Особенности копинг-стратегий личности юношеского возраста и лидерскими качествами

  • Вид работы:
    Дипломная (ВКР)
  • Предмет:
    Психология
  • Язык:
    Русский
    ,
    Формат файла:
    MS Word
    663,95 Кб
  • Опубликовано:
    2017-05-06
Вы можете узнать стоимость помощи в написании студенческой работы.
Помощь в написании работы, которую точно примут!

Особенности копинг-стратегий личности юношеского возраста и лидерскими качествами

РЕФЕРАТ

Дипломная работа 47 страниц, 40 источников, 9 рисунков, 3 таблицы, 5 приложений.

Ключевые слова: копинг - стратегий личности юношеского возраста с лидерскими качествами, юношеский возраст, рекомендации выявления лидерских качеств в юношеском возрасте.

Объект исследования - личность юношеского возраста.

Предмет исследования - особенности копинг - стратегий личности юношеского возраста с лидерских качеств.

Цель исследования - изучить особенности копинг - стратегий личности юношеского возраста и лидерскими качествами.

Задачи дипломного исследования:

1. Проанализировать особенности копинг-стратегий личности юношеского возраста с лидерскими качествами

. Провести эмпирическое исследование особенностей копинг-стратегий личности юношеского возраста с лидерскими качествами

. Разработать рекомендации выявления лидерских качеств в юношеском возрасте.

Методы исследования: теоретическое моделирование процесса становления лидерской деятельности с целью выяснения места и роли самосознания себя как способного к лидерству при его формировании, комплекс психодиагностических методик для изучения структуры лидерской деятельности и уровня субъективного контроля, количественный и качественный анализ результатов.

Практическая значимость дипломного исследования заключается в подобранном комплексе методов для диагностики структуры лидерской деятельности, что позволяет выявлять лидеров различной направленности (потенциальных, актуальных, маргинальных), по сочетанию и степени выраженности параметров структуры лидерской деятельности прогнозировать успешность того или иного лидера. Разработана психолого-педагогическая технология формирования лидерской деятельности в юношеском возрасте «Лидер в каждом из нас» может быть использована при работе педагогов-психологов в образовательных учреждениях, при разработке учебных программ для психологов и менеджеров, а также непосредственно в работе менеджеров.

СОДЕРЖАНИЕ

Введение

1. Проблема особенностей копинг - стратегий личности юношеского возраста с лидерскими качествами в психологической науке и практике

2. Характеристика юношеского возраста

.1 Юность как психологический возраст

.2 Теории юношеского возраста

.3 Психологические особенности юношеского возраста

3. Эмпирическое исследование особенностей копинг - стратегий личности юношеского возраста лидерских качеств

3.1 Методика «Самооценка лидерства»

.2 Тест «Лидеры бывают разные»

.3 Методика «Индикатор копинг-стратегий (д. Амирхан)»

.4 Методика Копинг-тест Лазаруса

4. Разработка рекомендаций, которые будут направлены на выявления лидерских качеств в юношеском возрасте

Заключение

Список использованных источников

Приложение

ВВЕДЕНИЕ

С точки зрения развития юношеский возраст характеризуется как чрезвычайно важный в становлении личности. В этот период происходит расширение жизненного пространства, социального окружения. Но самая существенная трансформация жизненного пространства происходит во временном измерении: возникает осознанная связь настоящего и будущего, юноша перестает смотреть на будущее с позиции настоящего, начиная рассматривать настоящее из будущего.

Проблема раннего выявления, воспитания и развития будущих лидеров в настоящее время активно исследуется в педагогике и психологии разных стран мира. Обширный научный опыт по проблемам лидерства накоплен за рубежом (К. Бэрд, Р. Стогдилл, Ф. Фидлер, и др.), растет его популярность в науке постсоветского пространства и образовательной практике занимались социальные психологи и педагоги (Е.М. Аркин, И.П. Волков, А.С. Макаренко и др.).

Со сменой социально-экономических условий изменились требования, предъявляемые лидеру. Современному обществу необходимы люди, способные видеть, прогнозировать и решать возникающие проблемы. Юношество - переломный момент в развитии личности, когда возникает актуальная потребность самореализации, в том числе и в лидерской деятельности. Ответственные и сложные задачи, стоящие перед индивидом в юношеском возрасте, требуют активности самого субъекта, умения взять ответственность на себя, четко определять цели, понимать и принимать себя и других, формулировать свои мысли, использовать разные точки зрения. Таким образом, правомерно утверждать, что проблема формирования готовности к лидерской деятельности в юношеском возрасте является актуальной.

Неумение, невозможность добиться приемлемого статуса в коллективе сверстников чаще всего является причиной трудностей в поведении и приводит к тяжелым переживаниям. Субъективная значимость для юноши сферы его общения со сверстниками значительно контрастирует с явной недооценкой этой значимости.

Теоретический анализ исследования рассматриваемого вопроса показал, что юность характеризуется выработкой ценностных ориентаций, которые расширяют пределы социальной ситуации развития личности и выводят ее на более высокий уровень отношений с окружающим миром. В этот период формируется готовность к профессиональному и жизненному самоопределению, продолжается развитие самосознания: возрастает роль адекватной самооценки рядом с ярким проявлением повышенного уровня притязаний, способствует разбалансированности образа окружающего мира и «образа-Я», что непосредственно способствует развитию лидерских качеств.

Объектом дипломного исследования является личность юношеского возраста.

Предметом исследования являются особенности копинг - стратегий личности юношеского возраста с лидерских качеств.

Целью дипломного исследования являются изучить особенности копинг - стратегий личности юношеского возраста с лидерскими качествами.

Исходя поставленной цели дипломного исследования, необходимо решить следующие задачи:

1. Проанализировать особенности копинг-стратегий личности юношеского возраста с лидерскими качествами

. Провести эмпирическое исследование особенностей копинг-стратегий личности юношеского возраста с лидерскими качествами

. Разработать рекомендации выявления лидерских качеств в юношеском возрасте.

Методы исследования является теоретическое моделирование процесса становления лидерской деятельности с целью выяснения места и роли самосознания себя как способного к лидерству при его формировании, комплекс психодиагностических методик для изучения структуры лидерской деятельности и уровня субъективного контроля, количественный и качественный анализ результатов.

Практическая значимость дипломного исследования заключается в подобранном комплексе методов для диагностики структуры лидерской деятельности, что позволяет выявлять лидеров различной направленности (потенциальных, актуальных, маргинальных), по сочетанию и степени выраженности параметров структуры лидерской деятельности прогнозировать успешность того или иного лидера. Разработана психолого-педагогическая технология формирования лидерской деятельности в юношеском возрасте «Лидер в каждом из нас» может быть использована при работе педагогов-психологов в образовательных учреждениях, при разработке учебных программ для психологов и менеджеров, а также непосредственно в работе менеджеров.

. ПРОБЛЕМА ОСОБЕННОСТЕЙ КОПИНГ - СТРАТЕГИЙ ЛИЧНОСТИ ЮНОШЕСКОГО ВОЗРАСТА С ЛИДЕРСКИМИ КАЧЕСТВАМИ В ПСИХОЛОГИЧЕСКОЙ НАУКЕ И ПРАКТИКЕ

Ученые психологи и педагоги и сегодня привлекают внимание к проблеме лидерства, над которой так или иначе работали многие исследователи. Природа, специфика, функции, типология лидерства как формы неофициального руководства исследуются в работах В.Ф. Ануфриева, В.Д.Гончарова, В.И.Зацепина, Т.Н.Мальковськои.

Современные исследования проблемы лидерства доказывают, что лидером становится человек, который наделен лидерскими качествами или обладает лидерскими потенциал, может реализоваться в соответствующих ситуациях [1, c. 324].

Лидер должен удовлетворять интересы и потребности членов группы, не выходя за пределы права и гражданских норм, чтобы не сделать свое окружение зависимым от собственных благодеяний. Большое значение имеет способность лидера чувствовать настроения людей, выражать их интересы, знать и удовлетворять их нормальные потребности. Успех или неудача лидера воспринимается членами малой группы очень эмоционально. Успех лидера вызывает чувство гордости и восхищения, а неудача - огорчение и разочарование, поэтому лидер должен всегда помнить, что настроение членов малой группы зависит и от него лично, от его личного успеха, личных достижений.

Отношения лидера и его окружения - важный аспект лидерской организации власти. Целеустремленность, принципиальность, осознание личной ответственности перед группой, которой руководит, понимание задач и запросов являются неотъемлемыми качествами лидера. Они должны быть произведены в членов группы, поскольку именно они и объединяют лидера с окружением [1, c. 345].

В качестве основы изучения проблемы лидерства в разрабатывавшихся отечественных теориях различных областей психологии был взят деятельностный подход, предложенный М Я Басовым [2], С Л Рубинштейном [3], А Н Леонтьевым [4].

Деятельностный подход - методологическое направление исследований, в основу которого положена категория предметной деятельности. Он ориентирует на рассмотрение лидерства как особого вида деятельности, когда человек как личность рождается в процессе его движения в системе социальных отношений, осуществляемого в деятельности и общении.

Согласно теории деятельности, психологически полная структура деятельности всегда включает помимо мотивационно - ориентировочного звена центральное или исполнительное, человек осуществляет деятельность, используя определенный стиль и контрольно-оценочное звено. Мотивационно-ориентировочное звено имеет глубинную структуру, которая определяет содержание исполнительного и контрольно-оценочного звена Полноценное осуществление деятельности предполагает реализацию всех компонентов ее структуры.

Принципы деятельностного подхода находят свое отражение при анализе содержания компонентов психологической структуры лидерства и являются методологической основой исследования лидерской деятельности.

Применение деятельностного подхода к трактовке сущности лидерства обосновано рядом положений: специфически человеческое взаимодействие всегда совершается вместе с другими людьми, поэтому вся человеческая деятельность пропитана социальностью. Исходя из теоретических представлений, лидерство необходимо рассматривать как групповое явление, лидер немыслим в одиночку, он всегда дан как элемент групповой структуры, а лидерство есть система в этой структуре. Лидерство можно представить как особый вид деятельности, рассматривая три основных звена его структуры мотивационно - ориентировочное, исполнительное и контрольно - оценочное, развитие лидерской деятельности целесообразно строить с точки зрения теории деятельности, поскольку без знания структуры деятельности невозможно построение концептуальных моделей управления ее становлением и развитием [5, c. 36 - 40].

Систематизация теоретических и экспериментальных исследований позволила выделить основные направления, объясняющие лидерские способности человека и явления лидерства в коллективе теории лидерских черт (Ф Гальтон, К Бэрд, С Смит, Д Крюгер), теории окружающей среды, или ситуативные теории (Дж Шнейдер, Э Хартли, Л Картер, П Пигорс), личностно-ситуативные теории (Г Герт, С Милз, К Кейс), теории «ожидания взаимодействия» (С Джибб), гуманистические теории, атрибутивные теории, теории «обмена», «трансактного анализа» и трансформационного лидерства (Дж Берне), мотивационные теории (А Маслоу) и др.

Понятие лидерства как системы качеств или как влияния ситуации на данный момент исчерпало себя, эти теории объясняют лишь какую-то одну часть проблемы, но не затрагивают самой ее сути Лидерство - это постоянная, напряженная деятельность, которая может быть не выражена во внешнем плане.

Исходя из понимания лидерской деятельности как процесса активного воздействия на деятельность других и (или) на свою собственную. Актуальную лидерскую деятельность можно определить как разновидность деятельности, в которой лидерская активность личности направлена на деятельность других членов группы Потенциальная лидерская деятельность - это разновидность деятельности, в которой лидерская активность личности направлена на собственную деятельность и может быть преобразована в активность относительно других членов группы.

Специфика лидерства как роли заключается в том, что эту роль лидеру не только «дают», но он берет ее сам, то есть стремиться реализовать свои потенциальные возможности. На месте лидера не может быть любой человек, а лишь тот, чья готовность действовать соответствует моменту. Следовательно, психологическая готовность к лидерской деятельности - состояние мобилизации лидерского потенциала, обеспечивающего эффективное выполнение определенных действий. Лидерский потенциал предполагает наличие соответствующих потребностей и мотивов, а также определенный уровень принятия ответственности за свои действия и поступки [5, c. 36 - 40].

Но ни в научной и методической литературе в достаточной мере не разработаны технологии формирования лидерских качеств в воспитательном процессе, в частности в период обучения молодого человека в высшем учебном заведении.

Студенчество, по определению А. В.Петровского - мобильная социальная группа, целью деятельности которой является организованная по определенной программе подготовка к выполнению высоких профессиональных и социальных ролей в материальном и духовном производстве. Психологические особенности студенчества, конечно, связано с предыдущими периодами его жизни, и из них непосредственно вырастают. В то же время студенческий возраст представляет собой новый и качественно отличный этап жизни, который имеет собственное неповторимое значение для всего человеческого пути от рождения до кончины личности [6, c. 78].

Юность характеризуется выработкой ценностных ориентаций, которые расширяют пределы социальной ситуации развития личности и выводят ее на более высокий уровень отношений с окружающим миром. В этот период формируется готовность к профессиональному и жизненному самоопределению, продолжается развитие самосознания: возрастает роль адекватной самооценки рядом с ярким проявлением повышенного уровня притязаний, способствует разбалансированности образа окружающего мира и "образа-Я". копинг стратегия лидерский юношеский

Ведущей в настоящее время является учебно-профессиональная деятельность, в которой реализуется готовность юноши к самоопределению и которую рассматривают психическим новообразованием этого возраста. В юношеском возрасте должны формироваться свойства, способности и потребности, которые позволили молодому человеку в полной мере реализовать себя в труде, общественной жизни, в будущей семье. Прежде всего, это развитие потребности в общении и освоение способов его осуществления, развитые рефлексы, которые обеспечивают осознанное и критическое отношение к себе; становления готовности к трудовой деятельности. Если эти качества сформированы, то молодой человек имеет необходимую психологическую базу для самоопределения. При всей сложности этого явления основным в нем есть потребность занять внутреннюю позицию взрослого, осознать себя как члена общества, определить себя в мире, т.е. понять себя, свои возможности, свое место и назначение в жизни [6, с. 87-88].

Период студенчества имеет непосредственное отношение к юношескому возрасту.

В юношеском возрасте закрепляются и совершенствуются психические свойства, приобретенные ранее. Вместе происходят дальнейшие качественные изменения всех сторон психической деятельности, которые являются основой становления личности на этом этапе развития. В этом возрасте увеличивается объем внимания, способность долго сохранять ее интенсивность и переключать с одного объекта на другой. Произвольное запоминание становится значительно продуктивнее за непроизвольное, совершенствуются способы запоминания за счет сознательного использования рациональных приемов, повышается производительность памяти на абстрактный материал. Мышление становится системным, знания образуют определенную систему, которая постепенно трансформируется в когнитивную модель мира, служит основой формирования мировоззрения. Вместе с развитием абстрагирует чего и обобщенного мышления происходит переход к более высоким уровням речи [7, c. 465].

В период юности принципиально меняется отношение к собственной личности. Высокий уровень развития самосознания порождает интерес к собственной личности, к формам ее организации и саморегулирования. Основные психологические достижение юности - открытие своего внутреннего мира. Внешний, физический мир теперь только одна из возможностей субъективного опыта, центром которого является собственная личность, собственное "Я" [1, c. 435].

К.К. Платонов рассматривает юношеский возраст как переход от этапа Основными психологическими характеристиками, которые присущи юношескому возрасту, является формирование мировоззрения, развитие самосознания, рефлексия, поиск смысла жизни и построение жизненных планов. Жизненный план является многогранным образованием, будет охватывать социальные, личностные характеристики. Жизненные планы должны включать не только желаемую цель, но и способы ее достижения. В юношеском возрасте, построение жизненных планов зачастую сосредоточены на выборе будущей профессии. Именно профессиональный выбор побуждает юношу к рефлексии, к определению того, насколько его личностные характеристики, знания, умения, способности позволяют овладеть той или иной специальности. Жизненные планы являются одним из ведущих факторов, будет обусловливать развитие способностей в юношеском возрасте[8, с. 52-54].

Чрезвычайно важный процесс в развитии юношеского самосознания - это формирование личностной идентичности, чувство индивидуальной отождествленности и целостности. Наиболее глубоко и подробно эту проблему рассматривал Э. Эриксон.

Юность, по Эриксону - это, прежде всего кризис идентичности, которая заключается в последовательности социальных и индивидуально-личностных выборов, идентификаций и самоопределений. Успешно справившись с решением соответствующих задач, юноша переходит от поиска себя к практической самореализации. Нерешенность этих задач обусловливает формирование у молодых людей неадекватной идентичности. Развитие последней может идти по следующим основным направлениям: отказ от психологической интимности, избегание тесных межличностных отношений с другими; несостоятельность строить жизненные планы, страх становиться взрослым, страх перемен формирование "негативной идентичности", отказ от самоопределения и выбор отрицательных образцов для подражания [9, с.93].

Как отмечает И. Дубровина, важным моментом в период ранней юности становится формирование чувства взрослости, причем не вообще, как это имело место в подростковом возрасте, а именно мужской и, соответственно, женской взрослости. Особенно интенсивно развивается восприятие себя как личности определенного пола с характерными потребностями, мотивами, ценностными ориентациями, отношениями к представителям противоположного пола и соответствующими формами поведения. Самосознание и самооценка юношей и девушек серьезно зависят от стереотипных представлений о нормативных образов мужчины и женщины, которые определены исторически зафиксированной дифференциацией половых ролей [7].

Центральным новообразованием юности, как уже отмечалось, становится самоопределение не только личностное, но и профессиональное. Выбор профессии предполагает наличие информации двоякого рода: о мире профессий вообще и возможности и требования к каждой из них, о себе, своих способностях и интересах. Такая информация обычно не хватает, поэтому подавляющее большинство старшеклассников выбирает профессию более или менее стихийно.

Лидерские качества - это качества личности, которые обеспечивают эффективное лидерство, а именно: индивидуально-личностные и социально-психологические особенности личности. Влияющие на группу и приводят к достижению цели.

Рассматривая психологические особенности юношеского возраста, к которому относятся старшеклассники, выделены черты, которые обеспечивают эффективное лидерство: самопознание, самоутверждение, самостоятельность, самоопределение, юношеский максимализм, стремление к коллективности, энтузиазм, романтизм и общественная активность [10, c. 45].

Учитывая особенности юношеского возраста и исследование личностных черт лидера, целесообразно выделить следующие компоненты лидерских качеств с определением в них признаков, которые, по нашему мнению обеспечивают эффективное лидерство юношей и которые условно можно разделить на: мотивационные признаки: уверенность в себе, потребность в достижении, стремление к самоутверждению и самореализации: эмоционально-волевые признаки: уравновешенность, эмоционально-положительное самочувствие, наличие волевых качеств; личностный признаки: влияние на других, оригинальное, творческое мышление, коммуникативной и организаторские способности; деловые признаки: умение принимать правильное решение в непредвиденных ситуациях, готовность брать на себя ответственность, знания, умения и навыки организаторской работы, воспитания, где воспитание - это процесс целенаправленного управления формированием и развитием личности в соответствии с требованиями общества. Под формированием подразумеваются качественные и количественные изменения в психике индивидуума, которые обеспечивают накопление лидерского потенциала личности, выражается в усложнении когнитивных психологических структур, развития способности к самоуправлению, росте активности и совершенствовании мотивации к лидерству [11, c. 745].

Формирование лидерских качеств, происходит в процессе, организация которого определяется как закономерная, последовательная, непрерывная смена моментов развития взаимодействующих субъектов, предполагает создание необходимых педагогических условий, благодаря которым станет возможным формирование лидерских качеств юношей.

Педагогические условия не выступают целостной системой формирования определенных качеств, свойств, черт личности. Зато реализация педагогических условий как внешних факторов, под влиянием которых у субъекта возникают внутренние противоречия, позволяет направить процесс воспитания на формирование лидерских качеств в юношеском возрасте.

В современном мире большую роль играют межличностные контакты, умение быстро, грамотно и эффективно взаимодействовать с разными людьми, организовать свою деятельность и деятельность окружающих. В последние годы наблюдается усиление внимания к проблемам лидерства, развития лидерских качеств в юношеском возрасте.

Эффективность совместной деятельности во многом определяется взаимоотношениями лиц в коллективе. Поэтому изучение условий и факторов, влияющих на межличностные отношения, является одной из крупнейших актуальных и практически значимых задач. Важную роль играет степень удовлетворенности потребности в аффиляции, которая выражается в общении, эмоциональных контактов, в стремлении человека быть в обществе других людей [12, c. 68].

Сегодняшние студенты - это завтрашние политики, экономисты, преподаватели и другие специалисты, которые займут ведущие позиции в обществе, и станут лидерами в той или иной сфере деятельности. Именно от их действий будет зависеть управления различными социальными структурами от разного рода групп, коллективов предприятий, армейских подразделений и государства. Таким образом, правомерно утверждать, что проблематика студенческих групп вообще и лидерства в частности, бесспорно, важной.

Студенческие группы обладают большим потенциалом. Изучение особенностей лидерства в юношеском возрасте может быть использовано при организации студенческого самоуправления и выборе форм и методов при планировании работы со студенческими группами.

Таким образом, ученые психологи и педагоги и сегодня привлекают внимание к проблеме лидерства, над которой так или иначе работали многие исследователи. Однако ни в научной и методической литературе в достаточной мере не разработаны технологии формирования лидерских качеств в воспитательном процессе, в частности в период обучения молодого человека в старших классах обучения в школе либо в высшем учебном заведении (в юности).

Учитывая особенности юношеского возраста и исследование личностных черт лидера, целесообразно выделить следующие компоненты лидерских качеств, с определением в них признаков, которые, по нашему мнению, обеспечивают эффективное лидерство юношей и которые условно можно разделить на: мотивационный (признаки: уверенность в себе, потребность в достижении, стремление к самоутверждению и самореализации); эмоционально-волевой (признаки: уравновешенность, эмоционально-положительное самочувствие, наличие волевых качеств) личностный (признаки: влияние на других, оригинальное, творческое мышление, коммуникативные и организаторские способности); деловой (признаки: умение принимать правильное решение в непредвиденных ситуациях, готовность брать на себя ответственность, знания, умения и навыки организаторской работы), воспитания, где воспитание - это процесс целенаправленного управления формированием и развитием личности в соответствии с требованиями общества

. ХАРАКТЕРИСТИКА ЮНОШЕСКОГО ВОЗРАСТА

2.1 Юность как психологический возраст

Юность - период в развитии, соответствующий переходу от подросткового возраста к самостоятельной взрослой жизни. Это определяет социальную ситуацию развития в этом возрасте: юноша занимает промежуточное положение между ребенком и взрослым.

Хронологические границы юношества определяются в психологии по-разному, наиболее часто исследователи выделяют раннюю юность, т.е. старший школьный возраст (от 15 до 18 лет), и позднюю юность (от 18 до 23лет) [13].

Наиболее изученной в психологии является ранняя юность, старший школьный возраст. Однако ее нельзя отрывать от второго этапа юности, поскольку важные социальные задачи взросления, определяемые социальной ситуацией развития, распространяются на весь возраст в целом.

Известны разные теории юности. Биологические теории, рассматривают юность, прежде всего как определенный этап эволюции организма, полагая, что именно биологические процессы роста детерминируют все остальное.

Психологические теории фиксируют внимание на закономерностях психической эволюции, характерных чертах внутреннего мира и самосознания. Психоаналитические теории видят в юности определенный этап психосексуального развития. Указанные теории рассматривают юность, прежде всего с точки зрения внутреннего процесса развития человека как индивида или как личности. Но это развитие по-разному протекает в различной социальной и культурной среде. Социологические теории юности рассматривают её, прежде всего как определенный этап социализации, как переход от зависимого детства к самостоятельной и ответственной деятельности взрослого. Внимание исследователей сосредоточивается на тех социальных ролях, которым и надлежит овладеть человеку, на формировании его ценностных ориентации, проблемах, связанных с вступлением в трудовую жизнь, т. е. индивидуально-психологические проблемы выводят из социальных [14, c. 221 - 223].

Отечественная психология изучает юность с позиций учения Л. С. Выготского о роли социальной ситуации развития и ведущей деятельности в развитии личности, а также с позиций сочетания социально-психологического подхода и учета внутренних закономерностей развития [1]. И тогда юность - это период перехода к самостоятельности, период самоопределения, приобретения психической, идейной и гражданской зрелости [15, c. 237 - 240].

Юность, по мнению В. И. Слободчикова, - завершающая стадия ступени персонализации. «Главные новообразования юношеского возраста - осознание собственной индивидуальности, появление жизненных планов, готовность к самоопределению, установка на сознательное построение собственной жизни, постепенное врастание в различные сферы жизни».

Иными словами, юность - это время выбора жизненного пути, работа по выбранной специальности (поиск ее), учеба в вузе, создание семьи, для юношей - служба в армии. В юности происходит овладение профессией, появляется возможность создания своей семьи, выбор стиля и своего места в жизни [16, c. 234 - 235].

Л. И. Божович писал: «Самоопределение, как личностное, так и профессиональное, - характерная черта юношества. Выбор профессии упорядочивает и приводит в систему соподчинения все его разнообразные мотивационные тенденции, идущие как от его непосредственных интересов, так и от других многообразных мотивов, порождаемых ситуацию выбора».

Этому возрасту свойственны: рефлексия и самоанализ. Юношеский возраст характеризуется повышенной эмоциональной возбудимостью (неуравновешенность, резкая смена настроения, тревожность и т.п.). В то же время чем старше юноша, тем сильнее выражено улучшение общего эмоционального состояния [13, c. 324].

Развитие эмоциональности в юности тесно связано с индивидуально - личностными свойствами человека, его самосознанием, самооценкой.

Происходит становление устойчивого самосознания и стабильного образа «Я» - центральное психологическое новообразование юношеского возраста.

В это период складывается система представлений о самом себе, которое независимо от того, истинно оно или нет, представляет собой психологическую реальность, которая влияет на поведение, порождает те или иные переживания. В самосознание входит фактор времени (юноша начинает жить будущим) [15, c. 456].

Все это связано с усилением личностного контроля, самоуправления, с новой стадией развития интеллекта, с открытием своего внутреннего мира.

Главное приобретение юности - открытие своего внутреннего мира, его эмансипация от взрослых. Внешний мир начинает восприниматься через себя. Появляются склонность к самоанализу и потребность систематизировать, обобщать свои знания о себе. Возрастает волевая регуляция. Проявляется стремление к самоутверждению.

Происходит так же и самооценка внешности. А одна из важных психологических характеристик юности - самоуважение (принятие, одобрение себя или непринятие, неудовлетворенность собой). Наблюдается расхождение между идеальным и реальным «Я».

Социальная ситуация развития характеризуется в первую очередь тем, что старший школьник стоит на пороге вступления в самостоятельную жизнь. Ему предстоит выйти на путь трудовой деятельности и определить свое место в жизни (но, эти процессы весьма вариативны) [17, c. 78].

Ведущая деятельность - учебно - профессиональная. Мотивы, связанные с будущим, начинают побуждать учебную деятельность. Проявляется большая избирательность к учебным предметам. Основной мотив познавательной деятельности - стремление приобрести профессию.

Мышление в юности приобретает личностный эмоциональный характер. Появляется страстность к теоретическим и мировоззренческим проблемам. Эмоциональность проявляется в особенностях переживаний по поводу собственных возможностей, способностей и личностных качеств. Интеллектуальное развитие выражается в тяге к обобщениям, поиску закономерностей и принципов, стоящих за частными фактами. Возрастает концентрация внимания, объем памяти, запоминание учебного материала, формируется абстрактно - логическое мышление. Появляется умение самостоятельно разбираться в сложных вопросах. Происходит существенная перестройка эмоциональной сферы, проявляется самостоятельность, решительность, критичность и самокритичность, неприятие лицемерия, ханжества, грубости [18, c. 267 - 269].

В юношеском возрасте, по мнению Л И Бажович, главное внимание сосредоточено на развитии мотивационной сферы личности. На первый план выходят определение своего места в жизни, формирование мировоззрения и его влияние на познавательную деятельность (мотивы самообразования), самосознание и моральное сознание Решающее значение придается динамике «внутренней позиции», динамике отношения к себе, окружающим, делу в настоящем и в перспективе на будущее.

По Э. Эриксону, нормальное развитие личности в юношеском возрасте предполагает жизненное самоопределение, развитие планов на будущее, активный поиск себя и экспериментирование в различных ролях, становление мировоззрения и взятие на себя лидерских функций.

Основная задача и трудность этого периода - научиться действовать в соответствии с обязанностями. Это выглядит, как возможность выполнять необходимое с опорой на внутренний, а не на внешний контроль. Важным является также осознание и принятие обязанностей перед самим собой, принятие ответственности за собственную жизнь - осознание того, что твой собственный выбор является предпосылкой тех или иных жизненных событий

Возрастные особенности предполагают наличие следующих основных потребностей афиляции, признания, самопознания, достижения успеха и избегания неудач, самореализации стремление к достижению цели, социальному престижу. Вся система потребностей и стремлений в данном возрасте упорядочивается, интегрируется формирующимся мировоззрением

Именно на этом возрастном этапе оформляется тяга к лидерству как особому виду деятельности, которая представляет собой стремление к реализации собственных возможностей и способностей, умение взять на себя ответственность, быть активным субъектом деятельности. В юношестве некоторая часть молодежи стремится к лидерству как предстоящей деятельности (В. С. Мухина) [19].

Юность - решающий этап формирования мировоззрения. Мировоззрение, это не только система знаний и опыта, но и система убеждений, переживание которых сопровождается чувством их истинности, правильности. Поэтому мировоззрение связано с решением в юности проблем. Явлений действительности интересуют юношу не сами по себе, а в связи с его собственным отношением к ним.

Мировоззренческий поиск включает: социальную ориентацию личности, осознание себя в качестве частицы социальной общности (социальной группы, нации и так далее), выбор своего будущего социального положения и способов его достижения.

В основе мировоззренческий проблем лежит проблема смысла жизни - «для чего я живу?», «как жить?». Юноша ищет глобальную и универсальную формулировку «служить людям», «приносить пользу». Его интересует не столько вопрос «как быть?», сколько «Каким быть?», а также гуманистические ценности (он готов работать в системе социальной защиты), общественная направленность личной жизни (борьба с наркоманией и тому подобное), широкая социальная благотворительность, идеал служения [20, c. 342 - 344].

2.2 Теории юношеского возраста

В литературе существуют следующие теории юношеского возраста:

. Психоанализ. Сильное влияние на теоретические проблемы юности оказал психоанализ. Его родоначальник - австрийский психиатр Зигмунд Фрейд (1856-1939) - не создал систематической концепции юношеского возраста, но выдвинул целый ряд важных положений о природе подростковой и юношеской сексуальности, эмоциональных процессов и особенностях развития юношеской личности. Эти идеи были в дальнейшем развиты его дочерью Анной Фрейд и многочисленными последователями [21, c. 238].

. Неофрейдизм. Самым влиятельным представителем неофрейдизма в психологии развития вообще и юношеского возраста в частности был известный американский психолог Эрик Эриксон (1902 - 1982). Развитие человека, по Эриксону, складывается из трех взаимосвязанных, хотя и автономных процессов: соматического развития, изучаемого биологией, развития сознательного «образа Я», изучаемого психологией, и социального развития, изучаемого социологией и другими общественными науками [15, c. 457].

Основной закон развития - «эпигенетический принцип», согласно которому на каждом новом этапе развития возникают новые явления и свойства, которых не было на предшествующих стадиях процесса. Переход к новой фазе развития протекает в форме «нормативного кризиса», который внешне напоминает патологические явления, но на самом деле выражает нормальные трудности роста. Переход в новую фазу развития возможен только на основе разрешения основного противоречия, свойственного предыдущей фазе. Если противоречие не разрешено, это неминуемо скажется позже. Развитие человека предполагает совместное действие врожденных и средовых компонентов. Представители общества - воспитатели, родители - связаны с ребенком собственными врожденными потребностями. Если ребенок нуждается в эмоциональном тепле, то родители испытывают потребность в том, чтобы опекать и нянчить младенца. Именно совпадение этих двух разнонаправленных потребностей обеспечивает искомый результат. В то же время каждое общество имеет специфические институты, в рамках и посредством которых осуществляется социализация детей. Поэтому хотя общая последовательность и главные задачи основных фаз эпигенеза универсальны, инвариантны, типические способы разрешения этих задач варьируются от одного общества к другому. Общество подготавливает индивида к выполнению соответствующих социальных функций, определяя способы, посредством которых сам индивид разрешает встающие на его пути жизненные задачи. Эриксон подразделяет весь жизненный путь на восемь фаз, каждая из которых имеет свои специфические задачи и может разрешиться благоприятно или неблагоприятно для будущего развития [17, c. 75].

. Альтернативные теории. Альтернативные теории юношеского возраста анализируют разные стороны развития - физическое созревание, умственное развитие, формирование самосознания, сдвиги в структуре общения, мотивационные процессы и т.д. Но в известном смысле все они взаимосвязаны. Еще в 20-е годы советские психологи уделяли юношескому возрасту очень много внимания, причем собственно психологические вопросы рассматривались на широком социальном фоне, с учетом многообразных социально-экономических факторов и вариантов взросления. Подробно изучались и описывались закономерности полового созревания, умственные интересы, формы социальной активности и содержание внутреннего мира подростков и юношей. Советские ученые прекрасно знали и широко использовали зарубежную психологическую литературу, важнейшие работы иностранных ученых без особой задержки переводились на русский язык [15, c. 437].

. Теория развития высших психических функций Л.С.Выготского. Согласно этой теории развития высших психических функций, «всякая функция в культурном развитии ребенка появляется на сцену дважды, в двух планах, сперва - социальном, потом - психологическом, сперва между людьми как категория интерпсихическая, затем внутри ребенка как категория интрапсихическая» [13, c. 235].

В отличие от механистических концепций, рассматривающих развитие ребенка как результат воздействия «внешней» социальной среды. Выготский подчеркивал, что среду надо рассматривать не как «обстановку развития», которая извне определяет развитие ребенка - воздействия среды сами меняются количественно и качественно в зависимости от того, в каких ранее возникших психологических свойствах, включая возрастные особенности ребенка они преломляются. Становление человека как индивида и личности, по Выготскому, предполагает диалектическое взаимодействие двух относительно автономных, но неразрывно связанных друг с другом рядов развития - натурального и социального [1, c. 345]. Здесь возникает два вопроса: 1) какова конкретно социальная ситуация развития к началу данного возраста и 2) какие психологические новообразования возникают у ребенка к концу данного возраста? Главное новообразование переходного возраста, по Выготскому, - то, что теперь «в драму развития вступает новое действующее лицо, новый качественно своеобразный фактор - личность самого подростка... В связи с возникновением самосознания для подростка становится возможным и неизмеримо более глубокое и широкое понимание других людей. Социальное развитие, которое приводит к образованию личности, приобретает в самосознании опору для своего дальнейшего развития» [18, c. 237].

2.3 Психологические особенности юношеского возраста

Основными социально-психологическими и возрастными характеристиками и факторами любого периода развития личности являются: социальная ситуация развития личности, ведущий вид деятельности, сфера общения, психические новообразования, параметры интеллектуального развития, эмоциональные качества личности.

Тяготение к самостоятельности не исключает потребности в общении со взрослыми. Такая потребность у старшего школьника выше, чем у подростка, у которого на первом плане - сверстники. Так, по данным опроса А. Мудрика , 325 старшеклассников из 490 опрошенных указывал и на потребность в общении со взрослыми.

Содержание общения со взрослым и включает в себя проблемы поиска смысла жизни, познания самого себя, жизненны планов и путей их реализации, взаимоотношений между людьми, получение информации, связанной с областью интересов старшеклассников и профессиональной деятельностью взрослого.

Когда ставится вопрос, кто понимает их лучше других и с кем они откровеннее, большинство называет сверстников. Общение со сверстниками имеет доверительны й характер у 88% опрошенных, а с родителями - лишь у 29% , да и то преимущественно с матерями, нерегламентированное общение с учителям и - редчайшее событие (4% случаев ) [Шаповаленко И.В. Возрастная психология / И.В . Шаповаленко. - М. 2004.].

Мир, в котором живут родители и дети, одинаков. Но он и его по-разному воспринимают. Поэтом и конфликты родителей с детьми - частое явление . Основные причины конфликтов, с точки зрения старшеклассников:

-  несправедливость родителей, незаслуженные наказания ;

-       неумение сдерживать плохое настроение;

-       игнорирование занятости [22, c. 135].

Для старших школьников невыносим о принуждение, вмешательство в их дела извне, но это не значит, что он и не будут благодарны за тактичную помощь. Эффективное взаимодействие родителей и людьми возможно только в условиях сотрудничества на основе. В юношеском возрасте неуклонно усиливается потребность в общении со сверстниками , увеличивается, время на общение и расширение его круга (не только в школе, семье , по соседству , но и в разных географических , социальных , виртуальны х пространствах).

Юношеское общество как модель взрослого общества выполняет следующие функции:

обучает нормам морали, принятым в мире взрослого;

учит выполнять роли юношей и девушек;

помогает стать взрослыми;

помогает утвердить себя как личность [23]. Параллельно с расширением сферы общения происходит и

углубление общения. Результаты исследований показывают, что отношение ребенка к друзьям и само понимание дружбы имеют определенную динамику.

В дошкольном возрасте выбор друга определяется в основном внешними причинами: с кем ребенок играет, кого видит чаще других и т.п. Дружеские связи непрочны и недолговечны, они легко возникают, могут довольно быстро оборваться. К концу младшего школьного возраста для возникновения дружбы важны такие личностные качества, как доброта, самостоятельность, честность, уверенность в себе. При этом дошкольник и младший школьник еще не разграничивают дружбу и товарищество.

Подросток считает дружбу исключительно индивидуальным отношением. Подростки определяют близкого друга как человека, с которым можно поделиться сокровенными чувствами, опасениями, сомнениями, надеждами. Выдвигая требования к другу, они делают акцент на надежности и верности.

Юношеская дружба интимнее и стабильнее, характеризуется верностью, близостью и устойчивостью. С лучшим другом (подругой) обсуждаются случаи наибольших разочарований, переживаемых в настоящее время, отношения с противоположным полом. От друга старшеклассник ждет оценок, не только близких к своим, но и превышающих их, более критических. Общение основано на отношении к другому, как к самому себе, в нем раскрывается собственное реальное «Я». Психологическая ценность юношеской дружбы в том, что она является шкалой самораскрытия и понимания другого человека [24, c. 124].

Интеллектуальное развитие юношей. К концу подросткового возраста общие умственные способности уже сформированы, поэтому на протяжении юности происходит формирование индивидуального стиля умственной деятельности, т.е. устойчивых совокупностей индивидуальных вариаций в способах восприятия, запоминания и мышления, за которым стоят различные пути приобретения, накопления, переработки и использования материала.

Обучение в старших классах школы связано со значительным изменением и усложнением содержания учебного материала, увеличением его объема, что повышает уровень требований к учащимся. От них ожидают достаточной сформированности теоретического мышления, гибкости, универсальности, продуктивности познавательной деятельности, четкости, самостоятельности в решении когнитивных задач усиливается потребность в самостоятельном приобретении знаний, участии в научных кружках, олимпиадах разного уровня [25, c. 124].

В юношеском возрасте продолжается развитие абстрактно-логического мышления. Следствие этого - «философствование» старшеклассников, их стремление вести разговоры и споры на отвлеченные темы. Наиболее часто излюбленное содержание споров и задушевных бесед старшеклассников - это этические и нравственные проблемы. В дискуссиях легко возникают сопоставления, смелые обобщения, рождаются оригинальные идеи. Характерно их стремление найти истину именно в разговоре, в разъяснении понятий. Они ожидают точных, однозначных ответов и не склонны мириться с расхождениями и неясностями [26, c. 156].

Совершенствуется владение сложными интеллектуальными операциями анализа и синтеза, теоретического обобщения и абстрагирования, аргументирования и доказательства. Для юношей и девушек становятся характерными установление причинно-следственных связей, систематичность, устойчивость и критичность мышления. Однако юноши часто склоны преувеличивать свою информированность и познавательные возможности, в результате чего обучение в школе им кажется малоинтересным [27, c. 3 - 11].

Происходит в эти годы и совершенствование памяти школьников. Это относится не только к тому, что увеличивается объем памяти вообще, но и к тому, что в значительной мере меняются способы запоминания. Наряду с непроизвольным запоминанием у старших школьников наблюдается широкое применение рациональных приемов произвольного запоминания материала [29, c. 69 - 75].

Преобладает произвольное внимание, старший школьник может легко сосредоточиться на предмете деятельности, владеет приемами переключения внимания, может самостоятельно его организовать [30, c. 25].

Возрастная особенность состоит в быстром развитии специальных способностей, часто связанных с выбираемой профессиональной областью (математических, технических, педагогических и др.). В связи с этим необходимо создавать творческую среду для развития способностей в каждой общеобразовательной школе [31, c. 148].

В дальнейшем в молодости интеллектуальное развитие предполагает выход на качественно новый уровень, связанный с развитием творческих способностей [32, c. 254].

Таким образом, юность является периодом завершения физического созревания и формирования первичной социализации личности. В юности расширяются временные представления, включая будущее, личные и социальные перспективы. Мировоззренческий поиск в юношеском возрасте обусловливает социальную ориентацию личности, способствует осознанию себя частицей, элементом социальной общности, выбору своего будущего социального положения и способов его достижения. Становление социальной зрелости предполагает формирование поло ролевых отношений, как основы взаимодействия между мужчиной и женщиной в общественных и семейных отношениях.

.        ЭМПИРИЧЕСКОЕ ИССЛЕДОВАНИЕ ОСОБЕННОСТЕЙ КОПИНГ - СТРАТЕГИИ ЛИЧНОСТИ ЮНОШЕСКОГО ВОЗРАСТА ЛИДЕРСКИХ КАЧЕСТВ

3.1    Методика «Самооценка лидерства»

Психолого-педагогическая наука накопила богатый эмпирический и теоретический материал, посвященный лидерству, изучены многие его аспекты. В то же время проведенный теоретический анализ подходов лидерства в психологии показывает, что некоторые вопросы требуют дальнейшей проработки и более детального рассмотрения: традиционные подходы к исследованию лидерства не дают полных представлений о влиянии лидерства и его эффективность, также нет универсальной модели лидерства, объясняющей природу данного феномена [33, с. 123 - 126].

Нами была поставлена общая цель исследования: изучить особенности проявления лидерских качеств в юношестве.

В опытно-поисковом исследовании приняли участие на выборке 100 студентов 1-2 курса (56 % - девушки и 44 % - мужчин) на базе «Мозырского государственного педагогического университета имени И.П. Шамякина» и «Мозырского государственного медицинского колледжа».

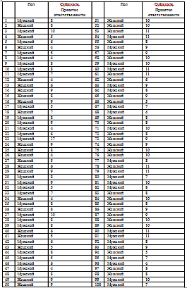
Испытуемым предъявлялась следующая диагностическая методика тест-анкета «Самооценка лидерства» [Приложение 1];

Результаты теста-анкеты «Самооценка лидерства» представим в таблице 3.1.

Таблица 3.1 - Результаты теста-анкеты «Самооценка лидерства»

Пол

Количество баллов

Уровень

Пол

Количество баллов

Уровень

1

Женский

6

Средний

51

Женский

8

Высокий

2

Женский

8

Высокий

52

Женский

7

Высокий

3

Мужской

3

Низкий

53

Мужской

5

Средний

4

Женский

7

Высокий

54

Женский

9

Высокий

5

Мужской

6

Средний

55

Мужской

10

Высокий

6

Мужской

10

Высокий

56

Мужской

3

Низкий

7

Женский

5

Средний

57

Женский

5

Средний

8

Мужской

4

Средний

58

Женский

8

Высокий

9

Мужской

2

Низкий

59

Мужской

9

Высокий

10

Мужской

3

Низкий

60

Мужской

6

Средний

11

Мужской

4

Средний

61

Мужской

5

Средний

12

Женский

9

Высокий

62

Мужской

4

Средний

13

Женский

7

Высокий

63

Мужской

9

Высокий

14

Женский

8

Высокий

64

Мужской

8

Высокий

15

Женский

7

Высокий

65

Женский

8

Высокий

16

Женский

10

Высокий

66

Женский

9

Высокий

17

Мужской

4

Средний

67

Женский

10

Высокий

18

Женский

8

Высокий

68

Мужской

4

Средний

19

Мужской

7

Высокий

69

Мужской

2

Низкий

20

Мужской

2

Низкий

70

Женский

8

Высокий

 21

Женский

2

Низкий

71

Мужской

3

Низкий

22

Женский

4

Средний

72

Мужской

10

Высокий

23

Мужской

10

Высокий

73

Мужской

5

Средний

24

Женский

4

Средний

74

5

Средний

25

Женский

6

Средний

75

Мужской

6

Средний

26

Женский

10

Высокий

76

Мужской

7

Высокий

27

Мужской

10

Высокий

77

Мужской

7

Высокий

28

Мужской

5

Средний

78

Мужской

8

Высокий

29

Мужской

4

Средний

79

Женский

9

Высокий

30

Мужской

4

Средний

80

Женский

8

Высокий

31

Мужской

8

Высокий

81

Женский

9

Высокий

32

Мужской

7

Высокий

82

Мужской

5

Средний

33

Женский

8

Высокий

83

Мужской

3

Низкий

34

Женский

7

Высокий

84

Женский

7

Высокий

35

Женский

10

Высокий

85

Мужской

2

Низкий

36

Мужской

4

Средний

86

Мужской

7

Средний

37

Мужской

2

Низкий

87

Мужской

3

Низкий

38

Женский

8

Высокий

88

Женский

8

Высокий

39

Мужской

3

Низкий

89

Женский

9

Высокий

40

Мужской

6

Средний

90

Женский

10

Высокий

41

Мужской

2

Низкий

91

Женский

9

Высокий

42

Женский

8

Высокий

92

Женский

8

Высокий

43

Мужской

6

Средний

93

Мужской

2

Низкий

44

Мужской

7

Высокий

94

Мужской

5

Средний

45

Женский

6

Средний

95

Мужской

3

Низкий

46

Мужской

5

Средний

96

Женский

7

Средний

47

Мужской

3

Низкий

97

Женский

9

Высокий

48

Мужской

3

Низкий

98

Мужской

8

Низкий

49

Женский

7

Высокий

99

Женский

9

Высокий

50

Женский

10

Высокий

100

Мужской

6

Средний


Рассмотрим результаты теста-анкеты «Самооценка лидерства» в виде диаграммы (рисунок 3.1).

Рисунок 3.1 - Результаты теста-анкета «Самооценка лидерства»

При анализе таблицы 3.1 и рисунка 3.1 можно сделать вывод, что при прохождении теста-анкеты «Самооценка лидерства» половина респондентов характеризуются высоким уровнем самооценки лидерства, проявляемый при совместной деятельности.

Можно сделать вывод, что из всех исследуемых высокую самооценку лидера имеют 49 % респондентов, для них свойственно высокое положение в своем учебном коллективе, данные респонденты легко устанавливают межличностные контакты и пользуются симпатиями у своих одногруппников. В коллективе данные респонденты имеют статус лидера или социометрической звезды. Средний социометрический статус имеют 32 % респондентов, данный показатель свидетельствует о том, что одногруппники предпочитают общаться с ними и охотно принимают их в свои микрогруппы. Чаще всего респондентам со средним социометрическим статусом в группе отводится роль предпочитаемого или принимаемого. Оставшихся 19 % респондентов имеют низкий социометрический статус, данный факт свидетельствует о том, что этим юношам не удалось завоевать авторитета в своей группе. Одногруппники либо пренебрегают общением с данной группой лиц, либо абсолютно изолируют их от себя.

Рисунок 3.2 - Результаты теста-анкеты «Самооценка лидерства» с точки зрения пола

Рисунок 3.3 - Результаты уровень самооценки респондентов - девушек по тесту «Самооценка лидерства»

Рисунок 3.4 - Результаты уровень самооценки респондентов - парней по тесту «Самооценка лидерства»

Проанализируем результаты теста «Самооценка лидерства» с точки зрения количества мужчин и женщин обладающих высокой, средней и низкой самооценкой соответственно, представим их в виде рисунка 3.2. Таким образом, респонденты-девушки обладают в основном, высокой самооценкой (рисунок 3.3), уровень самооценки респондентов - парней, рассмотрим на рисунке 3.4, таким образом, 43 % опрошенных обладают высоким уровнем самооценки, 32 % - низким уровнем и 25 % - средним.

2.3    Тест «Лидеры бывают разные»

Также было проведено еще дно опытно-поисковое исследование, в котором приняли участие на выборке 100 студентов 1-2 курса (50 % - девушки и 50 % - мужчин) на базе «Мозырского государственного педагогического университета имени И.П. Шамякина» и «Мозырского государственного медицинского колледжа».

Испытуемым предъявлялась следующая диагностическая методика тест-анкета «Лидеры Бывают разные» [Приложение 2 ];

Результаты проведенного теста представим в таблице 3.2.

Таблица 3.2 - Результаты теста « Лидеры бывают разные»


Рисунок 3.5 - Результаты теста-анкета «Лидеры бывают разные»

Результаты тест-анкета «Лидеры бывают разные»

Таким образом, результаты делятся на три группы:

от 0 до 49 очков, в данном случае ответы характерны для «психологического ужа». Такие респонденты способны проглотить любой упрек, даже если это и необязательно; всем пожертвовать, хотя этого никто не требует. Часто, чувствуя собственное бессилие, данные респонденты способны на… решительный поступок. Испытывая беспомощность - ищет в других недостающие вам черты характера. И в этом находите смысл и надежду на лучшую для вас жизнь. При проведении такой диагностической методики нами не было выявлено ни одного респондента, набравшего от 0 до 49 очков;

от 50 до 99 очков гармония и решительность, мудрость и расчет, умение дать добрый совет - вот ваши главные достоинства. Если необходимо - руководите, если нужно - уступите, всегда принимая во внимание чужое мнение и желание. Но только вам известно, всегда ли добиваетесь цели достойными средствами. При проведении такой диагностической методики нами было выявлено 35 респондентов, набравших от 50 до 99 очков;

от 100 до 150 очков - образ великого диктатора, который считает, что знает, как есть и должно быть. И такому поведению вы легко находите оправдание. Вы умеете убеждать и руководить другими, заставлять выполнять работу в срок. Но иногда что-то в тоне, взгляде, жесте ваших подчиненных говорит: «Дай передохнуть! При проведении такой диагностической методики нами было выявлено5 респондентов, набравших от 100 до 99 очков.

Представлены результаты проведенного исследования на рисунке 3.5 и 3.6.

Таким образом, видно, что большинство респондентов, которые были нами анкетированы, набрали от 50 до 99 очков, что свидетельствует о том, что у большей части данной аудитории не выражаются явные лидерские качества, указанные лица не стремятся к лидерству, однако все же у нескольких респондентов были выявлены явные лидерские качества.

3.3    Методика «Индикатор копинг-стратегий (д. Амирхан)»

Также было проведено исследование по методике Индикатор копинг-стратегий (д. Амирхан), в котором приняли участие студенты 1-2 курса «Мозырского государственного педагогического университета имени И.П. Шамякина» и «Мозырского государственного медицинского колледжа» [Приложение 3].

Методика Д. Амирхана, предназначена для диагностики базисных копинг- стратегий поведения используемых индивидом для преодоления стрессовых ситуаций. Методика «Индикатор копинг-стратегий», разработанная на основе факторного анализа. Теоретическим основанием методики является представление, что поведение людей в ситуации психологического стресса можно описать в трех группах:

-  стратегия разрешения проблем - это способность использовать все личностные ресурсы в стрессовой ситуации.

-       стратегия поиска социальной поддержки - это способность активного поиска социальной поддержки в стрессовой ситуации.

-       стратегия избегания - способность человека уходить от решения надвигающихся проблем путем избегания проблемной ситуации. автор методики выделял пассивный и активный способ избегания проблемной ситуации.

Стратегия избегающего поведения, по мнению автора методики, характерна для поведения дезадаптированного индивида, находящегося на более низком уровне развития.

Амирхан характеризовал совладающее поведение, как наиболее эффективное использование комбинации из трех описанных копинг-стратегий, в зависимости от стрессовой ситуации.

Методика предназначена для диагностики доминирующих копинг-стратегий личности [34, c. 554-556.].

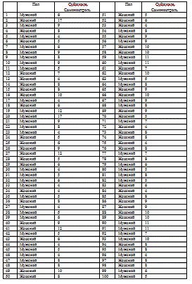
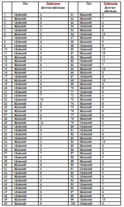
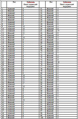
Рассмотрим результаты данного исследования. Результаты теста представим в таблице 3.3 и на рисунке 3.6 и 3.7.

Таблица 3.3 - Результаты методики Индикатор копинг-стратегий (д. Амирхан) - «Разрешение проблем»

Пол

Разрешение проблем

Поиск социальной поддержки

Избегание проблем

Пол

Разрешение проблем

Поиск социальной поддержки

Избегание проблем

1

Мужской

14

10

13

51

Женский

30

25

36

2

Женский

19

17

21

52

Женский

19

20

14

3

Мужской

27

21

24

53

Женский

14

10

13

4

Женский

17

18

26

54

Мужской

18

25

24

5

Мужской

28

30

29

55

Женский

25

30

18

6

Женский

25

30

27

56

Мужской

15

20

19

7

Мужской

15

17

19

57

Женский

16

20

30

8

Мужской

25

30

16

58

Женский

26

28

22

9

Мужской

16

19

32

59

Мужской

17

29

27

Мужской

18

25

24

60

Мужской

25

30

15

11

Мужской

25

30

18

61

Женский

16

19

32

12

Женский

15

20

19

62

Женский

25

30

15

13

Женский

16

20

30

63

Мужской

17

19

26

14

Женский

32

28

15

64

Мужской

30

25

36

15

Женский

30

24

27

65

Женский

19

20

14

16

Женский

18

26

27

66

Женский

14

10

13

17

Мужской

25

30

15

67

Мужской

18

25

24

18

Женский

17

19

26

68

Мужской

25

24

18

19

Мужской

30

25

36

69

Женский

30

14

20

20

Мужской

19

20

14

70

Женский

14

18

30

21

Мужской

25

24

18

71

Мужской

26

28

22

22

Мужской

30

14

20

72

Женский

17

29

27

23

Мужской

14

18

30

73

Женский

25

30

15

24

Женский

26

28

22

74

Женский

17

19

26

25

Женский

17

29

27

75

Женский

30

25

36

26

Женский

25

30

15

76

Женский

19

20

14

27

Женский

17

19

26

77

Мужской

14

23

21

28

Женский

30

25

36

78

Женский

14

10

13

29

Женский

19

20

14

79

Мужской

19

17

21

30

Мужской

14

10

13

80

Мужской

27

21

24

31

Мужской

19

17

21

81

Мужской

17

18

26

32

Мужской

27

21

24

82

Мужской

28

30

29

33

Мужской

17

18

26

83

Женский

14

10

13

34

Женский

28

30

29

84

Женский

19

17

21

35

Мужской

18

25

24

85

Женский

27

21

24

36

Женский

26

28

22

86

Женский

17

18

26

37

Мужской

17

29

27

87

Женский

28

30

29

38

Мужской

25

30

15

88

Женский

25

30

27

39

Мужской

16

19

32

89

Женский

15

17

19

40

Женский

18

25

24

90

Мужской

25

30

16

41

Женский

25

30

18

91

Мужской

16

19

32

42

Мужской

15

20

19

92

Мужской

18

25

24

43

Женский

14

10

13

93

Мужской

25

30

18

44

Мужской

19

17

21

94

Женский

15

20

19

45

27

21

24

95

Мужской

16

20

30

46

Мужской

17

18

26

96

Мужской

32

28

15

47

Мужской

28

30

29

97

Женский

30

24

27

48

Мужской

18

25

24

98

Женский

18

26

27

49

Женский

25

30

15

99

Мужской

25

30

15

50

Женский

17

19

26

100

Мужской

17

19

26


Источник: собственная разработка автора

Рисунок 3.6 - Результаты методики Индикатор копинг-стратегий (д. Амирхан) - «Разрешение проблем»

Рисунок 3.7 - Результаты методики Индикатор копинг-стратегий (д. Амирхан) - «Поиск социальной поддержки»

Рисунок 3.8 - Результаты методики Индикатор копинг-стратегий (д. Амирхан) - «Избегают проблемы»

Рисунок 3.9 - Результаты методики Индикатор копинг-стратегий (д. Амирхан)

Таким образом, исходя из исследования у большинства опрошенных средний уровень разрешения проблем, что говорит о использовании личностных качеств в стрессовой ситуации, также у многих наблюдается стратегия разрешения проблемы как поиск социальной поддержки в стрессовой ситуации.

Результаты методики показывают, что 40 % респондентов обладают средним и низким уровнем разрешения проблем, соответственно в данном случае большинство опрошенных используют активную поведенческую стратегию, при которой человек старается использовать все имеющиеся у него личностные ресурсы для поиска возможных способов эффективного разрешения проблемы.

Также большинство опрошенных студентов используют стратегию поиска социальной поддержки - это активная поведенческая стратегия, при которой человек для эффективного разрешения проблемы обращается за помощью и поддержкой к окружающей его среде: семье, друзьям, значимым другим, это подтверждает рисунок 3.7.

Стратегия избегания - это поведенческая стратегия, при которой человек старается избежать контакта с окружающей его действительностью, уйти от решения проблем (рисунок 3.8.)

3.4    Методика Копинг-тест Лазаруса

Также нами была проведена методика Копинг-тест Лазаруса. Данная методика предназначена для определения копинг-механизмов в когнитивной, эмоциональной и поведенческой сферах. Методика состоит из восьми шкал, содержащих 50 утверждений, отражающих способы преодоления трудностей в трех основных сферах психической, эмоциональной и поведенческой [Приложение 4, Приложение 5].

С помощью программы SPSS методом корреляционного анализа Спирмена были выявлены корреляционные взаимосвязи результатов исследования у студентов.

.   Установлена прямая слабая корреляционная связь между конфронтационным копингом и неврастеничностью, спонтанной агрессивностью, депрессивностью, раздражительностью, эмоциональной лабильностью, а также мускулизмом-фиминизмом с коэффициентом корреляции R= 0,127, R= 0,282, R= 0,298, R= 0,291, R= 0,270, R= 0,250 соответственно, таким образом, чем выше неврастеничность, спонтанная агрессивность, депрессивность, раздражительность, эмоциональной лабильность, а также мускулизмом-фиминизмом тем выше конфронтационный копинг.

2.      Установлена прямая средняя корреляционная связь между конфронтационным копингом и реактивной агрессивностью, открытостью с коэффициентом корреляции R= 0,355, R= 0,337 соответственно, таким образом, чем выше неврастеничность, спонтанная агрессивность тем выше конфронтационный копинг.

.        Установлена обратная корреляционная связь между конфронтационным копингом и уравновешенностью с коэффициентом корреляции R= -0,135, таким образом, чем выше уравновешенность, тем меньше конфронтационный копинг.

.        Установлена прямая слабая корреляционная связь между дистанционированием и неврастеничностью, раздражительностью, эмоциональной лабильностью и общительностью с коэффициентом корреляции R= 0,242, R= 0,261, R= 0,213, R= 0,052 соответственно, таким образом, чем выше неврастеничность, раздражительность, эмоциональная лабильность и общительность тем выше дистанционирование.

.        Установлена прямая средняя корреляционная связь между дистанционированием и спонтанной агрессивностью, реактивной агрессивностью, открытостью с коэффициентом корреляции R= 0,326, R= 0,318, R= 0,350 соответственно, таким образом, чем выше спонтанная агрессивность, реактивная агрессивность, открытость тем выше дистанционирование.

.        Установлена обратная корреляционная связь между поиском социальной поддержки и реактивной агрессивностью с коэффициентом корреляции R= -0,014, соответственно, таким образом, чем выше реактивная агрессивность, тем меньше поиск социальной поддержки.

.        Установлена прямая средняя корреляционная связь между принятием ответственности и неврастеничностью, спонтанной агрессивностью, депрессивностью, раздражительностью, открытостью, эмоциональной лабильностью с коэффициентом корреляции R= 0,426, R= 0,339, R= 0,379, R= 0,392, R= 0,372, R= 0,370 соответственно, таким образом, чем выше неврастеничность, спонтанная агрессивность, депрессивность, раздражительность, открытость, эмоциональная лабильность тем выше принятие ответственности.

.        Установлена обратная корреляционная связь между принятием ответственности и общительностью, мускулизмом-фиминизмом и уравновешенностью с коэффициентом корреляции R= -0,041, R= -0,050, R= -0,064 соответственно, таким образом, чем выше общительность, мускулизм-фиминизм и уравновешенность тем меньше принятие ответственности.

.        Установлена прямая средняя корреляционная связь между бегством-избеганием и неврастеничностью, спонтанной агрессивностью, депрессивностью, раздражительностью, эмоциональной лабильностью с коэффициентом корреляции R= 0,313, R= 0,407, R= 0,323, R= 0,276, R= 0,385 соответственно, таким образом чем выше неврастеничность, спонтанная агрессивность, депрессивность, раздражительность, эмоциональная лабильность тем выше бегство-избегание.

.        Установлена обратная корреляционная связь между бегством-избеганием и общительностью и уравновешенностью с коэффициентом корреляции R= -0,135, R= -0,059 соответственно, таким образом, чем выше общительность и уравновешенность, тем меньше бегство-избегание.

.        Установлена прямая средняя корреляционная связь между планированием решения проблемы и реактивной агрессивностью с коэффициентом корреляции R= 0,256 таким образом чем выше реактивная агрессивность тем выше планирование решения проблемы.

.        Установлена обратная корреляционная связь между планированием решения проблемы и застенчивостью с коэффициентом корреляции R= -0,061 таким образом чем выше застенчивость тем меньше планирование решения проблемы.

.        Установлена прямая средняя корреляционная связь между положительной переоценкой и открытостью с коэффициентом корреляции R= 0,273 таким образом чем выше открытость тем выше положительная переоценка.

Таким образом, было выявлено, были выявлены взаимосвязи между личностными особенностями и копинг-стратегией.

Прямая корреляционная связь найдена между конфронтационным копингом и неврастеничностью, спонтанной агрессивностью, депрессивностью, раздражительностью, эмоциональной лабильностью, а также мускулизмом-фиминизмом, реактивной агрессивностью, открытостью; между дистанционированием и неврастеничностью, раздражительностью, эмоциональной лабильностью и общительностью, спонтанной агрессивностью, реактивной агрессивностью, открытостью; между принятием ответственности и неврастеничностью, спонтанной агрессивностью, депрессивностью, раздражительностью, открытостью, эмоциональной лабильностью; между бегством-избеганием и неврастеничностью, спонтанной агрессивностью, депрессивностью, раздражительностью, эмоциональной лабильностью; между планированием решения проблемы и реактивной агрессивностью; между положительной переоценкой и открытостью.

Обратная корреляционная связь установлена между принятием ответственности и общительностью, мускулизмом-фиминизмом и уравновешенностью, между планированием решения проблемы и застенчивостью, между бегством-избеганием и общительностью и уравновешенностью, между поиском социальной поддержки и реактивной агрессивностью, между конфронтационным копингом и уравновешенностью, однако в большинстве случаев обратная связь достаточно слабая.

Таким образом, нами были проведены методики:

)     Тест «Самооценка лидерства», по результатам которой можно сделать вывод, что из всех исследуемых высокую самооценку лидера имеют 49 % респондентов, для них свойственно высокое положение в своем учебном коллективе, данные респонденты легко устанавливают межличностные контакты и пользуются симпатиями у своих одноклассников.

2)      Тест «Лидеры бывают разные», результаты которой свидетельствуют о том, что большинство респондентов, которые были нами анкетированы, набрали от 50 до 99 очков, что говорит о том, что у большей части данной аудитории не выражаются явные лидерские качества, указанные лица не стремятся к лидерству, однако все же у нескольких респондентов были выявлены явные лидерские качества.

3)   Методика «Индикатор копинг-стратегий (д. Амирхан)», большинства опрошенных средний уровень разрешения проблем, что говорит о использовании личностных качеств в стрессовой ситуации, также у многих наблюдается стратегия разрешения проблемы как поиск социальной поддержки в стрессовой ситуации.

4)      Методика Копинг-тест Лазаруса, где были выявлены прямые и обратные зависимости копинг-стратегий с личностными особенностями.

4. РАЗРАБОТКА РЕКОМЕНДАЦИЙ, КОТОРЫЕ БУДУТ НАПРАВЛЕНЫ НА ВЫЯВЛЕНИЯ ЛИДЕРСКИХ КАЧЕСТВ В ЮНОШЕСКОМ ВОЗРАСТЕ

Выявление лидерских качеств в юношеском возрасте можно определить как целенаправленное формирование и развитие соответствующих качеств и навыков. Подобные правоотношения в той или иной степени учитывают возможности выявления и формирования лидерских способностей посредством обучения и самообучения [35, c. 22 - 24].

Для развития лидерства используется ряд нижеследующих процедур:

-       выработка личной мотивации, устойчивого желания быть лидером, уверенности в себе, готовности принимать решения и брать на себя ответственность, последовательности и упорства в реализации общих целей, осознания собственной силы, веры в достижение цели, энтузиазма и т. п.;

-       развитие индивидуальных интеллектуальных и нравственных лидерских качеств;

-       обеспечение социальной компетентности лидера и его доброжелательности в отношениях с членами группы. Это предполагает культуру общения, умение ясно и четко выражать мысли, корректно выслушивать сотрудников, делать замечания, давать советы, внимательность, уважение достоинства других людей, умение понимать их, проникаться их заботами и проблемами, оказывать им поддержку и т. п.;

-       приобретение умения и навыков быстро и правильно оценивать ситуацию, знать и учитывать особенности, интересы, запросы и ожидания всех членов группы [36, c. 13 - 15].

Также необходимо отметить, что на формирование психологической готовности к лидерской деятельности в юношеском возрасте» необходимо целенаправленное влияние со стороны подготовленных взрослых на актуализацию лидерского потенциала.

Педагог, будь он воспитателем или учителем, классным руководителем или директором школы, наряду с психологом должен помочь развитию лидерского потенциала, зная возрастные особенности и закономерности развития лидерской деятельности.

Для адекватного воздействия со стороны психологов и педагогов на формирование психологической готовности к лидерской деятельности необходимо воспользоваться параметрами лидерства; сгруппировать их по «блокам», согласно структуре лидерской деятельности [35, c. 22 - 26].

Первый блок «Формирование мотивационно-потребностного звена».

Направлен на самоидентификацию: осознание ценности своей личности, своего

«Я», формирование положительного отношения к себе, мотивация на личностные изменения, стремление к саморазвитию, осознание себя «активным деятелем в среде».

Второй блок «Формирование исполнительного звена». Исполнительное звено помимо стиля деятельности включает знания, умения и навыки. В контексте обсуждения и проработки упражнений в памяти фиксируется блок теоретической информации о психологических закономерностях развития межличностных отношений, о развитии личностного потенциала, формируются навыки эффективного взаимодействия. Таким образом, человек научается планировать свою деятельность и деятельность группы, познавать самого себя и окружающих, оказывать управляющее воздействие.

Третий блок «Формирование контрольно-оценочного звена». Это снова формирование умений, но умений оценивать себя, свои возможности, сильные и слабые стороны своей личности, на основе полученных данных составлять программу развития. Умение принять оценку других, сопоставить с самооценкой, вывести противоречия, учесть их и скорректировать программу развития. Умение дать адекватную, беспристрастную оценку другим [37, c. 274 - 275].

Схематично психолого-педагогическое воздействие на формирование психологической готовности к лидерской деятельности отражено на рис.4.1.

Рисунок 4.1 - Оказание психолого-педагогического воздействия на формирование психологической готовности к лидерской деятельности

Таким образом, педагоги и психологи могут осуществлять целенаправленное влияние на формирование психологической готовности к лидерской деятельности. Данная помощь возможна на основе знаний о структуре лидерской деятельности, об особенностях принятия ответственности (локус контроле личности).

Исходя из всего вышеперечисленного, психологи и педагоги могут (за счет специально разработанных тренингов):

-  оказать помощь при осознании лидерских мотивов и потребностей;

-       направить лидерскую активность личности;

-  организовать лидерскую деятельность личности на I этапе, постепенно передав всю ответственность за поступки непосредственно самой личности;

-  помочь в отработке навыков лидерской деятельности;

-   дать обратную связь и научить ее принимать для формирования адекватной самооценки себя как лидера.

В теоретической и эмпирической части были рассмотрены особенности структуры лидерской деятельности, необходимость целенаправленного психолого-педагогического воздействия на становление личности в юношеском возрасте.

Потребность создания и реализации технологии формирования психологической готовности к лидерской деятельности подтверждена результатами констатирующего эксперимента.

Данный вид работы необходим для полноценного понимания структурной организации лидерской деятельности, как со стороны психологов, так и педагогов, которые непосредственно работают с юношеством и оказывают влияние на развитие личности.

Базовым фундаментом технологии стал деятельностный подход, который рассматривает становление личности в процессе ее движения в системе социальных отношений, осуществляемого в деятельности и общении. Сообразно деятельностному подходу, создаются условия и формируются необходимые характеристики, которые апробируются в реальном процессе общения и деятельности.

Для выявления лидерских качеств, считаем целесообразным проведение тренинга «Лидер в каждом из нас».

Основной целью реализации предложенной технологии является повышение уровня психологической готовности к реализации лидерской деятельности за счет сформированности компонентов структуры и учета влияния факторов субъективного контроля

Формой реализации технологии является личностно-ориентированный психологический тренинг как метод преднамеренных прогрессивных изменений человека через приобретение, анализ и переоценку им своего жизненного опыта в процессе группового взаимодействия.

Психологическим механизмом формирования психологической готовности к лидерской деятельности является перевод лидерской деятельности из потенциальной формы в актуальную или маргинальную, за счет актуализации и развития параметров структуры и повышения показателей по факторам интернальности в пределах нормы.

Мишенью воздействия тренинга стали мотивационно-ориентировочная, исполнительная и контрольно-оценочная составляющие структуры деятельности.

Принцип организации работы тренинговой группы работа со своей личностью (личностный рост), работа в команде, постоянное получение обратной связи.

Тренинг направлен на поэтапное решение следующих основных задач:

. Выработать мотивацию и стремление к лидерству.

. Сформировать лидерское мировоззрение.

. Развить профессионально-управленческие и социально-психологические качества участников, повышающие их успешность как руководителей и лидеров.

. Сформировать положительный опыт лидерского поведения участников в моделируемых ситуациях профессиональной деятельности.

. Создать и закрепить положительный опыт лидерского взаимодействия организационных лидеров учебных групп с одногруппниками.

Структуру разработанного тренинга «Лидер в каждом из нас» можно разделить на следующие блоки:

1) Личностный модуль направлен на формирование у участников мотивации и стремления к лидерству, лидерского мировоззрения и лидерской Я-концепции, повышение уровня моральной нормативности и социализации, а также на развитие межличностной чувствительности и коммуникативной компетентности, способности учитывать в деятельности как интересы группы, так и отдельных ее членов.

2)      Организационно-лидерский модуль проводится с учебной группой и направлен на формирование в моделируемых ситуациях опыта управленческого взаимодействия организационных лидеров с подчиненными и закрепление их лидерского образа в глазах одногруппников.

Рассмотрим поэтапно тренинг «Лидер в каждом из нас».

Первый этап «Вступление».

Данный этап направлен на создание благоприятных условий для работы в группе, первичное освоение приемов самоанализа, самодиагностики и способов самораскрытия. Формирование интереса и мотивации к посещению дальнейших занятий.

Обсуждение правил тренинга:

. Конфиденциальность (не разглашение) т.е. все, что было на тренинге остается внутри группы и не выносится за ее пределы.

. Искренность.

. Правило времени (приходим вовремя, не опаздываем, заканчиваем по команде ведущего).

. Правило «СТОП» (останавливаемся по требованию ведущего).

. Правило «Активное участие в группе».

. Правило «Добровольного участия».

. Правило «Общение на «ТЫ» или по имени».

. Правило «Ненасилия» (никогда не бить).

Второй этап «Знакомство».

Данный этап направлен на знакомство участников друг с другом.

Участники разбиваются на пары. Дается 10 минут на то, чтобы, рассказать друг другу о себе как можно подробнее - ведь вам предстоит представлять своего партнера группе. Предполагаемые вопросы:

-  что я жду от работы в тренинге;

-       что я ценю в самом себе;

-       предмет моей гордости;

-       что я умею делать лучше всего;

-       что вас объединяет с вашим партнером.

Затем каждый участник представляет своего партнера группе.

Следующим упражнением будет.

Каждому участнику предлагается составить список его безусловно ценных качеств. В него можно внести какие-то из перечисленных ниже пунктов:

Я хороший друг.

Я достиг кое-чего в жизни.

Я помогаю людям.

Я хочу добиться успеха.

Я признаю свои ошибки.

Я стараюсь не совершать больше ошибок, которые

делал прежде.

Я стараюсь жить в нравственной чистоте и быть добрым к людям.

Я довольно привлекателен.

Я талантлив в некоторых областях.

Я стал лучше понимать себя.

По окончании участники зачитывают написанные ими качества.

Третий этап «Лидерский модуль».

Упражнение направлено на формирование представлений участников о лидерских качествах.

Упражнение «Качества лидера».

Описание процедуры.

Упражнение состоит из трех этапов.

На первом этапе каждому участнику предлагается индивидуально составить список из семи наиболее важных качеств, которыми, по его мнению, необходимо обладать человеку, чтобы стать лидером. Время выполнения - 5 минут. Затем каждый участник зачитывает свой список группе.

На втором этапе группе предлагается коллегиально, руководствуясь принципом достижения согласия, проанализировать все прозвучавшие качества и определить пять наиболее значимых качеств для лидера курсантской группы. Окончательный список качеств зачитывается ведущему и обосновывается участниками.

На третьем этапе каждому участнику предлагается по пятибалльной шкале оценить степень развитости выделенных группой лидерских качеств лично у него.

Результаты зачитываются группе.

Пояснение Упражнение подготавливает группу к информированию, в процессе которого ведущий кратко знакомит участников с основными идеями ситуационного и поведенческого подходов исследования лидерства, а также с различными моделями лидерских качеств организационного лидера.

Ознакомление участников тренинга с качествами, необходимыми для успешного выполнения лидерских функций, повышает их мотивацию к саморазвитию этих качеств.

Упражнение «Чувство успеха»

Упражнение направлено на работу с чувством успеха. Также его можно использовать для завершения занятия.

Описание процедуры

Участникам предлагается встать в круг. Выбирается первый доброволец, желающий почувствовать успех. Доброволец выходит в центр круга, остальные участники бурно ему аплодируют. Это продолжается ровно столько, сколько захочет одариваемый аплодисментами участник. После этого он благодарит группу (говорит «спасибо», кланяется и т. п.) и возвращается в круг. Далее выходит следующий участник.

Этап третий «Организационно-лидерский модуль».

Упражнение «Топь»

Описание процедуры

На полу мелом или с помощью клейкой ленты проводятся две линии на расстоянии 10 м друг от друга. Между ними равномерно раскладываются 6-8 листков бумаги размера А-4.

Ведущий дает следующую инструкцию:

«Представьте, что путь вашей группе преградила непроходимая трясина, условно обозначенная линиями на полу.

Вам необходимо перебраться на противоположный берег. Ваша задача - преодолеть преграду. Листами обозначены устойчивые островки. При этом необходимо соблюдать следующие правила:

к началу выполнения упражнения все игроки должны стоять за стартовой чертой, а в конце - за финишной;

в процессе преодоления препятствия наступать можно только на островки, обозначенные листами бумаг;

во время переправы все участники должны так или иначе держаться друг за друга;

• в каждый момент времени на островке обязательно должна стоять как минимум одна нога участника. Если окажется, что хоть секунду на островке никто не стоит, то островок тонет;

• если участник коснется болота вне островка (упадет или заступит), то участник признается «затянутым в трясину», а группа считается не справившейся с упражнением и возвращается на исходную позицию;

• перед началом выполнения упражнения вам вместе с группой необходимо выработать вариант решения задания».

Пояснение Основная роль ведущего на протяжении выполнения упражнения заключается в оказании юношам консультативной помощи в поиске решения поставленной задачи. Все взаимодействие с учебной группой ведущему необходимо осуществлять через младших командиров, подчеркивая этим их лидерскую позицию в группе.

После каждой неудачной попытки выполнения упражнения ведущий предлагает юношам рассадить группу в круг. Он помогает им организовать обсуждение причин неудачи и продумать новую стратегию решения задачи. В процессе обсуждения ведущему полезно обратить внимание группы на необходимость слаженных действий во время «переправы», четкого соблюдения выработанных инструкций и подаваемых юношам команд, а также взаимоподдержки участников.

После удачной попытки выполнения упражнения ведущий также предлагает юношам рассадить группу в круг, провести обсуждение и обменяться впечатлениями.

Пояснение.

Упражнение можно усложнять расширением трясины или уменьшением количества островков.

Для того чтобы придать упражнению большую эффективность, а также избежать оспаривания фактов отрыва ноги от островков, можно сделать следующее.

К листкам-островкам скрепкой прикрепляются резинки, вторые концы которых закрепляются в стороне.

Листки укладываются на пол таким образом, чтобы резинки были слегка натянуты. На каждый из них предлагается встать по одному участнику. После этого объявляется о начале выполнения упражнения. В результате, если окажется, что на островке хоть одно мгновенье никто не стоит, то листик улетит и всем будет понятно, что этого островка у них больше нет. Хотя у группы все же остается шанс успешно выполнить упражнение.

Таким образом, выявления лидерских качеств в юношеском возрасте формирование и развитие соответствующих качеств и навыков. Для развития лидерства используется ряд нижеследующих процедур:

-  выработка личной мотивации, устойчивого желания быть лидером, уверенности в себе, развитие индивидуальных интеллектуальных и нравственных лидерских качеств;

-       обеспечение социальной компетентности лидера и его доброжелательности в отношениях с членами группы;

-       приобретение умения и навыков быстро и правильно оценивать ситуацию, знать и учитывать особенности, интересы, запросы и ожидания всех членов группы.

Однако также необходимо учитывать, что юношество, находясь в системе образования, нуждается в своевременной и грамотной помощи со стороны взрослых для реализации свои потенциальных способностей (в том числе и лидерских). Лидерская деятельность при этом выступает как возможность грамотной самореализации на данном возрастном этапе, как проба себя перед вступлением во взрослую жизнь.

Разработана психолого-педагогическая технология формирования лидерской деятельности в юношеском возрасте «Лидер в каждом из нас», которая может быть использована при работе педагогов-психологов в образовательных учреждениях, при разработке учебных программ для психологов и менеджеров, а также непосредственно в работе менеджеров.

ЗАКЛЮЧЕНИЕ

В ходе проведенного исследования было выявлено:

1) ни в научной и методической литературе в достаточной мере не разработаны технологии формирования лидерских качеств в воспитательном процессе, в частности в период обучения молодого человека в старших классах обучения в школе либо в высшем учебном заведении (в юности).

2)      целесообразно выделить следующие компоненты лидерских качеств с определением в них признаков, которые, по нашему мнению, обеспечивают эффективное лидерство юношей и которые условно можно разделить на: мотивационный (признаки: уверенность в себе, потребность в достижении, стремление к самоутверждению и самореализации); эмоционально-волевой (признаки: уравновешенность, эмоционально-положительное самочувствие, наличие волевых качеств) личностный (признаки: влияние на других, оригинальное, творческое мышление, комукоммуникативной и организаторские способности); деловой (признаки: умение принимать правильное решение в непредвиденных ситуациях, готовность брать на себя ответственность, знания, умения и навыки организаторской работы), воспитания, где воспитание - это процесс целенаправленного управления формированием и развитием личности в соответствии с требованиями общества;

)        юность является периодом завершения физического созревания и формирования первичной социализации личности. В юности расширяются временные представления, включая будущее, личные и социальные перспективы. Мировоззренческий поиск в юношеском возрасте обусловливает социальную ориентацию личности, способствует осознанию себя частицей, элементом социальной общности, выбору своего будущего социального положения и способов его достижения. Становление социальной зрелости предполагает формирование полоролевых отношений, как основы взаимодействия между мужчиной и женщиной в общественных и семейных отношениях;

)        нами были проведены методики:

-  Тест «Самооценка лидерства», по результатам которой можно сделать вывод, что из всех исследуемых высокую самооценку лидера имеют 49 % респондентов, для них свойственно высокое положение в своем учебном коллективе, данные респонденты легко устанавливают межличностные контакты и пользуются симпатиями у своих одноклассников.

-       Тест «Лидеры бывают разные», результаты кторой свидетельствуют о том, что большинство респондентов, которые были нами анкетированы, набрали от 50 до 99 очков, что говорит о том, что у большей части данной аудитории не выражаются явные лидерские качества, указанные лица не стремятся к лидерству, однако все же у нескольких респондентов были выявлены явные лидерские качества.

-       Методика «Индикатор копинг-стратегий (д. Амирхан)», большинства опрошенных средний уровень разрешения проблем, что говорить о использовании личностных качеств в стрессовой ситуации, также у многих наблюдается стратегия разрешения проблемы как поиск социальной поддержки в стрессовой ситуации.

-       Методика Копинг-тест Лазаруса, где были выявлены прямые и обратные зависимости копинг-стратегий с личностными особенностями.

5) для развития лидерства используется ряд нижеследующих процедур: выработка личной мотивированности, устойчивого желания быть лидером, уверенности в себе, развитие индивидуальных интеллектуальных и нравственных лидерских качеств; обеспечение социальной компетентности лидера и его доброжелательности в отношениях с членами группы; приобретение умения и навыков быстро и правильно оценивать ситуацию, знать и учитывать особенности, интересы, запросы и ожидания всех членов группы.

6)      Разработана психолого-педагогическая технология формирования лидерской деятельности в юношеском возрасте «Лидер в каждом из нас», которая может быть использована при работе педагогов-психологов в образовательных учреждениях, при разработке учебных программ для психологов и менеджеров, а также непосредственно в работе менеджеров.

В заключение работы следует отметить, что изучаемая нами проблема, требует своего дальнейшего теоретического и практического исследования.

СПИСОК ИСПОЛЬЗОВАННЫХ ИСТОЧНИКОВ

1       Возрастная психология: Детство, отрочество, юность : хрестоматия / сост. и науч. ред. В. С. Мухина, А. А. Хвостов. - Москва : Академия, 2000. - 624с

         Басов, М. Я. Избранные психологические произведения / М. Я. Басов; под ред. В. Н. Мясищева. - Москва: Педагогика, 20008. - 432 с.

         Рубинштейн, С. Л. Основы общей психологии / С. Л. Рубинштейн. - Санкт-Петербург [и др.] : Питер : Питер Пресс, 2013. - 705,

         ЛЕОНТЬЕВ, А. Н. Проблемы развития психики. - 4 изд.. - М. : МГУ, 2000. - 584с.

         Яхонтова, Е.С. Основы межличностного лидерства: учебное пособие / Е.С. Яхонтова. - М. : Евразийский открытый институт, 2011. - 215 с.

         Вдовиченко, В. П. От детства к взрослости : Юношество. Социализация. Библиотека: Юношество. Социализация. Библиотека / Вера Петровна Вдовиченко. - Москва: Школьная библиотека, 2006. - 144 с.

         Абрамова, Г. С. Возрастная психология : учебное пособие для вузов / Г. С. Абрамова. - 5-е изд.. - М. : Академический проект, 2005. - 702 с.

         Платонов, К. К. Психология: Учебник для индустр.-пед. техникумов. - Москва : Высшая школа, 2004. - 256 с.

         Психология развития, возрастная психология : для студентов вузов : учебное пособие / С.И. Самыгин, А.В. Волочай, Н.Г. Гончарова, Д.С. Загутин. - Ростов-н/Д : Феникс, 2013. - 224 с.

         Марасанов, Г.И. Социальная компетентность: психологические условия развития в юношеском возрасте / Г.И. Марасанов, Н.А. Рототаева. - М. : Когито-Центр, 2003. - 172 с

         Крайг, Грэйс Психология развития [Текст] / Грэйс Крайг ; науч. ред. перевода Т. В. Прохоренко. - 9-е изд. - СПб. : Питер, 2010. - 940.

         Ермолаева М. В . Психология развития : Методическое пособие для студенто в заочной и дистанционной форм обучения. -2- е изд. - М.:Московски й психолого-социальный институт; Воронеж :Издательство НПО «МОДЭК», 2003. -376с .

         Мандель, Б. Р. Возрастная психология : учебное пособие / Б. Р. Мандель. - Москва : Вузовский учебник : Инфра-М, 2013. - 351 с

         Возрастная и педагогическая психология : Хрестоматия: Учебное пособие для средних учебных заведений / Сост. И. В. Дубровина, А. М. Прихожан, В. В. Зацепин. - М. : Академия, 2006. - 320с.

         Шаповаленко, И. В. Психология развития и возрастная психология: учебник для бакалавров, обучающихся по направлению и специальностям психологии / И. В. Шаповаленко. - 2-е издание, переработанное и дополненное. - Москва : Юрайт, 2013. - 567 с.

         Битянова, М. Р. Социальная психология / М. Р. Битянова. - 2-е изд., доп. и пер.. - Санкт-Петербург : Питер, 2008. - 368 с.

         Вдовиченко, В. П. От детства к взрослости : Юношество. Социализация. Библиотека : Юношество. Социализация. Библиотека / Вера Петровна Вдовиченко. - Москва : Школьная библиотека, 2006. - 144 с..

         Битянова, М. Р. Социальная психология / М. Р. Битянова. - 2-е изд., доп. и пер.. - Санкт-Петербург : Питер, 2008. - 368 с

         МУХИНА, В. С. Возрастная психология: феноменология развития, детство, отрочество : учебник для вузов. - 4 изд., стереотип.. - Москва : Академия, 2006. - 456 с.

         Алтунина, И. Р. Социальная психология : учебник для бакалавров : учебник для студентов высших учебных заведений, обучающихся по направлению "Психология" / И. Р. Алтунина ; под редакцией Р. С. Немова. - 2-е издание. - Москва : Юрайт, 2011. - 427 с.

         Коломинский, Я. Л. Социальная психология развития личности / Я. Л. Коломинский, С. Н. Жеребцов. - Минск : Вышэйшая школа, 2009. - 335, c.

         Психология развития, возрастная психология : для студентов вузов : учебное пособие / С.И. Самыгин, А.В. Волочай, Н.Г. Гончарова, Д.С. Загутин. - Ростов-н/Д : Феникс, 2013. - 224 с.

         Волков, Борис Степанович Психология юности и молодости [Текст] : учебное пособие / Борис Степанович Волков. - М : Академический проект, 2006. - 256.

         Психология развития, возрастная психология : для студентов вузов : учебное пособие / С.И. Самыгин, А.В. Волочай, Н.Г. Гончарова, Д.С. Загутин. - Ростов-н/Д : Феникс, 2013. - 224 с.

         Ванюхина, Н.В. Возрастная психология : учебное пособие : в 2-х кн. / Н.В. Ванюхина ; Институт экономики, управления и права (г. Казань). - Казань : Познание, 2008. - Кн. 1. - 208 с.

         Бейтсон, М. К. Возраст активной мудрости: будущее, которое мы сочиняем / М. К. Бейтсон ; [перевод с англ. И. Ющенко]. - Москва : Карьера пресс, 2013. - 337 с

         Вартанова, И. И. Личность старшеклассника: мотивация и система ценностей / И. И. Вартанова // Вопросы психологии. - 2012. - № 3. - С. 3-11.

         Возрастная и педагогическая психология : Хрестоматия: Учебное пособие для средних учебных заведений / Сост. И. В. Дубровина, А. М. Прихожан, В. В. Зацепин. - М. : Академия, 1998. - 320с

         Лысюк, Л. Г. Моральное самосознание в юношеском возрасте: опасности и возможности развития / Л. Г. Лысюк // Веснік Брэсцкага універсітэта. Серыя гуманітарных і грамадскіх навук. - 2009. - № 3. - С. 69-75

         Лысюк, Л. Г. Представления о взрослости при переходе от подросткового возраста к юношескому / Л. Г. Лысюк // Веснік адукацыі = Вестник образования. - 2015. - № 2. - С. 21-31.

         Казанская, К.О. Детская и возрастная психология : учебное пособие / К.О. Казанская. - М. : А-Приор, 2010. - 160 с.

         Обухова, Л.Ф. Возрастная психология : учебник / Л.Ф. Обухова. - 4-е изд. - М. : Педагогическое общество России, 2004. - 402 с.

         Алтунина, И. Р. Социальная психология : учебник для бакалавров : учебник для студентов высших учебных заведений, обучающихся по направлению "Психология" / И. Р. Алтунина ; под редакцией Р. С. Немова. - 2-е издание. - Москва : Юрайт, 2011. - 427 с,

         Ильин, Е.П. Психология индивидуальных различий.// Е.П. Ильин. - СПб.: Питер, 2004. - С. 554-556

         Андреева, С. В. Педагогические условия формирования лидерских качеств студентов / С. В. Андреева // Высшее образование сегодня. - 2014. - № 3. - С. 22-26.

         Вакула, М. Н. "Школа лидера" как инструмент формирования лидерских качеств : особенности разработки и реализации программ по подготовке лидеров в учреждениях общего среднего и высшего образования / М. Н. Вакула // Народная асвета. - 2015. - № 9. - С. 13-15

         Алтунина, И. Р. Социальная психология : учебник для бакалавров : учебник для студентов высших учебных заведений, обучающихся по направлению "Психология" / И. Р. Алтунина ; под редакцией Р. С. Немова. - 2-е издание. - Москва : Юрайт, 2011. - 427 с.

Адаир Д. Эффективное лидерство. Как развивать и применять лидерские навыки / Д. Адаир Д. - М. : Эксмо , 2010. - 318 с.

Шевандрин Н.И. Социальная психология в образовании: Учебное пособие. Ч.1. Концептуальные и прикладные основы социальной психологии. - М.:ВЛАДОС, 2000.- 544 с.

Берн Э. Лидер и группа: О структуре и динамике организаций и групп / Э. Берн. - Екатеринбург : Литур , 2000. - 319 с

ПРИЛОЖЕНИЕ 1

САМООЦЕНКА ЛИДЕРСТВА

Шкалы: уровень лидерства

НАЗНАЧЕНИЕ ТЕСТА

Данный экспресс-тест позволяет определить актуальный уровень проявления лидерства в совместной деятельности.

Инструкция к тесту

Внимательно прочтите каждое из десяти суждений и выберите наиболее подходящий для вас ответ в буквенной форме. Работая с опросником, помните, что нет ни плохих, ни хороших ответов. Немаловажным фактором является и то, что в своих ответах надо стремиться к объективности и записывать тот ответ, который первым приходит в голову.

ТЕСТ

. Что для вас важнее в игре?

. Победа.

. Развлечение.

. Что вы предпочитаете в общем разговоре?

. Проявлять инициативу, предлагать что-либо.

. Слушать и критиковать то, что предлагают другие.

. Способны ли вы выдерживать критику, не ввязываться в частные споры, не оправдываться?

. Да.

. Нет.

. Нравится ли вам, когда вас хвалят прилюдно?

. Да.

. Нет.

. Отстаиваете ли вы свое мнение, если обстоятельства (мнение большинства) против вас?

. Да.

. Нет.

. В компании, в общем деле вы всегда выступаете заводилой, придумываете что-либо такое, что интересно другим?

. Да.

. Нет

. Умете ли вы скрывать свое настроение от окружающих?

. Да.

. Нет.

. Всегда ли вы немедленно и безропотно делаете то, что вам говорят старшие?

. Нет.

. Да.

. Удается ли вам в разговоре, дискуссии, убедить, привлечь на свою сторону тех, кто раньше был с вами не согласен?

. Да.

. Нет.

. Нравится ли вам учить (поучать, воспитывать, обучать, давать советы) других?

. Да.

. Нет.

ОБРАБОТКА И ИНТЕРПРЕТАЦИЯ РЕЗУЛЬТАТОВ ТЕСТА

Подсчитать общее количество «1» и «2» ответов.

• Высокий уровень лидерства А = 7-10 баллов.

• Средний уровень лидерства А = 4-6 баллов.

• Низкий уровень лидерства А = 1-3 балла.

Преобладание ответов «B» свидетельствует об очень низком или деструктивном лидерстве.

ПРИЛОЖЕНИЕ 2

Тест «И лидеры бывают разные»

Попробуйте проэкзаменовать себя: «да», «нет», «не знаю».

. Уже в детстве необходимость подчиняться другим была для меня проблемой.

А) да Б) нет В) не знаю

. Считаю, что прогресс в науке и культуре немыслим без людей с развитыми потребностями господствовать над другими.

А) да Б) нет В) не знаю

. Думаю, что настоящий мужчина умеет подчинять своей воле женщин.

А) да Б) нет В) не знаю

. Честно говоря, не люблю, когда близкие опекают.

А) да Б) нет В) не знаю

. Согласен с утверждением, что истинная натура женщины - покорность.

А) да Б) нет В) не знаю

. Не все, возможно, догадываются, что «брать все на себя» мне приходится из-за постоянных опасений за благополучие родных.

А) да Б) нет В) не знаю

. По-моему, большинство проблем у нас возникает из-за недостатка лидеров с «железной рукой».

А) да Б) нет В) не знаю

. В трудных ситуациях, требующих быстрого решения, мне обычно не нужно много времени, чтобы поступить правильно.

А) да Б) нет В) не знаю

. Знаю, что могу и люблю руководить другими людьми.

А) да Б) нет В) не знаю

. Не умею и не хочу открываться до конца ни перед кем.

А) да Б) нет В) не знаю

. Мне не чужды мечты о «тихой пристани».

А) да Б) нет В) не знаю

. Думаю, что подчиненному просто необходимо уметь выполнять любые приказы начальника.

А) да Б) нет В) не знаю

. Возможно, это странно, но в отношениях с близкими мне людьми испытываю внутреннее сопротивление, когда вынужден просить о чем-то. А) да Б) нет В) не знаю

. Часто сталкиваюсь с ситуацией, в которой кто-то ждет от меня объяснений, хотя, на мой взгляд, все и так ясно.

А) да Б) нет В) не знаю

. Мне кажется, что мой характер похож на отца, который был опорой в семье.

А) да Б) нет В) не знаю

Интерпретация результатов:

«Да» - 10 очков, «нет» - 0 очков, «не знаю» - 5 очков.

-100 очков. Ваши ответы рисуют образ великого диктатора, который считает, что знает, как есть и должно быть. И такому поведению вы легко находите оправдание. Вы умеете убеждать и руководить другими, заставлять выполнять работу в срок. Но иногда что-то в тоне, взгляде, жесте ваших подчиненных говорит: «Дай передохнуть!

-50 очков. Гармония и решительность, мудрость и расчет, умение дать добрый совет - вот ваши главные достоинства. Если необходимо - руководите, если нужно - уступите, всегда принимая во внимание чужое мнение и желание. Но только вам известно, всегда ли добиваетесь цели достойными средствами.



ПРИЛОЖЕНИЕ 3

Методика Индикатор копинг-стратегий (Д. Амирхан)

ПРИЛОЖЕНИЕ 4

Методика Копинг-тест Лазаруса

Пол 

Возраст 

Образование 

Пожалуйста, зачеркните цифру справа каждого утверждения, которая наиболее соответствует Вашему отношению к данному утверждению:

ПРИЛОЖЕНИЕ 5

Результаты методики Копинг-тест Лазаруса

Корреляция копинг-стратегий с личностными особенностями

Похожие работы на - Особенности копинг-стратегий личности юношеского возраста и лидерскими качествами

 

Не нашли материал для своей работы?
Поможем написать уникальную работу
Без плагиата!
Без нейросетей!