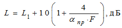
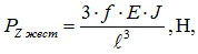
|
Линия
|
Этап
цикла
|
Dрга [МПа]
|
Dрl
[МПа]
|
Dрм [МПа]
|
DрΣ [МПа]
|
|
напорная
|
БП
|
0,39
|
0,0424
|
0,0064
|
0,439
|
|
БО
|
0,257
|
0,0315
|
0,00364
|
0,29
|
|
сливная
|
БП
|
0,55
|
0,0253
|
0,0034
|
0,58
|
|
БО
|
0,377
|
0,0196
|
0,00186
|
0,4
|
|
Итого
|
|
1,83
|
2.2 Усовершенствование привода выталкивателя
заготовок
.2.1 Разработка и описание кинематической схемы
привода
На рисунке 2.3 представлена кинематическая схема
выталкивателя заготовок. Привод состоит из электродвигателя 1, муфты зубчатой
2, червячной передачи 3, приводного ролика 4, холостого (прижимного) ролика 6.
Вращение от электродвигателя 1 передается через муфту зубчатую 2, червячную
передачу 3 на приводной ролик 4. Ролик в свою очередь толкает штангу 5, которую
с противоположной стороны поджимает с определенным усилием прижимной ролик 6.
Таким образом происходит подача штанги в нагревательную печь для выдачи
(выталкивания) заготовки в стан.
Рисунок 2.3 - Кинематическая схема выталкивателя
заготовок
.2.2 Энергокинематический расчет
Вычисляем общий КПД
Для вычисления всего КПД рассматривает
кинематическую схему и определяем места потери мощности:
Муфта 2
Червячная передача 3
Две пары подшипников качения 7,8
По справочным данным устанавливаем значение КПД
источников потери мощности:
(2.21)
где
-
КПД зубчатой муфты,
=0,98
- КПД червячной
передачи,
=0,35
- КПД двух
подшипников качения,
=0,99
Подбираем электродвигатель
(2.22)
где V - скорость исполнительного механизма, V=69
м/с (оптимальная скорость выдачи заготовок);- диаметр ролика, мм.
(2.23)
По справочным таблицам [9] определяем подходящие
типы электродвигателей:
АК250М8У3
АНК250SA8У3
По исполнению и остальным техническим
характеристикам наиболее подходит двигатель 4АК250М8У3 так как он наиболее
защищён от попадания внутрь пыли и других предметов, и предназначен для работы
при больших переменных нагрузках.
Разбиваем общее передаточное число по ступеням
Определяем общее передаточное отношение
.
Принимаем
.
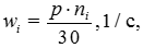
Определение частот вращения на валах:
Находим моменты на валах:
(2.24)
где Ni
- мощность, Вт;
ωi
- угловая скорость,1/с;
Ni=Ni-1∙
hi-1,
N1=Nэл.дв.,
(2.25)
где ni-частота
вращения, об/мин.
;
.
.2.3 Расчёт и проектирование червячной передачи
Подбираем количество заходов червяка и
количество зубьев колеса.
Выбираю из справочной таблицы [12] число заходов
червяка
тогда число зубьев колеса:
. (2.26)
Вычисление числа межосевого расстояния находится
по формуле:
, (2.27)
где Т3 - момент на валу червячного
колеса, м;
- допускаемые
контактные напряжения, МПа;
- примерное
значение коэффициента нагрузки:
, (2.28)
где
-
скоростной коэффициент,
- коэффициент
концентрации нагрузки
, (2.29)
где
-
начальный коэффициент концентрации нагрузки,
;
Находим [
]н
:
(2.30)
где Cv
- коэффициент, учитывающий интенсивность износа материала, Сv
=0,8;
- данное возможное
напряжение для расчета на прочность рабочих поверхностей зубьев червячного
колеса, МПа:
;
- эквивалентное
число циклов перемены напряжений при вычислении на контактную прочность:
, (2.31)
где
-
суммарное число циклов перемены напряжений:
, (2.32)
где n - частота вращения червячного колеса,
об/мин;- суммарное время работы передачи в течении срока службы, ч:
,ч,(2.33)
где
-
коэффициент использования передачи в сутки;
- коэффициент
использования передачи в год;- срок службы передачи, год:
ч.
N3-
число вхождений в зацепление зубьев червячного колеса за его один оборот
;
Kне -
коэффициент приведения, 106.
.
.
[
]н=
.
.
По ГОСТ 2144-76 принимаем стандартное межосевое
расстояние 225 мм. [12].
Определение осевого модуля
, (2.34)
где
-
межосевое расстояние, мм;
- количество
зубьев на червячном колесе, шт.
.
Принимаем модуль равный 10.
Определяем коэффициент диаметра червяка
, (2.35)
где aw
- межосевое расстояние, мм;
z2-
количество зубьев на червячном колесе, шт;
m- осевой модуль,
мм.
.
Определяем коэффициент смещения
, (2.36)
.
Определяем угол подъема червяка
Делительный угол подъема витка
,(2.37)
где z1-
число заходов червяка, z1
=3;
q- коэффициент
диаметра червяка, q=12.
.
Начальный угол подъема витка
,(2.38)
где z1
-
число заходов червяка, z1=3;
q - коэффициент
диаметра червяка, q =12;
x - коэффициент
смещения.
.
Уточнение коэффициента нагрузки
, (2.39)
где
-
скоростной коэффициент;
.
Принимаем
=1.
Kν
- коэффициент концентрации нагрузки, Kβ=1,07.
.
Проверяем допускаемые контактные напряжений
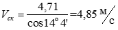
Окружная скорость на начальном диаметре червяка:
(2.40)
;
тогда уточненная скорость скольжения в зацеплении:
(2.41)
Было принято
материал Бр.ОФ 10-1 сохраняем. Сохраняем и
так как значение Vск
попадает в ранее принятое значение.
Проверка передачи по контактным напряжениям
МПа, (2.42)
где Z2
- количество зубьев на червячнм колесе, шт;
q- коэффициент диаметра
червяка,
=12;
x - коэффициент
смещения, x=0;
aw-
межосевое расстояние, мм;
T3
- крутящий момент на валу червячного колеса, Н∙м;
K - коэффициент
нагрузки, К=1,07.
.
Так как полученное значение 185 МПа
приблизительно на 6-7 % меньше расчетного значения и учитывая что передача
работает вблизи нагревательной печи (присутствует повышенная температура)
размеры передачи выбранные ранее принимаем за окончательные.
Геометрические размеры червячной передачи
изображены на рис. 2.4
Рисунок 2.4 - Геометрические размеры червячной
передачи
Расчет червяка
Делительный диаметр:
.
Начальный диаметр:
.
Диаметр вершин витков:
.
Диаметр впадин витков:
:
где h*f
=1,2
так как тип червяка - архимедов.
.
Длина нарезанной части червяка:
где
принимаем
.
.
Расчет зубчатого колеса в червячной передаче:
Диаметр делительной (первой) окружности:
.
Высота вершин зубьев:
.
Наибольший диаметр:
.
принимаем
.
Глубина впадин:
Длинна венца:
.
принимаем
.
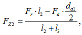
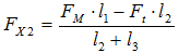
Определение сил, действующих в червячной
передаче
Окружная сила на колесе:
(2.43)
Окружная сила на червяке:
(2.44)
Радиальная сила, раздвигающая червяк и колесо:
(2.45)
Проверка передачи по напряжениям изгиба:
(2.46)
где
-
коэффициент формы зуба, зависящий от эквивалентного числа зубьев червячного
колеса [12],
.
.
.
- условие
выполнено.
На рисунке 2.5 показаны нагрузки в червячной
передаче
Рисунок 2.5 - Нагрузки в червячной передаче
Испытание передачи на быструю высокую нагрузку
Наивысшие контактные напряжения:
(2.47)
где
-
контактные напряжения, МПа;
Т3max-
максимальный крутящий момент на валу червячного колеса Н∙м
Т3- крутящий момент на валу
червячного колеса, Н∙м.
.
.
- условие
выполнено.
Максимальные напряжения изгиба:
(2.48)
.
- условие
выполнено.
При этом значении Т3пик определяем по
формуле:
(2.49)
.
Определение коэффициента полезного действия:
(2.50)
где - ø
угол трения,
;
- начальный угол
подъема витка,
.
Червячные передачи работают с большим выделением
теплоты. Между тем, нагрев рабочей жидкости до температуры, выше предельной (≈95℃),
приводит к потере им защитной способности и к опасности заедания в передаче.
Расчет при установившемся тепловом состоянии производят на основе теплового
баланса, то есть приравнивая тепловыделение теплоотдаче.
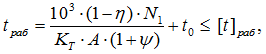
Определяем поверхность охлаждения корпуса
редуктора
(2.51)
Для нормальной работы червячного редуктора,
смонтированного на раме нужно выполнить условие:
(2.52)
где N1 - мощность на валу червяка, N1=36,3
КВт;
КT
- коэффициент теплоотдачи,
;раб -
температура корпуса передачи при нормальном режиме работы;
t0=200
- температура окружающей среды;
=0.25…0.3 -
коэффициент учитывающий отвод тепла от корпуса в установочный фундамент;
[t]раб = 95 0C - наивысшая допустимая
температура нагрева
рабочей жидкости в масляной ванне редуктора.
- условие
выполнено.
2.2.4 Ориентировочный расчет и конструирование
приводного вала
Определение диаметра консольного участка вала:
(2.53)
где d -диаметр вала, мм;- крутящий момент на
валу,
;
- допускаемое
напряжение на кручение, МПа;
.
Принимаем диаметр вала
.
На рисунке 2.6 изображен цилиндрический конец
вала
Рисунок 2.6 - Цилиндрический конец вала
Высоту буртика tцил принимаем равной
5 мм.
Определение диаметра вала под подшипник:
,(2.54)
где t2 - глубина шпоночного паза в
ступице детали, мм
Для надежной фиксации подшипника на посадочном
месте применяем дополнительное крепление гайкой
.
Определение длины l концевого участка
По ГОСТ 12080 - 66 длина l=100 мм.
Диаметр среднего участка вала чаще всего
определяется длинной
, величину которой
рассчитывают из условия долговечного контакта заплечиков вала и внутреннего
кольца подшипника.
(2.55)
где f - фаска внутреннего кольца подшипника, f =
3,5, [13]
.
.2.5 Предварительный выбор подшипников и
корпусов подшипниковых узлов
Подшипники качения подбираем по таблицам ГОСТ в
зависимости от направления действующих на подшипник нагрузок; диаметра цапфы,
на которую насаживают подшипник; характера нагрузки; угловой скорости
вращающегося кольца подшипника; желательного срока службы подшипника и его
наименьшей скорости.
Определение нагрузок, действующих на подшипники:
Осевая сила
.
Радиальная сила
Выбор типа подшипников:
Так как вал подвержен воздействию больших осевых
нагрузок и работает при повышенной температуре, то применим схему вала с одной
функционирующей опорой, в которой устанавливаем два однорядных конических
радиально-упорных роликоподшипника 7517 в корпусе (стакане) так как требуется
регулировка червячного зацепления, а на задний конец вала устанавливаем
однорядный радиальный шарикоподшипник 315 в плавающей опоре для облегчения
сборки передачи, а также для компенсации осевого удлинения вала при повышении
температуры. Характеристики предварительно выбранных подшипников [6].
Подшипник 7517-однорядный конический
радиально-упорный роликоподшипник; наружный диаметр D=150 мм; внутренний
диаметр d=85 мм; ширина В=36 мм; динамическая грузоподъемность С=201000 Н;
статическая грузоподъемность Со=180000 Н.
Подшипник 315-однорядный радиальный
шарикоподшипник; наружный диаметр D=160 мм; внутренний диаметр d=75 мм; ширина
В=37 мм; динамическая грузоподъемность С=11,2 кН; статическая грузоподъемность
Со=7,25 кН.
.2.6 Проверка долговечности предварительно
выбранных подшипников
Определение реакций опор:
На рисунке 2.7 представлена простейшая схема
приводного вала.
Рисунок 2.7 - Вычисляемая схема приводного вала
Плоскость XOY:
(2.56)
(2.57)
.
(2.58)
(2.59)
.
Проверка:
Плоскость ZOY:
(2.60)
(2.61)
(2.62)
(2.63)
.
Проверка:
Определяем суммарные реакции в опорах:
(2.64)
(2.65)
.
Определение эквивалентной динамической нагрузки:
а) Для фиксирующей опоры предварительно выбраны
подшипники 7517 с углом контакта 15038’32”, у которых

Для комплекта из двух подшипников
Отношение=1.9, что больше Е=0.39. Тогда
приминаем Х=0.67.
(2.66)
Эквивалентная динамическая нагрузка
(2.67)
где X - коэффициент радиальной нагрузки, X=1;-
коэффициент вращения, V=1,0…1,2; r - фактическая радиальная нагрузка
подшипника, Н;- коэффициент осевой нагрузки, Y=0;
Kσ - коэффициент
безопасности, зависящий от типа механизма, в котором установлен подшипник, и
характер действующий на него нагрузки, принимаем Kσ=1,1;
T - температурный коэффициент.
.
Определяем расчетный ресурс
(2.68)
где h - частота вращения вала, об/мин;-
динамическая грузоподъемность подшипника, Н;
- так как
подшипник роликовый;экв - эквивалентная динамическая нагрузка.
.
.
Для фиксирующей опоры можно принять подшипники
7517.
б) Для плавающей опоры назначен подшипник 315,
для которого
Эквивалентная динамическая нагрузка при V=1;
Кб=1.4; Кт=1;
.
Определяем расчетный ресурс:
Что значительно больше необходимого.
.2.7 Точный расчет приводного вала
Построение эпюр изгибающих и крутящих моментов:
Материал вала Сталь 40Х ГОСТ 1577-78.
;
Расчетная схема приводного вала с эпюрами
представлена на рис. 2.8
Рассмотрим на валу сечение 1-1 - находящееся под
червяком в месте приложения действующих сил и сечение 2-2, находящееся под
первой опорой.
Рисунок 2.8 - Расчетная схема приводного вала с
эпюрами
Определяем изгибающие моменты от действующих
сил:
В плоскости XOY (сечение 1-1)
(2.69)
в плоскости XOY (сечение 2-2)
(2.70)
в плоскости ZOY (сечение 1-1)
(2.71)
(2.72)
- взята со знаком
“+”, так как рассмотрен самый неблагоприятный случай, когда возникает
необходимость изменить направление вращения червяка.
Строим эпюры изгибающих моментов.
Определяем суммарные изгибающие моменты
сечение 1-1:
(2.73)
(2.74)
сечение 2-2:
.
Кроме того вал испытывает деформацию на кручение
на участке от муфты до сечения 1-1:∑
.
Опасным сечением является сечение 1-1, так как в
этом сечении, согласно эпюрам, крутящий и максимальный изгибающий моменты
наибольшие, но и диаметр вала в этом сечении наибольший, поэтому проведем также
расчет сечения 2-2, так как изгибающий момент в этом сечении близок к
максимальному моменту, а диаметр вала практически в два раза меньше, чем в
сечении 1-1.
Определяем напряжение изгиба
(2.75)
где М - изгибающий момент в сечении,
;-
осевой момент сопротивления в сечении,
.
сечение 1-1:
.
сечение 2-2:
.
Определяем напряжение кручения
(2.76)
где T - крутящий момент на валу,
;
Wp-полярный
момент сопротивления сечения вала.
сечение 1-1:
сечение 2-2:
.
Определяем расчетный коэффициент запаса
прочности в рассматриваемых сечениях:
(2.77)
где
и
-
коэффициенты запаса по нормальным и касательным напряжениям:
(2.78)
(2.79)
где
и
-
границы выносливости при изгибе и кручении,МПа;
и
-
амплитуды напряжений цикла;
и
-
средние напряжения цикла;
и
-
коэффициенты, учитывающие влияние постоянной составляющей цикла напряжений на
сопротивление усталости;
и
-
эффективные коэффициенты концентрации напряжении соответственно при изгибе и
кручении;
- коэффициент
влияния абсолютных размеров поперечного сечения
- коэффициент
влияния шероховатости.
сечение 1-1:
Материал вала сталь 40Х; НВ
240 [13];
;
;
и
-
так как вал подвержен частому реверсированию следует что
и
;
и
-
так как материал вала - легированная сталь;
;
;
;
.
Условие выполнено так как S>[S]
сечение 2-2:
Материал вала сталь 40Х; НВ
240 [13];
;
;
и
-
так как вал подвержен частому реверсированию следует что
и
;
и
-
так как материал вала - легированная сталь;
;
;
;
.
Условие выполнено.
.2.8 Выбор муфт
Для проектируемой передачи используется одна
муфта для передачи крутящего момента от электродвигателя на приводной вал.
Целесообразнее применить для этого зубчатую муфту, так как она способна
компенсировать любые погрешности в соосности валов в достаточно большом
диапазоне. Из выше проведенных расчетов известно, что величина передаваемого
валом электродвигателя момента
, диаметр выходного
конца вала электродвигателя и приводного вала равна 65 мм. В соответствии с
ГОСТ 5006-83 выбираем зубчатую муфту М3-4, которая способна передавать крутящий
момент до 5490 Н×м с максимальным числом
оборотов 3350 об/мин.
.2.9 Выбор шпонок и проверка прочности шпоночных
соединений
Шпоночное соединение устанавливается на
консольной части приводного вала. Шпонку подбираем по таблицам ГОСТ в
зависимости от диаметра вала и проверяем расчетом соединение на смятие.
При диаметре выходного конца вала 65 мм
подбирается призматическая шпонка bxh=18x11 мм. Длину шпонки принимаем из ряда
стандартных длин l=90 мм.
Расчётная длина шпонки:
=l - b, (2.80)
=90 - 18=72 мм.
Расчётное напряжение смятия:
(2.81)
где
М - крутящий момент на валу, Н×м;-
диаметр вала, м;p - расчетная длина шпонки, м;- высота шпонки, м;
[σсм] -
допускаемые напряжения смятия для шпонок изготовленных из стали; [σсм]=110…200
МПа.
Итак,
принимаем шпонку 18х11х90 ГОСТ 23360-78.
.3 Разработка общего вида выталкивателя
заготовок
На рисунке 2.9 показана простейшая схема
выталкивателя заготовок. Он состоит из роликов - 1, 2 и 6, водоохлаждаемой
штанги - 3, привода - 4, гидропривода передвижения тележки - 5.
Рисунок 2.9 - Простейшая схема выталкивателя
заготовок
.4 Разработка циклограммы работы оборудования
нагревательной печи
Прокатное производство охватывает процессы
получения изделий из металлов путем прокатки, т. е. путем деформации металлов
вращающимися валками. Изделия, получаемые прокаткой, или прокат, подразделяют
на полупродукты и готовый прокат. К полупродуктам относят блюмы квадратного и
прямоугольного поперечного сечения, слябы плоского поперечного сечения и заготовку
квадратного, прямоугольного и круглого сечения. Готовый прокат в зависимости от
формы поперечного сечения (профиля) подразделяют на листовой, сортовой, трубы и
специальные виды проката. Блюмы, слябы и заготовка прокатываются из слитков.
Готовый прокат производится из блюмов, слябов и заготовок, полученных прокаткой
из слитков или непрерывной разливкой
Требования к локальным системам автоматического
управления показателями процесса прокатки на стане определяются
технологическими соображениями, и в первую очередь требованиями, предъявленными
к качеству проката.
Наряду с автоматизацией прокатных станов важное
значение имеет также автоматизация агрегатов подготовки металла к прокатке и
отделки проката, в том числе нагревательных печей, травильных агрегатов, линий
термоупрочнения, различных агрегатов.
В течение 1985 - 1986 гг. с целью повышения
производительности печей и обеспечения нагрева заготовок увеличенного размера
(100 мм на стане 150 и 80 мм на стане 280) на печах проволочных станов
реализован комплекс технических мероприятий [15].
От печи старой конструкции новая печь (рисунок
2.10) отличается наличием заглушек в трубах охлаждения подины, насадок в
воздушных каналах горелок, каналов в монолитной подине для прохода горячих
дымовых газов из зоны высоких температур в дымоотводящий тракт, теплопроводного
огнеупорного слоя над каналами в подине, теплоизоляционного асбестового слоя. В
стенах томильной зоны выполнены колодцы для пропуска горячих дымовых газов в
каналы. Новая печь отличается от старой также отсутствием огнеупорных арок над
дымоотводящим каналом.
В 1984 г. после капитального ремонта печь стана
150 переведена на нагрев заготовки размером 100 мм вместо 80 мм. При этом с
целью улучшения условий нагрева металла и уменьшения оттока тепла в томильной
зоне были заглушены трубы охлаждения (30шт., диаметром 219 мм), заложенные в
подине проектом. В 1985 г. в зоне нагрева печи взамен проектной горелки
установлена горелка с воздушной насадкой, имеющей шесть тангенциальных
отверстий для подачи воздуха в зону горения. В 1986 г. над дымопадом печи на
длине около 2 м были демонтированы огнеупорные арки, составляющие монолитную
подину печи. В монолитной подине с целью подогрева подины и лучшего прогрева
заготовок были выполнены 46 каналов, обеспечивающих пропуск горячих дымовых
газов из томильной зоны в дымопад. Конструкция канальной подины с общей
площадью проходного сечения каналов 0,33 м2 позволила реализовать принцип
“горячего” пода при нагреве металла в методических печах с монолитным подом.
При этом нагрев металла осуществляется не только сверху, но и снизу, через
сплошной под. Под действием перепада давлений в томильной зоне печи и дымопаде
часть высокотемпературных дымовых газов из томильной зоны поступает в каналы,
нагревает подину над каналами до температуры, превышающей температуру нижней
поверхности металла, и, отдав тепло подине, удаляется в дымопад.
Для реализации направленной теплопередачи от
подины к металлу подина ниже каналов выполнена из шамотного легковеса с
асбестовой изоляцией, а выше каналов - из шамота класса Б с корундовыми
дорожками и направляющими из рейтерного сплава. Для повышения теплопередачи в
каналах пода и через кладку пода над каналами разработаны специальные меры.
Существующие каналы в подине печи в сечении имеют форму прямоугольника (133 х
65 мм), и, следовательно, большую поверхность теплообмена с огнеупорным
основанием, при этом потери тепла в огнеупорное основание остается сравнительно
большие. Теплопередача излучением от поверхности канала и теплоносителя к
подине, расположенной над каналами, недостаточно высока, так как для канала
прямоугольной формы максимальная теплопередача достигается при угловом
коэффициенте φ = 0,5.
Предложено канал для прохода теплоносителя
образовать частью цилиндрической поверхности основания и нижней поверхностью
подовой плиты, при этом поперечное сечение канала выполнить в виде сегмента с
постоянным радиусом. Такая форма канала позволит снизить площадь теплообмена с
огнеупорным основанием и уменьшить потери тепла, при этом φ
возрастает
до 0,65, что способствует увеличению теплоотдачи излучением к подовой плите и,
следовательно, к нижней поверхности металла. В качестве дополнительных мер по
улучшению технико-экономических показателей работы печей была проведена замена
рекуператоров печей на новые, позволившая повысить температуру подогрева
воздуха на 50 - 70 0С и тем самым сократить расход топлива.
Нагревательная печь изображена на рисунке 2.10.
Рисунок 2.10 - Нагревательная печь
Заглушка подовых охлаждающих труб в томильной
зоне печи позволила уменьшить отток тепла через огнеупорный под и повысить его
температуру на глубине300 - 400 мм в среднем (по длине замеров) с 800 - 830 до
855 - 930 0С, т.е. на 55 - 100 0С, что, безусловно, улучшило условия нагрева
нижней поверхности заготовки. Температура металла на выдаче из печи составила
1100 - 1200 0С, а разница температур между верхней и нижней поверхностью 20 -
30 0С. заглушка охлаждающих труб позволила в поду печи создать теплоизолирующий
слой из неподвижного воздуха в трубах.
Циклограмма работы печного оборудования
изображена на рис. 2.11
Рисунок 2.11 - Циклограмма работы печного
оборудования
2.5 Расчет и проектирование токарного проходного
резца
Для чернового точения наружных поверхностей
червяка на заготовке из стали 40Х с sВ= 700МПа (»70кгс/мм2),
необходимо рассчитать и сконструировать проходной резец. Исходная заготовка
круглый прокат диаметром D=150h14 обрабатывают на токарно-винторезном станке.
Принимаем припуск на обработку (на сторону)
h=3,5 мм, подача на оборот S0=0,5 мм, вылет резца ℓ=60 мм,
скорость главного движения резания
.5.1 Выбор материала корпуса резца
В качестве материала для корпуса резца выбираем
углеродистую сталь 50 с
и допустимым
напряжением на изгиб
.
.5.2 Главная составляющая силы резания
(2.82)
где - согласно справочных таблиц [16] определяем
значения коэффициентов:
СPz=300;
XPz=1,0; YPz=0,75;
NPz=-0,15.
Для заданных условий обработки вводим
поправочные коэффициенты:
на характеристику механических свойств
обрабатываемой стали с
=70 кгс/мм2.
(2.83)
где
=0,75
- поправочный коэффициент.
на главный угол в плане φ=90°
К∅Pz=0,89,
на угол наклона режущей кромки γ=+5°
К𝛾Pz=1,0.
Определяем составляющую силу
,
имея ввиду, что общий поправочный коэффициент:
(2.84)
2.5.3 Ширина сечения корпуса резца
(2.85)
где PZ
- главная составляющая силы резания, кгс;
- вылет резца, м;
- допустимое
напряжение при изгибе материала резца, Па
Принимаем ближайшее большее сечение корпуса b=16
мм.
Находим высоту корпуса резца:
(2.86)
Принимаем h=25 мм.
.5.4 Проверяем прочность и жесткость корпуса
резца
Расчет максимальной нагрузки, допускаемой
прочностью резца
(2.87)
где b - ширина корпуса резца, м;- высота корпуса
резца, м.
Расчет максимальной
нагрузки, допускаемой жесткостью резца
(2.88)
где f - допускаемая стрела прогиба резца при
черновом точении, м,
м;
Е - модуль упругости материала корпуса резца,
Па,
Па;
- вылет резца, м;-
момент инерции прямоугольного сечения корпуса, м4.
(2.89)
Резец обладает достаточными прочностью и
жесткостью, так как
.
Конструктивные размеры резца берем по СТ СЭВ
190-75; общая длина резца L=120 мм; радиус кривизны вершины лезвия rB=1,0 мм;
пластина из твердого сплава,
=15 мм, форма №
0239 А по ГОСТ 2209-82.
.5.6 Выбор геометрических элементов лезвия резца
Геометрические элементы лезвия резца выбираем по
карте 18 справочника [17].
На рисунке 2.12 изображена форма передней
поверхности - плоская с отрицательной фаской.
Рисунок 2.12 - Геометрические элементы лезвия
резца
.5.7 Выбор технических условий изготовления
резца
Технические условия изготовления резца назначаем
согласно ГОСТ 5688-61.
Параметры шероховатости:
передней поверхности лезвия резца - Ra= 0,4 мкм;
задней поверхности лезвия резца - Ra= 1,6 мкм;
опорной поверхности корпуса резца - Ra= 3,2 мкм.
Предельные отклонения габаритных размеров резца
по h14.
Материал корпуса резца - сталь 50 ГОСТ 1050-88.
Марка твердого сплава пластины - Т5К10 ГОСТ
3882-74.
Маркировку нанести на одной из боковых сторон
резца:
Маркировать марку твердого сплава, размер резца,
товарный знак завода-изготовителя.
.6 Разработка кинематической схемы привода
главного движения фрезерного станка
.6.1 Построение структурной сетки
Для облегчения кинематического расчета сложных
коробок скоростей применяют графоаналитический метод, который заключается в
графическом изображении чисел оборотов и передаточных отношений в виде графиков
чисел оборотов и структурных сеток [19].
Структурная формула выбирается в соответствии с
заданным количеством частот вращения:
(2.90)
1=3;
P2=2; P3=3.
В итоге получаем:
Структурная схема подбирается по ранее найденной
формуле привода и изображена на рисунке 2.13
Рисунок 2.13 - Структурная схема привода
Одна из групповых передач является основной.
Характеристика этой группы всегда является единицей.
Вторая группа является первой переборной.
Характеристика первой переборной группы численно равна количеству передач в
основной группе.
Существует вторая переборная группа,
характеристика которой численно равна произведению передач основной и первой
переборной групп.
.6.2 Построение графика чисел оборотов
Выбираем электродвигатель с n=720 мин -1.
Значения чисел оборотов заносим в таблицу 2.5.
Таблица 2.5 - Ряд частот вращения шпинделя
|
Обозначение
|
Значение,
мин -1
|
|
расчетное
|
нормализованное
|
|
n1
|
20
|
20
|
|
n2
|
25,2
|
25
|
|
n3
|
31,75
|
31,5
|
|
n4
|
40,01
|
40
|
|
n5
|
50,41
|
50
|
|
n6
|
63,52
|
63
|
|
n7
|
80,03
|
80
|
|
n8
|
100,84
|
100
|
|
n9
|
127,06
|
125
|
|
n10
|
160,09
|
160
|
|
n11
|
201,71
|
200
|
|
n12
|
254,16
|
250
|
|
n13
|
320,24
|
315
|
|
n14
|
403,5
|
400
|
|
n15
|
508,4
|
500
|
|
n16
|
640,6
|
630
|
|
n17
|
807,15
|
800
|
Запись структурной формулы с помощью характеристик.
Формула запишется следующим образом:
(2.91)
Проводим столько горизонтальных линий, сколько
валов имеет привод; столько вертикальных линий, сколько частот вращения. На
данном поле вычерчиваем структурную сетку (рисунок 2.14).
Рисунок 2.14 - Структурная сетка
Построение графика чисел оборотов (рисунок 2.15)
ведется с учетом просчитанного ряда чисел оборотов и выбранного
электродвигателя [20]. Если луч отклоняется влево, то он означает понижающее
передаточное отношение(<1). Если луч отклоняется вправо - передача
повышающая (>1).
Рисунок 2.15 - График чисел оборотов
.6.3 Построение кинематической схемы привода
Числа зубьев определяются исходя из условия:
,(2.92)
Числа зубьев передач заносим в таблицу 2.6
Таблица 2.6 - Числа зубьев передач
|
Группа
|
Передаточное
отношение
|
Значение
|
∑Z
|
Zш
|
ZK
|
|
Р1=3
|
U1
|
1/0,4
|
60
|
Z1=17
|
Z4=43
|
|
U5
|
1/0,5
|
|
Z2=20
|
Z5=40
|
|
U6
|
1/0,635
|
|
Z3=23
|
Z6=37
|
|
Р2=2
|
U7
|
1,59
|
52
|
Z9=20
|
Z7=32
|
|
U8
|
1/0,794
|
|
Z8=23
|
Z10=29
|
|
Р3=3
|
U4
|
1/0,5
|
54
|
Z11=18
|
Z14=36
|
|
U9
|
1
|
|
Z12=27
|
Z15=27
|
|
U10
|
2
|
|
Z16=18
|
Z13=36
|
|
1-ая
одиночная
|
U2
|
1/0,315
|
66
|
Z17=16
|
Z18=50
|
|
2-ая
одиночная
|
U3
|
1/0,635
|
52
|
Z19=20
|
Z20=32
|
Построение кинематической схемы
Кинематическая схема изображена на рисунке 2.16.
Рисунок 2.16 - Кинематическая схема привода
гидропривод выталкиватель токарный
червяк
3. Технологическая часть. Разработка технологии
изготовления червяка привода выталкивателя заготовок
.1 Описание конструкции и назначения детали
На выходном участке монтируется муфта МЗ-4,
которая осуществляет вращения.
Деталь изготовляется из стали 40х ГОСТ 1577-93 и
подвергается закалке.
.2 Анализ технологичности конструкции детали
Материал для изготовления детали - сталь 40х -
дешёвый и востребованный материал.
У детали нет трудных мести для обработки, а
значит ее будем обрабатывать на стандартном оборудовании и стандартным
инструментом.
.3 Выбор способа изготовления заготовки
Припуски и предельные размеры по технологическим
переходам представлены в таблице 3.1
Таблица 3.1 - Припуски и предельные размеры по
технологическим переходам
|
Технологические
переходы обработки поверхности
|
Элементы
припуска
|
Расчетный
припуск 2zmin
i, мкм
|
Расчетный
размер dр, мм
|
Допуск
δ,
мкм
|
Предельный
размер, мм
|
Предельные
значения
|
|
1
|
2
|
3
|
4
|
5
|
6
|
7
|
|
Rz
|
T
|
ρ
|
|
|
|
dmin
|
dmax
|
2z
|
2z
|
|
Заготовка
- прокат
|
200
|
300
|
250
|
|
150,000
|
1000
|
149,000
|
150,000
|
|
|
|
Обтачивание:
предварительное
|
50
|
50
|
14
|
|
142,251
|
100
|
142,300
|
142,400
|
6600
|
7700
|
|
окончательное
|
30
|
30
|
10
|
|
140,000
|
40
|
139,960
|
140,000
|
2300
|
2440
|
|
ИТОГО
|
|
|
|
|
|
|
|
|
8900
|
10140
|
|
|
|
|
|
|
|
|
|
|
|
|
|
|
|
|
|
|
|
|
Размеры и предельные отклонения по другим
поверхностям заготовки определяем по ГОСТ 7829-70.
На рисунке 3.1 представлена схема припусков
Рисунок 3.1 - Схема припусков
.4 Подбор типового оборудования и приспособлений
В таблице 3.2 представлен подбор оборудования и
технологической оснастки
Таблица 3.2 - Подбор оборудования и
технологической оснастки
|
Операция
|
Модель
станка
|
Характеристика
|
|
1
|
2
|
3
|
|
Токарная
|
Токарно-винторезный
станок с ЧПУ 16К20Ф3С5 Оснастка: поводковый патрон; вращающийся центр
|
Наибольший
диаметр обрабатываемой детали - 400 мм; наибольшая длина перемещения - 900
мм; перемещение поперечного суппорта - 250 мм; мощность электродвигателя
движения - 10 кВт.
|
|
Фрезерная
|
Фрезерный
станок 6Д91 (шпоночно-фрезерный) Оснастка: приспособление на станке (тиски)
|
Ширина
фрезеруемого паза - 6…32мм; наибольшая длина фрезеруемого паза - 600 мм;
мощность электродвигателя главного движения 2,2 кВт; привода подач - 1,5 кВт.
|
|
Кругло-шлифовальная
|
Кругло-шлифовальный
станок 3М151 Оснастка: поводковый патрон; вращающийся центр
|
Наибольшие
размеры обрабатываемой заготовки: диаметр - 200 мм; длина - 700 мм; наибольшие
размеры шлифовального круга - 600х100х305; мощность электродвигателя главного
движения - 10 кВт
|
|
Сверлильная
|
Радиально-сверлильный
станок 2К52 Оснастка: тиски.
|
Наибольший
диаметр сверления 25 мм; расстояние от торца шпинделя до плиты - 0…1000 мм;
мощность электродвигателя - 1,5 кВт
|
|
|
|
|
.5 Подбор оптимальных типа и формы организации
производства
Коэффициент закрепления операций:
(3.1)
где Q - число различных операций;
РМ- число рабочих.
Количество станков:
(3.2)
где N - годовой выпуск d -годовой
объем времени,
η - нормативный
коэффициент загрузки
3.5.1 Токарный процесс
.5.2 Процесс фрезеровки
.5.3 Шлифовальный процесс
.5.4 Сверлильный процесс
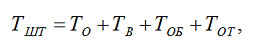
.5.5 Вычисляем коэффициент загрузки
(3.3)
(3.4)
(3.5)
(3.6)
Коэффициент закрепления операций:
3.5.6 Вычисляем количество деталей в партии
(3.7)
где а - периодичность запуска в днях;- число
дней в году.
шт.
.6 Подбор технологических переходов
Операция - Токарная
Точить по контуру:
Ø90 на L 145 мм;
Ø77 на L 35 мм;
Точить начисто
Ø75 на L 35 мм;
Переустановить и точить по контуру:
Ø142 на L 500 мм;
Ø100 на L 285 мм;
Ø67 на L 100 мм;
Ø77 на L 50 мм;
Ø82 на L 50 мм;
Ø87 на L 70 мм;
Ø90 на L 55 мм;
Точить по контуру начисто:
Ø80 на L 50 мм;
Ø140 на L 160 мм;
Точить начисто:
Ø65 на L 100 мм;
Ø75 на L 50 мм;
Ø85 на L 70 мм;
Точить канавку под выход резьбового резца.
Нарезать резьбу М80 шаг 2 на L 50 мм;
Нарезать витки червяка на L 160 мм.
Фрезерная операция
Фрезеровать шпоночный паз на L 90 мм;
Сверлильная:
сверлить два отверстия 10,3 на глубину 30 мм под
резьбу М 12.
нарезать внутреннюю резьбу М 12.
Кругло-шлифовальная операция
Предварительное шлифование
Предварительно шлифовать следующие участки за
два установа:
Ø75 на L 35 мм;
Ø65 на L 100 мм;
Ø75 на L 50 мм;
Ø85 на L 70 мм.
Окончательное шлифование:
Шлифовать окончательно за два установа:
Ø75 k6 на L 35 мм;
Ø65 n6 на L 100 мм;
Ø75 h6 на L 50 мм;
Ø85 k6 на L 70 мм.
3.7 Подбор режущих инструментов
Подбор режущего инструмента представлен в
таблице 3.3
Таблица 3.3 - Подбор режущего инструмента
|
Операция
и переходы
|
Режущие
инструменты
|
Материал
режущей части
|
ГОСТ
инструмента
|
|
Токарная
установ 1
|
Резец
токарный проходной
|
Т5К10
|
ГОСТ
18877-73
|
|
Токарная
установ 2
|
Резец
токарный проходной
|
Т5К10
|
ГОСТ
18877-73
|
|
Резец
токарный проходной
|
Т15К6
|
ГОСТ
18879-73
|
|
Резец
канавочный наружный
|
Р6М5
|
ТУ2-035-558-77
|
|
Резец
резьбовой
|
Т5К10
|
ГОСТ
18885-73
|
|
Резец
токарный фасонный
|
ГОСТ
18877-73
|
|
Фрезерная
|
Фреза
концевая с цилиндрическим хвостовиком
|
Р6М5
|
ГОСТ
9140-78
|
|
Сверлильная
|
Сверло спиальное Метчик М12
|
Р6М5
Р6М5
|
ГОСТ
10903-77 ГОСТ 9522-60
|
|
Шлифовальная
|
Абразивный
круг
63С40СМ26К5
|
Карбид Si
|
ГОСТ
16175-90
|
.8 Подбор режимов резания и времени операций
Скорость резания:
(3.8)
где D - наибольший обрабатываемый диаметр, мм;-
число оборотов станка, об/мин.
Основное время:
(3.9)
где L - длина обработки, мм;- число оборотов
станка, об/мин;- подача станка, мм/об;- число проходов.
Штучно-калькуляционное время для 1 установа
токарной операции:
(3.10)
где Тп-з -
подготовительно-заключительное время, мин (60 мин.);- количество деталей в
партии, шт.;
ТШТ - штучное время, мин.
(3.11)
где То - основное время, мин;
Тв - вспомогательное время, мин. Вспомогательное
время состоит из затрат времени на отдельные приемы:
Тв = Ту.с.+Тз.о.+Туп+Тиз, (3.12)
где Ту.с - время на установку и снятие детали,
мин;
Тз.о - время на закрепление и снятие детали,
мин;
Туп - время на процессы управления, мин;
Тиз - время на измерение, мин.
Тв == 0,23 + 0,128 + 0,1 + 0,3 = 0,758 мин.
Тоб - время на обслуживание рабочего места, мин
(3% от Т0 = 0,135);
Тот-время перерывов на отдых, мин(6% от Т0).
В таблице 3.4 приведены режимы резания и
нормативное время операций.
Таблица 3.4 - Режимы резания и уточненное
нормирование времени операций
|
Технологические
переходы
|
Элементы
режима резания
|
Т0,
мин
|
ТШ.К.,мин
|
|
t, мм
|
V, м/мин.
|
S, мм/об
|
|
|
|
1
|
2
|
3
|
4
|
5
|
6
|
|
Токарная,
1 установ. Точить наружную поверхность Ø 90 мм. по
контуру на 145 мм.
|
5
|
188,4
|
0,5
|
4,5
|
9,2
|
|
Точить
наружную поверхность Ø
77 мм.
по контуру на 35 мм.
|
3
|
113,0
|
0,5
|
0,35
|
|
|
Точить
наружную поверхность Ø
75 мм.
окончательно на 35 мм.
|
1
|
96,7
|
0,35
|
0,25
|
|
|
Токарная
, 2 установ. Точить наружную поверхность Ø 142 мм. по
контуру на 495 мм.
|
4
|
188,4
|
0,5
|
2,48
|
51,7
|
|
Точить
наружную поверхность Ø
100 мм
по контуру на 355 мм.
|
7
|
178,4
|
0,5
|
5,32
|
|
|
Точить
наружную поверхность Ø
68 мм.
по контуру на 145 мм.
|
4
|
125,6
|
0,5
|
2,00
|
|
|
Точить
наружную поверхность Ø
80 мм.
по контуру на 50 мм.
|
5
|
125,6
|
0,5
|
0,50
|
|
|
Точить
наружную поверхность Ø
82 мм.
по контуру на 50 мм.
|
3
|
125,6
|
0,5
|
0,75
|
|
|
Точить
наружную поверхность Ø
88 мм.
по контуру на 70 мм.
|
6
|
125,6
|
0,5
|
0,35
|
|
|
Точить
наружную поверхность Ø
65n6
окончательно на 100 мм.
|
1,5
|
106,8
|
0,35
|
0,57
|
|
|
Точить
наружную поверхность Ø
75n6
окончательно на 50 мм.
|
2,5
|
125,6
|
0,35
|
0,29
|
|
|
Точить
наружную поверхность Ø
80 окончательно
на 50 мм.
|
1
|
128,7
|
0,35
|
0,29
|
|
|
Точить
наружную поверхность Ø
85k6
окончательно на 70 мм.
|
1,5
|
138,2
|
0,35
|
0,4
|
|
|
Точить
наружную поверхность Ø
140-0,032
окончательно на 160 мм.
|
1
|
178,4
|
0,35
|
1,14
|
|
|
Нарезать
резьбу М80х2 на 50 мм.
|
3
|
6,28
|
2
|
4,00
|
|
|
Нарезать
витки червяка на 160 мм.
|
-
|
50
|
-
|
28,8
|
|
|
Фрезерная
операция Фрезеровать шпоночный паз h=7 мм, b=18 мм. на
78 мм.
|
7
|
17,8
|
0,31
|
0,91
|
2,31
|
|
Сверлильная
операция Сверлить два отверстия Ø 10,3 мм. на
глубину 30 мм
|
30
|
12,9
|
0,15
|
0,5
|
1,94
|
|
Нарезать
резьбу М12 в отверстиях на глубину 30 мм.
|
30
|
2,38
|
2
|
0,24
|
|
|
|
|
|
|
|
|
|
|
В таблице 3.5 приведены режимы резания при
шлифовальной операции.
Таблица 3.5 - Режимы резания при шлифовании
|
Технологические
переходы
|
Элементы
режима резания
|
Т0,
мин
|
ТШ.К.,
мин
|
|
t, мм
|
V, м/с.
|
S, мм/об
|
|
|
|
1
|
2
|
3
|
4
|
5
|
6
|
|
1
Установ. Предварительно шлифовать Ø 65,3 мм на 100
мм.
|
0,1
|
26
|
1,2
|
0,08
|
0,53
|
|
Предварительно
шлифовать Ø
75,3 мм
на 50 мм.
|
0,1
|
26
|
1,2
|
0,04
|
|
|
Предварительно
шлифовать Ø
85,3 мм
на 70 мм.
|
0,1
|
26
|
1,2
|
0,06
|
|
|
Окончательно
шлифовать Æ 65,1 на
100 мм.
|
0,1
|
26
|
1,0
|
0,10
|
|
|
Окончательно
шлифовать Æ 85,1 на
70 мм.
|
0,1
|
26
|
1,0
|
0,07
|
|
|
2
Установ. Предварительно шлифовать Ø 65,3 мм на 100
мм.
|
0,1
|
26
|
1,2
|
0,03
|
0,21
|
|
Окончательно
шлифовать Æ 85,1 на
70 мм.
|
0,1
|
26
|
1,0
|
0,04
|
|
4. Безопасность и экологичность проекта
.1 Анализ опасных и вредных производственных
факторов
В таблице 4.1 представлен анализ опасных
производственных факторов
Таблица 4.1 - Анализ опасных производственных
факторов
|
Наименование
операций (оборудования), создающих опасность
|
Вид
воздействия на человека
|
|
1.
Нагревательная печь
|
Травмы
персонала
|
|
2.Искривление
или застревание заготовки, приводящее к ударам, поломке оборудования
|
Травмы
персонала
|
|
2.
Разрыв соединительных муфт
|
Травмы
персонала
|
|
3.
Механические повреждения отлетающими осколками прокатываемого металла и
окалины
|
Травмы
персонала, повреждение оборудования
|
|
4.Электр-омостовые
краны
|
Травмы
персонала
|
|
5.
Электрооборудование
|
|
В таблице 4.2 представлены характеристики
вредных производственных факторов
Таблица 4.2 - Характеристика вредных
производственных факторов
|
Наименование
фактора
|
Величина
показателя
|
Влияние
на жизнедеятельность человека
|
|
норма
|
факт
|
|
|
Температура
воздуха в рабочей зоне, ˚С
|
|
|
Ухудшение
общего состояния здоровья
|
|
теплый
период года
|
21-23
|
25
|
|
|
холодный
период года
|
18-20
|
20
|
|
|
Относительная
влажность, %
|
|
|
Ухудшение
видимости
|
|
теплый
период года
|
40-60
|
70
|
|
|
холодный
период
|
40-60
|
60
|
|
|
Скорость
движения воздуха, м/с
|
|
|
Ухудшение
общего состояния здоровья
|
|
теплый
период года
|
0,4
|
0,4
|
|
|
холодный
период
|
0,3-0,4
|
0,3
|
|
|
Кратность
воздухообмена в помещении
|
5
|
3
|
Ухудшение
общего состояния здоровья
|
|
Освещенность
на рабочем месте, лк
|
|
|
Ухудшение
видимости, дискомфорт
|
|
-искусственное
|
150
|
150
|
|
|
-совмещенное
|
200
|
250
|
|
|
Аварийная
освещенность на рабочих местах на путях эвакуации, лк
|
не
менее 0,5
|
100
|
Ухудшение
видимости, дискомфорт
|
|
Концентрация
абразивной пыли в воздухе рабочей зоны, мг/м3.
|
4
|
3,5
|
Раздражение
кожного покрова, слизистой оболочки глаз, дыхательных путей
|
|
Уровень
шума, дБА
|
80
|
88
|
Понижение
уровня слуха.
|
|
Уровень
вибрации, дБ
|
101
|
70
|
Вызывает
раздражение нервной системы
|
.2 Расчеты
.2.1 Расчет уровня звукового давления
(4.1)
где апр - приведенный коэффициент
звукопоглощения; - минимальная, технологически необходимая площадь для
размещения машин данного типа с учетом проходов для обслуживания и ремонта, м.
Прокатная клеть излучает в октаве 500 Гц
звуковую мощность с уровнем L=80дБ и для установки требуется 5м. Принимая для
необлицованного помещения
=0,12 получим
уровень звукового давления:
(4.2)
Необходимо снизить уровень шума на 10 дБ
Для уменьшения уровня звука используют защитные
средства, имеющие большие значения поглощения, например, пористые и резонансные
поглотители [29].
Расчет поток энергии:
(4.3)
где ρ - плотность
воздуха, кг/м3;- звуковая мощность, Вт;- единичная площадка, м2;
α - коэффициент
звукопоглощения
Вт/м2.
Вычисление потока энергии в изолированном
объеме:
Iп
= I+4Iд,
(4.4)
п =
46,84·10-9+4·50,5·10-10 = 67·10-9, Вт/м2.
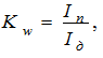
Коэффициент защиты до и после установки
поглощающего материала вычисляем по формуле:
(4.5)
Вычислим эффективность звукопоглощения:
= 10·lgKw, (4.6)
= 10·lg13,3 = 11,2.
4.2.2 Расчет освещенности участка
Световой поток лампы:
(4.7)
где Е - нормируемая освещенность, лк;- площадь
помещения, м2;- коэффициент запаса (для прокатных цехов k = 1,5);
h - коэффициент использования светового потока, -
поправочный коэффициент - число ламп в светильнике;- число светильников.
Показатель помещения:
(4.8)
где А и В - периметр помещения, м;
- высота на
которой установлен светильник, м;
А =30 м; В = 18 м; = 12 м.
Выбираем лампы типа ДРЛ: принимаем h
= 38
(4.9)
Нормированное значение коэффициента естественной
освещенности
(4.10)
где N - номер группы обеспеченности естественным
светом по табл. 4;
ен - значение КЕО ен = 2%;
ТN - коэффициент светового климата ТN
= 1,1.
Размеры световых проемов рассчитывают в
соответствии с нормированным значением Eв=0,3 [4].
В районе нагревательной печи обычно используется
смешанное освещение, а в ночное время - искусственное.
.3 Меры по обеспечению нормальной работы в
условиях чрезвычайной ситуации
В таблице 4.5 представлена оценка возможных
чрезвычайных (аварийных) ситуаций на проектируемом объекте
Таблица 4.5 - Оценка возможных чрезвычайных
(аварийных) ситуаций на проектируемом объекте
|
Отклонение
параметров, возникновение аварийных ситуаций
|
Возможный
ущерб
|
Мероприятия
защиты
|
|
травма
человека
|
летальное
поражение человека
|
постоянное
(хроническо) вредное воздействие
|
отказ
оборудования
|
срыв
задания работ
|
разрушение
зданий и оборудования
|
ущерб
окружающей среде
|
|
|
1.
Отказ оборудования.
|
+
|
-
|
-
|
+
|
+
|
-
|
-
|
Правильное
соблюдение инструкций и технологических процессов.
|
|
2.
Отклонение технических показателей.
|
-
|
-
|
+
|
+
|
-
|
-
|
Аварийное
включение электроэнергии.
|
|
3.
Отключение электроэнергии от общей сети питания.
|
-
|
-
|
-
|
+
|
+
|
-
|
-
|
Остановка
стана.
|
|
4.
Возникновение пожароопасной ситуации.
|
+
|
+
|
+
|
+
|
+
|
+
|
-
|
Правильное
соблюдение инструкций и технологических процессов.
|
Заключение
В ходе выполнения ВКР была проведена работа по
изменению выталкивателя заготовок нагревательной печи стана 150 сортопрокатного
цеха ПАО “Северсталь” с целью уменьшения выхода бракованного проката и затрат
на ремонт, что позволит более выгодно реализовывать проекты заказчиков.
Представлена улучшенная версия гидравлического
привода продольного перемещения выталкивателя; показан общий вид
усовершенствованного выталкивателя; разработаны технология производства
приводного вала редуктора выталкивателя и циклограмма работы печного
оборудования; в работе приведен анализ техники безопасности.
После внедрения данной технологии снизится брак
при выдаче заготовки из печи, повысятся качество и точность выпускаемой
катанки, следовательно, увеличится производительность стана.
Список использованных источников
1. Коновалов Ю.В. Справочник
прокатчика / Ю.В.Коновалов, Г.И. Налча, К.Н. Савранский. - М.: Металлургия,
1977. - 312 с.
2. Гаврилин Е.Ф. Контроль
дефектов проката / Е.Ф. Гаврилин, И.П. Шулаев. - М.: Металлургия, 1991. - 112
с.
. Свешников В.К. Станочные
гидроприводы. Справочник. Издание 3-е переработанное и дополненное / В.К.
Свешников - М.: Машиностроение, 1995. - 448 с.
. Башта Т.М. и др.
Гидравлика, гидромашины и гидроприводы. Учебник для машиностроительных вузов.
Издание 2-е переработанное. - М.: Машиностроение, 1992. - 423 с.
. Гидропневмопривод и
гидропневмоавтоматика станочного оборудования. Методические указания к
выполнению курсовой работы. Часть 1.Статический расчет и конструирование
гидропривода. - Вологда: ВоГТУ, 1999. - 29 с.
. Бейзельман Р.Д. Подшипники
качения. Справочник. Издание 6-е переработанное и дополненное. - М.:
Машиностроение, 1975. - 575 с.
7. Ерохин М.Н. Детали машин и
основы конструирования. - М.: Колосс, 2004. - 464 с.
8. Иванов М.Н. Детали машин. -
М.: Высшая школа, 1991. - 383 с.
. Кравчик А.Э. Асинхронные
двигатели серии 4А. Справочник. - М.: Энергоиздат, 1982. - 504 с.
. Мягков В.Д. Допуски и
посадки. Справочник: в 2-х частях. Часть 1. - Ленинград: Машиностроение, 1982.
- 543 с.
. Детали машин: Методические
указания к курсовому проекту. Энергокинематический расчет привода. - Вологда:
ВоГТУ, 2003. - 24 с.
. Детали машин: Методические
указания к курсовому проекту. Расчет червячных передач. - Вологда: ВоГТУ, 2003.
- 16 с.
. Детали машин: Методические
указания к курсовому проекту. Расчет и конструирование валов. - Вологда: ВоГТУ,
2001. - 25 с.
. Кузьменко А.Г. Мелкосортные
и проволочные станы. Состояние, проблемы, перспективы. М.: Металлургия, 1996. -
364 с.
. Производство проката на
проволочном стане 150: Технологическая инструкция. - Череповец: 1997. - 60 с.
16. Абрамов Ю. Справочник
технолога-машиностроителя. Т. 2 / Ю. Абрамов, В. Андреев, Б. Горбунов [и др.];
под ред. А. Косиловой, Р. Мещерякова. - М.: Машиностроение, 1986.-496 с.
17. Баклунов Е. Справочник
металлиста. Т. 3/ Е. Баклунов, А. Белопухов, М. Жебин [и др.]; под ред. Л.
Малова.-М.: Машиностроение, 1977.-748 с.
18. Методические указания к
выполнению курсовой работы. Часть 1. Резцы и протяжки. Для специальности 120100
"Технология машиностроения"
/ сост.: С.С. Рябинин. - Вологда:
ВоГТУ, 2001. -31 с.
19. Блюмберг В.А., Зазерский Е.И.
Справочник токаря.- Л.:Машиностроение, 1981.- 406 с.
20. Свирщевский Ю.М., Макейчик
Н.Н. Расчет и конструирование коробок скоростей и подач - Минск: Высшая школа,
1976.-246 с.
21. Горбацевич А.Ф., Шкред В.А.
Курсовое проектирование по технологии машиностроения. -Минск. Высшая школа,
1983.-256 с.
. Рапорт производства по СПЦ за
2006г.
. Белов С.В. Безопасность
жизнедеятельности / С.В. Белов, - М.: Высшая школа, 1999. - 448 с.
24. Бринза В.Н. Охрана труда в
черной металлургии / В.Н. Бринза, М.М. Зиньковский. - М.: Металлургия, 1982. -
336 с.
25. Техника безопасности и
производственная санитария. Справочник / под. ред. М.М. Зиньковского. М.:
Металлургия, 1984. - 232 с.
. Хван Т.А. Основы безопасности
жизнедеятельности / Т.А. Хван, П.А. Хван. - Ростов-на-Дону: Феникс, 2000. - 384
с.
27. Строительные нормы и правила.
Естественное и искусственное освещение : СНиП 23 - 05 - 95: введ. 02.08.95. -
М.: ФГУП ЦПП, 2004. - 53 с.
. Система управления окружающей
средой. Руководство по управлению окружающей средой: Р - ПБ - 4.1.01 - 03:
введ. 12.11.2003. - Череповец: Северсталь, 2003. - 57 с.
29. Безопасность производства.
Организация пожарной безопасности: СТП - ПБ - 3.3.06 - 02: введ: 04.06.2002. -
Череповец: Северсталь, 2002. - 34 с.