Расчет теплообменника

  • Вид работы:
    Курсовая работа (т)
  • Предмет:
    Другое
  • Язык:
    Русский
    ,
    Формат файла:
    MS Word
    441,78 Кб
  • Опубликовано:
    2017-04-10
Вы можете узнать стоимость помощи в написании студенческой работы.
Помощь в написании работы, которую точно примут!

Расчет теплообменника

введение


Теплообменниками называются аппараты, в которых происходит теплообмен между рабочими средами не зависимо от их технологического или энергетического назначения (подогреватели, выпарные аппараты, концентраторы, пастеризаторы, испарители, деаэраторы, экономайзеры и др.).

Технологическое назначение теплообменников многообразно. Обычно различаются собственно теплообменники, в которых передача тепла является основным процессом, и реакторы, в которых тепловой процесс играет вспомогательную роль. Классификация теплообменников возможна по различным признакам. По способу передачи тепла различаются теплообменники смешения, в которых рабочие среды непосредственно соприкасаются или перемешиваются, и поверхностные теплообменники - рекуператоры, в которых тепло передается через поверхность нагрева - твердую (металлическую) стенку, разделяющую эти среды.

Теплообменники широко используются в химической промышленности, где они применяются в следующих процессах:

·        нагревания и охлаждения веществ в различных агрегатных состояниях;

·        испарения жидкостей и конденсации паров;

·        перегонки и сублимации;

·        абсорбции и адсорбции;

·        расплавления твердых тел и кристаллизации;

·        отвода и подвода тепла при проведении определенных реакций.

Существует три принципиальных способа передачи тепла от одного теплоносителя к другому:

Теплопередача - заключается в переносе тепловой энергии при соприкосновении колеблющихся микрочастиц.

Излучение - это перенос энергии в виде электромагнитных волн, которые излучают тела.

Конвекция - осуществляется за счет перемещения и перемешивания частиц жидкости или газа.

В различных частях теплообменных аппаратов процесс теплообмена происходит по-разному и может сочетать все или несколько приведенных видов теплопередачи. Поэтому при расчете процесс теплопередачи рассматривают как единый.

Цели курсового проекта:

·        выполнение теплового, гидравлического, механического расчетов;

·        расчет тепловой изоляции;

·        расчет и выбор вспомогательного оборудования;

·        определение зависимости Q = f (n), где n - число дефектных трубок, выводимых из работы путем установки пробок на сторонах входа и выхода теплоносителя; величина n изменяется от 1 до значения, соответствующего 20% величины площади поверхности теплопередачи F.

1. Технологическая схема установки


Из аппарата А1 бензол при температуре 70⁰C подаётся центробежным насосом Н1 в трубное пространство теплообменного аппарата Т. Вода при температуре 20⁰C из водопровода оборотной воды подающей В4 с помощью центробежного насоса Н2 противотоком подаётся в межтрубное пространство теплообменника. После охлаждения бензола до 30⁰C последний направляется из теплообменного аппарата в аппарат А2, откуда далее поток поступает в трубопровод К. На выходе из теплообменника вода имеет температуру 30⁰C. Она поступает в градирню по трубопроводу В4 для охлаждения до 20⁰C и возврата на линию подачи в трубное пространство теплообменника. После насосов Н1 и Н2 ведется контроль давления в трубопроводах и температуры жидких сред.

2. Тепловой расчет


Зададим для обеспечивающего теплоносителя (вода) начальную и конечную температуры. Примем температуру воды на входе в теплообменный аппарат t2,н = 20◦C, а конечную температуру на выходе из аппарата t2,к = 30◦C. Представим схематично большую и малую разницы температур между горячим и холодным теплоносителями на концах теплообменника (рис. 2.1).

Рис. 2.1 Схема движения теплоносителей

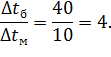
Определим наибольшую Dtб и наименьшую Dtм разность температур теплоносителей у концов теплообменного аппарата. Так как целевой теплоноситель (бензол) охлаждается от начальной температуры t1,н = 70◦C до конечной температуры t1,к = 30◦C, а обеспечивающий теплоноситель (вода) нагревается от 20◦C до 30◦C, то:

Dtб = 70 − 30 = 40◦C;

Dtм = 30 − 20 = 10◦C.

Вода имеет меньшее изменение температуры в теплообменном аппарате, чем бензол, поэтому среднюю температуру воды t2 определим, как среднеарифметическое температур входа в аппарат и выхода из него:

2 = 0,5×(t2,н + t2,к); (2.1)

2 = 0, 5·(30 + 20) = 25◦C.

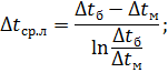
Вычислим значение средней разности температур Dtср.л для противотока. Для этого определим отношение Dtб к Dtм:


Так как , то Dtср.л вычислим по формуле для среднелогарифми- ческой разности температур:

 (2.2)

Определим среднюю температуру t1 целевого теплоносителя - бензола:

1 = t2 + Dtср.л; (2.3)

1 = 25 + 22 = 47◦C.

При средней температуре воды 25⁰C ее теплоемкость c2 (по данным [2, табл. XXXIX, с. 537]) составляет 4185 Дж/(кг×K). При средней температуре бензола 47⁰C его теплоемкость c1 (по данным [3, табл. П. 8.1.]) составляет 1860 Дж/(кг×K).

Определим значение тепловой нагрузки Q, т.е. количество тепла, отдаваемое бензолом. Так как теплообмен идет без изменения агрегатного состояния теплоносителей, то:

= G1 · c1 · (t1,н − t1,к),(2.4)

где G1 - массовый расход бензола, кг/с;

G1 = 24 · 103 кг/ч = 6, 67 кг/с;

Q = 6,67·1860·(70−30) = 496301 Вт.

Расход обеспечивающего теплоносителя G2 вычислим из уравнения теплового баланса, составленного без учета потерь тепла в окружающую среду:

1 · c1 · (t1,н − t1,к) = G2 · c2 · (t2,к − t2,н); (2.5)

Имеем:

 (2.6)

Для вынужденного движения теплоносителей по данным [4, табл. 2.1 на с. 47] примем ориентировочное значение коэффициента теплопередачи Kпр = 410 Вт/ (м2·K). При этом ориентировочное значение площади поверхности теплопередачи в теплообменнике:


Для обеспечения эффективного теплообмена целесообразно выбирать теплообменные аппараты с развитым турбулентным течением теплоносителей (Re > 10000). Бензол является более коррозионной средой, чем вода, имеет большую температуру, а также взрывоопасен, поэтому следуя рекомендациям [5] направим бензол в трубное пространство теплообменника, а воду - в межтрубное. Примем число Re = 10000 и вычислим число труб n, приходящихся на один ход Z:

где dвн - внутренний диаметр труб, м; µ1 - динамический коэффициент вязкости бензола при 47◦C, Па · с [2, табл. IX на с. 516].

Для труб диаметром 20 × 2 мм имеем:

Для труб диаметром 25 × 2 мм имеем:

Из табл. 2.3 [4, с. 51] с параметрами стандартных кожухотрубчатых теплообменников следует, что полученным величинам Fпр и n/Z удовлетворяет теплообменник конструктивными характеристиками, приведенными в табл. 1:

Таблица 1 Конструктивные характеристики теплообменника

Параметр

Значение

1.

Диаметр кожуха D, мм

800

2.

Диаметр труб d, мм

25 × 2

3.

4

4.

Общее число труб n, шт

404

5.

Поверхность теплообмена F, м2

63

6.

Длина труб L, м

2,0

7.

Площадь сечения одного хода по трубам S тр, м2

0,03

8.

Площадь сечения потока между перегородками S мтр, м2

0,07


В ссылке к табл. 2.3 [4, с. 51] указано, что холодильники с диаметром кожуха 325 мм и более могут быть только с числом ходов Z по трубам 2, 4 или 6. В многоходовых теплообменниках средняя движущая сила несколько меньше, чем в одноходовых, из-за того, что возникает смешанное взаимное направление движения теплоносителей. Так как для выбранного теплооменного аппарата Z > 1 (многоходовой теплообменник), то необходимо уточнить величину средней разности температур Dtср.

где εDt - поправка на сложные схемы тока теплоносителей.

Для вычисления поправки εDt найдем следующие параметры:


Так как , то:


где

Имеем:

Уточним среднюю температуру бензола:


Уточним площадь поверхности теплопередачи:


Площадь поверхности теплопередачи изменилась. Поэтому подберем другой стандартный теплообменный аппарат, конструктивные характеристики приведены в табл. 2:

Таблица 2Конструктивные характеристики теплообменника

№ПараметрЗначение



1.

Диаметр кожуха D, мм

600

2.

Диаметр труб d, мм

25 × 2

3.

Число ходов Z

2

4.

Общее число труб n, шт

240

5.

Поверхность теплообмена F, м2

75

6.

Длина труб L, м

4,0

7.

Площадь сечения одного хода по трубам S тр, м2

0,042

8.

Площадь сечения потока между перегородками S мтр, м2

0,045


Необходимо отметить, что физические свойства, характеризующие процессы переноса, в интервале давлений от 0,05 до 1,8 МПа слабо зависят от давления. Это позволяет определять теплоемкость, значение динамического коэффициента вязкости и другие характеристики для любых значений давлений в названном интервале по таблицам и номограммам, приведённым в литературе для P = 1·105 Па. Ниже приведены (табл. 3) необходимые для дальнейших расчетов характеристики теплоносителей по данным [2, табл. XXXIX на с. 537, табл. IV на с. 512, табл. IX на с. 516, рис. XIII на с. 564, рис. XI на с. 562] и [3, табл. П.3.2.].

Таблица 3Характеристики теплоносителей

Параметр

Вода

Средняя температура t, ◦C

43

25

Плотность ρ, кг/м3

855

997

Теплопроводность λ, Вт/(м· K)

0,1394

0,6085

Теплоемкость с, Дж/(кг·K)

1841

4185

Динамический коэффициент вязкости µ, Па·c

0, 2365·10−3

0, 902·10−3

Число Прандтля, Pr

6,5

6,22


Проведем уточненный расчет для выбранного теплообменника.

Целевой теплоноситель - бензол.

Определим критерий Рейнольдса:


Ниже приведены (табл. 4) необходимые для дальнейших расчетов характеристики теплоносителей по данным [2, табл. XXXIX на с. 537, табл. IV на с. 512, табл. IX на с. 516] и [3, табл. П.3.2. и П.8.1.] при температуре пристенного слоя.

Таблица 4Характеристики теплоносителей

Параметр

Бензол

Вода

Средняя температура t, ◦C

34

34

Теплопроводность λ, Вт/(м · K)

0,1424

0,6211

Теплоемкость с, Дж/(кг · K)

1812

4179

Число Прандтля Pr

7

5


Критерий Нуссельта для бензола равен:

Nu1 = 0, 023 · 141010,8 · 6, 50,4 · (6, 5/7)0,25 = 100.

Коэффициент теплоотдачи для бензола составляет:

 

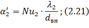
Обеспечивающий теплоноситель - вода.

Определим критерий Рейнольдса:


Критерий Нуссельта при движении теплоносителя в межтрубном пространстве кожухотрубчатых теплообменников с сегментными перегородка- ми при Re ≥ 103 согласно [4, с. 50] находится по уравнению:

Nu2 = 0, 24 · Re0,6 · Pr0,36 · (Pr/Prст)0,25 ; (2.20)

2 = 0, 24 · 73050,6 · 6, 220,36 · (6, 22/5)0,25 = 102.

Коэффициент теплоотдачи для воды составляет:


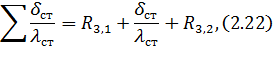
На основании данных [4, табл. 2.2 на с. 48] принимаем величину терми- ческого сопротивления слоя загрязнений стенок со стороны бензола Rз,1 = 0, 00017 м2 ×K/Вт и со стороны воды Rз,2 = 0, 00034 м2 ×K/Вт.

В качестве материала кожуха, труб, трубной решетки, распределительных камер выбираем высоколегированную сталь аустенитного класса - сталь 10Х17Н13М3Т. Толщину стенки труб δст примем 0,002 м.

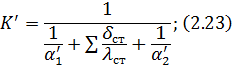
Для того, чтобы определить коэффициент теплопередачи, найдем термическое сопротивление стенки :


где δст - толщина стенки теплопроводящей поверхности; λ - коэффициент теплопроводности стали 10Х17Н13М3Т при 34⁰C составляет 39 Вт/(м·K) [6, табл. 2.1. на с. 11.].

Определим коэффициент теплопередачи K’:


Проведем уточненный расчет коэффициента теплопередачи. Для этого определим удельную тепловую нагрузку:

 

q = K’ · Dtср; (2.24)

 

Определим значения температур стенок tст,1 и tст,2:


Ниже приведены необходимые для дальнейших расчетов характеристики теплоносителей по данным [2, табл. XXXIX на с. 537, табл. IV на с. 512, табл. IX на с. 516] и [3, табл. П.3.2. и П.8.1.].

Таблица 5 Характеристики теплоносителей

Параметр

Бензол

Вода

Средняя температура t, ◦C

32

28

Число Прандтля Pr

7,5

5,74


Вычислим коэффициенты теплоотдачи с учетом поправки:

α1 = α1·(Pr/Prст)0,25; (2.27)

α2 = α2·(Pr/Prст)0,25; (2.28)

α1 = 664·(6,5/7,5)0,25 = 641 Вт/(м2·K);

α2 = 2483·(6,22/5,74)0,25 = 2533 Вт/(м2·K).

Определим коэффициент теплопередачи K по формуле (2.23):

Вычислим погрешность коэффициентов теплоотдачи:


Дальнейшее уточнение коэффициентов теплоотдачи, коэффициента теплопередачи, удельной тепловой нагрузки и других характеристик не требуется, т.к. погрешность между крайними значениями коэффициентов теплоотдачи не превышает 5%. Определим требуемую площадь поверхности теплопередачи Fтрб:


Так как Fпр ≈ Fтрб, т.е. 65 м2 ≈ 70 м2, то выбранный ранее теплообменник подходит для заданных условий работы. При этом запас площади поверхности теплопередачи D составит:



3. гидравлический расчет


Задачей гидравлического расчета в данном случае является определение гидравлического сопротивления в трубном пространстве выбранного теплообменного аппарата, так как по исходным данным допустимая потеря давления в аппарате задана для целевого теплоносителя, который протекает по трубам. Для расчета гидравлического сопротивления в трубах предварительно найдем некоторые параметры.

Определим скорость движения бензола в трубах:

Вычислим коэффициент гидравлического трения λтр для турбулентного течения в круглых трубах:


где D - абсолютная величина шероховатости - для труб при незначительной коррозии D = 0,2 мм.

По данным [4, табл. 2.6 на с. 55] диаметр условного прохода штуцера dш для трубного пространства теплообменного аппарата диаметром 600 мм с числом ходов по трубам 2 составляет 0,2 м.

Определим скорость бензола в штуцерах:


Гидравлическое сопротивление в трубном пространстве рассчитаем по формуле:

DPт = DP1 + Z·(DP2 +DPтр +DP3)+DP4, (3.4)

где Z -число ходов в теплообменнике; потери давления, Па: DP1-при выходе потока из штуцера в распределительную камеру; DP2 - на входе потока из распределительной камеры в трубы теплообменника; DPтр - на трение среды в трубах; DP3 - при выходе потока из труб; DP4- при входе потока в штуцер теплообменника.

Коэффициенты местных сопротивлений ξ1 . . . ξ4 определяются видом сопротивления. Данная зависимость представлена в соответствии с [5, табл. 3.4 на с. 137].

Вычислим потери давления на трение в трубах теплообменника:

В итоге гидравлическое сопротивление в трубном пространстве составляет:

DPт = 26, 7 + · (15, 4 + 106 + 23, 1) + 13, 4 = 329 Па.

По условию допустимая потеря давления в аппарате для целевого теплоносителя не должна превышать 15000 Па. Вышеизложенными расчетами доказано, что выбранный теплообменный аппарат соответствует заданным условиям, т.к. потеря давления для целевого теплоносителя в нем составляет 329 Па.

4. Механический расчет


Рассчитываемый теплообменный аппарат будет работать с такими теплоносителями, как бензол и вода, и относится к сварной химической аппаратуре. Поэтому теплообменник выполнен из высоколегированной стали аустенитного класса. Конструктивные размеры выбранного аппарата приведены в табл. 6.

Таблица 6 Конструктивные размеры теплообменного аппарата

Параметр

Значение

1.

Диаметр кожуха D, мм

600

2.

Диаметр труб d, мм

25 × 2

3.

Число ходов Z

2

4.

Общее число труб n, шт

240

Поверхность теплообмена F, м2

75

6.

Длина труб L, м

4,0

7.

Площадь сечения одного хода по трубам S тр, м2

0,042

8.

Площадь сечения потока между перегородками S мтр, м2

0,045

9.

Толщина стенки труб δст, м

0,002

10.

Толщина стенки корпуса δк, м

0,005


Определим площадь сечения труб S Т:

Т = π (dн − δст) · δст · n; (4.1)

S т = 3, 14 (0, 025 − 0, 002) · 0, 002 · 240 = 0, 011 м2.

Определим площадь сечения кожуха SК:

К = π (D + δк) · δк; (4.2)

S К = 3, 14 (0, 6 + 0, 005) · 0, 005 = 0, 0095 м2.

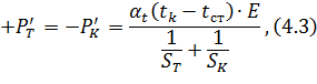
Вычислим усилия, обусловленные температурными деформациями в теплообменнике, одинаковые для труб и кожуха из одинакового материала:


где αT - коэффициент температурного линейного расширения легированной стали 10Х17Н13М3Т, равен 11,65·10−6 K−1 [6, табл. 2.1 на с. 11]; E - модуль нормальной упругости стали, равен 2,15·1011 Па [4, табл. 13.2 на с. 395]; tK - температура стенки кожуха принята равной средней температуре воды t2 = 25⁰C (равенство tK ≈ t2 выполняется при наличии тепловой изоляции снаружи кожуха); tст -температура стенки теплопередающих труб, принята наибольшей из рассчитанных в тепловом расчёте значений tст = 34⁰C.

На рис. 4.1 представлена схема к расчету усилий, возникающих в теплообменном аппарате.

Рис. 4.1 Растягивающие усилия в теплообменнике

Общее растягивающее усилие от действия давлений теплоносителей рассчитаем по формуле:

P’’= 0, 785 ·0, 62 − 240 · 0, 0252 · 4 · 105 + 0, 785 · 240 · 0, 021 · 2 · 105 = 82557 Н (4.4)

Определим растягивающее усилие от действия давления, воспринимаемое трубами:

Вычислим растягивающее усилие от действия давления, воспринимаемое кожухом:


Определим напряжение, возникающее в трубах:


Определим напряжение, возникающее в кожухе:


Определим нормативное допускаемое напряжение стали 10Х17Н13М3Т по формуле:

[σдоп]= η·σ∗, (4.9)

где η - коэффициент, для взрыво- и пожароопасных сред равен 0,9 [4, c. 394]; σ∗ - допускаемое напряжение для стали 10Х17Н13М3Т составляет 160 МПа [4, табл. 13.1 на с. 394].

Имеем:

[σдоп]= 0,9·160 = 144 МПа.

Таким образом, напряжения, возникающие в трубах и кожухе теплообменного аппарата, меньше, чем нормативное допускаемое напряжение стали 10Х17Н13М3Т, т.е.:

σТ <[σдоп];

σК <[σдоп].

Это позволяет выбрать теплообменник типа Н с неподвижными трубными решётками и без компенсатора температурных деформаций. В этом случае необходимо дополнительно проверить на надёжность крепление труб в трубных решётках по формуле:


Принимая толщину трубной решётки B равной dн (т.е. B = 0,02 м), для левой части формулы (4.10) получаем:

Данная величина значительно меньше допускаемого усилия для крепления труб вальцовкой в гладких отверстиях трубной решётки, которое равно Pдоп = 15 МПа.

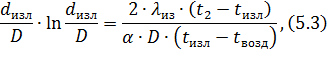
5. Расчет тепловой изоляции


Определим толщину изоляционного слоя из листов асбестового картона марки КАОН-1, устанавливаемых на корпусе выбранного теплообменного аппарата, чтобы температура на поверхности изоляции tизл не превышала 50⁰C. Температуру стенки кожуха теплообменного аппарата tст.к примем равной средней температуре обеспечивающего теплоносителя 25⁰C. Температура окружающего воздуха tвозд равна 20⁰C. По изоляции наносится асбестоцементная штукатурка. По [7, табл. IV.18] найдем коэффициент теплоотдачи α для перепада температур между поверхностью изоляции tизл и окружающим воздухом tвозд. Итак, для tизл −tвозд = 30⁰C коэффициент теплоотдачи α составляет 7,7 Вт/(м2·K). Определим коэффициент теплопроводности листов асбестового картона марки КАОН-1 по формуле [6, табл. 2.3 на с. 54]:

λиз = 0,135 + 0,00012·tср, (5.1)

где tср = 0,5·(tст.к + tизл) = 37,5⁰C.

λиз = 0,135 + 0,00012·37,5 = 0,1395 Вт/(м·K).

Толщину изоляционного слоя определим по [7, формула IV.51 на с.274]:


где dизл - диаметр изоляционной конструкции, м. Данную величину для цилиндрической поверхности определим по [7, формула IV.59 на с. 278]:


где D - диаметр изолируемого кожуха, м; t2 - средняя температура обеспечивающего теплоносителя.


Выражение  имеет вид функции . По [7, приложение 3 на с. 408] для (x lnx) = 0, 0503 находим x = 1, 05, т.е.:

Найдем толщину изоляционного слоя по уравнению (5.2):

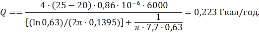
Определим экономию теплоты через рассчитанную теплоизоляцию для цилиндрической стенки длиной 4 м:


где l -длина цилиндрической стенки, м; A -переводной множитель, равный 0,86·10−6 Гкал/(Вт·ч); τ-число часов работы теплоизолированного объекта в год;

С учетом рекомендаций [6, с. 57] имеем:

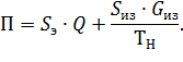
При этом годовая экономия средств составит:


где Sэ - стоимость тепловой энергии, руб/Гкал; Sиз - стоимость единицы количества теплоизоляции с учетом монтажа, руб/кг; Tн - срок службы изоляции, принимается в интервале 5 - 10 лет; Gиз = πδизиз(D + δиз) - вес изоляции, кг; ρиз - плотность изоляции, кг/м3.

С учетом рекомендаций [6, с. 57] имеем:


6. Расчет и выбор вспомогательного оборудования


Так как в выбранном теплообменном аппарате осуществляется вынужденное движение теплоносителей, и потеря давления рассматривалась для целевого теплоносителя (бензол), то для последнего необходимо подобрать насос. Насос должен перекачивать бензол при температуре 70⁰C в трубное пространство теплообменника, где избыточное давление составляет 0,2 МПа. Расход бензола 6,67 кг/с = 0,008 м3/c. Геометрическая высота подъема бензола 10 м. Длина трубопровода на линии всасывания 12 м, на линии нагнетания 24 м. На линии нагнетания имеются: 2 отвода под углом 45⁰ с радиусом поворота, равным 2 диаметрам трубы, 2 нормальных вентиля. На всасывающем участке трубопровода установлены: 2 отвода под углом 90◦ с радиусом поворота, равным 2 диаметрам трубы.

Выберем стальную трубу (с незначительной коррозией) внутренним диаметром равным условному проходу штуцера для входа бензола в теплообменник, толщина стенки 4 мм. Таким образом, диаметр выбранной трубы 208×4 мм. Определим фактическую скорость бензола в трубе:

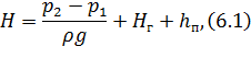
Определим потребный напор насоса:


где p1 -давление в аппарате, из которого перекачивается бензол; p2 -давление в трубном пространстве теплообменника; Hг - геометрическая высота подъема бензола.

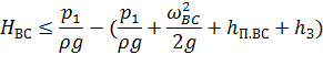
Определим возможную максимальную высоту всасывания:

где pt - давление насыщенного пара бензола при 70◦C составляет 1,05 · 105

Па [8, рис. IV-12 на с. 89];ω2 - скорость движения бензола во всасывающем патрубке насоса (примем равной скорости движения бензола в трубе).

Таким образом, расположение насоса на высоте более 1 м над уровнем бензола в аппарате, из которого он подается в теплообменник, нежелательно из-за возможности возникновения кавитации.

7. Специальный вопрос


Целью специального вопроса является определение зависимости Q = f (n), где n - число дефектных трубок, выводимых из работы путем установки пробок на сторонах входа и выхода теплоносителя. Величина n изменяется от 1 до значения, соответствующего 20 % величины площади поверхности теплопередачи F.

Выбранный теплообменный аппарат имеет площадь поверхности теплопередачи F = 75 м2. Таким образом, максимальное значение тепловой нагрузки Q по формуле (2.31) составляет 5, 4 105 Вт.

Вычислим значение площади теплопередачи Ft, соответствующее 20% максимальной величины площади поверхности теплопередачи F:

Определим число дефектных трубок n, которое необходимо вывести из работы, чтобы исключить из процесса теплопередачи 20% поверхности теплообмена, т.е. 15 м2 из 75 м2.

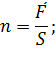
Площадь поверхности одной трубки составляет:


Таким образом, число дефектных трубок равно:


Итак, чтобы исключить из работы 20% общей поверхности теплообмена, необходимо установить пробоки на сторонах входа и выхода теплоносителя в 48 трубах. Чтобы построить зависимость Q = f (n) необходимо найти следующие параметры:


где Qn - значение тепловой нагрузки после выведения из работы n труб; Fn - площадь поверхности теплообмена после выведения из работы n труб.

Площадь поверхности теплообмена Fn определим по формуле:

 

где n изменяется от 1 до 48.

На основании расчетов по формулам (7.3) и (7.4) имеем:






На основании вышеуказанных данных построим график зависимости Qn =f(n), который имеет вид:









Рис. 7.1. Зависимость тепловой нагрузки Qn от числа дефектных трубок n

По рисунку (7.1) видно, что зависимость тепловой мощности от числа дефектных трубок имеет прямолинейный характер, причем зависимость убывающая, т.е. тепловая мощность уменьшается с увеличением числа дефектных трубок.

Заключение

теплообменник установка тепловой

В результате поверочного расчета теплообменного аппарата для охлаждения бензола был выбран теплообменный аппарат со следующими конструктивными характеристиками:

Диаметр кожуха D, мм

600

Диаметр труб d, мм

25 × 2

Число ходов Z

 2

Общее число труб n, шт

 240

Поверхность теплообмена F, м2

 75

Длина труб L, м

 4,0

Площадь сечения одного хода по трубам S тр, м2

0,042

Площадь сечения потока между перегородкамиS мтр, м2

0,045


На основании механического расчета было принято решение выбрать теплообменник типа Н с неподвижными трубными решётками и без компенсатора температурных деформаций с креплением труб в трубных решётках развальцовкой.

В качестве тепловой изоляции рассчитана и выбрана однослойная тепловая изоляция из листов асбестового картона марки КАОН-1 с нанесением асбестоцементной штукатурки.

В качестве вспомогательного оборудования выбран центробежный насос марки Х45/54, который обеспечен электродвигателем АО2-62-2 номинальной мощностью Nн = 17 кВт.

В результате рассмотрения специального вопроса установили графическую зависимость теплового потока от количества дефектных трубок. По графику наблюдается убывающая прямолинейная зависимость, т.е. значение теплового потока снижается с увеличением числа дефектных трубок.

Список используемых источников


1. Дмитриев, Е.А. Теплообменные аппараты химических производств: учеб. пособие/ Е.А. Дмитриев, Е.П. Моргунова, Р.Б. Комляшёв. - М.: РХТУ им. Д. И. Менделеева, 2013. - 88 с.

. Поникаров, И.И. Расчеты машин и аппаратов химических производств и нефтегазопереработки (примеры и задачи): Учебное пособие / И.И. Поникаров, С.И. Поникаров, С.В. Рачковский. - М.: Альфа-М, 2008. - 720 с.

. Тимонин А.С. Основы конструирования и расчета химико-технологического и природоохранного оборудования: Справ., Т.3. - Калуга. Изд-во Н. Бочкаревой, 2002 г. - 968 с.

. Касаткин А.Г. Основные процессы и аппараты химической технологии: Учебник для вузов - 10-е изд., стереотипное, доработанное. Перепечатано с изд. 1973 г. - М.: ООО ТИД «Альянс», 2004. - 753 с.

. Тимонин А.С., Борщев В Л., Балдин Б.Г. и др. Машины и аппараты химических производств. Учебное пособие для вузов. Под общей редакцией А.С.Тимонина.- Калуга, Изд. Н.Бочкаревой, 2008. - 872 с.

. А. С. Тимонин, В. Б. Моисеев, К. Р. Таранцева. Основы конструирования и расчета химико-технологического и природоохранного оборудования; под общ. ред. А. С. Тимонина; - Изд. 4-е, перераб., доп. и испр. - Калуга : Ноосфера, Т.З.- 2015-1036с.

. Горбунова А.В., Ткачева Т.А., Левенец Т.В. Основы химических производств: Оренбург : Университет, 2015 - 122 с.

. Игнатович Э. Химическая техника. Процессы и аппараты. Часть 1. (стр. 1-141) / пер. с нем. - Москва: Техносфера, 2007 - 656 с.

. Игнатович Э. Химическая техника. Процессы и аппараты. Часть 2. (стр. 142- 387) / пер. с нем. - Москва: Техносфера, 2007 - 656 с.

Похожие работы на - Расчет теплообменника

 

Не нашли материал для своей работы?
Поможем написать уникальную работу
Без плагиата!
Без нейросетей!