Разработка конструкции мельницы
Содержание
Введение
. Литературный обзор по конструкциям оборудования для
дробления руды
. Конструкторская часть
.1 Анализ конструкции мельницы «МШЦ 3,8 х5500»
.1.1 Техническое описание
.1.2 Основные параметры и характеристики
. Технологическая часть
.1 Разработка маршрутной технологии изготовления
крупногабаритных деталей
.2 Разработка операционной технологии изготовления детали
стенка торцевая
.2.1 Выбор и расчет припусков на обработку
.2.2 Выбор режущих инструментов
.2.3 Выбор средств измерения и контроля размеров
.2.4 Назначение режимов резания
.2.5 Техническое нормирование времени операции
.3 Разработка технологии сборки
.4 Разработка технологии контроля
.4.1 Цель испытаний
.4.2 Объем испытаний
.4.3 Условия предъявления изделий на испытания
.4.4 Требования к месту проведения испытаний
.4.5 Требования к средствам проведения испытаний
.4.6 Требования к условиям проведения испытаний
.4.7 Требования к подготовке изделия к испытаниям
.4.8 Содержание испытаний
.5 Разработка схемы строповки стенки торцевой
Заключение
Список использованных источников
Введение
технология мельница испытание оборудование
В выпускной квалификационной работе необходимо
разработать конструкторскую и технологическую подготовку производства мельницы
в условия «ССМ Тяжмаш».
«ССМ-Тяжмаш» входит в состав международной
горно-металлургической компании ПАО «Северсталь» и является одним из ведущих
машиностроительных предприятий Северо-Западного региона России.
Компания была создана в апреле 2002 г. на базе
Машиностроительного Центра «Северсталь».
История развития предприятия неразрывно связана с
историей «Северстали». Запуски важнейших агрегатов металлургического комбината
являются вехами на трудовом пути основных цехов предприятия.
«ССМ-Тяжмаш» имеет полный производственный цикл: от
мощного заготовительного блока до современных механообрабатывающего и
сборочного производств.
Основная специализация «ССМ-Тяжмаш»:
изготовление и ремонт деталей, узлов высокой
сложности, предназначенных для проведения текущих и капитальных ремонтов
механического оборудования;
изготовление широкого спектра деталей и узлов для
модернизации оборудования, изготовление нового технологического оборудования
для различных отраслей промышленности.
Мельница «МШЦ 3,8х5500» применяется на горнодобывающих
предприятиях. Заказчиком является ОАО «Карельский окатыш», входит в
горнодобывающий (сырьевой) дивизион горно-металлургической компании
«Северсталь» (ПАО) с 1999 г. [10].
На обогатительных фабриках сырье подвергается
поочередным обработкам, которые разделяются на предварительные, главные
обогатительные, запасные и процессы производственного сервиса.
К предварительным процессам относятся деления и
измельчения, при которых достигается обнаружение рудных минералов методом
поражения взаимосвязей между зернами, путем появления машинной смеси частичек и
кусочков разного минералогического состава.
Задача предварительных действий - дорабатывание сырья
до крупности, нужной для следующего обогащения, либо приобретение продукта
данной крупности для конкретного применения (сортировка руд и углей, создание
строительных материалов).
Измельчение руды делается традиционно в агрегатах,
именуемых мельницами, и считается крайней стадией процесса измельчения
крупности руды пред её обогащением. В зависимости от формы барабана мельницы
разделяют на цилиндрические и конические, а в зависимости от дробящих тел на
шаровые, стержневые, галечные и самоизмельчения.
Руда в мельнице измельчается ударами дробящих тел
(шаров, стержней либо больших кусочков руды, гали). Руда в мельнице
измельчается не только ударами, но и истирается меж дробящими телами и
внутренней поверхностью мельницы. Мельница загружается через загрузочную цапфу
1-го конца, а выгружаться через разгрузочную цапфу. Измельчение может быть
мокрым и сухим.[30].
Так как в настоящее время в процесс обработки все чаще
вовлекается скудное сырье с тонкой и очень неравномерной вкрапленностью
значимого компонента, процессы дробления, измельчения и грохочения является
чрезвычайно актуальными. Достигнуть увеличения эффективности позволяет введения
новоиспечённого дробильно-измельчительного оборудования с более значительной
продуктивностью и наименьшей энергоемкостью, позволяющего достигнуть
качественного измельчения сырья.
Принцип работы шаровых, стержневых и галечных мельниц
одинаков, поэтому достаточно рассмотреть условия работы одного типа мельниц -
шаровых. В шаровых мельницах дробящими телами являются кованые или штампованные
стальные шары, которые при вращении мельницы поднимаются на определенную высоту
и, падая, измельчают руду.
Износ шаров и стержней зависит от материала, из
которого они изготовляются, от характера (твердости) измельчаемой руды,
крупности загружаемых кусков и заданной конечной крупности продукта.
Преимущества:
• Простая по конструкции и надежна в эксплуатации;
• По мере износа шаров они просто досыпаются в
мельницу на ходу - ремонт мелющих органов требуется только при сильном износе
броневых плит;
• МШЦ универсальны по размалываемому материалу;
• МШЦ пригодны для размола пыли, т.к. в остальных
мельницах это связанно с износом мелющих органов.
1. Литературный обзор устройств для дробления руд
Дробление руды с помощью дробилок - извлеченные из земных недр руды или
техногенное сырье в большинстве случаев не могут быть непосредственно
использованы в металлургическом производстве и поэтому проходят сложный цикл
последовательных операций подготовки к доменной плавке. Отметим, что при добыче
руды открытыми разработками в зависимости от расстояния между взрывными шпурами
и размера ковша экскаватора величина крупных глыб железной руды может достигать
1000-1500 мм. При подземной добыче максимальный размер куска не превышает
обычно 350 мм. Во всех случаях добываемое сырье содержит и большое количество
мелких фракций.
Независимо от последующей схемы подготовки руды к плавке вся добываемая
руда проходит прежде всего стадию первичного дробления, так как величина
крупных кусков и глыб при добыче намного превышает размер куска руды,
максимально допустимый по условиям технологии доменной плавки. Техническими
условиями на кусковатость в зависимости от восстановимости предусматривается
следующий максимальный размер кусков руды: до 50 мм для магнетитовых руд, до 80
мм для гематитовых руд и до 120 мм для бурых железняков. Верхний предел
крупности кусков агломерата не должен превышать 40 мм [31].
При этом осуществляется принцип «не дробить ничего лишнего». Опыт
показывает, что в дробленом продукте всегда имеется небольшое количество
кусков, размер которых несколько превышает заданный. В «закрытых» («замкнутых»)
схемах дробленый продукт вновь направляется на грохот для отделения
недостаточно измельченных кусков с последующим их возвратом в дробилку. При
«закрытых» схемах дробления руды соблюдение верхнего предела крупности
дробленого продукта гарантировано.
По технологическому назначению все машины, применяемые для разрушения
кусков руды, делятся на две основные разновидности: дробилки и мельницы. В
дробилках между дробящими деталями всегда имеется некоторый зазор, заполняемый
материалом при работе под нагрузкой и остающийся свободным при работе на
холостом ходу. В мельницах измельчающие детали отделяются друг от друга слоем
материала только под нагрузкой, а при работе на холостом ходу он соприкасаются.
Дробилки, благодаря наличию некоторого «калибрующего» зазора выдают
преимущественно крупный продукт с относительно небольшим количеством тонких
фракций. Мельницы, где рабочий зазор между измельчающими телами приближается к
нулю, выдают преимущественно порошкообразный продукт, с преобладанием мелких
фракций.
В зависимости от способа разрушения материала дробилки делятся на:
Щековые - разрушение материала раздавливанием, раскалыванием и частичным
истиранием в рабочем пространстве, образованном двумя щеками, при их
периодическом сближении (крупное дробление) в соответствии с рисунком 1.1.
Рисунок 1.1 Щековая дробилка
Конусные - материал дробится раздавливанием, изломом и частичным
истиранием между двумя коническими поверхностями в соответствии с рисунком 1.2,
одна из которых движется эксцентрично по отношению к другой (крупное, среднее и
мелкое дробление).
Рисунок 1.2 Конусная дробилка
Валковые дробилки - раздавливание материала между валками в соответствии
с рисунком 1.3, вращающимися на встречу друг другу или между валками
колосниковой решеткой.
Рисунок 1.3 Валковая дробилка
Ударные дробилки - делятся на молотковые и роторные (рисунок 1.4) -
основной способ разрушения удар шарнирно подвешенных молотков или жестко
укрепленных бил.
Рисунок 1.4 Роторная дробилка
Рисунок 1.5 Молотковая дробилка
Щековые дробилки были разработаны в 1858 Блеком. Их используют на стадии
первичного дробления руды с плотностью до 1,8 т/м3 на обогатительных фабриках.
Общую классификацию щековых дробилок можно представить следующим образом
(рисунок 1.6):
Рисунок 1.6 Классификация щековых дробилок
В дробилках с простым движением щеки ЩДП (а) подвижная щека совершает
простые возвратно-поступательные перемещения в горизонтальной плоскости,
приближаясь и удаляясь от неподвижной щеки под воздействием
эксцентриково-шатунного механизма, приводящего в движения распорные плиты. При
этом материал, попавший в рабочую зону, подвергается разрушению раздавливающими
усилиями щек. В дробилках со сложным движением щеки ЩДС (б) подвижная щека
подвешена непосредственно на эксцентриковом валу, а нижняя ее часть шарнирно
соединяется с распорной плитой. Траектория движения точек щеки представляет
собой овалообразные кривые со значительным вертикальным перемещением, что
обуславливает не только раздавливающее, но и истирающее действие щеки в
соответствии с рисунком 1.7.
Рисунок 1.7 Конструктивная схема щековых дробилок: 1,2 - неподвижная и
подвижная щеки; 3 - маховик; 4 - эксцентриковый (главный) вал; 5 - гнездо упора
распорных плит; 6 - пружины замыкающего механизма; 7 - шатун; 8 - распорная
плита; 9 - тяга замыкающего механизма; 10 - станина; 11 - ось подвеса подвижной
щеки; в - ширина разгрузочной щели (минимальная)
В отечественной практике применяют преимущественно дробилки с простым
движением щеки в соответствии с рисунком 1.8.
Рисунок 1.8 Щековая дробилка с простым движением щеки
Корпус дробилки включает переднюю стенку (1), выполняющую роль
неподвижной щеки. Подвижная щека (2) подвешена в горизонтальном валу и
совершает возвратно-поступательные движения вследствие вращения вала, на
которым эксцентрично посажена головка шатуна (3), совершающего такие же
движения в вертикальном направлении и передающего через распорные плиты (4)
усилия на щеку и упорную коробку. Последняя крепится с помощью винта и может
перемещаться в вертикальном направлении, тем самым, изменяя ширину разгрузочной
щели.
К нижнему концу щеки крепится тяга с буферной пружиной, что способствует
отходу подвижной щеки от неподвижной при ходе шатуна вниз. На концах вала
насажены два маховика для выравнивания нагрузки электродвигателя, передающего
вращательный момент на вал посредством клиноременной передачи и приводного
шкива.
При дроблении в щековых дробилках руда загружается в приемное отверстие
между щеками. По мере уменьшения размеров куски руды опускаются вниз к выходной
щели. Максимальная степень дробления, которую можно достичь в щековых дробилках
составляет 8. Обычно они работают при степенях дробления от 3-4.
В целях предотвращения быстрого износа рабочее пространство дробилки,
образованное подвижной и неподвижной щеками и боковыми стенками, защищено
плитами из износоустойчивой стали. Подвижная и неподвижная щеки футеруются
плитами, имеющими ребристую или волнистую форму. Выступы на плите неподвижной
щеки располагаются против впадин на плите подвижной щеки. Это облегчает
дробление кусков, так как дробящие усилия концентрируются на меньшей площади,
соответствующей выступам футеровочных плит, и раздавливание частично заменяется
другими видами деформации, как например, изгибом, сдвигом, для которых дробимые
материалы имеют меньшие пределы прочности. Боковые стенки станниты футеруются
гладкими плитами, так как не испытывают разрушающего усилия. Распорные плиты
изготавливают из относительно хрупкого материала (например, серого чугуна), так
как они предохраняют дробилку от поломок при попадании каких-либо сверхтвердых
частей (куски металла и т.д.). В момент попадания в дробилку не дробимых
предметов происходит раскол одной распорной плиты (чаще задней), ширина
разгрузочной щели резко увеличивается и предмет проваливается вниз.
Одним из основных технологических факторов, определяющих эффективность
работы щековой дробилки, является угол захвата α, представляющий собой угол,
образованный подвижной и неподвижной щеками дробилки и обеспечивающий захват
куска без выталкивания его вверх из приемного отверстия. Для правильной работы
щековой дробилки угол захвата α должен быть меньше двойного угла
трения φ. При значении коэффициента трения
скольжения между рудой и рабочей поверхностью щеки f=0,1-0,3 угол α должен быть 15-24º [31].
Конусные дробилки наиболее универсальными из существующих дробильных
агрегатов, способных разрушать материалы прочностью до 20 по шкале М.М.
Протодьяконова, являются конусные эксцентриковые дробилки, созданные для
процессов крупного, среднего и мелкого дробления.
Классифицируют конусные дробилки следующим образом:
По кинематическому признаку различают:
дробилки с неподвижным вертикальным валом, геометрическая ось дробящего
конуса которых остается параллельной своему первоначальному положению,
применяют крайне редко в связи с малой работой дробления и быстрым износом
футеровочных плит (в России в настоящее время не выпускаются);
дробилки с подвижным вертикальным валом, ось которых образует малый угол
с осью симметрии дробилки, за счет чего все точки дробящего конуса описывают
конические поверхности разного радиуса. Радиус круговых движений тем больше,
чем токи ближе к выходной щели.
По способу крепления центрального вала различают дробилки:
с подвесным валом, укрепленным на верхнем шарнире в гнезде двухлапой
траверсы. Они имеют крутой конус (с большим радиусом кривизны) и применяются
для крупного дробления;
с консольным валом с опорой в центральной части на опорный подпятник.
Имеют пологий конус и применяются для мелкого и среднего дробления.
В зависимости от типа приводного механизма различают дробилки:
с эксцентриковым механизмом (за рубежом называются гирационные)
применяются для крупного ККД и КРД, среднего КСД и мелкого КМД дробления;
с дебалансным вибровозбудителем КИД (инерционные) применяются для мелкого
и особо тонкого дробления.
Не зависимо от типа дробилки материал разрушается в кольцевом
пространстве, образованном наружной неподвижной конической чашей (верхней
частью станины дробилки) и расположенным внутри этой чаши подвижным дробящим
конусом, насаженным на вал. У дробилок для крупного дробления вал подвешивается
к верхней траверсе, а у дробилок для среднего и мелкого дробления подвешивается
на сферический подпятник, на который опирается дробящий конус, жестко
закрепленный на валу. Дробилки с таким подвесом вал еще называют - дробилками с
консольным валом.
Рисунок 1.9 Схема конусной дробилки для крупного дробления с подвешенным
валом (ККД): 1 - верхняя часть станины (неподвижная коническая чаша); 2 -
дробящий конус; 3 - вал; 4 - эксцентриковый стакан; 5 - нижняя часть станины; 6
- коническая передача; 7 - приводной вал; 8 - шкив
Дробилка типа ККД имеет корпус, состоящий из нижней и верхней частей в
соответствии с рисунком 1.9. Верхняя часть станины представляет собой
неподвижный конус (чашу), обращенный большим основанием вверх, внутри которого
производится дробление. Угол наклона конической поверхности (угол между
образующей конуса и вертикалью) составляет 17- 20º. Внутренняя поверхность неподвижного
конуса футеруется плитами из марганцовистой стали. Подвижный дробящий конус
жестко закреплен на валу и также покрыт футеровкой. Вал дробилки подвешен в
специальном гнезде в центральной головке траверсы. Нижний конец вала свободно
входит в длинный полый эксцентраковый стакан, вставленный во втулку, ось
которой совпадает с вертикальной осью дробилки и отлита заодно с нижней частью
корпуса, глее размещается привод дробилки, состоящей из пары конических
зубчатых шестерен, одна из которых закреплена на эксцентриковом стакане, а
другая на валу привода. Стакан за счет шестерен вращается, и ось вала описывает
коническую поверхность, благодаря чему подвижный дробящий конус совершает
круговые движения, приближаясь и удаляясь от поверхности неподвижного конуса.
Исходный материал загружается сверху, а дробленный продукт разгружается под дробилку.
Производительность наиболее крупных щековых дробилок не превышает 450-500
т/ч. Характерными для щековых дробилок являются случаи запрессовки рабочего
пространства при дроблении влажных глинистых руд. Кроме того, щековые дробилки
не должны применяться для дробления руд, имеющих плитчатое сланцевое строение
куска, так как отдельные плитки в случае ориентации их длинной оси вдоль оси
щели выдачи дробленого материала могут проходить через рабочее пространство
дробилки не разрушаясь.
Конусные дробилки применяются для крупного дробления (i=3-6). Дробилки
высокопроизводительны, могут работать «под завалом», но для их установки
требуется значительная высота производственных зданий. Конусные дробилки для
среднего КСД и мелкого КМД дробления имеют сходные конструкции. Они отличаются
лишь размерами приемных отверстий, выпускных щелей и профилем дробящей зоны. От
дробилок крупного дробления их отличают характер расположения неподвижного
конуса (чаши), который повернут большим основанием вниз, и более пологая форма
подвижного конуса.
Основным рабочим элементом валковой дробилки является вращающийся на
горизонтальной оси цилиндрический валок. Подлежащий дроблению материал подается
сверху, затягивается межу валками или валком и футеровкой камеры дробления и в
результате этого разрушается.
Классифицируют валковые дробилки следующим образом:
В зависимости от количества дробящих валков различают: одно валковые в
соответствии с рисунком 1.10, двух-, трех- и четырех валковые дробилки.
В зависимости от вида валков различают дробилки с гладкими, рифлеными и
зубчатыми валками. Зубчатые валки могут быть с короткими зубьями (высота зуба
менее 0,1 диаметра валка) и длинными зубьями (высота зуба более 0,1 диаметра
валка).
Рисунок 1.10 Одновалковая зубчатая дробилка: 1 - зубчатый валок; 2 -
центральный вал; 3 - шарнирное крепление колосниковой решетки; 4 - пружина; 5 -
станина; 6 - зубцы, 7 - приводной вал; 8 - колосники; 9 - зубчатая передача;
10, 11 - решетка; 12 - приводной шкив; 13 - тяга
Существенным недостатком валковых дробилок является интенсивное и
неравномерное изнашивание рабочих поверхностей валков (бандажей) при дроблении
прочных и абразивных пород. Бандаж изнашивается в основном в средней части
валка, что не дает возможность поддерживать стабильный размер выходной щели по
всей ее длине. Кроме того, валковые дробилки обладают сравнительно невысокой
удельной производительностью.
Разрушение материала, поступающего сверху, происходит за счет
раздавливания и частичного истирания между зубчатым валком и колосниками
сборной решетки. Дробленый продукт проваливается вниз через отверстия решетки.
При попадании в дробилку недробимых предметов колосниковая решетка отходит,
сжимая пружины, и пропускает предмет. В следствие того, что материал дробится
на колосниковой решетке, и своевременно удаляется из процесса не происходит его
переизмельчения.
Угол захвата - у валковых дробилок с гладкими валками называется угол,
образованный двумя касательными, проведенными к поверхностям валков в точках
соприкосновения с дробимым куском.
К дробилкам ударного действия данной относятся роторные и молотковые
дробилки и дезентеграторы. Роторные дробилки предназначены для ударного
дробления различных материалов с помощью бил, жестко закрепленных на роторе,
вращающемся вокруг горизонтальной оси. Применяются для разрушения различных
руд, извести, гипса, угля, сырья и клинкера при производстве бетонов, дробления
доменных шлаков и стекольного боя. Данные дробилки отличаются высокими
технико-экономическими показателями - большой степенью дробления, значительной
производительностью, небольшим расходом электроэнергии, простотой конструкции и
удобством обслуживания, а также специфическими достоинствами роторных дробилок
- высокой избирательностью дробления, высоким процентов выхода продукта
кубообразной формы и меньшей чувствительностью к попаданию не дробимых
предметов.
Первый патент на роторную дробилку был выдан в США в 1842 г, однако
широкое промышленное применение их началось в 1939 г, в России роторные
дробилки стали выпускаться в 1959 г.
По конструктивным признакам роторные дробилки разделяют:
по числу роторов на одно- и двух роторные;
по характеру исполнения отражательных органов на дробилки с колосниковыми
отражательными решетками и дробилки с отражательными плитами;
по направлению вращения роторов на реверсивные и нереверсивные.
Наибольшее распространение получили одноротороные дробилки, как наиболее
простые, компактные и удобные в эксплуатации.
К молотковым - относят дробилки ударного действия с шарнирно
закрепленными на роторе ударными элементами - молотками, дробилки отличаются
высокой степенью дробления, достигающей 100.
Сравнительно небольшие размеры молотковых дробилок позволяют
устанавливать их в ограниченных пространствах, например в шахтах. Герметичность
корпуса и возможность плотного присоединения загрузочных и разгрузочных течек
позволяют при малых затратах на аспирацию предупредить выброс пыли в окружающую
среду. Большинство молотковых дробилок обладает малой чувствительностью к
попаданию не дробимых предметов в камеру дробления. Следует отметить такие
преимущества молотковых дробилок, как простота конструкции и удобство
обслуживания и ремонта, что обеспечивается наличием дверок или гидравлической
системы раскрытия корпуса. Установка молотковой дробилки с динамически
сбалансированным ротором не требует сооружения тяжелого фундамента.
Применяют для дробления руд различного минерального состава, а так же
строительного щебня, глины, асбеста.
Однороторные молотковые дробилки -основной, наиболее многочисленный тип
молотковых дробилок в соответствии с рисунком 1.11. Их выпускают большим
количеством типоразмеров; от малых - лабораторных до крупных дробилок с ротором
диаметром 2.5 м и массой 250 т. Число типоразмеров данных дробилок достигает 20
и более.
Дробилка состоит из корпуса, облицованного плитами, внутри которого
расположен массивный ротор с шарнирно подвешенными на нем молотками различного
веса (1 до 130 кг) и формы.
Рисунок 1.11 Однороторная молотковая дробилка: 1, 2 - верхняя и нижняя
часть корпуса; 3 - подшипники скольжения; 4 - роторный вал; 5 - откидная
стенка; 6 - колосниковая решетка; 7 - ротор; 8 - стержни (ось дробящий
молотков); 9 - молотки; 10 - боковые стенки; 11 - концевые диски ротора; 12 -
промежуточные диски ротора; 13 - футеровочные плиты; 14 - заслонки
Молотки дробилки изготавливают из износоустойчивой стали и заменяют их по
мере износа (рисунок 1.12). Различают молотки:
колосникового типа (а), применяемые для дробления хрупких и мягких пород;
бандажного типа (б), имеющие утолщения на рабочем конце;
скобообразной формы, применяемые для разрушения хрупких и мягких пород
(в), а также твердых материалов (г).
Рисунок 1.12 Виды молотков: а - колосникового типа; б - бандажного типа;
в - скобообразного типа
Достоинства: высокая степень дробления (i=10-40); возможность получения
кусков кубообразной формы; малогабаритны и низко энергозатратны.
Недостатки: необходимость постоянного контроля за износом молотков.
Для измельчения материала на обогатительных фабриках используют мельницы
барабанного типа (рисунок 1.13).
Рисунок 1.13 Мельница барабанного типа
В зависимости от способа разрушения руды различают:
аэродинамические, или струйные мельницы (без измельчающих тел) -
разрушение руды происходит за счет ударов о броню или за счет соударения кусков
материала, движущихся с большой скоростью (100-200 м/сек) в потоках газовых
струй;
механические мельницы с мелющими телами, которые в свою очередь делятся на:
барабанные, роликовые, чашевые (бегунные) и дисковые.
В зависимости от формы барабана мельницы делятся на:
цилиндрические;
цилиндроконические.
В зависимости от размера барабана цилиндрические мельницы могут быть:
короткие (L≤D);
длинные (L=2-3D);
трубные (L≥3D).
В зависимости от характера движения барабанные мельницы делятся на:
вращающиеся мельницы (тихоходные) - движение вокруг горизонтальной оси;
вибрационные мельницы (быстроходные) - барабан мельницы приводится в
колебательное движение от дебалансного вибратора, что приводит к перекатыванию
находящихся в нем шаров;
центробежные мельницы (быстроходные) - с неподвижным вертикальным
барабаном и вращающимся внутри него ротором - валом с выделами для роликов.
Обкатка роликов и раздавливание ими частиц материала происходит за счет
центробежных сил инерции.
В зависимости от способа разрушения руды различают:
аэродинамические, или струйные мельницы (без измельчающих тел) -
разрушение руды происходит за счет ударов о броню или за счет соударения кусков
материала, движущихся с большой скоростью (100-200 м/сек) в потоках газовых
струй.
механические мельницы с мелющими телами, которые в свою очередь делятся
на барабанные, роликовые, чашевые (бегунные) и дисковые.
В зависимости от вида измельчающей среды барабанные мельницы делятся на:
шаровые - измельчающая среда в виде стальных или чугунных (реже
фарфоровых) шаров с диаметром от 25 до 150 мм;
стержневые - измельчающая среда стальные стержни с предельной длиной 6 м;
галечные - измельчающая среда в виде окатанной кремниевой гальки с
диаметром от25 до 75 мм;
самоизмельчения - в виде измельчающей среды используют крупные куски
руды, поступающей на измельчение;
полу самоизмельчение - в виде измельчающей среды используют крупные куски
руды, поступающей на измельчение с небольшим добавлением (8-10% от объема
мельницы) стальных шаров диаметром 100-150 мм;
В ряде случаем в качестве измельчающей среды используют стальные или
чугунные цильпебсы, представляющие собой тела в виде коротких цилиндров,
усеченных конусов, дисков или толстостенных трубок.
В зависимости от характера разгрузки различают:
мельницы с центральной разгрузкой (сливного типа), характеризующиеся
свободным сливом через разгрузочную цапфу. Для осуществления беспрепятственного
слива диаметр цапфы обычно принимают несколько больше, чем диаметр
разгрузочной, либо мельницы устанавливают под углом 6-80.
мельницы с разгрузкой через решетку (диафрагму), удаление измельченного
материала через щелевидные или круглые отверстия в торцевой решетке,
установленной перед разгрузочной цапфой. Тонкий продукт, прошедший через
отверстия поднимают на уровень слива с помощью радиальный перегородок
(лифтеров), установленных на решетке со стороны слива.
мельницы с периферической разгрузкой через сито имеют барабан,
цилиндрическая поверхность которого снаружи покрыта сеткой. Измельченный
материал из камеры измельчения через щелевидные отверстия между футерованными
плитами поступает на сита, а затем проваливается вниз;
мельницы с открытым концом, у которых разгрузочная торцевая крышка барабана
имеет центральное отверстие большого диаметра, окаймленного сливным раструбом
(отсутствует разгрузочная цапфа).
В зависимости от вида опорных устройств различают мельницы:
с подшипниками скольжения, на которые опираются пустотелые цапфы;
с опорными катками, на которые барабан опирается через специальные
опорные бандажи, жестко укрепленные на барабане.
Наиболее широкое применение получили мельницы с опорой на пустотелые
цапфы. Недостатком таких мельниц является необходимость изготовления достаточно
прочных торцевых крышек, трудность доступа внутрь барабана для ремонта и
значительное удлинение пути движения измельчаемого материала вдоль оси
мельницы, превышающее в крупноразмерных мельницах длину барабана в 1,5-2 раза.
Мельницы с центральной разгрузкой (МШЦ, МСЦ).
Мельница состоит из цилиндрического барабана, изготовленного из сваренных
или клепанных стальных листов большой толщины. На обоих концах имеются торцевые
крышки с укрепленными в них пустотелыми цапфами из листовой стали. Посредством
цапф корпус мельницы опирается на коренные подшипники. Вращение барабану
передается от электродвигателя посредством малой шестерни, насаженной на
приводном валу, и зубчатого венца на барабане.
У мельниц малого размера (до 2100х3000) приводной вал вращается от
асинхронного электродвигателя с короткозамкнутым ротором через клиноременную
передачу. У мельниц большого размера - от асинхронных и синхронных двигателей
через муфту.
Корпус мельницы и торцевые крышки с внутренней стороны футеруются
износоустойчивыми футерованными плитами. На корпусе барабана имеются один или
два люка для осмотра, ремонта или замены футерованных плит.
Конструкция футерованных плит барабана должна допускать легкую их
установку и смену. Обычно плиты изготавливают из чугуна или марганцовистой и
хромистой стали. Литая марганцовистая сталь применяется при больших нагрузках
шаров большого диаметра. Толщина футерованных плит принимается от 50 мм для
малых мельниц до 130-150 мм для больших мельниц.
В режиме измельчения, где футеровка работает на истирание целесообразно
применять футеровку из хромо-молибденово-марганцовистых или хромо-титановых
сталей. В условиях комбинированных нагрузок (удар и истирание) хорошо работают
хромо-никелевые и хромо-марганцовистые стали. Весьма перспективным является
применение резиновой футеровки, срок службы которой в несколько раз больше
стальной.
Загрузочная и разгрузочная цапфы имеют футеровку в виде спирали, что
улучшает подачу материала в барабан. Разгрузочная цапфа имеет обратную спираль,
что предотвращает разгрузку шаров.
Для подачи материала используют барабанные, улитковые или комбинированные
питатели.
Барабанный питатель - представляет собой цилиндроконическую камеру,
открытую с обеих сторон и снабженную внутренней спиральной перегородкой, для
подачи измельчаемого материала через загрузочную цапфу. Корпус питателя
отливается из чугуна или сваривается из стальных листов. Питатель крепится
болтами к загрузочной цапфе и применяется для подачи материала крупностью до 70
мм на уровне оси мельницы.
Улитковый питатель - представляет собой спиральной формы черпак с круглым
отверстием в боковой стенке по оси вращения для выпуска зачерпываемого
материала в мельницу.
Питатель болтами крепиться к цапфе барабана мельницы так, чтобы отверстия
цапфы и питателя совпадали. Используется для подачи мелкоразмерного материала с
низкого уровня (например, подавать питание из классификатора в мельницу).
Комбинированный питатель применяется для загрузки кускового и
мелкоразмерного материала.
Мельницы с центральной разгрузкой могут быть шаровыми (МШР) и стержневыми
(МСЦ).
Конструктивным отличием стержневых мельниц от шаровых является
увеличенный диаметр загрузочной и разгрузочных цапф, рассчитанный на пропуск
большего, чем в шаровых мельницах, количества материала в единицу времени.
Стержневые мельницы применяются для грубого измельчения - примерно до 30%
класса -0,074 мм (1 ст. измельчения) при крупности исходного питания -35 мм.
Максимально-возможная крупность питания -50 мм. Измельченный продукт
имеет менее вогнутую характеристику крупности, по сравнению с характеристикой
крупности шаровых мельниц. Стержни, раздвинутые кусками руды, выполняют роль
колосников грохота: через щели проходят мелкие частицы, в то время как более
крупные куски задерживаются стержнями, медленно перетираясь.
Мельницы с разгрузкой через решетку
Имеют в разгрузочном конце барабана решетку с отверстиями для разгрузки
измельченного материала. На стороне, обращенной к разгрузочной крышке, решетка
имеет радиальные ребра, делящие пространство между решеткой и торцевой крышкой
на секторные камеры.
2. Конструкторская часть
.1 Анализ конструкции
.1.1 Техническое описание
Мельница выполнена по схеме исполнения 1 (вращение против часовой стрелки
по направлению захода материала). Соответственно этому применено исполнение или
схема сборки деталей и узлов, зависящих от направления вращения мельницы:
патрубок загрузочный - правая навивка шнека.
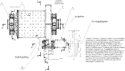
Основными составными частями мельницы (в соответствии с рисунком 2.1)
являются барабан 1 (в соответствии с рисунком 2.1), подшипник 01350 с опорной поверхностью
шириной 510 мм-2 (в соответствии с рисунком 2.1), подшипник 01350 с опорной
поверхностью 490 мм -3 (в соответствии с рисунком 2.1), привод 4 (в
соответствии с рисунком 2.1), система смазывания и гидроподпора 5 (в
соответствии с рисунком 2.1) и электрооборудование 6 (в соответствии с рисунком
2.1).
Рисунок 2.1 Мельница
Барабан мельницы состоит из цилиндрического цельносварного корпуса 7 (в
соответствии с рисунком 2.2), торцовой загрузочной стенки 8 (в соответствии с
рисунком 2.4) и торцовой разгрузочной стенки 9 (в соответствии с рисунком 2.4)
с полыми цапфами. Торцовые стенки крепятся к фланцам барабана призонными
болтами.
Рабочими поверхностями цапф барабан опирается на подшипники 01350.
Изнутри торцовая стенка загрузочная 8 (в соответствии с рисунком 2.4) и
разгрузочная 9 (в соответствии с рисунком 2.4) футерованы торцовыми
бронеплитами 10 (в соответствии с рисунком 2.5) и 11 (в соответствии с рисунком
2.5), установленными на резиновые подкладки 12 (в соответствии с рисунком 2.2)
толщиной 10 мм.
Внутри полой цапфы стенки торцовой загрузочной установлен патрубок
загрузочный 13 (в соответствии с рисунком 2.2), а в цапфе стенки разгрузочной -
патрубок разгрузочный 14 (в соответствии с рисунком 2.2). На патрубок
разгрузочный крепится горловина 15 (в соответствии с рисунком 2.2).
Рисунок 2.2 Барабан мельницы
Подшипник 2 (в соответствии с рисунком 2.1) состоит из корпуса 16 (в
соответствии с рисунком 2.5) крышки 17 (в соответствии с рисунком 2.5),
смотровой крышки 18 (в соответствии с рисунком 2.5) служащей подводом смазки на
цапфу торцовой стенки. В крышке подшипника 17 имеется смотровой люк 19 (в
соответствии с рисунком 2.5). Также на крышке подшипника устанавливаются датчики
измерения температуры 20 (в соответствии с рисунком 2.5). В состав подшипника
входит опорная плита 21 (в соответствии с рисунком 2.5) и фундаментная плита 22
(2.5). Опорная плита 21 (в соответствии с рисунком 2.5) выполнена в виде
сферической опоры с диаметром 2000мм. На фундаментной плите имеются
регулировочные болты 23 (М64) (в соответствии с рисунком 2.5).
Подшипник 3 (в соответствии с рисунком 2.1) состоит из тех же деталей,
что и подшипник 2 отличается корпусом, в котором опорная
поверхность равна 490 мм.
Привод 4 (в соответствии с рисунком 2.1) состоит из муфты упругой 25 (в
соответствии с рисунком 2.3) и вал-шестерни в сборе 26 (в соответствии с
рисунком 2.1), зубчатого венца 27 (в соответствии с рисунком 2.5), фундаментной
плиты 28 (в соответствии с рисунком 2.5), кожуха зубчатого венца 29 (в
соответствии с рисунком 2.5), кожуха промежуточного вала 30 (в соответствии с
рисунком 2.3) установленного на рамах 31 (в соответствии с рисунком 2.3).
Рисунок 2.3 Привод мельницы
Муфта упругая 25 (в соответствии с рисунком 2.3) состоит из обойм 32 (в
соответствии с рисунком 2.4) и зубчатых втулок 33 (в соответствии с рисунком
2.4) соединенных разрезной крышкой 34 (в соответствии с рисунком 2.3). Между
зубьями зубчатой втулки и обоймы устанавливаются резиновые пластины 35 (в
соответствии с рисунком 2.4).
Рисунок 2.4 Муфта упругая
Вал-шестерня в сборе состоит из корпуса 37 (в соответствии с рисунком
2.3), в который установлены подшипники качения с вал-шестерней 38 (в
соответствии с рисунком 2.3). В корпусе вал- шестерни имеется люк 39 (в
соответствии с рисунком 2.6), служащий для уборки отработанного смазочного
материала. Подшипники зафиксированы буксами 40, 41 (в соответствии с рисунком 2.3).
Фиксация букс с корпусом вал-шестерни производиться с помощью шпилек 42 (в
соответствии с рисунком 2.6). В буксах предусмотрены места для установки
датчиков измерения температуры 43 (в соответствии с рисунком 2.6). Между
буксами устанавливается стенка 44 (в соответствии с рисунком 2.6), на которой
монтируется крышка 45 (в соответствии с рисунком 2.6) служащая подводом впрыска
смазочного материала. На фундаментной плите смонтированы шпильки 46 (в
соответствии с рисунком 2.6) служащие для перемещения корпуса вал-шестерни.
Между корпусом вал-шестерни и фундаментной плитой устанавливаются планки 47 (в
соответствии с рисунком 2.6).
Рисунок 2.5 Подшипник
Зубчатый венец 27 (в соответствии с рисунком 2.5) состоит из двух половин.
Крепится зубчатый венец на торцовой крышке барабана с разгрузочной стороны
призонными болтами.
Фундаментная плита 28 (в соответствии с рисунком 2.5) выполнена в виде
отливки с обработанной верхней поверхностью и внутренними поверхностями упоров.
Внутри плиты имеются отверстия для установки сухарей 48 (в соответствии с
рисунком 2.6), посредством которых производится крепление корпуса вал-шестерни.
Рисунок 2.6 Крепление подшипников
Кожух зубчатого колеса 29 (в соответствии с рисунком 2.5) состоит из трех
секторов 50, 51, 52 (в соответствии с рисунком 2.5). Сектор 50 (в соответствии
с рисунком 2.5) устанавливается на фундамент. Сектор 51 (в соответствии с
рисунком 2.5) служит промежуточной деталью между секторам 50 и 52 (в
соответствии с рисунком 2.5). Сектор 52 (в соответствии с рисунком 2.5),
снабженный смотровым люком, устанавливается на вал-шестерню в сборе.
Кожух 30 (в соответствии с рисунком 2.3) закрывает муфту упругую и
устанавливается на рамы 31 (в соответствии с рисунком 2.3).
Рамы 31 (в соответствии с рисунком 2.3) выполнены в виде сварной
конструкции из листов.
.1.2 Основные параметры и характеристики
Мельницы должны соответствовать требованиям настоящих технических
условий, ГОСТ 10141, ГОСТ 12.2.003, ГОСТ 12.3.002, ПБ 03-571-03, РД 06-572-03
комплекту конструкторской документации (КД) и изготавливаться по
технологической документации, утвержденной в установленном порядке.
Основные технические характеристики
Мельница рассчитана на длительную непрерывную работу в закрытом помещении
при температуре окружающей среды от +5°С до +40°С. Мельница не имеет привода
пере футеровки.
Техническая характеристика.
Внутренний диаметр барабана без футеровки, мм 3850
Длина барабана, мм 5500
Масса вращающихся частей с торцовой броней, кг 95655
Степень заполнения барабана, % 33
Производительность, т/ч 335
Номинальная частота вращения барабана, об/мин 13,8
Число зубьев вал-шестерни 24
Число зубьев колеса 268
Модуль зубчатого зацепления 20
Передаточное отношение 11,16
Электродвигатель
тип СДСМ-18-51-36УХЛ4
мощность, кВт 1250
частота
вращения, об/мин 166,7
Основные
составные части мельницы указаны в таблице 2.1
Таблица
2.1
Основные
составные части мельницы
|
Обозначение
|
Наименование
|
Кол.
|
Масса, кг
|
Габариты, длина, ширина,
высота, мм
|
|
|
|
1 шт.
|
Общая
|
|
|
710.09.130Б
|
Корпус барабана
|
1
|
20300
|
20300
|
9729x4250x4250
|
|
710.09.101
|
Горловина
|
1
|
853
|
853
|
378x1570x1570
|
|
710.09.102
|
Патрубок загрузочный
|
1
|
3990
|
3990
|
1509x1400x1400
|
|
710.09.220Б
|
Стенка торцовая
|
2
|
16950
|
33900
|
1909x4250x4250
|
|
710.09.240Б
|
Бронь торцовая
|
16
|
544
|
8704
|
1455x655x243
|
|
710.09.250Б
|
Бронь торцовая
|
16
|
396
|
6336
|
946x810x377
|
|
710.09.270Б
|
Патрубок разгрузочный
|
1
|
2100
|
2100
|
1504x1440x1440
|
|
710.09.300Б
|
Подшипник
|
1
|
8050
|
8050
|
3200x900x2478
|
|
710.09.500Б
|
Подшипник
|
1
|
8050
|
8050
|
3200x900x2478
|
|
716.09.051
|
Плита
|
1
|
2700
|
2700
|
2340x1220x500
|
|
716.09.150Б
|
Вал-шестерня в сборе
|
1
|
4100
|
4100
|
2164,5x890x820
|
|
716.09.260Б
|
Венец зубчатый
|
1
|
17700
|
17700
|
800x5406,8x5406,8
|
|
716.09.280Б
|
Секция кожуха
|
1
|
262
|
262
|
2840x1050x1980
|
|
716.09.290Б
|
Секция кожуха
|
1
|
203
|
203
|
2840x1050x2840
|
|
716.09.300Б
|
Секция кожуха
|
1
|
260
|
260
|
3350x1140x2840
|
|
716.09.320Б
|
Кожух
|
1
|
175
|
175
|
2180x1200x1190
|
|
716.09.330Б
|
Рама
|
2
|
54
|
1200x490x200
|
|
716.09.400Б
|
Муфта упругая
|
1
|
2270
|
2270
|
2587x730x730
|
Конструкция мельницы имеет:
загрузочное устройство (питатель), исключающее выплескивание пульпы;
особые разгрузочные устройства для деления пульпы, железного и рудного
скрапа, поставленные на разгрузочной цапфе;
установку футерованных деталей и решеток из износостойких материалов без
пере сверловки отверстий на барабане;
возможность встраивания их в автоматические линии;
возможность быстрой замены быстроизнашивающихся деталей;
варианты выполнения приводов (с одним приводом со стороны загрузочной
либо разгрузочной стороны с левосторонним либо правым расположением, с одним
приводом на разгрузочной цапфе либо барабане, с 2-мя приводами с загрузочной
либо разгрузочной стороны).
Мельница оборудована системой электрических оборон и блокировок для
отключения их, при увеличении температуры масла либо подшипников больше
допустимой, от самопроизвольного включения привода мельницы после отключения
электроэнергии.
Осуществлена возможность дистанционного управления мельницей. Аварийная
установка, запуск для ремонта и других целей - местное.
Пульт дистанционного управления мельницей должен находиться в
звуковиброизолированном помещении, уровни звукового давления в котором не
должны превышать требованиям ГОСТ 12.1.003, а уровни виброскорости - требований
ГОСТ 12.1.012.
Пусковые устройства мельницы расположены таким образом, чтобы работник
включающий мельницу мог наблюдать за ее работой.
Мельница оборудована системой звуковой и световой сигнализации,
информирующей о нормальной работе или неисправностях в системах привода и
смазки. Сигнальные лампы должны иметь надписи, указывающие значение сигналов.
Мельница оборудована системой звуковой и световой сигнализации,
информирующей о нормальной работе или неисправностях в системах привода и
смазки.
Вибрационные характеристики мельниц соответствуют ГОСТ 12.1.012.
Конструкция оборудования, сборочных единиц и деталей обеспечивает
безопасность при монтаже, демонтаже, техническом обслуживании, ремонте,
транспортировании и хранении.
Оборудование при монтаже оснащено блокировками, световой и звуковой
сигнализацией, обеспечивающими безопасное обслуживание.
Вращающиеся части приводов и передач оборудования, а также передаточные
механизмы размещаются внутри корпуса или имеют защитные ограждения.
Защитные ограждения к оборудованию соответствуют ГОСТ 12.2.062.
Элементы конструкции оборудования не должны иметь острых углов, кромок и
поверхностей с неровностями, в местах доступных обслуживающему персоналу.
Конструкция оборудования, сборочных единиц и деталей исключают
возможность попадания рабочего вещества и смазочных материалов в зону
нахождения обслуживающего персонала.
Конструкцией предусмотрен отвод зарядов статического электричества.
Обозначение знаков заземления должно соответствовать ГОСТ 14202, ГОСТ 12.4.026.
Защитное заземление должно соответствовать ГОСТ 21130, ГОСТ 12.1.030.
В металлических нетоковедущих частях оборудования, которые могут
оказаться под напряжением вследствие повреждения изоляции, должны быть
предусмотрены элементы для заземления по ГОСТ 12.2.007.0.
Температура нагрева подшипников и цапф не должна превышать 65°С.
Конструкция мельниц обеспечивает прочность и надежность при всех режимах
эксплуатации.
Значения октавных уровней звукового давления и уровня звука
(эквивалентный уровень звука) на расстоянии 1 м от наружного контура мельницы
должны соответствовать таблице 2.2.
Таблица 2.2
Уровни звукового давления
|
Уровни звукового давления,
дБа в октавных полосах со среднегеометрическими частотами, Гц
|
Корректированный уровень
звукового давления, дБа
|
|
63
|
125
|
250
|
500
|
1000
|
2000
|
4000
|
8000
|
194
|
|
105
|
103
|
100
|
96
|
92
|
88
|
85
|
74
|
|
Требования к надежности
Мельницы сохраняют работоспособность в процессе эксплуатации при
температуре окружающей среды от плюс 5°С до плюс 40°С и относительной влажности
воздуха до 98%.
Показатели надежности указаны в таблице 2.3
Таблица 2.3
Показатели надежности
|
Наименование параметра
|
«МШЦ 3,8х5500»
|
|
0,9; 1,2; 1,5
|
2,1; 2,7; 3,2
|
3,6; 4,0; 4,5
|
|
80 %-ный - срок службы до
капитального ремонта, лет, не менее
|
5
|
5
|
5
|
|
80 %-ный - срок службы
основных деталей до замены, лет, не менее: зубчатый венец приводной
вал-шестерня футеровка барабана загрузочное устройство муфты привода
|
7,0 1,5 1,5 (1,0) 2,0 3,0
|
7,0 1,6 1,6 (1,0) 2,0 3,0
|
7,0 1,6 1,6 (0,75) 2,0
3,0
|
|
Коэффициент технического
использования, не менее
|
0,95
|
0,95
|
0,95
|
Примечание: Нормы показателей, указанные в скобках, даны для мельниц,
применяемых на 1-й стадии измельчения.
Изделия в упаковке для транспортирования выдержат воздействие температуры
окружающего воздуха от минус 30°С до плюс 60°С и
воздействия относительной влажности 98 % при температуре +25°С.
Соответствие показателей надежности настоящим техническим условиям
уточняется в процессе эксплуатации.
Требования стойкости к внешним воздействиям.
Критерием отказа мельницы является состояние, при котором хотя бы один из
параметров, характеризующих способность выполнять заданные функции, не
соответствует требованиям данных технических условий.
Требования безопасности мельниц должны соответствовать требованиям
технической документации на их поставку.
Требования к сырью, материалам и покупным изделиям
Все покупные изделия и каждая партия материалов для изготовления мельниц
должна соответствовать требованиям действующих российских стандартов, норм и
правил в области промышленной безопасности, технических условий, иметь паспорта
и сертификаты, удостоверяющие их качество и подвергаться входному контролю. При
отсутствии сертификатов испытания материалов производятся на
предприятии-изготовителе мельниц в соответствии с требованиями стандартов или
технических условий на данный материал.
Допускается замена марок материалов, указанных в чертежах и спецификациях
другими марками, не снижающими качество деталей.
3. Технологическая часть
Технологическая подготовка производства. Именно она обеспечивает полную
готовность предприятия к выпуску новой продукции с заданным качеством, что, как
правило, может быть реализовано на технологическом оборудовании, имеющем
высокий технический уровень, обеспечивающий минимальные трудовые и материальные
затраты [2].
Организация технологической подготовки производства на ОАО «ССМ Тяжмаш»
включает формирование и совершенствование организационной структуры служб,
осуществляющих технологическую подготовку производства и взаимодействующих в
соответствии с организационными положениями. В организационных положениях
должны быть указаны решаемые задачи, ответственные исполнители и их обязанности
и взаимоотношения.
При построении организационной структуры служб технологической подготовки
производства следует четко разграничить функции между структурными
подразделениями завода, чтобы исключить дублирование при решении задач,
совершенствовать документооборот, исключая излишнюю информацию. Структура служб
технологической подготовки производства должна быть достаточно гибкой, чтобы в
случае необходимости ее можно было быстро перестроить для решения новых задач
технологической подготовки производства.
Начальными данными для проведения научно-технической подготовки
производства являются:
- конструкторская документация;
- количество деталей;
- предполагаемый срок выпуска изделий и объем выпуска по годам с учетом
сезонности;
- намечаемый режим работы компании (численность смен, длительность рабочей
недели);
- планируемый коэффициент загрузки основного производства и ремонтная
стратегия компании;
- планируемые поставки деталей, узлов;
- планируемые поставки предприятию стандартных изделий и
предприятия-поставщики;
- политика социологии труда компании;[2]
.1 Разработка маршрутной технологии изготовления крупногабаритных деталей
При разработке маршрутно - операционных технологий предъявляются
следующие общие требования к технологическим процессам, применяемым при
изготовлении мельницы.
Требования к механической обработке деталей.
Механическая обработка деталей должна производиться в полном соответствии
с требованиями технической документации на изделие, в котором параметры, характеристики
и обозначения шероховатости обрабатываемых поверхностей устанавливаются по ГОСТ
2789 и ГОСТ 2.309.
Неуказанные в документации отклонения размеров, охватывающих
поверхностей, принимается в плюс, охватываемых- в минус, а для прочих размеров
принимается симметричное расположение допусков по ГОСТ 25347.
Отклонения от округлости цилиндрических поверхностей, если они не
ограничены требованиями чертежа, должны быть в пределах половины допуска на
соответствующий размер.
Требования к крепежным деталям.
Основные размеры резьбы крепежных деталей должны соответствовать ГОСТ
8724 и требованиям ГОСТ 10549.
Выход резьб, шаги, сбеги, недорезы, проточки и фаски должны
соответствовать требованиям ГОСТ 10549.
Поверхность резьбы не должна иметь трещин, выкрошенных ниток, вмятин и
забоин. Резьба в изделиях должна быть полной, на концах резьбы должны быть
заходные фаски.
Требования к сборке.
Детали и сборочные единицы, поступающие на сборку, должны быть очищены от
загрязнений масла, предохранительной смазки, не иметь следов коррозии,
заусенцев, забоин и других дефектов.
Зазоры в стыках под сварку устанавливаются в зависимости от способа
сварки, должны соответствовать требованиям действующих стандартов и чертежей.
Допускается замена указанного чертежом способа сварки, другим способом,
обеспечивающим равнопрочность сварного соединения и не нарушающего заданные
чертежом внешнюю форму и размеры шва.
При необходимости кантовки сборочной единицы в процессе сборки,
последующей транспортировки и сварки, должны быть приняты меры, обеспечивающие
сохранение геометрических форм и размеров, заданных чертежом. При необходимости
установки дополнительных жесткостей, грузозахватных скоб и других
технологических деталей, временно устанавливаемых на период изготовления,
последние должны предусматриваться технологическим процессом.
При сборке металлоконструкций разрешается применение методов силовой
подгонки с помощью скоб и клиньев и других приспособлений. Подгибка может
производиться как в холодном состоянии, так и с подогревом. Подгонка не должна
нарушать целостность и влиять на работоспособность изделия.
Необходимость подогрева при подгибке устанавливается в зависимости от
величины деформации, толщины (жесткости) подгибаемых элементов, марки
материала, способа подгибки и указывается в технологических процессах сборки
данной сборочной единицы.
Требования к сварке.
Сварка производится в закрытых помещениях при положительной температуре
окружающей среды. На месте сварки не должно быть атмосферных осадков, сильного
ветра и сквозняков. В случае сварки при температуре минус 10°С, необходимо
проводить предварительный подогрев свариваемых кромок до температуры
+150-200°С.
В сварных соединениях не допускаются следующие
наружные дефекты:
не заваренные кратеры, прожоги и трещины всех видов и
направлений;
на 1 метре длины шва более 4-х наружных пор диаметром
до 1 мм при расстоянии между ними не менее 10 мм и диаметром до 2 мм при
расстоянии не менее 25 мм, а также поры диаметром более 2 мм;
подрезы основного металла (при ручной и автоматической
сварке) на глубину более 0,5 мм при толщине детали до 10 мм и более 1 мм при
толщине детали свыше 10 мм;
- подрез основного металла, превышающий по длине 20%
шва, и суммарная длина подрезов, превышающая более 40% длины шва;
- чешуйчатость поверхности швов с неровностями более
плюсового предельного отклонения на размер высоты усиления шва и не более 2 мм
для швов в нижнем положении и 3 мм для остальных швов;
- отдельные неровности высотой более 3 мм для
многослойных швов;
- межваликовые впадины для стыковых, угловых тавровых многопроходных швов
более 2,5 мм при ширине валиков 6-8 мм и 3 мм при ширине валиков более 8 мм.
В данном проекте к крупногабаритным деталям, требующим механическую
обработку, относятся: патрубок загрузочный, стенка торцовая, корпус барабана,
вал-шестерня, венец зубчатый.
Анализ технологичности конструкции детали проведем для зубчатого венца
716.09.260СБ. Снабжение технологичности агрегата считается одной из
основополагающих значений единой системы технологической подготовки
производства. Исследование технологичности в машиностроении выполняется для
продукта в целом, так и для единичных частей. [4].
Деталь, зубчатый венец изготовлен из стали 30ХНМЛ КТ65
ГОСТ 977-88. Форма детали является телом вращения, состоящих из четырех
секторов. Чертежи детали содержат все необходимые сведения, дающие полное
представление о детали, т.е. все проекции, разрезы и сечения, совершенно четко
и однозначно объясняют конфигурацию детали, и возможные способы получения
заготовки.
Деталь изготавливается из стандартных заготовок - секторов венца,
получаемых отливкой. Отливки получают в литейной форме, полость которой
соответствует конфигурации отливки. Форма изготовлена из формовочной смеси,
состоящей из песка, глины и добавок воды, связующих материалов и т. д.
Формовочную смесь засыпают в литейные опоки и выполняют в них отпечаток модели.
Модель имеет конфигурацию внешней поверхности отливки; ее изготовляют из
древесины ил металла. Внутренняя поверхность отливки образуется с помощью
литейного стержня, который устанавливают в форму. Литейные стержни выполняют из
стержневой смеси, состоящей из песка и связующих материалов. Между полостью
формы и стержнем образуется пространство, заливаемое жидким металлом.
В чертеже показаны все габариты с нужными отклонениями, плоскости имеют требуемую
и достаточную точность и шероховатость плоскостей.
Неуказанные предельные отклонения линии плоскостей и свободных размеров
исполняется в соответствии со СТ СЭВ 144-75. 7
Обзор чертежа демонстрирует, что конструкция детали в основном обработана
в технологичность, а конкретно: гарантируется свободный доступ инструмента к
обрабатываемым плоскостям, что дает возможность применять при обрабатывании
высокопроизводительные режимы резания. Установленная чертежом точность размеров
плоскостей, их условное размещение и характеристики качества поверхностных
слоев имеют все шансы быть довольно экономно обеспечены обычными технологиями
механической обработки. Деталь имеет перпендикулярные основной оси, крепежные
отверстия в областях установки секторов. Базовые плоскости технологичны для
размещения, агрегата и закрепления детали в кулачках с использованием подставок
и уголка. Предварительно перед токарной обработкой венца и нарезанием зубьев
нужно совершить сборку с использованием прокладок.
Деталь в целом можно считать технологичной.
Разработка технологического маршрута механической обработки детали
Разработка технологического маршрута механической обработки детали
является основой всего раздела. От правильности и полноты разработки
маршрутного технологического процесса во многом зависят организация
производства и последующие технико-экономические подсчеты проекта.
Исследование научно-технического процесса обязана быть основана на
применении научно-технических достижений в абсолютно всех отраслях
промышленности и ориентирована на поднятие тех. уровня производства, качества
продукции и эффективности работы.
При разработке технологического процесса следует руководствоваться
надлежащими принципами:
в 1-ую очередность следует обрабатывать те плоскости, которые являются базовыми
в последующей обработке;
затем осуществляют обработку тех плоскостей, при удаленье стружки с
которых в минимальной степени миниатюризируется жесткость детали;
в основе технологического процесса необходимо выполнять те операции, в
которых предельна возможность получения брака из-за дефекта. Технологический
процесс вносится маршрутно.
Разметочная.
1 Разметить торцы под обработку, с учетом бобышки в р-р 34,5.
Комплексная на обрабатывающих центрах с ЧПУ.
Произвести наладку оборудования. Фрезеровать торцы согласно чертежа.
Комплексная на обрабатывающих центрах с ЧПУ.
Фрезеровать по разметке торцы, фаски, паз выдерживая размеры.
Сверлить.
Произвести наладку оборудования. Фрезеровать торцы согласно чертежа.
Комплексная на обрабатывающих центрах с ЧПУ.
Фрезеровать по разметке торцы, фаски, паз выдерживая размеры.
Сверлить отверстия на торцах с обоих сторон с переустановкой.
Горизонтально-расточная
Расточить 4 отверстия.
Слесарная.
Сборка Венца выполняется на площадях РМЦ-1.
Выставить секторы венца на сборочной площадке.
Стянуть на болты с установкой прокладок.
Развернуть отверстия под конические штифты.
Токарно - карусельная.
Точить диаметры зубчатого венца под зуб контролируя размеры
согласно чертежа.
Зубо-фрезерная
Фрезеровать зубья.
Термическая
Контроль твердости.
Слесарная
После механической обработки в РМЦ-1
Удалить заусенцы после обработки
Удалить прокладки в местах стыка Секторов
Выбор оборудования.
Выбор металлорежущего оборудования является одной из важнейших задач при
разработке технологического процесса механической обработки заготовки. От
правильного его выбора зависит экономное использование производственных
площадей, механизации и автоматизации ручного труда, электроэнергии и в итоге
себестоимость детали. [24], [16]
Вид производства и конфигурация детали устанавливает выбор оборудования,
которое должно гарантировать производительную обработку и автоматическое
получение установленной точности путем настройки. Подбор станка выполняется по
каталогам, справочникам на станки с учетом характера оборудования, габаритных
размеров заготовки и содержания технологической операции
В данном примере решающими параметрами выбора являются максимальные
размеры обрабатываемы деталей, мощность станка и класс точности.
В качестве комплексного станка выбираем SHW-UF 6L со следующими
характеристиками, указанными в таблице 3.1.
Таблица 3.1
Характеристики станка SHW-UF 6L
|
Параметр станка
|
Значение
|
|
Перемещение по оси X мм
|
6000
|
|
Перемещение по оси Y мм
|
2100
|
|
Перемещение по оси Z мм
|
1500
|
|
Рабочий стол мм
|
6000х1500
|
|
Привод шпинделя кВт
|
54
|
|
Пределы частот вращения
об/мин
|
20-2240
|
|
Подача
прод./попереч./перпенд мм/мин
|
2-12000
|
|
Максим. потребляемая
мощность станка кВт
|
90
|
|
Длина мм
|
8000
|
|
Ширина мм
|
3000
|
|
Высота мм
|
4000
|
|
Масса тонн
|
40
|
Для горизонтально - расточных операции выбираем станок WD-200A со
следующими характеристиками, указанными в таблице 3.2.
Таблицы 3.2
Характеристики станка WD-200A
|
Параметр станка
|
Значение
|
|
Диаметр шпинделя мм
|
200
|
|
Перемещение по оси X мм
|
6000
|
|
Вертикальное перемещение Y
мм
|
3150
|
|
Перемещение шпинделя по оси
Z мм
|
1600
|
|
Перемещение рамы мм
|
2000
|
|
Размер ОЗУ мм
|
520х520
|
|
Высота плиты мм
|
2800х4000 (2 шт.)
|
|
Поворотный стол мм
|
2500х2500
|
|
Привод главного шпинделя
кВт
|
77
|
|
Главная скоростью вращения
шпинделя мин
|
0,9-900
|
|
Максимум Крутящий момент Нм
|
35000
|
Для зубо-фрезерной обработки выберем станок YK31500 со следующими
характеристиками, указанными в таблице 3.3.
Таблица 3.3
Характеристики станка YK31500
|
Параметр станка
|
Значение
|
|
Максимальный диаметр детали
мм
|
5000
|
|
Минимальный диаметр детали
мм
|
1500
|
|
Максимальная высота детали
мм
|
1600
|
|
Максимальный угол подъема
град
|
40
|
|
Максимальный модуль
обработки
|
30
|
|
Червячная фреза мм
|
30
|
|
Дисковая фреза мм
|
40
|
|
Внешний диаметр мм
|
450
|
|
Длина мм
|
500
|
|
Максимальный вертикальный
ход мм
|
1800
|
|
Максимальный тангенциальный
ход мм
|
450
|
|
Расстояние от центра
суппорта до центра стола, мм
|
2850
|
|
Параметр станка
|
Значение
|
|
Скорость червячной фрезы
об/мин
|
5-150
|
|
Мощность главного двигателя
кВт
|
60
|
|
Диаметр стола мм
|
3760
|
|
Максимальная скорость
движения стола об/мин
|
1
|
|
Грузоподъемность тонн
|
65
|
|
Радиальная подача Х мм/мин
|
0-1000
|
|
Параметр станка
|
Значение
|
|
Тангенциальная подача Y
мм/мин
|
0-5000
|
|
Осевая подача Z мм/мин
|
0-1000
|
|
Габаритные размеры
|
|
Длина мм
|
11000
|
|
Параметр станка
|
Значение
|
|
Ширина мм
|
6070
|
|
Высота мм
|
5200
|
|
Вес станка тонн
|
90
|
Для токарно-карусельных операций выбираем станок 1563 с характеристиками,
указанными в таблице 3.4
Таблица 3.4
Характеристики станка 1563
|
Параметр станка
|
Значение
|
|
Класс точности
|
Н
|
|
Наибольшая масса детали кг
|
160000
|
|
Наибольшая высота
обрабатываемой детали мм
|
3200
|
|
Наибольший диаметр
обрабатываемой детали мм
|
6300
|
|
Пределы частоты вращения
планшайбы мин-1
|
0,28…26
|
|
Мощность электропривода
кВт
|
118
|
|
Габариты станка
|
|
Длина мм
|
8200
|
|
Ширина мм
|
14200
|
|
Высота мм
|
9800
|
|
Вес станка кг
|
223000
|
Результаты выбора технологического металлорежущего оборудования сводим в
таблицу 3.5.
Таблица 3.5
Сводная таблица металлорежущего оборудования используемого при обработке
зубчатого венца
|
Номер операции
|
Наименование операции
|
Станок, оборудование
|
|
1
|
2
|
3
|
|
010
|
Комплексная
|
SHW-UF 6L
|
|
015
|
Комплексная
|
SHW-UF 6L
|
|
020
|
Горизонтально-расточная
|
WD-200A
|
|
030
|
Токарно - карусельная
|
1563
|
|
035
|
Зубофрезерная
|
YK31500
|
Деталь, корпус барабана изготовлен из стали 09Г2С.
ГОСТ 977-88. Форма детали является телом вращения, состоящих из обечайки
и два кольца. Чертежи детали содержат все необходимые сведения, дающие полное
представление о детали, т.е. все проекции, разрезы и сечения, совершенно четко
и однозначно объясняют конфигурацию детали, и возможные способы получения
заготовки.
Деталь изготавливается из стандартных заготовок - проката листового
Путем вальцовки в кузнечно - прессовом цехе с последующей сваркой. На
чертеже указаны все размеры с необходимыми отклонениями, поверхности имеют
необходимую и достаточную точность и шероховатость поверхностей.
Неуказанные предельные отклонения ряда поверхностей и свободных размеров
выполняется в соответствии со СТ СЭВ 144-75.
Анализ чертежа показывает, что конструкция детали в основном обработана
на технологичность, а именно: обеспечивается свободный доступ инструмента к
обрабатываемым поверхностям, что позволяет использовать при обработке
высокопроизводительные режимы резания. Деталь имеет перпендикулярные главной
оси, крепежные отверстия в местах соединения секторов. Базовые поверхности
технологичны для базирования, установки и закрепления детали в кулачках с
применением подставок и уголка. Перед токарной обработкой венца и нарезанием
зубьев необходимо произвести сборку с применением прокладок.
Деталь в целом можно считать технологичной.
Разработка технологического маршрута механической обработки детали
Технологический процесс записывается маршрутно.
005 Контрольная
Входной контроль заготовки, контроль сварных швов.
Сборочная
Приварить детали выдерживая размеры.
Установить технологические распорки и приварить их.
Комплексная на обрабатывающих SHW-UF 6L
Установить деталь на столе станка на призмы, выверить и закрепить.
Фрезеровать с правого торца 4 платика поз. 3 в р-р 210 (черт. р-р 200) до
чистоты.
Сверлить, развернуть 2 отв. Ø 30Н9 на Ø 2400[+-0,1].
Повернуть стол.
Фрезеровать с левого торца 4 платика поз. 3 в р-р 210 (черт. р-р 200) до
чистоты.
Сверлить, развернуть 2 отв. Ø 30Н9 на Ø 2400[+-0,1].
Установить деталь в центре стола станка внутренним каркасом на опоры и
штифты с креплением болтами и гайками.
Фрезеровать левый торец левого фланца в р-р 65 по разметке.
Фрезеровать правый торец левого фланца в р-р 50.
Фрезеровать начисто Ø 4200h8.
Сверлить 20 отв. Ø 52.
Сверлить, развернуть 16 отв. Ø 50Н9.
Сверлить на образующей 8 рядов отв. Ø 48.
Установить деталь в центре стола станка внутренним каркасом на опоры и
штифты с креплением болтами и гайками
Фрезеровать правый торец правого фланца в р-р 5500h12
Фрезеровать левый торец правого фланца в р-р 50.
Фрезеровать начисто Ø 4200h8.
Сверлить 20 отв. Ø 52.
Сверлить, развернуть 16 отв. Ø 50Н9.
Сверлить на образующей 6 рядов отв. Ø 48.
Остальные отверстия сверлить совместно с стенкой торцевой и зубчатым
венцом.
Результаты выбора технологического металлорежущего оборудования сводим в
таблицу 3.6.
Таблица 3.6
Сводная таблица металлорежущего оборудования используемого при обработке
корпуса барабана
|
Номер операции
|
Наименование операции
|
Станок, оборудование
|
|
1
|
2
|
3
|
|
010
|
Сборочная
|
Сварочный полуавтомат
|
|
015
|
Комплексная
|
SHW-UF 6L
|
Деталь вал - шестерня изготовлен из стали 38ХН3МФА ГОСТ 4543-88. Форма
детали является телом вращения. Чертежи детали содержат все необходимые
сведения, дающие полное представление о детали, т.е. все проекции, разрезы и
сечения, совершенно четко и однозначно объясняют конфигурацию детали, и
возможные способы получения заготовки.
Деталь изготавливается из заготовки, получаемых ковкой в кузнечно-
прессовом цехе (КПЦ). Размеры и формы заготовки приближаются к форме и размерам
готовой детали.
На чертеже указаны все размеры с необходимыми отклонениями, поверхности
имеют необходимую и достаточную точность и шероховатость поверхностей.
Неуказанные предельные отклонения ряда поверхностей и свободных размеров
выполняется в соответствии со СТ СЭВ 144-75.
Анализ чертежа показывает, что конструкция детали в основном обработана
на технологичность, а именно: обеспечивается свободный доступ инструмента к
обрабатываемым поверхностям, что позволяет использовать при обработке
высокопроизводительные режимы резания. Заданная чертежом точность размеров
поверхностей, их относительное расположение и параметры качества поверхностных
слоев могут быть достаточно экономично обеспечены традиционными методами
механической обработки. Базовые поверхности технологичны для базирования, установки
и закрепления.
Слесарная.
Маркировать номер плавки.
Токарно - винторезная 1М65.
Точить поверхности с подрезкой торцев, контролируя размеры Ø 250, Ø255, Ø260, Ø 534,05(-0,175), Ø310, 1975.
Острые кромки притупить.
Центровать А20 ГОСТ 14034-74.
Зубо-фрезерная.
Фрезеровать зубья М=20 Z=24 с углом наклона 5 гр.15'; направление линии
зуба левое .
Горизонтально - расточная.
Сверлить по координатам на Ø 180 3 отв. под М30 на длину 80(+2),
снять фаски в отв.
Нарезать резьбу М30 на длину 65.
Токарно - винторезная.
Сверлить отв. под М56 на длину 115, рассверлить до ф60 на длину 31,
расточить конуса 75 и 120.
Нарезать резьбу М56 на длину 100.
Закалка.
Произвести об. закалку с отпуском 269-321НВ.
Токарно - винторезная.
Точить с припуском.0,8мм на ф на шлифовку пов.: Ø 250s6; Ø 255f9;
Ø 260m6. Выдержать линейные размеры.
Отрезать припуск с подрезкой торца в размер 1975, центровать А20 ГОСТ
14034-74.
Горизонтально расточная
Фрезеровать паз В=56Р9 в размер 230(-0,3) окончательно с учетом припуска
на шлифовку.
Калибровать резьбу М56.
Кругло шлифовальная.
Шлифовать окончательно Ø 250s6, Ø 255f9, 2х Ø 260m6 .
Выбор оборудования.
Результаты сведены в таблицу 3.7.
Таблица 3.7
Сводная таблица металлорежущего оборудования
|
Номер операции
|
Наименование операции
|
Станок, оборудование
|
|
1
|
2
|
3
|
|
050
|
Слесарная
|
SHW-UF 6L
|
|
010
|
Токарно- винторезная
|
1М65
|
|
015
|
Зубо-фрезерная
|
5Б375
|
|
020
|
Горизонтально - расточная
|
2637ГФ2
|
|
025
|
Токарно- винторезная
|
1М65
|
|
030
|
Закалка
|
Закалочная печь
|
|
035
|
Токарно- винторезная
|
166
|
|
040
|
Горизонтально - расточная
|
2637ГФ2
|
|
045
|
Кругло-шлифовальная
|
3М179
|
Деталь патрубок загрузочный изготовлен из стали 20 ГСЛ К38 ГОСТ 977-89.
Форма детали является телом вращения. Чертежи детали содержат все необходимые
сведения, дающие полное представление о детали, т.е. все проекции, разрезы и
сечения, совершенно четко и однозначно объясняют конфигурацию детали, и
возможные способы получения заготовки.
Деталь изготавливается литьем. Размеры и формы заготовки приближаются к
форме и размерам готовой детали. Отливки получают в литейной форме, полость
которой соответствует конфигурации отливки. Форма изготовлена из формовочной
смеси, состоящей из песка, глины и добавок воды, связующих материалов и т. д.
Формовочную смесь засыпают в литейные опоки и выполняют в них отпечаток модели.
Модель имеет конфигурацию внешней поверхности отливки; ее изготовляют из
древесины ил металла. Внутренняя поверхность отливки образуется с помощью
литейного стержня, который устанавливают в форму. Литейные стержни выполняют из
стержневой смеси, состоящей из песка и связующих материалов. Между полостью
формы и стержнем образуется пространство, заливаемое жидким металлом.
На чертеже указаны все размеры с необходимыми отклонениями, поверхности
имеют необходимую и достаточную точность и шероховатость поверхностей.
Неуказанные предельные отклонения ряда поверхностей и свободных размеров
выполняется в соответствии со СТ СЭВ 144-75.
Анализ чертежа показывает, что конструкция детали в основном обработана
на технологичность, а именно: обеспечивается свободный доступ инструмента к
обрабатываемым поверхностям, что позволяет использовать при обработке
высокопроизводительные режимы резания. Заданная чертежом точность размеров
поверхностей, их относительное расположение и параметры качества поверхностных
слоев могут быть достаточно экономично обеспечены традиционными методами
механической обработки. Базовые поверхности технологичны для базирования,
установки и закрепления.
005 Слесарная
Разметить торец в р-р 35 (1/2 толщины витка), проверить наличие припуска
на обработку по размеру 45.
Токарно - карусельная.
Подрезать левый торец по разметке, обеспечить наличие припуска по размеру
1509 и 45.
Точить цилиндрические поверхности выдерживая размеры: Ø 1400, Ø1160е8, Ø1122 d11, Ø1155d11.
Точить конус 20° L=25 с R10 до Ø 1090 .
Расточить конус с углом 15° до Ø 1090
Горизонтально - расточная.
Сверлить по координатам 16 отв. Ø 39 на Ø 1340.
Нарезать резьбу в размер по чертежу 710.09.102.
Выбор оборудования.
Результаты выбора оборудования сведены в таблицу 3.8.
Таблица 3.8
Сводная таблица металлорежущего оборудования
|
Номер операции
|
Наименование операции
|
Станок, оборудование
|
|
1
|
2
|
3
|
|
005
|
Слесарная
|
|
|
010
|
Токарно - карусельная
|
1532
|
|
015
|
Горизонтально - расточной
|
2А637Ф1
|
Деталь патрубок разгрузочный изготовлен из стали 20 ГСЛ К38 ГОСТ 977-89.
Форма детали является телом вращения. Чертежи детали содержат все необходимые
сведения, дающие полное представление о детали, т.е. все проекции, разрезы и
сечения, совершенно четко и однозначно объясняют конфигурацию детали, и
возможные способы получения заготовки.
Деталь изготавливается литьем. Размеры и формы заготовки приближаются к
форме и размерам готовой детали. Отливки получают в литейной форме, полость
которой соответствует конфигурации отливки. Форма изготовлена из формовочной
смеси, состоящей из песка, глины и добавок воды, связующих материалов и т. д.
Формовочную смесь засыпают в литейные опоки и выполняют в них отпечаток модели.
Модель имеет конфигурацию внешней поверхности отливки; ее изготовляют из
древесины ил металла. Внутренняя поверхность отливки образуется с помощью
литейного стержня, который устанавливают в форму. Литейные стержни выполняют из
стержневой смеси, состоящей из песка и связующих материалов. Между полостью
формы и стержнем образуется пространство, заливаемое жидким металлом.
На чертеже указаны все размеры с необходимыми отклонениями, поверхности
имеют необходимую и достаточную точность и шероховатость поверхностей.
Неуказанные предельные отклонения ряда поверхностей и свободных размеров
выполняется в соответствии со СТ СЭВ 144-75.
Анализ чертежа показывает, что конструкция детали в основном обработана
на технологичность, а именно: обеспечивается свободный доступ инструмента к
обрабатываемым поверхностям, что позволяет использовать при обработке
высокопроизводительные режимы резания. Заданная чертежом точность размеров
поверхностей, их относительное расположение и параметры качества поверхностных
слоев могут быть достаточно экономично обеспечены традиционными методами
механической обработки. Базовые поверхности технологичны для базирования,
установки и закрепления.
Слесарная.
Разметить правый торец в р-р 200(±1) от плоскости стыка поз.1 и поз.2,
контролировать р-р 164(+2).
Разметить левый торец в р-р 1504.
Токарно - карусельная.
Точить поверхности с подрезкой торцев, выдерживая размеры Ø1130Н9, Ø1160е8, Ø1150h6, Ø1122d11, 200, 1504.
Расточить конус.
Слесарная.
Разметить осевые 1-1 и 2-2 , 2 отверстия М42 и 2 отверстия Ø44.
020 Горизонтально - расточная.
Сверлить 2 отверстия под резьбу М42 , 2 отверстия Ø44.
2 Нарезать резьбу 2хМ42.
Выбор оборудования сведен в таблицу 3.9.
Таблица 3.9
Сводная таблица металлорежущего оборудования
|
Номер операции
|
Наименование операции
|
Станок, оборудование
|
|
1
|
2
|
3
|
|
005
|
Слесарная
|
Сборочный участок
|
|
010
|
Токарно - карусельная
|
1532
|
|
015
|
Слесарная
|
|
|
020
|
Горизонтально - расточной
|
2А637Ф1
|
Технология изготовления детали «стенка торцовая» представлена более
подробно в разделе 3.8.
.2 Разработка операционной технологии изготовления детали «стенка
торцовая» чертеж 710.09.220 СБ
Проектирование операций связано с разработкой их структуры, выбором
оборудования, приспособлений, с назначением режимов обработки, определением
нормы времени.
Анализ технологичности конструкции «стенки торцовой». Деталь, стенка
торцовая состоит из 3 частей - цапфы 710.09.222, фланца 710.09.231, стенка
710.09.232, изготовленных из стали 20 ГСЛ К38 ГОСТ 977-89. Форма детали
является телом вращения. Чертежи деталей содержат все необходимые сведения,
дающие полное представление об изделии.
Детали изготавливаются из заготовок - получаемых отливкой. Отливки
получают в литейной форме, полость которой соответствует конфигурации отливки.
Форма изготовлена из формовочной смеси, состоящей из песка, глины и добавок
воды, связующих материалов и т. д. Формовочную смесь засыпают в литейные опоки
и выполняют в них отпечаток модели. Модель имеет конфигурацию внешней
поверхности отливки; ее изготовляют из древесины ил металла. Внутренняя
поверхность отливки образуется с помощью литейного стержня, который
устанавливают в форму. Литейные стержни выполняют из стержневой смеси,
состоящей из песка и связующих материалов. Между полостью формы и стержнем
образуется пространство, заливаемое жидким металлом.
На чертеже указаны все размеры с необходимыми отклонениями, поверхности
имеют необходимую и достаточную точность и шероховатость поверхностей.
Неуказанные предельные отклонения ряда поверхностей и свободных размеров
выполняется в соответствии со СТ СЭВ 144-75.
Анализ чертежей показывает, что конструкция детали в основном обработана
на технологичность, а именно: обеспечивается свободный доступ инструмента к
обрабатываемым поверхностям, что позволяет использовать при обработке
высокопроизводительные режимы резания. Заданная чертежом точность размеров
поверхностей, их относительное расположение и параметры качества поверхностных
слоев могут быть достаточно экономично обеспечены традиционными методами
механической обработки. Деталь имеет перпендикулярные главной оси, крепежные
отверстия в местах соединения стенки с корпусом барабана и местах соединения с
патрубком. Базовые поверхности технологичны для базирования, установки и
закрепления детали в кулачках с применением подставок и уголка.
Создание предварительного маршрута обработки по переходам для детали
«цапфа», чертеж 710.09.222.
Контрольная.
Контролировать заготовку на годность.
Токарно - карусельная. 1580Л
Установить деталь на планшайбе в кулачки и закрепить.
Подрезать левый торец в р-р 1508=1496+12 с припуском, где 12 - припуск.
Переустановить заготовку на планшайбе и закрепить.
Подрезать правый торец начисто.
Точить Ø1373 (черт. размер Ø 1370u8(+1,645+1,450)) на L=336 с R3.
Точить Ø1371,8 (черт. размер Ø 1370u8(+1,645+1,450)) на L=336 с R3.
Накатать роликом Ø1370u8 (+1,645+1,450) на L=336 с R3
Расточить отв. Ø1110 (черт. отв. Ø 1122H11) на длине не менее 120
(черт. размер 111=1496-1385).
Развернуть суппорт на угол 5°.
9 Точить конус под углом 5° до размера 290.
Вернуть суппорт в нулевое положение.
Точить предварительно наружный диаметр по цилиндру до Ø 1440, чернота допускается.
Расточить отв. Ø 1130 (черт. отв. Ø 1160H9, отв. Ø 1157Н12) на оставшейся длине.
Маркировать согласно СТП СМК
Сдать в ЦРМО-1 на сборку.
Предварительный операционный маршрут обработки детали «стенка» чертеж
710.09.232.
Термическая.
Проверить наличие пробы для изготовления образцов.
Выполнить отжиг отливки по маршрутно-технологической карте термообработки
№7181.
Посадка в холодную печь. Скорость нагрева 100 °С/час до Т = 650 °С.
выдержка в течении 1 часа.
Скорость нагрева 130 °С/час до температуры То = 890 - 910 °С, выдержка в
течении 5,5-6 часов.
Охлаждение с печью.
Контроль режимов по диаграмме.
Маркировочная.
Маркировать ударным способом.
Пескоструйная.
Пескоструить заготовку.
Слесарная.
Произвести входной контроль, проверить заготовку на годность
Разметить осевые линии, за базу принять Ø 3320
Разметить верхний торец на Ø 3320, за черновую базу принять
размер 50 мм.
Проверить наличие припуска на Ø 4250, в отв. Ø 3850, по размеру 295 мм.
Перенести № плавки на боковую поверхность конуса 17°, клеймить ударным
способом. место клеймения обвести белым маркером.
Токарно-карусельная.
Установить деталь на планшайбе в кулачки, выверить по осевым линиям и
верхнему торцу, и закрепить.
Расточить отверстие Ø 3024.
Подрезать торец Ø 3320 с припуском 5 мм (чернота допускается), оставляя
припуски на нижний торец и размер 295.
Переустановить деталь на планшайбе в кулачки, выверить по осевым линиям и
верхнему торцу, и закрепить.
Развернуть суппорт на 20°.
Расточить "рюмочную разделку" с углом 20° и R10 в размер 60 с
учётом припуска.
Переустановить деталь на планшайбе в кулачки, выверить и закрепить.
Расточить "рюмочную разделку" с углом 20° и R10 до размера 2.
Вернуть суппорт в нулевое положение.
Точить Ø 4270 (черт р-р Ø 4250).
Расточить Ø 4185 (черт р-р Ø 4205) глубиной 25.
Расточить Ø 3840 (черт. размер Ø 3850), R30 с припуском 5 мм на
сторону глубиной 25.
Точить конус 15° с припуском 5 мм на сторону
Подрезать нижний торец с припуском 10 мм (чернота допускается) с учетом
выхода всех размеров для базирования при сборке в условиях КМЦ.
Точить Ø 3985 (черт. размер Ø 3965) с подрезкой торца в размер 105
(черт. размер 85).
Канавку Ø 4205 не выполнять.
Предварительный операционный маршрут обработки детали «фланец» чертеж
710.09.231.
Термическая.
Проверить наличие пробы для изготовления образцов..
Выполнить отжиг отливки.
Посадка в холодную печь. Скорость нагрева 100 °С/час до Т = 650 °С.
выдержка в течении 1 часа.
Скорость нагрева 130 °С/час до температуры То = 890 - 910 °С, выдержка в
течении 5,5-6 часов.
Охлаждение с печью.
Маркировочная
Маркировать согласно СТП СМК-7.5-01
Контрольная.
Изготовление и испытание образцов для контроля механических свойств.
Пескоструйная.
Пескоструить отливку.
Разметочная
Произвести входной контроль.
Разметить осевые линии для установки и выверки на станке.
Проверить выход размера 558, 254, отв. Ø 1370 и Ø 3020.
Токарно-карусельная
Установить деталь на планшайбе в кулачки с выверкой по осевым и
закрепить.
Подрезать левый торец детали (см. вид В-В) в р-р 254.
Расточить сквозное отв. Ø 1370Н8 с припуском 0,8 мм на
шлифовку.
Точить канавку В=8 до Ø 1580 (см. вид "А" черт.
"710.09.221 "Корпус")
Установить шлифовальную головку с подготовкой к работе.
Шлифовать сквозное отв. Ø 1370Н8 начисто.
Демонтировать шлиф. машинку.
Установить деталь на планшайбе с креплением кулачками с применением
винтовых опор и прижимных планок.
Допускается установить на кубики.
Выверку производить по отв. Ø 1370Н8.
Точить начисто Ø 3020.
Подрезать правый торец детали (см. вид В-В) в размер 563 (черт. размер
558, 5 мм припуск на подрезку торца после сварки в КМЦ).
Расточить фаску под 40° до размера 292.
Точить конус под 15° предварительно с припуском 5 мм.
Сдать на сборку.
Сборка стенки торцевой.
Монтажная.
Зацепить деталь Фланец подвеской черт. 401836-01, уложить в печь.
На необработанных поверхностях допускается приварка
Технологических скоб с последующим удалением и зачисткой.
Термическая.
Нагрев для сборки с цапфой 710.09.222.
Посадка в холодную печь вместе с оснасткой.
Скорость нагрева по мощности печи до Тн =180-200 °С.
Выдержка при Тн=180-200°С в течение 3-х часов.
Контроль режимов по диаграмме.
Слесарная.
Достать из печи, снять оснастку.
Установить в отв. Ø 1370Н8 цапфу черт. 710.09.222.
Дать остыть до температуры окружающей среды.
Сдать в КМЦ на сборку, сварку и получить обратно
Маркировать согласно СТП СМК 7.5-01
Сварочная.
Проварить соединение цапфы и корпуса стенки согласно чертежа
710.09.220СБ.
Швы зачистить шлиф машинкой.
Термическая.
Выполнить отжиг после сварки по технологии ОГС.
Посадка в холодную печь. Скорость нагрева 60 - 80 °С/час до То = 580 -
600 °С. выдержка в течении 4 часов.
Охлаждение с печью до Т = 150 °С, далее на спокойном воздухе.
Контроль режимов по диаграмме.
Маркировочная
Маркировать согласно СТП СМК 7.5-01
Маршрутно-операционная технология изготовления детали «стенка торцевая»
710.09.220 СБ.
Допускается применять тумбы.
Устанавливать на цапфу.
При вскрытии раковин в сварочных швах не браковать, вызывать
представителя отдела главного сварщика.
Выверку производить по плоскостям отверстий Ø 46.
Токарно-карусельная
Рассматривать совместно с чертежом 710.09.222 Цапфа.
Установить деталь на планшайбе с креплением кулачками с применением
винтовых опор и прижимных планок.
Произвести входной контроль на выход всех линейных размеров.
Разметить под обработку правый торец детали, контролируя выход размера
749[±1].
Подрезать правый торец детали по разметке, контролируя выход всех
линейных размеров.
Точить Ø 4250 начисто.
Расточить отв. Ø 1122Н11 на глубину не менее 535 мм (черт. размер
524=1909-1385).
Расточить начисто внутреннюю коническую поверхность под углом 15° с
выходом на Ø 3850, соблюдая радиус R30.
Расточить начисто отв. Ø 4205Н9 с подрезкой торца в размер
25.
Точить канавку В=14 до Ø 3920 глубиной 7.
Точить Ø А1= Ø 3965h8 начисто.
Сдать ОТК выполнение данного установа.
Установить деталь на планшайбе с креплением кулачками с применением
винтовых опор и прижимных планок.
Подрезать левый торец детали начисто.
Точить Ø 3000 с подрезкой торца в размер 295.
Расточить отв. Ø 1157Н12 с припуском 5 мм на размер с подрезкой торца в
р-р 1385, соблюсти радиус R5.
Точить Ø 1420 d11 начисто с подрезкой торца в р-р 749[±1].
Точить начисто канавку шириной 210 до Ø 1260, снять фаску под 30°.
Точить канавку В=510Н11 до Ø 1350d8 с припуском на чистовую
обработку.
Точить с припуском 0,8 мм под шлифовку канавку Ø 1390[-0,19;-0,41], оставляя
"гребешок" шириной 22, выдержать радиус R10.
Точить с припуском 0,8 мм шейку Ø 1390[-0,19;-0,41], оставляя
"гребешок" шириной 22 выдержать радиус R10.
Точить 2 канавки В=16 глубиной 10 мм., выдерживая размер 3 и R1.
Расточить отв. Ø 1160Н9 с припуском под шлифовку, фаску под 15°
начисто.
Расточить отв. Ø 1157Н12 начисто, соблюсти радиус R5.
Точить канавку В=510Н11 до Ø 1350d8 с припуском под шлифовку,
галтели по r6 начисто. Выдержать шероховатость по торцам размер 510Н11 по
Ra=3,2.
Установить шлифовальную машинку с подготовкой к работе.
Шлифовать 2 шейки Ø 1390[-0,19;-0,41].
Шлифовать шейку В=510Н11 до Ø 1350d8 с припуском под полировку.
Шлифовать отв. Ø.1160Н9 начисто.
Демонтировать шлифовальную машинку.
Шлифовать шейку В=510Н11 до Ø 1350d8 начисто.
Сверлить 16 отв. Ø 39 - сквозные.
Сдать ОТК выполнение данного установа.
Слесарная.
Обернуть шейку Ø 1350d8 упаковочной бумагой и транспортерной лентой.
Горизонтально-расточная.
Установить деталь на ЦЕНТРЕ стола станка на брусья, выверить и закрепить.
Сверлить 3+3 отв. под резьбу М36, см. М-М
Расточить 3 отв. Ø 75 L=60
Зенковать 6 фасок 3х45°
Нарезать резьбу 3+3 отв. М36
Установить фрезерную голову с подготовкой к работе.
Сверлить начисто 20 отв. Ø 52.
Сверлить начисто 16+16 отв. Ø 46.
Расточить 16 цековок Ø 100 глубиной 7 мм.
Сверлить 16+16 зенковок под углом 120° до Ø 70.
Снять фрезерную головку.
Деталь выставить в центре стола.
Операцию выполнять только в случае выполнения всех ответных отверстий Ø 50н9 в деталях корпус барабана и
венец зубчатый на станке SHW-UF6.
Установить деталь на столе станка на брусья с креплением винтовыми
опорами и прижимными планками.
Сверлить 16 отв. Ø 50Н9.
Маркировать. Передать в ЦРМО-1.
.2.1 Выбор и
расчет припусков на обработку
Приведем расчет припусков на обработку и промежуточные предельные размеры
для отверстия барабана Æ 1350 d8 расчетно-аналитическим методом [5].
Технологический маршрут отверстия Æ 1350 d8
состоит из четырех операций: чернового и чистового растачивания и шлифования.
Базами для заготовки служат наружные поверхности.
Расчет припусков на обработку отверстия Æ 1350 d8 приведен в расчетной
таблице, в которой последовательно записывается технологический маршрут обработки
отверстия и все значения элементов припуска.
Расчет припусков и предельных размеров на обработку
Для одного перехода (точение n110+0,035) как наиболее
ответственного и имеющего три ступени обработки, расчет производится
расчетно-аналитическим способом.
Обработку производим в последовательности:
Черновое точение в размере n1350d14(+2,6);
Чистовое точение в размер n1350d10(+0,5);
Шлифование в размер n1350d8(+0,195)
Величину припуска на механическую обработку при черновом точении
определяем по формуле:
(3.1)
где Rz=400мм - величина неровности
поверхности;
T=400мкм
- величина дефектного слоя;
P -
величина пространственных отклонений (корабление, смещение оси заготовки).
При установке на планшайбе с креплением в зажимах погрешность закрепления
и установки заготовки равна Е=120 мкм.
Учитывая,
что суммарное смещение отверстия в заготовке относительно наружной ее
поверхности представляет геометрическую сумму в двух взаимно перпендикулярных
плоскостях, получаем:

(3.2)
где
d1 и d2 - допуски на размеры в двух взаимно перпендикулярных плоскостях по
классу точности, соответствующему данной заготовке,
мкм.
(3.3)
Таким образом, суммарное значение пространственного отклонения заготовки:
Величину min припуска на
механическую обработку при чистовом точении определяем по формуле:
(3.4)
где Rz=T=50мкм;
P=131мкм;
Величина минимального припуска при шлифовании определяем по формуле:
Zmin2=2(Rz+T), мм, (3.5)
где Rz=T=30мкм;
Zmin2=2(30+30)=120мкм=0,12
мм.
Определяем рабочие размеры детали:
Dp1=Dном+hs=1350+0,195=1350,195 мм;
Dp2= Dp1-2Zmin3=1350,195+0,24=1350,434мм;
Dp3= Dp2-2Zmin2=1350,434+0,462=1350,897мм;
Dp4=Dp3-2Zmin1=1350,897+5,97=1356,867мм.
Определяем максимальные размеры детали:
Dmin1=Dном+HJ=1350+0=1350мм;
Dmin2=Dp2-δрасч1=1350,434+0,1=1350,534мм;
Dmin3=
Dp3-δрасч2=1350,897+0,5=1351,397мм;
Dmin4=
Dp4-δзаг=1356,867+5,5=1362,367мм.
Определяем максимальное значение припусков:
Zmax1=Dmin3-Dmin=1362,367-1351,247=11,12мм;
Zmax2=Dmin2-Dmin3=1351,397-1350,534=0,86мм;
Zmax3=Dmin1-Dmin2=1350,534-1350,195=0,34мм;
Строим схему расположения припусков и допусков при механической обработке
n1350н8 (+0,195).
Схема расположения припусков и допусков при механической обработке
n1350н8(+0,195) изображена на рисунке 3.1.
Рисунок 3.1 Припуск под механическую обработку
.2.2 Выбор режущих инструментов
Для обработки поверхностей детали «тормозной барабан» выбираем
инструменты в соответствии с выбранным планом обработки [5].
Для токарных операций применяем резцы с твердосплавными пластинами.
Геометрические параметры рабочей части резцов должны обеспечивать получение
необходимых параметров поверхности детали.
Для сверлильной операции используем обычный стандартный инструмент,
позволяющий с наименьшими затратами по времени получить заданные параметры
детали.
В таблицу 3.10 заносим данные о режущих инструментах в соответствии с
обрабатыванием ими поверхностей
Таблица 3.10
Выбор режущих инструментов для обработки стенки торцевой
|
Наименование операции
|
Режущий инструмент и его
характеристики
|
|
Подрезка торцев
|
Токарный подрезной
отогнутый резец с пластинами из твердого сплава ГОСТ 18880-73. Резец
подрезной отогнутый Т5К10 40х25х200 Державки: PLBNL 6060 V 40 - левая и PLBNR
6060 V - правая. Пластина: LNUX 40-1129003 сплав 9235.
|
|
Обработка внутренних и
наружных поверхностей
|
Державка: PLBNL 6060 V 20.
Пластины: LNUX 40-1129003 сплав 9235 Пластины ISCAR - CNMG 120404-NF Резец
проходной Т5К10 40х25х200 Резец проходной отогнутый ВК8 40х25х140 Резец
проходной упорный Т5К10 40х25х200 Шлифовальный круг 14А 30 С1 5 К ПП 35 м/с 250×18×75 А
|
|
Обработка отверстий
|
Сверло спиральное из
быстрорежущей стали с цилиндрическим хвостовиком средней серии ГОСТ 10902-77.
Сверло 36,0х50,2 Сверло спиральное Т15К6 70х10 d=36-46 мм. Пластины: LNUX
40-1129003 сплав 9235 Метчики машинные и ручные для нарезания метрической
резьбы по ГОСТ 3266-81 Фреза торцевая ISCAR F45KT/E45KT.
|
.2.3 Выбор средств измерения и контроля размеров
Выбор средств измерения зависит от характера и массовости производства
(годовой программы выпуска). В данной работе, при единичном производстве
рациональнее использовать универсальные средства измерения (штангенциркуль,
штихмасс, линейку и др.).
При выборе и назначении средств измерения необходимо одновременно
стремиться к более жесткому ограничению действительных размеров предельными
размерами, предписанными стандартными, и к возможно большему расширению
производственных допусков, остающихся за вычетом погрешности измерения.
Результаты выбора средств измерения заносим в таблицу 3.11.
Таблица 3.11
Выбор средств измерения
|
Поверхность и измеряемый
или контролируемый размер
|
Наименование средства
измерения
|
Метрологические
характеристики средства измерения
|
|
|
Цена деления, мм
|
Пределы, мм
|
, мкм
|
|
|
|
Измерения
|
Показаний по шкале,
диапазон показаний
|
|
|
Поверхности Æ 1160-1420
|
Штангенциркуль ШЦ-II-1600-0,1
ГОСТ 166-89
|
0,1
|
500-1600
|
0 - 1
|
± 100
|
|
Поверхность Æ 1000-2000
|
Штангенциркуль ШЦ-II
|
0,1
|
800-2000
|
0 - 1
|
± 18
|
|
Поверхность Æ 0-500
|
Штангенциркуль ШЦ-III-500
с двухсторонним расположением губок
|
0,1
|
0-500
|
0 - 1
|
±0,1
|
|
Поверхности Æ 2000-4000
|
ШЦ-III-4000
|
0,1
|
2000-4000
|
0-1
|
±0,4
|
.2.4 Назначение режимов резания
При выборе режимов обработки придерживаются определенного порядка, т. е.
при расчете и назначении режима резания учитывают тип и размеры режущего
инструмента, материал его режущей части, материал заготовки, тип оборудования.
Режим
резания металлов определяется следующими основными параметрами: глубиной
резания t (мм), подачей S (мм/об) и
скоростью резания
(м/мин).
Выбираемые
режимы резания должны обеспечивать наибольшую производительность труда при
наименьшей себестоимости технологической операции.
Приведем
расчет для токарной черновой, чистовой обработки заготовки до размера Æ 1350 мм расчетно-аналитическим методом [5].
Рассчитываем
скорость резания по формуле для наружного, продольного, поперечного точения и
растачивания, в данном случае для растачивания:
, м/мин,
где
- глубина резания чернового
растачивания,
мм;
- глубина резания чистового растачивания,
мм;
- глубина резания шлифования,
мм;
- подачи чернового растачивания,
мм/об;
- подачи чистового растачивания,
мм/об;
- подачи шлифования,
мм/об;
T - среднее
значение стойкости при обработке одной кромкой пластины, Т = 60 мин;
- коэффициент, характеризующий обрабатываемый металл и условия его
обработки (стальная отливка);
- показатели
степеней;
- показатель относительной стойкости;
- общий поправочный коэффициент на скорость резания, представляющий
собой произведение из отдельных коэффициентов.
, (3.7)
где
- качество обрабатываемого
материала;
- состояние поверхности заготовки;
- материал режущей части;
- параметры резца (главный угол в плане);
- вид обработки (без СОЖ).
Каждый
из коэффициентов отражает влияние определенного фактора на скорость резания.
В
данном случае, учитывая внешнее точение поверхности и обрабатываемый материал
(сталь)
= 0,85,
= 0,65,
= 0.95,
=0,5 для
черновой обработки,
= 1,
= 0,65,
= 0.95,
=0,5 для
чистовой обработки.
Подставляя
числовые значения в формулу расчета скоростей резания при черновом и чистовом
растачивании, получаем:
м/мин;
м/мин;
Определим
частоту вращения шлифовального круга 24А16-25С1К, у которого Dкр=600 мм, Вкр=63 мм, Vкр=35 м/с:
, об/мин,
(3.8)
об/мин.
По
паспортным данным станка корректируем значение nшл. кр=1112 об/мин.
Частота
вращения заготовки определяется по формуле:
, об/мин
где
V - скорость резания, посчитанная выше, м/мин;
d - диаметр
обрабатываемой поверхности, м.
Подставляя
значения в формулу расчета частоты вращения получаем:
об/мин;
об/мин.
Частота
вращения шпинделя станка 1580Л nmax=20 об/мин, nmin=0,2 об/мин
поэтому
и
округляем
до значений
=15 об/мин,
=15
об/мин.
Определяем
частоту вращения заготовки при шлифовании.
Скорость
вращения принимаем равной Vзаг=30
м/мин;
об/мин
Принимаем
частоту вращения nзаг.=7
об/мин.
Корректируем
значение скорости резания чернового и чистового точения, учитывая значения
частоты вращения по формуле:
, м/мин.
Подставляем
значения:
м/мин;
м/мин.
Итак,
получены скорости резания для чернового -
м/мин и чистового -
м/мин растачивания.
Полученные
значения скоростей и частот вращения шпинделя, а также значения глубины резания
и подач данной и всех остальных поверхностей заносим в таблицу 3.12.
Таблица
3.12
Режимы
резания
|
Поверхность, мм
|
Глубина резания t,
мм
|
Подача S,
мм/об
|
Частота вращения заготовки
(инструмента) n, об/мин
|
Скорость резания V,
м/мин
|
|
Для поверхностей цапфы
|
|
Подрезать торец
|
3
|
0,4
|
12
|
58,4
|
|
Подрезать торец начисто
|
2
|
0,15
|
15
|
64,1
|
|
Точение черновое Æ 1350
|
3
|
0,4
|
15
|
63,58
|
|
Точение чистовое Æ 1350
|
2
|
0,15
|
15
|
63,58
|
|
Шлифование Æ 1350d8
|
0,3
|
15,8
|
7
|
30
|
|
Точение черновое Æ 1390
|
3,5
|
0,3
|
9
|
65,5
|
|
Расточить Æ 1160
|
3
|
0,4
|
15
|
60,7
|
|
Расточить начисто Æ 1160
|
1,8
|
0,2
|
16
|
64,5
|
|
Точение черновое Æ 1420
|
3,5
|
0,3
|
13
|
72,2
|
|
Точение черновое Æ 1260
|
3
|
0,25
|
12
|
68,3
|
|
Сверлить отверстия Æ39
|
-
|
0,25
|
680
|
83,2
|
|
Сверлить отверстия Æ36
|
|
0,25
|
700
|
79,128
|
|
Точить конус на торце
|
2
|
0,4
|
13
|
69,8
|
|
Точение черновое Æ 1370
|
3
|
0,4
|
13
|
58,2
|
|
Точение чистовое Æ 1370
|
2
|
0,15
|
15
|
64,1
|
|
Шлифование Æ 1370u8
|
0,3
|
15,8
|
7
|
30
|
|
Нарезание резьбы М36
|
|
3
|
450
|
52,6
|
|
Точить фаску на Æ 1160
|
1,8
|
0,4
|
18
|
78,5
|
|
Для поверхностей фланца
|
|
Расточить Æ 1370
|
3
|
0,4
|
14
|
60,2
|
|
Расточить начисто Æ 1370
|
2
|
0,15
|
15
|
64,1
|
|
Шлифование Æ 1370Н8
|
0,3
|
15,8
|
7
|
30
|
|
Поверхность, мм
|
Глубина резания t,
мм
|
Подача S,
мм/об
|
Частота вращения заготовки
(инструмента) n, об/мин
|
Скорость резания V,
м/мин
|
|
Расточить фаску наÆ 1370
|
2
|
0,15
|
15
|
64,1
|
|
Подрезать поверхность до Æ 1920
|
2
|
0,2
|
11
|
67,7
|
|
Точение черновое Æ 3020
|
3
|
0,3
|
7
|
66,4
|
|
Сверлить отверстия Æ46
|
-
|
0,25
|
490
|
75,2
|
|
Для поверхностей стенки
корпуса
|
|
Расточить Æ 4205
|
2
|
0,4
|
5
|
67,1
|
|
Расточить начисто Æ 4205
|
1,5
|
0,15
|
5
|
67,1
|
|
Подрезать поверхность до Æ 3000
|
2
|
0,3
|
7
|
65,2
|
|
Сверлить отверстия Æ46
|
-
|
0,25
|
490
|
75,2
|
|
Точить Æ 4250
|
3
|
0,3
|
5
|
61,3
|
Сила резания рассчитывается по формуле [5]:
, Н,
где
;
;
- для данных условий резания из
[5];
- общий поправочный коэффициент, представляющий собой произведение из
ряда коэффициентов.
.
Каждый
из коэффициентов учитывает изменение против табличных условий резания.
= 1.
Подставляя
числовые значения в формулу расчета силы резания при черновом и чистовом
точении, получаем:
Н;
Н.
Крутящий
момент при точении:
, Нм,
Тогда:
Нм.
Мощность
резания на резце равна:
, кВт.
Подставляем
значения и получаем:
кВт;
кВт.
Необходимая
мощность на приводе станка:
, кВт,
где
.
Тогда
максимальная мощность на приводе станка будет равна:
кВт.
Значения
мощностей получаются большие для данной поверхности вследствие ее большого
диаметра обработки, больших скоростей резания, и учета обработки внутренней
поверхности.
Мощность
станка 1580Л N = 125 кВт - обработка возможна.
Время
обработки деталей на каждой операции зависит от выбранных режимов, длины
обрабатываемой поверхности и др.
Техническое
нормирование времени операций можно выполнить расчетно-аналитическим методом. В
нашем случае, в единичном производстве, как и в мелкосерийном, рассчитывается
норма штучно-калькуляционного времени.
Для
примера приведем расчет времени для токарной операции - точение шейки n1350:
Штучное
время:
, мин,
где
- основное (машинное) время,
вычисляемое как отношение длины рабочего хода инструмента к подаче его перемещения,
мин:
, мин.
Тогда
основное (машинное) время будет равно:
мин.
- вспомогательное время, включает в себя продолжительность всех вспомогательных
ходов инструмента, включений, переключений станка, установки и снятия
заготовки:
, мин,
(3.18)
где
= 2,25 - установочное время,
мин;
= 15 -
время на закрепление и открепление детали (заготовки). мин;
= 0,5 -
время на управление станком, мин;
= 2,8 -
время на измерение (100% контроль), мин.
Тогда
мин.
Оперативное
время Tоп
находиться по формуле:
, мин,
мин.
Время
технического обслуживания Tтех:
, мин.
мин.
Время
организационного обслуживания Tорг:
, мин.
мин.
Время
регламентированных перерывов Tп:
(3.22)
мин.
Подготовительно-заключительное
время Tп-з=3
мин
И
так, штучное время по выше описанной формуле:
мин.
Принимаем
мин.
Для
остальных операций расчет ведем аналогично этому. Полученные нормы времени по
данной и другим операциям, суммируя, сгруппировываем по четырем установам,
приведенным в таблице 3.13.
Таблица 3.13
нормы времени на операции изготовления стенки торцевой
|
Наименование операции
|
Основное время То,
мин
|
Вспомо-гательное время Тв,
мин
|
Время технического
обслуживания Ттех, мин
|
Время организации-онного
обслуживания Торг, мин
|
Время перерывов Тп,
мин
|
Подготовительно-заключительное
время Тп-з, мин
|
Штучное время Тшт,
мин
|
|
Точение черновое Æ 1350
|
85
|
20,55
|
6,33
|
6,33
|
2,6
|
3
|
123,8
|
|
Точение чистовое Æ 1350
|
78
|
20,55
|
6,33
|
6,33
|
2
|
3
|
115,4
|
|
Шлифование Æ 1350d8
|
20
|
11,75
|
1,17
|
1,17
|
1,49
|
3
|
42,32
|
|
Точение черновое Æ 1390
|
92
|
10,2
|
3,5
|
2
|
3
|
3
|
113,7
|
|
Точение чистовое Æ 1390
|
67
|
10,2
|
4
|
2
|
2,4
|
3
|
88,6
|
|
Расточить Æ 1160
|
125,6
|
20,7
|
6,33
|
6,33
|
2,6
|
3
|
157,4
|
|
Расточить начисто Æ 1160
|
110,3
|
10,2
|
5,25
|
5,25
|
2,6
|
3
|
134,7
|
|
Точение черновое Æ 1420
|
156,8
|
22,5
|
7,89
|
7,89
|
2,6
|
3
|
191,5
|
|
Точение черновое Æ 1260
|
87,9
|
12,5
|
6,45
|
6,45
|
4
|
2,5
|
112,6
|
|
Сверлить отверстия Æ39
|
56,1
|
23,6
|
5,5
|
5,5
|
2
|
2,5
|
94,7
|
|
Сверлить отверстия Æ36
|
62,7
|
25,6
|
5,8
|
5,8
|
2,2
|
2,5
|
104,3
|
|
Точить конус на торце
|
34,8
|
24,4
|
4,6
|
4,8
|
2,2
|
2,5
|
78,9
|
|
Точение черновое Æ 1370
|
47,1
|
18,8
|
6,33
|
6,33
|
2,2
|
3
|
63,5
|
|
Точение чистовое Æ 1370
|
56,6
|
10,2
|
4,55
|
4,55
|
2,1
|
3
|
78
|
|
Шлифование Æ 1370u8
|
20,3
|
15,6
|
6,6
|
6,6
|
3
|
2,5
|
51,6
|
|
Нарезание резьбы М36
|
36,7
|
12,2
|
4,5
|
4,5
|
3
|
3
|
58,6
|
|
Точить фаску на Æ 1160
|
4
|
5,2
|
2
|
1,5
|
0,5
|
0,3
|
14,6
|
|
Расточить Æ 1370
|
47,1
|
18,8
|
6,33
|
6,33
|
2,2
|
3
|
63,5
|
|
Расточить начисто Æ 1370
|
56,6
|
10,2
|
4,55
|
4,55
|
2,1
|
3
|
78
|
|
Шлифование Æ 1370Н8
|
20,3
|
15,6
|
6,6
|
6,6
|
3
|
2,5
|
51,6
|
|
Расточить фаску на Æ 1370
|
47,1
|
18,8
|
6,33
|
6,33
|
2,2
|
3
|
63,5
|
|
Подрезать поверхность до Æ 1920
|
146,5
|
25,3
|
4,55
|
4,55
|
2,1
|
3
|
187,7
|
|
Точение черновое Æ 3020
|
53,2
|
15,6
|
6,6
|
6,6
|
3
|
2,5
|
74,2
|
|
Сверлить отверстия Æ46
|
36,7
|
12,2
|
4,5
|
4,5
|
3
|
3
|
58,6
|
|
Расточить Æ 4205
|
126,3
|
18,8
|
7,3
|
7,1
|
3,6
|
3
|
168,5
|
|
Расточить начисто Æ 4205
|
105,4
|
18,8
|
6,33
|
6,33
|
2,2
|
3
|
135,2
|
|
Подрезать поверхность до Æ 3000
|
160,2
|
10,2
|
4,55
|
4,55
|
2,1
|
3
|
78
|
|
Сверлить отверстия Æ46
|
20,3
|
15,6
|
6,6
|
6,6
|
3
|
2,5
|
51,6
|
|
Точить Æ 4250
|
140,2
|
10,2
|
4,55
|
4,55
|
2,1
|
3
|
78
|
.3 Разработка технологии сборки
Скомплектовать узел согласно сборочных чертежей и спецификации.
Собрать стенд для сборки барабана.
Собрать стенд для контроля биений.
Сборку Барабана производить согласно схемы контрольной сборки 710.09.000.
Собрать стенки торцовые с патрубком разгрузочным и патрубком загрузочным.
Варить согласно чертежа.
Скантовать стенки торцевые широкой частью вверх, произвести контрольную
сборку с Броней торцевой.
Сдать ОТК, демонтировать Броню.
Установить барабан на Стойки стенда.
Выверить по базовому отв. ф20.
Установить в стенки торцовые кольца согласно "Руководства по монтажу
и эксплуатации".
Стыковать стенку торцевую с барабаном.
. Выдержать соосность отв. ф20.
Установить чистовые болты 1, 2, 8, 9, 10, 11, 17, 18, 19, 20, 35 и 36
согласно схеме затяжки болтов на барабане.
Наживить гайки.
Установить крепежные болты 3, 4, 5, 6, 7, 12, 13, 14, 15, 16, 31, 32, 33
и 34 согласно схеме затяжки болтов на барабане.
Наживить гайки.
Затянуть весь крепеж.
Повернуть барабан на 180°.
Поворот производить с помощью крана, зацепив строп за цапфу на образующей
барабана.
Установить чистовые болты 26, 27, 28 и 29 согласно схеме затяжки болтов
на барабане.
Наживить гайки.
Установить крепежные болты 21, 22, 23, 24, 25 и 30 согласно схеме затяжки
болтов на барабане.
При необходимости развернуть отверсия разверткой.
Наживить гайки.
Затянуть весь крепеж.
Стыковать стенку торцевую приводной стороны с барабаном.
Установить чистовые болты 17, 20, 26, 29, 35 и 2 согласно схеме затяжки
болтов на барабане.
При необходимости развернуть отверстия разверткой.
Наживить гайки, затянуть.
Стыковать половину зубчатого венца, совместив крепежные отверстия.
Внимание. Допускается установка заранее полностью собранного венца.
Установить чистовые болты 19, 27, 28 и 36 согласно схеме затяжки болтов
на барабане.
Наживить гайки, затянуть.
Установить крепежные болты 21, 22, 23, 24, 25, 30, 31, 32, 33 и 34
согласно схеме затяжки болтов на барабане.
Наживить гайки, затянуть.
Стыковать вторую половину зубчатого венца, совместив крепежные отверстия.
Установить чистовые болты 1 и 18 согласно схеме затяжки болтов на барабане.
Наживить гайки, затянуть.
Установить крепежные болты 13, 14, 15 и 16 согласно схеме затяжки болтов
на барабане
Наживить гайки, затянуть.
Затянуть весь крепеж.
Повернуть барабан на 180°.
Поворот производить с помощью крана, зацепив строп за цапфу на образующей
барабана.
Установить чистовые болты 8, 9, 10 и 11 согласно схеме затяжки болтов на
барабане.
Наживить гайки, затянуть.
Установить крепежные болты 3, 4, 5, 6, 7, 12, 13, 14, 15 и 16 согласно
схеме затяжки болтов на барабане.
Наживить гайки, затянуть.
Затянуть весь крепеж.
Стянуть фланцы крепления половин зубчатого венца штифтами и болтами.
Установить Барабан на стенд для контроля биения.
Произвести Контроль согласно схеме затяжки болтов на барабане.
Выполнить все технические требования чертежа.
Собрать патрубок разгрузочный с горловиной воронки.
Обварить, сварные швы по ГОСТ 14771-76 или по ГОСТ 5264-80.
Выполнить установку корпуса вал - шестерни на плиту опорную.
Выполнить установку вал-шестерни в корпус на подшипники.
Стянуть крышку с корпусом болтами.
Установить и свинтить болтами крышки подшипников с корпусом вала.
Установить датчики давления и температуры согласно чертежа.
Соединить гидропроводку и электрику согласно чертежа.
Сдать контролеру ОТК.
.4 Разработка технологии контроля
Технология и методика приемочных испытаний составлена и оформлена в
соответствии с требованиями ГОСТ 2.106-95 «ЕСКД. Текстовые документы», а также
ГОСТ 15.309-98 «Система разработки и постановки продукции на производство.
Испытания и приёмка выпускаемой продукции. Основные положения» и ГОСТ Р
15.201-2000 «Система разработки и постановки продукции на производство.
Продукция производственно-технического назначения. Порядок разработки и
постановки продукции на производство».
Приёмочные испытания включают следующие виды проверок и испытаний:
проверка качества рабочей конструкторской и эксплуатационной
документации;
проверка комплектности оборудования;
проверка на отсутствие механических повреждений;
проверка качества поверхности;
проверка маркировки;
проверка комплектующих и материалов изготовления;
проверка качества сварных швов;
проверка электробезопасности;
проверка работоспособности;
проверка уровня шума.
.4.1 Цель испытаний
Настоящая программа определяет объем и порядок испытаний вышеуказанного
оборудования.
Целью испытаний является:
оценка соответствия оборудования, а также рабочей конструкторской и
эксплуатационной документации требованиям действующих российских
государственных стандартов, включая ГОСТ 12.2.003 «Система стандартов
безопасности труда. Оборудование производственное. Общие требования
безопасности», ГОСТ 12.3.002 «Система стандартов безопасности труда. Процессы
производственные. Общие требования безопасности» и нормативных технических
документов в области промышленной безопасности, в том числе ПБ 03-571-03
«Единые правила безопасности при дроблении, сортировке, обогащении полезных
ископаемых и окусковании руд и концентратов», ПБ 03-585-03 «Правила устройства
и безопасной эксплуатации технологических трубопроводов», РД 06-572-03
«Инструкция по безопасной эксплуатации электроустановок в горнорудной
промышленности», «Правила устройства электроустановок».
определение готовности оборудования к испытаниям и эксплуатации;
проверка и подтверждение основных технических и эксплутационных
характеристик оборудования требованиям вышеуказанных технических условий,
действующих государственных стандартов и нормативных технических документов в
области промышленной безопасности.
.4.2 Объём испытаний
Приёмочные испытания в соответствии с ГОСТ 15.309-98 проводятся в объёме,
достаточном для оценки характеристик оборудования, проверки и подтверждения
соответствия оборудования требованиям нормативно-технической документации.
.4.3 Условия предъявления изделий на испытания
Приемочные испытания проводятся для полностью укомплектованного
оборудования в сборе.
Перед предъявлением изделия на испытания проверяется комплектность
оборудования и технической документации на него, а также правильность
оформления и содержания рабочей конструкторской и эксплуатационной
документации.
Приемочным испытаниям подвергается стержневая рудо размольная мельница с
центральной разгрузкой МШЦ-3850×5500.
Результаты приемочных испытаний распространяются на все стержневые рудо
размольные мельницы с центральной разгрузкой типа МСЦ и шаровые мельницы с
центральной разгрузкой типа МШЦ по ТУ 4844-001-00892435-2011.
Порядок взаимодействия предъявителя изделия с представителем заказчика и
другими организациями, участвующими в испытаниях
Оборудование подвергается приемочным испытаниям на территории завода
изготовителя - ОАО «ССМ-Тяжмаш», Волгоградская обл., г. Череповец, ул. Мира,
30.
Приемочные испытания проводятся Приемочной комиссией, назначенной
приказом Генерального директора ОАО «ССМ-Тяжмаш».
Формирование состава комиссии и регламент её работы определяются на
основании приказа Генерального директора ОАО «ССМ-Тяжмаш». В состав Приемочной
комиссии входят представители эксплуатирующей организации и завода
изготовителя.
Сроки проведения приемочных испытаний устанавливаются эксплуатирующим
предприятием по согласованию с Ростехнадзором.
До начала проведения приемочных испытаний предъявляется сопроводительная
документация в составе:
программа и методика приемочных испытаний, согласованная с
Ростехнадзором;
паспорт и руководство по эксплуатации;
технические условия;
протоколы заводских испытаний.
3.4.4 Требования к месту проведения испытаний
Место проведения испытаний предназначено для проведения приемочных
испытаний оборудования, перечисленного в п. 3.4.3 настоящей программы.
Помещение полностью подготовлено к проведению испытаний (наведён порядок,
установлены необходимые средства измерений и испытательное оборудование, все
ненужное оборудование необходимо удалить с места проведения испытаний на
безопасное расстояние; должно быть обеспечено необходимое освещение; должны
быть подведены все необходимые коммуникации).
Помещение оборудовано приточно-вытяжной вентиляцией, выполненной в
соответствии с требованиями ГОСТ 12.4.021, строительных норм и правил СниП
2.04.05-91.
.4.5 Требования к средствам проведения испытаний
Средства измерения имеют действующие свидетельства об утвер-ждении
согласно и периодической проверке.
К испытаниям допускаются изготовленное и укомплектованное необходимой
документацией (паспорт и инструкция по эксплуатации) оборудование,
перечисленное в настоящей Программы приемочных испытаний.
В процессе проведения испытаний соблюдаются требования техники
безопасности в соответствии с паспортом и руководством по эксплуатации
указанного оборудования.
Электроприборы надёжно заземлены.
.4.6 Требования к условиям проведения испытаний
Условия проведения испытаний:
температура окружающей среды - 5-40ºС;
относительная влажность окружающей среды при температуре 20ºС - до 90%, при температуре 40ºС - до 50%;
Условия проведения испытаний максимально приближены к условиям реальной
эксплуатации испытываемого оборудования.
.4.7 Требования к подготовке изделия к испытаниям
Приёмочные испытания проводятся с целью приёмки оборудования
эксплуатирующей организацией, а также проверки его основных технических
характеристик в соответствии с требованиями технической документации.
К приемочным испытаниям допускается оборудование, перечисленное в п.
3.4.5 настоящей технологии испытаний.
Поверхность оборудования, предъявляемого к испытаниям, не должна иметь
механических повреждений, раковин, вмятин, нарушений покрытия и др. дефектов.
Детали конструкции не должны иметь острых углов и кромок, которые могут
поранить или травмировать обслуживающий персонал.
Устройства, имеющие механические повреждения, загрязнения, следы коррозии
к испытаниям не допускаются.
Контрольно-измерительные приборы должны быть установлены в удобных для
наблюдения и обслуживания местах.
Перед испытаниями оборудование должно быть очищено от пыли и загрязнений.
Оборудование должно быть надёжно заземлено.
При работающих приводах необходимо смонтировать все предусмотренные
защитные кожухи.
Сварные швы деталей должны быть очищены от шлака и брызг. Переход от
основного металла к наплавленному должен быть плавным, без подрезов и наплывов.
Ширина и высота швов должны быть равномерными.
Проведение монтажа должно быть выполнено в соответствии с руководством по
эксплуатации.
При проведении работ на высоте выше человеческого роста, необходимо
использовать предусмотренные или прочие отвечающие технике безопасности
подставки и рабочие платформы. Не использовать для подъема компоненты
устройства. При работах на большой высоте использовать страховку от падения с
высоты.
При проведении монтажных работ с пневматическим и гидравлическим
оборудованием необходимо убедиться, что соответствующие агрегаты не находятся
под давлением.
.4.8 Содержание испытаний
Проверка качества эксплуатационной документации.
Проверка качества эксплуатационной документации проводится на
соответствие её требованиям ГОСТ 15.309-98 «Система разработки и постановки
продукции на производство. Испытания и приёмка выпускаемой продукции. Основные
положения»; ГОСТ Р 15.201-2000 «Система разработки и постановки продукции на
производство. Продукция производственно-технического назначения. Порядок
разработки и постановки продукции на производство», ГОСТ 2.106-95 «ЕСКД.
Текстовые документы».
Проверка монтажа.
Проверка правильности сборки и подключения оборудования, контрольно
-измерительной аппаратуры, освещения и оперативной связи. На испытательной
площадке должны отсутствовать временные приспособления, сооружения, сборочное
оборудование, наведен порядок и чистота.
Проверка качества поверхности.
Проверка качества наружной и внутренней поверхности изделия производится
визуальным осмотром.
Наружную поверхность проверяют на наличие плен, закатов, расслоений,
рисок, трещин, следов коррозии, снижающих качество и ухудшающих товарный вид
изделия, а также качество наружных покрытий. Видимых дефектов быть не должно.
На внутренней поверхности должны отсутствовать следы коррозии, жирность,
окалина. Видимых дефектов быть не должно.
Проверка качества покрытия проводится путем сопоставления объёма и
качества выполненной работы с требованиями рабочей конструкторской
документации. Видимых повреждений окраски быть не должно.
Проверка механической безопасности.
Проверка на отсутствие острых углов, кромок, заусенцев и поверхностей с
неровностями в местах доступных обслуживающему персоналу. Проверка состояния
резьбы, крепёжных деталей, уплотнений. Осуществляется посредством визуального
контроля.
Повреждений резьбы, крепёжных деталей, уплотнений быть не должно. Острых
углов, кромок, заусенцев и поверхностей с неровностями в местах доступных
обслуживающему персоналу быть не должно.
Проверка маркировки.
Маркировка должна быть выполнена четко, отчетливым шрифтом. Маркировка
выполняется в соответствии с ГОСТ 12969, ГОСТ 12971.
Проверка материалов.
Проверка материалов изделия, в том числе его термической обработки,
осуществляется проверкой сертификатов предприятий-поставщиков материалов или
результатов химических анализов и механических испытаний материалов, проводимых
предприятием-изготовителем изделий на соответствие требованиям технической
документации и ГОСТам на конкретный материал.
Проверка электробезопасности.
Проверка исправности устройства заземления, а именно: отсутствие следов
коррозии, отсутствие повреждения резьбы, проводится наружным осмотром.
Проверка сопротивления между устройством заземления и каждой доступной
прикасанию металлической нетоковедущей частью корпуса проводится омметром
Ф4102/2-1М по ТУ 25-7534.0005-87: значение сопротивления не должно превышать
0,1 Ом.
Проверка сварных швов.
Визуально-измерительный контроль сварных швов проводится по методике,
приведённой в РД 03-606-03 «Инструкция по визуальному и измерительному
контролю» и ГОСТ 3242-79 «Соединения сварные. Методы контроля качества» с целью
выявления наружных дефектов. Осмотру следует подвергать как сварной шов, так и
зону основного металла, прилегающую к нему на расстоянии не менее 20 мм от края
шва.
Визуальный контроль и измерение сварных швов необходимо проводить после
очистки швов и прилегающих к ним поверхностей основного металла от шлака, брызг
и других загрязнений. Визуальному контролю и измерению подлежат все сварные швы
по всей протяжённости для выявления наружных недопустимых дефектов: трещин всех
видов и направлений, свищей и пористости наружной поверхности шва, подрезов,
наплывов, прожогов, недоплавленных кратеров, смещения и совместного увода
кромок свариваемых элементов, свыше норм. Объём контроля 100% сварных
швов.
Ультразвуковой метод контроля производится в целях выявления в сварных
соединениях внутренних дефектов (трещин, не проваров, пор, шлаковых включений и
др.).
Ультразвуковой контроль сварных швов проводится по методике, приведенной
в ГОСТ 3242-79 «Соединения сварные. Методы контроля качества».
Перед контролем соответствующие участки сварных соединений необходимо
за-маркировать так, чтобы их можно было легко обнаружить на картах контроля.
Ультразвуковому контролю подлежат сварные швы по всей протяжённости для
выявления недопустимых дефектов в следующем объеме:
100% сварных швов трубопроводов пластичного смазочного материала;
20% сварных швов трубопроводов гидро-подпора;
1% сварных швов остальных трубопроводов, от общего числа сваренных каждым
сварщиком (но не менее одного) соединений.
Контролю подлежат стыки, наихудшие по результатам внешнего осмотра.
Оценку качества сварных соединений трубопроводов по результатам
ультразвукового контроля следует производить согласно СНиП 3.05.05-84 и ПБ
03-585-03.
В случае невозможности применения ультразвукового контроля, допускается
его замена радиографическим методом.
Радиографический контроль сварных соединений должен проводиться в
соответствии с ГОСТ 7512-82 «Контроль неразрушающий. Соединения сварные.
Радиографический метод».
Перед контролем соответствующие участки сварных соединений необходимо
замаркировать так, чтобы их можно было легко обнаружить на картах контроля и
радиографических снимках.
Все приборы должны иметь действующие свидетельства о поверке.
Проверка защитных блокировок и систем аварийной сигнализации.
Общие требования к системе аварийной сигнализации и защитных блоков.
До испытаний должны быть обеспечены следующие основные условия:
механические ограничивающие устройства, блокирующие устройства,
электрические выключатели и устройства сигнализации проверяют и помещают на
свои определенные места;
опытным путем подтверждают, что электрические блокирующие цепи правильно
подсоединены;
датчики установлены на определенные значения.
Испытания должны подтвердить правильность функционирования защитных
блокировок, систем слежения и аварийной сигнализации.
Обязательному контролю подлежат:
Проверка органа управления аварийной остановкой. Орган управления
аварийной остановкой должен:
а) быть ясно идентифицируемым и легко доступным;
б) останавливать оборудование быстро, не создавая опасности;
в) находиться после приведения его в действие в положении,
соответствующем остановке, пока он не будет возвращен пользователем в исходное
положение;
г) возвращаться в исходное положение не приводя к пуску оборудования;
д) быть красного цвета, отличаться формой и размерами от других органов
управления.
Полное или частичное прекращение энергоснабжения и последующее его
восстановление, а также повреждение цепи управления энергоснабжением не должно
приводить к возникновению опасных ситуаций, включая:
а) самопроизвольный пуск оборудования при восстановлении энергоснабжения;
б) невыполнение уже выданной команды на остановку;
в) снижение эффективности защитных устройств.
Требования к системе аварийной сигнализации и защитных блоков мельниц
типа МСЦ.
Проверка срабатывания световой и звуковой сигнализации и отключения
насоса гидропривода и главного привода мельницы при снижении давления ниже нормы
в коренных подшипниках гидроподпора;
Проверка срабатывания световой и звуковой сигнализации и отключения
насоса гидроподпора при снижении ниже нормы давления во всасывающем
трубопроводе насоса гидроподпора;
Проверка отключения работы всех насосов и срабатывания аварийной
сигнализации при снижении уровня масла в баке до нижнего аварийного значения.
Проверка срабатывания предупредительной сигнализации при достижении верхнего и
нижнего рабочих уровней масла в баке.
Требования к системе аварийной сигнализации и защитных блоков мельниц
типа МШЦ.
Проверка срабатывания предупредительной сигнализации при повышении
температуры масла в баке до плюс 50°С, и аварийной сигнализации при - плюс
60°С;
Проверка срабатывания предупредительной сигнализации при снижении ниже
нормы расхода масла через реле потока к коренным подшипникам мельницы и
подшипникам вал-шестерни;
Проверка срабатывания резервного насоса и предупредительной сигнализации
при снижении давления в напорном трубопроводе смазывания;
Проверка срабатывания предупредительной сигнализации при превышении
давления в напорном трубопроводе смазывания;
Проверка отсутствия возможности пуска электродвигателя главного привода,
при давлении в обоих подшипниках гидроподпора меньше рабочего давления;
Проверка срабатывания предупредительной сигнализации при снижении ниже
нормы давления гидроподпора. Проверка отключения насоса гидроподпоры, при
продолжительном (10-12 с) срабатывания предупредительной сигнализации при
снижении ниже нормы давления гидроподпора;
Проверка срабатывания предупредительной сигнализации и отключения насоса
гидроподпора при превышении или понижении ниже нормы давления во всасывающем
трубопроводе насоса гидроподпора;
Проверка отключения работы всех насосов и срабатывания аварийной
сигнализации при снижении уровня масла в баке до нижнего аварийного значения.
Проверка срабатывания предупредительной сигнализации при достижении верхнего и
нижнего рабочих уровней масла в баке;
Проверка срабатывания предупредительной сигнализации при засорении
фильтров.
Устройство считается выдержавшим испытание, если при проверке
оборудование функционирует согласно эксплуатационной документации и не выявлено
дефектов препятствующих длительной эксплуатации.
Проверка работоспособности.
Перед проверкой мельница должна быть монтирована и подготовлена к
эксплуатации в соответствии с руководством по эксплуатации.
Продолжительность опробования мельницы должна быть не менее 5 ч
непрерывной эксплуатации при номинальных параметрах. Допускается понижение
номинальных параметров продолжительностью не более 1 ч.
Во время испытаний проверяют функционирование изделия в соответствии с
эксплуатационной документации, а именно:
возможность длительного функционирования мельницы при номинальных
пара-метрах (не менее 4 ч);
проверка работоспособности системы регулировки (изменение режимов работы
мельницы);
проверка работоспособности системы контроля и средств измерения;
Оборудование считается выдержавшим испытание, если в течение проверки не
обнаружено дефектов, препятствующих длительной эксплуатации мельницы. Изделие
должно функционировать согласно эксплуатационной документации.
Измерение вибрации.
Уровень вибрации на рабочем месте определяется методом инструментального
контроля с использованием измерителя шума и вибрации ВШВ-003 (или аналог) по
ГОСТ 17187 в соответствии с требованиями ГОСТ 12.2.003, ГОСТ 12.1.012.
Корректированное значение виброскосрости должно быть не более 0,20 мм/с, в
соответствии с требованиями СН 2.2.4/2.1.8.566-96.
Результаты приёмочных испытаний считаются положительными, если оборудование
испытано в полном объеме приемочных испытаний и соответствуют всем требованиям
технической документации изготовителя, действующих российских государственных
стандартов и нормативных технических документов в области промышленной
безопасности.
.5 Разработка схемы строповки стенки торцевой
Строповка - это совокупность методов обвязки и зацепки грузов для их
подъема и перемещения грузоподъемными машинами (кранами). К строповке
конструкций предъявляют следующие требования:
строповые устройства, их крепление к поднимаемой конструкции и
грузоподъемному крану должны быть надежными;
трудоемкость и продолжительность операции строповки и расстроповки должны
быть минимальными;
использование строповых приспособлений, устройств должно быть
многократным (приспособления должны быть инвентарными);
расстроповка должна производиться на расстоянии (без подъема стропальщика
к месту строповки);
строповка должна исключать нарушение формы и прочности конструкции, а
также ее падение и опрокидывание.
Определим место захвата для стропов. Для этого целесообразно использовать
имеющиеся с левой стороны детали проушины на фланце и цапфе стенки торцевой.
При установке стенки торцевой на цапфу требуются дополнительные
технологические.
Выбор стропов начинают с определения массы груза и расположения его
центра тяжести. Если на грузе таких обозначений нет, то необходимо уточнить эти
параметры у лица, ответственного за производство грузоподъемных работ. Во всех
случаях необходимо убедиться в том, что груз, подлежащий перемещению, может быть
поднят имеющимися в вашем распоряжении грузоподъемными средствами. Определив
массу поднимаемого груза и расположение центра тяжести, затем определяют число
мест застропки и их расположение с таким расчетом, чтобы груз не мог
опрокинуться или самостоятельно развернуться. Из этого расчета выбирают строп
или подходящее грузозахватное приспособление. Одновременно следует учитывать
длину выбираемого многоветвевого стропового грузозахватного приспособления.
При выборе длины стропа следует исходить из того, что при малой длине
угол между ветвями строп будет больше 90°, а при большой длине - теряется
высота подъема груза и возникает возможность его кручения. Оптимальные углы
между ветвями строп находятся в пределах 60 - 90° в соответствии с рисунком
3.2.
При выборе строп следует также определить, из каких элементов должна
состоять гибкая часть стропа (стальной канат или цепь, или другой вид жестких
строп и т. п.) и какие концевые и захватные элементы целесообразнее
использовать для подъема конкретного груза.
Рисунок 3.2 Схема распределения нагрузок
Стропы из стальных канатов применяются для соединения монтажных
полиспастов с подъёмно-транспортными средствами (мачтами, порталами, стрелами,
монтажными балками), якорями и строительными конструкциями, а также для
строповки поднимаемого или перемещаемого оборудования и конструкций с
подъёмно-транспортными механизмами.
В практике монтажа используются следующие типы канатных стропов: обычные,
к которым относятся универсальные и одно-, двух-, трёх- и четырёхветвевые,
закрепляемые на поднимаемом оборудовании обвязкой или инвентарными захватами, а
также витые полотенчатые. Для строповки тяжеловесного оборудования
преимущественно используются инвентарные витые стропы, выполняемые в виде
замкнутой петли путём последовательной параллельной плотной укладки перевитых
между собой витков каната вокруг начального центрального витка. Эти стропы
имеют ряд преимуществ: равномерность распределения нагрузки на все ветви,
сокращение расхода каната, меньшая трудоёмкость строповки. Технические данные
канатных стропов приведены в таблице 3.15.
Канатные стропы рассчитываются в следующем порядке (рисунок 3.3).
Рисунок 3.3 схема нагружения при подъеме детали
Определяем напряжение в одной ветви стропа, кН
, Н,
(3.23)
где
Р - расчётное усилие, приложенное к стропу без учёта коэффициентов перегрузки и
динамичности (P=G9.8), Н;- общее количество ветвей стропа;
α - угол между направлением действия расчётного усилия и ветвью стропа,
которым задаёмся исходя из поперечных размеров поднимаемого оборудования и
способа строповки (этот угол рекомендуется назначать не более 45°, имея в виду,
что с увеличением его усилие в ветви стропа резко возрастает). Принимаем 8
ветвей для обеспечения необходимой гибкости канатов.
Н;
H;
Находим
разрывное усилие в ветви стропа:
, Н; (3.24)
где
k3 -
коэффициент запаса прочности для стропа в зависимости от типа стропа. (таблица
3.14). Принимаем равным k3 =6,0.
кН.
Таблица
3.14
Коэффициенты
запаса прочности такелажных средств
|
Наименование каната
|
Коэффициент запаса
прочности кз
|
|
Грузовые канаты
|
|
С ручным приводом
|
4,0
|
|
С машинным приводом: Для
легкого режима работы Для среднего режима работы Для тяжелого режима работы
|
5,0 5,5 6,0
|
|
Канаты для полиспастов с
изменяющейся длиной под нагрузкой
|
|
Грузоподъемностью от 5 до
50 т
|
4 - 5
|
|
Грузоподъемностью от 50 до
100 т
|
3,5 - 4
|
|
Грузоподъемностью более 100
т
|
3 - 3,5
|
|
Стропы
|
|
С обвязкой или зацепкой
крюками или серьгами
|
6,0
|
|
Витые стропы
|
5,0
|
|
Полотенчатые стропы
|
5,5 - 5,5
|
По расчётному разрывному усилию, пользуясь таблицей ГОСТ 7668-80 (таблица
3.15), подбираем наиболее гибкий стальной канат и определяем его технические
данные: тип и конструкцию, временное сопротивление разрыву, разрывное усилие и
диаметр.
Таблица 3.15
Канаты стальные ГОСТ - 7668-80
|
Диаметр каната, мм
|
Масса 1000 м каната, кг
|
Маркировочная группа, МПС
|
|
|
1372
|
1568
|
1666
|
1764
|
1960
|
|
|
Разрывное усилие, кН
|
|
13,5
|
697
|
-
|
90,6
|
96,3
|
101,5
|
109,0
|
|
15,0
|
812
|
-
|
104,5
|
111,5
|
116,5
|
128,0
|
|
16,5
|
1045
|
-
|
135,5
|
144,0
|
150,0
|
165,5
|
|
18,0
|
1245
|
-
|
161,5
|
171,5
|
175,5
|
190,5
|
|
20,0
|
1520
|
-
|
197,5
|
210,0
|
215,0
|
233,5
|
|
22,0
|
1830
|
|
|
252,5
|
258,5
|
280,5
|
|
23,5
|
2130
|
|
|
294,0
|
304,0
|
338,0
|
|
25,5
|
2495
|
|
|
344,0
|
352,5
|
430,0
|
|
Диаметр каната, мм
|
Масса 1000 м каната, кг
|
Маркировочная группа, МПС
|
|
|
1372
|
1568
|
1666
|
1764
|
1960
|
|
|
Разрывное усилие, кН
|
|
29,0
|
3215
|
366,0
|
417,5
|
444,0
|
454,5
|
561,5
|
|
31,0
|
3655
|
416,0
|
475,0
|
505,0
|
517,0
|
638,5
|
|
33,0
|
4155
|
473,0
|
540,5
|
574,5
|
588,0
|
700,0
|
|
34,5
|
4550
|
518,0
|
592,0
|
629,5
|
644,5
|
764,0
|
Выбираем двух петлевой канат 23,5-Г-1-Н-1372 ГОСТ 7668-80 длиной 17м, у
которого Rk=242,5 кН.
Рассчитываем проушину с сечении проходящем через середину отверстия т. к.
оно является наиболее слабым.
На проушину действует растягивающая сила, которая расчитывается по
формуле:
, Н;
(3.25)
Н.
Проушина
изготавливается из листов стали 3сп ГОСТ 14637-89. Для стали 3пс находим
значение допускаемого напряжения при данном виде нагружения σadm=90Мпа.
Определяем
минимальную площадь поперечного сечения проушины по формуле:
, м2,
(3.26)
м2.
Сечение
проушины проходящее через середину отверстия перпендикулярно приложенной силе
не должно быть меньше 1600 мм2, при толщине листа в 30мм ширина
листа без учета диаметра отверстия равна > 53,3мм.
Расчитываем
сечение болта в отверстия проушин по формуле:
, (3.27)
где m=0,85 - коэффициент условий работы;
N -
нагрузка, Н;
n -
количество болтов;
σср =85 МПа- допускаемое напряжение при
срезе болта;
nср - количество срезов;
r -
минимальный радиус болта, м [3].
Тогда минимальный радиус болта определяется так:
, м;
(3.28)
м.
Минимальный
диаметр болта - 34 мм. При умножении на коэффициент запаса прочности равным n=2,
имеем болт диаметром 68 мм.
Выбираем из имееющихся в наличии, болт диаметром 80 мм.
Расчитываем сварной шов соединяющий проушины с базовой планкой.
Толщина свариваемых деталей позволяет сделать шов с катетом 30 мм,
следовательно необходимо определить минимальную длину сварного шва. Шов
выполняем проволокой Св - 08Г2С.
, м; (3.29)
где к- катет сварного шва, τср=0,6σср=0,6 100=60 Мпа - допускаемое
напряжение сварного шва [3], Р - нагрузка.
м.
Минимальная длина сварного шва - 115 мм. Целесообразно изготовить нижнюю
часть проушины длиной 250 мм. Сварной шов выполнить по все длине основания
проушины (рисунок 3.4).
Рисунок 3.4 Конструкция проушины
Расчитаем необходимый диаметр болтов, соединяющих базовую планку с
деталью. Расчеты выполняем по формуле 3.26.
м2.
Следовательно
общая площадь сечений болтов должны превышать 0,0014 м2.
Сечение
болта представляет собой круг, площадь круга равна:
, мм2.
(3.30)
Определим
минимально возможный радиус болта, если использовать в соединении два болта:
, мм,
(3.31)
мм.
Принимаем
два болта диаметром 48 мм.
Заключение
В
настоящее время процесс технической подготовки производства стал тем элементом
которому необходимо уделять такое же серьезное внимание как и бизнес-плану или
любому другому процессу связанному с организацией предприятия, в то время как
еще совсем недавно это было прерогативой различных конструкторских бюро и НИИ
которые разрабатывали технологии не особо ориентируясь на рынок сбыта, условия
производства и т. д.
В
ходе выполнения ВКР проведен краткий анализ конструкций и технологических
процессов производства мельницы.
Технологическая часть содержит разработку плана технологической
подготовки производства «МШЦ 3,8х5500» на заводе ОАО «Тяжмаш». Также разработан
технологический процесс изготовления детали «стенка торцовая», на базе
заводского оборудования и разработан технологической процесс сборки мельницы,
маршруты обработки крупногабаритных деталей.
В конструкторской части рассматриваются вопросы, связанные с анализом
конструкции устройств для дробления руды, изготовления и сборки, анализом
конструкции самой мельницы.
Список использованных источников
1 Справочник технолога - машиностроителя. В 2-х т. 4-е изд.
пераб. и доп. М.: Машиностроение, 1985. 656 с.
Корсаков, В. С. Основы технологии машиностроения: учебник/ Л.
С. Кован, Л. Д. Оленин, В. С. Корсаков и др./ под ред. В. С. Корсакова. М.:
Машиностроение, 1977. 416 с.
Анурьев В. И. Справочник конструктора - машиностроителя: В
3-х т. Т. 2. 5-е изд., перераб. И доп. М.: Машиностроение, 1980. 557 с., ил.
А.Ф. Горбацевич, В. А. Шкред Курсовое проектирование по
технологии машиностроения. Учеб. пособие по технологии машиностроения - 4-е
изд., перераб. и доп. Минск. Высш. школа 1983 г. 256 стр.
МетТрансМеталл [Электронный ресурс]: электронный марочник
сплавов - Режим доступа: http://www.met-trans.ru.
Акимов В.Л., Жуков Э.Л., Розовский Б.Я., Скраган В.А.
Технологические расчеты при проектировании процессов механической обработки
заготовок: Учеб. пособие. СПб.: СПбГТУ, 1980. 80 с.
Стратегии развития старопромышленных городов: международный
опыт и перспективы в России / И. Стародубровская [и др.]; под ред. И.
Стародубровской. М.: Изд-во Института Гайдара, 2011.
Трудовой Кодекс Российской Федерации [Электронный ресурс]:
"ТРУДОВОЙ КОДЕКС РОССИЙСКОЙ ФЕДЕРАЦИИ" (ТК РФ) от 30.12.2001 N
197-ФЗ/ Режим доступа: http://www.consultant.ru.
Всероссийский информационный металлургический internet портал
[Электронный ресурс]: офиц. сайт - режим доступа: http://rusmetallurgiya.ru.
Северсталь - Тяжмаш [Электронный ресурс]: офиц. сайт - Режим
доступа: http://www.ssmtm.ru.
Группа компаний «Масла и смазки» [Электронный ресурс]:
электронный каталог. Режим доступа http://firma-mc.ru.
"Кибер - инструмент на все случаи жизни!"
[Электронный ресурс]: электронный каталог инструмента - режим доступа:
http://www.prof.ru.
Пульс цен [Электронный ресурс]: торговая интернет площадка.
Режим доступа: http://www.pulscen.ru.
Пульс цен [Электронный ресурс]: торговая интернет площадка.
Режим доступа: http://www.pulscen.ru.
ОАО ВОЛОГДАЭНЕРГОСБЫТ [Электронный ресурс]: офиц. Сайт. Режим
доступа: http://www.vscenergo.ru.
ОАО Аргентум [Электронный ресурс]: торговая интернет
площадка. Режим доступа: http://www.argtech.ru.
Арендатор.ру [Электронный ресурс]: аренда площадей. Режим
доступа: www.arendator.ru.
Управляющая компания «Жилстройсервис» [Электронный ресурс]:
офиц. Сайт. Режим доступа: http://uk-gilstroiservis.narod2.ru.
Рабсила, список вакансий [Электронный ресурс]: иформационно -
справочный сайт. Режим доступа: http://www.rabsila.ru.
Каталог станков[Электронный ресурс]: электронный каталог.
Режим доступа: http://www.stanki-i-pressa.ru.
ООО «Техномаш» [Электронный ресурс]: электронный торговая
площадка - Режим доступа: http://techno-mash.ru.
Официальный портал Вологодской области [Электронный ресурс]:
электронный торговая площадка - Режим доступа: http://vologda-oblast.ru.
Равта [Электронный ресурс]: интернет магазин / Интернет
гипермаркет «RAVTA»: RAV, 2011. Режим доступа: http://ravtashop.ru.
Региональная энергетическая комиссия Вологодской области
[Электронный ресурс]: электронный торговая площадка - Режим доступа:
http://vologdarec.ru.
OPTIMUM[Электронный ресурс]: торговая площадка / Торговая группа
«Оптимум». СПб.: Кодекс, 2011. Режим доступа: http://uss-stanko.com.
Безопасность жизнедеятельности: учебник/ М. В. Коста, С. В.
Белов и др./ под ред. С. В. Белов. М.: Выш. шк., 1999. 448 с.
Охрана труда в электроустановках: учебник / С.В. Белов, Б.А.
Князевский и др.; под ред. Б.А. Князевского. М.: Энергоатомиздат, 1983. 336 с.
ООО «Интехсервис» [Электронный ресурс]:
информационно-справочная система. Режим доступа: http://www.its77.ru.
Росриэлт [Электронный ресурс]: общероссийский сервер
недвижимости. Режим доступа: http://www.rosrealt.ru.
Андреев С.Е., Зверевич В.В., Перов В.А. Дробление,
измельчение и грохочение полезных ископаемых. Недра, Москва, 1980 г., 415 стр.,
УДК: 622.73/.74 (075.8).