Изучение самооценки юношей и девушек со склонностью к девиантному поведению
Содержание
Введение
1. Теоретические основы изучения девиантного поведения у юношей и
девушек
1.1 Психологические особенности личности в юношеском возрасте
1.2 Психологические и социальные факторы, способствующие
формированию девиантного поведения
1.3 Особенности самооценки в юношеском возрасте
2. Эмпирическое исследование самооценки юношей и девушек со
склонностью к девиантному поведению
2.1 Характеристика выборки и методов исследования
2.2 Особенности самооценки юношей и девушек со склонностью к
девиантному поведению
Заключение
Список использованных источников
Введение
В настоящее время среди исследователей наблюдается повышенный
интерес к проблеме девиантного поведения. Научное изучение отклонений
осуществляется в психологии, криминологии, психопатологии, социологии.
Объяснить причины, условия и факторы, детерминирующие это социальное явление,
стало насущной задачей. Ее рассмотрение предполагает поиск ответов на ряд
фундаментальных вопросов, среди которых вопросы о сущности категории
"норма" (социальная норма) и об отклонениях от нее.
Юность является важным и ответственным этапом развития
личности. В этот период происходит становление психологических механизмов,
которые оказывают влияние на процессы развития и самореализации. Именно в этом
возрасте начинается раскрытие всех аспектов личности, развитие личностных
возможностей, расширяется совместная деятельность с другими людьми,
заканчивается подготовка к включению в самостоятельную жизнь как полноправного
члена общества. Все это создает необходимые предпосылки для самореализации
личности. В этом возрасте идет активный процесс формирования, усложнения
личности, изменения иерархии потребностей [1].
Границы юношеского возраста однозначно не определены в
психологической литературе и зависят от представлений исследователей о
критериях, лежащих в основе психического онтогенеза. В схеме возрастной
периодизации онтогенеза границы юношеского возраста обозначены между 17-21
годом для юношей и 16-20 годами для девушек.
Процесс развития самооценки, проходящий через всю жизнь
человека, образует самое сокровенное и основное содержание всего внутреннего
существа, определяющие мотивы его деятельности и внутренний смысл тех задач,
которые он разрешает в жизни. С величиной самооценки связана удовлетворенность
и неудовлетворенность человека, возникающие в результате достижения успеха или
проявления неуспеха. В своей практической деятельности человек обычно стремится
к достижению таких результатов, которые согласуются с его самооценкой,
способствуют ее укреплению, нормализации [2].
Общепсихологические истоки решения проблемы взаимовлияния
самооценки и особенностей поведения в юношеском возрасте имеются в теориях К.
Левина, К. Роджерса, А. Маслоу, А. Адлера, С.Л. Рубинштейна, А.Н. Леонтьева,
В.Н. Мясищева, В.Д. Шадрикова. Ряд вопросов личностных особенностей,
самосознания и механизмов деятельности юношей с девиантным поведением
рассматриваются в работах С.А. Алифанова, Т.П. Гуриной, Е.А. Капцовой, О.В.
Клыпы, Н.В. Майсак, О.П. Николаевой, А.Г. Павленко.
Актуальность данного исследования обусловлена тем, что
самооценка относится к центральным образованиям личности, ее ядру. Это явилось
причиной пристального внимания психологов к проблематике, связанной с
самооценкой и отношением личности к себе.
Самооценка в значительной степени определяет социальную
адаптацию личности, является регулятором поведения и деятельности. Отношение
человека к самому себе является наиболее поздним образованием в системе его
мировосприятия. Но, несмотря на это, в структуре личности самооценке
принадлежит особо важное место.
Общепризнанным являются представления о связи самооценки с
асоциальным и девиантным поведением личности.
Неадекватная, завышенная самооценка создает широкую зону
конфликтных ситуаций и при определенных условиях способствует проявлению девиантного
поведения.
Для девиантных юношей и девушек характерны такие особенности
эмоционально-волевой сферы, как повышенная тревожность, дефектность ценностной
системы, особенно в области целей и смысла жизни. Они, как правило,
импульсивны, раздражительны, вспыльчивы, агрессивны, конфликтны, что затрудняет
общение с окружающими.
Цель работы: Задачи исследования:
- провести теоретический
анализ факторов, способствующих развитию девиантного поведения у юношей и
девушек;
− рассмотреть особенности формирования и проявления
самооценки у юношей и девушек;
- изучить самооценку
юношей и девушек со склонностью к девиантному поведению.
Научная новизна заключается в раскрытии связи между
самооценкой личности юношеского возраста и формами его социального поведения.
Выявлена значимая связь между личностно-ориентированными и
поведенчески-ориентированными оценками форм социального поведения.
Практическая значимость состоит в том, что данный материал
может использоваться в деятельности практических психологов в системе образования.
1.
Теоретические основы изучения девиантного поведения у юношей и девушек
1.1
Психологические особенности личности в юношеском возрасте
Юношеский возраст - один из самых спутанных и противоречивых
в психологических и педагогических представлениях и теориях. Спутанность и
противоречивость представлений можно объяснить становящимся характером самого
возраста в истории цивилизации. По гипотезе Д.Б. Эльконина об историческом
содержании детства, как подростковый, так и юношеский возраст исторически молоды
и поэтому не обрели своей культурно-исторической формы и механизмов развития
[3].
Юношеский возраст - период индивидуальной жизни, в котором
развивается способность деятельно, практически соотносить цели, ресурсы и
условия для решения задач строительства собственной жизни, перспективы,
характерной для взрослого человека (решение профессиональной, производственной
задачи; проявление общественной позиции; осуществление общественно значимого
поступка или действия; построение собственной семьи и т.п.).
Юность не так давно выделилась в самостоятельный период жизни
человека, исторически относясь к "переходному этапу" возмужания,
взросления. Если у животных наступление взрослости достаточно тесно связано с
возможностью самостоятельного существования и произведения потомства, то в
человеческом обществе критерием взросления становится не просто физическое
возмужание, но и овладение культурой, системой знаний, ценностей, норм,
социальных традиций, подготовленность к осуществлению разных видов труда [1].
Юность, как считает А.В. Толстых, становится вторым
переходным периодом в развитии личности. Юноша, как и подросток, еще не совсем
взрослый человек. Но подросток тесно связан со своим уходящим детством, а юноша
тяготеет к молодости и зрелости.
Юность разделяют на раннюю и позднюю. Ранний юношеский
возраст - это вторая стадия фазы жизни человека, названная взрослением или
переходным возрастом, содержанием которой является переход от детства к
взрослому возрасту. Внутри перехода от детства к взрослости границы между подростковым
и юношеским возрастом условны и часто пересекаются. В схеме возрастной
периодизации онтогенеза границы юношеского возраста обозначены между 17-21
годом для юношей и 16-20 годами для девушек, но в физиологии его верхнюю
границу часто отодвигают к 22-23 годам у юношей и 19-20 годам у девушек. В
связи с явлением акселерации границы подросткового возраста сдвинулись вниз и в
настоящее время этот период развития охватывает примерно возраст с 10-11 до
14-15 лет. Соответственно раньше начинается юность. Ранняя юность - это старший
школьный возраст - 15-17 лет. В это время вырастающий ребёнок оказывается на
пороге реальной взрослой жизни. Позднюю юность считают периодом жизни молодого
человека, который характеризуется самостоятельностью в решении задач строительства
собственной жизни, перспективы, характерной для взрослого человека (решение
профессиональной, производственной задачи; проявление общественной позиции;
осуществление общественно значимого поступка или действия; построение
собственной семьи и т.п.). Позднюю юность относят к 20-23 годам. Таким образом,
юность - период жизни после отрочества до взрослости, включающий в свои рамки
возраст от 16-17 лет до 22-23 лет [4].
Особенности социально-психологического развития личности в
юношеском возрасте изучались в работах отечественных и зарубежных
исследователей - П.П. Блонского, Л.С. Выготского, Г.С. Абрамовой, И.Ю.
Кулагиной, Ю.В. Кулюткина, А.В. Толстых, Г. Крайга, Э. Эриксона и др. В
современной психологии развития не существует единой точки зрения относительно
названия периода развития человека от 16-17 до 20-23 лет. Рассматриваемый
период в различных литературных источниках называется юностью (в отличие от
ранней юности), ранней молодостью, ранней взрослостью.
Границы юности связаны с возрастом обязательного участия
человека в общественной жизни. Юность - возраст обязательного участия в выборах
органов государственной власти. В юности человек делает выбор внутренней
позиции и это весьма многотрудная работа. Молодому человеку, обратившемуся к
анализу и сопоставлению общечеловеческих ценностей и своих собственных
склонностей и ценностных ориентаций, предстоит сознательно разрушить или
принять исторически обусловленные нормативы и ценности, которые определили его
поведение в детстве и отрочестве. Кроме того, он выбирает для себя неадаптивную
или адаптивную позицию в жизни, при этом считает, что именно избранная им
позиция является единственно для него приемлемой и, следовательно, единственно
правильной [5].
Юность направлена на поиск своего места в мире. Но как бы ни
была она интеллектуально готова к осмыслению всего сущего, многого она не
знает, ещё нет опыта реальной практической и духовной жизни среди близких и
других людей.
Часто юность считают бурной, объединяя её в один период с
подростковым возрастом. Поиски своего места в этом мире, поиски смысла жизни
могут стать особенно напряжёнными. Возникают новые потребности
интеллектуального и социального порядка, удовлетворение которых станет
возможным только в будущем. Этот период у одних может оказаться напряженным, а
у других плавно и постепенно передвигаться к переломному моменту в своей жизни.
При благополучном протекании ранней юности старшеклассника радует спокойный
упорядоченный уклад жизни, им не свойственны романтические порывы, у них
хорошие отношения с родителями и учителями. Но при этом дети менее
самостоятельны, более пассивны, иногда более поверхностны в своих
привязанностях и увлечениях. Вообще считается, что к полноценному становлению
личности приводят поиски и сомнения, характерные для юношеского возраста. Те,
кто прошёл через них, обычно в большей мере независимы, творчески относятся к
делу, обладают более гибким мышлением, позволяющим принимать самостоятельные
решения в сложных ситуациях по сравнению с теми, у кого процесс формирования
личности проходил в это время легко. Существуют ещё два варианта развития. Это,
во-первых, быстрые, скачкообразные изменения, которые благодаря высокому уровню
саморегуляции хорошо контролируются, не вызывая резких эмоциональных срывов.
Старшеклассники рано определяют свои жизненные цели и настойчиво стремятся к их
достижению. Однако у них слабее развиты рефлексия и эмоциональная сфера. Другой
вариант связан с особенно мучительными поисками своего пути. Такие дети не
уверены в себе, и себя плохо понимают. У них недостаточное развитие рефлексии,
отсутствие глубокого самопознания. Такие дети импульсивны, непоследовательны в
поступках и в отношениях, недостаточно ответственны. Часто они отвергают
ценности родителей, но вместо этого не в состоянии предложить ничего своего
[6].
Главное психологическое приобретение юности - открытие своего
внутреннего мира. Обретая способность погружаться в себя, в свои переживания,
юноша заново открывает целый мир новых эмоций, красоту природы, звуки музыки.
Он начинает воспринимать и осмысливать свои эмоции уже не как производные от
каких-то внешних событий, а как состояния собственного "Я". Вместе с
осознанием своей уникальности, неповторимости, непохожести на других приходит
чувство одиночества. Юношеское "Я" ещё неопределённо, расплывчато,
оно нередко переживается как смутное беспокойство или ощущение внутренней
пустоты, которую необходимо чем-то заполнить. Отсюда растёт потребность в
общении и одновременно повышается его избирательность, потребность в уединении
[3].
В этом возрасте, по мнению зарубежных исследований Холла
К.С., Линдсея Г., Хавигурста Р., обнаруживаются следующие психологические
особенности:
- достижение зрелых отношений с лицами
противоположного пола;
- достижение социально приемлемой
сексуальной роли;
- приспособление к изменениям своего
физического состояния;
- достижение
экономической независимости;
- выбор профессии и подготовка к
профессиональной деятельности;
- подготовка к браку и семейной жизни;
- развитие интеллектуальных способностей и
идеологических представлений, необходимых для сознательного участия в
социальной жизни;
- достижение
социально ответственного поведения;
- выработка комплекса ценностей, в
соответствии с которыми строится поведение [4].
По мнению российского исследователя П.С. Самыгина, в юношеском
возрасте можно отметить такие отличительные направления: психодинамическое,
объясняющее поведение главным образом в терминах эмоций, влечений и других
внерациональных компонентов психики;
- когнитивистское или
когнитивно-генетическое, отдающее предпочтение развитию познавательных
способностей и интеллекта;
- персонологическое, в центре внимания
которого стоит развитие личности в целом [8].
В этом возрасте более очевидно просматривается своеобразная,
индивидуальная природная предрасположенность, которая оказывает влияние на
выбор будущей профессии каждого индивида. Отличительной особенностью возраста
является проявление через активность самосознания механизмов самооценки и
самоконтроля в организации и планировании учебы, труда и общения, как будущих
видов деятельности в этом возрасте [1].
В юношеском возрасте обнаруживается интенсивное нравственное
развитие. С повышенным вниманием они относятся к проблемам морально-этического
характера, пытаются сделать предпочтительный нравственный выбор с учетом
общественных критериев, норм и образцов поведения человека в современном
обществе. В этом возрасте происходит активный процесс становления
мировоззрения, в частности, осуществляется нравственно-мировоззренческий поиск.
Повышенное внимание уделяется научному и религиозному мировоззрению и
миропониманию.
Характерными чертами поведения юношей, по мнению российского
исследователя П.С. Самыгина, являются эмоциональная неустойчивость и
чувствительность, застенчивость и агрессивность, эмоциональная напряженность и
конфликтные отношения с окружающими, склонность к крайним суждениям и оценкам
[8].
В юности, чаще встречаются акцентированные типы характера,
наблюдаются быстрые, непредсказуемые и частые переходы от одного настроения к
другому: от радости к унынию, от веселья к грусти, от эйфории к подавленности.
Юноши и девушки подвержены эмоциям, обидчивы, импульсивны, склонны к
категоричным суждениями недостаточно продуманным поступкам
Ш. Бюлер выделяет в юношеском периоде характерные черты:
тревожность, раздражительность, агрессивность, бесцельный бунт, стремление к
самостоятельности, не подкрепляемой соответствующими физическими и психическими
возможностями [4].
В юношеском возрасте наблюдается интенсивное развитие
общительности (коммуникабельности). Возрастная особенность заключается в
снижении остроты межличностных конфликтов, повышается контактность и
общительность. У многих это время сопровождается острым стремлением к общению,
чувством единения, любви и доброты абсолютно ко всем окружающим. Важную роль в
общении начинает играть обмен информацией для взаимопонимания с разными
возрастными категориями. Ребята более доверчивы к старшим, особенно к учителям,
а также расширяется сфера свободного общения. Главное в общении это найти
понимание, сочувствие, помощь в том, что их волнует, что переживается ими, как
наиболее значимое [5].
Юношеский возраст, согласно утверждению И.С. Кона, принято
считать самым коллективистским. Юноши и девушки демонстрируют высокую
избирательность в общении, предпочитая близкую для себя по ценностным ориентациям,
потребностям и интересам среду [9].
В процессе общения просматривается взаимное уважение и
равноправие, отмечаются добрые и внимательные отношения к людям. Несмотря на
то, что предпринимаются попытки преодолеть зависимость от взрослых, все же доминируют
отношения ровные, покладистые, доверительные и открытые. В общении со взрослыми
просматривается чувство ответственности, предпринимаются попытки к
самостоятельности, равноправию, уважительности и разумной опеке.
Замечена потребность юношей и девушек к товарищескому и
дружескому общению. Юность характеризуется как период ярко выраженной
потребности в дружбе. Познавая друга, человек познает себя. Благодаря дружбе
человек решает свою жизненную задачу развития. Нравственная природа дружбы
заключена в ее бескорыстности, в ее непосредственном отношении человека к
человеку [7].
Другие, как отмечает Г.С. Абрамова, судят друг друга по
нравственным законам, потому, что дружба основана на свободе. Это ее основное
отличие от любви. Дружба это процесс осуществления равенства, где достижение
взаимопонимания становится главным [10].
Для юности характерно повышенное внимание к внутреннему миру
человека, определяется возрастная интровертированность. Это возраст, как этап
формирования самосознания и собственно мировоззрения, этап принятия
ответственных решений, этап человеческой близости, когда ценности дружбы,
любви, интимной близости могут быть первостепенными. [1].
По И.С. Кон в юности формируется:
. самосознание, ценностное представление о самом себе,
эмоциональное отношение к самому себе, самооценка своей внешности, умственных,
моральных, волевых качеств, осознание своих достоинств и недостатков, на основе
чего возникают возможности целенаправленного самосовершенствования,
самовоспитания;
. собственное мировоззрение как целостная система взглядов,
знаний, убеждений своей жизненной философии, которая опирается на усвоенную
ранее значительную сумму знаний и сформировавшаяся способность к
абстрактно-теоретическому мышлению, без чего разрозненные знания не
складываются в единую систему;
. стремление заново и критически осмыслить все окружающее,
самоутвердиться, создать собственные теории смысла жизни, любви, счастья,
политики [9].
По мнению Ю.В. Кулюткина, в период между 17 и 22 годами
происходит становление взрослости, освоения новых - "взрослых" - норм
поведения, адаптации к новым социальным и профессиональным функциям и ролям.
Молодой человек переживает своеобразный кризис своего развития: он начинает
интенсивно опробовать различные роли взрослого человека, выбирает, а бывает и
часто меняет профессии, пытается адаптироваться к новому образу жизни,
стремится построить собственную семью. Переход к взрослой жизни, как и всякий
переходный этап, содержит в себе внутренние противоречия, связанные с
особенностями развития личности. С одной стороны, молодой человек, начинающий
самостоятельную трудовую жизнь, приобретает статус взрослого человека. Но с
другой стороны, опыта "взрослой" жизни у него еще нет, молодому
человеку еще только предстоит его приобрести. Различные "взрослые"
роли усваиваются им не сразу: в одних случаях он действует как взрослый, в
других - еще нет. Отсюда и различная степень серьезности и ответственности
поведения в разных ситуациях [7].
Юношеский возраст - время обостренного чувственного
восприятия мира в целом. Чувство справедливости, личностной признанности и
защищенности, осознание своей автономии среди окружающих выступают важнейшими
регуляторами деятельности юношей и девушек. В этой связи важную роль играют
волевые проявления их личности, такие, как инициативность, настойчивость,
решительность, самообладание.
Одним из отличительных признаков юношеского возраста является
поиск своего жизненного пути, выбор профессии. С юностью связано продолжение
обучения или начало освоения профессии. В психологическом плане юность решает
задачи окончательного, действенного самоопределения и интеграции в общество
взрослых людей [6].
Таким образом, особенностью юношеского возраста является
наиболее интенсивное интеллектуальное развитие, выраженное в активности
мыслительных познавательных механизмов. Наблюдается активность нравственного
развития, связанного с повышенным вниманием со стороны юношества к проблемам
морально-этического характера. В этом возрасте осуществляется интенсивное
коммуникабельное развитие, связанное с повышением общительности, снижением
остроты межличностных конфликтов, стремлением к обмену информацией, к
пониманию, сочувствию, помощи, добрым отношениям, дружескому общению,
сдержанности в поведении и др. Юношеский возраст - период целостного становления
личности, время наступления социальной зрелости, формирования
"Я-концепции", активного вхождения личности во все сферы
общественного бытия.
1.2
Психологические и социальные факторы, способствующие формированию девиантного
поведения
Девиантное, или отклоняющееся (от лат. Deviatie - отклонение), поведение
всегда связано с несоответствием человеческих поступков и действий
распространенным в обществе или социальных группах нормам, правилам поведения,
стереотипам, ожиданиям, установкам, ценностям.
К основным видам девиантного поведения относятся прежде всего
преступность, алкоголизм и наркомания, а также самоубийства, проституция. К
девиантному поведению склонны люди, социализация которых проходила в условиях
поощрения или игнорирования отдельных элементов девиантного поведения (насилие,
аморальность).
Развернутое социологическое объяснение девиации впервые дал
Э. Дюркгейм, предложивший теорию аномии, которая раскрывает значение социальных
и культурных факторов. По Э. Дюркгейму, основной причиной девиации является
аномия (от фр. anomie − отсутствие закона). По сути, аномия - это отсутствие
регуляции, безнормность, состояние дезорганизации общества, когда ценности,
нормы, социальные связи либо отсутствуют, либо становятся неустойчивыми и
противоречивыми. Все, что нарушает стабильность, приводит к неоднородности,
неустойчивости социальных связей, разрушению коллективного сознания (кризис,
смешение социальных групп, миграция и т.д.), порождает нарушения общественного
порядка, дезорганизует людей, в результате чего появляются различные виды
девиаций [12].
Причинами отклонения поведения личности являются процессы
проходимой им социализации в группе. Она бывает неудачной по отношению к
некоторым вполне определённым нормам, причём эти неудачи сказываются на
внутренней структуре личности. Когда процессы социализации успешны, индивид
сначала адаптируется к окружающим его культурным нормам, затем воспринимает их
так, что одобряемые нормы и ценности общества или группы становятся его
эмоциональной потребностью, а запреты культуры − частью его сознания. Он
воспринимает нормы культуры таким образом, что автоматически действует в
ожидаемой манере поведения большую часть времени. Ошибки индивида редки, и всем
окружающим известно, что они не являются его обычным поведением [8].
Также причинами девиантного поведения личности служат
моральные ценности и поведенческие нормы в семье. Когда ребенок социализируется
в условиях счастливой, крепкой и здоровой семьи, он обычно развивается как
уверенная в себе и в окружении, хорошо воспитанная личность, воспринимающая
нормы окружающей культуры как справедливые и само собой разумеющиеся. Ребенок
ориентирован определенным образом на свое будущее. Если семейная жизнь в чём-то
неудовлетворительна, то дети часто развиваются с пробелами в воспитании, в
усвоении норм и с отклоняющимся поведением. Однако имеются случаи проявления
отклоняющегося поведения в совершенно благополучных семьях, так как семья - это
далеко не единственный институт в обществе, участвующий в социализации
личности. Нормы, воспринятые с детства, могут быть пересмотрены или отброшены в
ходе взаимодействия с окружающей действительностью, в частности с социальным
окружением [13].
К числу факторов девиантного поведения, проявляющихся на
индивидуальном уровне, можно отнести также внутренние психологические процессы:
- потребность в
престиже, самоуважении;
- потребность в
риске;
- наличие так называемых искусственных
потребностей (в алкоголе, наркотиках);
- эмоциональная
неустойчивость;
- агрессивность;
- наличие акцентуации характера (к
"группе риска" относят гипертимную, истероидную, шизоидную и
эмоционально-лабильную акцентуацию);
- отклонение в
психическом развитии;
- неадекватная
самооценка и др. [14].
Девиантное поведение имеет сложную природу, обусловленную
самыми разнообразными факторами, находящимися в сложном взаимодействии и
взаимовлиянии. Человеческое развитие обусловлено взаимодействием многих
факторов: наследственности, среды, воспитания, собственной практической
деятельности человека. Можно выделить основные факторы, обусловливающие
девиантное поведение личности.
. Биологические факторы выражаются в существовании
неблагоприятных физиологических или анатомических особенностей организма
человека, затрудняющих его социальную адаптацию. Причем здесь речь идет,
конечно, не о специальных генах, фатально обусловливающих девиантное поведение,
а лишь о тех факторах, которые наряду с социально-педагогической коррекцией
требуют также и медицинской. К ним относятся:
- генетические, которые передаются по
наследству. Это могут быть нарушения умственного развития, дефекты слуха и
зрения, телесные пороки, повреждения нервной системы. Данные поражения дети
приобретают, как правило, еще во время беременности матери в силу
неполноценного и неправильного питания, употребления ею алкогольных напитков,
курения; заболеваний матери (физические и психические травмы во время
беременности, хронические и соматические инфекционные заболевания,
черепно-мозговые и психические травмы, венерические заболевания); влияния
наследственных заболеваний, а особенно наследственности, отягощенной
алкоголизмом;
- психофизиологические, связанные с влиянием
на организм человека психофизиологических нагрузок, конфликтных ситуаций,
химического состава окружающей среды, новых видов энергии, приводящих к
различным соматическим, аллергическим, токсическим заболеваниям;
- физиологические, включающие в себя дефекты
речи, внешнюю непривлекательность, недостатки конституционно-соматического
склада человека, которые в большинстве случаев вызывают негативное отношение со
стороны окружающих, что приводит к искажению системы межличностных отношений
ребенка в среде сверстников, коллективе [15].
2. Психологические факторы, в которые включаются наличие у
человека психопатологии или акцентуации отдельных черт характера. Эти
отклонения выражаются в нервно-психических заболеваниях, психопатии,
неврастении, пограничных состояниях, повышающих возбудимость нервной системы и
обусловливающих неадекватные реакции личности. Индивиды с явно выраженной
психопатией, которая является отклонением от норм психического здоровья
человека, нуждаются в помощи психиатров [12].
Люди с акцентуированными чертами характера, что является
крайним вариантом психической нормы, чрезвычайно уязвимы для различных
психологических воздействий и нуждаются, как правило, в социально-медицинской
реабилитации наряду с мерами воспитательного характера.
В случае несформированности системы нравственных ценностей
юноши сфера его интересов начинает принимать преимущественно корыстную,
насильственную, паразитическую или потребительскую направленность. Для таких
юношей характерен инфантилизм, примитивность в суждениях, преобладание
развлекательных интересов. Эгоцентрическая позиция юноши с демонстрацией
пренебрежительного отношения к существующим нормам и правам другого человека
приводит к "отрицательному лидерству", навязыванию физически более
слабым сверстникам системы их "порабощения", браваде криминальным
поведением, оправдыванию своих действий внешними обстоятельствами, низкой
ответственности за свое поведение [14].
. Социально-педагогические факторы выражаются в дефектах
школьного, семейного или общественного воспитания, в основе которых лежат
половозрастные и индивидуальные особенности развития детей, приводящих к
отклонениям в ранней социализации ребенка в период детства с накоплением
негативного опыта; в стойкой школьной неуспешности ребенка с разрывом связей со
школой (педагогическая запущенность), ведущей к несформированности у юноши познавательных
мотивов, интересов и школьных навыков [16].
Важным фактором отклонений в психосоциальном развитии
личности является неблагополучие семьи. Следует выделить определенные стили
семейных взаимоотношений, ведущих к формированию асоциального поведения
личности:
- дисгармоничный стиль воспитательных и
внутрисемейных отношений, сочетающий в себе, с одной стороны, потворство
желаниям ребенка, гиперопеку, а с другой - провоцирование ребенка на
конфликтные ситуации; или характеризующийся утверждением в семье двойной
морали: для семьи - одни правила поведения, для общества - совершенно другие;
- нестабильный, конфликтный стиль
воспитательных влияний в неполной семье, в ситуации развода, длительного
раздельного проживания детей и родителей;
- асоциальный стиль отношений в
дезорганизованной семье с систематическим употреблением алкоголя, наркотиков,
аморальным образом жизни, криминальным поведением родителей, проявлениями
маломотивированной "семейной жестокости" и насилия [11].
4. Социально-экономические факторы включают социальное
неравенство; расслоение общества на богатых и бедных; обнищание значительной
массы населения, ограничение социально приемлемых способов получения достойного
заработка; безработицу; инфляцию и, как следствие, социальную напряженность [17].
. Морально-этические факторы проявляются, с одной стороны, в
низком морально-нравственном уровне современного общества, разрушении
ценностей, в первую очередь духовных, в утверждении психологии
"вещизма", падения нравов; с другой - в нейтральном отношении
общества к проявлениям девиантного поведения [16].
Таким образом, под девиантным поведением следует понимать
систему поступков, отклоняющихся от принятых в обществе правовых, нравственных,
эстетических норм, проявляющихся в виде несбалансированности психических
процессов, неадаптивности, нарушении процесса самоактуализации, в виде
уклонения от нравственного контроля над собственным поведением. Девиантное
поведение имеет сложную природу, которая обусловлена разнообразными
взаимодействующими и взаимовлияющими факторами. Основными факторами,
обусловливающими девиантное поведение личности, являются биологические,
психологические, социально-педагогические, социально-экономические и
морально-этические.
1.3
Особенности самооценки в юношеском возрасте
Одной из самых важных социально-психологических характеристик
личности в юношеском возрасте является ее самооценка. Она выступает необходимым
условием гармонических отношений человека как с самим собой, так и с другими
людьми, с которыми он вступает в общение и взаимодействие. Самооценка - это
оценка личностью самой себя, своих возможностей, способностей, качеств и места
среди других людей. Самооценка относится к фундаментальным образованиям
личности. Она в значительной степени определяет ее активность, отношение к себе
и другим людям [2].
Именно самооценка, по утверждению многих исследователей (И.С.
Кон, Р. Бернс, А.И. Липкина, А. Маслоу и др.), существенным образом влияет на
эффективность деятельности человека и степень выраженности стремления к
личностному росту.
Решающее влияние на формирование самооценки оказывают два
фактора: отношение окружающих и осознание самим особенностей своей
деятельности, хода и результатов [18].
Реан А.А. и Бордовская Н.В. подчеркивают, что самооценка
представляет собой центральное образование личности. Она в значительной степени
определяет социальную адаптацию личности, является регулятором ее поведения и
деятельности. Самооценка не есть нечто данное, изначально присущее личности.
Само формирование самооценки происходит в процессе деятельности и
межличностного взаимодействия. Социум в значительной степени влияет на
формирование самооценки личности. Отношение человека к самому себе является
наиболее поздним образованием в системе отношений человека к миру. Но, несмотря
на это, в структуре отношений личности самооценке принадлежит особое место
[19].
Самооценка - ценность, которая приписывается себе или
отдельным своим качествам. В качестве основного критерия оценивания выступает
система личностных смыслов, т.е. то, что личности кажется значимым. Главные
функции, которые выполняются самооценкой, - регуляторная, на основе которой
происходит решение задач личностного выбора, и защитная, обеспечивающая
относительную стабильность и независимость личности. Значительную роль в
формировании самооценки играют оценки окружающих личности и достижений. Также
можно сказать, что самооценка это состояние, когда человек оценивает сам себя в
разных областях, давая оценку тем или иным своим качествам (привлекательность,
сексуальность, профессионализм).
Самооценка своих возможностей, качеств и места среди других
людей, безусловно, относится к базисным качествам личности. Именно она во
многом определяет взаимоотношения с окружающими, критичность, требовательность
к себе, отношение к успехам и неудачам [18].
Человек, живя и действуя в окружающем мире, постоянно
сравнивает себя с другими людьми, свои собственные дела и успехи с делами и
успехами других людей. Такое же сравнение - самооценку мы проводим и по
отношению ко всем своим качествам: внешности, способностям, успехам в учебе.
Иными словами, мы с детства учимся оценивать сами себя [2].
Оценку себя в целом как хорошего или плохого принято считать
общей самооценкой, а оценку достижений в отдельных видах деятельности -
парциальной. Помимо этого выделяют актуальную самооценку - то, что уже
достигнуто, и потенциальную - то, на что способен. Потенциальную самооценку
часто называют уровнем притязаний. Рассматривают самооценку как адекватную и
неадекватную, т.е. соответствующую и несоответствующую реальным достижениям и
потенциальным возможностям индивида. Так же различается самооценка по уровню -
высокому, среднему, низкому. Слишком высокая и слишком низкая самооценка могут
стать источником конфликтов личности, которые могут проявляться по-разному.
Адекватная самооценка оказывает существенное влияние на
эффективность деятельности и формирование личности. Адекватная самооценка
придает уверенность в себе, позволяет успешно ставить и достигать цели в личной
жизни, творчестве, придает такие полезные качества как инициативность,
предприимчивость, способность адаптации к условиям различных социумов. Низкая
самооценка сопровождает человека робкого, неуверенного в принятии решений [20].
Известно, что личностью человек не рождается, а становится ею
в процессе совместной с другими людьми деятельности и общении с ними. Совершая
те или иные поступки, постоянно сверяется с тем, что ожидают от него
окружающие. Иными словами он как бы "примеряет" на себя их
требования, мнения, чувства. Отталкиваясь от мнения окружающих, человек вырабатывает
механизм, с помощью которого происходит регуляция его поведения - самооценку
[21].
Самооценка выступает необходимым условием гармонических
отношений человека как с самим собой, так и с другими людьми, с которыми он
вступает в общение и взаимодействие.
Важная роль в осознании своих качеств и самооценки в
юношеском возрасте принадлежит саморефлексии. Для юности характерно
самоуглубление и идет оно либо через постоянный контроль своего поведения с
помощью самонаблюдения, либо через самосозерцание и самоанализ, предполагающий
определенный отход от действия, углубление в анализ собственного "я"
такого, какое оно есть сейчас, каким я стараюсь стать, каким я должен стать,
каким я хотел бы стать. Этот анализ может проводиться в мыслях, мечтах и на
бумаге [22].
На первых порах в основе самосознания юноши лежат суждения о
нем других - взрослых, коллектива, товарищей. Юноша словно смотрит на себя
глазами окружающих. С возрастом, помимо этого, начинает сказываться тенденция
самостоятельно анализировать и оценивать собственную личность. Но поскольку
юноша еще не обладает достаточным умением правильно анализировать собственные
личностные проявления, то на этой основе возможны конфликты, порождаемые
противоречием между уровнем притязаний, его мнением о себе и его реальным
положением в коллективе, отношением к нему со стороны взрослых и товарищей
[23].
Основным фактором, формирующим самооценку в юношеском
возрасте является Я-концепция.
В научной литературе понятие "Я-концепция"
появилось сравнительно недавно в связи с необходимостью исследования и описания
глубинных структур и процессов личности. Оно употребляется вместе с такими
терминами, как "самосознание", "самооценка", "образ
Я", "Я", "картина Я", "представление о себе"
и неразрывно с ними связано.
Способность к самосознанию - исключительное достояние
человека, который осознает себя как субъекта сознания, общения и действия,
становясь в непосредственное отношение к самому себе. Итоговым продуктом
процесса самопознания является динамическая система представлений человека о
самом себе, сопряженная с их оценкой, называемая термином
"Я-концепция" [24].
Я-концепция возникает в юношеском возрасте в процессе
социального взаимодействия как неизбежный и всегда уникальный продукт его
психического развития, как относительно устойчивое и в то же время подверженное
внутренним колебаниям и изменениям психическое приобретение.
Я-концепция выявляется и организует активность и переживания
личности в юношеском возрасте, реализует мотивационные функции, обеспечивает
побуждения, стандарты, планы, правила и сценарии поведения, кроме того,
определяет адекватность реакций на социальные изменения. Я-концепция, таким
образом, выступает как динамическая объяснительная категория, которая
опосредует важнейшие внутриличностные процессы и большинство межличностных
[23].
Именно юношеский возраст считается периодом возникновения
сознательного "Я" как фактора развития самооценки. В юношеском
возрасте человек начинает осознавать свою особенность и неповторимость, в его
сознании происходит постепенная переориентация с внешних оценок на внутренние.
В юношеском возрасте постепенно формируется своя Я-концепция, которая
способствует дальнейшему, осознанному или неосознанному построению самооценки
молодого человека.
Практически все психологи указывают на юношеский возраст как
на критический период формирования самооценки и рассматривают развитие
самосознания как центральный психический процесс переходного возраста.
В ранней юности происходит постепенная смена
"предметных" компонентов Я-концепции, в частности, соотношение
телесных и морально-психологических компонентов своего "Я". Юноша
привыкает к своей внешности, формирует относительно устойчивый образ своего
тела, принимает свою внешность и соответственно стабилизирует связанный с ней
уровень притязаний. Постепенно на первый план выступают теперь другие свойства
"Я" - умственные способности, волевые и моральные качества, от
которых зависит успешность деятельности и отношения с окружающими [22].
В юношеском возрасте формирование адекватной самооценки -
одна из важнейших задач, так как обе крайности - и заниженная, и завышенная
самооценка - ведут к серьезным внутренним и межличностным конфликтам. Наличие
этих конфликтов объясняется тем, что самоуважение, самопринятие и социальная
адаптация тесно взаимосвязаны. Так высокая самооценка - свидетельство того, что
человек уважает себя, положительно относится к себе, низкая -
неудовлетворенности собой, отрицательной оценки собственной личности.
Заниженная самооценка ведет к пониженному самоуважению,
которое делает представление о самом себе противоречивым и неустойчивым, а
человека неуверенным в себе. Такие молодые люди имеют тенденцию к полной
незаметности в общении, болезненно реагируют на отношение к себе, шутку, смех,
критику. Их не "видят" и не выбирают в лидеры. Они редко участвуют в
общественной деятельности, не умеют постоять за себя и не высказывают свое
мнение. У таких юношей чаще всего развивается чувство изоляции, замкнутости и
одиночества. В обществе они часто испытывают неловкость и напряжение, что
затрудняет их общение с окружающими. Поскольку они хотят нравиться другим, на
них легко оказывать влияние и управлять ими; они позволяют другим принимать за
них решения, т.к. им не хватает уверенности в себе [24].
Таким образом, самооценка является одной из самых важных
социально-психологических характеристик личности в юношеском возрасте. Именно в
этот период человек начинает осознавать свою особенность и неповторимость, в
его сознании происходит постепенная переориентация с внешних оценок на
внутренние. Постепенное формирование своей Я-концепции способствует дальнейшему
построению самооценки молодого человека. В юношеском возрасте формирование
адекватной самооценки - одна из важнейших задач, так как обе крайности - и
заниженная, и завышенная самооценка - ведут к серьезным внутренним и
межличностным конфликтам.
2.
Эмпирическое исследование самооценки юношей и девушек со склонностью к
девиантному поведению
2.1
Характеристика выборки и методов исследования
Исследование проходило на базе УО "Гомельский
государственный университет имени Ф. Скорины". В эмпирическом исследовании
приняли участие 40 юношей и девушек 18 − 20 лет.
Для диагностики были использованы следующие методики:
- методика диагностики склонности к
отклоняющемуся поведению (СОП) А.Н. Орел;
- методика исследования самооценки А.С.
Будасси.
Предлагаемая методика диагностики склонности к отклоняющемуся
поведению (СОП) является стандартизированным тест-опросником, предназначенным
для измерения готовности (склонности) юношей к реализации различных форм
отклоняющегося поведения. Этот опросник позволяет также оценить склонность
юношей и девушек к двигательной расторможенности, патологическому
фантазированию и хобби, половым девиациям, дисморфобии. Опросник представляет
собой набор специализированных психодиагностических шкал, направленных на
измерение готовности (склонности) к реализации отдельных форм отклоняющегося
поведения.
Методика включает около 100 вопросов, формирующих
специализированые психодиагностические шкалы − 1 служебную (шкала
установки на социальную желательность ответов) и 6 содержательных шкал:
- склонность к преодолению норм и правил;
- склонность к
аддиктивному поведению;
- склонность к самоповреждающему и
саморазрушающему поведенению;
- склонность к агрессии и насилию;
- волевой
контроль эмоциональных реакций;
- склонность к
делинквентному поведению;
Содержательные шкалы направлены на измерение психологического
содержания комплекса связанных между собой форм девиантного поведения, то есть
социальных и личностных установок, стоящих за этими поведенческими
проявлениями.
Служебная шкала предназначена для измерения
предрасположенности испытуемого давать о себе социально-одобряемую информацию,
оценки достоверности результатов опросника в целом, а также для коррекции
результатов по содержательным шкалам в зависимости от выраженности установки
испытуемого на социально-желательные ответы.
Для определения самооценки юношей и девушек, склонных к
отклоняющемуся поведению используется методика А.С. Будасси, которая основана
на положении о том, что личность в процессе общения постоянно сверяет себя с
неким эталоном и в зависимости от результатов проверки выявляет занижение или
завышение собственной оценки по сравнению с эталоном.
Работа состоит из двух частей. Сначала из предложенных черт
личности испытуемый должен выбрать по 10 - 20 качеств, характеризующих его
идеал и антиидеал. Затем в полученном списке нужно подчеркнуть качества,
присущие самому испытуемому.
Этапы исследования:
- организация исследования: определить
выборку исследования, определить методы и методики исследования самооценки
юношей и девушек со склонностью к отклоняющемуся поведению;
- проведение эмпирического исследования
самооценки юношей и девушек со склонностью к отклоняющемуся поведению;
юношеский девиантное поведение отклоняющееся
- проанализировать и обобщить результаты
эмпирического исследования.
2.2
Особенности самооценки юношей и девушек со склонностью к девиантному поведению
Целью нашего исследования было изучить самооценку юношей и
девушек со склонностью к девиантному поведению. Данные, полученные в результате
применения методики диагностики склонности к отклоняющемуся поведению (СОП)
представлены в таблице 1.
Результаты по каждой шкале оцениваются суммой баллов, которая
сравнивается нормами, заложенными в методике. Из таблицы 1 следует, что
большинство исследуемых юношей и девушек обладают отсутствием склонности к
отклоняющемуся поведению.
Результаты II шкалы (склонность к преодолению норм и правил)
свидетельствуют о том, что 13% испытуемых предрасположены к преодолению норм и
правил, склонности к отрицанию общепринятых норм и ценностей, образцов
поведения.
Результаты III шкалы (склонность к аддиктивному поведению)
свидетельствуют о том, что 33% испытуемых предрасположены к уходу от реальности
посредством изменения своего психического состояния, о склонностях к
иллюзорно-компенсаторному способу решения личностных проблем.
Таблица 1 - Количественные результаты склонности юношей и девушек
к отклоняющемуся поведению
|
Шкалы
|
Отсутствие
склонности
|
Умеренная
тенденция
|
Высокая
тенденция
|
|
I (Шкала
установки на социальную желательность)
|
23
|
13
|
4
|
|
II (Шкала
склонности к преодолению норм и правил)
|
22
|
13
|
5
|
|
III (Шкала
склонности к аддиктивному поведению)
|
12
|
15
|
13
|
|
IV (Шкала
склонности к самоповреждающему и саморазрушающему поведению)
|
23
|
11
|
6
|
|
V (Шкала
склонности к агрессии и насилию)
|
26
|
8
|
6
|
|
VI (Шкала
волевого контроля эмоциональных реакций)
|
20
|
12
|
8
|
|
VII (Шкала
склонности к деликвентному поведению)
|
14
|
14
|
12
|
Результаты IV шкалы (склонность к самоповреждающему и
саморазрушающему поведению) свидетельствуют о том, что 15% испытуемых низко
ценят собственную жизнь, склонны к риску, наблюдается выраженная потребность в
острых ощущениях.
Результаты V шкалы (склонность к агрессии и насилию) свидетельствуют о
том, что 15% испытуемых обладают склонностью к проявлению агрессии и насилия.
Результаты VI шкалы (волевой контроль эмоциональных реакций)
свидетельствуют о том, что 20% испытуемых неспособны контролировать
поведенческие проявления эмоциональных реакций.
Результаты VII шкалы (склонность к деликвентному поведению)
свидетельствуют о том, что 30% испытуемых обладают высокой готовностью к
реализации делинквентного поведения.
Интерпретировав полученные данные (таблица 2), высокую
тенденцию к отклоняющемуся поведению имеют 22 испытуемых. Исходя из цели
исследования, выявляем самооценку у испытуемых, склонных к отклоняющемуся
поведению.
Таблица 2 - Результаты выраженности признака отклоняющегося поведения
у юношей и девушек
|
№ испытуемого
|
Шкалы
|
№ испытуемого
|
Шкалы
|
|
II
|
III
|
IV
|
V
|
VI
|
VII
|
|
II
|
III
|
IV
|
V
|
VI
|
VII
|
|
1
|
|
|
|
|
|
|
21
|
|
|
|
|
|
|
|
2
|
|
+
|
|
|
+
|
|
22
|
|
+
|
|
3
|
|
|
|
|
|
|
23
|
|
+
|
|
|
|
|
|
4
|
|
|
+
|
|
|
+
|
24
|
|
|
|
|
|
|
|
5
|
+
|
|
|
+
|
|
|
25
|
|
|
|
+
|
|
+
|
|
6
|
|
+
|
+
|
|
+
|
|
26
|
+
|
|
|
+
|
|
|
|
7
|
|
|
|
|
|
|
27
|
|
+
|
+
|
|
|
+
|
|
8
|
|
|
|
|
|
|
28
|
|
|
|
|
|
|
|
9
|
|
+
|
|
|
|
+
|
29
|
|
+
|
|
|
+
|
+
|
|
10
|
|
|
|
|
|
|
30
|
|
|
|
|
|
|
|
11
|
|
|
|
+
|
+
|
+
|
31
|
|
|
|
|
|
|
|
12
|
|
|
|
|
|
|
32
|
|
+
|
|
|
+
|
|
|
13
|
+
|
+
|
|
|
|
|
33
|
+
|
|
|
|
+
|
+
|
|
14
|
|
|
|
|
|
|
34
|
|
|
|
|
|
|
|
15
|
|
|
|
|
|
|
35
|
|
|
+
|
|
|
+
|
|
16
|
|
|
|
|
|
|
36
|
|
+
|
|
+
|
|
|
|
17
|
|
+
|
+
|
|
|
+
|
37
|
|
|
|
|
|
|
|
18
|
|
|
|
|
|
|
38
|
|
|
|
|
|
|
|
19
|
+
|
39
|
|
+
|
|
|
|
+
|
|
20
|
|
+
|
|
+
|
+
|
|
40
|
+
|
|
+
|
|
|
|
Высокая тенденция признака отмечена в таблице знаком
"+".
Для выявления количественного выражения уровня самооценки
использовался метод ранговой корреляции Спирмена. Подсчитав разность номеров
рангов (d)
по каждому выписанному качеству испытуемых, подсчитываем d2 по каждому качеству.
Далее находим сумму d2, то есть
∑d2 = d12 + d22 + d32 +. + d202
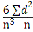
Подсчитываем коэффициент ранговой корреляции по Спирмену:
R=1−
,
где n - количество сравнительных пар.
Так как n = 20, формула
приобретает следующий вид:
R = 1 − 0,00075 ∑d2
Количественные результаты самооценки юношей и девушек представлены
в таблице 3.
Таблица 3 - Количественные результаты самооценки юношей и
девушек
|
№ испытуемого
|
∑d2
|
R
|
№ испытуемого
|
∑d2
|
R
|
|
1
|
1063
|
0,2
|
12
|
285
|
0,8
|
|
2
|
786
|
0,4
|
13
|
413
|
0,7
|
|
3
|
912
|
0,3
|
14
|
562
|
0,6
|
|
4
|
422
|
0,7
|
15
|
1060
|
0,2
|
|
5
|
940
|
0,3
|
16
|
1052
|
0,2
|
|
6
|
641
|
0,5
|
17
|
389
|
0,7
|
|
7
|
266
|
0,8
|
18
|
689
|
0,5
|
|
8
|
0,5
|
19
|
376
|
0,7
|
|
9
|
933
|
0,3
|
20
|
251
|
0,8
|
|
10
|
120
|
0,9
|
21
|
918
|
0,3
|
|
11
|
921
|
0,3
|
22
|
392
|
0,7
|
Если R = 0,1; 0,2; 0,3, то самооценка заниженная. Если R = 0,4; 0,5; 0,6, то
самооценка адекватная. Если R = 0,7; 0,8; 0,9, 1, то самооценка завышена. Интерпретацию
полученных данных (таблица 3) можно представить на рисунке 1.
Рисунок 1 - Количественные результаты самооценки юношей и девушек,
имеющих склонности к отклоняющемуся поведению
Исходя из полученных данных, 41% юношей и девушек со склонностью к
отклоняющемуся поведению имеют завышенную самооценку, 36% юношей и девушек -
заниженную самооценку.
Таким образом, можно сделать вывод, что девиантные юноши и девушки
характеризуются крайней самооценкой (либо завышенной, либо заниженной). В
юношеском возрасте формирование адекватной самооценки - одна из важнейших
задач, так как обе крайности - и заниженная, и завышенная самооценка - ведут к
серьезным внутренним и межличностным конфликтам. Наличие этих конфликтов
объясняется тем, что самоуважение, самопринятие и социальная адаптация тесно
взаимосвязаны. Нарушение в системе самооценок у юношей и девушек выступает как
один из важнейших факторов девиантного поведения.
Заключение
В настоящее время в обществе возникла сложная ситуация,
связанная с правонарушениями среди юношей и девушек. Юношеский возраст - один
из самых спутанных и противоречивых в психологических и педагогических
представлениях и теориях. Юность - период жизни после отрочества до взрослости,
включающий в свои рамки возраст от 16-17 лет до 22-23 лет.
Актуальность данного исследования обусловлена тем, что
самооценка относится к центральным образованиям личности, ее ядру.
Общепризнанным являются представления о связи самооценки с асоциальным и
девиантным поведением юношей. Неадекватная самооценка создает широкую зону
конфликтных ситуаций и при определенных условиях способствует проявлению
девиантного поведения.
Самооценка − это оценка личностью самой себя, своих
возможностей, качеств, способностей, места в системе отношений с другими
людьми. Самооценка относится к центральным личностным образованиям наряду с
образом себя и Я-концепцией. Самооценка является важным фактором саморегуляции
личности, влияет на взаимоотношения с окружающими, критичность,
требовательность к себе, отношения к успехам и неудачам. Само формирование
самооценки происходит в процессе деятельности и межличностного взаимодействия.
Социум в значительной степени влияет на формирование самооценки личности
Рассмотрена общая характеристика юношеского возраста,
особенности самооценки этого возрастного периода, выявлены факторы,
способствующие формированию отклоняющегося поведения. Также была изучена
самооценка юношей и девушек со склонностью к отклоняющемуся поведению,
проведено эмпирическое исследование на выявление взаимосвязи между самооценкой
и девиантным поведением юношей и девушек.
В результате теоретического анализа литературы можно
заключить, что самооценка является одной из самых важных
социально-психологических характеристик личности в юношеском возрасте. Именно в
этот период человек начинает осознавать свою особенность и неповторимость, в
его сознании происходит постепенная переориентация с внешних оценок на
внутренние. Постепенное формирование своей Я-концепции способствует дальнейшему
построению самооценки молодого человека.
В результате проведения нашего исследования было выявлено,
что юношам и девушкам со склонностью к отклоняющемуся поведению свойственна
крайняя выраженность самооценки: либо завышенная, либо заниженная. В юношеском
возрасте формирование адекватной самооценки - одна из важнейших задач, так как
обе крайности - и заниженная, и завышенная самооценка - ведут к серьезным
внутренним и межличностным конфликтам. Наличие этих конфликтов объясняется тем,
что самоуважение, самопринятие и социальная адаптация тесно взаимосвязаны.
Нарушение в системе самооценок у юношей и девушек выступает как один из
важнейших факторов девиантного поведения. Таким образом, мы получили основание
для дальнейшего более глубокого и детализированного изучения этой проблемы.
Список
использованных источников
1.
Райс, Ф. Психология подросткового и юношеского возраста / Ф. Райс. - Спб.:
"Питер", 2000. - 656 с.
.
Сидоров, К.Р. Самооценка в психологии / К.Р. Сидоров // Мир психологии. -
2006. − № 2. - С.224 − 234
.
Петровский, А.В. Возрастная и педагогическая психология / Под. ред. А.В. Петровского.
− М.: Просвещение, 1980. - 160 с.
.
Дарвиш, О.Б. Возрастная психология / О.Б. Дарвиш. - М.: Владос, 2003. - 264 с.
.
Мухина, В.С. Возрастная психология: феноменология развития, детство,
отрочество: Учебник для студ. вузов. - 4-е изд., стереотип. − М.:
"Академия", 2005. - 340 с.
.
Божович, Л.И. Проблемы формирования личности / Л.И. Божович; под ред. Д.И.
Фельдштейна. - 2-е изд. - М.: "Институт практической психологии",
Воронеж: "МОДЭК" 1997. - 352 с.
.
Гамезо, М.В. Возрастная и педагогическая психология: Учебное пособие для студ.
пед. вузов / М.В. Гамезо, Е.А. Петрова, Л.М. Орлова. - М: Педагогическое
общество России. - 2004. - 512 с.
.
Самыгин, П.С. Девиантное поведение молодежи / П.С. Самыгин. - Ростов:
"Феникс", 2006. - 440 с
.
Кон, И.С. Психология ранней юности / И.С. Кон. - М.: Просвещение, 1989. - 255с.
.
Абрамова, Г.С. Возрастная психология: Учебное пособие для студ. вузов. - 4-е
изд., стереотип. - М.: "Академия", 1999. - 672 с.
.
Змановская, Е.В. Девиантология (Психология отклоняющегося поведения): Учебное
пособие для студ. вузов. - 2-е изд., испр. − М.: "Академия",
2004. − 288 с.
.
Клейнберг, Ю.А. Психология девиантного поведения / Ю.А. Клейнберг. − М.:
Сфера, 2001. - 140 с.
.
Лащова, Л.А. Социологическая теория девиантного поведения / Л.А. Лащова, М.Ф.
Шурупова // Социально-политический журнал. - 1993. − № 4. -
С.24 − 37.
.
Осипова, О.С. Девиантное поведение: благо или зло? / О.С. Осипова // Социс. -
1998. − № 9. - С.96 - 98.
.
Менделевич В.Д. Психология девиантного поведения // Клиническая и медицинская
психология. - М.: Медпресс, 1999. - С.351-416
.
Кудрявцев, В.Н. Социальные отклонения / Под ред.В.Н. Кудрявцева. - М.: Юрид.
лит., 2010. - 537 с.
.
Малышев, К.С. Профилактика и коррекция девиантного поведения /К.С. Малышев //
ОБЖ. - 2003. - №2. - С.52-53.
.
Станкин, М.И. Психология самооценки / М.И. Станкин // Специалист. - 2005. - №7.
- С.20 - 22
.
Реан, А.А. Психология изучения личности: Учебное пособие / А.А. Реан. - СПб.:
Питер, 2009. - 479с.
.
Зинько, Е.В. Изучение параметров самооценки / Е.В. Зинько // Наука. −
2006. - № 3. − С.22 - 27
.
Зинько, Е.В. Соотношение характеристик самооценки и уровня притязаний.
Самооценка и ее параметры / Е.В. Зинько // Психологический журнал. - 2006. - №
3. - С.18 - 30
.
Лозовая, Г.В. Методологические проблемы изучения самооценки личности / Г.В.
Лозовая // Специалист. - 2003. -
№5. - С.28 - 32
.
Маралов, В.Г. Основы самопознания и саморазвития: Учебное пособие для студ.
сред. пед. учеб. Заведений / В.Г. Маралов. - М.: "Академия", 2002. -
256с.
.
Райгородский, Д.Я. Самосознание и защитные механизмы личности/ Под ред. Д.Я.
Райгородского. - Самара: Бахрах-М, 2000. - 656 с.