Разработка конструкции и технологии изготовления шлифовальной головки для обработки восстановленных поверхностей загрузочных конусов домны
ВВЕДЕНИЕ
домна вал шлифовальный станок
Материальная культура общества развивалась,
вместе с ней совершенствовалась и техника производства, для изготовления
которых требовалось применение множества материалов. Среди них, особую роль
играет чёрный металл. Это сплав железа с углеродом и другими элементами. В наше
время чёрные металлы применяются почти во всех отраслях. В таких как: сельское
хозяйство, промышленность, строительная индустрия. В нашей стране чёрная
металлургия считается основой всей промышленности. Применение чёрных металлов
обладающих хорошими механическими свойствами, объясняется большим количеством
исходного сырья - железных руд в недрах земли и малые затраты на переработку в
чугун и сталь.
Продукция из чёрных металлов получается путём
выплавки чугуна из руд в доменных печах, с последующей переплавкой его в сталь
или с помощью литья изготовления из него изделий. Получение железа из руд хоть
и вероятно, но невыгодно с экономической точки зрения в сравнении с
двухступенчатым способом получения металлов. Доменное производство будет
основой чёрной металлургии еще многие годы. В связи с этим необходимо постоянно
совершенствовать и развивать технику и технологию доменного производства.
Чтобы равномерно распределить шихту по
окружности колошника, а так же предотвратить выход газа в атмосферу через
колошник, предназначены засыпные устройства доменных печей.
Конуса засыпных приборов отливают из
износоустойчивой стали. Контактирующие поверхности отливают и шлифуют так,
чтобы получился минимальный зазор, не более 0,02 мм. Что даёт нам плотное
прилегание контактирующих плоскостей.
1. АНАЛИЗ СОСТОЯНИЯ ВОПРОСА, ЦЕЛЬ И ЗАДАЧИ
РАБОТЫ
.1 Обоснование разработки работы
В связи с высокими требованиями к точности и
качеству, при создании достойных агрегатов и устройств, необходимо постоянно
модернизировать методы обработки. Снизить себестоимость выпускаемой продукции,
и улучшить её качество.
Порошковая лента марки ПЛ-Нп-500Х40Н40С2ГРЦ-Б-С
используется для наплавления контактных поверхностей чаш. Механизированная наплавка
износостойких покрытий открытой дугой или под слоем флюса.
Универсальная лента для восстановления и защиты
стальных деталей металлургического, горнорудного, сельскохозяйственного,
дорожно-строительного и другого оборудования. Деталей машин от абразивного и
газоабразивного видов изнашивания, при умеренных ударных нагрузках. Нормальных
и повышенных температурах: детали засыпных аппаратов доменных печей, валки
коксовых дробилок, футеровка конусных дробилок, решетки транспортеров, гильзы
шнековых насосов и др.
Условия для изготовления контактирующих
поверхностей:
в точках контакта зазор между деталями не должен
превышать 0,02мм;
отклонение от угла контактирующей плоскости не
более 5°;
шероховатость контактирующей поверхности не
более
мкм;
износостойкость в местах наплавки;
период между ремонтами устройства - 1 год.
В специальном цеху «ССМ-ТЯЖМАШ» имеется
установка У-125М, где происходит полный процесс наплавки.
ПАО «СЕВЕРСТАЛЬ» имеет все необходимое
оборудование и специализированные цеха для обработки механическим путём
засыпных устройств доменных печей. Процесс обработки происходит на станке
модели 1580Л (токарно-карусельный станок).
Техническое описание характеристик станка
приведено в таблице 1.1.
Таблица 1.1 - Техническое описание характеристик
станка
|
№
|
Наименование
|
Значение
|
|
1.
2. 3. 4. 5. 6. 7. 8. 9. 10. 11. 12. 13. 14. 15. 16. 17. 18. 19. 20.
21. 22. 23. 24. 25. 26. 27. 28. 29. 30. 31.
|
Основные
размеры по ГОСТ 44-93 Наибольший диаметр обрабатываемой заготовки, мм
Наибольшая высота обрабатываемой заготовки (от зеркала планшайбы по
«Коломенский ЗТС»), мм Наибольшая масса обрабатываемой заготовки, кг Высота
сечения хвостовой части резца, мм Диаметр планшайбы стола, мм Рабочий ход
ползунов, мм Рабочий ход салазок суппортов, мм Угол установки верхних
суппортов к вертикали, град. Конус для крепления инструмента в расточном
шпинделе токарно-фрезерного суппорта по ГОСТ 15945-82 Наибольшее усилие
резания на суппортах, кН: при работе «на прижим» при работе на «отжим»
Наибольшее суммарное усилие резания двумя суппортами, кН Наибольший момент
резания на планшайбе, кН*м Количество ступеней привода планшайбы Пределы
частот вращения планшайбы в токарном режиме, об/мин Пределы частот вращения
планшайбы в расточно-фрезерном режиме, об/мин Пределы вертикальных и
горизонтальных подач, мм/мин: а) левые салазки и ползун правого токарного
суппорта б) правые салазки и ползун правого токарного суппорта Ускоренное
перемещение салазок суппортов и ползунов, мм/мин Пределы частот вращения
шпинделя токарно-фрезерного суппорта, об/мин Наибольший момент резания на
шпинделе токарно-фрезерного суппорта, Н*м Минимальный диаметр отверстия, в
которое можно ввести ползун, мм Количество гнёзд в магазине
токарно-фрезерного суппорта Габаритные размеры станка (вместе с отдельно
расположенными агрегатами и электрооборудованием), мм: длина х ширина х
высота Масса станка (вместе с отдельно расположенными агрегатами и
электрооборудованием), кг Класс точности станка по ГОСТ 44-93 Поворотная
фрезерная головка: Посадочный диаметр фрезы по ГОСТ 24359-80, мм Наибольший
допускаемый момент резания на шпинделе, Н*м Конус для крепления инструмента в
шпинделе по ГОСТ 15945-82 Приспособление для выверки заготовки, шт.
Максимальная величина подъёма, мм Максимальная грузоподъёмность, кг
|
8000
4200 140000 63 7100 2500 4435 + 30… - 15 50АТ6 (конусность 7:24) 100 80 160
400 4 0,18…19 0,14…0,00125 0,1…1000 1,0…1000 2250 2,5…390 1100 440 2
12200х15700х11570 264000 Н 128,57 1100 50 АТ6 (конусность 7:24) 8 2,5 20000
|
В ремонтно-механическом цехе появилась
потребность в производстве специальной установки для черновой обработки деталей
засыпных аппаратов доменных печей при годовой программе выпуска 3-х конусов с
максимальным снижением затрат на механическую обработку.
Что бы решить эту задачу, приняли решение
усовершенствовать карусельный станок модели 1580Л, изготовление и
проектирование установки для обдирки конусов и чаш. Исполнение этого проекта
позволило снизить затраты на производство, и окупить себя в короткие сроки.
Технология обработки контактирующих
поверхностей, которая использовалась ранее, предполагала использование
устройства ЭКО (электро-контактная обработка). Данный механизм подвешивался на
правый суппорт станка при чистовой обработке шлифовальной головкой с алмазным
кругом на левом суппорте станка.
При подготовке контактной поверхности к
окончательной шлифовке применяли устройство ЭКО. Это и было главным
недостатком, потому что механизм потреблял огромное количество электроэнергии и
СОЖ.
При применении ЭКО, обрабатываемая плоскость
была низкого качества. Дело в том, что правый суппорт станка (горизонтальный),
на который крепится прибор, не имеет возможности поворачиваться налево от
вертикальной оси на нужные для обработки углы (32° и 28°), а только на 16°.
Поэтому абразивный круг врезался в поверхность при обработке. Тем самым
поверхность выглядела в виде ступеней, представленных на рисунке 1.1. По этой
причине сильно увеличивалось время чистовой обработки. Прибор ЭКО требовал
постоянного наблюдения и высокой квалификации рабочего.
Изменение технологии обработки наплавленных
поверхностей конусов и чаш подразумевает использование при грубой обработке
(обдирке) особого приспособления. Разница его в том, что оно крепится на правой
колонне станка, его головная часть передвигается правым суппортом шарнирной
тягой параллельно обрабатываемой плоскости, а абразивный круг «развёрнут»
перпендикулярно перемещению обрабатываемой поверхности в соответствии с
рисунком 1.2.
Модернизация устройства, значительно улучшает
качество подготовки поверхности. Что значительно сокращает затраченное время на
чистовую обработку, расходы СОЖ и электроэнергии.
Рисунок 1.1 - Работа ЭКО устройства применяемого
ранее
Рисунок 1.2 - Работа устройства по новой
технологии
.2 Цель и задачи работы
Целью работы считается улучшение
обдирочно-шлифовальной головки и карусельного станка модели 1580Л.
Предоставленная модернизация даёт вероятность решить проблему по обработке
конусов, что в дальнейшем приведёт к понижению расходов фирмы на производство.
Для решения поставленной задачи нужно:
Спроектировать привод обдирочно-шлифовальной
головки.
Необходимо точно подобрать тип привода при
проектировании головки. Чтобы обеспечить необходимую скорость вращения (
),
идеально подходит клиноременная передача.
Рассчитать и спроектировать шпиндельный узел
обдирочно-шлифовальной головки, сделать ориентировочный расчет и сконструировать
приводной вал. Отталкиваясь от известного диаметра вала и его конструкции,
выбрать подшипники и проверить их на долговечность. Расчет схемы по чертежу
вала, определить расчетные нагрузки и реакции опор.
Спроектировать станочную систему механической
обработки конусов, Станочная система считается ключевым моментом увеличения
производительности труда, она гарантирует стабилизацию технологического и
производственного процессов;
Составить технологический процесс изготовления
направляющей с применением станка с ЧПУ. Проанализировать технологичность
конструкции детали, выбрать заготовку и рассчитать припуски на обработку
(механическую), разработать тех. процесс обработки детали, выбрать необходимое
оборудование, универсальные приспособления, режущий и измерительный
инструменты, выбрать соответствующие режимы резания, создать управляющую
программу для станков с ЧПУ. Левая направляющая - это часть конструкции
головки;
Высчитать и сконструировать набор машинно-ручных
метчиков для нарезания метрической резьбы в отверстиях направляющей левой,
высчитать составляющие метчиков, геометрические характеристики, количество
канавок, главные углы, конструктивные габариты.
Данная работа приурочена к модернизации с
последующим проектированием обдирочно-шлифовальной головки и
усовершенствованием токарно-карусельного станка 1580Л.
. КОНСТРУКТОРСКАЯ ЧАСТЬ
.1 Описание работы шлифовальной головки
В выпускной квалификационной работе доскональное
описание проектирования привода обдирочно-шлифовальной головки для обработки конусов
доменных печей. Схема предоставлена на рисунке 2.1. Разбито на этапы
конструирование ременной передачи, подбор подшипников, шпонок.
Прибор представляет собой специальное
приспособление для грубой очистки поверхностей деталей абразивным кругом, плоскость
вращения которого расположена перпендикулярно обрабатываемой плоскости.
Применение шлифовальной головки значительно
увеличивает возможности станков токарной группы. Шлифовальные головки условно
можно отнести к технологической оснастке. Особенности конструкции головки
включают в себя собственный электродвигатель, что делает её универсальной для
различных моделей станков. Электродвигатель подключается к бортовой системе
цепи общего электропитания станка.
Головка имеет собственную станину, которая при
модернизации может крепиться жестко вместо стандартного резцедержателя. При
изготовлении станины использую сталь, это обеспечивает вибро-устойчивость,
поэтому качество обрабатываемой поверхности высокое.
Техническая характеристика
абразивно-шлифовальной головки:
) скорость вращения круга2675 об/мин.
) максимальная скорость круг 70 м/сек.
) абразивный круг «Slip», «Norton»:
а) 500х76х305;
б) 500х76х203.
) минимальный диаметр круга при внутреннем
диаметре305м430 мм.
) максимальное расстояние выдвигания плиты1200
мм.
) тип перемещения плитыручное.
) перемещение при одном обороте ключа3 мм.
) перемещение опоры винтом скобы, вертикально
200 мм.
) ход шлифовальной головки 650 мм.
) угол отклонения от вертикальной оси± 40°.
) скорость перемещения головки на 1 оборот
планшайбы станка1…5.
Рисунок 2.1 - Принципиальная схема
исполнительного механизма:
- планшайба станка; 2 - правая колонна станка; 3
- траверса; 4 - правый суппорт станка;
- конус доменной печи; 6 - плита опорная; 7 -
плита выдвижная; 8 - шлифовальная головка; 9 - тяга
.2 Расчёт и проектирование привода шлифовальной
головки
.2.1 Разработка и описание кинематической схемы
привода
Абразивный круг устанавливается на вал, он в
свою очередь принимает крутящий момент от ведомого шкива. Сам шкив получает
вращение по клиноременной передаче от электродвигателя. Кинематическая схема
исполнительной машины представлена на рисунке 2.2.
Исходные данные:
) частота вращения абразивного круга2680 об/
мин.
) максимальная частота вращения круга68,9 м/
сек.
) диаметр круга (внешний)505 мм.
) диаметр круга (внутренний)310 мм.
) толщина круга77 мм.
) крутящий момент на валу 103,5 Нм.
Рисунок 2.2 - Кинематическая схема
исполнительной машины:
- электродвигатель; 2 - клиноремённая передача;3
- абразивный круг
.2.2 Энерго - кинематический расчёт привода
Расчет КПД.
Чтобы определить общий коэффициент полезного
действия, нужно учесть все механические потери, в приводе, который
проектируется [12].
В нашем случае имеем два источника:
) ременная передача - 1;
) подшипники - 1 пара.
Находим значение КПД для них[4]:
рем. = 0,95;
п/ш = 0,99.
Коэффициент полезного действия определяем по
формуле (2.1):
hобщ=hрем.· hп/ш(2.1)
hобщ =рем. ·п/ш = 0,95 · 0,99 = 0,94
Выбор электродвигателя зависит от количества
потребляемой мощности и определяется по формуле (2.2):
Рp = Рим/hобщ, кВт,(2.2)
, кВ,(2.3)
где n - кол-во оборотов круга, мин-1 , по
формуле (2.4):
,(2.4)
где υ - частота,
м/с;-диаметр круга, м.
мин-1;

Условие выбора
(Электродвигатель должен быть ближайшим по мощности, среди предложенных).
Исходя из расчётов, выбрать предстоит из трёх
предложенных электродвигателей из таблицы 2.1.
Таблица 2.1 - Выбор электродвигателей
асинхронных трёхфазных серии 4А
|
Модель
двигателя
|
|
|
|
4А180М2У3
|
30
|
2945
|
|
4А200М4У3
|
30
|
1470
|
|
4А200L6У3
|
30
|
980
|
Сопоставляем общее передаточное число, чтобы
определится с конкретным типом электродвигателя.
Для заданной кинематической схемы справедливо:
Передаточные отношения:
;
;
.
Выбрали электродвигатель с
,
то есть серии 4А180М2У3 ТУ16-510.810-81, мощностью 30 кВт, он имеет наименьший размер
среди предложенных. Диаметр и длина вала выбранного электродвигателя d = 48мм,
L = 110 мм.
Кинематический расчет привода:
Ступенчатый расчет передаточного числа:
Выбрали электродвигатель, с передаточным числом
.
Определение частот вращения и моментов на валах
по формуле (2.5):
;
. (2.5)
Моменты на валах находятся по формуле (2.6):
,(2.6)
где
-
мощность на соответствующем валу, Вт;/30, с-1.(2.7)
Определение угловой скорости:
;
.
Определение мощности на валах по формуле (2.8):
Ni = Ni-1
i-1,
Вт;
(2.8)
Вт;
Определение крутящего момента на валу по формуле
(2.9):
; (2.9)
Нм.
.2.3 Проектирование ременной передачи
Исходя из заданного номинального момента,
рассчитываем сечение ремня. Исходные данные:
.Мощность,
.
.Частота вращения вала,
.
.Частота вращения ведомого вала,
.
При
Нм
выбираем сечение «Б» клинового ремня с площадью поперечного сечения
Принимаем диаметр
ведущего
шкива
.
Шкив выбираем на 1-2 номера больше, чтобы уменьшить износ ремня:
Получаем:
.
Относительное скольжение
,
исходя из этого, рассчитаем диаметр
по
формуле (2.10):
. (2.10)
Принимаем ближайшее значение:
.
С учетом скольжения e
пересчитаем передаточное отношение по формуле (2.11):
(2.11)
Рассчитываем n2 по формуле (2.12):
.(2.12)
Допускаемое расхождение до 3%, в нашем случае:
.
Выбираем:
.
Расчет межосевого расстояния рассчитываем по
формуле (2.13):
, мм,(2.13)
где
мм.
мм.
а - по прорисовке: а = 500 мм, amax по формуле
(2.14), aсред по формуле (2.15):
, мм;(2.14)
мм;
мм.(2.15)
Расстояние между осями: а = 500 мм.
Расчётная длина ремня определяется по формуле
(2.16):
, мм;(2.16)
мм.
Исходя из стандартов, принимаем ближайшую длину
ремня L= 1 600 мм и вычисляем по формуле (2.17):
мм. (2.17)
Рассчитываем межосевое расстояние «а» с
применением выбранной длины ремня L по формуле (2.18):
, мм. (2.18)
мм.
Расчет угла обхвата меньшего шкива вычисляем по
формуле (2.19):
(2.19)
Находим скорость по формуле (2.20):
м/с.(2.20)
Вычислим значение окружного усилия Ро, которое
передает один клин сечения «Б» по формуле (2.21):
м/с.(2.21)
Рассчитываем величину окружного усилия Ро,
передаваемого одним клином сечения «Б».
м/с.
Допускаемое окружное усилие на один ремень:
клин сечения «Б».
Н
при i = 1;
=
180 мм;
=
1600 мм и V = 27,7 м/с
Допускаемое окружное усилие на один ремень рассчитываем
по формуле (2.22):
(2.22)
;
- коэффициент
длины ремня, учитывающий его по формуле (2.23):
;(2.23)
,
- коэффициент,
учитывающий режим работы (работа в одну смену),
= 1.
Н.
Вычислим окружное усилие по формуле (2.24):
Н.(2.24)
Расчётное число ремней вычисляем по формуле
(2.25):
(2.25)
Принимаем Z = 6.
Принимая напряжения от натяжения, определим
усилия в ременной передаче:
Сила натяжения каждого участка ветви ремня
определяется по формуле (2.26):
Н.(2.26)
Рабочее натяжение ведущей ветви определяется по
формуле (2.27):
Н.(2.27)
Ведомой ветви определяется по формуле (2.28):
Н.(2.28)
Усилие на валы определяется по формуле (2.29):
Н.(2.29)
2.2.4 Ориентировочный расчёт и конструирование
приводного вала
Схема конструкции вала изображена на рисунке
2.3.
Рисунок 2.3 - Схема конструкции вала
Ориентировочный расчёт приводного вала:
Выполним расчет допускаемых напряжений при
кручении.
Диаметр находим по формуле (2.30):
, мм,(2.30)
где
-
крутящий момент на валу, (
= 100,5 Нм);
- допускаемое
напряжение при кручении;
= 20…25 Н/мм2 для
типовых валов изготовленной из стали 45.
мм.
Из
ряда R40 ГОСТ 6636-69, необходимо округлить до максимально приближенного
значения: = 28 мм.
Выполняем
эскиз вала. Конусность 1:10 концов вала, предназначена для посадки деталей, передающих
крутящий момент. В нашем случае выбираем коническую форму. Данная форма
обеспечивает качественную посадку, и легкую установку деталей на вал.
Формула
для вычисления ширины шкива (2.31):
, мм,(2.31)
где
n - количество ремней в передаче;
е
и f - размеры по табл. 29 [1, Т2, с. 736 - 737]
мм.
Для
облегчения установки, диаметр вала, при шпоночных соединениях шкива и
шлифовального круга, находим исходя из формулы (2.32):
мм,(2.32)
где
- среднее
значение диаметра, мм, по формуле (2.33):
, мм.(2.33)
По
ГОСТ 12081-72 выбираем диаметр вала
, и длину
. [6, стр.
13]. При выборе учитывается диаметр внутренней резьбы M24, для установки и
закрепления шкива.
ср
= 75 - 0,05 · 105 = 69,75 мм.
По
ГОСТ 23360-78 для данного диаметра вала подбираем призматическую шпонку с
размерами:
Ширина
b = 18 мм;
Высота
h = 11 мм;
Глубина
паза t = 7 мм;
Длина
L = 70 мм.
На
основании полученных данных определяем диаметр вала под резьбу для фиксации
лабиринта:
мм.
Полученные
результаты округляем в большую сторону до стандартных размеров. Выбираем
диаметрd1 = 100 мм.
Резьбовой
диаметр
= 105 мм с
шагом 2, так как на валах применяется мелкая резьба, подбираем размеры гаек
круглых шлицевых с резьбой М105х2:
высота
гайки m = 24 мм;
ширина
шлица b = 14 мм;
глубина
шлица t = 7 мм;
наружный
диаметр гайки D = 130 мм.[8, с. 246, табл. 9.39].
Выполняем
проточку диаметром d - 3 мм = 105 - 3 = 102 мм, и шириной
,
с радиусом
r = 1 мм. Так мы получим полный нарезанный профиль резьбы.
Из
отношения
определяем
свободное пространство между диаметром вала и его конусным участком под резьбу
по формуле (2.34):
мм.(2.34)
Свободный
участок под резьбу принимаем длинной равной12 мм.
Диаметр
., длина
мм. для
лабиринта. Лабиринт фиксируем шпонкой с размерами по
для данного
диаметра вала:
Ширина
b = 22 мм;
Высота
h = 14 мм;
Глубина
паза t = 9 мм;
Длина
L = 16 мм.
Диаметр
вала под подшипник определяем из условия отношения dп ≥ d2:
п
≥ 110 мм.
.2.5
Предварительный выбор подшипников и корпусов подшипниковых узлов приводного
вала
Проектирование
начинаем с выбора типа опоры (качения, скольжения). Нагрузки и скорость вала
находятся в пределах допуска подшипников качения.
Подберем
тип подшипников с учетом определенных критерий эксплуатации. Основными
критериями являются: высокая грузоподъёмность, средняя окружная скорость, устойчивость
к радиальным нагрузкам. Для вала головки наиболее подходящими являются:
для
опоры абразивного круга подшипник роликовый радиальный двухрядный с короткими
цилиндрическими роликами по ГОСТ 7634-75.
С
помощью данного подшипника можно регулировать радиальный зазор, этим самым
повышается жёсткость подшипника в радиальном направлении:
для
опоры ведомого шкива два подшипника шариковых радиальных однорядных по ГОСТ
8338-75. Данные подшипники при высокой скорости вращения, совершают работу под
воздействием только осевой силы. Шариковые радиальные однорядные, фиксируют вал
в двух направлениях по осям. На больших скоростях вращения вала, работают с
наименьшими потерями на трение, этим имеют преимущество среди других
подшипников.
Имея
расчетно-посадочный диаметр d = 105мм, подбираем подшипник из каталога готовой
продукции ЗАО «ВПЗ». Это уменьшит расходы на поставку товара. Выбираем из особо
легкой серии диаметров 1 и нормальной серией ширин 0, шариковый радиальный
однорядный подшипник 122 ГОСТ 8338 - 75, он идеально подходит для опоры шкива.
Техническая
характеристика подшипника:
)
наружный диаметрD = 170 мм.
)
внутренний диаметрd = 110 мм.
)
ширинаВ = 28 мм.
)
монтажная фаскаr = 2,0 мм.
)
динамическая грузоподъёмностьС = 80 000 Н.
)
статическая грузоподъёмностьСо= 71 500 Н.
)
частота вращения при смазке:
пластичной3600мин-1;
жидкой4300мин-1.
)
масса1,97 кг.
Для
опоры абразивного круга с условием соблюдения симметрии концов вала выбираем
роликовый радиальный двухрядный с коническим отверстием подшипник 3182122 ГОСТ
7634-75
Техническая
характеристика подшипника:
)
наружный диаметрD = 170 мм.
)
внутренний диаметрd = 110 мм.
)
ширинаВ = 45 мм.
)
монтажная фаска minr = 2,0 мм.
)
динамическая грузоподъёмностьС = 220 000 Н.
)
статическая грузоподъёмностьСо= 360 000 Н.
)
частота вращения при смазке:
пластичная4
500мин-1;
жидкая5
300мин-1.
)
масса3,7 кг.
Диаметр
вала гладкого участка определим по формуле (2.35):
,(2.35)
где
- фаска
внутреннего кольца подшипника, мм;
мм - для
шарикового радиального подшипника.
Диаметр
вала гладкого участка для роликового подшипника с коническим внутренним
диаметром, выполненным конусностью 1:12:
/
12 + 110 = 113,75 мм - максимальный диаметр (внутренний) подшипника;
мм.
Принимаем
для роликового подшипника диаметр заплечиков 120 мм.
.2.6
Уточнённый расчёт приводного вала
Составляем
расчетную схему вала в соответствии с рисунком 2.4, создаем модель, обозначаем
опоры, накладываем нагружения. В расчете рассматриваем вал как балку на двух
опорах. В качестве опор выбираем шарнирно-неподвижные и шарнирно-подвижные типы
опор. На выбор типа опоры влияет её конструктивная особенность, позволяющая
небольшое движение вдоль оси вала или небольшой поворот относительно этой же
оси. В этом случае считать ее шарнирно-подвижной. Исходя из данных показателей
можно сделать вывод, что радиально-осевые подшипники воспринимающие одинаково
осевые и радиальные нагрузки, представляют как шарнирно-неподвижные опоры, а
подшипники, воспринимающие преимущественно радиальную нагрузку - в этом можно
считать ее случае шарнирно-подвижными.
Исходные
данные:
)
конструкция и размеры вала (с эскизной компоновки);
)
материал вала - сталь 45;
)
М1=100,5 Нм - величина крутящего момента (из энерго-кинематического расчёта);
)
Q = 2651 Н - усилие на валы (из расчёта клиноремённой передачи).
Рисунок
2.4 - Схема вала с указанием опасных сечений
На
рисунке 2.5 изображена эпюра изгибающих моментов приводного вала.
Рисунок
2.5-Эпюра изгибающих моментов
Определяем
реакции опор в горизонтальной плоскости ХОZ, силу P находим по формуле (2.36):
;

, Н,(2.36)
где
м
- диаметр шлифовального круга.
Н;
;
Н;
;
;
H.
Проверка:
;
;
Определяем реакции опор в вертикальной плоскости
(ХОУ):
,
где
-
усилие прижима круга.
;
;
Н.
;
;
;
Н.
Проверка:
;
= 0.
Определяем изгибающие моменты, используя метод
сечений:
Горизонтальная плоскость ХОZ:
При
;
Нм.
Сечение 2 - 2:
;
м
При
Нм;
Нм.
Строим эпюру изгибающих моментов в
горизонтальной плоскости в соответствии с рисунком 2.5.
Определяем изгибающие моменты в вертикальной
плоскости ХОУ:
Сечение 1- 1:
,
так как нет сил.
Сечение 2- 2:
;
м
При
При
Нм.
Строим эпюру изгибающих моментов в вертикальной
плоскости в соответствии с рисунком 2.5.
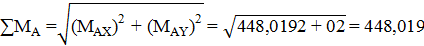
Определяем суммарные изгибающие моменты в опорах
вала по формуле (2.37):
Нм;(2.37)
Нм.
В сечении «В», максимальный суммарный изгибающий
момент, значит это самая опасная область. Проверим сечение на запас прочности в
опасной области по условию n> [n]. Вывод: прочность соблюдена.
Составим схему вала и проведём сечения по
участкам концентрации напряжений в соответствии с рисунком 2.4.
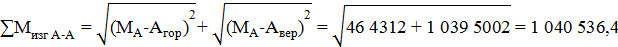
Проанализируем сечение А - А: концентрация
напряжений обусловлена наличием шпоночной канавки.
Изгибающий момент в горизонтальной плоскости:
;
мм;
При
Нмм.
Изгибающий момент в вертикальной плоскости:
;
мм;
При
Нмм;
Нмм.
Сумма моментов в сечении А - А:
Нмм.
Полярный момент сопротивления определяется по
формуле (2.38):
,(2.38)
где d - диаметр вала в данном сечении, мм;-
ширина устанавливаемой шпонки, мм;- глубина паза для установки шпонки, мм.
мм3.
Момент сопротивления изгибу определяется по
формуле (2.39):
, мм3;(2.39)
мм3.
Амплитуда и среднее напряжение цикла касательных
напряжений определяется по формуле (2.40):
Н/мм2.(2.40)
Амплитуда нормальных напряжений изгиба
определяется по формуле (2.41):
Н/мм2.(2.41)
Коэффициент запаса прочности по нормальным
напряжениям определяется по формуле (2.42):
Для стали 45 при
Н/мм2.
,[1, стр.17](2.42)
где
-
коэффициент, учитывающий сопротивление усталости;
, так как вал не
действуют растяжение и сжатие;
Н/мм2 - предел
выносливости при изгибе;
- коэффициент
концентрации напряжений при обработке концевой фрезой шпоночного паза;
- коэффициент
влияния абсолютных размеров поперечного сечения (масштабный фактор);
- коэффициент
влияния шероховатости сечения.
Коэффициент запаса прочности по касательным
напряжениям определяется по формуле (2.43):
,(2.43)
где
Н/мм2
- предел выносливости при кручении;
- коэффициент
концентрации напряжений при обработке концевой фрезой шпоночного паза;
- коэффициент, на
сопротивление усталости.
Результирующий коэффициент запаса прочности для
сечения А- А определяется по формуле (2.44):
(2.44)
Рассмотрим сечение Б - Б: концентрация
напряжений обусловлена посадкой подшипника с гарантированным натягом:
;[3, табл. 6.7]
Н мм.
Осевой момент сопротивления находим по формуле
(2.45):
.(2.45)
Амплитуда нормальных напряжений изгиба:
Н/мм2.
Полярный момент сопротивления находим по формуле
(2.46):
мм3.(2.46)
Амплитуда и среднее напряжение цикла касательных
напряжений определяется по формуле (2.47):
, Н/мм2;(2.47)
Н/мм2.
Коэффициент запаса прочности по нормальным
напряжениям находим по формуле (2.48):
;(2.48)
.
Коэффициент запаса прочности по касательным
напряжениям находим по формуле (2.49):
(2.49)
.
Результирующий коэффициент запаса прочности для
сечения Б - Б:
.
Полученные в ходе расчетов значения приводим в
таблице 2.2.
Таблица 2.2 - Результаты уточнённого расчёта
вала
|
Сечение
|
Sσ
|
St
|
S
|
[S]
|
Прочность
вала
|
|
Сечение
А-А
|
14,52
|
386,62
|
14,5
|
2,5
|
Обеспечена
|
|
Сечение
Б-Б
|
11,12
|
513
|
11,12
|
2,5
|
Обеспечена
|
.2.7 Проверка долговечности подшипников
Пользуясь предыдущими расчетами, определим
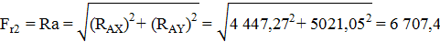
суммарные реакции опор:
H;
H.
Рассмотрим правый подшипник и рассчитаем
эквивалентную динамическую нагрузку для роликового подшипника с короткими
цилиндрическими роликами по формуле (2.50)[3, форм. 7.6 с. 117]:
, H,(2.50)
где V - коэффициент, учитывающий вращение колец;
V = 1 при вращении внутреннего кольца;
- температурный
коэффициент (KT = 1,0)[3,табл.7.1];
коэффициент
безопасности [3, табл. 7.4].
кН.
Определяем расчётную долговечность L в млн.
оборотов по формуле (2.51):
, млн. об,[3, форм.
7.3 с.117].(2.51)
где
-
для шарикоподшипников;
- для
роликоподшипников;
С - динамическая грузоподъёмность.
млн. об.
Определяем расчётную долговечность по формуле
(2.52):
, ч[3, форм. 7.4
с.117],(2.52)
где n2 - частота вращения подшипника, мин-1.
ч.
Полученный результат долговечности подшипника
удовлетворяет условиям задачи.
Расчет нагрузок для второго подшипника
определяем по формуле (2.53):
,H ,[3, форм.
7.5
с. 117].(2.53)
где Х - коэффициент радиальной нагрузки, Х =
0,56;- коэффициент учитывающий осевую нагрузку, Y = 1,55;
- осевая нагрузка
на подшипник, Н;
- радиальная
нагрузка на подшипник, Н.
Н,
кН.
Рассчитываем долговечность L в млн. оборотов по
формуле (2.54):
млн. об. (2.54)
Рассчитываем долговечность в количестве рабочих
часов, ч:
ч.
Полученный результат удовлетворяет условиям
задачи.
В данном разделе мы провели расчет на
долговечность всех используемых подшипников. Выбранные подшипники полностью
соответствуют нашим требованиям.
2.2.8 Подбор шпонок и их проверочный расчёт
Выбор
шпонок производится исходя от диаметра, в нашем случае =69,75 мм (средний
диаметр).Выбираем шпонку 18х11х70 мм призматическую по ГОСТ 23360 - 78 [СТ СЭВ
189 - 79]. Шпонка представляет собой брусок стальной, который устанавливается в
специальные пазы вала и шкива. Главным образом она служит для передачи
крутящего момента. В зависимости от сечения возникают различные напряжения:
-смятия и
среза.Шпонки являются простой конструкцией, поэтому они получили широкое
применение в области машиностроения. Но есть и недостатки: пазы на валах, в
которые устанавливается шпонки, уменьшают его сечение, тем самым не только
ослабляют конструкцию, но концентрируют напряжения изгиба и кручения в местах
шпоночного соединения.
Рассчитываем
шпонку на смятие по формуле (2.55):
, МПа,(2.55)
где
- рабочая
длина шпонки (
) по формуле
(2.56);
Т
= 100,5 Н - крутящий момент на валу;- диаметр вала в месте шпоночного
соединения, мм;= 11 - высота шпонки, мм;- ширина шпонки, мм;
[
] -
допустимое напряжение смятия,
= 100 … 120 МПа;
мм;(2.56)
МПа.
где
[
] < 100
Н/мм2 при нормальных нагрузках.
[
] необходимо
учесть, что при значительных нагрузках ее необходимо снижать на 25 %.
,07
МПа < 75 МПа.
Выбранная
призматическая шпонка удовлетворяет условию прочности на смятие.
3.
ТЕХНОЛОГИЧЕСКАЯ ЧАСТЬ
.1
Разработка технологического процесса шпиндельного вала
Валы
- это деталь из металла в форме цилиндра с квадратными или круглыми сечениями.
Он используется вдоль всей своей оси и передает крутящий момент. Все
вращающиеся детали у машин крепятся на валах и обеспечивают соосность. В зонах где повышено напряжение объем металла должен
быть минимальным. При уменьшении давления, выносливость должна быть высокой.
Все детали, которые вращаются в станках и есть -валы.
В
процессе работы вала на него действуют различные силы, такие как: растяжение,
сжатие, изгиб и кручение. Чтобы предотвратить досрочный износ подшипников,
шпиндельный вал должен обладать жёсткостью. Шейки для посадки подшипника,
должны соответствовать высоки классом точности. Кроме всего перечисленного
сборка и регулировка играют немаловажную роль при установке деталей станка.
Шпиндельный
вал, для которого разрабатывается технологический процесс, устанавливается в
специальном корпусе и закреплен на двух шариковых радиальных однорядных
подшипниках.
В
нашем случае вал многоступенчатый, содержит 5 ступеней:
Первая
ступень-30 мм.
Вторая
и четвертая ступень - 35 мм.
Третья
ступень-42 мм.
Пятая
ступень-32 мм.
Для
изготовления шпиндельного вала используем Сталь 40X. На валу для закрепления
шкива имеются 3 шпоночные канавки.
.2
Анализ технологичности конструкции детали
Технологичность
конструкций тесно связано с производительностью труда, затраченным периодом на
технологическую подготовку производства, ТО и ремонтом. При производстве
деталей желательно использовать заготовки со стандартными и оптимальными
размерами.
В
технологической конструкции изделия учитывают:
Оптимальную
форму изделия для обработки с максимальной доступностью;
Учитывают
использование предложенных материалов с наименьшими отходами, поэтому заготовку
следует выбирать с размерами близкими к готовой детали.
При
определении целесообразности изготовления заготовки, опираются на исходные
данные. Они включают в себя сборочный чертёж, методы производства,
специализацию узла, требуемое количество готовых деталей в год.
Технические
условия - Химическое оксидирование; HRC 32-35.
Валы
изготавливаются стали марки 40х по ГОСТ 1050-88. Сталь 40х является
углеродистой доэвтектоидной сталью в соответствии с таблицей 3.1, что означает
возможность применения термообработки, а в частности улучшение, которое состоит
из нагрева детали до температуры 820-840оС с быстрым охлаждением и дальнейшим
высокотемпературным отпуском в соответствии с таблицей 3.2. Сердцевина вала
остается в вязком состоянии, т.к. сталь 40х имеет прокаливаемость от 10 до15
мм. Вязкое состояние сердцевины вала обеспечивает высокую ударную вязкость и
устойчивость вала к различным видам нагрузки.
Таблица 3.1 - Сталь 40Х и её химический состав в
%
|
|
|
|
|
|
|
|
|
|
0,36-0,44
|
0,17-0,37
|
0,5-0,8
|
до
0,3
|
до
0,035
|
до
0,035
|
0,8-1,1
|
до
0,3
|
Таблица 3.2 - Механические свойства стали 40Х
|
Термообработка,
состояние поставки
|
Сечение,
мм
|
σ0,2
,МПа
|
σв,МПа
|
δ5,
%
|
ψ,
%
|
KCU,
Дж/м2
|
HB
|
|
Пруток
ГОСТ 4543-71
|
|
Закалка
860 °С, масло. Отпуск 500 °С, вода или масло
|
25
|
780
|
980
|
10
|
45
|
59
|
|
|
Поковка
ГОСТ 8479-70
|
|
Нормализация.
КП 245
|
500-800
|
245
|
470
|
15
|
30
|
34
|
143-179
|
|
Нормализация.
КП 275
|
300-500
|
275
|
530
|
15
|
32
|
29
|
156-197
|
|
Закалка,
отпуск. КП 275
|
500-800
|
275
|
530
|
13
|
30
|
29
|
156-197
|
|
Нормализация.
КП 315
|
<100
|
315
|
570
|
17
|
38
|
39
|
167-207
|
|
100-300
|
315
|
570
|
14
|
35
|
34
|
167-207
|
|
Закалка,
отпуск. КП 315
|
300-500
|
315
|
570
|
12
|
30
|
29
|
167-207
|
|
500-800
|
315
|
570
|
11
|
30
|
29
|
167-207
|
|
Нормализация.
КП 345
|
<100
|
345
|
590
|
18
|
45
|
59
|
174-217
|
|
100-300
|
345
|
590
|
17
|
40
|
54
|
174-217
|
|
Закалка,
отпуск. КП 345
|
300-500
|
345
|
590
|
14
|
38
|
49
|
174-217
|
|
Закалка,
отпуск. КП 395
|
<100
|
395
|
615
|
17
|
45
|
59
|
187-229
|
|
100-300
|
395
|
615
|
15
|
40
|
54
|
187-229
|
|
300-500
|
395
|
615
|
13
|
35
|
49
|
187-229
|
|
Закалка,
отпуск. КП 440
|
<100
|
440
|
635
|
16
|
45
|
59
|
197-235
|
|
100-300
|
440
|
635
|
14
|
40
|
54
|
197-235
|
|
Закалка,
отпуск. КП 490
|
<100
|
490
|
655
|
16
|
45
|
59
|
212-248
|
|
100-300
|
490
|
655
|
13
|
40
|
54
|
212-248
|
В целом по конструкции деталь технологична:
Сталь 40X очень технологична и поддается всем
видам обработки.
Из-за большой длины, возникают трудности при
установке.
Что бы обеспечить жесткость при обработке
используется люнет, в наружных центрах.
Деталь имеет ступенчатые цилиндрические
поверхности.
Требует высокой точности при обработке в местах
шпоночных соединений.
Люнет, в качестве дополнительной опоры, для
придания жесткости. Оборудование для обработки шпоночных пазов - фреза.
Минимальные объемы обработки.
.2 Выбор заготовки
В практике машиностроения используют различные
способы изготовления заготовок. Валы имеющие незначительную разницу в диаметрах
шеек, производят из заготовок круглого проката. А для коленчатых валов -
ковочными молотами и прессами.
Методы изготовления заготовки определяются
исходя из количества выпуска, от применяемого материала, области применения
детали и её конструктивной особенности.
В вопросе о целесообразности играет важную роль
себестоимость. Поэтому заготовку следует выбирать ту, которая обеспечит
наименьшие затраты.
Исходя из массы проката и массы отходов от
производства (стружки), определяют затраты по формуле (3.1):
, руб.,(3.1)
где Q - масса самой заготовки, кг;- цена за 1 кг
потраченного материала на заготовку, S = 40 руб./кг;- масса изготовленной
детали, кг;
- цена 1 кг
отходов,
руб./кг.
, руб.
Себестоимость поковок определяем по формуле
(3.2):
, руб.,(3.2)
где
-
коэффициенты, зависящие от точности, сложности, массы, марки материала и объема
производства заготовок.
руб.
При заданном объеме выпуска самым выгодным
способом является сортовой прокат. Массу заготовки принимаем 5,7 кг, массу
детали принимаем 3,5 кг.
Для определения коэффициента использования
материала применяем формулу (3.3):
где
- масса изготовляемой детали, кг;
- масса выбранной
заготовки, кг.
В конечном итоге принимаем заготовку по ГОСТ
2590-88 сортовой прокат: 45х450 мм.
.3 Выбор маршрута обработки
Маршрут обработки деталей включает в себя
перечисление всех операций, необходимых для изготовления деталей, с
последовательностью их выполнения. Маршрут должен включать в себя и те
операции, которые не относятся к механической обработке, например: операция
термической обработки, промежуточная сборка, разметочные и заготовительные
операции.
Деталь имеет цилиндрические поверхности, поэтому
в качестве первых операций обработки используем фрезерно-центровальную и
токарную. Далее на сверлильной операции обрабатываем отверстия. Для придания
высокой точности, конечной операцией выбираем - кругло-шлифовальную.
Последовательность обработки:
- фрезерно-центровальная операция;
- токарно-фрезерная операция (ЧПУ);
- токарно-фрезерная операция (ЧПУ);
- токарная операция (ЧПУ);
- фрезерная операция;
- вертикально-сверлильная операция;
- слесарная операция;
- термическая операция;
- кругло-шлифовальная операция;
- химическое оксидирование;
- контрольная операция.
.4 Предварительное нормирование времени операций
При разработке технологического процесса
определяется технологическое (основное) время, затрачиваемое непосредственно на
изготовление детали. Изменение её формы, размеров. Технологическое время
зависит от степени участия рабочего, в технологическом процессе.
С помощью формул определяем нормирование. В учет
входят: виды обработки, производительность, величина снимаемого припуска.
Полученные результаты заносим в таблицу 3.3:
Таблица 3.3- Штучно-калькуляционное время
|
Выполняемые
операции
|
.,
мин
|
|
Фрезерно-центровальная
|
3
|
|
Токарно-фрезерная
с ЧПУ
|
30
|
|
Токарная
с ЧПУ
|
10
|
|
Фрезерная
|
10
|
|
Сверлильная
|
3
|
|
Выполняемые
операции
|
.,
мин
|
|
Кругло-шлифовальная
|
10
|
|
∑
|
66
|
.5 Выбор типа и формы организации производства
Не обладая информацией о загруженности
оборудования при производстве другой продукции, выберем тип производства
используя коэффициент загрузки.
Определяем коэффициент загрузки по формуле
(3.4):
,(3.4)
где
- среднее время обработки (средняя
норма времени) равно 1,86 мин;- годовая норма выпуска 5000 шт.;
- действительный годовой фонд
времени 3904 ч.
Проанализировав полученные
результаты (коэффициент загрузки), сравниваем их со стандартами. Исходя из
этого, выбираем среднесерийный тип производства.
Необходимо обеспечить бесперебойное
производство или с наименьшими перерывами, при прохождении по всем операциям
обработки. Это и есть главный критерий к выбору форм производства. Поточная
форма является лучшей ведущей формой в организации производства. Эта форма
концентрирует рабочие места в нужной области, в зависимости от специализации.
Анализируя технологический процесс, нужно разместить рабочие места, в строгой
последовательности. После выбора типа производства, приходим к выводу, что
подходяще формой производства является специализированный участок.
Основные производственные площади.
.
Участок общей площадью в 3 раза
больше-570 м2.
проезд транспорта -2,5∙36=90
м2.
погрузочные площади-20 м2.
помещение для заготовительной
продукции-20 м2.
помещение для готовой продукции-10
м2.
подсобные помещения-20 м2.
Бытовки-15 м2.
офисные помещения-10 м2.
сантехнические помещения-5 м2×2 места.
.6 Расчет припуска на обработку
Заготовка, подразумевает дальнейшую
обработку. Что бы добиться высокой точности, при получении конечных размеров,
используют припуск. Припуском называют слой металла, который удаляется в
процессе обработки. Правильно подобранный припуск, гарантирует высокое качество
и экономию материала.
Выбор и расчёт припусков на
обработку производится расчётно-аналитическим методом профессора Кована по формуле
(3.6) [7]:
,мм,(3.6)
где Zmin - номинальный припуск на
обработку детали, мм; - шероховатость, мм;
Т - глубина дефектного
поверхностного слоя, мм;
ρ - пространственные отклонения
заготовки, мм;
ε - погрешность на закрепление
заготовок в станке, мм.
Отталкиваясь от диаметра вала,
строим схему расположения припусков и допусков. Для токарной и шлифовальной
операции, которая приведена на рисунке 3.1.
.
.
При шлифовальной обработке
рекомендуемый припуск
При токарной обработке рекомендуемый
припуск
При фрезерной обработке наибольший
припуск
При шлифовальной обработке
наибольший припуск при
м
Оптимальный принятый размер
.
Рисунок 3.1 - Схема для расчёта припуска
.7 Выбор технологического оборудования
При подборе оборудования, учитывают все
предложенные данные и требования к выпускаемой продукции. Подбор происходит по
следующим критериям:
способы технической обработки деталей;
габариты используемой детали;
площадь поверхности, которую предстоит
обработать;
местоположение поверхности, которая
обрабатывается;
критерии точности обрабатываемой поверхности;
количество инструментов, используемых в одной
наладке станка;
границы скоростей и рабочих подач;
методы производства.
Модели металлорежущих станков и их описание
приведено в таблице 3.4.
Таблица 3.4 - Наименование используемых
металлорежущих станков
|
№
операции
|
Наименование
операции
|
Станок
|
|
1
|
Фрезерно-центровальная
|
Фрезерно-центровальный
станок мод. МР-71
|
|
2,3
|
Токарно-фрезерная
(ЧПУ)
|
Токарно-фрезерный
станок Metalmaster MML 250x550 M
|
|
4
|
Токарная(ЧПУ)
|
Токарный
станок с ЧПУ 16К20Ф3С5
|
|
5
|
Фрезерная
|
Фрезерный
станок 2фп-231
|
|
6
|
Вертикально-сверлильная
|
Вертикально-сверлильный
станок с ЧПУ мод. 2Р170Ф2 “Координата С70-3”
|
|
9
|
Кругло-шлифовальная
|
Кругло-шлифовальный
станок мод.3А164
|
Технические характеристики металлорежущего
оборудования
. Фрезерно-центровальный станок мод. МР-71:
габаритные размеры фрезерного станка составляют,
мм:
длина2640
ширина1450
высота1720
диапазон длин обрабатываемых заготовок, мм
:200-500
диаметр обрабатываемой заготовки детали, мм:
25-125
число скоростей шпинделя режущего инструмента6
мощность электродвигателя главного движения,
кВт17
. Токарно-фрезерный станок Metalmaster MML
250x550 M:
максимальный диаметр обработки над станиной,
мм250
расстояние между центрами, мм500
частота вращения шпинделя, об/мин125-2000
диапазон метрической резьбы, мм0.4-3.5
ход пиноли, мм70
конус задней бабки МК 2
конус шпинделя МК 4
диаметр сквозного отверстия шпинделя, мм21
. Токарно-винторезный станок с ЧПУ модели
16К20Ф3С5:
наибольший диаметр обрабатываемой детали, мм400
наибольшая длина обрабатываемой детали, мм2000
частота вращения шпинделя, мин-112,5-1600
диапазон скоростей шпинделя, об/мин12,5-2000
число скоростей22
подача, мм/об:
продольная 0,05-2,8
поперечная0,025-1,4
дискретность перемещения, мм/мин:
продольная подача0,01
поперечная подача0,005
наибольший шаг нарезаемой резьбы, мм20
мощность электродвигателя главного движения,
кВт11
. Фрезерный станок 2фп-231:
класс точности Н
нормы точности:
точность обработки детали, мм 0,1
точность позиционирования, мм0,05
шероховатость обработки, мкм3,2
рабочая поверхность стола, мм
длина х ширина40320х1750
наибольшее перемещение, мм
продольное 30500
поперечное 2350
вертикальное 400
пределы рабочих подач, мм/мин.2-3000
мощность главного привода, кВт55
габариты, мм
длина 42300
ширина6050
высота3860
. Вертикально-сверлильный мод. 2 Р170 Ф2
“Координата С70-3”:
наибольший диаметр cверления, мм70
наибольший диаметр резьбы, мм24
размеры рабочей поверхности, мм1600×860
- конус шпинделяМорзе №4
наибольшие ход стола, мм:
продольный (по оси Х)560
поперечный (по оси У)360
количество скоростей шпинделя12
пределы скоростей шпинделя, об/мин32-140
количество рабочих подач18
пределы рабочих подач, мм/мин10-500
мощность электродвигателя главного движения,
кВт4
дискретность программирования перемещений,
мм0,01
. Кругло-шлифовальный станок мод. 3А164:
наибольший диаметр шлифования, мм360
наибольшая длина шлифования, мм1800
скорость перемещения стола, м/мин 0,1-5
число оборотов изделия, мин-130-180
число оборотов шлифовального круга,
мин-1890-1300
мощность электродвигателя главного движения,
кВт13
.8 Выбор приспособлений
Станочные приспособления для оснастки
технологических операций приведённой.
Исходные данные для выбора станочных
приспособлений:
применяемые методы обработки;
габаритные размеры станка;
исходный материал детали до обработки;
переналадки на размер применяемых режущих
инструментов;
возможность установки нескольких деталей
одновременно;
модель применяемого силового привода;
критерии точности при механической обработке;
все возможные методы производства.
Используемые станочные приспособления,
техническая характеристика, наименование производимых операций, названия
приспособлений, последовательность операций приведены в таблице 3.5.
Таблица 3.5-Станочные приспособления и их
краткая характеристика
|
№
операции
|
Наименование
операции
|
Наименование
приспособления
|
Техническая
характеристика
|
|
1
6
|
Фрезерно-центровальная
Вертикально-сверлильная
|
Тиски
самоцентри-рующиеся
|
Н
= 120 мм
|
|
2-5
8
|
Токарная
Фрезерная Кругло-шлифовальная
|
Поводковый
патрон и задний центр
|
D
= 140 мм
|
.9 Выбор режущего инструмента
При подборе режущих инструментов, необходимо
проанализировать заданный чертеж. Правильный подбор должен учитывать все
конструктивные особенности применяемых инструментов.
Исходные данные для выбора инструментов:
методы обработки;
габариты обрабатываемой поверхности;
шероховатость обрабатываемой поверхности;
обрабатываемый материал, его марка , название;
режущая часть, материал;
метод производства.
Инструменты, которые используется в
производстве, техническое
описание, наименования, и примечания к ним,
приведены в таблице 3.6.
Таблица 3.6 - Используемые режущие инструменты
|
№
перехода
|
Наименование
перехода
|
Наименование
инструмента
|
Материал
режущей части
|
Примечания
|
|
1.1
|
Фрезеровать
торец
|
Фреза
торцевая насадная мелкозубая со вставными ножами, оснащёнными пластинами из
твёрдого сплава 2214-0335 ГОСТ 1092-80
|
Т5К12
|
D
= 160 мм; d = 50 мм; В = 49 мм; Z = 10.
|
|
1.2
|
Центровать
отверстие
|
Сверло
центровочное А10 ГОСТ 14952-75
|
Р6М5
|
D
= 25 мм; d = 10мм; l = 14,2 мм; .
|
|
2.1,
3.1, 4.1
|
Точить
контур предварительно
|
Резец
упорно-проход-ной черновой по ГОСТ 21151-75
|
Т5К10
|
φ
= 90˚;
φ1
= 10˚.
|
|
2.2,
3.2, 4.2
|
Точить
контур окончательно
|
Резец
упорно-проход-ной чистовой по ГОСТ 21151-75
|
Т15К6
|
φ
= 90˚;
φ1
= 10˚.
|
|
3.3
|
Нарезать
резьбу М30х2-6g
|
Резец
резьбонарезной по ГОСТ 21151-75
|
Т15К6
|
φ
= 90˚;
φ1
= 10˚.
|
|
№
перехода
|
Наименование
перехода
|
Наименование
инструмента
|
Материал
режущей части
|
Примечания
|
|
5.1
|
Фрезеровать
торец в квадрат
|
Фреза
концевая ГОСТ 6396-78
|
Т15К10
|
D
= 7 мм; d = 8 мм; L = 60 мм; l = 16 мм; Конус Морзе 2.
|
|
6.1
|
Сверлить
отверстие Ø 4,9 мм
|
Сверло
спиральное Ø 4,9 мм ГОСТ 10903-77
|
Р6М5
|
d
= 4,9мм; L = 220 мм; l = 120мм.
|
|
2.3
3.4
|
Фрезеровать
шпоночный паз 32х6х4 180х6х4
|
Фреза
шпоночная 2235-0113 ГОСТ 6396-78
|
Т5К10
|
D
= 6 мм; d = 16 мм; L = 105 мм; l = 20 мм; Конус Морзе 2.
|
|
|
9.1
|
Шлифовать
шейки вала: Ø 35 мм Ø
32 мм
|
Круг
шлифовальный ПП 250×40×80
25А25 СМ1-5-К5/35 м/с ГОСТ 2424 - 83
|
Электрокорунд
белый марки 25А Связка керамическая
|
D
= 250 мм; d = 80 мм; Н = 40 мм.
|
|
.10 Выбор режимов резания
Выбор режимов резания заключается главным
образом в подборе самого выгодного сочетания скорости резания и подачи.
Целесообразное использование всех режущих свойств, возможности станка, при
соблюдении всех технических норм и условий на изготовление продукции.
Обеспечить в данных условиях наибольшую производительность, и наименьшую
стоимость всех операций.
Исходные данные для выбор режимов резания:
методы обработки;
материал обрабатываемой детали;
материал режущей части инструмента;
критерии точности;
шероховатость обрабатываемой поверхности;
методы производства.
Порядок выбора режимов резания для станков с
ЧПУ:
→n→So→Ft
) V - скорость резания - определяется либо по
типовым значениям, принятым для данного типа обработки, либо рассчитывается с
учётом стойкости инструмента и с учётом выбранных глубины и подачи по формуле
(3.7):
, м/с,(3.7)
где СV - начальное условие
(эмпирический коэффициент);
Т - сопротивление к износу;- глубина
резания;- подача при резании;, x, y - эмпирические показатели степени, обычно
не более 1.
Основными режимами резания:
Черновая обработка V = 100 м/мин,
Чистовая обработка V = 150м/мин,
Сверление V = 25 м/мин.
) n - скорость вращения шпинделя
определяем по формуле (3.8):
, мин-1,(3.8)
где Dmax - диаметр обрабатываемой
заготовки, мм.
) So- подача -в зависимости от типа
обработки определяется ее величина.
Основные режимы резания:
Черновая обработка S0 = 0,2-0,4
мм/об,
Чистовая обработка S0 = 0,02-0,05
мм/об,
Сверление S0 = 0,01×Dmax мм/об
(1% от Æ отверстия).
) F - скорость подачи определяется
по формуле (3.9):
= So.n, мм/мин(3.9)
) t - глубина резания - зависит от
диаметрального припуска на обработку, и количеством чистовых проходов.
Основные режимы резания:
Наружная обработка tmax = 4 мм,
Внутренняя обработка tmax = 2 мм.
Для универсальных станков порядок
назначения режимов резания следующий:
→S→V→n
Для кругло-шлифовальной обработки
методы обработки приведены в таблице 3.7.
Таблица 3.7 - Режимы обработки для
кругло-шлифовальной операции
|
№
|
Наименование
инструмента
|
Vкр.
м/с
|
Vзаг.
м/мин
|
Sпрод.,
дв. х./мин
|
Sпопер.,
мм
|
|
1
|
Круг
шлифовальный ПП 250×40×80
25А25 СМ1-5-К5/35 м/с ГОСТ 2424 - 83
|
35
|
25
|
20
|
0,3
|
Выбранные токарные, сверлильные и фрезерные
операции и их режимы обработки представлены в таблице 3.8.
Таблица 3.8 - Режимы резания для токарных,
сверлильных и фрезерной операций
|
№
|
Наименование
инструмента
|
Режимы
|
|
|
V,
м/мин
|
n,
об/мин
|
Sо(SZ),
мм/об (мм/зуб)
|
F,
мм/мин
|
t,
мм
|
|
1.
|
Фреза
торцевая D=160мм, Т5К12
|
100
|
315
|
2
(0,2)
|
630
|
1
|
|
2.
|
Сверло
центровочное А10, Р6М5
|
15
|
500
|
0,1
|
50
|
-
|
Резец
упорно-проходной черновой, Т5К10(Ø35,40)
|
100
|
500
|
0,2
|
71
|
2,5
|
|
4.
|
Резец
упорно-проходной черновой, Т5К10 (Ø 28,34,37)
|
100
|
500
|
0,2
|
100
|
4;1,5;3
|
|
5.
|
Резец
упорно-проходной черновой, Т5К10 (Ø 40,43)
|
100
|
500
|
0,2
|
100
|
1,0;
1,5
|
|
6.
|
Резец
упорно-проходной чистовой, Т15К6 (Ø35,40 )
|
140
|
400
|
0,05
|
20
|
2,4
|
|
7.
|
Резец
упорно-проходной чистовой, Т15К6 (Ø 37,34,28)
|
140
|
500
|
0,05
|
25
|
2,4;2;2
|
|
8.
|
Резец
упорно-проходной чистовой, Т15К6 (Ø 43,40)
|
140
|
710
|
0,05
|
35,5
|
0,4;
2,4
|
|
9.
|
Резец
резьбонарезной, Т15К6 (Ø 30)
|
140
|
500
|
0,05
|
25
|
2
|
|
10.
|
Спиральное
сверло Ø 4,9, Р6М5
|
25
|
355
|
0,2
|
70
|
2,45
|
|
11.
|
Метчик
Ø
6, Р6М5
|
25
|
355
|
0,2
|
70
|
0,55
|
|
12.
|
Фреза
концевая Т5К10
|
400
|
12
|
20
|
0,03
|
7
|
.11 Уточненное техническое нормирование времени
операций
В определенных производственных условиях, для
реализации заданных планов на выполнение операций, устанавливают норму времени.
По этой норме высчитывают потраченное время на весь период выпуска деталей. А
также необходимое количество производственного оборудования, численность
рабочих, затраты электроэнергии, потребности в расходных материалах. Именно в
соответствии с этими нормами времени, составляют производственный план цеха,
отдельных участков, и всего завода в целом. Подсчет заработной платы рабочих
происходит в зависимости от затрат времени. Производительность труда напрямую
зависит от времени затраченного на операцию. Если сократить время затраченное
на одну операцию, то значительно увеличится количество обрабатываемых деталей
за час, или смену. Квалификация рабочего должна строго соответствовать его
профилю, это тоже ускорит процесс. Стоит учесть, что в норму времени не входит
работа по исправлению бракованных изделий, или изготовление деталей взамен
бракованных.
Норма по изготовлению штучной продукции
определяется по формуле (3.10):
. , мин,(3.10)
где
-
машинное время (основное) - основной расчет учитывающий все переходы по формуле
(3.11):
, мин,(3.11)
где
- вспомогательное время - включает
в себя время холостого хода, и всего времени затрачено на вспомогательные
операции;
- время затрат на ТО по формуле
(3.12):
, мин,(3.12)
где
- организационное время - время на
снабжение рабочего места деталями и инструментом по формуле (3.13):
, мин,(3.13)
где
- время перерывов по формуле
(3.14):
, мин,(3.14)
- подготовительно-заключительное
время - время на подготовку к новой партии деталей по формуле (3.15):
, мин,(3.15)
где р - количество деталей в
партии;- годовая программа.
Нормы времени по операциям приведены
в таблице 3.9.
Таблица 3.9 - Нормы времени на
выполнение операций
|
№
операции
|
Наименование
операции
|
tо,
мин
|
tв,
мин
|
tтех,
мин
|
tорг,
мин
|
tп,
мин
|
Тшт-к,
мин
|
|
1.
|
Фрезерно-центровальная
|
0,35
|
0,5
|
0,035
|
0,04
|
0,16
|
1,085
|
|
2.
|
Токарно-фрезерная
ЧПУ
|
9,0
|
0,5
|
0,9
|
0,95
|
0,38
|
11,73
|
|
3.
|
Токарно-фрезерная
ЧПУ
|
9,8
|
0,5
|
0,98
|
1,03
|
0,257
|
12,23
|
|
4.
|
Токарная
(ЧПУ)
|
10,73
|
0,25
|
1,073
|
1,1
|
0,44
|
13,6
|
|
5.
|
Фрезерная
|
8,5
|
0,5
|
0,85
|
0,9
|
0,225
|
11,8
|
|
6.
|
Вертикально-сверлильная
|
0,78
|
0,5
|
0,078
|
0,128
|
0,05
|
1,536
|
|
7.
|
Кругло-шлифовальная
|
9,4
|
0,5
|
0,94
|
0,99
|
0,25
|
14,53
|
.12 Выбор средств измерения и контроля
Выбор средств измерения и контроля производится
с учетом погрешностей, совершенных в результате измерения и заданных в
соответствии с нормативной документацией. Назначение средств контроля должно
удовлетворять требованиям получения соответствующих значений измеряемых величин
с максимальной точностью. При этом с минимальными затратами.
Выбрано средство для операции приёмочного
контроля. Особое внимание уделяется деталям, которые должны соответствовать
высоким нормам контроля.
Осуществление контроля происходит по следующим
признакам:
Во время основных технических операций.
И на завершающей стадии, на приеме продукции.
Основная проверка контроля происходит на приеме
готовой продукции.
В основу выбора положена следующая зависимость:
(3.16)
Исходные данные:
тип контролируемой поверхности и
размера;
основные размеры детали, масса;
величины проверяемой поверхности;
высокая точность;
метрологические характеристики
средства измерения;
метод производства.
Выбранные средства измерения и их
метрологические характеристики приведены в таблице 3.10.
Таблица 3.10 - Средства измерения и
их метрологические характеристики
|
Контролируемый
размер или параметр
|
Наименование
средства контроля или измерения
|
Метрологические
характеристики
|
|
|
Предельная
погрешность измерений ±Δlim, мм
|
Цена
деления, мм
|
Диапазон
измерения, мм
|
|
Шейки
вала
|
Микрометр
рычажный МР по ГОСТ 4381-80
|
±0,001-
±0,002
|
0,002
|
0
- 100
|
|
Шероховатость
|
Профилограф
- профилометр по ГОСТ 19299-73 тип А1, мод. 252
|
-
|
-
|
0,02
- 200
|
|
Биение
вала
|
Биениемер
- ПБ-250
|
±0,008
|
0,01
|
0-10
|
.13 Разработка управляющей программы для станка
с ЧПУ
Для выполнения нужных операций (трёх) используем
станок с ЧПУ мод. 16К20Ф3С5. Применяем управляющую программу для трёх операций:
сверлильная, токарная, токарно-фрезерная.
Текст управляющих программ в Приложении 3.
4. ИМИТАЦИОННЫЕ ИССЛЕДОВАНИЯ ЭЛЕМЕНТОВ
КОНСТРУКЦИЙ
.1 Имитационное моделирование
Имитационное моделирование - это способ
позволяет построить модель, с которой в дальнейшем ведутся опыты, в ходе
которых получают информации о данной системе. Исследования, проводимые с
моделью, называют имитацией. Имитационный метод обычно применяют, когда
провести эксперимент невозможно, дорого, или необходимо имитировать поведение
объекта под воздействием времени.
Использование данного метода даст возможность
получать изделие в готовом виде, высшего качества и в короткие сроки. Ключевым
аспектом получения наибольшей выгоды от применения имитации считается ее
использование на начальных этапах разработки и до последней стадии разработки.
Имитация в САПР - выбираем субъект, за которым
производим наблюдение на всех стадиях изготовления. Тем самым мы можем выявить
все недостатки в его функциональности. Исходя из выявленных недостатков, вносим
изменения в производственный процесс. Имитацию квалифицируют на кинематическую
и динамическую.
Кинематическая имитация производит проверку
объекта в движении. Тем самым можем определить слабые зоны всего механизма в
целом, так и отдельных его частей.
Динамическая имитация производит проверку
объекта исследования под воздействий на него различных нагрузок и температур.
Тем самым определяют деформации и теплонапряженное состояние. Чтобы произвести
необходимый расчет применяют аналитические модели.
Аналитические модели опираются на методы
математической физики. Они применяются к конструкционно сложным объектам. Во
многих случаях это невозможно, так как приходится принимать ограничения,
которые в свою очередь противоречат исследуемому объекту и его математической модели.
.2 Проектирование шпиндельного вала
.2.1 Создание трехмерных моделей деталей в
системах «КОМПАС»
При проектировании привода, используем программу
для трёхмерного моделирование «КОМПАС».
Применяем для проектирования четыре способа:
сдвиг - на плоскости создаем эскиз и задаем
вектор перемещения;
вращение - создаем эскиз на плоскости и
указываем ось;
перемещение вдоль кривой;
по сечениям - объект условно разделяется на
плоскости.
Когда создается контур выдерживать требуемые
размеры, нет необходимости. Главное задать положение всех элементов, после
этого эскиз полностью параметризован, можно устанавливать каждому элементу
требуемые размеры.
.2.2 Проектирование конструкций в системе
«КОМПАС»
С самого начала нужно создать файл, сделать это
можно двумя способами: «Файл» → «Создать деталь», или использовать иконку
«Новая деталь» на панели управления в соответствии с рисунком 4.1.
Рисунок 4.1 - Панель управления
После этого откроется новый документ, поменяется
полностью интерфейс. Порядок создания детали отображается в окне «Дерево
построений» в соответствии с рисунком 4.2.
Рисунок 4.2 - Дерево построения
Первым делом, при создании трёхмерной модели
используют формообразующие элементы. К элементам формообразования относят:
Элемент по сечениям
Элемент кинематический
Элемент выдавливания
Когда работа над построением эскиза завершена,
следует перейти к построению трёхмерной модели. Завершаем все использованные
команды в режиме эскиза, нажав кнопку «Прервать команду», затем «Закончить
эскиз»
на панели управления. Для того, чтобы применить
вид формообразующей операции, необходимо указать способ перемещения в
пространстве в соответствии с рисунком 4.3.
Рисунок 4.3 - Операции
4.2.3 Вращение контура вокруг оси
Команда “Вращение” в КОМПАС создает объемное
тело путем вращения эскиза вокруг оси в соответствии с рисунком 4.5.Один из
вариантов:
повернутая на 360 градусов (рисунок 4.5);

Рисунок 4.5 - Вращение контура вокруг оси
.2.4 Построение фасок
Команда «Фаска»
. Фаска -
это поверхность, торцевой кромки детали, обрабатываемой под углом в соответствии
с рисунком 4.6. Следует выбрать кромку или вершину, а потом задать нужные углы
и размеры фаски.
Рисунок 4.6- Построение фасок
.2.5 Имитационное исследование
При расчетах и проектировании
используем программу компании «Аскон» КОМПАС - 3DV15. Объект, который в
дальнейшем будет исследован, является вал кантователя. КОМПАС - 3DV15включает в
себя различного рода алгоритмы и необходимые программы для различных расчётов:
энергетических и кинематических
параметров;
прочности, жесткости и устойчивости;
выносливости;
надежности и износостойкости;
динамических характеристик.
Благодаря возможностям программы
можно рассчитывать соединения всех деталей машин, все типы передач. Производить
расчёт и проектирования различных типов подшипников, упругих элементов машин.
Для различного рода расчётов, пользователю предоставляют ряд специальных
модулей. Каждый модуль имеет свою интегрированную среду, которая состоит:
подробные подсказки, что облегчает
работу начинающему специалисту;
цикл вычислений в полном объеме;
все возможные средства отчетности по
проделанным расчетам;
специальный графический редактор.
Система имеет свою базу данных, где
содержатся все стандартные детали, доступные для всех видов внутренних
программ.
Проведём расчёт вала кантователя,
для этого приложим к нему основные виды нагрузок. Модель шпиндельного вала
представлена на рисунке 4.7.
Рисунок 4.7 - Модель шпиндельного
вала
После создания 3D-модели
шпиндельного вала, нужно перейти по вкладке «Менеджер библиотек», выбрать
команду «APMFEM: Прочностной анализ». Затем вал, необходимо закрепить и
нагрузить деталь.
Определившись с местами закрепления,
используем команду «Установить закрепление. Затем прикладываем нагрузку, так
как нагрузки распределенные выбираем команду «Приложить удельную силу по
площади». Необходимо задать направления, и установить места, где нагружаем
деталь. Вес самой конструкции, это и есть одна из основных нагрузок,
действующих на площадь вала. Принимаем нагрузку на вал 100000 Н/мм2. После
этого выполняем расчет.
В конечном итоге мы получаем
подробный отчет по всем видам нагрузки. А так же все приложенные нагрузки
представлены на деформируемой модели в соответствии с рисунками 4.8, 4.9, 4.10,
4.11.
Рисунок 4.8 - Напряжения
Рисунок 4.9 - Перемещения
Рисунок 4.10 - Коэффициент запаса по
текучести
Рисунок 4.11- Коэффициент запаса по
прочности
ЗАКЛЮЧЕНИЕ
В ходе работы над проектом были
решены следующие задачи:
был произведен расчет и
проектирование шпиндельного узла обдирочно-шлифовальной головки;
был проведён инженерный анализ
напряжённо-деформированного состояния детали «Вал»;
был создан технологический процесс
изготовления детали «Вал»;
была спроектирована конструкция
инструмента специального назначения.
После проведения модернизации
карусельного станка модели 1580Л были внесены следующие изменения:
изменение технологии обработки
наплавленных поверхностей конусов;
использование, при грубой обработке
(обдирке) особого приспособления.
Изменение технологии обработки
наплавленных поверхностей конусов и чаш подразумевает использование, при грубой
обработке (обдирке) особого приспособления. Разница его в том, что оно крепится
на правой колонне станка, его головная часть передвигается правым суппортом
шарнирной тягой параллельно обрабатываемой плоскости, а абразивный круг
«развёрнут» перпендикулярно перемещению обрабатываемой поверхности,применяемые
на станках круги, различных фирм изготовителей.
Модернизация устройства, значительно
улучшает качество подготовки поверхности. Что значительно сокращает затраченное
время на чистовую обработку, расходы СОЖ и электроэнергии.
СПИСОК ИСПОЛЬЗОВАННЫХ ИСТОЧНИКОВ
1.
Анурьев, В. И. Справочник конструктора - машиностроителя: в 3 т. Т.1 / В. И. Анурьев.
- Москва: Машиностроение, 2001.- 936 с.
.
Аршинов, В. А. Резание металлов и режущий инструмент: учебник / В. А. Аршинов,
Г. А. Алексеев. - Москва: Машиностроение, 1976. - 442 с.
.
Горбацевич, А. Ф. Курсовое проектирование по технологии машино-строения:
учебное пособие для машиностроительных специальностей Вузов / А.Ф. Горбацевич,
В.А. Шкред . -Минск: Высшая школа, 1983. - 256 с.
.
Долин, Н. А. Справочник по технике безопасности / Н. А. Долин. - Москва:
Энергоатомиздат, 1984. - 824 с.
.Дунаев,
П. Ф. Детали машин: курсовое проектирование / П. Ф. Дунаев.- Москва:
Машиностроение, 2004. - 560 с.
.
Дунаев, П. Ф. Конструирование узлов и деталей машин: учебное пособие для
технических спец. вузов / П.Ф. Дунаев, О.П. Леликов. - Москва: Высшая школа,
1985. - 416 с.
.
Евсеев, Г. Б. Оборудование и технология газопламенной обработки металлов и
неметаллических материалов: учебник для студентов вузов / Г.Б. Евсеев, Д.Л.
Глизманенко. - Москва: Машиностроение, 1974. - 312с.
.Егоров,
М. Е. Технология машиностроения: учебник для машиностроите-льных вузов / М.Е.
Егоров. - Москва: Высшая школа, 1976.-534 с.
.Иванов,
М. Н. Детали машин: учебник / М.Н. Иванов. -Москва: Высшая школа, 1998. - 383
с.
.
Монахов, Г. А. Обработка металлов резанием. Справочник технолога / Г. А. Монахов.-
Москва: Машиностроение, 1974. - 600 с.
.Методические
указания к курсовому проекту «Расчёт и конструирование валов» / сост. Полетаев
В.П.- Вологда: ВПИ, 2001. - 23 с.
.Методические
указания к курсовому проекту «Энерго-кинематический расчёт привода»/ сост.
Полетаев В.П.- Вологда: ВПИ, 2003. - 23 с.
.Методические
указания к курсовому проекту «Энергокинематический расчёт привода»/ сост.
Полетаев В.П.- Вологда: ВПИ, 2003. - 23 с.
.Соломенцев,
Ю. М. Методы и средства обеспечения безопасности труда в машиностроении:
учебник для студентов вузов /Ю. М.Соломенцев. - Москва: Высшая школа, 2000.-
326 с.
.Соломенцев,
Ю. М. Безопасность жизнедеятельности в машиностроении: учебник для студентов
вузов /Ю. М.Соломенцев. - Москва: Высшая школа, 2002.- 310 с.
.Чернавский,
С. А. Курсовое проектирование деталей машин: учеб. посо-бие / С. А.Чернавский,
Г. М.Ицкович, К.Н. Боков. - Москва: Машиностроение, 1979. - 351 с.
.Чекмарёв,
А. А. Справочник по машиностроительному черчению: учеб.пособие /А. А. Чекмарёв,
В.К.Осипов. - Москва: Высшая школа, 2002. - 493 с.
.Сборник
планов ликвидации аварий по РМЦ-1.- Череповец: АО «Северсталь», 1996.-47 с.