Расчет системы вентиляции промышленного здания
МИНИСТЕРСТВО
ОБРАЗОВАНИЯ И НАУКИ РОССИЙСКОЙ ФЕДЕРАЦИИ
ФЕДЕРАЛЬНОЕ
ГОСУДАРСТВЕННОЕ БЮДЖЕТНОЕ ОБРАЗОВАТЕЛЬНОЕ
УЧРЕЖДЕНИЕ
ВЫСШЕГО ПРОФЕССИОНАЛЬНОГО ОБРАЗОВАНИЯ
«ЛИПЕЦКИЙ
ГОСУДАРСТВЕННЫЙ ТЕХНИЧЕСКИЙ УНИВЕРСИТЕТ»
Кафедра
промышленной теплоэнергетики
Курсовая
работа
по
дисциплине:
«Вентиляция
и кондиционирование промышленных зданий»
Расчет
системы вентиляции промышленного здания
Задание на первую часть
Кузнечный цех, город - Тула.
В промышленном здании (производственном
помещении) объемом
работают
человек.
В помещении поддерживаются параметры внутреннего воздуха на уровне точки
Избытки
явного тепла от оборудования составляют
.
Выделение влаги
. Также в помещении
выделяются пары бензола и толуола, расход которых составляет
.
В помещении работает местная система вентиляции (местные отсосы), их
производительность
. Инфильтрация
воздуха снаружи
. Определить
необходимое
количество приточного воздуха, который должен
обеспечить кондиционер (система вентиляции). Определить минимальный расход
наружного воздуха.
Освещение в цеху - люминесцентные лампы.
Остекление - одинарное в деревянных переплетах.
Площадь остекления -
.
Ориентация здания: юго-запад; северо-восток.
вентиляция тепловой
кондиционирование промышленный
1. Составление теплового баланса помещения
Кузнечный цех относится к категории работ
средней тяжести (категория IIб).
Показатели микроклимата внутреннего воздуха на
рабочих местах производственного помещения для данной категории работы
(СанПиН2.2.4.548-96 «Гигиенические требования к микроклимату
производственных помещений»):
температура:
относительная влажность:
скорость движения воздуха:
1.1 Теплопоступления
от людей
где
-
количество людей;
- тепловыделения
одним взрослым человеком - мужчиной
(принимаем
);
- коэффициент,
характеризующий пол человека (для мужчин
);
.2 Тепловыделения от искусственного освещения
где
-
нормируемая освещенность помещения (принимаем
);
- площадь пола
помещения;
- удельные
тепловыделения от люминесцентных ламп (принимаем
0,067
);
- доля теплоты,
поступающей в помещение (принимаем
);
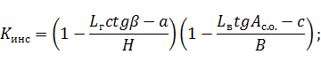
.3 Теплопоступления через заполнение световых
проемов
где
-
теплопоступления за счет солнечной радиации через
вертикального заполнения световых проемов;
- площадь остекления;
где
-
количество теплоты прямой и рассеянной солнечной радиации, поступающей в
помещение в расчетный час через одинарное вертикальное остекление световых
проемов;
- коэффициент
инсоляции;
- коэффициент
облучения;
- коэффициент
относительного проникания солнечной радиации
через заполнение светового проема (принимаем
);
- коэффициент,
учитывающий затенение светового проема
переплетами (принимаем
).
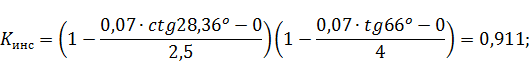
Географические координаты города Тула:
.
Расчетное время: 15-16 часов.
.3.1 Юго-западная сторона
где
-
размеры горизонтального и вертикального выступающих
элементов
затенения (откосов);
- высота и ширина
светового проема;
- расстояния от
горизонтального и вертикального элементов
затенения
до откоса светового проема;
- угол между
вертикальной плоскостью остекления и проекцией
солнечного
луча на вертикальную плоскость, перпендикулярную рассматриваемой плоскости
остекления;
- солнечный азимут
остекления;
На юго-западной стороне находятся 3 окна.
Площадь каждого окна -
, площадь всего
остекления юго-западной стороны -
.
где
-
высота солнца в июле (принимаем
).
Азимут солнца:
Солнечный азимут остекления:
где
-
коэффициенты облучения для горизонтальной и
вертикальной солнцезащитной конструкции,
зависящие от углов
и
;
.3.2 Северо-восточная сторона
На северо-восточной стороне находятся 2 окна.
Площадь каждого окна -
, площадь всего
остекления юго-западной стороны -
.
1.3.3 Суммарные теплопоступления через
заполнение световых проемов
.4 Теплопоступления через массивные ограждающие
конструкции
где
-
площадь массивной ограждающей конструкции (покрытия);
- средняя
температура наружного воздуха в июле (принимаем
=
);
- коэффициент
поглощения солнечной радиации поверхностью ограждающей конструкции (ПоСНиП
II-3-79* <<Строительная теплотехника>> принимаем
);
- средние суточные
количества теплоты суммарной (прямой и рассеянной) солнечной радиации,
поступающей на поверхность стены
Или покрытия (принимаем
);
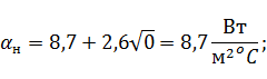
- коэффициент
теплоотдачи наружной поверхности ограждения;
- температура
воздуха в помещении;
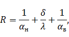
- сопротивление
теплопередаче массивной ограждающей конструкции;
где
-
минимальная скорость ветра за июль (принимаем
);
где
-
толщина сендвич-панели (принимаем
);
- коэффициент
теплопроводности сендвич-панели (принимаем
) ;
.5 Суммарные теплопоступления от солнечной
радиации
.6 Суммарные теплопоступления в помещении
В теплый период:
где
-
избытки явного тепла от оборудования;
В холодный период:
.7 Потери тепла
В теплый период:
В холодный период:
где
-
удельный расход теплоты на отопление (принимаем
);
- объем
производственного помещения;
- температура
наружного воздуха в холодный период
(принимаем
);
.8 Количество теплоты, необходимое на отопление
и вентиляцию
В теплый период:
В холодный период:
1.9 Количество теплоты, необходимое на дежурное
отопление в холодный период года
Дежурное отопление рассчитаем на
.
.10 Конечный баланс по теплу
В теплый период:
В холодный период:
Принимаем, что количество теплоты, необходимое
на основное отопление составляет
Тогда конечный баланс по теплу в холодный
период:
2. Составление влажностного баланса помещения
.1 Поступление влаги от людей
где
-
количество людей;
- количество
влаги, выделяемое одним взрослым человеком -
мужчиной (принимаем
);
- коэффициент,
характеризующий пол человека (для мужчин
);
.2 Конечный баланс по влаге
где
-
выделение влаги в помещении;
3. Составление баланса по вредным газам и парам
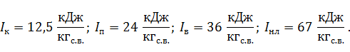
Выделение в помещении паров бензола и толуола:
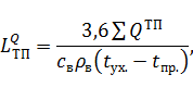
4. Определение количества приточного воздуха
.1 Определение количества избыточной теплоты
В теплый период:
В холодный период:
.2 Определение количества приточного воздуха,
необходимого для удаления избытков теплоты
В теплый период:
где
-
теплоемкость воздуха (принимаем
);
- плотность
воздуха (принимаем
);
- температура
уходящего воздуха в теплый период года;
- температура
приточного воздуха в теплый период года;
где
-
температура воздуха внутри помещения;
- градиент
температуры в теплый период год (принимаем
);
- высота от пола до
оси вентилятора (принимаем
);
- высота рабочей
зоны (принимаем
);
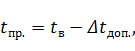
где
-
допустимая разность температур (принимаем
)
В холодный период:
.3 Определение количества приточного воздуха,
необходимого
для
удаления избытков влаги
В теплый период:
где
-
влагосодержание уходящего воздуха в теплый период года;
- влагосодержание
приточного воздуха в теплый период года.
Для нахождения влагосодержания уходящего и
приточного воздуха в теплый период года найдем тепловлажностный коэффициент:
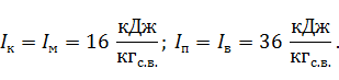
С помощью i-d диаграммы влажного воздуха находим
значения влагосодержаний уходящего и приточного воздуха, проведя луч тепловлажностного
коэффициента через точку, характеризующую параметры внутреннего воздуха.
Значения смотрим по температурам уходящего и приточного воздуха:
В холодный период:
где
-
влагосодержание уходящего воздуха в холодный период года;
- влагосодержание
приточного воздуха в холодный период года;
Температура уходящего воздуха в холодный период
года:
где
-
градиент температуры в холодный период год (принимаем
);
.4 Определение количества приточного воздуха,
необходимого
для
удаления вредных газов и паров
В теплый и холодный период года:
где
-
предельно допустимая концентрация (принимаем
);
4.5 Определение количества приточного воздуха,
необходимого на инфильтрацию
В теплый и холодный период года:
где
-
инфильтрация воздуха снаружи;
.6 Определение количества приточного воздуха,
необходимого в помещении
В теплый период:
где
-
производительность местной системы вентиляции (местных
отсосов);
В холодный период:
. Определение минимального количества наружного
воздуха
где
-
минимальный расход наружного воздуха по санитарным нормам на одного человека;
По СНиП 41-01-2003<<Отопление, вентиляция
и кондиционирование>>:
. Определение кратности воздухообмена
В теплый период:
В холодный период:
. Результаты расчета воздухообмена
В таблице 1 представлены результаты расчета
воздухообмена в помещении.
Таблица 1. Результаты расчета воздухообмена в
помещении
|
Вид помещения
|
Объем помеще-ния,
|
Период года
|
Параметры внутреннего воздуха
|
Расчет воздухообмена,
|
Принятый воздухо-обмен в
помещении,
|
Кратность воздухо-обмена,
|
|
|
|
|
|
|
|
|
|
|
|
|
Производс-твенное
|
28000
|
теплый
|
19
|
50
|
36603
|
44725
|
15000
|
5300
|
50023
|
1,79
|
|
|
холодный
|
19
|
50
|
0
|
31307
|
15000
|
5300
|
35812
|
1,28
|
Задание на вторую часть
По полученным данным расчета воздухообмена в
помещении организовать процесс кондиционирования воздуха в центральном
кондиционере, работающему по прямоточной схеме обработки воздуха и схеме
обработки воздуха с двумя рециркуляциями. Определить нагрузку на основное
оборудование. Построить процессы в i-dдиаграмме. Представить план здания и
систему вентиляции (кондиционирования) воздуха. Разработать аксонометрическую
схему системы вентиляции (кондиционирования) воздуха. Произвести подбор и
расчет воздухораспределительных устройств.
8. Расчет прямоточной системы кондиционирования
воздуха
Зададимся параметрами наружного воздуха в теплый
и холодный периоды года для расчетного города.
Для Тулы:
температура наружного воздуха для теплого
периода:
относительная влажность воздуха для теплого
периода:
температура наружного воздуха для холодного
периода:
относительная влажность воздуха для холодного
периода:
.1 Теплый период года
Из предыдущих расчетов видно, что расход
воздуха, необходимый для удаления избытков влаги в теплый период года больше,
чем расход воздуха, необходимый для удаления избытков теплоты, следовательно,
расходом приточного воздуха для теплого периода будет являться расход воздуха,
необходимый для удаления избытков влаги.
Массовый расход приточного воздуха в теплый
период года:
На рисунке 1 в i-dдиаграмме представлен процесс
обработки воздуха в прямоточной СКВ для теплого периода года.
Из рисунка 1:
Определим нагрузку на оборудование.
Нагрузка на калорифер первого подогрева:
Нагрузка на камеру орошения:
Нагрузка на калорифер второго подогрева:
Суммарная нагрузка на оборудование:
Рисунок 1. Процесс обработки воздуха в
прямоточной СКВ
в
теплый период года
.2 Холодный период года
Из предыдущих расчетов видно, что расход
воздуха, необходимый для удаления избытков влаги в холодный период больше, чем
расход воздуха, необходимый для удаления избытков теплоты, следовательно,
расходом приточного воздуха для холодного периода будет являться расход
воздуха, необходимый для удаления избытков влаги.
Массовый расход приточного воздуха в холодный
период года:
На рисунке 2 в i-dдиаграмме представлен процесс
обработки воздуха в прямоточной СКВ для холодного периода года.
Из рисунка 2:
Найдем энтальпию точки, характеризующей
параметры наружного воздуха в холодный период года:
где
-
влагосодержание наружного воздуха в холодный период года;
где
-
давление насыщенных паров при температуре наружного воздуха вбхолодный период
года (принимаем
);
- барометрическое
давление (принимаем
);

Нагрузка на калорифер первого подогрева:
Нагрузка на камеру орошения
Нагрузка на калорифер второго подогрева:
Суммарная нагрузка на оборудование:
Рисунок 2. Процесс обработки воздуха в
прямоточной СКВ в холодный период года
9. Расчет системы кондиционирования воздуха с
двумя рециркуляциями
.1 Теплый период
Определим минимальный массовый расход наружного
воздуха:
Массовый расход приточного воздуха:
На рисунке 3 в i-dдиаграмме изображен процесс
обработки воздуха в СКВ с одной рециркуляцией для теплого периода года.
Из рисунка 3 видно, что провести луч
до
пересечения с
невозможно,
следовательно, вторая рециркуляция неосуществима.
Рассчитаем построим вi-d диаграмме процесс
обработки воздуха в СКВ с одной рециркуляцией.
Массовый расход рециркуляционного воздуха:
Из рисунка 3:
Определим нагрузку на оборудование.
Нагрузка на калорифер первого подогрева:
Нагрузка на камеру орошения:
Нагрузка на калорифер второго подогрева:
Суммарная нагрузка на оборудование:
Рисунок 3. Процесс обработки воздуха в СКВ с
одной рециркуляцией
в
теплый период года
9.2 Холодный период
Минимальный массовый расход наружного воздуха:
Массовый расход приточного воздуха:
На рисунке 4 в i-d диаграмме изображен процесс
обработки воздуха в СКВ с двумя рециркуляциями для холодного периода года.
Из рисунка 4 видно, что точка смеси
попала
в область тумана,значит воздух необходимо дополнительно подогреть в калорифере.
Подогреем наружный воздух до
и
смешаем его с внутренним.
Подогреем смешанный воздух в калорифере второго
подогрева и смешаем его с внутренним воздухом второй раз.
Из рисунка 4:
Определим нагрузку на оборудование.
Нагрузка на калорифер первого подогрева:
Нагрузка на камеру орошения:
Нагрузка на калорифер второго подогрева:
Суммарная нагрузка на оборудование:
Рисунок 4. Процесс обработки воздуха в СКВ с
двумя рециркуляциями в холодный период года
10. Аэродинамический расчет
Для того, чтобы выполнить аэродинамический
расчет вычерчиваем расчетную аксонометрическую схему системы вентиляции.
Расчетную схему разбиваем на участки. Получили 4
симметричные секции по 11 участков.
В нашем случае расчетным периодом будет являться
холодный период.
Количество приточного воздуха
будет
подаваться из четырех приточных камер.
Расход каждой приточной камеры:
Участок №1.
Длина участка:
Расход приточного воздуха:
Зададимся рекомендуемой скоростью воздуха
.
Для магистралей скорость воздуха можно принять
Находим площадь сечения воздуховода:
Находим диаметр воздуховода:
Ближайший стандартный диаметр воздуховода:
Находим действительную площадь сечения
воздуховода:
Находим действительную скорость воздуха:
Воздуховод сделан из стали, следовательно,
дополнительная поправка на шероховатость:
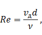
Находим критерий Рейнольдса на данном участке
воздуховода:
где
-
кинематическая вязкость воздуха (принимаем
);
Коэффициент гидравлического трения найдем по
формуле Альтшуля:
где
-абсолютная
эквивалентная шероховатость воздуховодов из стали (принимаем
);
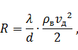
Определяем удельные потери давления на трение:
где
- плотность воздуха (принимаем
);
Определяем динамическое давление:
Полные потери давления на трение:
Находим сумму коэффициентов местных
сопротивлений:
где
-
коэффициент местного сопротивления при повороте воздуховода на 90 градусов
(принимаем
);
Потери давления на местных сопротивлениях:
Суммарные потери давления на данном участке:
Участок №2.
Длина участка:
Расход приточного воздуха:
Зададимся рекомендуемой скоростью воздуха
.
Для ответвлений скорость воздуха можно принять
Находим площадь сечения воздуховода:
Находим диаметр воздуховода:
Ближайший стандартный диаметр воздуховода:
Находим действительную площадь сечения
воздуховода:
Находим действительную скорость воздуха:
Воздуховод сделан из стали, следовательно,
дополнительная поправка на шероховатость:
Находим критерий Рейнольдса на данном участке
воздуховода:
Коэффициент гидравлического трения найдем по
формуле Альтшуля:
Определяем удельные потери давления на трение:
Определяем динамическое давление:
Полные потери давления на трение:
Находим сумму коэффициентов местных
сопротивлений:
где
-
коэффициент местного сопротивления тройника на проход (принимаем
);
Потери давления на местных сопротивлениях:
Суммарные потери давления на данном участке:
Участок №3.
Длина участка:
Расход приточного воздуха:
Зададимся рекомендуемой скоростью воздуха
.
Для ответвлений скорость воздуха можно принять
Находим площадь сечения воздуховода:
Находим диаметр воздуховода:
Ближайший стандартный диаметр воздуховода:
Находим действительную площадь сечения
воздуховода:
Находим действительную скорость воздуха:
Воздуховод сделан из стали, следовательно,
дополнительная поправка на шероховатость:
Находим критерий Рейнольдса на данном участке
воздуховода:
Коэффициент гидравлического трения найдем по
формуле Альтшуля:
Определяем удельные потери давления на трение:
Определяем динамическое давление:
Полные потери давления на трение:
Находим сумму коэффициентов местных
сопротивлений:
где
-
коэффициент местного сопротивления тройника на проход (принимаем
);
Потери давления на местных сопротивлениях:
Суммарные потери давления на данном участке:
Участок №4.
Длина участка:
Расход приточного воздуха:
Зададимся рекомендуемой скоростью воздуха
.
Для ответвлений скорость воздуха можно принять
Находим площадь сечения воздуховода:
Находим диаметр воздуховода:
Ближайший стандартный диаметр воздуховода:
Находим действительную площадь сечения
воздуховода:
Находим действительную скорость воздуха:
Воздуховод сделан из стали, следовательно,
дополнительная поправка на шероховатость:
Находим критерий Рейнольдса на данном участке
воздуховода:

Коэффициент гидравлического трения найдем по
формуле Альтшуля:
Определяем удельные потери давления на трение:
Определяем динамическое давление:
Полные потери давления на трение:
Находим сумму коэффициентов местных
сопротивлений:
Потери давления на местных сопротивлениях:
Суммарные потери давления на данном участке:
Участок №5.
Длина участка:
Расход приточного воздуха:
Зададимся рекомендуемой скоростью воздуха
.
Для магистралей скорость воздуха можно принять
Находим площадь сечения воздуховода:
Находим диаметр воздуховода:
Ближайший стандартный диаметр воздуховода:
Находим действительную площадь сечения
воздуховода:
Находим действительную скорость воздуха:
Воздуховод сделан из стали, следовательно,
дополнительная поправка на шероховатость:
Находим критерий Рейнольдса на данном участке
воздуховода:
Коэффициент гидравлического трения найдем по
формуле Альтшуля:
Определяем удельные потери давления на трение:
Определяем динамическое давление:
Полные потери давления на трение:
Находим сумму коэффициентов местных
сопротивлений:
Потери давления на местных сопротивлениях:
Суммарные потери давления на данном участке:
Участок №6.
Длина участка:
Расход приточного воздуха:
Зададимся рекомендуемой скоростью воздуха
.
Для ответвлений скорость воздуха можно принять
Находим площадь сечения воздуховода:
Находим диаметр воздуховода:
Ближайший стандартный диаметр воздуховода:
Находим действительную площадь сечения
воздуховода:
Находим действительную скорость воздуха:
Воздуховод сделан из стали, следовательно,
дополнительная поправка на шероховатость:
Находим критерий Рейнольдса на данном участке
воздуховода:
Коэффициент гидравлического трения найдем по
формуле Альтшуля:
Определяем удельные потери давления на трение:
Определяем динамическое давление:
Полные потери давления на трение:
Находим сумму коэффициентов местных
сопротивлений:
Потери давления на местных сопротивлениях:
Суммарные потери давления на данном участке:
Участок №7.
Длина участка:
Расход приточного воздуха:
Зададимся рекомендуемой скоростью воздуха
.
Для ответвлений скорость воздуха можно принять
Находим площадь сечения воздуховода:
Находим диаметр воздуховода:
Ближайший стандартный диаметр воздуховода:
Находим действительную площадь сечения
воздуховода:
Находим действительную скорость воздуха:
Воздуховод сделан из стали, следовательно,
дополнительная поправка на шероховатость:
Находим критерий Рейнольдса на данном участке
воздуховода:
Коэффициент гидравлического трения найдем по
формуле Альтшуля:
Определяем удельные потери давления на трение:
Определяем динамическое давление:
Полные потери давления на трение:
Находим сумму коэффициентов местных
сопротивлений:
Потери давления на местных сопротивлениях:
Суммарные потери давления на данном участке:
Участок №8.
Длина участка:
Расход приточного воздуха:
Зададимся рекомендуемой скоростью воздуха
.
Для ответвлений скорость воздуха можно принять
Находим площадь сечения воздуховода:
Находим диаметр воздуховода:
Ближайший стандартный диаметр воздуховода:
Находим действительную площадь сечения
воздуховода:
Находим действительную скорость воздуха:
Воздуховод сделан из стали, следовательно,
дополнительная поправка на шероховатость:
Находим критерий Рейнольдса на данном участке
воздуховода:
Коэффициент гидравлического трения найдем по
формуле Альтшуля:
Определяем удельные потери давления на трение:
Определяем динамическое давление:
Полные потери давления на трение:
Находим сумму коэффициентов местных
сопротивлений:
Потери давления на местных сопротивлениях:
Суммарные потери давления на данном участке:
Участок №9.
Длина участка:
Расход приточного воздуха:
Зададимся рекомендуемой скоростью воздуха
.
Для магистралей скорость воздуха можно принять
Находим площадь сечения воздуховода:
Находим диаметр воздуховода:
Ближайший стандартный диаметр воздуховода:
Находим действительную площадь сечения
воздуховода:
Находим действительную скорость воздуха:
Воздуховод сделан из стали, следовательно,
дополнительная поправка на шероховатость:
Находим критерий Рейнольдса на данном участке
воздуховода:
Коэффициент гидравлического трения найдем по
формуле Альтшуля:
Определяем удельные потери давления на трение:
Определяем динамическое давление:
Полные потери давления на трение:
Находим сумму коэффициентов местных
сопротивлений:
Потери давления на местных сопротивлениях:
Суммарные потери давления на данном участке:
Участок №10.
Длина участка:
Расход приточного воздуха:
Зададимся рекомендуемой скоростью воздуха
.
Для ответвлений скорость воздуха можно принять
Находим площадь сечения воздуховода:
Находим диаметр воздуховода:
Ближайший стандартный диаметр воздуховода:
Находим действительную площадь сечения
воздуховода:
Находим действительную скорость воздуха:
Воздуховод сделан из стали, следовательно,
дополнительная поправка на шероховатость:
Находим критерий Рейнольдса на данном участке
воздуховода:
Коэффициент гидравлического трения найдем по
формуле Альтшуля:
Определяем удельные потери давления на трение:
Определяем динамическое давление:
Полные потери давления на трение:
Находим сумму коэффициентов местных
сопротивлений:
Потери давления на местных сопротивлениях:
Суммарные потери давления на данном участке:
Участок №11.
Длина участка:
Расход приточного воздуха:
Зададимся рекомендуемой скоростью воздуха
.
Для ответвлений скорость воздуха можно принять
Находим площадь сечения воздуховода:
Находим диаметр воздуховода:
Ближайший стандартный диаметр воздуховода:
Находим действительную площадь сечения
воздуховода:
Находим действительную скорость воздуха:
Воздуховод сделан из стали, следовательно,
дополнительная поправка на шероховатость:
Находим критерий Рейнольдса на данном участке
воздуховода:
Коэффициент гидравлического трения найдем по
формуле Альтшуля:
Определяем удельные потери давления на трение:
Определяем динамическое давление:
Полные потери давления на трение:
Находим сумму коэффициентов местных
сопротивлений:
Потери давления на местных сопротивлениях:
Суммарные потери давления на данном участке:
Суммарные потери давления не всех участках:
Подберем вентилятор для нашей системы.
Вентилятор: ВЦ 14-46.
Электродвигатель: АИР132М6, 7,5 кВт.
Частота вращения рабочего колеса: 970 об/мин.
Производительность: 6,0-14,5 тыс. м3/час.
Полное давление: 950-1180 Па.
Масса: 176 кг.
. Результаты аэродинамического расчета
В таблице 2 представлены результаты
аэродинамического расчета воздуховодов.
Таблица 2. Результаты аэродинамического расчета
воздуховодов
|
№ участка
|
|
|
|
|
|
|
-
|
|
-
|
|
|
|
|
1
|
9,4
|
11181,25
|
0,312
|
0,630
|
9,95
|
1,4187
|
1
|
13,336
|
0,2
|
60,392
|
12,078
|
25,414
|
|
2
|
5,0
|
3727,08
|
0,196
|
0,500
|
5,28
|
0,5850
|
1
|
2,925
|
2,3
|
17,006
|
39,114
|
42,039
|
|
3
|
10,5
|
1863,54
|
0,099
|
0,355
|
5,23
|
0,8836
|
1
|
9,278
|
4,2
|
16,685
|
70,077
|
79,355
|
|
4
|
0,5
|
1863,54
|
0,099
|
0,355
|
5,23
|
0,8836
|
1
|
0,4418
|
4,0
|
16,685
|
66,740
|
67,182
|
|
5
|
11,0
|
7574,16
|
0,196
|
0,500
|
10,56
|
2,1223
|
1
|
23,345
|
2,3
|
68,023
|
156,453
|
179,798
|
|
6
|
5,0
|
3727,08
|
0,196
|
0,500
|
5,28
|
0,5850
|
1
|
2,925
|
2,3
|
17,006
|
39,114
|
42,039
|
|
7
|
10,5
|
1863,54
|
0,099
|
0,355
|
5,23
|
0,8836
|
1
|
9,278
|
4,2
|
16,685
|
70,077
|
79,355
|
|
8
|
0,5
|
1863,54
|
0,099
|
0,355
|
5,23
|
0,8836
|
1
|
0,4418
|
4,0
|
16,685
|
66,740
|
67,182
|
|
9
|
16,0
|
3727,08
|
0,099
|
0,355
|
10,46
|
3,1961
|
1
|
51,137
|
2,5
|
66,741
|
166,853
|
217,99
|
|
10
|
10,5
|
1863,54
|
0,099
|
0,355
|
5,23
|
0,8836
|
1
|
9,278
|
4,2
|
16,685
|
70,077
|
79,355
|
Список источников
СНиП
23-01-99*. Строительная климатология.
СНиП
II-3-79* «Строительная теплотехника»
СНиП
41-01-2003 «Отопление, вентиляция и кондиционирование».
СанПиН2.2.4.548-96
«Гигиенические требования к микроклимату
производственных
помещений».
ГОСТ
21.602-2003. Правила выполнения рабочей документации отопления, вентиляции и
кондиционирования.
ГОСТ
12.1.005-88. Система стандартов безопасности труда. Общие
санитарно-гигиенические требования к воздуху рабочей зоны.
Павлова
Н.Н., Шиллер Ю.И. «Справочник проектировщика» часть 3,книги 2,1.
Соколов
Е.Я. Теплофикация и тепловые сети.