Усовершенствованное антиадгезионное покрытие
Содержание
Введение
. Обзор и анализ литературных источников
.1 Антиадгезионные покрытия, применяемые в пищевой
промышленности и их характеристики
.2 Теоретические исследования качества и параметров
антиадгезионных покрытий
.3 Теории адгезии
.3.1 Адсорбционная теория
.3.2 Диффузионная теория адгезии
.3.3 Химическая теория адгезии
.3.4 Электрическая теория адгезии
.4 Смачивание
.4.1 Краевой угол
.4.2 Работа адгезии и когезии
.5 Светопропускание оксидов металла. Оптическая плотность
2. Объекты и методы исследования
2.1 Объекты исследования
.2 Методы исследования
.2.1 Методы очистки поверхности
.2.1.1 Мойка водой
.2.1.2 Обезжиривание поверхностей
.2.1.3 Обезвоживание поверхностей изделий
.2.2 Метод распыления пульверизатором из спиртовых растворов
.2.3 Метод растекающейся капли (лежачей)
.2.4 Метод прикреплённого пузыря (сидячая капля)
.2.5 Методика измерения оптической плотности
.2.6 Метод определения сопротивления ГОСТ 31770-2012
. Экспериментальные данные и их анализ
.1 Технология получения нанопокрытия
.2 Очитка субстрата (предметного стекла)
.3 Технология нанесения нанопокрытия
.3.1 Измерения краевого угла смачивания методом растекающейся
капли
.3.2 Измерения краевого угла смачивания методом
прикреплённого пузыря
.3.3 Измерение светопропускания покрытий оптическим методом
.3.4 Измерение сопротивления с помощью ВИК ̶ УЭС
. Экономические расчеты
.1 Актуальность производства
.2 Конкуренты и аналоги
.3 Организация процесса производства
Заключение
Список использованной литературы
Введение
Актуальность исследования. Главная проблема пищевых, стекольных и
керамических предприятий является прилипание полуфабриката или загрязнителя к
поверхности рабочей зоны оборудования и, как следствие, пригорание продукта,
загрязнение стекла транспортного средства или поверхности керамической плитки.
Это приводит к ухудшению вкусовых и технологических качеств продукта, ухудшению
видимости дороги, росту микроорганизмов на поверхности керамической плитки. Для
избегания данной проблемы необходимо уменьшить адгезионные свойства на
поверхности контакта оборудования с продуктом или окружающей средой. Снижение
или отсутствие адгезии приведёт к экономии продовольственных, трудовых,
энергетических ресурсов и безопасности при вождении.
Для решения этой проблемы необходимо иметь разделяющий слой между
контактным образцом и поверхностью оборудования.
В хлебопекарной отрасли на данном этапе для предотвращения прилипания и
пригорания теста используют растительное масло. Формы смазываются растительным
маслом непосредственно перед внесением теста. Данная методика имеет ряд
недостатков:
. Большой расход необязательного сырья (растительного масла);
. Канцерогенность масла после нескольких циклов. При повышенных
температурах происходит пиролиз жиров, продукты которого являются многоядерные
ароматические соединения;
. Появление черного нагара. Данный нагар приводит к необходимости очистки
формы. Методика очистки формы от нагара предусматривает прокалку формы в
окислительной среде при температуре 400 °С в печах, которыми хлебокомбинаты не обладают.
Для понижения адгезионных свойств поверхность формы покрывают веществами
на основе инертных полимеров с незначительным содержанием полярных
функциональных групп, в частности, кремнийорганические соединения, фторопласты,
пентапласты, порошковые полиолефины.
Данные покрытия имеют ряд недостатков, таких как:
. Прогорают при «холостом проходе» формы через печь. Это приводит к
полному выходу покрытия из строя;
. Прогорание верхних частей покрытия, так как тесто не закрывает верхнюю
часть формы;
. Разрушение покрытия при случайной обработке растительным маслом;
. Низкая механическая стойкость;
. Большая толщина от 5 мм.
Производители автомобильного стекла и керамической глазурованной плитки
не занимались данным вопросом.
Для решения всех выше перечисленных недостатков было разработано покрытие
с антиадгезионными свойствами и без токсического действия.
Объектом данного исследования является оксидное покрытие
нестехиометрического состава, нанесенное на чашку Петри методом распыления
пульверизатором спиртовых растворов солей тяжелых металлов. Новые
антиадгезионные покрытия решают сразу несколько проблем в пищевой
промышленности, таких как низкая термостойкость рабочей поверхности
оборудования, канцерогенные свойства у налёта на формах, затраты денежных
средств (не используется растительное масло).
Использование данных покрытий приведёт к экономии пищевых ресурсов,
стабильно высокому качеству готового продукта, сокращению энергозатрат,
упрощению обслуживания, улучшению санитарно-гигиенических условий труда.
Предотвращение прилипания и пригорания приведет к увеличению срока службы
оборудования.
Важнейшие эксплуатационные требования, которым должны удовлетворять
антиадгезионные покрытия: низкая адгезия к продукту и высокая - к субстрату.
Сохранение стабильности антиадгезионных и физико-механических свойств покрытий
в течение всего срока службы оборудования, а также обеспечение защиты
металлической основы оборудования от коррозионного разрушения под действием
химически и биохимически активных сред в условиях высокой влажности производства.
Цель настоящего исследования: разработка и изучение на основе научных
исследований усовершенствованного антиадгезионного покрытия, обладающего
повышенными термическими и механическими свойствами, повышенной адгезией к
подложке и отсутствием токсичности.
Задачи исследования:
. Разработать метод нанесения покрытия на стеклянную, керамическую и
металлическую подложку;
. Выбрать составы для адгезионного покрытия, без токсического действия и
экономически выгодным сырьём;
. Выбрать и разработать методы анализа антиадгезионных свойств покрытий;
. Определить электропроводящие свойства у данных покрытий;
. Измерить светопоглощение у данных типов покрытий;
. Проанализировать возможные бактерицидные свойства у антиадгезионных
покрытий.
Методы исследования. Основу данного исследования составляют комплексный
анализ и системный подход в изучении рассматриваемой темы. При проведении
исследований и изложении материала были применены общенаучные методы:
теоретико-методологический анализ литературных источников, эмпирические методы
исследования в форме наблюдения, эксперимента, описание, измерения и
сравнительно-сопоставительного анализа.
1. Обзор и анализ литературных источников
1.1 Антиадгезионные покрытия, применяемые в пищевой
промышленности и их характеристики
В настоящее время широкое применение в промышленности получили
кремнийорганические и фторорганические полимеры. Они являются термоустойчивыми
покрытиями, инертны к органическим растворителям и имеют высокие
антиадгезионные свойства. Кремнийорганические полимеры, высокомолекулярные
соединения, содержащие атомы кремния и углерода в элементарном звене
макромолекулы. Соединения, в составе которых есть вещества с органическими и
неорганическими свойствами, называют силиконами. Недостатками кремнийорганических
полимеров является низкая стойкость к пищевым кислотам, термостойкость, не
превышающая 180-250 °С,
и относительно непродолжительный срок службы. Преимуществами
кремнийорганических полимеров являются простота и доступность производства [1].
Фторорганические полимеры состоят из кремния, титана, фтора и углерода.
Данный состав обуславливает увеличение термоустойчивости до 200-250 °С и химической стойкости у
органических полимеров. Химическая стойкость превышает даже некоторые
благородные металлы. Кислоты и щелочи не оказывают воздействия на
фторорганические полимеры даже при нагревании, плохо смачиваются водой. Данное
вещество находится в порошкообразном состоянии и наносится на поверхность при
высоких температурах до 400 °С. При малых размерах слоя становится канцерогенен и имеет высокую цену.
При температуре выше 400 °С
происходит разложение полимера и выделение газообразного фтора. При проходе
пустой формы через печь происходит нагревание до 400 °С, что не позволяет использовать
данное покрытие [2].
В настоящее время значительные успехи достигнуты в области синтеза
термостойких полимеров, содержащих в своем составе атомы фтора и ароматические
кольца. Однако указанные полимеры имеют заметную скорость разрушения при
температуре 250 °С
[2].
В качестве антиадгезионного покрытия используют тефлон, фторорганические
соединения, фторопласт. Данный материал термостойкий до 260 °С, хороший изолятор (не проводит
электричество), химически устойчив. Недостаток относительно большая толщина
покрытия и относительно низкая прочность, что не соответствует хлебобулочному
предприятию. На данном предприятии возможны внешние воздействия при выгрузке
продукта из формы, что приведёт к разрушению покрытия [2].
Диорганосилоксановые полимеры тоже возможно использовать для придания поверхности
антиадгезионных свойств. Основа этого вещества силоксановые группы и в процессе
термоокислительной деструкции полимер превращается в нелетучую двуокись кремния
[3]. Полидиметилсилоксан и его вулканизаты выдерживают длительный нагрев в
воздухе до 250 °С,
но выше этой температуры они начинают быстро окисляться. Температуру 300 °С полидиметилсилоксан выдерживает в
течение очень незначительного времени [3].
Термостабильность можно повысить путем синтеза полидиорганосилоксанов,
содержащих два элемента в основной цепи полимера [4].
Гетеросилоксаны обладают повышенной термостойкостью при 300-400 °С, особенно, когда их вулканизовали
радиационным способом. Время старения таких полимеров при температуре 300 °С составляет 480-720 часов и быстро
снижается до 1,5-2,0 часов при 400 °С [4].
Недостатком такого покрытия является высокая цена и скорость старения
[4].
1.2 Теоретические исследования качества и параметров
антиадгезионных покрытий
Адгезия ̶ это связь между поверхностными слоями двух разнородных
тел при касании, возникает на границе раздела фаз. Поверхность, к которому
прилипает, называют субстратом или подложкой, а другое тело, которой прилипает,
называю адгезивом [4].
Адгезия равна количеству работы совершённой при разделении адгезива и
субстрата. Эта работа зависит от площади контакта и типа разъединения веществ:
сдвигом вдоль поверхности или отрывом в направлении, перпендикулярном
поверхности раздела фаз [5].
Различают шесть типов адгезии:
. Адгезия частиц;
. Адгезия жидкости;
. Адгезия упруго-вязких пластичных тел к твердой поверхности;
. Адгезия двух твёрдых тел;
. Адгезия пленок;
. Адгезия покрытий.
Адгезия твёрдых тел отличается от адгезии частиц и жидкости наличием у
последних способности смачивать поверхность [6].
Адгезия пленок и покрытий ̶ это работа, затраченная на отрыв при
контакте твердой поверхности с пленкой [6].
Плёнка ̶ это тонкий слой синтетического
материала, наносимый на какую-нибудь поверхность или служащий покрытием для
различных целей: упаковки, изоляции, придания декоративного вида и т.д.
Покрытие ̶ это тонкий слой, нанесённый на субстрат для придания
определённых свойств или изоляции от окружающей среды [7].
Адгезионная прочность состоит из равновесной и
неравновесной работы. Неравновесная часть отрыва зависит от толщины адгезива,
состояния внешней среды, метода отрыва и материала субстрата [6]. Равновесная
часть работы отрыва не зависит от условий отрыва, толщины адгезива и внешней
среды [7].
Работа адгезии (А) между двух фаз можно
представить следующей формулой: металлический
адгезионный электропроводящий
(1.1)
где А ̶ характеризует работу, необходимую
для разделения 1 м2 поверхности раздела 12 на две поверхности
раздела,
σ1 ̶ поверхностное натяжение фазы
1,
;
σ2 ̶ поверхностное натяжение фазы
2,
;
σ12 - поверхностное натяжение
поверхности раздела соприкасающихся фаз 1 и 2,
.
В теории работа адгезии между двумя фазами очень велика, но на практике
работа адгезии должна превышать работу когезии наименее прочного тела [7].
Работу адгезии (Аа) можно представить в
общем виде:
(1.2)
где Ē ̶ средняя энергия единичной связи, определяющая
адгезию, Дж;
N ̶
количество связей на определённую единицу площади контакта адгезива с
субстратом.
В настоящее время существует большое количество теорий адгезии. Наиболее
распространённые: диффузионная, химическая, механическая, электрическая,
релаксационная, адсорбционная [7].
Механическая теория адгезии основана на взаимодействии адгезива и
субстрата. На поверхности субстрата имеются микропоры и трещинки, где
закрепляется адгезив [7]. Сцепление зависит от количества пор и трещинок.
Данная теория похожа на клеевое соединение и рассчитывается по следующей
формуле:
(1.3)
где с ̶ сила, необходимая для разрушения соединения, Н;
а
̶ постоянный безразмерный коэффициент;
М
̶ тип механического взаимодействия (пора или трещина);
S - площадь
взаимодействия субстрата и адгезива,м2.
Увеличение шероховатости поверхности приведёт к увеличению сцепления
адгезива к субстрату [8].
1.3 Теории адгезии
1.3.1 Адсорбционная теория
Адсорбционная теория (называемая также
адсорбционно-молекулярной, или молекулярной) рассматривает адгезию как
результат проявления сил молекулярного взаимодействия между контактирующими
молекулами адгезива и субстрата. Поэтому важно, чтобы адгезив и субстрат
обладали полярными функциональными группами, способными к взаимодействию, как
это следует из правила полярности. Высокая адгезия не может быть достигнута
между полярным субстратом и неполярным адгезивом или между неполярным
субстратом и полярным адгезивом [8].
1.3.2 Диффузионная теория адгезии
Роль взаимной или даже односторонней диффузии при
образовании адгезионных соединений в некоторых случаях может оказаться весьма
значительной. Диффузия ̶ один из весьма эффективных способов достижения
молекулярного контакта между адгезивом и субстратом. Чем глубже макромолекулы
адгезива внедряются в субстрат, тем более благоприятны условия для реализации
максимально возможного числа связей между молекулами адгезива и субстрата.
Однако это не означает, что без диффузии макромолекул адгезива в субстрат
нельзя достичь высокой адгезионной прочности. Но поскольку в реальных системах
имеются факторы, снижающие величину адгезионной прочности, диффузия
макромолекул адгезива в субстрат может оказаться весьма полезной. Если
макромолекулы адгезива при образовании адгезионной связи продиффундируют в
субстрат на значительную глубину, то суммарная величина межмолекулярных
взаимодействий может превысить силы, необходимые для разрыва химических связей.
Этот эффект связан с цепным строением молекул полимерных адгезивов [9].
Часто полагают, что движущей силой диффузии является
градиент концентрации. Однако перемещение, вызванное градиентом концентрации и
приводящее к постепенной гомогенизации системы, не исчерпывает все возможные
проявления этого сложного процесса. Весьма часто при диффузии происходит не
выравнивание концентраций, а наоборот, дальнейшее разделение компонентов
системы. Поэтому более правильно считать, что движущей силой диффузии является
разность термодинамических потенциалов. Выравнивание термодинамических
потенциалов и приближение к термодинамическому равновесию достигается за счет
теплового движения атомов (молекул) [9].
В основу молекулярно-кинетической диффузии в полимерах
положены представления о тепловых флуктуациях в жидкостях. Молекулы
диффундирующего вещества передвигаются в конденсированном теле отдельными
импульсами через «дырки» ̶ микрополости, которые возникают в результате
тепловых флуктуаций кинетических единиц, атомов и молекул в массе
конденсированного тела в непосредственной близости от диффундирующей молекулы
[8].
Диффузионные и адсорбционные процессы это следствие
контакта двух тел и вне контакта не могут, проявлятся [9].
1.3.3 Химическая теория адгезии
В ряде случаев высокая адгезия может быть обусловлена возникновением
химических связей между молекулами адгезива и субстрата, например при
склеивании латунной поверхности с каучуком. В присутствии серы происходит
химическое соединение меди с нею и с каучуком. Химические связи возникают и при
склеивании изоцианатами каучуков с металлами [9].
Видимо, когда адгезив вулканизуется или структурируется после образования
контакта между ним и субстратом, образуются химические связи между молекулами
адгезива и субстрата. Так, отмечено возникновение химических связей между
металлами и клеями на основе аминов, отверждаемых эпоксидными смолами. Имеются
сведения о возникновении химических связей между гидроксильными группами
макромолекул целлюлозы и метилольными группами мочевиноформальдегидных и
фенолформальдегидных смол [9].
Возникновение химических связей эффективно повышает адгезию, поэтому
следует использовать подобные сочетания адгезивов и субстратов [9].
1.3.4 Электрическая теория адгезии
Из электрической теории адгезии следует,
что субстрат, разделенный прослойкой адгезива, представляет собой конденсатор,
разъединению обкладок которого препятствуют электрические силы. В темноте при
отрыве пленки из каучука, нитроцеллюлозы и др. материалов от стекла, металла и
других поверхностей можно наблюдать разряды, сопровождаемые свечением и легким
треском. Исследования показали, что после отрыва поверхность каучука заряжается
отрицательно, а поверхности стекла и металлаположительно. Единственным
объяснением, согласующимся со всеми экспериментальными данными, является
следующее. Поверхности на границе раздела фаз, образовавшиеся при отрыве
пленки, наэлектризованы противоположными зарядами в силу разделения друг от
друга обкладок молекулярного электрического двойного слоя [10].
Сцепление между адгезивом и подложкой образуется за счет силы
электрического притяжения, работающей в двойном электрическом слое. Энергия
отрыва (Ge) зависит от потенциала
разряда (Ve) следующим образом:
(1.4)
где h ̶ расстояние, на котором
происходит разряд,м;
̶ электрическая постоянная,
.
1.4 Смачивание
.4.1 Краевой угол
Краевым углом (углом смачивания) обозначается угол, который образует
капля жидкости на поверхности твердого вещества к данной поверхности. Размер
краевого угла между жидкостью и твердым веществом зависит от взаимодействия
между веществами на контактной поверхности. Смачивание является критерием
адгезии для жидкостей [14].
На рисунке 1.1 рассмотрим равновесие в системе, в которой капля жидкости
помещена на твёрдую поверхность.
Рисунок 1.1 ̶ Теория смачивания [14]
Краевой угол q
измеряется в сторону более полярной фазы (в данном случае в сторону воды).
Обозначение sТ-Г показывает поверхностное натяжение между твердым телом и газовой фазой, sТ-Ж показывает поверхностное натяжение между твердым телом
и жидкой фазой, а sЖ-Г показывает
поверхностное натяжение между жидкой и газовой фазой [14].
Для измерения краевого угла необходимо провести касательную через 3 фазы
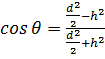
(жидкость, газ, твердое тело). Угол между касательной и твердой фазой называют cos
q, краевым углом смачивания. Угол q находится по таблице Брадиса [14].
Для состояния равновесия можно записать следующее условие:
(1.5)
При проецировании на ось Х получим выражение:
(1.6)
Из предыдущего выражения можно выделить cos q и получится уравнение Юнга.
(1.7)
где q ̶
краевой угол смачивания, значение которого характеризует взаимодействие в
системе Т-Г-Ж;q ̶
смачивание.
Если sТ-Г > sТ-Ж, то 0 < cos q < 1, из чего следует, что угол q - острый (наступающий), а
поверхность ̶ гидрофильная. Если s Т-Г > s Т-Ж, то 1 < cos q < 0, из чего следует, что угол q - тупой (отступающий), а поверхность
̶ гидрофобная [14].
В зависимости от угла q различают следующие типы реализации явления смачивания:
а) Смачивание 0°˂ q ˂90° или 1˂ cos q ˂0.
Рисунок 1.2 ̶ Схема смачивание от 0° до 90°
б) Полное смачивание (растекание) q ≈ 0° или cos q ≈ 1.
Рисунок 1.3 ̶ Схема полное смачивание ≈0°
в) Инверсия смачивания q = 90° или cos q = 0.
Рисунок 1.4 ̶ Схема инверсия смачивания
г) Не смачивание или 0 ˂ cos q ˂ -1.
Рисунок 1.5 ̶ Схема не смачивания
д) Полное не смачивание q =180° или cos q = -1.
Рисунок 1.6 ̶ Схема полного не смачивания
Существуют также переходные поверхности (амфотерные), которые хорошо
смачиваются как полярными, так и неполярными системами [14].
К гидрофильным поверхностям относятся силикаты, карбонаты, окислы железа.
К гидрофобным поверхностям ̶ парафины, жиры, воск, чистые металлы [14].
Краевой угол смачивания зависит от строения поверхности, адсорбции
жидкостей и газов, наличия ПАВ, температуры, давления, электрического заряда
[14].
Изменение характера поверхности может быть реализовано при адсорбции на
ней молекул ПАВ [14].
Различие во взаимодействии твердого тела с жидкостью и газом находит
применение в выделении взвешенных веществ из суспензий методом флотации.
Например, при культивировании микроорганизмов для получения кормового белка для
выделения клеток из культуральной жидкости суспензию подвергают барботированию
воздухом. Вследствие гидрофобности поверхности клетки «прилипают» к пузырькам
воздуха и всплывают на поверхность. Схему флотации рассмотрим на рисунке 1.7.
Рисунок 1.7 - Схема выделения веществ методом флотации [14]
Данный метод можно использовать после фильтрации взвешенных
мелкодисперсных веществ.
1.4.2 Работа адгезии и когезии
Равновесие в трехфазной системе определяется балансом сил взаимодействия
молекул внутри каждой фазы и сил взаимодействия поверхностных молекул двух фаз
между собой, т.е. явлениями когезии и адгезии соовтетственно. Прочность данных
взаимодействий оценивают количеством энергии, необходимой для их разрыва, т.е.
работой когезии и адгезии [11].
Для расчета работы адгезии используют уравнение Дюпре:
(1.8)
Рассмотрим техническую схему выполнения работы адгезии по уравнению.
Рисунок 1.8 ̶ Схема выполнения работы адгезии [14]
Для расчета работы когезии используют уравнением Дюпре:
(1.9)
Рассмотрим техническую схему выполнения работы когезии по уравнению.
Рисунок 1.9 ̶ Схема выполнения работы когезии [14]
Для отрыва адгезива от субстрата должно соблюдаться условие - работа
когезии должна быть выше работы адгезии, и тогда разрыв произойдёт между жидкой
и твердой фазой. Если работа когезии ниже, чем работа адгезии, то разрыв
произойдёт внутри фаз (жидкая или твёрдая) [11].
Используя уравнение Юнга, качественно оценим влияние когезии и адгезии на
равновесие в трехфазной системе.
(1.10)
(1.11)
Используя соотношение, мы получим уравнение Дюпре-Юнга:
(1.12)
(1.13)
(1.14)
Таким образом, при смачивании если 0˂ cosq ˂1 и следовательно есть
следующая зависимость:
При не смачивании, должно выполнятся условие -1˂ cosq ˂0 то,
.
Следовательно, переход от несмачивания к смачиванию обеспечивается
снижением
и увеличением
.
Следует, что при смачивании свободная энергия единицы поверхности
твёрдого тела уменьшается на величину sТ-Г×cosq, которую принято называть натяжением
смачивания [9].
Работа когезии Ак характеризует энергетические
изменения поверхностей раздела при взаимодействии частиц одной фазы [9].
Из уравнения следует, что на отрыв жидкости от поверхности твёрдого тела
при полном смачивании (когда cos q = 0) затрачивается работа, необходимая для образования двух жидких поверхностей
̶ 2×sж-г.
Это значит, что при полном смачивании жидкость не отрывается от
поверхности твёрдого тела, а происходит разрыв самой жидкости, т.е. при полном
смачивании s
ж-г £ sж-т.
Подставив в уравнение Юнга значения работ адгезии и когезии, получим:
(1.15)
Из уравнения 15 следует, что смачиваемость жидкостью твёрдого тела тем
лучше, чем меньше работа когезии и поверхностное натяжение жидкости на границе
с газом [8].
Для характеристики смачивающих свойств жидкости используют также
относительную работу адгезии:
(1.16)
где z ̶ характеристика смачивания
жидкости.
1.5 Светопропускание оксидов металла. Оптическая плотность
Свет или оптическое излучение представляет собой волны электромагнитного
поля. Световые волны являются плоскопоперечными, они распространяются
перпендикулярно направлению электрического и магнитного полей [13].
Различают следующие спектральные области оптического излучения:
инфракрасная ̶ от 750 до 2500 нм, видимая ̶ от 400 до 750 нм и
ультрафиолетовая - от 2 до 400 нм [13].
Известно, что при пропускании света через слой вещества его интенсивность
уменьшается. Уменьшение интенсивности является следствием взаимодействия
световой волны с электронами вещества, в результате которого часть световой
энергии передается электронам. Это явление называется поглощением света [13].
Взаимодействие света с веществом описывается рядом законов, основными из
которых являются:
.Закон Гротгуса-Дрейпера. Химически активным является излучение с такими
длинами волн, которые поглощаются веществом [13].
.Закон Вант -Гоффа. Количество химически модифицированного светом
вещества прямо пропорционально количеству поглощенной веществом энергии света
[13].
.Закон Бугера -Ламберта-Бера (объединенный закон светопоглощения) для
монохроматического света. Интенсивность света, прошедшего через слой вещества (I),
и интенсивность света, падающего на него (I0), связаны
соотношением:
(1.17)
где e×λ ̶ молярный коэффициент
поглощения (экстинкции) при длине волны l, л/моль×см;
с
- концентрация вещества, моль/л;
l -
длина оптического пути или толщина слоя вещества, см.
Молярный коэффициент экстинкции характеризует способность молекул
вещества поглощать свет определенной длины волны и определяется структурными
особенностями молекул данного вещества [13].
Объединенный (основной) закон светопоглощения базируется на законе
Бугера-Ламберта (первый закон светопоглощения), который определяет ослабление
интенсивности светового потока в зависимости от толщины поглощающего слоя, и
законе Бера (второй закон светопоглощения), описывающем зависимость
светопоглощения от концентрации анализируемого раствора. Закон
Бугера-Ламберта-Бера выполняется не всегда. Он выведен для достаточно разбавленных
растворов при использовании монохроматического света [13].
Для характеристики поглощающей способности вещества используют такие
величины, как оптическая плотность, светопропускание и светопоглощение [13].
Оптическая плотность (D) - это десятичный логарифм отношения
интенсивности света, падающего на образец, к интенсивности света, выходящего из
образца (I):
(1.18)
Оптическая плотность является безразмерной величиной [13].
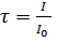
Светопропускание (коэффициент пропускания) (t) - отношение интенсивности света,
вышедшего из образца, к интенсивности света, падающего на него:
,
Значения t
могут меняться от 0 (весь свет поглощается) до 1 (весь свет проходит). Величину
t обычно выражают в процентах.
Иногда вместо t
используют cветопоглощение (коэффициент
поглощения) - величина, равная 1-t [13].
(1.19)
где Iп - интенсивность поглощенного света.
Светопоглощение принято измерять в долях или в процентах [13].
Важнейшим следствием из закона Бугера-Ламберта-Бера является следующее
положение: оптическая плотность прямо пропорциональна концентрации данного
вещества:
(1.20)
Спектр поглощения - это зависимость молярного коэффициента поглощения eλ от длины волны l. Спектры поглощения веществ
определяются разностью энергий между энергетическими уровнями молекул,
составляющими вещество, а также вероятностями перехода между ними. Разность
энергий определяет длину волны, на которой происходит поглощение света,
вероятность перехода - коэффициент поглощения вещества. Для биологически важных
молекул характерны широкие полосы поглощения, обусловленные электронными,
колебательными и вращательными уровнями [13].
Для автомобильного стекла важное качество является светопропускание. Оно
по ГОСТ 5727-88 «Стекло безопасное для наземного транспорта» должно составлять
не менее 0,75. Разрабатываемое покрытие должно попадать под это условие [12].
Как видно из аналитического обзора, в отечественной и зарубежной
хлебопекарной промышленности делались и делаются довольно успешные попытки
использования антиадгезионных покрытий, основу которых представляют
фторорганические и кремнийорганические полимеры различного строения и состава.
Однако, довольно низкие термические и механические свойства этих покрытий по
сравнению с покрытиями из металлов, а также сравнительно высокая стоимость
некоторых приведенных покрытий не позволяют предприятиям перерабатывающей
отрасли успешно внедрять и осуществлять их долгосрочную эксплуатацию.
Также видно, что в производстве автомобильных окон главное качество для
покрытия это светопропускание и толщина покрытия. Необходимо создать
неорганическое покрытие с антиадгезионными свойствами и с высокой
светопропускной способностью.
В производстве керамической плитки с керамической глазури не было попыток
создать покрытие с высокими антиадгезионными свойствами. Для него главным
критерием являются светопропускающие и антиадгезионные свойства. Свойства
указанные выше совпадают со свойствами необходимыми для покрытия автомобильного
стёкла.
На поверхности керамической глазурованной плитки накапливается
статический ток, что приводит к прилипанию под действием электромагнитных сил к
поверхности различных мелкодисперсных частиц (пыль, мелкодисперсный мусор,
волосы). Данное свойство у глазури керамической плитки увеличивает загрязняющую
способность поверхности. Такая поверхность имеет свойство разряжаться в
незаземленные элементы. Это приводит к ухудшению работы оборудования или
поломкам, а также к несчастным случаям для человека.
Итак, основными недостатками применяемых в настоящее время
антиадгезионных покрытий хлебопекарных форм, автомобильных стёкол и
керамической плитки с глазурью являются:
. Низкая термоустойчивость. В результате этого полимерные покрытия
полностью разрушаются даже при однократном «холостом пробеге» формы через печь.
Еще более распространенным их недостатком является разрушение покрытия верхней
части форм. Это происходит как при выпечке хлеба массой, меньшей, чем допускает
данная форма, так и в результате того, что в начальный период выпечки эта часть
формы не защищена тестом-хлебом от внешнего теплового воздействия. Такое
разрушение покрытия возможно также при выпечке тестовых заготовок, которые
аномально медленно или плохо увеличиваются в объеме;
. Низкая механическая прочность. В результате чистки форм твердыми
предметами покрытие разрушается;
. Низкая адгезия покрытий к основному материалу формы. Она обусловлена
только наличием микронеровностей поверхности подложки (формы). Долговечность
полимерного покрытия уменьшается вследствие того, что оно со временем
вспучивается и отслаивается. Этому способствуют любые механические повреждения
его наружной поверхности;
. Взаимодействие многих полимерных покрытий с растительным маслом. В результате,
при выпечке хлеба, случайное попадание на поверхность покрытия растительного
масла вызывает его разрушение;
. Низкое светопропускание покрытия (плёнки);
. Накопление статического электричества на поверхности глазури, что
приводит к загрязнению.
Разработка антиадгезионного покрытия лишенного указанных недостатков
явилась целью данной работы, которая сформулирована нами следующим образом:
разработка на основе научных исследований усовершенствованного антиадгезионного
покрытия, обладающего повышенными термическими и механическими свойствами, и
повышенной адгезией к подложке, высокой светопропускной способностью и
электропроводностью.
Проблемными вопросами в достижении поставленной цели являются:
. Необходимость замены материала покрытия для увеличения его тепловой и
механической прочности и увеличения адгезии к подложке;
. Выбор оптимальных параметров нового покрытия;
. Разработка технологии его нанесения, включающая обоснование выбора
показателей для всесторонних оценок качества и методов этих оценок;
. Производственные проверки разработанного покрытия.
Основными требованиями к работоспособности антиадгезионных покрытий,
используемых в промышленности, являются:
низкая адгезия теста-хлеба к покрытиям;
высокая адгезия покрытий к термообрабатываемым поверхностям (поверхность
хлебных форм и листов);
механическая прочность антиадгезионных покрытий;
термостойкость антиадгезионных покрытий;
химическая инертность антиадгезионных покрытий (покрытие не должно
взаимодействовать с пищевым продуктом);
наличие экономического эффекта при использовании антиадгезионных покрытий
на производственных мощностях;
высокая светопропускная способность;
электропроводность покрытия.
Исходя из анализа недостатков существующих полимерных покрытий, можно
сделать вывод о том, что их совершенствование для достижения поставленной цели
не перспективно. Необходима разработка нового покрытия и оптимизация его
параметров.
Как правило, при разработке нового покрытия возникают проблемы оценки его
качества. Для этого необходим выбор показателей, всесторонне (комплексно)
оценивающих его качество, и методик их определения. В результате этих
исследований должна быть разработана и апробирована на практике технология
нанесения нового покрытия.
2. Объекты и методы исследования
.1 Объекты исследования
Объектом исследования данной курсовой работы являются соли тяжелых
металлов таких как:
CuCl2×2H2O - по ГОСТ 4167-74;2×2,5H2O - по ГОСТ 4330-76;2×2H2O - по ГОСТ 4210-77;4
- по ГОСТ 20490-75;2×4H2O - по ГОСТ 612-75;2×2H2O - по ГОСТ 4529-78;3
- по ГОСТ 1277-75;4 - по ТУ 2623-02-40897595-99;
Спирт этиловый 96 % - по ГОСТ Р 51999-2002;
Чашки Петри - по ГОСТ 25336-82;
Предметные стекла - по ГОСТ 9284-75;
Натрий хлористый - по ГОСТ 4233-77;
Гидрохлоркислая кислота - по ГОСТ 3118-77;
Гидроксид натрия - по ГОСТ 11078-78;
Гидроортофосфат калия - по ГОСТ 2493-75;
Дистиллированная вода - по ГОСТ 6709-72.
.2 Методы исследования
.2.1 Методы очистки поверхности
2.2.1.1 Мойка водой
Мойку часто применяют для предварительной очистки поверхности изделий.
Происходит удаление физически адсорбированных веществ, слабо связанных с
поверхностью. Смываются различного рода загрязнения неорганического
происхождения. Жировые вещества, как животного, так и минерального
происхождения при промывке практически не устраняются из-за слабой
растворимости в воде. Промывка водой иногда используется как завершающая стадия
очистки поверхности. Например, если обработка поверхностей заканчивается
обезжириванием или травлением. Мойка водой осуществляется либо в специальных
ваннах, либо струйным способом. Промывочная вода может служить источником
загрязнений. В связи с этим промывочную воду пропускают через специальные
фильтры. Для удаления растворенных в воде солей применяют дистилляцию с двойной
и даже тройной перегонкой. Особенно ответственные изделия микроэлектронной
аппаратуры промывают дистиллированной деионизированной (очищенной с помощью
ионообменных смол) водой. Удельное электрическое сопротивление такой воды (5-10)×106 Ом×см, для бидистиллята (5-6)×106 Ом×см [9].
2.2.1.2 Обезжиривание поверхностей
Обезжиривание предназначается для удаления с поверхности изделий жировых
загрязнений. Обычно эту операцию проводят после мойки водой или совмещая мойку
с обезжириванием. В результате предварительной мойки, обезжиривании и
последующей промывки горячей и холодной водой с поверхности удаляется
большинство химически несвязанных веществ (загрязнений). Такой обработке
подвергают практически все изделия при нанесении на них покрытий.
Технологический процесс осуществляют в специальных ваннах или применяют местное
обезжиривание, например посредством протирки хлопчатобумажными салфетками.
Удаление жировых загрязнений производят в основном в щелочных растворах или
органических растворителях. Под действием щелочи животные жиры разлагаются
(омыливаются), образуя мыла - растворимые в воде соли жирных кислот и
глицерина. Реакция стеарина (составная часть животного сала) с едким натром
имеет вид:
(С17Н35СОО)3С3Н5
+ 3NaOH = 3C17H35COONa + C3H5(OH)3
Натриевая соль стеариновой кислоты (мыло) растворяется в воде, образуя
коллоидный раствор. Растительные масла или неомыливаемые жиры со щелочами в
химическое взаимодействие не вступают; при определенных условиях они могут
образовывать со щелочами эмульсии и, таким образом отделяться от
поверхности. Для активации этого процесса в раствор вводят
поверхностно-активные вещества (ПАВ), обладающие моющими и эмульгирующими
свойствами. Температуру щелочных обезжиривающих растворов выбирают от 60 до 80
°С. При увеличении температуры и при перемешивании раствора процесс очистки ускоряется.
Продолжительность обезжиривания составляет от 3 до 20 мин в зависимости от
материала изделия, количества и рода загрязнений. Состав щелочных растворов и
режим обезжиривания для различных материалов и видов жировых загрязнений
применительно к покрытиям регламентированы производственными инструкциями или
стандартами. Например, для многих металлов и сплавов может быть использован
следующий состав раствора (г/л) и режим химического обезжиривания: 15-35 Na3PO4×12Н2О; 15-35 Na2CO3;
температура ванны 60-80 °С; продолжительность 5-20 мин. Затем следует промывка
горячей (70-90 °С) и холодной (10-20 °С) водой с последующей сушкой сжатым
воздухом, подогретым до температуры 45-60 °С [9].
Обезжиривание в органических растворителях сводится к обычному процессу растворения
жиров и масел. Для этих целей применяют керосин, бензин, толуол и хлорированные
углеводороды (трихлорэтилен; тетрахлорэтилен и др.), последние не воспламеняются и
позволяют обезжиривать при повышенных температурах. Существенным недостатком
большинства органических растворителей, особенно хлорированных, является их
ядовитость и высокая стоимость. Для
повышения эффективности обезжиривания в ваннах используют высокочастотные
колебания (10-20 кГц). Благодаря этому происходит ультразвуковая очистка поверхности.
При наложении ультразвуковых колебаний наблюдается сильное возбуждение
жидкости, приводящее к кавитации - возникновению мгновенных высоких
гидростатических давлений на поверхности и отрыву частиц жировых загрязнений.
При массовом производстве обезжиривание проводят в специальных ваннах с
применением специализированной оснастки. Ванны оборудованы вытяжными
устройствами для улучшения условий труда и при необходимости противопожарными
средствами. Для обезжиривания единичных изделий обычно применяют протирку
поверхности ветошью и хлопчатобумажными салфетками [8].
2.2.1.3 Обезвоживание поверхностей изделий
На практике при нанесении покрытий для удаления следов влаги применяют
процесс обезвоживания. Операцию проводят обычно в этиловом спирте, возможно
применение и других спиртов, что связано с условиями техники безопасности и
производственной санитарии. Обезвоживание мелких изделий производят окунанием,
более крупных протиркой хлопчатобумажными салфетками. Данный вид заключительной
подготовки поверхности проводят для особо ответственных изделий таких как,
нанесение пленок в изделиях микроэлектронной техники, на лопатки турбины [8].
2.2.2 Метод распыления пульверизатором из спиртовых растворов
Метод предназначен для распыления нетоксичных и нелетучих соединений.
Распыление происходит по следующим пунктам:
. Заливаем в пульверизатор 2-3 мл раствора;
. Открываем дверцу муфельной печи;
. Выдвигаем, с помощью захвата, шамот на 10 см из рабочей зоны муфельной
печи;
. Наклоняем шамот в сторону пульверизатора;
. Пульверизатор на вытянутой руке;
. Делаем 6 «качков».
Процесс напыления должен проходить под вытяжкой и при соблюдении всех
правил безопасности.
2.2.3 Метод растекающейся капли
(лежачей)
Данный метод основан на измерении краевого угла
жидкости и пересчете по формуле. Так как краевой угол смачивания является
характеристикой гидрофильности и гидрофобности то данный метод подходит для
поставленной задачи.
В методе лежащей капли измеряется угол между твердой
поверхностью и жидкостью в точке контакта трех фаз. Соотношение сил межфазного
и поверхностного натяжения в точке контакта трех фаз может описываться
уравнением Юнга, на базе которого можно определить краевой угол. Далее
измеряется высота капли (h)
и длина растекания капли. Рассчитывается по следующей формуле:
(2.1)
где d
̶ длина капли, мм;
h ̶ высота капли, мм.
По данной формуле можно построить техническую схему
метода.
Рисунок 2.1 ̶ Метод построения лежачей капли
Для реализации данного метода используем фотоаппарат
на штативе (столик) и столик с изменяющейся высотой.
Метод лежачей капли выполняется по следующим пунктам:
1. Фиксируем на столике подложку (предметное стекло);
. Капаем с помощью автоматической пипетки вещество (вода,
глицерин). Количество вещества фиксированно ̶ 20 мкл и фиксирована высота
5 см над стеклом;
. Фотографируем. Центр объектива должен быть направлен
на раздел жидкой и твердой фаз;
. Обрабатываем информацию с помощью формулы (2.1).
2.2.4 Метод прикреплённого пузыря (сидячая капля)
Данный метод похож на метод растекающейся капли (лежачей). Имеет отличие:
поверхность после нанесения переворачивается в обратную сторону (вниз).
Метод сидячей капли происходит по следующим пунктам:
1. Фиксируем на столике подложку (предметное стекло);
. Капаем с помощью автоматической пипетки вещество
(вода, глицерин). Количество вещества фиксированное - 20 мкл и фиксирована
высота 5 см над стеклом;
. Переворачиваем стекло каплей вниз;
. Стекло устанавливается на опоры. С целью не нарушить
капли;
. Фотографируем. Центр объектива должен быть направлен
на раздел фаз жидкой и твердой;
. Обрабатываем информацию с помощью формулы (2.1).
Рисунок 2.2 ̶ Метод построения сидячей капли
2.2.5 Методика измерения оптической плотности (коэффициента
пропускания) и мутности пластин и пленок из полимерных материалов по ГОСТ
8.829-2013
Измерения производятся с помощи спектрофотометра при длинах волн 350-720 нм (видимый спектр).
Методика измерения оптической плотности (коэффициента пропускания) и
мутности пластин и пленок из полимерных материалов по ГОСТ 8.829-2013
происходит по следующим пунктам:
. Подготовка покровного стекла по пункту 2.2.1.1, 2.2.1.2 и 2.2.1.3;
. Контрольный образец (без покрытия) фиксируем на 1 участке салазок
прибора;
. Исследуемый образец (с покрытием оксида металлов) фиксируем на 4
участке салазок, так как предметные стекла имеют размеры: 26 мм ширина, 74 мм
длина и 0,2 мм толщина. Размер «окна» салазок прибора 10 мм, и предметные стёкла
необходимо располагать на крайних участках салазок;
. Салазки прибора фиксируем в рабочей зоне;
. Включаем прибор в розетку;
. Нажимаем для запуска кнопку пуск;
. Выставляем рычаг на положение Ф;
. Прибор прогреваем 30 минут;
. Нажимаем кнопку Ш(0). Данная кнопка показывает погрешность прибора. Она
должна быть не более 0,005;
. Выставляем рычаг 2 на ширину щели на 0,25;
. Салазки должны располагаться так чтобы контрольный образец был напротив
фотоэлемента;
. Перевести рычаг 1 в положение открыть, заглушка открывает фотоэлемент;
. Нажимаем кнопку К1. На табло должно появиться число 0,5-2,5;
. Если на табло высвечивается число меньше 0,5 то увеличить ширину щели
рычагом 2;
. Повторять пункт 13 и 14 до 0,5-2,5 значения на табло;
. Переключить салазки прибора на положение 4, где находится исследуемый
образец;
. Записать результат измерения;
. Переключить рычаг 3 на необходимую длину волны;
. Перевести рычаг 1 в положение закрыть, фотоприёмник закрыт;
. Повторить пункты 9-19 для измерения необходимого спектра.
Рассмотрим схему работы прибора спектрофотометр СФ-46 на рисунке 2.3.
Рисунок 2.3 - Техническая схема работы прибора спектрофотометр СФ-4
По завершению измерений строим график зависимости оптической плотности
покрытий от длин волн.
2.2.6 Метод определения сопротивления ГОСТ 31770-2012
Метод основан на измерении разницы потенциала щупов 1
и 2, расположенных на фиксированном расстоянии.
Метод определения сопротивления ГОСТ 31770-2012
происходит по следующим пунктам:
1. Подготовка покровного стекла по пункту 2.2.1.1, 2.2.1.2 и
2.2.1.3;
2. Включаем ВИК ̶ УЭС и выставляем рубильник на
измерение сопротивления, Ом;
.1 Технология получения нанопокрытия
Технология
производства неорганического антиадгезионного нанопокрытия.
Приготовление
покрытия происходит по следующим пунктам:
1. Используем
порошковидный SnCl4×5Н2О, который растворяем в
1000 мл 96% этилового спирта;
2. Оставляем
данный раствор на 1 сутки для прохождения гидролиза.
. Готовим
растворы солей в 50 мл растворе олова: CuCl2×2H2O; CuCl2×2H2O; SbCl3×2H2O; CdCl2×2H2O; BaCl2×2H2O; PbCl2×2H2O; KMnO4; MnCl2×2H2O; ZnCl2×2,5H2O; AgNO3: 0,5 г растворяем в 50 мл 96% этиловом
спирте. Масса всех солей 0,5 грамм;
4. Оставляем
данные растворы на сутки для гидролиза;
5. При
появлении осадка отфильтровываем. Осадок выпал в образцах KMnO4, CdCl2, PbCl2.
Таблица 1 -
Состав и температура нанесения покрытий
|
№
|
Состав наносимого раствора для получения покрытия
|
Температура нанесения
|
|
1
|
SnCl4×5H2О
|
500°C
|
|
2
|
CuCl2+SnCl4
|
500°C
|
|
3
|
AgNO3
|
500°C
|
|
4
|
SbCl3+SnCl4
|
500°C
|
|
5
|
CdCl2+SnCl4
|
500°C
|
|
6
|
BaCl2+SnCl4
|
500°C
|
|
7
|
PbCl2+SnCl4
|
500°C
|
|
8
|
KMnO4+SnCl4
|
500°C
|
|
9
|
MnCl2+SnCl4
|
500°C
|
|
10
|
ZnCl2+SnCl4
|
500°C
|
Процесс получения покрытий из оксидов олова нестехиометрического состава
можно представить следующими схемами:
SnCl4 + H2O ® SnO2 + HCl;2 + восстановитель ® SnO + Sn + H2O;
SnO + О2 ® SnO2;® Sn + SnO2
Остальные процессы с двумя металлами проходят по похожему пути.
3.2 Очитка субстрата (предметного стекла)
Перед нанесением раствора на субстрат (чашка Петри) необходимо провести
очитку поверхности по пунктам 2.2.1.1, 2.2.1.2 и 2.2.1.3.
3.3 Технология нанесения нанопокрытия
Технология
нанесения неорганического антиадгезионого нанопокрытия.
Нанесение
покрытия происходит по следующим пунктам:
1. Взяли
шамот (огнеупорный кирпич) размером 230×114×65 мм. Вырезали отверстие, круглой
формы, глубиной 20 мм и диаметром 90 мм. На дно отверстия насыпали глинозём.
Данное отверстие предназначено для нижней части чашки Петри. Делаем втрое
отверстие на том же шамотном кирпиче ниже первого на 10 мм. Втрое отверстие
прямоугольной формы глубиной 10 мм, длина 80 мм, ширина 30 мм. На дно второго
отверстия засыпаем глинозём. Второе отверстие необходимо для внесения в него
предметного стекла;
. Разогреваем
муфельную печь до 500-550 °C;
. Вносим наш
кирпич с образцами (нижняя часть чашки Петри покровное стекло) в муфельную
печь. Ожидаем 20 мин;
. Заливаем 10
мл раствора солей в ручной пульверизатор;
. Открываем
муфельную печь и аккуратно, не до конца, вынимаем кирпич;
. Опрыскиваем
наши образцы раствором солей;
. Вносим
кирпич в муфельную печь. И оставляем остывать печь до низкой температуры
(150-200 °C). В избегание термического удара.
Данный тип нанесения является простым с технологической части и надёжным
со стороны выполнения, но имеет недостаток при напылении в лабораторных
условиях. Так как напыление происходит из ручного распылителя при резком
падении температуры, то и степень равномерности очень мала и на поверхности
образцов наблюдаем радужное покрытие, что и свидетельствует о большой
неравномерности. Термин, характеризующий данную реакцию называют иризация.
Иризация ̶ это совокупность физико-химический процессов, в
результате которых на поверхности стекла образуются оксиды металлов, что
приводит к интерференции света, то есть к радужному покрытию.
Данный недостаток будет убран при нанесении покрытия без резкого спада
температуры и равномерно.
3.3.1 Измерения краевого угла
смачивания методом растекающейся капли (лежачая капля)
На данном этапе исследования необходимо изучить способность
покрытий смачивается жидкостью. Для этого необходимо провести эксперименты с
разными типами жидкости (вода и глицерин). Эксперимент проходит по пункту 2.2.3
Метод растекающейся капли (лежачей).
Данные после измерения, методом лежачей капли с нанесённой
водой, вносим в таблицу 2.
Таблица 2 ̶ результаты измерений по пункту 2.2.3
|
Вода, лежачая капля
|
|
образцы
|
ширина d, мм
|
высота h, мм
|
|
Контроль
|
4,7
|
0,4
|
|
Контроль
|
5,4
|
0,8
|
|
SnCl4×5H2О
|
2,8
|
1,05
|
|
SnCl4×5H2О
|
3,74
|
1,1
|
|
CuCl2+SnCl4
|
3
|
0,62
|
|
CuCl2+SnCl4
|
2,4
|
0,7
|
|
ZnCl2+SnCl4
|
2,5
|
0,93
|
|
ZnCl2+SnCl4
|
2,485
|
0,9
|
|
CdCl2+SnCl4
|
2,5
|
0,89
|
|
CdCl2+SnCl4
|
2,3
|
0,8
|
|
MnCl2+SnCl4
|
1,8
|
0,8
|
|
MnCl2+SnCl4
|
2,15
|
0,8
|
|
KMnO4+SnCl4
|
1,98
|
0,73
|
|
KMnO4+SnCl4
|
2,585
|
1,12
|
По формуле (2.1) рассчитываем краевой угол, среднее
значение и вносим в таблицу 3.
Таблица 3 ̶ результаты вычислений по формуле
(2.1)
|
Вода, лежачая капля
|
|
образцы
|
cos q
|
краевой угол q,°
|
|
Контроль
|
1,131027614
|
44,80310881
|
|
Контроль
|
1,552208505
|
48,93499625
|
|
Среднее
|
76,86905253
|
|
SnCl4×5H2О
|
1,54
|
88,23550045
|
|
SnCl4×5H2О
|
1,863979239
|
86,7981435
|
|
Среднее
|
|
87,51682197
|
|
CuCl2+SnCl4
|
1,213555556
|
69,53161154
|
|
CuCl2+SnCl4
|
1,149722222
|
65,87423095
|
|
Среднее
|
67,70292124
|
|
ZnCl2+SnCl4
|
1,311364
|
75,13562261
|
|
ZnCl2+SnCl4
|
1,285322762
|
73,64356955
|
|
Среднее
|
74,38959608
|
|
CdCl2+SnCl4
|
1,285156
|
103,63401482
|
|
CdCl2+SnCl4
|
1,156068053
|
106,23782026
|
|
Среднее
|
104,93591754
|
|
MnCl2+SnCl4
|
0,849876543
|
48,69433903
|
|
MnCl2+SnCl4
|
1,086187128
|
62,23393821
|
|
Среднее
|
55,46413862
|
|
KMnO4+SnCl4
|
0,989179971
|
56,67583754
|
|
KMnO4+SnCl4
|
0,903512384
|
56,14491405
|
|
Среднее
|
71,41037579
|
Из таблицы 3 видим, что все образцы хуже смачиваются
водой. Наибольшее не смачивание у SnCl4×5H2О и CdCl2+ SnCl4.
Повторим этот же опыт, заменив воду глицерином. Данный
опыт проведём по методу растекающейся капли (лежачей). По завершению измерения
внести в таблицу 4.
Таблица 4 ̶ результаты измерений по пункту 2.2.3
|
Глицерин, лежачая капля
|
|
образцы
|
ширина d, мм
|
высота h, мм
|
|
Контроль
|
3,4
|
0,48
|
|
Контроль
|
2,8
|
0,3
|
|
SnCl4×5H2О
|
2,05
|
0,8
|
|
SnCl4×5H2О
|
2,8
|
0,8
|
|
CuCl2+SnCl4
|
2,1
|
0,9
|
|
CuCl2+SnCl4
|
2,3
|
0,65
|
|
ZnCl2+SnCl4
|
2,315
|
0,7
|
|
ZnCl2+SnCl4
|
2,11
|
0,7
|
|
CdCl2+SnCl4
|
2,41
|
0,8
|
|
CdCl2+SnCl4
|
1,9
|
0,6
|
|
MnCl2+SnCl4
|
1,85
|
0,6
|
|
MnCl2+SnCl4
|
2,1
|
0,51
|
|
KMnO4+SnCl4
|
2,3
|
0,9
|
|
KMnO4+SnCl4
|
2,4
|
0,8
|
По формуле (2.1) рассчитываем краевой угол, среднее
значение и вносим в таблицу 5.
Таблица 5 ̶ результаты вычислений по формуле
(2.1)
|
Глицерин, лежачая капля
|
|
Образцы
|
cos q
|
Краевой угол q,°
|
|
Контроль
|
1,150676817
|
55,92892518
|
|
Контроль
|
1,044081633
|
59,82147102
|
|
Среднее
|
57,8751981
|
|
SnCl4×5H2О
|
1,030838786
|
79,06271182
|
|
SnCl4×5H2О
|
1,313469388
|
75,25625244
|
|
Среднее
|
77,15948213
|
|
CuCl2+SnCl4
|
1,075306122
|
61,6105025
|
|
CuCl2+SnCl4
|
1,103029301
|
63,1989236
|
|
Среднее
|
62,40471305
|
|
ZnCl2+SnCl4
|
1,124275478
|
64,41623991
|
|
ZnCl2+SnCl4
|
1,049758316
|
60,14672103
|
|
Среднее
|
62,28148047
|
|
CdCl2+SnCl4
|
1,199236239
|
78,71117514
|
|
CdCl2+SnCl4
|
0,961108033
|
75,06743396
|
|
Среднее
|
76,88930455
|
|
MnCl2+SnCl4
|
0,939254931
|
53,81534341
|
|
MnCl2+SnCl4
|
1,024181633
|
58,68128501
|
|
Среднее
|
56,24831421
|
|
KMnO4+SnCl4
|
1,197523629
|
68,61304984
|
|
KMnO4+SnCl4
|
1,195555556
|
68,50028751
|
|
Среднее
|
68,55666867
|
Из таблицы 5 делаем вывод. Наименьшая адгезия у
покрытия SnCl4×5H2О и CdCl2+SnCl4. Эти показатели совпадают с результатами из таблицы
3. Образцы покрыты CdCl2+SnCl4 и SnCl4×5H2О имеют наилучшие антиадгезионные
свойства по сравнению с контролем.
3.3.2 Измерения краевого угла смачивания методом
прикреплённого пузыря (сидячая капля)
На данном этапе исследования необходимо изучить способность покрытий
смачивается жидкостью. Для этого необходимо провести эксперименты с разными
типами жидкости (вода и глицерин). Эксперимент проходит по пункту 2.2.4 Метод
прикреплённого пузыря (сидячая капля).
Данные после измерения, методом прикреплённого пузыря с нанесённой водой,
вносим в таблицу 6.
Таблица 6 ̶ Результаты измерений по пункту 2.2.4
|
Вода, сидячая капля
|
|
образцы
|
ширина d, мм
|
высота h, мм
|
|
Контроль
|
-
|
-
|
|
Контроль
|
4,7
|
0,5
|
|
SnCl4×5H2О
|
3,05
|
0,9
|
|
SnCl4×5H2О
|
3
|
0,75
|
|
CuCl2+SnCl4
|
2,49
|
0,58
|
|
CuCl2+SnCl4
|
2,35
|
0,45
|
|
ZnCl2+SnCl4
|
1,82
|
0,75
|
|
ZnCl2+SnCl4
|
2,82
|
0,75
|
|
CdCl2+SnCl4
|
2,25
|
0,7
|
|
CdCl2+SnCl4
|
2
|
0,79
|
|
MnCl2+SnCl4
|
1,885
|
0,7
|
|
MnCl2+SnCl4
|
1,7
|
0,7
|
|
KMnO4+SnCl4
|
1,99
|
0,585
|
|
KMnO4+SnCl4
|
2,85
|
0,79
|
По формуле (20) рассчитываем краевой угол, среднее
значение и вносим в таблицу 7.
Таблица 7 ̶ Результаты вычислений по формуле
(21)
|
Вода, сидячая капля
|
|
образцы
|
cos q
|
краевой угол q,°
|
|
Контроль
|
-
|
-
|
|
Контроль
|
1,204730647
|
69,02598154
|
|
Среднее
|
69,02598154
|
|
SnCl4×5H2О
|
1,461706531
|
83,74961508
|
|
SnCl4×5H2О
|
1,3125
|
85,20071061
|
|
Среднее
|
84,47516285
|
|
CuCl2+SnCl4
|
1,119371242
|
64,1352479
|
|
CuCl2+SnCl4
|
1,055827297
|
60,49444804
|
|
Среднее
|
62,31484797
|
|
ZnCl2+SnCl4
|
0,883234211
|
|
ZnCl2+SnCl4
|
1,279566546
|
73,31376269
|
|
Среднее
|
71,95967765
|
|
CdCl2+SnCl4
|
1,102839506
|
83,18804918
|
|
CdCl2+SnCl4
|
1
|
87,29577951
|
|
Среднее
|
85,24191435
|
|
MnCl2+SnCl4
|
0,938388436
|
53,76569692
|
|
MnCl2+SnCl4
|
0,811799308
|
46,51267416
|
|
Среднее
|
50,13918554
|
|
KMnO4+SnCl4
|
0,996551911
|
87,09821856
|
|
KMnO4+SnCl4
|
1,316756202
|
85,44457302
|
|
Среднее
|
76,27139579
|
Из таблицы 7 делаем вывод. Наименьшая адгезия у покрытия SnCl4×5H2О и CdCl2+SnCl4. Эти показатели совпадают с результатами из таблицы
6.Образцы покрыты CdCl2+SnCl4, SnCl4×5H2О и KMnO4+ SnCl4 имеют
наилучшие антиадгезионные свойства по сравнению с контролем.
Повторим этот же опыт, заменив воду глицерином. Данный
опыт проведём по методу растекающейся капли (лежачей). По завершению измерения
внести в таблицу 8.
Таблица 8 ̶ Результаты измерений по пункту 2.2.4
|
Глицерин, сидячая капля
|
|
образцы
|
ширина d, мм
|
высота h, мм
|
|
Контроль
|
2,6
|
0,4
|
|
Контроль
|
2,75
|
0,3
|
|
SnCl4×5H2О
|
1,9
|
0,7
|
|
SnCl4×5H2О
|
2,45
|
0,6
|
|
CuCl2+SnCl4
|
1,95
|
0,65
|
|
CuCl2+SnCl4
|
2,02
|
0,55
|
|
ZnCl2+SnCl4
|
2,18
|
0,7
|
|
ZnCl2+SnCl4
|
1,95
|
0,68
|
|
CdCl2+SnCl4
|
1,8
|
0,65
|
|
CdCl2+SnCl4
|
3
|
0,97
|
|
MnCl2+SnCl4
|
1,9
|
0,7
|
|
MnCl2+SnCl4
|
1,7
|
0,62
|
|
KMnO4+SnCl4
|
1,8
|
0,8
|
|
KMnO4+SnCl4
|
2
|
0,65
|
По формуле рассчитываем краевой угол, среднее значение
и вносим в таблицу 9.
Таблица 9 ̶ Результаты вычислений по формуле
(2.1)
|
Глицерин, сидячая капля
|
|
образцы
|
cos q
|
краевой угол q,°
|
|
Контроль
|
1,023668639
|
58,65189264
|
|
Контроль
|
1,042396694
|
59,72493116
|
|
Среднее
|
59,1884119
|
|
SnCl4×5H2О
|
0,780858726
|
84,73990938
|
|
SnCl4×5H2О
|
0,933511037
|
83,48624255
|
|
Среднее
|
83,11307597
|
|
CuCl2+SnCl4
|
0,570428994
|
32,68317387
|
|
CuCl2+SnCl4
|
0,888324919
|
50,8972687
|
|
Среднее
|
41,79022129
|
|
ZnCl2+SnCl4
|
1,077576803
|
61,74060293
|
|
ZnCl2+SnCl4
|
0,946949638
|
54,25621769
|
|
Среднее
|
57,99841031
|
|
CdCl2+SnCl4
|
0,632376543
|
106,23250699
|
|
CdCl2+SnCl4
|
1,7809
|
102,0380537
|
|
Среднее
|
104,13528036
|
|
MnCl2+SnCl4
|
1,091108033
|
62,5158853
|
|
MnCl2+SnCl4
|
1,0244
|
58,69379653
|
|
Среднее
|
60,60484092
|
|
KMnO4+SnCl4
|
0,64
|
36,66929889
|
|
KMnO4+SnCl4
|
0,7825
|
44,83394747
|
|
Среднее
|
40,75162318
|
Из таблицы 9 делаем вывод. Наименьшая адгезия у покрытия SnCl4×5H2О и CdCl2+SnCl4. Эти показатели совпадают с результатами из таблиц 8
и 5. Образцы покрыты CdCl2+SnCl4, SnCl4×5H2О и KMnO4 имеют наилучшие
антиадгезионные свойства по сравнению с контролем.
3.3.3 Измерение светопропускания
покрытий оптическим методом
Для производства стёкол для автомобилей необходимо
соблюдать требования гост 8.829-2013 на светопропускание. Для этого производим
измерения наших покрытий на предметном стекле. Перед измерением выполнить
Измерение производим по пункту 2.2.5.
В таблице 10 указаны результаты измерения 7 образцах.
Таблица 10 ̶ Результаты измерения оптической
плотности при длинах волн 350-720 нм
|
Длина волны, нм
|
Оптическая плотность
|
|
MnCl2
|
PbCl2
|
CuCl2
|
CdCl2
|
AgNO3
|
ZnCl2
|
SnCl4
|
|
350
|
0,043
|
0,112
|
0,145
|
0,091
|
0,01
|
0,117
|
0,018
|
|
360
|
0,046
|
0,105
|
0,126
|
0,074
|
0,015
|
0,1
|
0,018
|
|
370
|
0,051
|
0,093
|
0,113
|
0,061
|
0,019
|
0,085
|
0,018
|
|
380
|
0,054
|
0,079
|
0,102
|
0,051
|
0,026
|
0,077
|
0,018
|
|
390
|
0,062
|
0,069
|
0,086
|
0,044
|
0,041
|
0,072
|
0,017
|
|
400
|
0,065
|
0,062
|
0,077
|
0,039
|
0,058
|
0,067
|
0,017
|
|
410
|
0,066
|
0,053
|
0,068
|
0,036
|
0,054
|
0,063
|
0,017
|
|
420
|
0,063
|
0,052
|
0,061
|
0,038
|
0,038
|
0,052
|
0,019
|
|
430
|
0,065
|
0,051
|
0,056
|
0,042
|
0,022
|
0,044
|
0,017
|
|
440
|
0,062
|
0,048
|
0,05
|
0,045
|
0,018
|
0,04
|
0,017
|
|
450
|
0,066
|
0,047
|
0,047
|
0,041
|
0,014
|
0,045
|
0,017
|
|
460
|
0,069
|
0,046
|
0,045
|
0,043
|
0,011
|
0,046
|
0,015
|
|
470
|
0,068
|
0,047
|
0,044
|
0,046
|
0,01
|
0,039
|
0,016
|
|
480
|
0,069
|
0,048
|
0,042
|
0,048
|
0,009
|
0,043
|
0,014
|
|
490
|
0,069
|
0,05
|
0,042
|
0,052
|
0,009
|
0,043
|
0,015
|
|
500
|
0,069
|
0,051
|
0,043
|
0,05
|
0,008
|
0,046
|
0,015
|
|
510
|
0,069
|
0,053
|
0,044
|
0,052
|
0,009
|
0,047
|
0,014
|
|
520
|
0,069
|
0,055
|
0,046
|
0,052
|
0,007
|
0,048
|
0,014
|
|
530
|
0,068
|
0,057
|
0,046
|
0,053
|
0,008
|
0,049
|
0,014
|
|
540
|
0,067
|
0,057
|
0,046
|
0,053
|
0,004
|
0,05
|
0,014
|
|
550
|
0,067
|
0,058
|
0,048
|
0,054
|
0,004
|
0,053
|
0,014
|
|
560
|
0,065
|
0,06
|
0,05
|
0,056
|
0,004
|
0,056
|
0,014
|
|
570
|
0,064
|
0,061
|
0,051
|
0,052
|
0,006
|
0,059
|
0,014
|
|
580
|
0,064
|
0,062
|
0,054
|
0,059
|
0,006
|
0,061
|
0,013
|
|
590
|
0,062
|
0,063
|
0,055
|
0,007
|
0,064
|
0,014
|
|
600
|
0,063
|
0,064
|
0,056
|
0,061
|
0,006
|
0,064
|
0,013
|
|
610
|
0,06
|
0,067
|
0,059
|
0,059
|
0,006
|
0,064
|
0,013
|
|
620
|
0,06
|
0,067
|
0,059
|
0,05
|
0,005
|
0,064
|
0,014
|
|
630
|
0,058
|
0,069
|
0,06
|
0,062
|
0,005
|
0,064
|
0,012
|
|
640
|
0,058
|
0,067
|
0,061
|
0,063
|
0,006
|
0,066
|
0,011
|
|
650
|
0,055
|
0,068
|
0,063
|
0,065
|
0,005
|
0,068
|
0,013
|
|
660
|
0,053
|
0,069
|
0,063
|
0,064
|
0,005
|
0,069
|
0,012
|
|
670
|
0,05
|
0,07
|
0,064
|
0,065
|
0,005
|
0,069
|
0,011
|
|
680
|
0,049
|
0,071
|
0,067
|
0,064
|
0,006
|
0,07
|
0,012
|
|
690
|
0,048
|
0,068
|
0,066
|
0,07
|
0,005
|
0,07
|
0,012
|
|
700
|
0,047
|
0,07
|
0,068
|
0,064
|
0,005
|
0,07
|
0,012
|
|
710
|
0,048
|
0,068
|
0,068
|
0,063
|
0,004
|
0,07
|
0,011
|
|
720
|
0,046
|
0,069
|
0,069
|
0,063
|
0,004
|
0,074
|
0,011
|
Проанализировав результаты из таблицы 10 делаем
выводы. Минимальное разница между контролем SnCl4×5H2О говорит о тонком и ровном слое.
По результатам оптической плотности и длины волны
строим график.
Рисунок 3.1 - График зависимости оптической плотности
к длине волны
По результатам построенного графика Рисунок 3.1 делаем вывод. Образец
AgNO3 имеет пик на длинах волн 390-410 нм. По графику видно, в видимом
свете (400-700 нм) образцы не имеют «искажений». Данный метод показывает наличие
на поверхности стекла полупроводников так как, пик находится в районе
ультрафиолетовое излучении (до 350) нм. Этот результат мы видим у следующих
образцов: ZnCl2, PbCl2, CuCl2, CdCl2.
3.3.4 Измерение сопротивления с помощью ВИК ̶ УЭС
Для данного измерения необходимо очистить предметные стекла по методу
указанных в пунктах 2.2.1.1, 2.2.1.2 и 2.2.1.3.
Далее проводим измерение по пункту 2.2.6 Метод определения сопротивления
ГОСТ 31770-2012.
При измерении выставляем тумблер на «20к» это обозначает 20 КОм.
Измерение производим по пункту 2.2.6 Метод определения электропроводности
ГОСТ 31770-2012.
Данные и среднее значение заносим в таблицу 11.
Таблица 11 ̶ измерение электропроводности с помощью ВИК ̶ УЭС
|
Образец
|
Сопротивление, Ом×м2
|
|
Контроль
|
нет результатов
|
|
CdCl2
|
86906
|
|
CuCl2
|
нет результатов
|
|
ZnCl2
|
нет результатов
|
|
PdCl2
|
нет результатов
|
|
SnCl2
|
130540
|
Из таблицы 11 видим, что сопротивление присутствует у образца CdCl2 и SnCl2. Возможные
причины отсутствия сопротивления у остальных образцов связаны с неравномерным
нанесением покрытия. У прибора ВИК ̶ УЭС расстояние между щупами
составляет 150 мм. Так как нанесение покрытия происходит с помощью
пульверизатора, то равномерность невозможно контролировать. Само покрытие
располагается локально по поверхности подложки. По данной причине мы не видим
рузцльтаты у образцов CuCl2, ZnCl2, PdCl2.
Проведя опыты по методам указанные в пунктах 2.2.2, 2.2.3 и 2.2.4 и
проведя анализ, мы выявили образец (CdCl2)
который является по заявленным характеристикам лучше, чем SnCl2. Покрытие с CdCl2 имеет большую антиадгезию, результаты
указаны в таблице 4, 6 и 8. Также образец CdCl2 хорошую светопропусканию способность
и имеет электропроводность. CdCl2 является
более предпочтителен, чем SnCl2, по выше
перечисленным факторам.
4. Экономические расчеты
4.1 Актуальность производства
Актуальность производства неорганических нанопокрытий на основе оксидов
металлов. Представляем бизнес-план производства неорганических нанопокрытий на
основе оксидов металлов. Основная задача данного бизнес-плана описания нашего
дела и среды, привлечение инвесторов и/или подача документов на кредит.
Часто в медицинских и санитарно-гигиенических помещениях появляется
черная плесень(Mucor mucedo). У человека, который страдает от спор черной
плесени, наблюдаются такие проблемы со здоровьем, как:
. хронические болезни дыхательных путей - насморк и кашель;
. кожные заболевания - микозы и дерматозы;
. ревматизмы и проблемы с опорно-двигательным аппаратом;
. слабость и хроническая усталость и т.д.
Для обработки медицинских и санитарно-гигиенических помещениях
используют:
. Обработка дезинфицирующими средствами такими как:
.1 используем 6%-ый раствор перекиси водорода с 0,5%-ным раствором моющим
средством или 5%-ным раствором хлорамина;
.2 используем 0,5%-ный активированный раствор хлорамина и 20 мл 10%-ного
раствора нашатырного спирта.
. Обработка ультрафиолетовыми лучами (кварцевание).
Кварцевание вредно для здоровья человека, так как глазурь (поверхность
плитки) «впитывает излучение» от УФ-лучей при кварцевании помещения, а после
медленно излучает. Излучение вредит здоровью работников, которые находятся,
продолжительное количество времени в помещении.
Таблица 12 - Экономия денежных средств на дезинфицирующих растворах при
нанесённом многофункциональном нанопокрытии
|
Площадь больниц за 2013 год, м2.
|
Средняя цена дезинфицирующих средств за 1 л, руб.
|
Средняя цена дезинфицирующих средств на очистку 1 м2,руб.
|
Затраты на дезинфекцию за 1 год (без покрытия) млн. руб.
|
Затраты на дезинфекцию за 1 год (с нанопокрытие) млн. руб.
|
Экономия, %
|
|
16107000
|
367,6
|
0,68
|
528
|
396
|
25
|
По правила ЦГСН уборку с помощью дезинфицирующих средств, в медицинских и
санитарно-гигиенических помещениях, надо производить не реже 4 раз в месяц, а с
нашим многофункциональным нанопокрытием этот процесс можно сократить до 3 раз в
месяц. Кварцевание не отменяется, так как микроорганизмы находятся в воздухе в
подвешенном состоянии.
Будущая фирма будет произвоить многофункциональное нанопокрытие. Данная
продукция имеет преимущества по сравнению с аналогами и конкурентами:
. Защищает поверхность плитки от микроорганизмов путем нарушения
метаболизма и ингибирования роста;
. Антиадгезионная защита от грязи;
. Антистатичность (электропроводность);
. Увеличивает химическую стойкость глазури в 2-3 раза;
. Уменьшает время стерилизации помещения на 25%;
. Малая толщина до 10 нм;
. Не требует обновления;
. Высокая стойкость к механическому воздействию;
. Технологический процесс нанесения разрабатываемых покрытий происходит
одновременно с технологией обжига глазури керамической плитки.
Выше перечисленные качества дадут товару преимущество на рынке продаж.
Одна из самых главных особенностей товара это «технологический процесс
нанесения разрабатываемых покрытий происходит одновременно с технологией обжига
глазури керамической плитки» пункт 9. Что позволит произвести экономию на
модернизации оборудования и переобучения работников предприятия.
Так как ООО «KERAMA MARAZZI» является самым крупным производителем
плитки, то мы планируем начать сотрудничество именно с данным производителем.
По открытым источника в 2014 году ООО «KERAMA MARAZZI» произвела 24 700 000 м2
керамической плитки и керамического гранита и 22 000 000 штук декоративных
элементов в год. Из них керамической плитки составило 2058000 м2. А
средняя ценна за м2 составила 360 руб, то выручка за год составила
1260000000 руб. Наша многофункциональное нанопокрытие добавит
конкурентоспособность на этом огромном рынке. И повысит прибыль ООО «KERAMA
MARAZZI». Данная кампания выбрана по географическому расположению, так как она
находится непосредственно на расстояния одного часа езды, на окраине города
Орла. Мы также планируем заключить договоры с хлебобулочными и кондитерскими,
сантехническими, стекольными, машиностроительными производствами.
4.2 Конкуренты и аналоги
Для нашего образца есть только один прямой аналог это эпоксидные смолы и
их разновидности, всё остальное это косвенные аналоги.
Таблица 13 ̶ Конкуренты и аналоги многофункционального нанопокрытия
|
Наименование продукта
|
Производитель
|
Средняя цена
|
Недостатки по отношению к нашему образцу
|
|
Мраморная плитка
|
Группа компаний «Стройгород» (г. Саратов)
|
2805-5379 руб/м2
|
Дороговизна и низкая химическая стойкость
|
|
Абактерил
|
ООО «Рудез» (г. Москва)
|
377 руб/л
|
Относится к 3 классу токсичности веществ. Имеет специфический
неприятный запах, после обработки возникает необходимость в проветривании
помещения, что занимает больше времени
|
|
Дезэфект-Эконом
|
ЗАО «Центр дезинфекции» (г. Москва)
|
385 руб/л
|
Срок годности рабочих растворов средства 14 суток опасно
при попадании на кожу и в глаза
|
|
Эпоксидные смолы
|
ООО «Мастер»
|
780руб/кг
|
Более низкая механическая прочность, разрушается под долгим
действием солнечных лучей, некоторые смолы токсичны, легко воспламеним, не
выдерживают высокие температуры
|
По всем показателям наше многофункциональное нанопокрытие превосходит
всем известных конкурентов.
4.3 Организация процесса производства
Для демонстрации процесса производства необходимо рассчитать примерный
план помещения цеха, административного отдела и склада.
Рисунок 4.1 ̶ План помещения производства
Рисунок 4.2 ̶ 3D
моделирование помещения предприятия
Таблица 14 ̶ Приблизительная площадь производства
|
Наименование отдела
|
Площадь, м2
|
|
Производственный
|
60
|
|
Административный
|
40
|
|
Склад
|
20
|
|
Коридор
|
12
|
|
Санитарно-гигиенический
|
12,25
|
|
Итого
|
144,25
|
Представленный итоговый размер помещений взят с учётом дальнейшего
расширения предприятия. Минимальная площадь производства составляет не более 30
м2.
Таблица 15 ̶ Время затраченное на создания многофункционального
нанопокрытия
|
Этап производства
|
Время на исполнение этапа
|
|
1 этап
|
20 мин
|
|
2 этап
|
24 часа
|
|
3 этап
|
20 мин
|
|
4 этап
|
24 часа
|
|
Итого
|
49 часов
|
Для производства 10 литров многофункционального нанопокрытия необходимо
затратить 49 часов рабочего времени. Из которых 1 час является активным этапом,
а остальные 48 часов пассивным этапом (хранение на складе).
При необходимости нанесения, можно установить малую муфельную печь и
производить нанесения покрытия непосредственно на предприятии. Оборудование для
производства и нанесения многофункционального нанопокрытия рассмотрим в таблице
16.
Таблица 16 ̶ Минимальный и максимальный набор оборудования
|
Наименование оборудования
|
Количество, шт.
|
Цена, руб.
|
Примечание
|
|
Минимальное количество оборудования
|
|
Магнитная мешалка ММ-135
|
1
|
4900
|
Так как плотность раствора не сильно превышает плотность
воды, то достаточно и магнитной мешалки. Количество изменяется от объёма
заказа
|
|
Технические весы ВА-4М
|
1
|
6888
|
Желательно иметь аналитические весы.
|
|
Бутыль казацкий
|
2
|
1200
|
Количество зависит от объёма заказа. Бутыль накрывается
тканью не пропускающая свет. Используется повторно
|
|
Фильтры обеззоленные синяя лента
|
1 упаковка
|
150
|
Размер пор 2-3 мкм.
|
|
Вакуумный насос 905CA23TFE-217E
|
1
|
16000
|
|
|
Максимальный набор
|
|
СКТБ Муфельная печь ЭКПС 10 литров.
|
1
|
66809
|
Количество и объём зависит от объекта, который покрываем
|
|
Шкаф вытяжной для муфельных печей
|
1
|
42765
|
Количество шкафов зависит от количества муфельных печей
|
|
Итого
|
8
|
137632
|
|
Без учета аренды помещения затраты на оборудование составит 137632
рублей. Данную сумму можно оптимизировав используя минимальный набор и затраты
тогда составят 29138 рублей.
Рассчитав затраты, количество часов и необходимое помещение на
производство нанопокрытия. Подтверждается простота, высокая скорость и
экономность на производство нанопокрытия. Данные показатели важны при
построении малого производства. Так как техника производства конечного продукта
предусматривает нанесения нашего нанопокрытия на объект, то нет необходимости в
сложной технической поддержке. Для эффективного внедрения необходимо подсчитать
рентабельность производства и себестоимость продукции.
Заключение
. Теоретически обоснована и практически доказана целесообразность
использования покрытия из оксидов металлов для придания антиадгезионных
свойств.
. Разработана технология нанесения покрытия из оксидов металлов
нестехиометрического состава на поверхность предметного стекла, включающая
подготовку поверхности форм, контроль качества подготовки поверхности,
нанесение покрытий. Параметрами, определяющими работоспособность разработанных
покрытий, являются их краевой угол смачивания, оптическая плотность и
электропроводность.
. На поверхности покрытого предметного стекла наблюдаем процесс иризация.
Это связанно с не соблюдением техники напыления. Установка пульверизатора в
муфельную печь решает данную проблему.
. Установлено, что параметры покрытия из оксидов металла, нанесенного по
разработанной технологии, не ухудшаются при многократных воздействиях
повышенных температур (до 400 °С). Это допускает, в частности, «холостые пробеги» покрытых форм по
хлебопекарным печам.
. Показана возможность использования в качестве показателя
антиадгезионных свойств покрытий краевого угла смачивания водой его
поверхности. Этот параметр также может использоваться в качестве показателей
антиадгезионных свойств покрытия.
7. Косвенный показатель равномерности это оптическая
плотность. Исследования показали, что покрытия не имеет цвета в видимом
спектре. Необходимо провести исследования в отношения оптической плотности к
толщине.
. Измерив, сопротивление у данных покрытий выявлено не
постоянство покрытия. Данный опыт необходим в доработке.
Список использованной литературы
1. Пятигорская, Л.В. Сергиенко Т.Е., Сачкова Л.А., Губанова
М.И., Семенов Г.В. Антиадгезионные и антипригарные покрытия для пищевых
производств. // Пищевая промышленность, 1998, № 12. - 470 с.
. Ризаева М.Д., Вяселева Г.Я., Барабанов В.П., Коноплева
А.А., Кадыров И.А. Комбинированные покрытия на основе фторпластов. //
Лакокрасочные материалы и их применение, 1990, № 5. - 320 с.
3. Пятигорская Л.В., Сергиенко Т.Е.,
Сухарева Л.А., Сачкова Л.А., Губанова М.И. Термостойкие антиадгезионные
покрытия для формующей технологической тары. // Мясная индустрия, 1996, № 2 -
410 с .
4. Фрейдин А.С., Турусов Р.А. Свойства и расчет адгезионных
соединений. - М.: Химия, 1990. - 255 с.
5. Абразиметры, соответствующие
нормам PEI (норма UNI M7 / европейская норма EN 154) / Руководство к пользованию. - Welko, Milan,
1999 - 455 c.
. Шоркин В.С. Контроль дефектности
тонкопленочных покрытий. / Труды 5-й международной конференции «Пленки и
покрытия ‘ 1998». Под ред. проф. д-ра техн. наук, академика НАН В.С.
Клубникина. - СПб.: Полиплазма, 1998. - 397 с.
. Матюхин С.И., Фроленков К.Ю.,
Антонов О.Н., Игошин В.М. Поверхностное натяжение и адгезионные свойства
тонкопленочных покрытий. / Труды 6-й международной конференции «Пленки и
покрытия ‘ 2001». Под ред. проф. д-ра техн. наук, академика НАН В.С.
Клубникина. - СПб.: СПбГТУ, 2001. ̶ 581 с.
. Антонов О.Н., Игошин В.М.,
Фроленков К.Ю. Антиадгезионные покрытия на основе пленок сложных оксидов. //
Хранение и переработка сельхозсырья, 2000, № 3. - 480 с.
9. Зимон А.Д. Адгезия и адгезионная прочность теста. //
Хранение и переработка сельхозсырья, 1996, № 6. - 240 с.
. Зимон А.Д. и др. / Заводская лаборатория. 1991, Т. 53, № 3.
. Зимон А.Д. Адгезия теста на шероховатых поверхностях. //
Хранение и переработка сельхозсырья, 1995, № 4.
12. Стекло безопасное для наземного транспорта. Общие
технические условия [Текст]: ГОСТ 32565-2013. - Взамен ГОСТ 5727-88; введ.
01.01.15.
13. Методика измерения оптической плотности (коэффициента
пропускания) и мутности пластин и пленок из полимерных материалов [Текст]: ГОСТ
8.829-2013. ̶ Изд. сент.2013.
14. Малышева, Ж.Н. Теоритическое и практическое руководство
по дисциплине «поверхностные явления и дисперсные системы»: учеб. пособие /
Ж.Н. Малышева, И.А. Новикова; ВолгГТУ. ̶ Волгоград, 2007. ̶ 344 с.
15. Метод определения электропроводности (с Поправкой)
[Текст]: ГОСТ 31770-2012. . ̶ Изд. окт.2013.