Анализ механизмов воздействия лазерного излучения на элементы фотоприемных устройств

  • Вид работы:
    Дипломная (ВКР)
  • Предмет:
    Другое
  • Язык:
    Русский
    ,
    Формат файла:
    MS Word
    303,4 Кб
  • Опубликовано:
    2017-03-02
Вы можете узнать стоимость помощи в написании студенческой работы.
Помощь в написании работы, которую точно примут!

Анализ механизмов воздействия лазерного излучения на элементы фотоприемных устройств

Введение

Источник ослепляющего облучения - лазерное устройство, излучающее световой пучок в виде направленного потока в сторону предполагаемого наблюдателя. Облучение приемных устройств наблюдателя может производиться как в режиме сканирования лучом области размещения наблюдателя, так и в режиме предварительного прицеливания с последующим «световым выстрелом».

Предполагаемая дальность действия ослепляющего облучения и требования необходимости необратимого повреждения приемных устройств диктуют значения возможных параметров лазерного пучка:

- расходимость ≈ 10-4 рад; в этом случае при дальности 103 м лазерное пятно имеет диаметр 0,1 м, что близко к апертурам оптических устройств приемников и обеспечит эффективное использование энергии пучка;

облучение имеет импульсный характер, что вытекает из требования портативности и экономичности ослепляющего оружия; длительность импульса и его энергия должны обеспечивать поражение цели за время одного импульса, так как при периодическом импульсном облучении могут успеть сработать соответствующие защитные устройства у наблюдателя. В качестве предварительной оценки, базирующейся на общедоступной информации о технических проблемах создания портативных импульсных лазеров, можно обозначить диапазон длительностей импульсов - от единиц до сотни наносекунд;

длина волны излучения должна соответствовать длинам волн оптических приемников у наблюдателя, т.е. должна находиться в диапазонах видимого и ближнего ИК-спектров, которые используются в пассивных устройствах наблюдения и обнаружения. В настоящее время существуют мощные твердотельные импульсные лазеры на диапазоне длин волн вблизи λ ≈ 1 мкм, например, на алюмо-иттриевом гранате; такие лазеры обладают параметрами ослепляющих средств.

Лазерный излучатель с точки зрения наблюдателя, ведущего осмотр некоторой «сцены наблюдения», является элементом этой сцены и оптическими приборами наблюдателя излучение лазера фокусируется в точку на фоточувствительной площадке приемного устройства. Размер этой точки определяется качеством оптики, и тем меньше, чем меньше пятно рассеяния, обеспечиваемое оптикой, то есть, скорее всего, определяется дифракционной расходимостью на апертуре объектива наблюдательного оптического устройства.

Энергия лазерного импульса поглощается веществом фоточувствительного приемного устройства локально и нагревает освещенный участок до температуры его разрушения: участок может расплавиться или испариться. Зона разрушения вследствие теплопроводности вещества может увеличиваться; последствия разрушения могут распространиться на всю поверхность фотоприемника вследствие, например, возникших разрушений или замыканий электрических цепей приемника или нарушений элементов его схемотехники.

В различных типах фотоприемных устройств процессы инициированного лазерным импульсом разрушения могут протекать по-разному.

Рассмотрим воздействие ослепляющего лазерного облучения на три типа объектов:

- матричные фотоприемные устройства на основе кремния или других полупроводниковых веществ;

электронно-оптические преобразователи (ЭОП) и фотоэлектронные усилители(ФЭУ), фоточувствительный слой которых может быть тонкопленочным (например, многощелочные фотокатоды) или в виде тонкого слоя полупроводника (ЭОП третьего поколения);

оптические бинокли, перископы, используемые при визуальном наблюдении; при этом лазерное облучение приводит к повреждению глаз наблюдателя.

Во всех этих случаях поражающим фактором, как показано выше, является тепловое воздействие лазерного луча.

1. Анализ механизмов воздействия лазерного излучения на элементы фотоприемных устройств

.1 Воздействие лазерного наносекундного излучения на металлические слои и подложки

Металлические слои являются составными частями матричных полупроводниковых фотоприемных устройств и основным материалом фотоэмиссионных катодов ЭОП и ФЭУ.

Поглощение света металлами обусловлено взаимодействием квантов света со свободными электронами металла. Энергия поглощенного кванта распределяется между электронами при многократных соударениях электронов и передается кристаллической решетке. Среднее время между соударениями составляет примерно 10-11 с, поэтому можно считать, что световая энергия сразу же переходит во внутреннюю энергию металла. Процесс поглощения света характеризуется глубиной проникновения порядка 10-5¸10-6 см; это означает, что в металле теплота распространяется от поверхностного слоя указанной толщины вглубь тела путем теплопроводности. Если длительность светового импульса равна τ, то размер нагретой области подложки определяется длиной тепловой волны [1]:

, (1.1)

гдеkТ - коэффициент теплопроводности;

аТ - коэффициент температуропроводности, аТ = kT/ρc;

ρ - плотность вещества подложки;

с - удельная теплоемкость вещества подложки.

Длина тепловой волны ℓТ это физическая величина, определяющая расстояние, на которое переместится фронт температурного импульса в веществе за время действия лазерного импульса.

Аналитическое решение уравнения теплопроводности при импульсном лазерном нагревании подложки получено в работе [2] для случая симметричной во времени формы лазерного импульса и гауссового распределения интенсивности излучения по сечению лазерного пятна.

Изменение температуры ΔТ поверхности мишени за время t (t<τ) равно:

, (1.2)

гдеR - коэффициент отражения света поверхностью мишени;

P0 - плотность мощности падающего излучения на поверхности мишени;

r0 - радиус светового пятна;

r - радиальная координата точки в пятне;

η(t) - функция зависимости температуры от времени t, аппроксимируемая в указанной работе несколькими элементарными функциями, разными для различных соотношений t/τ.

Из (1.2) получают оценку максимального значения изменения температуры в центре пятна:

. (1.3)

Выражения (1.1), (1.2) и (1.3) справедливы при температурах меньше температуры плавления подложки и в пренебрежении изменениями R, kТ, ρи с при нагревании.

При указанных ограничениях максимальное значение температуры поверхности достигается при tmax=0,55τ. Спад температуры происходит медленнее нагревания. Так, для медной подложки при длительности лазерного импульса 30 нс температура спадает в сравнении с максимальной примерно в 5 раз за 200 нс.

В таблице 1.1 приведены значения теплофизических параметров типичных для данной технологии материалов, а также рассчитанные значения длины тепловой волны в различных материалах при использовании лазерного импульса длительностью 6 нс.

При облучении подложки, на поверхности которой имеется непрозрачное покрытие в виде металлической пленки толщиной L, поглощенная энергия лазерного луча распределяется между пленкой и подложкой следующим образом:

, (1.4)

гдеQ0 - плотность энергии лазерного излучения, поглощенной поверхностью пленки за время лазерного импульса;

Р - плотность мощности падающего излучения, усредненная по лазерному импульсу, имеющему колоколообразную форму;

R0- коэффициент отражения излучения поверхностью пленки, который принимается здесь не зависящим от температуры поверхности;

Q1 - плотность энергии поглощения излучения, приходящейся на вещество пленки и увеличивающей ее внутреннюю тепловую энергию;

Q2- плотность поглощенной энергии, приходящейся на подложку.

Если лазерный импульс имеет колоколообразную форму, то амплитудное значение плотности лазерной мощности Р0 = 2Р.

Увеличение внутренней энергии пленки и подложки зависит от теплофизических характеристик их материалов и от распределения в них температуры, индуцированной излучением.

В общем случае, при периодическом гармоническом изменении температуры поверхности с амплитудой ΔT0 и периодом τ0, все точки в глубине под поверхностью изменяют свою температуру по гармоническому закону с тем же периодом, но со сдвигом по фазе колебаний. Амплитуда ΔTxтемпературной волны затухает в направлении х распространения по экспоненциальному закону [3]:

Таблица 1.1. Теплофизические и оптические параметры материалов, используемых в данной работе, kТ, с и ρ - удельная теплопроводность, удельная теплоемкость и плотность при Т ≈ 1000 К. ℓТ - расчетная длина тепловой диффузии при длительности лазерного импульса τ = 6∙10-9 с, R(λ)- коэффициент отражения при λ = 0,337 мкм, tпли tкип - температуры плавления и кипения.

Вещество

сρR(λ)tплtкип








мкм°С°С








1

2

3

4

5

6

7

8

9

Плавленый кварц

0,0290

0,0090

0,0730

1,250

2,600

0,1



Стекло «пирекс» (боросили-катное)

0,0134

0,0049

0,0540

1,200

2,300

0,1



Окись алюминия (сапфир)

0,0800

0,0200

0,1100

1,220

3,970




Алюминий

2,3800

0,8800

0,7300

1,000

2,710

0,9(1 мкм)

559

2348

Хром

0,6500

0,1600

0,3100

0,580

7,160

0,7



Молибден

1,1200

0,3800

0,4800

0,290

10,200




Титан

0,2100

0,0600

0,1900

0,740

4,500

0,32



Рений

0,5000

0,1800

0,3300

0,130

21,000




Вольфрам

1,8000

0,7200

0,6600

0,130

19,350




Медь

4,0000

1,2100

0,8500

0,370

8,960

0,35



Золото

2,7800

0,9300

0,7500

0,150

19,300

0,26



Платина

0,7900

0,2400

0,3800

0,150

21,470

0,4



Никель

0,7200

0,1400

0,2900

0,560

8,960




Иридий

1,4


0,5

0,150

22,42

0,42



Кремний

0,3000 (1180 К)

0,748 (1000 К)

0,6700  (1000 К)

1,720 (1000 К) 0,7

2,330

≈ 0,3

1415

2617

Сурьма

0,17 (800 К)

0,1230


0,200

6,691


630,5

1629

Арсенид галлия n-типа

0,58 (300 К)

0,6850


0,158

5,350

0,3 (0,9 мкм)

1238



;, (1.5)

гдеαТ - коэффициент затухания.

При нагревании пластины одиночным лазерным импульсом приближенно можно считать его форму косинусоидальной, а длительность τ импульса - равной половине длительности его основания, тогда:

, (1.6)

и для коэффициента затухания запишем:

. (1.7)

Теплосодержание слоя толщиной dх пластины на расстоянии х от поверхности представим в виде:

 (1.8)

Интегрированием (1.8) получим тепловую энергию пластины толщиной ℓ:

. (1.9)

Уравнение (1.9) не учитывает отражение части энергии температурной волны от второй границы пластины.

Учитывая (1.9), можно найти значение теплот (энергий), поглощаемых подложкой и пленкой при лазерном излучении:

, (1.10)

, (1.11)

где ΔТ2 - температура границы раздела пленка-подложка;

L - толщина пленки;

Lsub - толщина подложки.

В выражениях (1.10) и (1.11) индексы «1» и «2» относятся к параметрам пленки и подложки, соответственно. Так как Lsub>> ℓT2 и учитывая, что

, (1.12)

. (1.13)

Подставим значения Q0, Q1, Q2 в уравнение (1.4), получим значение температуры поверхности структуры пленка/подложка:

, (1.14)

;;

Уравнение (1.14) позволяет вычислить температуру поверхности пленки при любой ее толщине L, причем, в отличие от соответствующих выражений, приведенных в [4]дает физически оправданное значение температуры в крайних точках диапазона изменения толщины пленки: при толщине, близкой к нулю, дает значение температуры, определяемое теплофизическими параметрами только подложки; при толщине пленки, большей длины тепловой волны в ней, значение температуры поверхности определяется параметрами только пленки.

На рисунке 1.1 показаны зависимости температуры пленок золота, платины и рения на подложках из стекла пирекс, кремния и меди, рассчитанные для величины плотности падающей лазерной мощности, равной P = 3∙107 Вт/см2, и длительности импульса τ = 6 нc. Коэффициент отражения Rизлучения пленкой считается не зависящим от температуры; во всем диапазоне толщин пленки не прозрачны; адгезия пленки к подложке «абсолютная».

Для определения формы температурного импульса на поверхности подложки необходимо решить уравнение теплопроводности:

, (1.15)

где ks - удельная теплопроводность материала подложки;

ρs - плотность материала подложки;

cs - удельная теплоемкость материала подложки;

z, t - переменные, глубина и время, соответственно;

q(z, t) - функция теплового источника.

В общем случае, в силу зависимости теплофизических и оптических параметров от температуры, уравнение (1.15) носит нелинейный характер. Во многих практических случаях такой нелинейностью можно пренебречь, допуская следующие упрощения:

-приближение полубесконечной мишени, когда длина тепловой волны много меньше толщины подложки;

приближение плоской тепловой волны, когда диаметр облучаемой зоны на поверхности подложки много больше длины тепловой волны.

Для указанных допущений, если известна временная форма лазерного импульса P(t), решением (1.15) будет следующее выражение

, (1.16)

которое при z = 0 сводится к

 (1.17)

Лазерный импульс имеет колоколообразную форму, которая может быть аппроксимирована симметричной функцией Гаусса:

, (1.18)

гдеP0- плотность мощности на оси лазерного пучка;

t0 - полуширина лазерного импульса на высоте P0/℮; 2t0 = τ = 6 нс;

t1 - момент времени, соответствующий максимальному значению функции P(t).

Подставляя выражение (1.18) в (1.17), найдем форму температурного импульса на поверхности подложки численным методом с помощью математического пакета MathCAD 2000. На рисунке 1.2 представлены соответствующие зависимости от времени лазерно-индуцированной температуры ΔT(0,t) на поверхности подложек из различных материалов для Ps = 5∙107 Вт/см2.

При мощности лазерного излучения, превышающей порог плавления металлов, происходит тепловое разрушение металла. В настоящее время общепринятой является точка зрения, что лазерное разрушение монолитных металлов носит тепловой характер [1, 5, 6, 7, 8]. У процесса разрушения выделяют несколько стадий, которые в некоторых случаях могут проходить одновременно. Этими стадиями являются: нагрев и плавление металла; выброс жидкой и газовой фаз; нагрев и ионизация выброшенного материала; нагрев и разлет образовавшейся плазмы. Степень разрушения зависит от интенсивности излучения и от длительности лазерного импульса.

Рис. 1.1. Зависимость от времени лазерно-индуцированной температуры ΔT(0,t) на поверхности подложек из различных материалов (Ps = 5∙107 Вт/см2, излучение поглощается поверхностью подложки)

Количественно сценарий разрушения металлов под действием мощного лазерного излучения может быть описан следующим образом [1]:

1. Интенсивность порядка 105÷106 Вт/см2. Тепло распространяется вглубь мишени посредством теплопроводности, поверхность мишени плавится. Может изменяться морфология поверхности, выброшенного материала мишени практически нет.

. Интенсивность порядка 106÷108 Вт/см2. Теплопроводность не успевает отводить вглубь мишени всю энергию, выделяющуюся в виде тепла в поверхностном слое, и часть ее расходуется на механический выброс материала. Наступает «режим развитого испарения».

. Интенсивность порядка 108÷109 Вт/см2. Энергия, расходуемая на нагрев, плавление и испарение металла, становится малой в сравнении с энергией, необходимой для ионизации.

Режим развитого испарения устанавливается при некотором пороговом значении интенсивности Pvapлазерного излучения, зависящем от материала мишени. Оценочное значение этой интенсивности для одномерного случая распространения тепла в подложке и длительностей импульсов τ ≤ 0,1 мкс получают [1] из предположения, что вся энергия лазерного импульса расходуется на испарение той части вещества мишени, которая заключена в приповерхностном слое с толщиной, равной длине тепловой волны:

; (1.19)

, (1.20)

Где Lvap - скрытая удельная теплота испарения.

Для более точных расчетов необходимо учитывать затраты энергии на нагревание поверхностного слоя до точки плавления и затраты энергии на доведение слоя до температуры кипения.

Отдельного рассмотрения заслуживает процесс разрушительного взаимодействия лазерного излучения большой мощности со структурами типа пленка/подложка. В общем случае теплофизические параметры материалов пленки и подложки различаются, а в системе металлическая пленка/диэлектрическая подложка - различаются существенно. В последнем случае при высоких мощностях лазерного излучения будет наблюдаться расплавление только пленки с последующим испарением металла из расплава. Возникающее при этом давление отдачи паров может оказаться достаточным, чтобы привести в движение расплав и вытеснить его за пределы зоны облучения.

Для пленок серебра толщиной 200 нм на кварцевой подложке при плотности падающего светового потока 108 Вт/см2, размере облучаемой области 10÷20 мкм, коэффициенте ослабления излучения в металле α = 3∙105 см-1, коэффициенте отражения R = 0,5 был проведен численный расчет, который дал следующие результаты [5]. К исходу первой наносекунды вся пленка оказывается в расплавленном состоянии, но вытекание расплава не происходит до тех пор, пока с ростом температуры давление pstотдачи паров не станет превышать начальное поверхностное натяжение в пленке pσ = 107Па. Этот момент наступает на седьмой наносекунде, при этом начинается вытеснение расплава, толщина пленки убывает. Условием данного расчета являлась высокая степень адгезии пленки к подложке.

Заметное испарение материала, приводящее в рассматриваемой двухфазной модели к началу разрушения пленки, начинается с момента нагревания его поверхности до температуры кипения ТВпри таком давлении окружающей среды, когда парциальное давление пара становится равным внешнему и начинается интенсивный отвод паров [5].

Оценочное значение плотности PD светового потока, соответствующего началу разрушения пленок короткими импульсами (τ << 10-7 с) можно найти из уравнения:

. (1.21)

Где ТВ- температура кипения вещества пленки.

Если адгезия пленки к подложке хорошая, то необходимо учитывать затраты энергии на нагревание поверхностного слоя подложки толщиной до температуры ТВ[6]:

. (1.22)

При дальнейшем увеличении плотности лазерной мощности и превышении температуры кипения вещества над облучаемой зоной возникает приповерхностная лазерная плазма.

Проведено сравнение результатов расчетов условий возникновения лазерного приповерхностного пробоя у алюминиевой мишени при использовании излучения с λ = 10,6 мкм и λ = 0,35 мкм [7]. В случае с λ = 0,35 мкм становятся важными процессы фотоионизации возбужденных атомов квантами с энергией около 3,5 эВ (XeF-лазер), а также рост коэффициента поглощения металла при уменьшении длины волны. Показано, что с уменьшением длительности импульса облучения пороговая интенсивность излучения при пробое алюминиевого пара возрастает - с 1∙108 до 7∙108 Вт/см2 при уменьшении длительности со 100 до 10 нс. Время t* от начала облучения поверхности до начала вспышки определяется только поверхностной плотностью вложенной энергии Е* в соответствии с уравнением:

. (1.23)

Если интенсивность I падающего излучения не изменяется со временем, то для длительностей импульсов 0,1÷100 мкс и длин волн λ ≥ 1 мкм справедливо выражение:

. (1.24)

Экспериментальные данные для различных материалов, полученные в [1, 7, 8], свидетельствуют, что порог плазмообразования у их поверхности ниже, чем порог пробоя свободного газа. Наличие поверхности обеспечивает появление заметной концентрации «затравочных» электронов; механизмов их создания может быть много: испарение, термо- и фотоэмиссия, локальное усиление электромагнитного поля за счет генерации поверхностных электромагнитных волн или особенностей микрорельефа поверхности.

Считается, что для возникновения приповерхностного лазерного пробоя необходимым условием является лазерное нагревание поверхности до температуры кипения. Например, для полубесконечного металлического образца такие условия при длительности лазерного импульса τ ≈ 10-7 с можно создать лишь при интенсивности падающего излучения не менее 108÷109 Вт/см2 (если коэффициент поглощения не превышает 10÷15 %) [7]. Однако экспериментально установлено, что для пробоя часто достаточно интенсивности (2÷3)∙107 Вт/см2. Предполагаемая причина несогласия с теорией объясняется испарением не самого полубесконечного тела подложки, а отдельных теплоизолированных дефектов, частиц и прочих подобных элементов на поверхности подложки.

1.2 Действие наносекундных лазерных импульсов на поверхность полупроводниковых мишеней

Поглощение излучения в полупроводниках определяется двумя эффектами: межзонным поглощением и поглощением на свободных носителях. Величина поглощения в них может изменяться от близкой к металлам до много меньшего значения.

Слабо легированный кремний при 300 К имеет коэффициент поглощения около 30 см-1 на длине волны излучения неодимового лазера (λ = 1,06 мкм); это означает, что свет проникает в такой полупроводник глубже и поглощается в гораздо большем объеме вещества. Механизм поглощения - образование электронно-дырочных пар, которые безызлучательно рекомбинируют, передавая энергию кристаллической решетке и нагревая вещество.

При плотности энергии 5-10 Дж/см2 в веществе появляются трещины, ямки термического травления; при увеличении энергии в импульсе возникают глубокие кратеры.

Причиной появления трещин является тепловой удар. Этот эффект наблюдается при воздействии на полупроводники Si, GaAs, CdSe излучением с длительностью импульсов 20...30 нс и падающей плотностью мощности 20...30 МВт/см2.

Проведен анализ возникновения теплового удара при поглощении, обусловленном свободными носителями в зоне проводимости полупроводника (при частоте излучения ω = Eg/h, где Eg - ширина запрещенной зоны). Концентрация носителей ne и коэффициент поглощения χе кристалла зависят при этом экспоненциально от температуры:

, (1.25)

. (1.26)

Указанная температурная зависимость приводит к наличию критической интенсивности света, когда тепловыделение превышает теплоотвод и температура кристалла неограниченно возрастает при постоянной интенсивности облучения.

При интенсивности светового потока 109 Вт/см2, длительности импульса 40 нс и диаметре зоны воздействия 30 мкм, глубина испарённой зоны в кремнии составляет 3÷4 мкм.

Воздействие мощных наносекундных импульсов на полупроводники приводит как к процессам, идущим вне полупроводника (образование газа и плазмы, нагревание плазмы излучением, ионизацию газа), так и к процессам внутри - движение границы разрушения в глубину, увеличение температуры вблизи зоны воздействия лазерного луча, распространение в твердом теле волн сжатия и разряжения.

Обнаружено плавление поверхностного слоя полупроводника.

Установлено, что при плотности излучения (2÷8)∙108 Вт/см электросопротивление Si и Ge независимо от типа проводимости сильно падает, что связывается с образованием и прохождением ударной волны. Для p-Geнаблюдалось уменьшение электросопротивления на несколько порядков.

При облучении n-Siизлучением рубинового лазера (λ = 0,694 мкм, τи = 50 нс) с плотностью мощности 1,2∙109 Вт/см2 в кристаллах возникали дефекты, что приводило к появлению в запрещенной зоне новых уровней с энергиями 0,4 эВ и 0,45 эВ. Возникновение дефектов также связывают с прохождением ударных волн в образцах.

1.3 Действие лазерного излучения на органы зрения


Падающее излучение фокусируется в малое пятно на сетчатке, что увеличивает интенсивность облучения и вызывает поражение сетчатки глаза. На рисунке 1.2 показаны спектральные характеристики человеческого глаза. Там же приведено произведение коэффициента пропускания глаза на поглощающую способность сетчатки, т.е. доля падающего на глаз света, фактически поглощаемая сетчаткой.

По этой же кривой можно судить о поражаемости сетчатки в зависимости от длины волны света. Излучение лазеров, работающих на длине волны меньше 3000 Ǻ и больше 1,6 мкм, поглощается в глазной среде и не достигает сетчатки.

Рис. 1.2. Спектральные характеристики человеческого глаза. 1 - пропускание глазной среды; 2 - произведение пропускания на поглощение (в процентах) в пигментном эпителии сетчатки. Стрелками отмечены длины волн генерации некоторых распространенных лазеров

Типичные поражения сетчатки под действием лазерного луча, исследованные на кроликах, состоят из коагулированных участков сетчатки, в центре которых имеется небольшое кровоизлияние; со временем это повреждение превращается в белый рубец.

При увеличении энергии импульса разрушение становится более значительным: выраженное кровоизлияние, пузырьки газа, складки в структуре. При использовании излучения рубинового лазера порог разрушения сетчатки при длительности импульса 1∙10-8 с составляет ≈ 5∙106 Вт/см2; при 30 нс энергетический порог составляет 6,07 Дж/см2. Для неодимового лазера порог в 5-6 раз выше приведенных значений.

Пороговое разрушение сетчатки имеет тепловую природу и связано с увеличением температуры биологической ткани на 10 °С (при длительностях облучения несколько секунд). Установлено, что уменьшение длительности лазерного импульса до десятков нс уменьшает величину энергии разрушения. Предполагаемое объяснение этому неожиданному эффекту: энергия при малых длительностях выделяется неоднородно, поглощается на гранулах размером доли мкм и нагревает их выше 120 °С, тогда как при большой длительности энергия не локализуется, выделяется однородно, тепло успевает распространяться за счет теплопроводности. На рисунке 1.3 показана зависимость интенсивности на сетчатке глаза при прямом облучении рубиновым лазером от расстояния до лазера.

Рис. 1.3. Зависимость интенсивности лазерного излучения рубинового лазера на сетчатке глаза от расстояния до лазера. V - предел видимости в атмосфере. Кривая 1 - tи = 30 нс, Р = 107 Вт; кривая 2 - tи = 1 нс, Р = 104 Вт.

Интенсивность излучения на сетчатке можно вычислить по выражению:

, (1.27)

Где Р - мощность, излучаемая лазером,

Тпр - коэффициент пропускания глаза,

f - фокусное расстояние объектива,

θ - расходимость луча лазера,

λ - длина волны,

R - расстояние до лазера,

D - диаметр зрачка глаза,

μ- коэффициент поглощения излучения в атмосфере.

1.4 Анализ факторов поражающего действия лазерного излучения


Как показано выше, при лазерном облучении по мере поглощения энергии лазерного импульса состояние поверхности проходит несколько стадий:

а) вещество нагревается до температуры плавления. Для алюминия при «холодном» коэффициенте поглощения ~10 % с учетом температурного увеличения поглощения плотность падающей энергии ES ≈ 2 Дж/см2 (длительность лазерного импульса τP = 1 нc); ES ≈ 20 Дж/см2 при τP = 100 нc. В твердом теле возникают механические напряжения, упругие волны, возможно ускорение протекания химических реакций. В случае облучения полупроводников следует учитывать возникающие электронные процессы, в результате которых могут оставаться и долгоживущие последствия типа появления дополнительных уровней энергии в запрещенной зоне, изменения плотности поверхностных состояний, что приведет к ухудшениям в функционировании прибора. Короткое время воздействия лазерного импульса, вероятнее всего, не способствует развитию негативных процессов до катастрофического уровня;

б) при большей плотности мощности облучаемый металл нагревается до температуры интенсивного «развитого» испарения. Эта температура выше температуры плавления и близка к температуре кипения. В соответствии с [1] пороговые энергии облучения начала испарения для алюминия при «холодном» поглощении ~10% составляет ES ≈ 3,85 Дж/см2P = 1 нc) и ES ≈ 38,4 Дж/см2 при τP = 100 нc. Зона нагретого состояния в веществе увеличивается, начинается вынос материала с поверхности в виде пара и жидкой фазы, начинается образование лунки в области лазерного пятна.

Если при достижении рассматриваемой стадии лазерный импульс прекращается, остаточные явления в веществе, чаще всего, приводят к катастрофическим последствиям для функционирования облучаемых элементов электронных устройств. Фотоэмиттирующие поверхности в приборах типа ФЭУ и ЭОП в точках облучения могут потерять фоточувствительность, но сохранят свою работоспособность в целом. Полупроводниковые структуры типа р-nпереходов, МДП-слоев, зон с границами различных по проводимости областей необратимо потеряют свои электронные характеристики. Эти нарушения будут иметь место в объеме вещества, поглотившем энергию лазерного луча. Если коэффициент поглощения света веществом велик, например, в случае сильнолегированных полупроводников или при межзонном поглощении, повреждения будут носить поверхностный характер. Так будут развиваться повреждения в фоточувствительных полупроводниковых структурах.

Матричные полупроводниковые фотоприемные устройства содержат на подвергаемой воздействию света поверхности различные элементы схемотехники: фотоприемные ячейки, в которых, кроме фоточувствительной области, могут иметься электронные ключи, соединительные проводники, конденсаторы; соединительные металлические проводники между ячейками, формирующие матрицу из ячеек и необходимые для подачи напряжения питания и съема сигнала.

В зависимости от места попадания лазерного луча разрушения могут привести к отказу функционирования одной локальной ячейки или нескольких близко расположенных, или к повреждению всей строки матрицы, в которой может быть несколько тысяч ячеек, или к повреждению и отказу функционирования всей матрицы;

в) при еще большем уровне интенсивности облучения (107÷108 Вт/см2) вещество нагревается до температуры, называемой критической, при которой на поверхности металла индуцируется переход металл-диэлектрик, электропроводность металла уменьшается на несколько порядков, жидкий металл становится жидким диэлектриком. В таком виде вещество прозрачно для излучения, значительная доля энергия не поглощается в жидком слое и достигает фронта «волны просветления» и в нем поглощается, обеспечивая его продвижение внутрь тела. Плотность потока пара с поверхности тела при этом с ростом интенсивности излучения не увеличивается, увеличивается глубина термического воздействия.

Для рассматриваемого режима характерно значительное увеличение выброса массы Δm материала и импульса отдачи I, действующего на поверхность. Удельные значения этих величин, т.е. их отношение к энергии E0лазерного импульса, определяется выражением:

, (1.28)

, (1.29)

Где ψ - оптическая толщина паров, ее численное значение близко к единице.

Максимальное значение этих величин, наблюдаемое при увеличении температуры вещества до критической Тm-d (температуры перехода металл-диэлектрик), определяется выражениями:

, (1.30)

, (1.31)

Где Im-d - интенсивность облучения, обеспечивающая практическую температуру;

S - площадь пятна облучения;

τP - длительность лазерного импульса;

 - давление паров у поверхности.

Дальнейшее увеличение интенсивности лазерного импульса до значений более 109 Вт/см2 приводит к режиму образования приповерхностной плазмы в парах облучаемого вещества;

г) оценка уровней лазерного облучения некоторых видов устройств наблюдения, приводящего к их повреждениям.

В фотокатодах, работающих на просвет, фотоактивный материал нанесен в виде полупрозрачного слоя на стеклянную прозрачную подложку. В состав катода входят сурьма и щелочные металлы: натрий, калий и цезий. Фотокатод является полупроводником с кубической решеткой и проводимостью р-типа. Цезий присутствует в виде моноатомной поверхностной пленки, и стехиометрическая структура в объеме соответствует формуле Na2KSb, хотя точное понимание состава катода отсутствует.

Ширина запрещенной зоны лежит в пределах ЕД = 1,3÷1,4 эВ. Толщина современных многощелочных катодов d = 1000÷1350 Ǻ. Спектральные характеристики такого катода при толщине 1350 Ǻ показаны на рисунке 1.4.

Рис. 1.4. Спектральные оптические характеристики пленки многощелочного фотокатода на стекле, (сплошные кривые - эксперимент, пунктирные - расчет).

Из этого рисунка следует, что при λ ≈ 1,06 мкм пропускание T = 0,54, отражение R = 0,4 мкм, и можно найти поглощение слоя:

. (1.32)

При попадании на фотокатод лазерного импульса он поглощает излучение всей своей толщиной и нагревается. При наносекундных импульсах можно в первом приближении пренебречь теплоотводом в стеклянную подложку. При расчете температуры фотокатода используем выражение, не учитывающее изменение коэффициента отражения с увеличением температуры, т.к., начальное («холодное») значение отражения имеет большую величину и изменение его относительного значения не может быть большим:

. (1.33)

Задаваясь значениями kТ, ρ, с и Тпл для сурьмы, приведенными в табл. 1.1, и предполагая, что пороговая температура пленки, при достижении которой фотокатод деградирует, равна температуре плавления катода, (т.е. ΔТ = Тпл - 290 = 340), при толщине d = 1350 Ǻ, и длительности импульса τ = 1 нс получим Р0 = 1,05∙108 Вт/см2; при τ = 10 нс получим Р0 = 1,05∙107 Вт/см2.

Энергии Е в импульсе равны при обеих длительностях равны 0,1 Дж/см2.

Здесь мощность и энергия - параметры падающего на пленку фотокатода лазерного излучения.

Фотоэмиссионные приборы с катодом с отрицательным электронным сродством

В фотокатодах, работающих на просвет, слой монокристаллического полупроводника, например, арсенида галлия GaAs, имеет толщину 1÷1,5 мкм и расположен на стеклянной подложке. Слой легирован примерно до концентраций примеси 10-19 см-3, например, цинком. На поверхности слоя формируют близкий к мономолекулярному слой CsO или другого соединения.

На рисунке 1.5 показаны спектральные зависимости показателя поглощения арсенида галлия при различных концентрациях примеси, на рисунке 1.7 - зависимости для пленки InxGa1-xAs.

Из рисунка 1.5 следует, что показатель поглощения арсенида галлия при концентрации р-примеси 2,6∙1019 см-3 и энергии фотонов hν ≈ 1,3 эВ (λ ≈ 0,96 мкм) равен α ≈ 300 см-1. Отсюда найдем поглощение А слоя толщиной d = 10-4 см. Коэффициент отражения R = 0,3:

. (1.34)

Получим А = 0,02.

Рис. 1.5. Спектральные зависимости показателя поглощения арсенида галлия при различных концентрациях (см-3) примеси. 1 - 1,5∙1017; 2 - 1,1∙1019; 3 - 2,6÷1019; 4 - 6∙1019; 5 - 1∙1020.

В случае пленки InxGa1-xAs (рисунок 1.6,а) при x = 0,22 показатель поглощения равен α = 7∙103 см-1 при длине волны λ = 1,05 мкм, и поглощение слоя толщиной 1 мкм равно А ≈ 0,35.

Считая пороговой для повреждения фотокатода ту интенсивность лазерного облучения, которая поднимает его температуру до температуры плавления, рассчитаем интенсивность, пользуясь значениями параметров арсенида галлия табл. 1.1 по формуле (1.33). При длительности импульса 1 нc и 10 нc получим, соответственно Р = 5,15∙109 Вт/см2 и 5,15∙108 Вт/см2.

Рис. 1.6. Спектральные зависимости показателя поглощения пленки InxGa1-xAs.

а) пленка на арсениде галлия, легирование цинком, 10-19 см-3. Цифры при кривых - величина х; б) пленка на фосфиде галлия, легирование цинком, 10-19 см-3.

Для пленки InxGa1-xAs при малых х можно предположить близость ее свойств к свойствам пленки арсенида галлия, приведенным в табл. 1.1 Получим оценочные значения пороговой интенсивности облучения: при τ = 1 нc и 10 нc, соответственно, Р = 2,94∙108 Вт/см2 и 2,94∙107 Вт/см2.

Фотоэлектронные полупроводниковые приборы на основе кремния

На освещаемой поверхности линейки или матричного прибора - формирователя сигналов изображения располагается на кремниевом кристалле многослойная структура из слоев окисла или нитрида кремния (изоляторы), металлические проводящие слои дорожек межсоединений, образующих конфигурацией своих элементов топологическую схему фотоприемной поверхности.

Основное развитие в области фотоприемников изображения видимого и ближнего ИК-диапазонов спектра (λ < 1,1) получили фоточувствительные ПЗС-приборы (ФПЗС) и КМОП приборы.

Схема конструкции ФПЗС прибора показана на рисунке 1.7, схема КМОП прибора - на рисунке 1.8.

Рис. 1.7. Схема конструкции ФПЗС

Структура ФПЗС сформирована на кремниевом кристалле, фоточувствительные элементы являются МОП-конденсаторами. Если излучение попадает в прибор при использовании фронтального освещения, свет проходит через обкладку МОП-конденсатора, которая должна быть прозрачной, в качестве материала обкладки используют сверхтонкие слои сильнолегированного кремния или из прозрачных проводящих окислов, например, на основе окиси индий-олово.

В обращенной геометрии излучение проходит в зону МОП-конденсатора через полупроводник (рисунок 1.8).

В КМОП структурах тонкий слой монокристаллического кремния расположен на диэлектрическом монокристалле, например, сапфире. Чувствительными элементами также являются МОП-конденсаторы или р - i - nпереходы.

При попадании на структуру мощного импульса неодимового лазера излучение поглощается, в основном, в материале металлических дорожек и в полупроводниковых слоях. Поглощением в изолирующих слоях и сапфировой подложке можно пренебречь. Поглощенное излучение преобразуется в тепло.

Рис. 1.8. Различные варианты конструкции фоточувствительных элементов, выполненных по КМОП-технологии.

Наибольшую концентрацию тепловыделения можно ожидать в металлических дорожках и сильно-легированных областях полупроводника.

Сильное легирование проводников сужает ширину запрещенной зоны, что приводит к изменению спектров поглощения. На рисунке 1.10 показаны спектры поглощения кремния, сильно легированного мышьяком, и на рисунке 1.11 - кремния, сильно легированного бором.

Показатель поглощения кремния на длине волны неодимового лазера λ = 1,06 мкм равен a ≈ 20 см-1, а на удвоенной частоте (λ ≈ 0,5 мкм) - a ≈ 1∙104 см-1.

Из рисунка 1.9 получим для кремния, легированного мышьяком до концентрации n = 6∙1018 см-3, a ≈ 300 см-1; из рисунка 1.10 следует, что для кремния, легированного бором до концентрации 6∙1019 см-1 на длине волны λ ≈ 1,06 мкм a ≈ 500 см-1.

Рис. 1.9. Спектр поглощения кремния, легированного мышьяком.

Рис. 1.10. Энергетический спектр поглощения в кремнии сильно легированном бором.

Проведем оценочный расчет поглощения А падающего излучения полупроводниковыми слоями фотоприемников изображения по формуле (1.34). Типичные толщины слоев имеют порядок 10-4 см.

Для нелегированного кремния на длине волны неодимового лазера А = 1,4∙10-3; на удвоенной частоте А ≈ 0,1.

Для легированного бором слоя кремния на той же длине волны А = 0,034.

Для полупроводниковых слоев будем считать пороговой мощностью облучения, приводящей к повреждениям структур, такую, которая доводит слой до температуры плавления за время импульса. Расчеты проведем по формуле (1.33), не учитывающей теплопередачи облучаемого слоя соседним элементам. Получим следующий результат:

Для случая 1:Р = 4∙1011 Вт/см2 при τ = 1 нс и Р = 4∙1010 Вт/см2 при τ = 10 нс. В случае удвоенной частоты Р = 5,44∙109 Вт/см2 и Р = 5,4∙108 Вт/см2 соответственно.

Для случая 2:Р = 2,8∙1010 Вт/см2 при τ = 1 нс и Р = 2,8∙109 Вт/см2 при τ =10 нс и легировании мышьяком.

Для случая 3:Р = 1,6∙1010 Вт/см2 при τ = 1 нс и Р = 1,6∙109 Вт/см2 при τ = 10 нс и легировании бором.

Алюминий прогревается с поверхности, в отличие от кремния, и необходимо учитывать, что глубина прогревания меньше толщины слоя проводника, определяется длиной тепловой волны в нем. Для оценки пороговой мощности используем выражение (1.33), в котором под ΔТmax необходимо понимать разницу между температурой кипения и комнатной температурой. Получим:

. (1.35)

Подставив данные табл. 1.1, найдем:

Р0 ≈ 2,2∙109 Вт/см2 при τ = 1 нс,

Р0 ≈ 7,03∙108 Вт/см2 при τ = 10 нс.

Сравнение результатов поражающей мощности лазерного облучения на длине волны неодимового лазера полупроводниковых слоев и алюминиевых проводников показывает, что проводники разрушаются при мощности облучения на 1-2 порядка величины меньшей, чем полупроводниковые слои; на удвоенной частоте излучения неодимового лазера (λ ≈ 0,5 мкм) полупроводниковый фоточувствительный слой имеет примерно такую же, как алюминий, лучевую стойкость.

В табл. 1.2 помещены сводные результаты расчетов лучевой стойкости (пороговых мощности и энергии импульса) при импульсном лазерном облучении структур, а также литературные данные по порогам повреждения глаз.

Таблица 1.2. Оценка пороговой мощности Р0и пороговой энергии Е0 поражения фоточувствительных структур и их элементов при импульсном лазерном облучении

Фоточувствительная структура, длина волны облучения

1 нс

10 нс


Р0, Вт/см2

Е0, Дж/см2

Р0, Вт/см2

Е0, Дж/см2

 

Многощелочные фотокатоды λ = 1,06 мкм

108

0,1

107

0,1

 

Фотокатоды с отрицательным сродством на GaAs, λ = 0,96 мкм

5,15∙109

5,15

5,15∙108

5,15

 

Фотокатоды с отрицательным сродством на InxGa1-хAs, λ = 1,05 мкм

2,9∙108

0,29

2,9∙107

0,29

 

Кремниевые фотоэлектронные приборы, λ = 1,06 мкм: - алюминиевые проводники - фоточувствительный слой - сильнолегированные области

2,2∙109 4∙1011 (1,6-2,8)∙1010

2,2 400 16-28

7∙108 4∙108  (1,6-2,8)∙109

7400 16-28

 

Кремниевые фотоэлектронные приборы, λ = 0,5 мкм: - алюминиевые проводники - фоточувствительный слой

2,2∙109  5,4∙109

2,2 5,4

7∙108 5,4∙108

75,4

 

Глаз: λ = 0,67 мкм (τ = 30 нс)  λ = 1,06 мкм (τ = 30 нс)

5∙106  3∙107

6 30



 


Наименьшей стойкостью, как показывает наша оценка, обладает человеческий глаз.

При расчетах порогов с целью упрощения не учитывался теплоотвод от нагреваемых излучением слоев к соседним. Наибольшая погрешность возникает при этом при длительности импульса 10 нс, результаты таблицы можно в этой части считать заниженными на 10-50 %.

Следует отметить, что для полупроводниковых структур длина волны неодимового лазера приходится на край спектральной области чувствительности приборов с этими структурами, или лежит вне этой области. Удвоение частоты излучения (путем использования в неодимовом лазере удвоения частоты за счет применения нелинейного элемента), которое сейчас может производиться с высоким к.п.д., приведет к ухудшению лучевой стойкости приборов на ~ 2 порядка величины.

Проведенные расчеты позволяют оценить требуемые от светоклапанных противоослепляющих средств пороги их срабатывания.

1.5 Исследования характера радиационного и теплового воздействия лазерного ослепляющего облучения на элементы приемных устройств


Для анализа поражающих факторов воздействия лазерного ослепляющего облучения на элементы приемных устройств были проведены экспериментальные исследования на реальных образцах фотоприемников, в качестве моделей были использованы web-камеры (содержащие ПЗС-матрицы). Web-камеры имели разрешение 640x480 при размере матрицы 3x3 мм. Камера закреплялась на двухкоординатном столике, вертикально установленном, в свою очередь, на рейтере оптической скамьи.

Для проведения испытаний был разработан и изготовлен макетный стенд. На оптической скамье последовательно установлены:

-твердотельный лазер ЛТИ-501, работающий в импульсном режиме, средняя мощность регулируется в диапазоне от 25 до 80 Вт, частота следования импульсов - 10 кГц, длина волны 1,06 мкм, длительность импульса 20-50 нс;

лазерный измеритель мощности в канале заднего зеркала, интенсивность лазерного излучения в котором в 500 раз меньше, чем в прямом канале;

набор фильтров для понижения мощности излучения (с коэффициентами пропускания 0,13 и 0,21);

механическая заслонка, перекрывающая прохождение излучения от лазерак камере;

web-камера, подключенная с помощью USB-интерфейса к персональному компьютеру.

Изображение с web-камеры в реальном масштабе времени передавалось по USB-кабелю в персональный компьютер (в цифровом виде) и записывалась на жесткий диск в виде файлов формата MPEG-2.

Для проведения исследований были выбраны два критерия:

-временная стойкость матрицы в зависимости от мощности излучения;

пороговая мощность излучения, при которой происходит частичное или полное разрушение матрицы в течение короткого периода времени, имитирующего предполагаемые полевые условия (1-2 сек).

Применение двух фильтров для ослабления излучения.

Перед камерой устанавливалось два фильтра, понижающих среднюю мощность лазерного излучения до 0,7 Вт. В первый момент времени (немедленно после открытия механической заслонки) наблюдается засветка всей матрицы, длящаяся примерно 1 с. Современные web-камеры снабжены системой автоматической регулировки чувствительности. После блокирования излучения камера восстановилась на прежний режим работы. При постепенном увеличении мощности до 2,2 Вт, диаметр светящейся точки увеличивается примерно на 5-10 %. В результате эксперимента характеристики камеры не претерпевали изменений и после прекращения облучения камера возвращалась к штатному режиму работы. Необходимо, однако, отметить, что чем выше мощность падающего излучения - тем больший промежуток времени необходим для срабатывания системы автоматической регулировки уровня сигнала и снижения чувствительности камеры.

В процессе облучения оптический фильтр, на который падало лазерное излучение, в результате поглощения энергии высокой плотности получил механические повреждения в виде трещины. Можно заключить, что пороговая мощность, вызывающая повреждение ПЗС-матрицы, достигнута не была и, следовательно, превышает 2,2 Вт.

Применение одного фильтра для ослабления излучения.

Перед камерой был установлен фильтр, понижающий мощность лазерного излучения до 5,25-16,8 Вт. Полученный результат аналогичен предыдущему, однако время релаксации камеры имеет большее значение. Кроме того, при указанных мощностях уже становится заметным поглощение лазерного излучения объективом web-камеры и, как следствие, сильный их нагрев. В таком режиме камера может функционировать относительно большой промежуток времени - более 1 мин.

Ослабления излучения не применяется.

Применение излучения со средней мощностью 25 Вт качественных изменений картины воздействия на web-камеру не вызвало, кроме увеличения размеров светящегося пятна после релаксации чувствительности.

Мощность 50 Вт: Наблюдается сплошная засветка экрана, сопровождаемая цветными горизонтальными полосами, через 10 секунд на изображении формируется светлое пятно большого диаметра.

Мощность 80 Вт: Наблюдается сплошная засветка экрана, сопровождаемая большим количеством широких и толстых цветных горизонтальных полос. По истечении 1 с, в результате разогрева пластиковой оправы объектива и ее оплавления, штатный объектив web-камеры выходит из строя.

Разборка web-камеры для выяснения причины выхода из строя показала, что микросхема ПЗС-матрицы имеет защитное стекло. Согласно доступной литературе, это стекло выполняет также роль ИК-фильтра. Попытка применения внешнего объектива для фокусировки лазерного излучения привела к разогреву корпуса микросхемы и помутнению защитного стекла изнутри.

Дальнейшие исследования предполагалось продолжить после удаления защитного стекла, однако конструкция и технология сборки микросхемы ПЗС-матрицы не позволяют это сделать без того, чтобы не повредить внутреннюю разводку.

На последующих этапах НИР предполагается продолжить экспериментальные исследования на моделях по определению пороговых плотностей мощностей лазерного излучения, проводящих различные ФПУ к выходу из строя, с использованием излучений с другими длинами волн.

2. Разработка концепции построения и математической модели функционирования микромеханического затвора с наносекундным быстродействием

.1 Основные требования к защитным быстродействующим затворам

Существующие оптико-электронные системы обнаружения, наведения, слежения и опознавания, равно как и разрабатываемые вновь, малоэффективны в условиях применения организованных оптических помех, что ограничивает возможности средств, использующих эти системы. Проблема предотвращения ослепления не может эффективно решаться путем применения узкополосных отражающих светофильтров или использованием устройств, основанных на резонансном возбуждении атомов поглотителя (переводом на более высокие энергетические уровни), так как при этом требуется совпадение длины волны излучения средства подавления (которая, как правило, неизвестна) и рабочей длины волны средства защиты. Также малоэффективны и другие существующие устройства со светоклапанным эффектом.

Ячейка Керра (электрооптический затвор) основана на использовании наведенного двулучепреломления и может обеспечить быстродействие до 0,1 нс, но требует знания направления поляризации падающего светового излучения и применения электронных схем, срабатывающих от фотодатчика.

Пленочные электрооптические затворы с фотопроводящим слоем, интегрированным в структуру затвора, обладают недостаточным быстродействием (10-7 с) в связи с инерционностью фотопроводников, а также, как и в случае с ячейкой Керра, модулируемый свет должен быть поляризован.

Жидкокристаллические управляемые лазерным пучком пространственные модуляторы обладают малым быстродействием (10-5 с). Использование фазовых переходов вещества при нагревании, сопровождающихся изменением оптических свойств неэффективно в силу того, что оптические свойства изменяются в ограниченном спектральном диапазоне, амплитудная модуляция света недостаточна для затвора и т.п.

Предлагается микромеханическое светоклапанное устройство с наносекундным временем срабатывания, принципиальной особенностью которого является приведение устройства в действие за счет использования энергии самого «ослепляющего» луча.

Падающее на световой клапан излучение поглощается и нагревает элементы клапана, преобразуется в тепло. Поглощение не может иметь резонансного характера, должно происходить во всем спектральном диапазоне возможных оптических помех. Необходимо, чтобы увеличение температуры элементов клапана за время порядка десятой доли длительности импульса ослепления (т.е. ≈ 1∙10-9 с) приводило к изменению отражения или пропускания клапана и модуляции прошедшей части излучения с эффективностью 90÷100 %.

Во избежание потери возможности выполнения своих функций наблюдательным прибором, защиту которого обеспечивает затвор, оптическое пропускание (отражение) затвора релаксирует к прежним значениям за время не более десятков-сотен мкс.

Перечисленные условия работы затвора могут быть обеспечены с использованием термоиндуцированных эффектов различной природы, среди которых следует выделить термоиндуцированные кинетические явления с деформацией оптических поверхностей; термоиндуцированные фазовые переходы 1 рода, сопровождающиеся пространственным переносом вещества (испарение и конденсация); термоиндуцированные нелинейные оптические эффекты.

2.2 Возможность создания светоклапанного устройства защиты

В нашей стране в течение нескольких лет ведутся исследования по разработке

микромеханических светоклапанных устройств с наносекундным временем срабатывания. Эти устройства приводятся в действие за счет использования энергии излучения. Поглощение поверхностью светоклапанного устройства энергии падающего излучения приводит к возникновению множества деформационных микровыступов на отражающей зеркальной поверхности микромеханической структуры и рассеянию отраженной от этой поверхности излучения.

Время возникновения микровыступов должно составлять 0.1…0.2 от длительности ослепляющего импульса излучения, при этом его доля энергии, рассеянной в широком телесном угле, составит 80-90% и будет отсечена апертурной диафрагмой, установленной по ходу луча в оптическом канале средства наблюдения.

Рис. 2.1 Схема образования микровыступов в результате протекания термомеханических процессов в многослойных пленочных структурах на подложке.

Эффект возникновения микровыступов имеет тепловой характер: поглощенное излучение нагревает газовую среду внутри микрокамер, расположенных под зеркальной поверхностью, до 1000-; давление в них возрастет до 4…..5 атм. за время порядка 1 нс. Это вызывает деформацию пленки над микрокамерой, создавая выступ высотой порядка сотых долей длины волны падающего лазерного излучения. Рассеивающий эффект наиболее значителен при расстояниях между микровыступами, примерно равных длине волны падающего излучения. Однако это условие не является обязательным.

Один из возможных вариантов технологии изготовления затвора предпологает использование технологических приемов кремниевых микросхем. На кремниевой плоской подложке фотолитографическим путем и избирательным травлением формируется массив микрокамер. Микрокамеры располагаются с шагом 1…2 мкм и имеют глубину 0,1…0,2 мкм. Поверх массива наносят заранее подготовленную металлическую мембрану толщиной порядка 0,05 мкм и соединяют со стенками камер. Готовый чип затвора должен быть помещен в корпус с оптическим окном, защищающим мембрану от механических повреждений.

.3 Конструкция устройства светоклапанного зеркала

Деформация поверхности зеркала, направляющего излучение в оптической схеме прибора наблюдения к фотоприемнику, индуцируемая падающим лазерным излучением, приведет к рассеянию отраженного света. Перемещение зеркала как целого при этом не реализуемо за временной промежуток порядка наносекунды, возможны только деформация его микрообластей.

Максимально возможный размер деформации в направлениях вдоль поверхности зеркала определяется скоростью звука, которое в твердом теле имеет значение порядка 1∙103÷5∙103 м/с. За наносекунду возникшая волна деформации распространится на расстояние ℓ = c∙t = 5∙103∙10-9 = 5∙10-6 м, размер деформируемой микрообласти зеркала ограничен этой величиной.

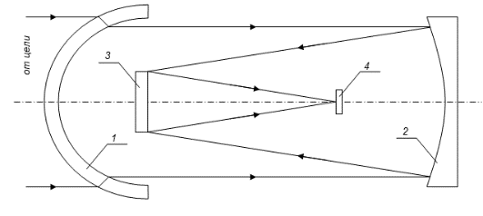
Рассмотрим возможность построения затвора в виде ячеистого зеркала; поверхности ячеек составляют общую поверхность зеркала и под действием мощного излучения, падающего на зеркало и частично им поглощаемого, деформируются, рассеивая свет. На рисунке 2.2 показана схема функционирования такого затвора.

Рисунок. 2.2 - Схема функционирования зеркального ячеистого затвора.

Световой поток, идущий от цели и содержащий, в том числе, импульсы лазерного излучения, проходит прозрачный обтекатель 1, отражается сферическим зеркалом 2 на плоский контррефлектор 3 и далее проходит к приемнику 4.

Зеркало 2 формирует на приемнике 4 лучистой энергии изображение цели. Контррефлектор выполнен в виде микромеханического светоклапанного зеркала. После окончания лазерного импульса ячейки остывают и зеркало становится плоским. Время восстановления - порядка микросекунды. За это время при скорости 1 - 5 скоростей звука аппарат переместится на расстояние 0,3 - 1,5 мм, что не приведет к потере «захвата» цели оптоэлектронной системой аппарата.

Каждая ячейка имеет мембрану с зеркальной внешней поверхностью и микрокамеру, перекрытую мембраной и содержащую легко испаряющееся вещество. Все ячейки закреплены на массивной подложке. При попадании излучения на мембрану поглощенная его часть нагревает мембрану, прошедшая часть нагревает, испаряет и доводит до кипения среду внутри камеры. Давление насыщенного пара деформирует мембрану, величина давления определяется температурой наиболее холодных участков микрокамеры.

По окончании лазерного импульса тепло за счет теплопроводности уходит в подложку, содержимое микрокамеры остывает, пар конденсируется, давление возвращается в исходное состояние, мембрана вновь становится плоской, ячеистое зеркало перестает рассеивать падающее излучение.

Для одного из вариантов конструкции, с учетом размеров элементов светоклапанного зеркала, модельные расчеты показали, что зеркало срабатывает приблизительно за 1 нс при попадании на него лазерного импульса длительностью 10 нс и пропускает излучение с плотностью энергии 150-300 Дж/. Если диаметр контррефлектора меньше диаметра сферического зеркала в Nраз, то соответствующая плотность энергии излучения от цели, падающая на обтекатель, при которой сработают световые клапаны, уменьшается пропорционально . К приемнику 4 пройдет только 0,1-0,2 доли энергии излучения, падающего на световые клапаны.

Световой клапан отсекает в данном примере 90% падающей энергии лазерного импульса, то есть ослабляет плотность энергии, падающей на приемник, в 10 раз. При увеличении энергии ослепляющего импульса или при размещении светоклапанного зеркала в таком месте оптической схемы, где больше плотность энергии, например, в области фокуса объектива, выигрыш только увеличивается, так как работа светового клапана имеет пороговый характер.

2.4 Результаты лабораторного эксперимента

Проведена серия предварительных экспериментов, которые показали возможность управления микромеханическими устройствами за счет энергии наносекундных лазерных излучений. Одиночным импульсом сфокусированного лазерного пучка азотного лазера с длительностью импульса 6 нс воздействовали на двухслойную тонкопленочную структуру на подложке. Смежный с подложкой слой испарялся и давлением паров наружный слой формовался в виде купола высотой 1 мкм и диаметром у основания 10 мкм. Плотность падающей энергии составляла 0,5 Дж/. Эксперимент подтвердил достижимость требований по быстродействию и мощности срабатывания, и возможность управления микромеханическими устройствами за счет энергии наносекундных лазерных излучений.

Рассмотрим более детально физические и технологические процессы, сопутствующие решению данной задачи и, главным образом, возможность применения механического ударного воздействия лазерного луча в технологии микромеханики-формирование пустотелых герметичных микрообъектов и микроканалов в многослойной структуре на подложке.

На подложке сформирована двухслойная структура, верхний слой которой-золото толщиной 1 мкм, а нижний-легко испаряющийся при лазерном нагреве слой, например, слой хрома.

Структура локально освещается сфокусированным лазерным лучом с плотностью мощности  сквозь прозрачную подложку. Прослойка испаряется и давление пара пластически деформирует слой золота. Так как избыточное давление газа действует с равной силой на всю внутреннюю поверхность золотой пленки, последняя будет стремиться приобрести сферическую форму. Величину давления пара p, необходимую для формирования из тонкой пленки толщиной dтонкостенного сферического купола, можно вычислить по формуле:


где - механическое напряжение в стенке купола; - радиус купола.

Формовка имеет место в том случае, если механическое напряжение в стенке превышает некоторое пороговое значение, например, напряжение предела прочности материала. Для оценки воспользуемся значением напряжения  предела прочности при постоянной нагрузке:


Для образования золотого купола с радиусом сферы 5 м, толщиной стенки  м при =600 МПа, температуре 60, необходимо давление формовки:

 (2,3)

Считая купол полусферой объемом V и предполагая, в первом приближении, что атмосфера внутри купола является идеальным газом, можно записать для массы m этого газа:



где - универсальная газовая постоянная; М-молярная масса вещества прослойки.

Для образования данного количества пара необходимо испарить слой вещества толщиной с плотностью p, лежащей в основании полусферы:


Если использовать хром ( р=7,2 кг/, М=24 кг/моль) в качестве материала слоя, испаряющегося и создающего избыточное давление, то получим м.

При фазовых переходах вещества пленки, «запечатанной» внутри прозрачной многослойной структуры и нагреваемой лазерным лучом, могут возникать импульсы давления. Рассмотрим случай изохорического локального нагрева такого поглощающего слоя внутри прозрачной структуры.

В принятом приближении все поглощенное слоем излучение расходуется только на увеличение его внутренней энергии.

Теплоемкость хрома равна 614 Дж/(кг*К) при температуре 1000 К и давлении 0,1 МПа. При переходе из твердого состояния в жидкое теплоемкость металла меняется незначительно. Примем коэффициент поглощения излучения равным А=0,5, тогда интенсивность излучения, необходимая для повышения температуры слоя толщиной d=3,6м (от комнатной, без учета теплоты плавления и кипения) за время импульса с до температуры:

плавления 1877 К, равна 9,6 Вт/;

кипения 2672 К, равна 1,2 Вт/.

Эти расчеты свидетельствуют о том, что мощности используемого лазерного излучения достаточно для расплавления и доведения до кипения слоя хрома. Относительное увеличение объема при фазовом переходе из твердого в жидкое состояние для большинства металлов составляет 4%. Если считать, что расплавленный участок слоя окружен абсолютно жесткими стенками, величина возникающего избыточного давления составит:


где  - сжимаемость жидкого металла.

Для хрома избыточное давление составляет =4 Па. Существенное увеличение давления ведет к росту температур плавления и кипения, то есть реальная мощность излучения, необходимая для осуществления фазовых переходов, будет выше.

Последовательное нагревание участка слоя до температур плавления и кипения приведет к его тепловому расширению. Коэффициент объемного термического расширения большинства жидких металлов составляет . Дополнительное увеличение давления за счет термического расширения можно рассчитать по формуле:


где  - коэффициент линейного термического расширения в твердой фазе.

Для хрома =11,8 при 1200 К. Тогда =13,61 Па.

Суммарное увеличение давления составляет:


Таким образом, при фазовых переходах микрообъемов вещества внутри прозрачной пластины, инициируемых импульсным нагревом лазерным излучением, могут возникнуть импульсы давления, превышающие пределы прочности вещества, при сравнительно умеренных плотностях мощности излучения.

Экспериментальная проверка проводилась на лазерной установке с азотным лазером, излучающим пучок мощностью в импульсе 3 кВт и длительностью 6 нс. В экспериментах использовались стеклянные подложки. Формируемая пленка толщиной в 1 мкм была изготовлена из золота. Промежуточные слои выбирались из сравнительно легко испаряющихся материалов, имеющих малую температуропроводность - титана и никеля (при их общей толщине 0,3 мкм) или хрома (до 0,5 мкм).

Процесс являлся безреакторным и шел в атмосфере воздуха. Процедура лазерной обработки пленок контролировалась под микроскопом с увеличением в 30. при использовании единичных лазерных импульсов и неподвижной подложки на ее лицевой поверхности образовывались выступы куполообразной формы.

Высота выступов и их диаметр у основания увеличивались с ростом мощности лазерного излучения, вплоть до разрыва тонкой пленки. В последнем случае образовывалось сквозное отверстие с характерными рваными краями и отогнутыми взрывным воздействием участками золотой фольги. Максимальная высота выступов, образованных без нарушения целостности покрытия, составила 1 мкм при диаметре основания 10 мкм.

В целом полученные данные согласуются с теорией и позволяют создать контролируемый процесс.

3. Разработка оптических схем устройств, использующих наносекундные микромеханические затворы

В предыдущей главе показано, что термоиндуцированное срабатывание микромеханических затворов происходит при плотности мощности падающего лазерного излучения, близкой к плотности мощности, повреждающей защищаемые приборы наблюдения.

Отсюда можно сделать вывод, что термочувствительные структуры затворов должны располагаться в плоскости формирования оптического изображения, а оптическая схема защищаемого затвором прибора должна иметь последовательно расположенные по ходу излучения две области формирования изображения - для затвора и для фоточувствительной структуры прибора наблюдения.

Среди зеркальных и зеркально-линзовых оптических систем такими возможностями обладает схема Грегори, показанная на рисунке 3.1. Зеркала М1и М2формируют первое действительное изображение ℓ'2в плоскости F'2, которое линзой Lотображается во второе изображение ℓ'3, располагающееся в плоскости F'3.

Рис. 3.1. Зеркально-линзовая система Грегори

Для рассматриваемого варианта затворов отражающую их поверхность необходимо разместить в области зеркала М2, и на зеркале должно формироваться изображение ℓ'2из рисунка 3.1. При этом ход главных лучей, отраженных от М2, совпадает с ходом главных лучей, падающих на М2, и любые оптические элементы, установленные по ходу отраженных лучей, затеняют падающие лучи.

Для удаления из падающего на М2пучка элементов, формирующих второе изображение в отраженных лучах, может быть применена схема Гершеля; с внеосевой входной апертурой (рисунок 3.2).

Рис. 3.2. Схема Гершеля с внеосевой апертурой

Вариант оптической системы с двумя последовательно по ходу пучка расположенными изображениями, в котором мешающие элементы устранены из хода падающих на зеркало М2пучков, основанный на схеме Гершеля, показан на рисунке 3.3.

Рис. 3.3. Оптическая схема с внеосевой апертурой и формированием первого изображения на поверхности зеркала

Здесь первое (действительное и отрицательное) изображение ℓ'1строится сферическим или параболическим зеркалом m1на поверхности зеркала М2, которое зеркально отражает главные лучи, отмеченные каждый двумя стрелками, в область по другую сторону от оптической оси. Апертура линзы Л достаточна для пропускания всех отраженных лучей; оптическая ось этой линзы совпадает с оптической осью системы, и построенное линзой изображение ℓ'2также лежит в области оптической оси.

Для уменьшения размеров линзы Л зеркалу М2целесообразно придать оптическую силу, превратив его в коллектив. Коллектив (полевая линза) отклоняет к оптической оси наклонные лучи пучков, осями которых являются главные лучи. Зеркало М2можно выполнить сферическим или в виде плоскоыпуклой линзы с отражающей плоскостью.

Активное зеркало микромеханического затвора на рисунке 3.3 совпадает с отражающей поверхностью зеркала М2. При попадании на входную апертуру зеркала М1лазерного мощного излучения оно фокусируется зеркалом в точку на плоскости затвора. До срабатывания затвора зеркало отражает лазерное излучение, и его энергия попадает на фоточувствительную область фотоприемника. После срабатывания затвора излучение перестает поступать к фотоприемнику; общая энергия, облучающая фотоприемник, уменьшается, что предохраняет его от повреждений лучом.

На рисунке 3.4 показана оптико-механическая схема телескопа, в котором применена оптическая схема рисунка 3.3. Задний фокус зеркала М1и передний фокус линзы Л совмещены, и в области общего фокуса размещено зеркало М2.

На поверхности зеркала формируются изображения, размер поля которых ℓ'1равен:

,(3.1)

гдеf1 - фокусное расстояние зеркала М1;

ω - половина апертурного угла зеркала М1, являющегося объективом.

Рис. 3.4. Оптико-механическая схема телескопа с внеосевой апертурой и промежуточным изображением на зеркале.

Угловое увеличение телескопа Г равно:

.

Считая, что входной зрачок телескопа совмещен с зеркалом М1, найдем диаметр Dзр выходного зрачка:

. (3.3)

Апертурный угол ω' на выходе телескопа можно найти из выражения:

.(3.4)

Линза Л отображает входной зрачок в выходной, поэтому отношение расстояний выходного и входного зрачков до линзы равно увеличению телескопической системы:

,(3.5)

где- расстояние от линзы Л до выходного зрачка.

Диаметр D4 линзы Л найдем из выражения:

.(3.6)

Проведем численный расчет. Примем: D2 = 30 мм; f1 = 60 мм; f2 = 30 мм; апертурный угол 2ω = 5°. Получим:

-размер зеркала M2: D3 = 2∙60∙tg(2,5°) = 5,24 мм;

-размер выходного зрачка:  мм;

угловое увеличение телескопа: ;

выходной апертурный угол: ω' ≈ 5°;

-расстояние выходного зрачка от линзы: мм;

диаметр линзы:  мм;

радиус кривизны зеркала М1: r1= 2f1 = 120 мм.

Применение коллектива в области промежуточного изображения позволит уменьшить диаметр линзы Л.

Концентрация лазерной мощности в области первого изображения и в области второго в общем случае различны, эта разница зависит от потерь энергии лазерного луча в промежутке между изображениями и от значения увеличения, с которым получается второе изображение. Руководствуясь энергетическими соображениями, можно получить выражение для отношения плотностей падающей лазерной мощности на поверхности в области второго и в области первого изображений (рисунок 3.3):

, (3.7)

Где К - линейное увеличение второго изображения в сравнении с первым;

,  - размеры первого и второго изображений, соответственно.

Если равна пороговой плотности мощности разрушения фотоприемника, размещенного в плоскости второго изображения:

, (3.8)

то из (3.7) следует, что плотность мощности Рср облучения затвора, приводящая к его срабатыванию, должна удовлетворять соотношению:

. (3.9)

Если значение множителя К2/aбольше единицы, то фотоприемник может быть защищен от разрушения, даже если порог срабатывания затвора больше порога разрушения фотоприемника.

Учитывая, что выпускаемые промышленностью фотоприемные устройства стандартизированы по размеру входной апертуры, для обеспечения рассмотренного выигрыша в пороге срабатывания затвора необходимо рекомендовать использовать короткофокусные объективы в защищенных телескопических системах. Это позволит уменьшить размер первого изображения (т.е. увеличить плотность мощности облучения затвора), и улучшить степень защиты, обеспечиваемую затвором.

Таким образом, в настоящей главе показано, что существуют оптические схемы телескопов, пригодные для встраивания зеркальных затворов и размещения их в плоскости изображения; проведен габаритный расчет таких телескопов; разработана конструкция макета телескопа, предназначенная для испытания наносекундных затворов, работающих на отражение; предложена схема расчетов телескопических систем со встроенным наносекундным затвором; найдены связи между оптическими характеристиками телескопических систем и степенью защиты от ослепления фотоприемных элементов.

4. Разработка методов расчета конструкционных и функциональных параметров затворов

4.1 Перспективные типы быстродействующих оптических затворов

В п. 2.1 сформулированы основные требования к защитным быстродействующим оптическим затворам, в том числе:

-наносекундное время срабатывания;

пассивный характер затвора (функционирование за счет энергии «ослепляющего» излучения);

малое время релаксации.

Кроме рассмотренных в разделе 2 конструкций микромеханических затворов, сформулированным выше требованиям могут удовлетворять устройства, построенные на пороговом изменении под действием лазерного излучения оптических характеристик среды, например, поглощательной способности (коэффициента пропускания).

Главная проблема подобного рода устройств заключается в противоречивости предъявляемых к ним требований. С одной стороны, они должны быть прозрачны во всем спектральном диапазоне фотоприемника, а с другой стороны, за счет проходящего через их рабочую среду излучения (поглощая часть его энергии) резко увеличивать свою поглощательную способность. Сочетание таких противоположных требований возможно только в рамках лазерноиндуцированных химических реакций, начало протекания которых характеризуется энергией активации, т.е. носит выраженный пороговый характер.

Использование лазерно-индуцированных реакций для управления поглощательной способностью активной среды оптического затвора, работоспособного в широком диапазоне оптического спектра и обладающего быстродействием, налагает определенные ограничения на выбор типа таких реакций.

Как показано выше, такие химические реакции не могут иметь резонансный характер, поэтому фотолитические процессы, возбуждаемые фотонами определенной энергии, также не могут стать основой для оптических затворов, управляемых световыми потоками большой спектральной ширины.

Можно также предположить, что большим быстродействием потенциально обладают реакции разложения молекул, а не их синтеза. При разложении первой элементарной стадией реакции является поглощение молекулой энергии в результате столкновений с горячей стенкой реакционной камеры или другой молекулой в газовой фазе; следующая стадия - молекула находится в возбужденном состоянии до тех пор, пока не произойдет следующего столкновения с другой молекулой и обмен энергией (столкновительный механизм релаксации возбуждения); третий этап - термический распад молекулы исходного соединения и разлет продуктов разложения (частей молекул), вследствие чего усиливаются процессы поглощения и/или рассеяния света, например, как результат появления непрозрачного осадка на оптических границах раздела, или локального увеличения коэффициента преломления за счет кратковременного роста плотности (так как реакции разложения идут с увеличением концентрации молекул в среде).

В случае реакций синтеза первой элементарной стадией также является поглощение молекулами реагентов энергии в результате столкновения их с горячей стенкой или другой молекулой в газовой фазе; следующая стадия - соединение молекул разных реагентов в новую молекулу - требует нескольких столкновений исходных молекул, является статистически довольно длительным процессом, так как не каждое столкновение молекул приводит к их соединению, а только такие столкновения, при которых молекулы ориентированы друг по отношению к другу определенным образом.

Кроме того, результатом реакции синтеза может быть существенное уменьшение концентрации молекул в среде, так как, например, из двух реагирующих молекул возникает одна. В то же время при реакции разложения наоборот, концентрация увеличивается, например, при термолизе одной молекулы декакарбонила дирения возникает 12 новых молекул.

Важным фактором, заставляющим проводить исследования лазерноиндуцированных химических реакций для использования их в оптических затворах, является малая в ряде случаев энергия активации химических реакций в сравнении с теплотами плавления и сублимации, играющими ключевую роль в определении чувствительности оптических затворов, рассмотренных в разделах 2 и 3. Так, декакарбонил дирения может разлагаться при нагреве до 400 °С (плавление и испарение металлов требует температур 1000...3000 °С)

Проведенный анализ позволяет предложить два основных подхода при использовании лазерно-индуцированных химических реакций для целей разработки быстродействующего оптического затвора:

1) использование химических реакций, протекающих в объеме газовой (или жидкой) фазы. Образующиеся при этом продукты реакции могут в процессе воздействия «ослепляющего» излучения выступать как центры поглощения, а при кластеризации - и как центры рассеяния, уменьшая, тем самым, долю прошедшего излучения. Конструктивно такой затвор может представлять собой цилиндр, имеющий на торцах прозрачные окна, заполненный парогазовой смесью (или жидкой фазой), установленный коаксиально с оптической осью системы наблюдения.

)использование химических реакций, протекающих на поверхности прозрачных подложек. Образующийся при этом непрозрачный пленочный осадок может существенно изменить как поглощательную способность поверхности, так и коэффициент отражения. Конструкция основанного на таком подходе затвора может содержать множество участвующих в процессе поверхностей для увеличения эффективности модуляции падающего излучения.

В качестве модели таких химических реакций и для определения применимости таких подходов для создания быстродействующих оптических затворов были проведены экспериментальные исследования осаждения тонких пленок рения на стеклянные подложки при использовании метода лазерноиндуцированного парофазного химического осаждения (ЛПФХО) или LCVD.

Такой выбор был обусловлен, главным образом научным и технологическим заделом. Проведение таких исследований, однако, позволяет создать модель процессов, протекающих как на поверхности подложек, так и в газовой фазе

4.2 Метод LCVD

В современной литературе для обозначения лазерно-индуцированного химического осаждения на подложку различных материалов, в том числе и металлов, из паровой фазы исходных соединений широко используется аббревиатура LCVD (Laser-induced Chemical Vapor Deposition).

Основной областью применения локальных и низкотемпературных LCVD в настоящее время является производство интегральных микросхем, технология изготовления которых непрерывно совершенствуется. Регулярно проводятся международные конференции, посвященные этой тематике. Универсальность лазерно-индуцированных химических процессов проявляется и в том, что можно отказаться от литографического способа создания топологии в функциональных слоях и непосредственно создавать микрорисунки с помощью методов лазерно-индуцированного химического осаждения необходимого материала на поверхности подложки. Одностадийным и, следовательно, наиболее технологичным из них является метод LCVD.

В общем случае метод LCVD заключается в следующем: летучее соединение осаждаемого элемента переводится в газовую фазу и разлагается на поверхности подложки или в паровой фазе при воздействии лазерного излучения, при этом образуются газообразные продукты и твердый осадок на поверхности подложки. На рисунке 4.1 представлена схема метода LCVD металлической пленки и основные составляющие типичной системы осаждения пленок.

В зависимости от длины волны, плотности мощности падающего излучения в приповерхностной области твердого тела и длительности его воздействия, на границе раздела твердое тело/газ происходят различные физико-химические процессы. Лазерное излучение воздействует:

-на газовую фазу с генерацией возбужденных молекул, радикалов или ионов;

на адсорбированный слой с генерацией в нем возбужденных адсорбированных молекул, радикалов или ионов;

на материал подложки с возбуждением его электронов, решетки и нагреванием локальных областей.

Рис. 4.1. Схема метода LCVD металлической пленки и основные составляющие этой системы: G - молекулы газа-носителя или буферного газа; ML - молекулы исходного соединения металла М

Таким образом, при LCVD металлов может происходить как лазерноиндуцированный фотолиз, так и лазерно-индуцированный пиролиз исходного летучего соединения металла, молекулы которого находятся как в газовой фазе, так и в адсорбированном слое.

Общая химическая схема процесса как фотолитического, так и пиролитического лазерно-индуцированного разложения исходного соединения металла имеет следующий вид:

, (4.1)

Где ML - исходное соединение. Как правило, это координационное соединение металла с органическими лигандами или металлоорганическое соединение. В этом случае L - координационная сфера металла М.

G - буферный газ или газ носитель, который, как правило, является химически инертным газом;

М0 - металл в несвязанном состоянии;

Мn+ - металл в ионном соединении;

M - металл в более устойчивом координационном соединении;

Р - продукты реакции, которые могут быть как газообразными, так и твердыми или жидкими.

Кроме того, одновременно с разложением ML могут протекать реакции с участием мономеров координационной сферы L: L → Р.

Таким образом, процесс LCVD металлов может осложняться вторичными реакциями и процессами соосаждения примесей. Кроме того, в результате лазерного воздействия на исходное соединение может образоваться несколько твердых продуктов. Осаждение чистого металла методом LCVD обусловливается свойствами осаждаемого металла и его исходного соединения, используемым лазерным излучением, давлением и составом газовой смеси.

В последнее время методы лазерной термохимии в газовой фазе успешно применяются для высокотемпературного синтеза ультрадисперсных порошков (пудр) химических элементов (С, Si), простых соединений (SiGe, А2О3, Si3N4), а также различных смесей. Такие порошки используются при разработке новых материалов с повышенными механическими, термическими и химическими свойствами. Это, прежде всего, конструкционные композитные материалы, свойства которых резко изменяются при внедрении в матрицу исходного материала частиц, сильно воздействующих на параметры межзёренных границ. Из этого условия вытекает требование иметь частицы с характерными размерами 3...30 нм при практически сферической форме с малым разбросом диаметров. Требуемые характеристики порошков достигаются, когда химические реакции разложения и/или синтеза проводятся непосредственно в объеме газовой фазы, и в условиях, когда происходит нуклеация (образование кластеров) твердофазных продуктов в зоне реакции.

Таким образом, изучение LCVD металлов начато сравнительно недавно в зарубежных странах (США, Японии, странах западной Европы) и стимулируется развитием микроэлектронной технологии.

4.3 Соединения, используемые для LCVD металлов

Общее свойство соединений, используемых для химического газофазного осаждения, - это летучесть при низких температурах (от комнатной до сотен градусов Цельсия). Соединения металлов, используемые для LCVD металлических пленок и микроструктур, принадлежат следующим классам:

1)   алкилы;

2)   комплексы с ненасыщенными углеводородами (арены, аллилы)

3)   карбонилы;

4)   β-дикетонаты;

5)   галогениды;

6)   амины;

7)   фосфины;

8)   алкил и карбонил гидриды;

9)   и другие разнолигандные комплексы.

Из этих классов соединений исследователи LCVD используют, как правило, наиболее летучие соединения, устойчивые при нормальных условиях. Это связано с тем, что в конструкцию установок для LCVD входят оптические детали (линзы, входные окна реакционных камер), сильный нагрев и загрязнение которых нежелательны, поскольку ухудшают воспроизводимость результатов. Практически все рассматриваемые соединения при температурах в диапазоне от комнатной до ≈ 100 °С имеют парциальное давление пара от 10 Па до нескольких сотен Па.

Кроме того, выбор исходного соединения определяется выбором типа LCVD - лазерноиндуцированный пиролиз или фотолиз исходного соединения. При использовании для получения металлических пленок и микроструктур пиролитического LCVD важны термохимические свойства исходных соединений, а для фотолитического LCVD выбор исходного соединения металла определяется его фотохимическими свойствами.

Оптимальными исходными соединениями металлов для пиролитического LCVD являются наиболее летучие соединения, позволяющие получать высокие скорости осаждения при невысоких температурах испарителя и реакционной камеры. Использование исходных соединений, имеющих более низкую температуру пиролиза, предпочтительнее для пиролитического LCVD. Например, для Сu (ГФА)2 и (Сu(ГФА)(ТМВС) температуры начала интенсивного разложения 300 °С и 150 °С, соответственно. Исходя из количества публикаций, можно сделать вывод, что наиболее широко исследовано пиролитическое LCVD только отдельных соединений некоторых металлов. Это Al(CH3)3, W(CO)6, WF6, Cu(ГФА)2, Pt(ГФА)2, (СН3)2Аu(АА).

5. Организационно-экономическая часть проекта

ТЭО постановки задачи.

На всех стадиях проектирования возникает необходимость экономической оценки и обоснования экономической целесообразности проекта. Это обусловлено сильной взаимосвязанностью технического прогресса и экономики. Только при условии наиболее эффективного в экономическом отношении использования производственных ресурсов, научно-технический прогресс будет основой экономического прогресса.

Существующие в настоящее время оптико-электронные системы обнаружения, наведения, слежения и опознавания, равно как и разрабатываемые вновь, малоэффективны в условиях применения организованных оптических помех, что ограничивает боевые возможности вооружения, использующего эти системы. Проблема предотвращения ослепления ОЭС не может эффективно решаться путем применения узкополосных отражающих светофильтров или использованием устройств, основанных на резонансном возбуждении атомов поглотителя (переводом на более высокие энергетические уровни), так как при этом требуется совпадение длины волны излучения средства подавления (как правило, неизвестна) и рабочей длины волны средства защиты. Также малоэффективны и другие существующие устройства со светоклапанным эффектом. В этой связи актуальной является проработка принципиально новых путей решения проблемы повышения помехозащищенности ОЭС.

В данном дипломном проекте отработана концепция создания пассивных светоклапанных устройств, защищающих от лазерного поражающего облучения, на базе использования микромеханических зеркал, управляемых энергией поражающих лазерных пучков, найдены конструкторско-технологические решения изготовления таких устройств, получены экспериментальные результаты по основным рабочим и предельным характеристикам устройств.

Источник ослепляющего облучения - твердотельный импульсный лазер с расходимостью ≈10-4 рад, обеспечивающий на дальности 103 м размер лазерного пятна ≈0,1 м. Длительность импульса десятки наносекунд. Пассивное устройство наблюдения и слежения видимого и ближнего ИК-диапазона.

Устройство предполагается использовать при создании средств защиты от ослепляющего действия лазерного импульсного облучения в системах головок самонаведения, приборах ночного видения на базе электронно-оптических преобразователей, полупроводниковых фотоприемников, в приборах визуального наблюдения.

Новизна работы состоит в создании технологических основ функционирования и изготовления микромеханических быстродействующих светоклапанных устройств; разработке методов расчета характеристик и параметров микромеханических быстродействующих светоклапанных устройств; разработке базовых конструкторско-технологических решений создания светоклапанных зеркал с наносекундным быстродействием.

В данной главе выполняются организационно-экономические расчеты, включающие в себя следующие разделы:

- расчет себестоимости и цены реализации устройства;

-экономическая целесообразность использования устройства.

План проведения работы по теме составляется с помощью алгоритма - блок-схемы порядка производимых анализов, исследований и разработок. С помощью блок-схемы картина работы над темой представляется наглядно.

Данная тема относится к научно-исследовательской работе (НИР). В ней проводится теоретическое обоснование и разработка концепции построения микромеханического оптического пассивного затвора, обеспечивающего защиту оптических приемных устройств систем обнаружения, сопровождения и прицеливания. Результатом является разработка теоретической модели создания оптического пассивного микромеханического самосрабатывающего затвора.

Одной из основных целей планирования НИР является определение общей продолжительности их проведения. Это осуществляется при помощи ленточного графика, где перечисляются наименования, длительность и трудоемкость каждой работы, и количество исполнителей.

Плановая себестоимость научно-технической продукции определяется по следующим статьям расходов:

-расходы на материалы;

основная заработная плата;

дополнительная заработная плата;

отчисления на социальные нужды;

накладные расходы;

прочие расходы.

Расходы на материалы включают в себя:

бумага 1 уп.

канцелярские принадлежности

фотоплёнка 1уп.

чернила для принтера

Рмат = Рбум + Рканц + Рфотпл + Рчерн = 155 +250+300+2500=3205

Основная заработная плата определяется на основании должностных окладов работников, занятых в разработке темы и степени их участия.

Основная заработная плата (ЗОСН) составила сумму 22130 руб.

Дополнительная заработная плата (ЗДОП) начисляется в размере 20% от основной зарплаты:

ЗДОП = ЗОСН * 0,2 = 22130 * 0,2 = 4426 руб.

ФОТ = ЗОСН + ЗДОП = 22130+4426 = 26556 руб.

Отчисления на социальные нужды определяются в процентном соотношении от суммы основной и дополнительной заработной платы. В эту статью входят следующие фонды:

-Федеральный бюджет - 20%;

Фонд социального страхования - 2,9%;

Федеральный фонд общего медицинского страхования - 1,1%;

Территориальный фонд общего медицинского страхования - 2%.

Сумма налогов данной статьи составляет 26%.

ОСН = ФОТ * 0,26 = 26556 * 0,26 = 6905 руб.

В накладные расходы входят расходы по управлению, по содержанию и ремонту зданий, сооружений и оборудования. Берём их равными 120% от основной заработной платы:

НР = ЗОСН * 1,2 = 22130 * 1,2 = 26556 руб.

Затраты по этой статье рассчитываются как 1,5% от основной заработной платы работников:

ПР = ЗОСН * 0,15 = 22130 * 0,15 = 3320 руб.

Полная себестоимость представляет собой сумму всех вышеперечисленных статей расходов:

СП = ФОТ + ОСН + НР + ПР = 26556 + 6905 + 26556 + 3320 = 63337 руб.

Таким образом, затраты на научно-исследовательскую работу составляют сумму равную 63337 руб.

Цена создания определяется следующим образом:

Ц = К * СП + Пр,

где K - коэффициент учета затрат на изготовление опытного образца изделия (K = 1,1);

Пр - нормативная прибыль, рассчитываемая по формуле:

Пр = СП *rН,

где rН - норматив рентабельности, 30 %;

Пр= 63337 * 0,3 = 19001 руб.

Ц = 1,1 * 63337 + 19001 = 88671 руб.

Цена создания разрабатываемого устройства 88 671 руб.

Все полученные цифры приблизительны, и поэтому были округлены.

Результатом выполнения данной работы является разработка микромеханического светоклапанного устройства с наносекундным временем срабатывания, которое обеспечивается приведением устройства в действие за счет использования «ослепляющего» луча.

Цена на разработку и создание данного устройства позволяет определить, что производство будет рентабельным, поскольку данное устройство обеспечивает защиту оптико-электронных средств на все 100%, что существенно снизит затраты на ремонт и восстановление той техники, в которую попало лазерное излучение. Данная разработка найдет свое применение и в военной сфере, где жизнь и здоровье солдат нельзя сравнивать ни с какими деньгами.

Затраты по этой теме целесообразны, так как результаты этой работы могут быть использованы как для дальнейших научно-технических работ исследовательского характера, так и для разработки и конструирования устройств рассмотренного типа, обладающих более совершенными точностными и технико-эксплуатационными характеристиками. Использование таких устройств позволит в будущем снизить их себестоимость за счёт совершенствования элементной базы. На данный момент аналогов данной разработки не существует.

В рамках организационно-экономической части был осуществлен расчет себестоимости, составлена смета на работы по теме, спланированы и учтены возможные затраты, организованы работы по теме.

В данном разделе было рассчитано общее время выполнения проекта, которое составило 134 дня, рассчитаны данные по затратам на научно-исследовательскую работу, которые составили 63337 рублей., а также были определены затраты на создание данного устройства, которые составили 88671 рубль.

6. Экология и безопасность жизнедеятельности

.1 Проектирование оптимального рабочего места инженера-разработчика

Охрана труда - система законодательных актов, социально-экономических, организационных, технических, гигиенических и лечебно-профилактических мероприятий и средств, обеспечивающих безопасность, сохранение здоровья и работоспособности человека в процессе труда. Научно-технический прогресс внес серьезные изменения в условия деятельности работников умственного труда. Их труд стал более интенсивным, напряженным, требующим значительных затрат умственной, эмоциональной и физической энергии. Это потребовало комплексного решения проблем эргономики, гигиены и организации труда, регламентации режимов труда и отдыха.

Этот раздел дипломного проекта посвящен рассмотрению следующих вопросов:

0   проектирование оптимальных условий труда инженера -разработчика;

1   проектирование оптимального рабочего места;

2   проектирование системы освещения;

3   проектирование мероприятий по обеспечению микроклимата;

Рабочее место и взаимное расположение всех его элементов должно соответствовать антропометрическим, физическим и психологическим требованиям. Для создания нормальных условий труда на рабочем месте разработчика, применяются следующие оптимальные показатели санитарно-гигиенической обстановки:

температура воздуха, 22°С;

относительная влажность, %: от плюс 30 до 60;

скорость движения воздуха, м/с: 0,2;

освещенность, ЛК: 300.

Согласно требованиям СанПиН 2.2.2.542-96, на каждого работника полагается не менее 6 квадратных метров при высоте помещения не менее 4м. Коэффициенты отражения для потолка - от 0,7 до 0,8; для стен - от 0,5 до 0,6.

Большое значение имеет также характер работы. В частности, при организации рабочего места разработчика должны быть соблюдены следующие основные условия:

оптимальное размещение оборудования, входящего в состав рабочего места;

достаточное рабочее пространство, позволяющее осуществлять все необходимые движения и перемещения;

наличие хорошего освещения;

уровень акустического шума не превышающий ПДУ;

достаточная вентиляция рабочего места;

Монитор предлагается выбирать из серии жидкокристаллических. Такой монитор не обладает эффектом мерцания экрана, от которого в основном и устает зрение человека, наблюдающего за экраном долгое время. Так же предлагается выбирать монитор с размером диагонали экрана не менее 17 дюймов, т.к. на экранах меньшего размера буквы текста будут мелкими, что приведет к быстрому зрительному переутомлению. Следуя выше приведенным рекомендациям, удастся понизить напряжение зрения оператора и подверженность облучению его вредными магнитными и электрическими полями.

В соответствии с требованиями для оборудования рабочего места определенными в СанПиН2.2.2.542-96 выбираем следующие параметры рабочего места.

Рабочий стол должен иметь пространство для ног высотой не менее 600 мм, шириной - не менее 500 мм, глубиной на уровне колен - не менее 450 мм и на уровне вытянутых ног - не менее 650 мм.

Рабочий стул (кресло) должен быть подъемно-поворотным и регулируемым по высоте и углам наклона сиденья и спинки, а так же - расстоянию спинки от переднего края сиденья.

Конструкция его должна обеспечивать:

ширину и глубину поверхности сиденья не менее 400 мм;

поверхность сиденья с закругленным передним краем;

регулировку высоты поверхности сиденья в пределах 400 - 550 мм и углам наклона вперед до 15 град. и назад до 5 град.;

высоту опорной поверхности спинки 300 ± 20 мм, ширину - не менее 380 мм и радиус кривизны горизонтальной плоскости - 400 мм;

угол наклона спинки в вертикальной плоскости в пределах ±30 градусов;

регулировку расстояния спинки от переднего края сиденья в пределах 260-400мм;

стационарные или съемные подлокотники длиной не менее 250 мм и шириной - 50 - 70 мм;

регулировку подлокотников по высоте над сиденьем в пределах 230 ± 30 мм и внутреннего расстояния между подлокотниками в пределах 350 - 500 мм.

Рабочее место должно быть оборудовано подставкой для ног, имеющей ширину не менее 300 мм, глубину не менее 400 мм, регулировку по высоте в пределах до 150 мм и по углу наклона опорной поверхности подставки до 20 градусов. Поверхность подставки должна быть рифленой и иметь по переднему краю бортик высотой 10 мм.

Возможность различного размещения документов: сбоку от видеотерминала, между монитором и клавиатурой и т.п. Кроме того, в случаях, когда видеотерминал имеет низкое качество изображения, например, заметны мелькания, расстояние от глаз до экрана делают больше (около 700 мм), чем расстояние от глаза до документа (300-450 мм). Вообще при высоком качестве изображения на видеотерминале расстояние от глаз пользователя до экрана, документа и клавиатуры может быть равным.

расстоянием до глаз (0,6 + 0,1 м);

углом, направлением взгляда на 15 градусов ниже горизонтали к центру экрана, причем экран перпендикулярен этому направлению.

Должна предусматриваться возможность регулирования экрана:

по высоте +3 см;

по наклону от 10 до 20 градусов относительно вертикали;

в левом и правом направлениях.

Клавиатуру следует располагать на поверхности стола на расстоянии 100 - 300 мм от края, обращенного к пользователю или на специальной, регулируемой по высоте рабочей поверхности, отделенной от основной столешницы.

Зрительный комфорт подчиняется двум основным требованиям:

четкости на экране, клавиатуре и в документах;

освещенности и равномерности яркости между окружающими условиями и различными участками рабочего места;

Большое значение придается характеристикам рабочего кресла. Рекомендуется высота сиденья над уровнем пола 420-550 мм. Поверхность сиденья рекомендуется делать мягкой, передний край закругленным, а угол наклона спинки рабочего кресла - регулируемым. Форма спинки кресла должна повторять форму спины.

Большое значение также придается правильной рабочей позе пользователя. При неудобной рабочей позе могут появиться боли в мышцах, суставах и сухожилиях. Требования к рабочей позе пользователя видеотерминала следующие: шея не должна быть наклонена более чем на 20° (между осью "голова-шея" и осью туловища), плечи должны быть расслаблены, локти - находиться под углом 80° - 100°, а предплечья и кисти рук - в горизонтальном положении. Причина неправильной позы пользователей обусловлена следующими факторами: нет хорошей подставки для документов, клавиатура находится слишком высоко, а документы - слишком низко, некуда положить руки и кисти, недостаточно пространство для ног. В целях преодоления указанных недостатков даются общие рекомендации: лучше передвижная клавиатура, чем встроенная; должны быть предусмотрены специальные приспособления для регулирования высоты стола, клавиатуры, документов и экрана, а также подставка для рук.

Подведем промежуточные итоги. Я рассмотрела рабочее место со следующими характеристиками:

высота рабочей поверхности стола 750 мм;

высота пространства для ног 650 мм;

высота сиденья над уровнем пола 450 мм;

поверхность сиденья мягкая с закругленным передним краем и формой спинки кресла, повторяющей форму спины;

возможность размещения документов справа и слева;

расстояние от глаза до экрана 700 мм;

расстояние от глаза до клавиатуры 400 мм;

расстояние от глаза до документов 500 мм;

возможно регулирование экрана по высоте, по наклону, в левом и в правом направлениях;

Создание благоприятных условий труда и правильное эстетическое оформление рабочих мест на производстве имеет большое значение, как для облегчения труда, так и для повышения его привлекательности, положительно влияющей на производительность труда. Окраска помещений и мебели должна способствовать созданию благоприятных условий для зрительного восприятия, хорошего настроения. В служебных помещениях, в которых выполняется однообразная умственная работа, требующая значительного нервного напряжения и большого сосредоточения, окраска должна быть спокойных тонов - малонасыщенные оттенки холодного зеленого или голубого цветов. При разработке оптимальных условий труда инженера- разработчика так же необходимо учитывать освещенность и микроклимат.

Сидячая продолжительная работа вредна человеку в принципе: вы сутулитесь или подаетесь вперед, и ваш позвоночник деформируется, травмируя диски; вы поднимаете плечи и сгибаете руки, держа их в напряжении - и естественно они начинают болеть. Пережимая сосуды, вы перегружаете сердце; ну а о хронических растяжениях сухожилий кистей рук и постоянно ухудшающемся зрении можно не говорить. Поза, а, следовательно, и здоровье, зависят, в конечном итоге, от размеров и дизайна рабочего места.

Рабочее пространство.

Научная организация рабочего пространства базируется на данных о средней зоне охвата рук человека - 35-40 см. Ближней зоне соответствует область, охватываемая рукой с прижатым к туловищу локтем, дальней зоне - область вытянутой руки. Как видно из рис. 29, угловой стол идеально соответствует обеим зонам охвата.

Работа за прямоугольным столом.

Модели угловых столов сильно отличаются от обычных прямоугольных конструкций. Чтобы объяснить, зачем нужен такой дизайн, посмотрим на человека за обычным офисным столом. Мы видим следующие существенные ограничения и неудобства: большое расстояние до монитора и рабочих материалов; ограниченное доступное свободное пространство; приходится смотреть вправо, чтобы видеть монитор.

Работа за Г-образным столом.

Теперь предположим, что в попытке создать удобную рабочую обстановку, вы соорудили Г-образный стол. Вы получили более удобный доступ к материалам, но вынуждены работать вполоборота к передней грани стола; большое количество места пропадает зря - вы попросту не дотягиваетесь до него; модная выдвижная доска для клавиатуры не перенастраивается; ноги стоят неудобно. Как видите, недостатки весьма существенные и не просто отнимают здоровье, на которое, по большому счету, любому россиянину наплевать, а явно мешают работать, создают дискомфорт и приводят к быстрой усталости.

Расположение монитора.

Монитор, как правило, располагается чрезмерно близко. Существует несколько научных теорий, по-разному определяющих значимые факторы и оптимальные расстояния от глаза до монитора. Например, рекомендуется держать монитор на расстоянии вытянутой руки. Однако, удобнее, когда человек сам решает, насколько далеко будет стоять монитор. Именно поэтому конструкция угловых столов позволяет менять глубину положения монитора в широком диапазоне.

Внутренний объем.

Значимым фактором является пространство под столешницей. Высота стола должна соответствовать общепринятым стандартам, и составлять приблизительно 74 см. Конструкция рассматриваемого углового стола обеспечивает требования Американского Национального Института Стандартов к глубине, ширине и высоте необходимого пространства для ног.

Работа с клавиатурой.

Неправильное положение рук при печати на клавиатуре приводит к хроническим растяжениям кисти. Важно не столько отодвинуть клавиатуру от края стола и опереть кисти о специальную площадку, сколько держать локти параллельно поверхности стола и под прямым углом к плечу. Клавиатура должна располагаться в 10-15 см (в зависимости от длины локтя) от края стола. В этом случае нагрузка приходится не на кисть, в которой вены и сухожилия находятся близко к поверхности кожи, а на более "мясистую" часть локтя.

Вариант эргономичного рабочего места инженера-разработчика.

Представленная модель углового стола имеет оптимальную площадь для клавиатуры за счет расположения монитора в самой широкой части стола. Глубина стола позволяет полностью положить локти на стол, отодвинув клавиатуру к монитору. Рабочая площадь для работы с компьютером соответствует стандартам ANSI на ширину и глубину рабочих поверхностей. Данная форма столешницы практически совпадает с рабочей зоной человека. Проще говоря, та область, до которой сидящий человек дотягивается не напрягаясь, покрывает 92% полезной площади стола. Кроме того, по-другому организовано рабочее пространство полок и полки-стеллажа над монитором. Особое внимание уделено отсеку процессорного блока и тумбочке под принтер/факс.

.2 Проектирование системы освещения

Рациональное освещение рабочего места является одним из важнейших факторов, влияющих на эффективность трудовой деятельности человека, предупреждающих травматизм и профессиональные заболевания. Правильно организованное освещение создает благоприятные условия труда, повышает работоспособность и производительность труда. Освещение на рабочем месте разработчика должно быть таким, чтобы работник мог без напряжения зрения выполнять свою работу. Утомляемость органов зрения зависит от ряда причин:

недостаточность освещенности;

чрезмерная освещенность;

неправильное направление света.

от степени напряженности процессов, сопровождающих зрительное восприятие.

Недостаточность освещения приводит к напряжению зрения, ослабляет внимание, приводит к наступлению преждевременной утомленности. Чрезмерно яркое освещение вызывает ослепление, раздражение и резь в глазах. Неправильное направление света на рабочем месте может создавать резкие тени, блики, дезориентировать работающего. Все эти причины могут привести к несчастному случаю или профзаболеваниям, поэтому столь важен правильный расчет освещенности.

Расчет освещенности рабочего места сводится к выбору системы освещения, определению необходимого числа светильников, их типа и размещения. Искусственное освещение выполняется посредством электрических источников света двух видов: ламп накаливания и люминесцентных ламп. Будем использовать люминесцентные лампы, которые по сравнению с лампами накаливания имеют существенные преимущества:

по спектральному составу света они близки к дневному, естественному освещению;

обладают более высоким КПД;

обладают повышенной;

более длительный срок службы.

Рассчитаем параметры искусственного освещения. Проектирование освещения производится для комнаты площадью 42 м2, ширина которой 6 м, длина - 7 м, высота - 4 м.

Воспользуемся методом коэффициента использования светового потока, для определения светового потока от ламп общего освещения.

Для определения количества светильников определим световой поток, падающий на поверхность по формуле:

, где

 - рассчитываемый световой поток, Лм;

 - нормированная минимальная освещенность, Лк. Принимаем равной 750 Лк при газоразрядных лампах, для комбинированного освещения;

 - площадь освещаемого помещения, в нашем случае 42 м2;

 - отношение средней освещенности к минимальной, принимаем равным 1.1;

 - коэффициент запаса, учитывающий уменьшение светового потока лампы в результате загрязнения светильников в процессе эксплуатации. Для люминесцентных ламп в помещениях с низким количеством выделения пыли  принимаем равным 1,5;

 - количество светильников;

 - коэффициент использования, (выражается отношением светового потока, падающего на расчетную поверхность, к суммарному потоку всех ламп, и исчисляется в долях единицы. Зависит от характеристик светильника, размеров помещения, окраски стен и потолка, характеризуемых коэффициентами отражения от стен , потолка  и от пола . Значение этих коэффициентов определяется по таблице зависимостей коэффициентов отражения от характера поверхности:

=50% - побеленные стены при не занавешенных окнах;

=70% - побеленный потолок;

=10% - рабочая поверхность темного цвета.

Значение  определим по таблице коэффициентов использования различных светильников. Для этого вычислим индекс помещения по формуле:

, где

=4м - высота помещения;

=0,8м - высота рабочей поверхности;

=0,2м - высота свеса светильника;

- расчетная высота подвеса, ;

 - ширина помещения;

- длина помещения.

Подставив значения получим:

Зная индекс помещения , ,  и по таблицам находим . В качестве светильника выберем: ЛВ003 - 2 х 40 - 001.

Освещенность для систем комбинированного освещения состоит из суммы общей освещенности и местной освещенности:

Возьмем значение общей освещенности равным 200 Лк.

При расчете люминесцентного освещения первоначально намечают число рядов светильников . Которое подставляется в формулу для расчета  вместо . Тогда под  подразумевается световой поток светильников одного ряда.

Рекомендуемое отношение расстояний между светильниками  к расчетной высоте  не должно превышать 0,6, получаем =1,8м.

Тогда число рядов светильников N можно получить из формулы:


Мы выбираем =4 и подставляя его в формулу получаем:

Определим число светильников в ряду:

, где

- световой поток одного светильника. Для определения  необходимо выбрать светильник.

В этом светильнике применяются две лампы ЛБ - 40 со световым потоком 3200Лм каждая. Тогда, получаем что суммарный световой поток светильника будет равен  = 6400 Лм.

Габаритные размеры светильника (мм): 1275х310х115.

Определим число светильников в ряду:

т.е. два светильника.

Для расчета местного освещения воспользуемся точечным методом.

Для определения светового потока Fл от лампы местного освещения, создающей на рабочей поверхности освещенность , будем использовать формулу:

, где

 - коэффициент запаса, принимаем  =1,3.

 - коэффициент, учитывающий влияние отраженного света и удаленных светильников. Например, светильников местного освещения соседних рабочих мест. Принимаем  равным 1,1.

= 550 Лк - нормированная местная освещенность.

 - условная освещенность. Условная освещенность, создаваемая условной лампой со световым потоком = 1000 Лм, зависит от светораспределения светильника и определяется по графикам пространственных изолюкс. Находим ε = 400. Тогда, подставляя все значения в формулу (4) получаем:

Необходимо выбрать лампу для местного освещения с таким световым потоком.

Выбираем светильник МО24 - 100 с мощностью 100 Вт.

Расстояние между рядами светильников  находим из уравнения:

 (м)

 (м)

Определим расстояние между светильниками  в одном ряду из уравнения:

 (м), где

= 1.275 м - длина светильника.

Расстояние от светильника до стены:

 (м)

Нормируется качественные показатели: дискомфорта, цилиндрического освещения, неравномерности и пульсации излучения, характеризующие свет от блеских источников, неравномерное распределение яркостей в поле зрения и изменение яркости освещения (люминесцентные лампы. Прямые солнечные лучи в больших дозах вредны: вызывают слепимость и повышают температуру воздуха в помещениях, нагревают оборудование.

Работа за ПК относится к зрительным работам высокой точности для любого типа помещений.

Искусственное освещение в помещениях эксплуатации ПК должно соответствовать действующим нормам освещения (табл. 17).

Освещенность на поверхности стола в зоне размещения рабочего документа должна быть 300-500 лк. Местное освещение не должно создавать бликов на поверхности экрана и увеличивать освещенность экрана более 300 лк.

Следует ограничивать прямую блесткость от источников освещения, при этом яркость светящихся поверхностей (окна, светильники и т.п.), находящихся в поле зрения, должна быть не более 200 кд/м2.

Следует ограничивать отраженную блесткость на рабочих поверхностях (экран, стол, клавиатура и др.) за счет правильного выбора типа светильников и расположения рабочих мест по отношению к источникам естественного и искусственного освещения, при этом яркость потолка, при применении системы отраженного освещения, не должна превышать 200 кд/м2.

Показатель ослепленности для источников общего искусственного освещения должен быть не более 40, а показатель дискомфорта не более 40.

Следует ограничивать неравномерность распределения яркости в поле зрения пользователя ПК, при этом соотношение яркости между рабочими поверхностями не должно превышать 3:1-5:1, а между рабочими поверхностями и поверхностями стен и оборудования- 10:1.

В качестве источников света при искусственном освещении должны применяться преимущественно люминесцентные лампы типа ЛБ. Допускается применение ламп накаливания в источниках местного освещения.

Общее освещение следует выполнять в виде сплошных или прерывистых линий светильников, расположенных сбоку от рабочих мест, параллельно линии зрения пользователя при рядном расположении ПК. При периметральном расположении компьютеров линии светильников должны находиться ближе к переднему краю, обращенному к пользователю. Применение светильников без рассеивателей и экранирующих решеток не допускается.

Коэффициент запаса для осветительных установок общего освещения должен приниматься равным 1,4. Коэффициент пульсации не должен превышать 5 %.

Рабочие места с ПК по отношению к световым проемам должны располагаться так, чтобы естественный свет падал сбоку, преимущественно слева.

Схема размещения рабочих мест с ПК должны учитывать расстояние между рабочими столами с мониторами (в направлении тыла поверхности одного монитора и экрана другого монитора), которое должно быть не менее 2,0 м, а расстояние между боковыми поверхностями мониторов- не менее 1,2 м.

Корпус ПК, клавиатура и другие блоки и устройства ПК должны иметь матовую поверхность одного цвета с коэффициентом отражения 0,4-0,6 и не иметь блестящих деталей, способных создавать блики.

Положение монитора должно быть таким, чтобы свет на него падал под углом. Экран монитора должен располагаться примерно на расстоянии 28-60 см от оператора, причем верхний край экрана должен находиться на уровне глаз. Рекомендуется по возможности уменьшать интенсивность света люминесцентных источников. Для монитора должны быть предусмотрены ручки регулировки яркости и контраста изображения, обеспечивающие возможность регулировки этих параметров от минимальных до максимальных значений.

Нормируется качественный показатель ослепленности по СНиП 23-05-95 для видов работ за компьютером максимальным значением P=40. Лампы применены люминесцентные, 40 Вт, с КСС Л типа. Помещение имеет высоту 4,5 м, отсюда высота ламп над рабочей поверхностью 3,4 м. Расстояние между лампами 1,7 м.

Показатель ослепленности промышленных осветительных установок определяется по формуле:

 (7)

Расчет по этой формуле достаточно сложен, поэтому на практике применяются другие способы, например, расчет по инженерному методу, предложенному в "Пособии по расчету и проектированию естественного, искусственного и совмещенного освещения".

Суть метода заключается в классификации и группировке светильников по их светотехническим параметрам. В таблице приведены расчеты параметров ослепленности для этих групп с дополнением классификации по разрядам и подразрядам работ и показателем ослепленности P.

По приведенным выше данным нашей осветительной системы из соответствующих таблиц можно получить максимально допустимое соотношение

,

где  - расстояние между светильниками,

- расстояние от светильников до рабочей поверхности.

Для нашего случая максимально допустимое отношение:

, а расчетное

Поскольку 1,2 > 0,5, то по ослепленности рассчитанная осветительная система соответствует в нормам по СНиП.

Нормируется качественный показатель дискомфорта по СНиП 23-05-95 для видов работ за компьютером максимальным значением М=40. Лампы применены люминесцентные, 40 Вт, например, ЛСО04-2х40-004, которые относятся к III-й группе светильников. Помещение имеет высоту 4,5 м, отсюда высота ламп над рабочей поверхностью 3,4 м. Коэффициенты отражения стен, потолка и пола равны соответственно 0,5, 0,5 и 0,3. Расстояние между лампами 1,7 м.

Для расчета показателя дискомфорта М в осветительной установке, оснащенной светильниками, разработан табличный инженерный метод.

В соответствии с этим табличным методом для перечисленных выше параметров помещения и осветительной установки, а так же М=40 данная осветительная установка соответствует нормам СНиП при любых значениях индекса помещения.

Нормируется качественный показатель цилиндрической освещенности по СНиП 23-05-95 для видов работ за компьютером минимальным значением =100. Лампы применены люминесцентные, 40 Вт, например, ЛСО04-2х40-004, которые относятся к III-й группе светильников. Помещение имеет длину 7,35 м, ширину 4,9 м, высоту 4,5 м, отсюда площадь помещения 36 мІ. Коэффициенты отражения стен, потолка и пола равны соответственно 0,5, 0,5 и 0,3. Коэффициент запаса равен 1,5.

Определим индекс помещения:


По соответствующей таблице определяем группу светильника по светораспределению:

 (8)

Для рассчитанного индекса помещения , коэффициентов отражения стен , пола  и высоты  м по графику определяется минимальная цилиндрическая освещенность  лк.

По формуле определяем фактический удельный световой поток светильников:

 лм/м2 (9)

По формуле определяется минимальная цилиндрическая освещенность:

 лк. (10)

Рассчитанная осветительная система соответствует нормам по СНиП в пункте ослепленности.

Нормируется качественный показатель коэффициента пульсации по СНиП 23-05-95 для видов работ за компьютером максимальным значением =15%. Лампы применены люминесцентные (ЛЛ), типа ЛБ по две лампы в каждом светильнике.

Для соблюдения норм СНиП по коэффициенту пульсации в данном случае, попадающем под определенные условия:

"Число ламп в светильнике кратно двум с включением половины ламп по схеме опережающего и половины - по схеме отстающего тока" для ламп ЛБ выполняются соответствующие нормы с запасом.

При выборе осветительных приборов используем светильники типа ОД. Каждый светильник комплектуется двумя лампами.

Похожие работы на - Анализ механизмов воздействия лазерного излучения на элементы фотоприемных устройств

 

Не нашли материал для своей работы?
Поможем написать уникальную работу
Без плагиата!
Без нейросетей!