер», «атеист», «отец»,
«мужик», «муж», «брат», «недовольный государством», «мужчина», «русский»,
«рабочий», «узкий специалист в области добычи нефти»
|
|
2. Коммуникативное Я
|
«подруга», «по природе
человек коммуникабельный», «стараюсь помогать друзьям», «знакомая»,
«общительная», «есть много друзей и знакомых», «есть друзья»
|
|
3. Материальное Я
|
«занимаюсь строительством
дома»
|
|
4. Физическое Я
|
«больной»
|
|
5. Деятельное Я
|
«занимаюсь общественной
работой», «являюсь председателем совета ветеранов», «помогаем по хозяйству»,
«ведет работу по патриотическому воспитанию», «являюсь членом общественного
совета», «люблю театры», «люблю балет», «люблю животных», «очень люблю
танцевать», «домохозяйка», «трудолюбивая», «трудолюбивая», «садовод»,
«творческая личность», «ленивый трудоголик», «водитель», «хозяйка кота»,
«кофеман», «занимаюсь строительством дома», пою в хоре», «осваиваю
компьютер», «рыбачу», «люблю игры», «знания предпочитаю получать практикой, а
не теорией», «трудолюбивый», «работоспособный», «путешествую»,
«недофутболист», «люблю природу»
|
|
6. Перспективное Я
|
«очень хочу стать мамой»,
«будущая мать»
|
|
7. Рефлексивное Я
|
«человек»,«хорошая
хозяйка», «общительный характер», «веселая», «люблю веселиться», «милая»,
«добрая», «иногда бываю злая и не справедливая», «не люблю проигрывать», «я
честная», «не люблю когда врут», «упрямая», «не зацикливаюсь на ошибках людей
- быстро прощаю», «не держу долго обиды и зла», «считаю, что любовь нужна
всем», «я доверчива», «я люблю себя», «я люблю мужа», «не легко было
отвечать», «трудоголик», «оптимист», «личность», «активная», «сексапильная»,
исполнительная», «любящая», «ответственная», «веселая», «красивая»,
«энергичная», «добрая», «смелая», «позитивная», «умная», «любимая»,
«комфортная», «знак зодиака», «аккуратная», «отзывчивая», «решительная»,
«педантичная», «жизнерадостная», «самокритичная», «люблю детей», «лукава»,
«жизнелюб», «влюбчива», «в душе лирик», «мнительная», «осторожна»,
«вспыльчива», «жизнерадостная», «люблю помогать людям», «интересная»,
«счастливая», «по жизни лидер», «радуюсь жизни», «счастливый человек»,
«ленивый», «в душе пацан, телом старик», «приземленный», «вредный», «закрыт
для других», «легковерный», «болтливый», «недоверчивый», «злой», «циничный»,
«меркантильный», «жадный», «холодный», «независтливый»,» «необщительный»,
«самодостаточный», «закомплексованный», «злопамятный», «состоятельный»,
«люблю активную жизнь», «пунктуальный», «влюбчивый», «гордый», «сдержанный»,
«подозрительный», «мнительный», «разный», «любящий свободу», «легкий»,
«сильный», «супер-герой», «одинокий волк», «богатый духовно»,
«стремительный», «завоеватель», криворукий», «самодостаточный», «веселый», «с
большим опытом работы», «хороший», «неверующий»
|
|
8. Ситуативное состояние
|
«я устал»
|
Приложение 5
Описательная статистика. Экспериментальная группа
|
Показатели
|
N
|
mean
|
median
|
mode
|
min
|
Max
|
std.dev.
|
skewness
|
kurtosis
|
|
методик
|
ч. исп.
|
среднее
|
медиана
|
мода
|
мин
|
Макс
|
стд. откл.
|
асимметрия
|
эксцесс
|
|
Возраст
|
30
|
59,93
|
61,5
|
69,0
|
27,0
|
81,0
|
12,20
|
-0,54
|
0,69
|
|
Шкала самоэффективности
|
30
|
29,43
|
30,0
|
30,0
|
21,0
|
39,0
|
3,78
|
0,03
|
0,55
|
|
Самооценка Будасси
|
30
|
0,58
|
0,7
|
0,0
|
0,0
|
1,0
|
0,32
|
-0,72
|
-0,86
|
|
Социальное Я
|
30
|
1,97
|
2,0
|
1,0
|
0,0
|
7,0
|
1,73
|
1,13
|
|
Комуникативное я
|
30
|
0,17
|
0,0
|
0,0
|
0,0
|
3,0
|
0,65
|
3,91
|
14,92
|
|
Материальное Я
|
30
|
0,00
|
0,0
|
0,0
|
0,0
|
0,0
|
0,00
|
0,00
|
0,00
|
|
Физическое Я
|
30
|
0,03
|
0,0
|
0,0
|
0,0
|
1,0
|
0,18
|
5,48
|
30,00
|
|
Деятельное Я
|
30
|
0,83
|
0,0
|
0,0
|
0,0
|
6,0
|
1,32
|
2,37
|
7,32
|
|
Перспективное Я
|
30
|
0,10
|
0,0
|
0,0
|
0,0
|
1,0
|
0,31
|
2,81
|
6,31
|
|
Рефлексивное Я
|
30
|
1,00
|
0,0
|
0,0
|
0,0
|
7,0
|
1,68
|
2,24
|
5,25
|
|
Нет ответа
|
30
|
0,07
|
0,0
|
0,0
|
0,0
|
1,0
|
0,25
|
3,66
|
12,21
|
|
Состояние
|
30
|
0,03
|
0,0
|
0,0
|
0,0
|
1,0
|
0,18
|
5,48
|
30,00
|
Приложение 6
Описательная статистика. Контрольная группа
|
Показатели
|
N
|
mean
|
median
|
mode
|
min
|
max
|
std.dev.
|
skewness
|
kurtosis
|
|
методик
|
ч. исп.
|
среднее
|
медиана
|
мода
|
мин
|
Макс
|
стд. откл.
|
асимметрия
|
эксцесс
|
|
Возраст
|
30
|
54,07
|
57,5
|
multiple
|
26,0
|
78,0
|
13,86
|
-0,71
|
-0,27
|
|
Шкала самоэффективности
|
30
|
31,47
|
31,5
|
34,0
|
22,0
|
40,0
|
4,75
|
-0,14
|
-0,79
|
|
Самооценка Будасси
|
30
|
0,59
|
0,7
|
0,0
|
-0,5
|
1,0
|
0,42
|
-1,13
|
0,12
|
|
Социальное Я
|
30
|
2,67
|
2,0
|
multiple
|
0,0
|
8,0
|
2,44
|
0,57
|
-0,90
|
|
Комуникативное я
|
30
|
0,67
|
1,0
|
0,0
|
0,0
|
2,0
|
0,71
|
0,59
|
-0,76
|
|
Материальное Я
|
30
|
0,03
|
0,0
|
0,0
|
0,0
|
1,0
|
0,18
|
5,48
|
30,00
|
|
Физическое Я
|
30
|
0,07
|
0,0
|
0,0
|
0,0
|
1,0
|
0,25
|
3,66
|
12,21
|
|
Деятельное Я
|
30
|
1,23
|
1,0
|
0,0
|
0,0
|
5,0
|
1,45
|
1,08
|
0,25
|
|
Перспективное Я
|
30
|
0,07
|
0,0
|
0,0
|
0,0
|
1,0
|
0,25
|
3,66
|
12,21
|
|
Рефлексивное Я
|
30
|
4,33
|
3,5
|
1,0
|
0,0
|
14,0
|
3,82
|
0,97
|
0,07
|
|
Нет ответа
|
30
|
0,03
|
0,0
|
0,0
|
0,0
|
1,0
|
0,18
|
5,48
|
30,00
|
|
Состояние
|
30
|
0,07
|
0,0
|
0,0
|
0,0
|
1,0
|
0,25
|
3,66
|
12,21
|
Приложение 7
Критерий Колмогорова-Смирнова. Экспериментальная группа
|
Показатели
|
Кол-во
|
Критерий
|
Ур.значим.
|
|
|
N
|
K-S
|
p
|
|
|
Шкала самоэффективности
|
30
|
0,1262
|
p >.20
|
|
|
Самооценка Будаси
|
30
|
0,1823
|
p >.20
|
|
Приложение 8
Критерий Колмогорова-Смирнова. Контрольная группа
|
Показатели
|
Кол-во
|
Критерий
|
Ур.значим.
|
|
|
N
|
K-S
|
p
|
|
|
Шкала самоэффективности
|
30
|
0,1029
|
p >.20
|
|
|
Самооценка Будаси
|
30
|
0,2688
|
p <,05
|
*
|
Приложение 9
Категориальная сетка методики Куна-Макпарленда «Ктоя?»
|
Название категорий
|
Показатели
|
|
Социальное Я
|
прямое обозначение пола
(юноша, девушка; женщина); сексуальная роль (любовник, любовница; Дон Жуан,
Амазонка); учебно-профессиональная ролевая позиция (студент, учусь в
институте, врач, специалист); семейная принадлежность, проявляющаяся через
обозначение семейной роли (дочь, сын, брат, жена и т. д.) или через указание
на родственные отношения (люблю своих родственников, у меня много родных);
этническо-региональная идентичность включает в себя этническую идентичность,
гражданство (русский, татарин, гражданин, россиянин и др.) и локальную,
местную идентичность (из Ярославля, Костромы, сибирячка и т. д.);
мировоззренческая идентичность: конфессиональная, политическая принадлежность
(христианин, мусульманин, верующий); групповая принадлежность: восприятие
себя членом какой-либо группы людей (коллекционер, член общества).
|
|
Коммуникативное Я
|
дружба или круг друзей,
восприятие себя членом группы друзей (друг, у меня много друзей); общение или
субъект общения, особенности и оценка взаимодействия с людьми (хожу в гости,
люблю общаться с людьми; умею выслушать людей)
|
|
Материальное Я
|
описание своей
собственности (имею квартиру, одежду, велосипед); оценку своей
обеспеченности, отношение к материальным благам (бедный, богатый,
состоятельный, люблю деньги); отношение к внешней среде (люблю море, не люблю
плохую погоду).
|
|
Физическое Я
|
субъективное описание своих
физических данных, внешности (сильный, приятный, привлекательный);
фактическое описание своих физических данных, включая описание внешности,
болезненных проявлений и местоположения (блондин, рост, вес, возраст, живу в
общежитии); пристрастия в еде, вредные привычки.
|
|
Деятельное Я
|
занятия, деятельность,
интересы, увлечения (люблю решать задачи); опыт (был в Болгарии); самооценка
способности к деятельности, самооценка навыков, умений, знаний, компетенции,
достижений, (хорошо плаваю, умный; работоспособный, знаю английский).
|
|
Перспективное Я
|
профессиональная
перспектива: пожелания, намерения, мечты, связанные с учебно-профессиональной
сферой (будущий водитель, буду хорошим учителем); семейная перспектива:
пожелания, намерения, мечты, связанные с семейным статусом (буду иметь детей,
будущая мать и т. п.); групповая перспектива: пожелания, намерения, мечты,
связанные с групповой принадлежностью (планирую вступить в партию, хочу стать
спортсменом); коммуникативная перспектива: пожелания, намерения, мечты,
связанные с друзьями, общением. материальная перспектива: пожелания,
намерения, мечты, связанные с материальной сферой (получу наследство,
заработаю на квартиру); физическая перспектива: пожелания, намерения, мечты,
связанные с психофизическими данными (буду заботиться о своем здоровье, хочу
быть накачанным); деятельностная перспектива: пожелания, намерения, мечты,
связанные с интересами, увлечениями, конкретными занятиями (буду больше
читать) и достижением определенных результатов (в совершенстве выучу язык);
персональная перспектива: пожелания, намерения, мечты, связанные с
персональными особенностями: личностными качествами, поведением и т. п. (хочу
быть более веселым, спокойным); оценка стремлений (многого желаю, стремящийся
человек).
|
|
Рефлексивное Я
|
персональная идентичность:
личностные качества, особенности характера, описание индивидуального стиля
поведения (добрый, искренний, общительная, настойчивый, иногда вредный,
иногда нетерпеливый и т. д.), персональные характеристики (кличка, гороскоп,
имя и т. д.); эмоциональное отношение к себе (я супер, «клевый»); глобальное,
экзистенциальное «Я»: утверждения, которые глобальны и которые недостаточно
проявляют различия одного человека от другого (человек разумный, моя
сущность).
|
|
Нет ответа
|
проблемная идентичность (я
ничто, не знаю - кто я, не могу ответить на этот вопрос)
|
|
Ситуативное состояние
|
ситуативное состояние:
переживаемое состояние в настоящий момент (голоден, нервничаю, устал,
влюблен, огорчен).
|
Приложение 10
Уважаемый участник исследования!
Кафедра общей и клинической психологии ПГНИУ проводит психологическое
исследование. Просим Вас принять участие в нем. Исследование анонимное, все
полученные данные будут использованы в обобщенном варианте.
Анкета
Пол_______ Возраст_________ Образование___________________________
Семейное положение_______________ Вид занятости_________________
Опросник №1
В течение 12 минут вам необходимо дать как можно больше ответов на один
вопрос, относящийся к вам самим: «Кто Я?». Постарайтесь дать как можно больше
ответов. Каждый новый ответ начинайте с новой строки (оставляя некоторое место
от левого края листа). Вы можете отвечать так, как вам хочется, фиксировать все
ответы, которые приходят к вам в голову, поскольку в этом задании нет
правильных или неправильных ответов.
Также важно замечать, какие эмоциональные реакции возникают у вас в ходе
выполнения данного задания, насколько трудно или легко вам было отвечать на
данный вопрос.
Кто Я?
________________________________________________________________________________________________________________________________________________________________________________________________________________________________________________________________________________________________________________________________________________________________________________________________________________________________________________________________________________________________________________________________________________________________________________________________________________________________________________________________________________________________________________________________________________________________________________________________________________________________________________________________________________________________________________________________________________________________________________________________________________________________________________________________________________________________________________________________________________
Пронумеруйте все сделанные вами отдельные ответы-характеристики. Слева от
каждого ответа поставьте его порядковый номер. Теперь каждую свою отдельную
характеристику оцените по четырехзначной системе:
· «+» - знак «плюс» ставится, если в целом вам лично данная
характеристика нравится;
· «-»- знак «минус»- если в целом вам лично данная
характеристика не нравится;
· «±» - знак «плюс-минус» - если данная характеристика вам и
нравится, и не нравится одновременно;
· «?» - знак «вопроса» - если вы не знаете на данный момент
времени, как вы точно относитесь к характеристике, у вас нет пока определенной
оценки рассматриваемого ответа.
Знак своей оценки необходимо ставить слева от номера характеристики. У
вас могут быть оценки, как всех видов знаков, так и только одного знака или
двух-трех.
Опросник №2
Пожалуйста, из предложенного списка из 50 личностных качеств выберите 10,
описывающих идеального с Вашей точки зрения человека, и 10 - отрицательных, то
есть тех, которых ни в коем случае не должно быть у идеала. Впишите их в
столбец Качества предлагаемой таблицы. Порядок качеств не имеет значения.
Затем, перепишите качества в столбец X1 таким образом, чтобы на первом
месте стояло наиболее присущее Вам качество, на втором - качество менее
присущее Вам, и так вплоть до наименее присущего качества под номером двадцать.
После этого закройте столбец Х1 и вновь перепишите качества в столбец Х2,
поставив на первое место качество, наиболее присущее Вашему идеалу человека, на
второе место - чуть менее присущее качество, и т.д.
Список лисночтных качеств:
. Аккуратность
. Беспечность
. Вдумчивость
. Вспыльчивость
. Восприимчивость
6. Гордость
7. Грусть
. Жизнерадостность
. Заботливость
. Завистливость
. Застенчивость
. Злопамятность
. Искренность
. Изысканность
. Капризность
. Легковерие
. Медлительность
. Мнительность
. Мстительность
. Настойчивость
. Нежность
. Непринужденность
. Нервозность
. Нерешительность
. Несдержанность
. Обаяние
. Обидчивость
. Осторожность
. Отзывчивость
. Педантичность
. Подвижность
. Подозрительность
. Принципиальность
. Поэтичность
. Презрительность
. Радушие
. Развязанность
. Рассудочность
. Решительность
. Самозабвение
. Сдержанность
. Стыдливость
. Терпеливость
. Трусость
. Увлекаемость
. Упорство
. Уступчивость
. Холодность