Разработка и изучение на основе научных исследований усовершенствованного антиадгезионного покрытия, обладающего повышенными термическими и механическими свойствами, повышенной адгезией к подложке и отсутствием токсичности

  • Вид работы:
    Курсовая работа (т)
  • Предмет:
    Другое
  • Язык:
    Русский
    ,
    Формат файла:
    MS Word
    194,98 Кб
  • Опубликовано:
    2017-06-11
Вы можете узнать стоимость помощи в написании студенческой работы.
Помощь в написании работы, которую точно примут!

Разработка и изучение на основе научных исследований усовершенствованного антиадгезионного покрытия, обладающего повышенными термическими и механическими свойствами, повышенной адгезией к подложке и отсутствием токсичности

Содержание

ВВЕДЕНИЕ

Глава 1. Обзор и анализ литературных источников

.1      Антиадгезионные покрытия, применяемые в пищевой промышленности и их характеристики

.2 Теоретические исследования качества и параметров антиадгезионных покрытий

.3 Теории адгезии

.3.1 Адсорбционная теория

.3.2 Диффузионная теория адгезии

.3.3 Химическая теория адгезии

.3.4 Электрическая теория адгезии

.4 Смачивание

.4.1 Краевой угол

.4.2 Работа адгезии и когезии

.5 Светопропускание оксидов металла. Оптическая плотность

Вывод по главе 1

.1 Объекты и схема исследования

.2 Методы исследования

.2.1 Методы очистки поверхности

.2.1.1 Мойка водой

.2.1.2 Обезжиривание поверхностей

.2.1.3 Обезвоживание поверхностей изделий

.2.2 Метод распыления пульверизатором из спиртовых растворов

.2.3 Метод растекающейся капли (сидячая капля)

.2.4 Метод прикреплённого пузыря (висячая капля)        

.2.5 Методика измерения оптической плотности (коэффициента пропускания) и мутности пластин и пленок из полимерных материалов по ГОСТ 8.829-2013

Глава 3 Экспериментальные данные и их анализ

.1 Технология получения нанопокрытия

.2 Очитка субстрата (предметного стекла)

.3 Технология нанесения нанопокрытия

.3.1 Измерения краевого угла смачивания методом растекающейся капли (сидячая капля)

.3.2 Измерения краевого угла смачивания методом прикреплённого пузыря (висячая капля)

.3.3 Измерение светопропускания покрытий оптическим методом

.3.4 Измерение сопротивления с помощью ВИК  ̶ УЭС

Вывод по главе 3

Заключение

ВВЕДЕНИЕ

Актуальность исследования. Главная проблема пищевых, стекольных и керамических предприятий является прилипание полуфабриката или загрязнителя к поверхности рабочей зоны оборудования и, как следствие, пригорание продукта, загрязнение стекла транспортного средства или поверхности керамической плитки. Это приводит к ухудшению вкусовых и технологических качеств продукта, ухудшению видимости дороги, росту микроорганизмов на поверхности керамической плитки. Для избегания данной проблемы необходимо уменьшить адгезионные свойства на поверхности контакта оборудования с продуктом или окружающей средой. Снижение или отсутствие адгезии приведёт к экономии продовольственных, трудовых, энергетических ресурсов и безопасности при вождении.

Для решения этой проблемы необходимо иметь разделяющий слой между контактным образцом и поверхностью оборудования.

В хлебопекарной отрасли на данном этапе для предотвращения прилипания и пригорания теста используют растительное масло. Формы смазываются растительным маслом непосредственно перед внесением теста. Данная методика имеет ряд недостатков:

. Большой расход необязательного сырья (растительного масла);

. Канцерогенность масла после нескольких циклов. При повышенных температурах происходит пиролиз жиров, продукты которого являются многоядерные ароматические соединения;

. Появление черного нагара. Данный нагар приводит к необходимости очистки формы. Методика очистки формы от нагара предусматривает прокалку формы в окислительной среде при температуре 400 °С в печах, которыми хлебокомбинаты не обладают.

Для понижения адгезионных свойств поверхность формы покрывают веществами на основе инертных полимеров с незначительным содержанием полярных функциональных групп, в частности, кремнийорганические соединения, фторопласты, пентапласты, порошковые полиолефины.

Данные покрытия имеют ряд недостатков, таких как:

. Прогорают при «холостом проходе» формы через печь. Это приводит к полному выходу покрытия из строя;

. Прогорание верхних частей покрытия, так как тесто не закрывает верхнюю часть формы;

. Разрушение покрытия при случайной обработке растительным маслом;

. Низкая механическая стойкость;

. Большая толщина от 5 мм.

Производители автомобильного стекла и керамической глазурованной плитки не занимались данным вопросом.

Для решения всех выше перечисленных недостатков было разработано покрытие с антиадгезионными свойствами и без токсического действия.

Объектом данного исследования является оксидное покрытие нестехиометрического состава, нанесенное на чашку Петри методом распыления пульверизатором спиртовых растворов солей тяжелых металлов. Новые антиадгезионные покрытия решают сразу несколько проблем в пищевой промышленности, таких как низкая термостойкость рабочей поверхности оборудования, канцерогенные свойства у налёта на формах, затраты денежных средств (не используется растительное масло).

Использование данных покрытий приведёт к экономии пищевых ресурсов, стабильно высокому качеству готового продукта, сокращению энергозатрат, упрощению обслуживания, улучшению санитарно-гигиенических условий труда. Предотвращение прилипания и пригорания приведет к увеличению срока службы оборудования.

Важнейшие эксплуатационные требования, которым должны удовлетворять антиадгезионные покрытия: низкая адгезия к продукту и высокая - к субстрату. Сохранение стабильности антиадгезионных и физико-механических свойств покрытий в течение всего срока службы оборудования, а также обеспечение защиты металлической основы оборудования от коррозионного разрушения под действием химически и биохимически активных сред в условиях высокой влажности производства.

Цель настоящего исследования: разработка и изучение на основе научных исследований усовершенствованного антиадгезионного покрытия, обладающего повышенными термическими и механическими свойствами, повышенной адгезией к подложке и отсутствием токсичности.

Задачи исследования:

. Разработать метод нанесения покрытия на стеклянную, керамическую и металлическую подложку;

. Выбрать составы для адгезионного покрытия, без токсического действия и экономически выгодным сырьём;

. Выбрать и разработать методы анализа антиадгезионных свойств покрытий;

. Определить электропроводящие свойства у данных покрытий;

. Измерить светопоглощение у данных типов покрытий;

. Проанализировать возможные бактерицидные свойства у антиадгезионных покрытий.

Методы исследования. Основу данного исследования составляют комплексный анализ и системный подход в изучении рассматриваемой темы. При проведении исследований и изложении материала были применены общенаучные методы: теоретико-методологический анализ литературных источников, эмпирические методы исследования в форме наблюдения, эксперимента, описание, измерения и сравнительно-сопоставительного анализа.

Глава 1. Обзор и анализ литературных источников

1.1 Антиадгезионные покрытия, применяемые в пищевой промышленности и их характеристики

В настоящее время широкое применение в промышленности получили кремнийорганические и фторорганические полимеры. Они являются термоустойчивыми покрытиями, инертны к органическим растворителям и имеют высокие антиадгезионные свойства. Кремнийорганические полимеры, высокомолекулярные соединения, содержащие атомы кремния и углерода в элементарном звене макромолекулы. Их называют силиконами. Недостатками кремнийорганических полимеров является низкая стойкость к пищевым кислотам, термостойкость, не превышающая 180-250 °С, и относительно непродолжительный срок службы. Преимуществами кремнийорганических полимеров являются простота и доступность производства [1].

Фторорганические полимеры состоят из, фтора и углерода. Данный состав обуславливает увеличение кремния, титана термоустойчивости до 200-250 °С и химической стойкости у органических полимеров. Химическая стойкость превышает даже некоторые благородные металлы. Кислоты и щелочи не оказывают воздействия на фторорганические полимеры даже при нагревании, они плохо смачиваются водой. Данное вещество находится в порошкообразном состоянии и наносится на поверхность при высоких температурах до 400 °С. При малых толщинах слоя становится канцерогенен и имеет высокую цену. При температуре выше 400 °С происходит разложение полимера и выделение газообразного фтора. При проходе пустой формы через печь происходит нагревание до 400 °С, что не позволяет использовать данное покрытие [2].

В настоящее время значительные успехи достигнуты в области синтеза термостойких полимеров, содержащих в своем составе атомы фтора и ароматические кольца. Однако указанные полимеры имеют заметную скорость разрушения при температуре 250 °С [2].

В качестве антиадгезионного покрытия используют тефлон, фторорганические соединения, фторопласт. Данный материал термостойкий до 260 °С, хороший изолятор (не проводит электричество), химически устойчив. Недостаток относительно большая толщина покрытия и относительно низкая прочность, что не соответствует хлебобулочному предприятию. На данном предприятии возможны внешние воздействия при выгрузке продукта из формы, что приведёт к разрушению покрытия [2].

Диорганосилоксановые полимеры тоже возможно использовать для придания поверхности антиадгезионных свойств. Основа этого вещества силоксановые группы и в процессе термоокислительной деструкции полимер превращается в нелетучую двуокись кремния [3]. Полидиметилсилоксан и его вулканизаты выдерживают длительный нагрев в воздухе до 250 °С, но выше этой температуры они начинают быстро окисляться. Температуру 300 °С полидиметилсилоксан выдерживает в течение очень незначительного времени [3].

Термостабильность можно повысить путем синтеза полидиорганосилоксанов, содержащих два элемента в основной цепи полимера [4].

Гетеросилоксаны обладают повышенной термостойкостью при 300-400 °С, особенно, когда их вулканизовали радиационным способом. Время старения таких полимеров при температуре 300 °С составляет 480-720 часов и быстро снижается до 1,5-2,0 часов при 400 °С [4].

Недостатком такого покрытия является высокая цена и скорость старения [4].

1.2 Теоретические исследования качества и параметров антиадгезионных покрытий

Адгезия  ̶ это связь между поверхностными слоями двух разнородных тел при касании, возникает на границе раздела фаз. Поверхность, к которому прилипает, называют субстратом или подложкой, а другое тело, которой прилипает, называю адгезивом [4].

1  ̶ адгезив; 2  ̶ субстрат

Рисунок 1.1  ̶ Схематичная схема адгезионного соединения [4]

Работа адгезии равна количеству работы совершённой при разделении адгезива и субстрата. Эта работа зависит от площади контакта и типа разъединения веществ: сдвигом вдоль поверхности или отрывом в направлении, перпендикулярном поверхности раздела фаз [5].

Различают шесть типов адгезии:

. Адгезия частиц;

. Адгезия жидкости;

. Адгезия упруго-вязких пластичных тел к твердой поверхности;

. Адгезия двух твёрдых тел;

. Адгезия пленок;

. Адгезия покрытий.

Адгезия твёрдых тел отличается от адгезии частиц и жидкости наличием у последних способности смачивать поверхность [6].

Работа адгезии пленок и покрытий  ̶ это работа, затраченная на отрыв при контакте твердой поверхности с пленкой [6].

Плёнка  ̶ это тонкий слой синтетического материала, наносимый на какую-нибудь поверхность или служащий покрытием для различных целей: упаковки, изоляции, придания декоративного вида и т.д. Покрытие  ̶ это тонкий слой, нанесённый на субстрат для придания определённых свойств или изоляции от окружающей среды [7].

Адгезионная прочность состоит из равновесной и неравновесной работы. Неравновесная часть отрыва зависит от толщины адгезива, состояния внешней среды, метода отрыва и материала субстрата [6]. Равновесная часть работы отрыва не зависит от условий отрыва, толщины адгезива и внешней среды [7].

Работу адгезии (А) между двумя фазами можно представить следующей формулой:

                                                             (1)

где А ̶ характеризует работу, необходимую для разделения 1 м2 поверхности раздела фаз 1,2 на две поверхности раздела,

σ1  ̶ поверхностное натяжение фазы 1, ;

σ2  ̶ поверхностное натяжение фазы 2, ;

σ12 ̶ поверхностное натяжение поверхности раздела соприкасающихся фаз 1 и 2, .

В теории работа адгезии между двумя фазами очень велика, но на практике работа адгезии должна превышать работу когезии наименее прочного тела [7].

Работу адгезии (Аа) можно представить в общем виде:

                                               (2)

где Ē  ̶ средняя энергия единичной связи, определяющая адгезию, Дж;

N ̶ количество связей на определённую единицу площади контакта адгезива с субстратом.

В настоящее время существует большое количество теорий адгезии. Наиболее распространённые: диффузионная, химическая, механическая, электрическая, релаксационная, адсорбционная [7].

Общую схему адгезионного взаимодействия можно представить в виде следующей схемы.

1  ̶ объём адгезива; 2  ̶ переходный слой адгезива; 3  ̶ граничный слой; 4  ̶ переходный слой субстрата; 5  ̶ объём субстрата

Рисунок 1.2  ̶ Теоретическая реализация адгезионного взаимодействия [7]

Механическая теория адгезии основана на взаимодействии адгезива и субстрата. На поверхности субстрата имеются микропоры и трещинки, где закрепляется адгезив [7]. Сцепление зависит от количества пор и трещинок. Данная теория похожа на теорию клеевого соединения и рассчитывается по следующей формуле:

                                                                  (3)

где с  ̶ сила, необходимая для разрушения соединения, Н;

а  ̶ постоянный коэффициент,;

М  ̶ тип механического взаимодействия (пора или трещина);

S  ̶ площадь взаимодействия субстрата и адгезива,м2.

Увеличение шероховатости поверхности приведёт к увеличению сцепления адгезива к субстрату [8].

антиодгезивный покрытие полимерный оптический

1.3 Теории адгезии

1.3.1 Адсорбционная теория

Адсорбционная теория (называемая также адсорбционно-молекулярной, или молекулярной) рассматривает адгезию как результат проявления сил молекулярного взаимодействия между контактирующими молекулами адгезива и субстрата. Поэтому важно, чтобы адгезив и субстрат обладали полярными функциональными группами, способными к взаимодействию, как это следует из правила полярности. Высокая адгезия не может быть достигнута между полярным субстратом и неполярным адгезивом или между неполярным субстратом и полярным адгезивом [8].

 

1.3.2 Диффузионная теория адгезии

Роль взаимной или даже односторонней диффузии при образовании адгезионных соединений в некоторых случаях может оказаться весьма значительной. Диффузия  ̶ один из весьма эффективных способов достижения молекулярного контакта между адгезивом и субстратом. Чем глубже макромолекулы адгезива внедряются в субстрат, тем более благоприятны условия для реализации максимально возможного числа связей между молекулами адгезива и субстрата. Однако это не означает, что без диффузии макромолекул адгезива в субстрат нельзя достичь высокой адгезионной прочности. Но поскольку в реальных системах имеются факторы, снижающие величину адгезионной прочности, диффузия макромолекул адгезива в субстрат может оказаться весьма полезной. Если макромолекулы адгезива при образовании адгезионной связи продиффундируют в субстрат на значительную глубину, то суммарная величина межмолекулярных взаимодействий может превысить силы, необходимые для разрыва химических связей. Этот эффект связан с цепным строением молекул полимерных адгезивов [9].

Часто полагают, что движущей силой диффузии является градиент концентрации. Однако перемещение, вызванное градиентом концентрации и приводящее к постепенной гомогенизации системы, не исчерпывает все возможные проявления этого сложного процесса. Весьма часто при диффузии происходит не выравнивание концентраций, а наоборот, дальнейшее разделение компонентов системы. Поэтому более правильно считать, что движущей силой диффузии является разность химических потенциалов. Выравнивание химических потенциалов и приближение к термодинамическому равновесию достигается за счет теплового движения атомов (молекул) [9].

В основу молекулярно-кинетической диффузии в полимерах положены представления о тепловых флуктуациях в жидкостях. Молекулы диффундирующего вещества передвигаются в конденсированном теле отдельными импульсами через «дырки»  ̶ микрополости, которые возникают в результате тепловых флуктуаций кинетических единиц, атомов и молекул в массе конденсированного тела в непосредственной близости от диффундирующей молекулы [8].

Диффузионные и адсорбционные процессы это следствие контакта двух тел и вне контакта не могут, проявлятся [9].

1.3.3 Химическая теория адгезии

В ряде случаев высокая адгезия может быть обусловлена возникновением химических связей между молекулами адгезива и субстрата, например при склеивании латунной поверхности с каучуком. В присутствии серы происходит химическое соединение меди с нею и с каучуком. Химические связи возникают и при склеивании изоцианатами каучуков с металлами [9].

Видимо, когда адгезив вулканизуется или структурируется после образования контакта между ним и субстратом, образуются химические связи между молекулами адгезива и субстрата. Так, отмечено возникновение химических связей между металлами и клеями на основе эпоксидных смол, отверждаемых амидамиами. Имеются сведения о возникновении химических связей между гидроксильными группами макромолекул целлюлозы и метилольными группами мочевиноформальдегидных и фенолформальдегидных смол [9].

Возникновение химических связей эффективно повышает адгезию, поэтому следует использовать подобные сочетания адгезивов и субстратов [9].

1.3.4 Электрическая теория адгезии

Из электрической теории адгезии следует, что субстрат, разделенный прослойкой адгезива, представляет собой конденсатор, разъединению обкладок которого препятствуют электрические силы. В темноте при отрыве пленки из каучука, нитроцеллюлозы и др. материалов от стекла, металла и других поверхностей можно наблюдать разряды, сопровождаемые свечением и легким треском. Исследования показали, что после отрыва поверхность каучука заряжается отрицательно, а поверхности стекла и металла положительно. Единственным объяснением, согласующимся со всеми экспериментальными данными, является следующее. Поверхности на границе раздела фаз, образовавшиеся при отрыве пленки, наэлектризованы противоположными зарядами в силу разделения друг от друга обкладок молекулярного электрического двойного слоя [10].

Сцепление между адгезивом и подложкой образуется за счет силы электрического притяжения, работающей в двойном электрическом слое. Энергия отрыва (Ge) зависит от потенциала разряда (Ve) следующим образом:

                                                         (4)

где h  ̶ расстояние, на котором происходит разряд,м;

  ̶ электрическая постоянная,.

1.4 Смачивание

.4.1 Краевой угол

Краевым углом (углом смачивания) обозначается угол, который образует капля жидкости на поверхности твердого вещества к данной поверхности. Размер краевого угла между жидкостью и твердым веществом зависит от взаимодействия между веществами на контактной поверхности. Смачивание является критерием адгезии для жидкостей [14].

На рисунке 1.3. Рассмотрим равновесие в системе, в которой капля жидкости помещена на твёрдую поверхность.

Рисунок 1.3  ̶ Теория смачивания [14]

Краевой угол q измеряется в сторону более полярной фазы (в данном случае в сторону воды). Обозначение sТ-Г показывает поверхностное натяжение между твердым телом и газовой фазой, sТ-Ж показывает поверхностное натяжение между твердым телом и жидкой фазой, а sЖ-Г показывает поверхностное натяжение между жидкой и газовой фазой [14].

Для измерения краевого угла необходимо провести касательную через 3 фазы (жидкость, газ, твердое тело). Угол между касательной и твердой фазой называют cos q, краевым углом смачивания.

 

Для состояния равновесия можно записать следующее условие:

                                                         (5)

При проецировании на ось Х получим выражение:

                                                  (6)

Из предыдущего выражения можно выделить cos q и получится уравнение Юнга.

                                                            (7)

где q  ̶ краевой угол смачивания, значение которого характеризует взаимодействие в системе Т-Г-Ж;q  ̶ смачивание.

Если sТ-Г > sТ-Ж, то 0 < cos q < 1, из чего следует, что угол q - острый (наступающий), а поверхность  ̶ гидрофильная. Если s Т-Г > s Т-Ж, то 0 < cos q < 1, из чего следует, что угол q - тупой (отступающий), а поверхность ̶ гидрофобная [14].

В зависимости от угла q различают следующие типы реализации явления смачивания:

а) Смачивание 0°˂ q ˂90° или 0˂ cos q ˂1.

Рисунок 1.4  ̶ Схема смачивание от 0° до 90°

б) Полное смачивание (растекание) q ≈ 0° или cos q ≈ 1.

Рисунок 1.5  ̶ Схема полное смачивание ≈0°

в) Инверсия смачивания q = 90° или cos q = 0.

Рисунок 1.6  ̶ Схема инверсия смачивания

г) Не смачивание или 0 ˂ cos q ˂ -1.

Рисунок 1.7  ̶ Схема не смачивания

д) Полное не смачивание q =180° или cos q = -1.

Рисунок 1.8  ̶ Схема полного не смачивания

Существуют также переходные поверхности (амфотерные), которые хорошо смачиваются как полярными, так и неполярными системами [14].

К гидрофильным поверхностям относятся силикаты, карбонаты, окислы железа. К гидрофобным поверхностям  ̶ парафины, жиры, воск, чистые металлы [14].

Краевой угол смачивания зависит от строения поверхности, адсорбции жидкостей и газов, наличия ПАВ, температуры, давления, электрического заряда [14].

Изменение характера поверхности может быть реализовано при адсорбции на ней молекул ПАВ [14].

Различие во взаимодействии твердого тела с жидкостью и газом находит применение в выделении взвешенных веществ из суспензий методом флотации. Например, при культивировании микроорганизмов для получения кормового белка для выделения клеток из культуральной жидкости суспензию подвергают барботированию воздухом. Вследствие гидрофобности поверхности клетки «прилипают» к пузырькам воздуха и всплывают на поверхность. Схему флотации рассмотрим на рисунке 1.9.

Рисунок 1.9 - Схема выделения веществ методом флотации [14]

Данный метод можно использовать после фильтрации взвешенных мелкодисперсных веществ.

1.4.2 Работа адгезии и когезии

Равновесие в трехфазной системе определяется балансом сил взаимодействия молекул внутри каждой фазы и сил взаимодействия поверхностных молекул двух фаз между собой, т.е. явлениями когезии и адгезии соовтетственно. Прочность данных взаимодействий оценивают количеством энергии, необходимой для их разрыва, т.е. работой когезии и адгезии [11].

Для расчета работы адгезии используют уравнение Дюпре:

                                            (8)

Рассмотрим техническую схему выполнения работы адгезии по уравнению.

Рисунок 1.10  ̶ Схема выполнения работы адгезии [14]

Для расчета работы когезии АК наединицу площади используют уравнением Дюпре:

                                           (9)

Рассмотрим техническую схему выполнения работы когезии по уравнению.

Рисунок 1.11  ̶ Схема выполнения работы когезии [14]

Для отрыва адгезива от субстрата должно соблюдаться условие - работа когезии должна быть выше работы адгезии, и тогда разрыв произойдёт между жидкой и твердой фазой. Если работа когезии ниже, чем работа адгезии, то разрыв произойдёт внутри фаз (жидкая или твёрдая) [11].

Используя уравнение Юнга, качественно оценим влияние когезии и адгезии на равновесие в трехфазной системе.

                                                  (10)

                                                         (11)

Используя это соотношение, мы получим уравнение Дюпре-Юнга:

                                                         (12)

                                                                  (13)

                                                                       (14)

Таким образом, при смачивании если 0˂ cosq ˂1 и следовательно есть следующая зависимость:


При не смачивании, должно выполнятся условие -1˂ cosq ˂0 то,

.

Следовательно, переход от несмачивания к смачиванию обеспечивается снижением  и увеличением .

Следует, что при смачивании свободная энергия единицы поверхности твёрдого тела уменьшается на величину sТ-Г×cosq, которую принято называть натяжением смачивания [9].

Работа когезии Ак характеризует энергетические изменения поверхностей раздела при взаимодействии частиц одной фазы [9].

Из уравнения следует, что на отрыв жидкости от поверхности твёрдого тела при полном смачивании (когда cos q = 0) затрачивается работа, необходимая для образования двух жидких поверхностей  ̶ (2×sж-г).

Это значит, что при полном смачивании жидкость не отрывается от поверхности твёрдого тела, а происходит разрыв самой жидкости, т.е. при полном смачивании s ж-г £ sж-т.

Подставив в уравнение Дюпре-Юнга значения работ адгезии и когезии, получим:

(15)

Для характеристики смачивающих свойств жидкости используют также относительную работу адгезии:

                                                        (16)

где z  ̶ характеристика смачивания жидкости.

1.5 Светопропускание оксидов металла. Оптическая плотность

Свет или оптическое излучение представляет собой волны электромагнитного поля. Световые волны являются плоскопоперечными, они распространяются перпендикулярно направлению электрического и магнитного полей [13].

Различают следующие спектральные области оптического излучения: инфракрасная ̶ от 750 до 2500 нм, видимая ̶ от 400 до 750 нм и ультрафиолетовая - от 2 до 400 нм [13].

Известно, что при пропускании света через слой вещества его интенсивность уменьшается. Уменьшение интенсивности является следствием взаимодействия световой волны с электронами вещества, в результате которого часть световой энергии передается электронам. Это явление называется поглощением света [13].

Взаимодействие света с веществом описывается рядом законов, основными из которых являются:

.Закон Гротгуса-Дрейпера. Химически активным является излучение с такими длинами волн, которые поглощаются веществом [13].

.Закон Вант-Гоффа. Количество химически модифицированного светом вещества прямо пропорционально количеству поглощенной веществом энергии света [13].

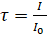
.Закон Бугера-Ламберта-Бера (объединенный закон светопоглощения) для монохроматического света. Интенсивность света, прошедшего через слой вещества (I), и интенсивность света, падающего на него (I0), связаны соотношением:

                                       (17)

где ελ ̶ молярный коэффициент поглощения (экстинкции) при длине волны l, л/моль×см;

с - концентрация вещества, моль/л;- длина оптического пути или толщина слоя вещества, см.

Молярный коэффициент экстинкции характеризует способность молекул вещества поглощать свет определенной длины волны и определяется структурными особенностями молекул данного вещества [13].

Объединенный (основной) закон светопоглощения базируется на законе Бугера-Ламберта (первый закон светопоглощения), который определяет ослабление интенсивности светового потока в зависимости от толщины поглощающего слоя, и законе Бера (второй закон светопоглощения), описывающем зависимость светопоглощения от концентрации анализируемого раствора. Закон Бугера-Ламберта-Бера выполняется не всегда. Он выведен для достаточно разбавленных растворов при использовании монохроматического света [13].

Для характеристики поглощающей способности вещества используют такие величины, как оптическая плотность, светопропускание и светопоглощение [13].

Оптическая плотность (D) - это десятичный логарифм отношения интенсивности света, падающего на образец, к интенсивности света, выходящего из образца (I):

                                                   (18)

Оптическая плотность является безразмерной величиной [13].

Светопропускание (коэффициент пропускания) (t) - отношение интенсивности света, вышедшего из образца, к интенсивности света, падающего на него:

(18)

Значения t могут меняться от 0 (весь свет поглощается) до 1 (весь свет проходит). Величину t обычно выражают в процентах.

Иногда вместо t используют cветопоглощение (коэффициент поглощения) - величина, равная 1-t [13].

                                                 (19)

где Iп - интенсивность поглощенного света. Светопоглощение принято измерять в долях или в процентах [13].

Важнейшим следствием из закона Бугера-Ламберта-Бера является следующее положение: оптическая плотность прямо пропорциональна концентрации данного вещества:

                                                    (20)

Спектр поглощения - это зависимость молярного коэффициента поглощения ελ от длины волны l. Спектры поглощения веществ определяются разностью энергий между энергетическими уровнями молекул, составляющими вещество, а также вероятностями перехода между ними. Разность энергий определяет длину волны, на которой происходит поглощение света, вероятность перехода - коэффициент поглощения вещества. Для биологически важных молекул характерны широкие полосы поглощения, обусловленные электронными, колебательными и вращательными уровнями [13].

Для автомобильного стекла важным качеством является светопропускание. Оно по ГОСТ 5727-88 «Стекло безопасное для наземного транспорта» должно составлять не менее 0,75. Разрабатываемое покрытие должно попадать под это условие [12].

антиодгезивный покрытие полимерный оптический

Вывод по главе 1

Как видно из аналитического обзора, в отечественной и зарубежной хлебопекарной промышленности делались и делаются довольно успешные попытки использования антиадгезионных покрытий, основу которых представляют фторорганические и кремнийорганические полимеры различного строения и состава. Однако, довольно низкие термические и механические свойства этих покрытий по сравнению с покрытиями из металлов, а также сравнительно высокая стоимость некоторых приведенных покрытий не позволяют предприятиям перерабатывающей отрасли успешно внедрять и осуществлять их долгосрочную эксплуатацию.

Также видно, что в производстве автомобильных стёкол главное качество для покрытия это светопропускание и толщина покрытия. Необходимо создать неорганическое покрытие с антиадгезионными свойствами и с высокой светопропускной способностью.

В производстве керамической плитки с керамической глазури не было попыток создать покрытие с высокими антиадгезионными свойствами. Для него главным критерием являются светопропускающие и антиадгезионные свойства. Свойства указанные выше совпадают со свойствами необходимыми для покрытия автомобильного стёкла.

На поверхности керамической глазурованной плитки накапливается статический ток, что приводит к прилипанию под действием электростатических сил к поверхности различных мелкодисперсных частиц (пыль, мелкодисперсный мусор, волосы). Данное свойство у глазури керамической плитки увеличивает загрязняющую способность поверхности. Такая поверхность имеет свойство разряжаться в незаземленные элементы. Это приводит к ухудшению работы оборудования или поломкам, а также к несчастным случаям для человека.

Итак, основными недостатками применяемых в настоящее время антиадгезионных покрытий хлебопекарных форм, автомобильных стёкол и керамической плитки с глазурью являются:

1. Низкая термоустойчивость. В результате этого полимерные покрытия полностью разрушаются даже при однократном «холостом пробеге» формы через печь. Еще более распространенным их недостатком является разрушение покрытия верхней части форм. Это происходит как при выпечке хлеба массой, меньшей, чем допускает данная форма, так и в результате того, что в начальный период выпечки эта часть формы не защищена тестом-хлебом от внешнего теплового воздействия. Такое разрушение покрытия возможно также при выпечке тестовых заготовок, которые аномально медленно или плохо увеличиваются в объеме;

2. Низкая механическая прочность. В результате чистки форм твердыми предметами покрытие разрушается;

. Низкая адгезия покрытий к основному материалу формы. Она обусловлена только наличием микронеровностей поверхности подложки (формы). Долговечность полимерного покрытия уменьшается вследствие того, что оно со временем вспучивается и отслаивается. Этому способствуют любые механические повреждения его наружной поверхности;

. Взаимодействие многих полимерных покрытий с растительным маслом. В результате, при выпечке хлеба, случайное попадание на поверхность покрытия растительного масла вызывает его разрушение;

. Низкое светопропускание покрытия (плёнки);

. Накопление статического электричества на поверхности глазури, что приводит к загрязнению.

Разработка антиадгезионного покрытия лишенного указанных недостатков явилась целью данной работы, которая сформулирована нами следующим образом: разработка на основе научных исследований усовершенствованного антиадгезионного покрытия, обладающего повышенными термическими и механическими свойствами, и повышенной адгезией к подложке, высокой светопропускной способностью и электропроводностью.

Проблемными вопросами в достижении поставленной цели являются:

. Необходимость замены материала покрытия для увеличения его тепловой и механической прочности и увеличения адгезии к подложке;

. Выбор оптимальных параметров нового покрытия;

. Разработка технологии его нанесения, включающая обоснование выбора показателей для всесторонних оценок качества и методов этих оценок;

. Производственные проверки разработанного покрытия.

Основными требованиями к работоспособности антиадгезионных покрытий, используемых в промышленности, являются:

низкая адгезия теста-хлеба к покрытиям;

высокая адгезия покрытий к термообрабатываемым поверхностям (поверхность хлебных форм и листов);

механическая прочность антиадгезионных покрытий;

термостойкость антиадгезионных покрытий;

химическая инертность антиадгезионных покрытий (покрытие не должно взаимодействовать с пищевым продуктом);

наличие экономического эффекта при использовании антиадгезионных покрытий на производственных мощностях;

высокая светопропускная способность;

электропроводность покрытия.

Исходя из анализа недостатков существующих полимерных покрытий, можно сделать вывод о том, что их совершенствование для достижения поставленной цели не перспективно. Необходима разработка нового покрытия и оптимизация его параметров.

Как правило, при разработке нового покрытия возникают проблемы оценки его качества. Для этого необходим выбор показателей, всесторонне (комплексно) оценивающих его качество, и методик их определения. В результате этих исследований должна быть разработана и апробирована на практике технология нанесения нового покрытия.

Глава 2. Объекты и методы исследования

.1 Объекты и схема исследования

Объектом исследования данной курсовой работы являются следующие реактивы и материалы:

CuCl2×2H2O - по ГОСТ 4167-74;2×2,5H2O - по ГОСТ 4330-76;2×2H2O - по ГОСТ 4210-77;4 - по ГОСТ 20490-75;2×4H2O - по ГОСТ 612-75;2×2H2O - по ГОСТ 4529-78;3 - по ГОСТ 1277-75;4 - по ТУ 2623-02-40897595-99;

Спирт этиловый 96 % - по ГОСТ Р 51999-2002;

Чашки Петри - по ГОСТ 25336-82;

Предметные стекла - по ГОСТ 9284-75;

Натрий хлористый - по ГОСТ 4233-77;

Гидроксид натрия - по ГОСТ 11078-78;

Гидроортофосфат калия - по ГОСТ 2493-75;

Глицерин дистиллированный - по ГОСТ 6824-96;

Дистиллированная вода - по ГОСТ 6709-72.

Схема проведения исследования дона на рис 2.1

Рисунок 2.1 - схема проведения исследований

2.2 Методы исследования

.2.1 Методы очистки поверхности

2.2.1.1 Мойка водой

Мойку часто применяют для предварительной очистки поверхности изделий. Происходит удаление физически адсорбированных веществ, слабо связанных с поверхностью. Смываются различного рода загрязнения неорганического происхождения. Жировые вещества, как животного, так и минерального происхождения при промывке практически не устраняются из-за слабой растворимости в воде. Промывка водой иногда используется как завершающая стадия очистки поверхности. Например, если обработка поверхностей заканчивается обезжириванием или травлением. Мойка водой осуществляется либо в специальных ваннах, либо струйным способом. Промывочная вода может служить источником загрязнений. В связи с этим промывочную воду пропускают через специальные фильтры. Для удаления растворенных в воде солей применяют дистилляцию с двойной и даже тройной перегонкой. Особенно ответственные изделия микроэлектронной аппаратуры промывают дистиллированной деионизированной (очищенной с помощью ионообменных смол) водой. Удельное электрическое сопротивление такой воды (5-10)×106 Ом×см, для бидистиллята (5-6)×106 Ом×см [9].

2.2.1.2 Обезжиривание поверхностей

Обезжиривание предназначается для удаления с поверхности изделий жировых загрязнений. Обычно эту операцию проводят после мойки водой или совмещая мойку с обезжириванием. В результате предварительной мойки, обезжиривании и последующей промывки горячей и холодной водой с поверхности удаляется большинство химически несвязанных веществ (загрязнений). Такой обработке подвергают практически все изделия при нанесении на них покрытий. Технологический процесс осуществляют в специальных ваннах или применяют местное обезжиривание, например посредством протирки хлопчатобумажными салфетками. Удаление жировых загрязнений производят в основном в щелочных растворах или органических растворителях. Под действием щелочи животные жиры разлагаются (омыливаются), образуя мыла - растворимые в воде соли жирных кислот и глицерин. Реакция стеарина (составная часть животного сала) с едким натром имеет вид:

17Н35СОО)3С3Н5 + 3NaOH = 3C17H35COONa + C3H5(OH)3

Натриевая соль стеариновой кислоты (мыло) растворяется в воде, образуя коллоидный раствор. Растительные масла или неомыливаемые жиры со щелочами в химическое взаимодействие не вступают; при определенных условиях они могут образовывать со щелочами эмульсии и, таким образом отделяться от поверхности. Для активации этого процесса в раствор вводят поверхностно-активные вещества (ПАВ), обладающие моющими и эмульгирующими свойствами. Температуру щелочных обезжиривающих растворов выбирают от 60 до 80 °С. При увеличении температуры и при перемешивании раствора процесс очистки ускоряется. Продолжительность обезжиривания составляет от 3 до 20 мин в зависимости от материала изделия, количества и рода загрязнений. Состав щелочных растворов и режим обезжиривания для различных материалов и видов жировых загрязнений применительно к покрытиям регламентированы производственными инструкциями или стандартами. Например, для многих металлов и сплавов может быть использован следующий состав раствора (г/л) и режим химического обезжиривания: 15-35 Na3PO4×12Н2О; 15-35 Na2CO3; температура ванны 60-80 °С; продолжительность 5-20 мин. Затем следует промывка горячей (70-90 °С) и холодной (10-20 °С) водой с последующей сушкой сжатым воздухом, подогретым до температуры 45-60 °С [9].

Обезжиривание в органических растворителях сводится к обычному процессу растворения жиров и масел. Для этих целей применяют керосин, бензин, толуол и хлорированные углеводороды (трихлорэтилен; тетрахлорэтилен и др.), последние не воспламеняются и позволяют обезжиривать при повышенных температурах. Существенным недостатком большинства органических растворителей, особенно хлорированных, является их ядовитость и высокая стоимость.

Для повышения эффективности обезжиривания в ваннах используют высокочастотные колебания (10-20 кГц). Благодаря этому происходит ультразвуковая очистка поверхности. При наложении ультразвуковых колебаний наблюдается сильное возбуждение жидкости, приводящее к кавитации - возникновению мгновенных высоких гидростатических давлений на поверхности и отрыву частиц жировых загрязнений. При массовом производстве обезжиривание проводят в специальных ваннах с применением специализированной оснастки. Ванны оборудованы вытяжными устройствами для улучшения условий труда и при необходимости противопожарными средствами. Для обезжиривания единичных изделий обычно применяют протирку поверхности ветошью и хлопчатобумажными салфетками [8].

2.2.1.3 Обезвоживание поверхностей изделий

На практике при нанесении покрытий для удаления следов влаги применяют процесс обезвоживания. Операцию проводят обычно в этиловом спирте, возможно применение и других спиртов, что связано с условиями техники безопасности и производственной санитарии. Обезвоживание мелких изделий производят окунанием, более крупных протиркой хлопчатобумажными салфетками. Данный вид заключительной подготовки поверхности проводят для особо ответственных изделий таких как, нанесение пленок в изделиях микроэлектронной техники, на лопатки турбины [8]. Кроме того выдержка в сушильных шкафах при 100-130 °С, с последующим хранением полуфабрикатов в эксикаторах с силикагелем.

2.2.2 Метод распыления пульверизатором из спиртовых растворов

Метод предназначен для распыления нетоксичных и нелетучих соединений.

Распыление происходит по следующим пунктам:

. Заливаем в пульверизатор 2-3 мл раствора;

. Открываем дверцу муфельной печи;

. Выдвигаем, с помощью захвата, шамот на 10 см из рабочей зоны муфельной печи;

. Наклоняем шамот в сторону пульверизатора;

. Пульверизатор на вытянутой руке;

. Делаем 6 «качков».

Процесс напыления должен проходить под вытяжкой и при соблюдении всех правил безопасности.

2.2.3 Метод растекающейся капли (сидячая капля)

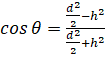
Данный метод основан на измерении краевого угла жидкости и пересчете по формуле. Так как краевой угол смачивания является характеристикой гидрофильности и гидрофобности то данный метод подходит для поставленной задачи.

В методе сидячая капли измеряется угол между твердой поверхностью и жидкостью в точке контакта трех фаз. Соотношение сил межфазного и поверхностного натяжения в точке контакта трех фаз может описываться уравнением Юнга, на базе которого можно определить краевой угол. Далее измеряется высота капли (h) и длина растекания капли. Рассчитывается по следующей формуле:

 (21)

где d  ̶ длина капли, мм;

h  ̶ высота капли, мм.

По данной формуле можно построить техническую схему метода.

Рисунок 2.2  ̶ Метод построения сидячая капли

Для реализации данного метода используем фотоаппарат на штативе (столик) и столик с изменяющейся высотой.

Метод лежачей капли выполняется по следующим пунктам:

1. Фиксируем на столике подложку (предметное стекло);

. Капаем с помощью автоматической пипетки вещество (вода, глицерин). Количество вещества фиксированно  ̶ 20 мкл и фиксирована высота 5 мм над стеклом;

. Фотографируем. Центр объектива должен быть направлен на раздел жидкой и твердой фаз;

. Обрабатываем информацию с помощью формулы (21).

2.2.4 Метод прикреплённого пузыря (висячая капля)

Данный метод похож на метод растекающейся капли (лежачей). Имеет отличие: поверхность после нанесения переворачивается в обратную сторону (вниз).

Метод сидячей капли происходит по следующим пунктам:

1. Фиксируем на столике подложку (предметное стекло);

. Капаем с помощью автоматической пипетки вещество (вода, глицерин). Количество вещества фиксированное - 20 мкл и фиксирована высота 5 мм над стеклом;

. Переворачиваем стекло каплей вниз;

. Стекло устанавливается на опоры. С целью не нарушить капли;

. Фотографируем. Центр объектива должен быть направлен на раздел фаз жидкой и твердой;

. Обрабатываем информацию с помощью формулы (21).

Рисунок 2.3  ̶ Метод построения висячей капли

2.2.5 Методика измерения оптической плотности (коэффициента пропускания) и мутности пластин и пленок из полимерных материалов по ГОСТ 8.829-2013

Измерения производятся с помощи спектрофотометра СФ-46 при длинах волн 350-720 нм (видимый спектр).

Методика измерения оптической плотности (коэффициента пропускания) и мутности пластин и пленок из полимерных материалов по ГОСТ 8.829-2013 происходит по следующим пунктам:

. Подготовка покровного стекла по пункту 2.2.1.1, 2.2.1.2 и 2.2.1.3;

. Контрольный образец (без покрытия) фиксируем на 1 участке салазок прибора;

. Исследуемый образец (с покрытием оксида металлов) фиксируем на 4 участке салазок, так как предметные стекла имеют размеры: 26 мм ширина, 74 мм длина и 0,2 мм толщина. Размер «окна» салазок прибора 10 мм, и предметные стёкла необходимо располагать на крайних участках салазок;

. Салазки прибора фиксируем в рабочей зоне;

. Включаем прибор в розетку;

. Нажимаем для запуска кнопку пуск;

. Выставляем рычаг на положение Ф;

. Прибор прогреваем 30 минут;

. Нажимаем кнопку Ш(0). Данная кнопка показывает погрешность прибора. Она должна быть не более 0,005;

. Выставляем рычаг 2 на ширину щели на 0,25;

. Салазки должны располагаться так чтобы контрольный образец был напротив фотоэлемента;

. Перевести рычаг 1 в положение открыть, заглушка открывает фотоэлемент;

. Нажимаем кнопку К1. На табло должно появиться число 0,5-2,5;

. Если на табло высвечивается число меньше 0,5 то увеличить ширину щели рычагом 2;

. Повторять пункт 13 и 14 до 0,5-2,5 значения на табло;

. Переключить салазки прибора на положение 4, где находится исследуемый образец;

. Записать результат измерения;

. Переключить рычаг 3 на необходимую длину волны;

. Перевести рычаг 1 в положение закрыть, фотоприёмник закрыт;

. Повторить пункты 9-19 для измерения необходимого спектра.

Рассмотрим схему работы прибора спектрофотометр СФ-46 на рисунке 2.3.

Рисунок 2.4 - Техническая схема работы прибора спектрофотометр СФ-4

По завершению измерений строим график зависимости оптической плотности покрытий от длин волн.

2.2.6 Метод определения сопротивления ГОСТ 31770-2012

Метод основан на измерении разницы потенциала щупов 1 и 2, расположенных на фиксированном расстоянии.

Метод определения сопротивления ГОСТ 31770-2012 происходит по следующим пунктам:

1. Подготовка покровного стекла по пункту 2.2.1.1, 2.2.1.2 и 2.2.1.3;

2.      Включаем ВИК ̶ УЭС и выставляем рубильник на измерение сопротивления, Ом;

3. Щуп 1 и 2 фиксируем на одном расстоянии;

4.      Касаемся щупами предметного стекла;

5.      Фиксируем результат прибора.

Данный метод позволяет грубо оценить значение поверхностного сопротивления образцов с покрытием.

 


Глава 3. Экспериментальные данные и их анализ

.1 Технология получения нанопокрытия

Технология производства неорганического антиадгезионного нанопокрытия.

Приготовление покрытия происходит по следующим пунктам:

1. Используем порошковидный SnCl4×5Н2О, который растворяем в 1000 мл 96% этилового спирта;

2.      Оставляем данный раствор на 1 сутки для прохождения гидролиза.

.        Готовим растворы солей в 50 мл спиртовой растворе олова: CuCl2×2H2O; CuCl2×2H2O; SbCl3×2H2O; CdCl2×2H2O; BaCl2×2H2O; PbCl2×2H2O; KMnO4; MnCl2×2H2O; ZnCl2×2,5H2O; AgNO3: 0,5 г растворяем в 50 мл 96% этиловом спирте. Масса всех солей по 0,5 грамм;

4. Оставляем данные растворы на сутки для гидролиза;

5.      При появлении осадка отфильтровываем. Осадок выпал в образцах KMnO4, CdCl2, PbCl2.


Таблица 1 - Состав и температура нанесения покрытий

Состав наносимого раствора для получения покрытия

Температура нанесения

1

SnCl4×5H2О

500°C

2

CuCl2+SnCl4

500°C

3

AgNO3

500°C

4

SbCl3+SnCl4

500°C

5

CdCl2+SnCl4

500°C

6

BaCl2+SnCl4

500°C

7

PbCl2+SnCl4

500°C

8

KMnO4+SnCl4

500°C

9

MnCl2+SnCl4

500°C

10

ZnCl2+SnCl4

500°C


Процесс получения покрытий из оксидов олова нестехиометрического состава можно представить следующими схемами:

SnCl4 + H2O ® SnO2 + HCl;                                                          (22)2 + восстановитель ® SnO + Sn + H2O;                                    (23)

SnO + О2 ® SnO2;                                                                         (24)® Sn + SnO2                                                                            (25)

Указанные схемы позволяют получить на нагретой до 450-500°С поверхности стекла покрытия из оксидов олова нестехиометрического состава.

Остальные процессы с двумя металлами проходят по похожему пути.

3.2 Очитка субстрата (предметного стекла)

Перед нанесением раствора на субстрат (чашка Петри) необходимо провести очитку поверхности по пунктам 2.2.1.1, 2.2.1.2 и 2.2.1.3.

3.3 Технология нанесения нанопокрытия

Технология нанесения неорганического антиадгезионого нанопокрытия.

Нанесение покрытия происходит по следующим пунктам:

1. В огнеупорном кирпиче из шамота размером 230×114×65 мм вырезали выемка, круглой формы, глубиной 20 мм и диаметром 90 мм. На дно отверстия насыпали глинозём. Данное отверстие предназначено для нижней части чашки Петри. Делаем втрое отверстие на том же шамотном кирпиче ниже первого на 10 мм. Втрое отверстие прямоугольной формы глубиной 10 мм, длина 80 мм, ширина 30 мм. На дно второй выемки засыпаем глинозём. Вторую выемку необходимо сделать для внесения в неё предметного стекла (спутника);

. Разогреваем муфельную печь до 500-550 °C;

. Вносим наш кирпич с образцами (нижняя часть чашки Петри покровное стекло) в муфельную печь. Ожидаем 20 мин;

. Заливаем 10 мл раствора солей в ручной пульверизатор;

. Открываем муфельную печь и аккуратно, не до конца, вынимаем кирпич;

. Осуществляем пульверизацию образцов раствором солей;

. Вносим кирпич в муфельную печь. И оставляем остывать печь до низкой температуры (150-200 °C).

Данный тип нанесения является простым с технологической части и надёжным со стороны выполнения, но имеет недостаток при напылении в лабораторных условиях. Так как напыление происходит из ручного распылителя при резком падении температуры, то и степень равномерности очень мала и на поверхности образцов наблюдаем радужное покрытие, что и свидетельствует о большой неравномерности. Термин, характеризующий данную реакцию называют иризация.

Иризация  ̶ это совокупность физико-химический процессов, в результате которых на поверхности стекла образуются оксиды металлов, что приводит к интерференции света, то есть к радужному покрытию.

Данный недостаток будет убран при нанесении покрытия в промышленной установке.

3.3.1 Измерения краевого угла смачивания методом растекающейся капли (сидячая капля)

На данном этапе исследования необходимо изучить способность покрытий смачивается жидкостью. Для этого необходимо провести эксперименты с разными типами жидкости (вода и глицерин). Эксперимент проходит по пункту 2.2.3 Метод растекающейся капли (сидячая капля).

Данные после измерения, методом лежачей капли с нанесённой водой, вносим в таблицу 2.

Таблица 2  ̶ результаты измерений по пункту 2.2.3

Вода, сидячая капля

образцы

ширина d, мм

высота h, мм

Контроль

4,7

0,4

Контроль

5,4

0,8

SnCl4×5H2О

2,8

1,05

SnCl4×5H2О

3,74

1,1

CuCl2+SnCl4

3

0,62

CuCl2+SnCl4

2,4

0,7

ZnCl2+SnCl4

2,5

0,93

ZnCl2+SnCl4

2,485

0,9

CdCl2+SnCl4

2,5

0,89

CdCl2+SnCl4

2,3

0,8

MnCl2+SnCl4

1,8

0,8

MnCl2+SnCl4

2,15

0,8

KMnO4+SnCl4

1,98

0,73

KMnO4+SnCl4

2,585

1,12


По формуле (21) рассчитываем краевой угол, среднее значение и вносим в таблицу 3.

Таблица 3  ̶ результаты вычислений по формуле (21)

Вода, сидячая капля

образцы

cos q

краевой угол q,°

Контроль

1,131027614

44,80310881

Контроль

1,552208505

48,93499625

Среднее

76,86905253

SnCl4×5H2О

1,54

88,23550045

SnCl4×5H2О

1,863979239

86,7981435

Среднее


87,51682197

CuCl2+SnCl4

1,213555556

69,53161154

CuCl2+SnCl4

1,149722222

65,87423095

Среднее

67,70292124

ZnCl2+SnCl4

1,311364

75,13562261

ZnCl2+SnCl4

1,285322762

73,64356955

Среднее

74,38959608

CdCl2+SnCl4

1,285156

103,63401482

CdCl2+SnCl4

1,156068053

106,23782026

Среднее

104,93591754

MnCl2+SnCl4

0,849876543

48,69433903

MnCl2+SnCl4

1,086187128

62,23393821

Среднее

55,46413862

KMnO4+SnCl4

0,989179971

56,67583754

KMnO4+SnCl4

0,903512384

56,14491405

Среднее

71,41037579


Из таблицы 3 видим, что все образцы хуже смачиваются водой. Наименьшее максимальное значение краевого угла, а следовательно, наименьшая адгезия к воде у покрытия SnCl4×5H2О и CdCl2+ SnCl4.

Повторим этот же опыт, заменив воду глицерином. Данный опыт проведём по методу растекающейся капли (лежачей). По завершению измерения внести в таблицу 4.

Таблица 4  ̶ результаты измерений по пункту 2.2.3

Глицерин, сидячая капля

образцы

ширина d, мм

высота h, мм

Контроль

3,4

0,48

Контроль

2,8

0,3

SnCl4×5H2О

2,05

0,8

SnCl4×5H2О

2,8

0,8

CuCl2+SnCl4

2,1

0,9

CuCl2+SnCl4

2,3

0,65

ZnCl2+SnCl4

2,315

0,7

ZnCl2+SnCl4

2,11

0,7

CdCl2+SnCl4

2,41

0,8

CdCl2+SnCl4

1,9

0,6

MnCl2+SnCl4

1,85

0,6

MnCl2+SnCl4

2,1

0,51

KMnO4+SnCl4

2,3

0,9

KMnO4+SnCl4

2,4

0,8


По формуле (21) рассчитываем краевой угол, среднее значение и вносим в таблицу 5.

Таблица 5  ̶ результаты вычислений по формуле (21)

Глицерин, сидячая капля

Образцы

cos q

Краевой угол q,°

Контроль

1,150676817

55,92892518

Контроль

1,044081633

59,82147102

Среднее

57,8751981

SnCl4×5H2О

1,030838786

79,06271182

SnCl4×5H2О

1,313469388

75,25625244

Среднее

77,15948213

CuCl2+SnCl4

1,075306122

61,6105025

CuCl2+SnCl4

1,103029301

63,1989236

Среднее

62,40471305

Глицерин, сидячая капля

Образцы

cos q

Краевой угол q,°

ZnCl2+SnCl4

1,124275478

64,41623991

ZnCl2+SnCl4

1,049758316

60,14672103

Среднее

62,28148047

CdCl2+SnCl4

1,199236239

78,71117514

CdCl2+SnCl4

0,961108033

75,06743396

Среднее

76,88930455

MnCl2+SnCl4

0,939254931

53,81534341

MnCl2+SnCl4

1,024181633

58,68128501

Среднее

56,24831421

KMnO4+SnCl4

1,197523629

68,61304984

KMnO4+SnCl4

1,195555556

68,50028751

Среднее

68,55666867


Из таблицы 5 делаем вывод. Наименьшее максимальное значение краевого угла, а следовательно, наименьшая адгезия к глицерину у покрытия SnCl4×5H2О и CdCl2+SnCl4. Эти показатели совпадают с результатами из таблицы 3. Образцы покрыты CdCl2+SnCl4 и SnCl4×5H2О имеют наилучшие антиадгезионные свойства по сравнению с контролем.

3.3.2 Измерения краевого угла смачивания методом прикреплённого пузыря (висячая капля)

На данном этапе исследования необходимо изучить способность покрытий смачивается жидкостью. Для этого необходимо провести эксперименты с разными типами жидкости (вода и глицерин). Эксперимент проходит по пункту 2.2.4 Метод прикреплённого пузыря (висячая капля).

Данные после измерения, методом прикреплённого пузыря с нанесённой водой, вносим в таблицу 6.

Таблица 6  ̶ Результаты измерений по пункту 2.2.4

Вода, висячая капля

образцы

ширина d, мм

высота h, мм

Контроль

-

-

Контроль

4,7

0,5

SnCl4×5H2О

3,05

0,9

SnCl4×5H2О

3

0,75

CuCl2+SnCl4

2,49

0,58

CuCl2+SnCl4

2,35

0,45

ZnCl2+SnCl4

1,82

0,75

ZnCl2+SnCl4

2,82

0,75

CdCl2+SnCl4

2,25

0,7

CdCl2+SnCl4

2

0,79

MnCl2+SnCl4

1,885

0,7

MnCl2+SnCl4

1,7

0,7

KMnO4+SnCl4

1,99

0,585

KMnO4+SnCl4

2,85

0,79


По формуле (20) рассчитываем краевой угол, среднее значение и вносим в таблицу 7.

Таблица 7  ̶ Результаты вычислений по формуле (21)

Вода, висячая капля

образцы

cos q

краевой угол q,°

Контроль

-

-

Контроль

1,204730647

69,02598154

Среднее

69,02598154

SnCl4×5H2О

1,461706531

83,74961508

SnCl4×5H2О

1,3125

85,20071061

84,47516285

CuCl2+SnCl4

1,119371242

64,1352479

CuCl2+SnCl4

1,055827297

60,49444804

Среднее

62,31484797

ZnCl2+SnCl4

0,883234211

70,6055926

ZnCl2+SnCl4

1,279566546

73,31376269

Среднее

71,95967765

CdCl2+SnCl4

1,102839506

83,18804918

CdCl2+SnCl4

1

87,29577951

Среднее

85,24191435

MnCl2+SnCl4

0,938388436

53,76569692

MnCl2+SnCl4

0,811799308

46,51267416

Среднее

50,13918554

KMnO4+SnCl4

0,996551911

87,09821856

KMnO4+SnCl4

1,316756202

85,44457302

Среднее

76,27139579


Из таблицы 7 делаем вывод. Наименьшая адгезия у покрытия SnCl4×5H2О и CdCl2+SnCl4. Эти показатели совпадают с результатами из таблицы 6.Образцы покрыты CdCl2+SnCl4, SnCl4×5H2О и KMnO4+ SnCl4 имеют наилучшие антиадгезионные свойства по сравнению с контролем.

Повторим этот же опыт, заменив воду глицерином. Данный опыт проведём по методу растекающейся капли (лежачей). По завершению измерения внести в таблицу 8.

Таблица 8  ̶ Результаты измерений по пункту 2.2.4

Глицерин, висячая капля

образцы

ширина d, мм

высота h, мм

Контроль

2,6

0,4

Контроль

2,75

0,3

SnCl4×5H2О

1,9

0,7

SnCl4×5H2О

2,45

0,6

CuCl2+SnCl4

1,95

0,65

CuCl2+SnCl4

2,02

0,55

ZnCl2+SnCl4

2,18

0,7

ZnCl2+SnCl4

1,95

0,68

CdCl2+SnCl4

1,8

0,65

CdCl2+SnCl4

3

0,97

MnCl2+SnCl4

1,9

0,7

MnCl2+SnCl4

1,7

0,62

KMnO4+SnCl4

1,8

0,8

KMnO4+SnCl4

2

0,65


По формуле 20 рассчитываем краевой угол, среднее значение и вносим в таблицу 9.

Таблица 9  ̶ Результаты вычислений по формуле (21)

Глицерин, висячая капля

образцы

cos q

краевой угол q,°

Контроль

1,023668639

58,65189264

Контроль

1,042396694

59,72493116

Среднее

59,1884119

SnCl4×5H2О

0,780858726

84,73990938

SnCl4×5H2О

0,933511037

83,48624255

Среднее

83,11307597

Глицерин, висячая капля

образцы

cos q

краевой угол q,°

CuCl2+SnCl4

0,570428994

32,68317387

CuCl2+SnCl4

0,888324919

50,8972687

Среднее

41,79022129

ZnCl2+SnCl4

1,077576803

61,74060293

ZnCl2+SnCl4

0,946949638

54,25621769

Среднее

57,99841031

CdCl2+SnCl4

0,632376543

106,23250699

CdCl2+SnCl4

1,7809

102,0380537

Среднее

104,13528036

MnCl2+SnCl4

1,091108033

62,5158853

MnCl2+SnCl4

1,0244

58,69379653

Среднее

60,60484092

KMnO4+SnCl4

0,64

36,66929889

KMnO4+SnCl4

0,7825

44,83394747

Среднее

40,75162318


Из таблицы 9 делаем вывод. Наименьшая адгезия у покрытия SnCl4×5H2О и CdCl2+SnCl4. Эти показатели совпадают с результатами из таблиц 8 и 5. Образцы покрыты CdCl2+SnCl4, SnCl4×5H2О и KMnO4 имеют наилучшие антиадгезионные свойства по сравнению с контролем.

.3.3 Измерение светопропускания покрытий оптическим методом

Для производства стёкол для автомобилей необходимо соблюдать требования гост 8.829-2013 на светопропускание. Для этого производим измерения наших покрытий на предметном стекле. Перед измерением выполнить Измерение производим по пункту 2.2.5.

В таблице 10 указаны результаты измерения 7 образцах.

Таблица 10  ̶ Результаты измерения оптической плотности при длинах волн 350-720 нм

Длина волны, нм

Оптическая плотность


MnCl2

PbCl2

CuCl2

CdCl2

AgNO3

ZnCl2

SnCl4

350

0,043

0,112

0,145

0,091

0,01

0,117

0,018

360

0,046

0,105

0,126

0,074

0,015

0,1

0,018

370

0,051

0,093

0,113

0,061

0,019

0,085

0,018

380

0,054

0,079

0,102

0,051

0,026

0,077

0,018

390

0,062

0,069

0,086

0,044

0,041

0,072

0,017

400

0,065

0,062

0,077

0,039

0,058

0,067

0,017

410

0,066

0,053

0,068

0,036

0,054

0,063

0,017

420

0,063

0,052

0,061

0,038

0,038

0,052

0,019

430

0,065

0,051

0,056

0,042

0,022

0,044

0,017

440

0,062

0,048

0,05

0,045

0,018

0,04

0,017

450

0,066

0,047

0,047

0,041

0,014

0,045

0,017

460

0,069

0,046

0,045

0,043

0,011

0,046

0,015

470

0,068

0,047

0,044

0,046

0,01

0,039

0,016

480

0,069

0,048

0,042

0,048

0,009

0,043

0,014

490

0,069

0,05

0,042

0,052

0,009

0,043

0,015

500

0,069

0,051

0,043

0,05

0,008

0,046

0,015

510

0,069

0,053

0,044

0,052

0,009

0,047

0,014

520

0,069

0,055

0,046

0,052

0,007

0,048

0,014

530

0,068

0,057

0,046

0,053

0,008

0,049

0,014

540

0,067

0,057

0,046

0,053

0,004

0,05

0,014

550

0,067

0,058

0,048

0,054

0,004

0,053

0,014

560

0,065

0,06

0,05

0,056

0,004

0,056

0,014

570

0,064

0,061

0,051

0,006

0,059

0,014

580

0,064

0,062

0,054

0,059

0,006

0,061

0,013

590

0,062

0,063

0,055

0,054

0,007

0,064

0,014

600

0,063

0,064

0,056

0,061

0,006

0,064

0,013

610

0,06

0,067

0,059

0,059

0,006

0,064

0,013

620

0,06

0,067

0,059

0,05

0,005

0,064

0,014

630

0,058

0,069

0,06

0,062

0,005

0,064

0,012

640

0,058

0,067

0,061

0,063

0,006

0,066

0,011

650

0,055

0,068

0,063

0,065

0,005

0,068

0,013

660

0,053

0,069

0,063

0,064

0,005

0,069

0,012

670

0,05

0,07

0,064

0,065

0,005

0,069

0,011

680

0,049

0,071

0,067

0,064

0,006

0,07

0,012

690

0,048

0,068

0,066

0,07

0,005

0,07

0,012

700

0,047

0,07

0,068

0,064

0,005

0,07

0,012

710

0,048

0,068

0,068

0,063

0,004

0,07

0,011

720

0,046

0,069

0,069

0,063

0,004

0,074

0,011


Проанализировав результаты из таблицы 10 делаем выводы. Минимальное разница между контролем SnCl4×5H2О говорит о тонком и ровном слое.

По результатам оптической плотности и длины волны строим график.

Рисунок 3.1 - График зависимости оптической плотности к длине волны

По результатам построенного графика Рисунок 3.1 делаем вывод. Образец AgNO3 имеет пик на длинах волн 390-410 нм. По графику видно, в видимом свете (400-700 нм) образцы не имеют «искажений». Из этого следует наличие на поверхности стекла полупроводниковой плёнки так как, пик находится в районе ультрафиолетовое излучении (до 350) нм. Этот результат мы видим у следующих образцов: ZnCl2, PbCl2, CuCl2, CdCl2.

3.3.4 Измерение сопротивления с помощью ВИК  ̶ УЭС

Для данного измерения необходимо очистить предметные стекла по методу указанных в пунктах 2.2.1.1, 2.2.1.2 и 2.2.1.3.

Далее проводим измерение по пункту 2.2.6 Метод определения сопротивления ГОСТ 31770-2012.

При измерении выставляем тумблер на «20к» это обозначает 20 КОм.

Измерение производим по пункту 2.2.6 Метод определения электропроводности ГОСТ 31770-2012.

Данные и среднее значение заносим в таблицу 11.

Таблица 11 ̶ измерение электропроводности с помощью ВИК  ̶ УЭС

Образец

Сопротивление, Ом×м2

Контроль

нет результатов

CdCl2

86906

CuCl2

нет результатов

ZnCl2

нет результатов

PdCl2

нет результатов

SnCl2

130540

 

Из таблицы 11 видим, что сопротивление присутствует у образца CdCl2 и SnCl2. Возможные причины отсутствия сопротивления у остальных образцов связаны с неравномерным нанесением покрытия. У прибора ВИК  ̶ УЭС расстояние между щупами составляет 150 мм. Так как нанесение покрытия происходит с помощью пульверизатора, то равномерность невозможно контролировать. Само покрытие располагается локально по поверхности подложки. По данной причине мы не видим результаты у образцов CuCl2, ZnCl2, PdCl2.

Вывод по главе 3

Проведя опыты по методам указанные в пунктах 2.2.2, 2.2.3 и 2.2.4 и проведя анализ, мы выявили образец (CdCl2) который является по заявленным характеристикам лучше, чем SnCl2. Покрытие с CdCl2 имеет большую антиадгезию, результаты указаны в таблице 4, 6 и 8. Также образец CdCl2 хорошую светопропусканию способность и имеет электропроводность. CdCl2 является более предпочтителен, чем SnCl2, по выше перечисленным факторам.

 

Заключение


1. Теоретически обоснована и практически доказана целесообразность использования покрытия из оксидов металлов для придания антиадгезионных свойств.

2. Разработана технология нанесения покрытия из оксидов металлов нестехиометрического состава на поверхность предметного стекла, включающая подготовку поверхности форм, контроль качества подготовки поверхности, нанесение покрытий. Параметрами, определяющими работоспособность разработанных покрытий, являются их краевой угол смачивания, оптическая плотность и электропроводность.

3. На поверхности покрытого предметного стекла наблюдаем процесс иризация. Это связанно с не соблюдением техники напыления. Установка пульверизатора в муфельную печь решает данную проблему.

. Показана возможность использования в качестве показателя антиадгезионных свойств покрытий краевого угла смачивания водой его поверхности. Этот параметр также может использоваться в качестве показателей антиадгезионных свойств покрытия.

6. Косвенный показатель равномерности это оптическая плотность. Исследования показали, что покрытия не имеет цвета в видимом спектре. Необходимо провести исследования в отношения оптической плотности к толщине.

. Измерение поверхностного сопротивления данных покрытий выявило непостоянство толщины покрытия. Данный опыт необходим в доработке. Эта проблема легко устранима при использовании промышленных установок для нанесения покрытий.

Список использованной литературы

1. Пятигорская, Л.В. Сергиенко Т.Е., Сачкова Л.А., Губанова М.И., Семенов Г.В. Антиадгезионные и антипригарные покрытия для пищевых производств. // Пищевая промышленность, 1998, № 12. - 470 с.

. Ризаева М.Д., Вяселева Г.Я., Барабанов В.П., Коноплева А.А., Кадыров И.А. Комбинированные покрытия на основе фторпластов. // Лакокрасочные материалы и их применение, 1990, № 5. - 320 с.

3. Пятигорская Л.В., Сергиенко Т.Е., Сухарева Л.А., Сачкова Л.А., Губанова М.И. Термостойкие антиадгезионные покрытия для формующей технологической тары. // Мясная индустрия, 1996, № 2 - 410 с .

4. Фрейдин А.С., Турусов Р.А. Свойства и расчет адгезионных соединений. - М.: Химия, 1990. - 255 с.

5. Абразиметры, соответствующие нормам PEI (норма UNI M7 / европейская норма EN 154) / Руководство к пользованию. - Welko, Milan, 1999 - 455 c.

6. Шоркин В.С. Контроль дефектности тонкопленочных покрытий. / Труды 5-й международной конференции «Пленки и покрытия ‘ 1998». Под ред. проф. д-ра техн. наук, академика НАН В.С. Клубникина. - СПб.: Полиплазма, 1998. - 397 с.

7. Матюхин С.И., Фроленков К.Ю., Антонов О.Н., Игошин В.М. Поверхностное натяжение и адгезионные свойства тонкопленочных покрытий. / Труды 6-й международной конференции «Пленки и покрытия ‘ 2001». Под ред. проф. д-ра техн. наук, академика НАН В.С. Клубникина. - СПб.: СПбГТУ, 2001. ̶ 581 с.

8. Антонов О.Н., Игошин В.М., Фроленков К.Ю. Антиадгезионные покрытия на основе пленок сложных оксидов. // Хранение и переработка сельхозсырья, 2000, № 3. - 480 с.

9. Зимон А.Д. Адгезия и адгезионная прочность теста. // Хранение и переработка сельхозсырья, 1996, № 6. - 240 с.

. Зимон А.Д. и др. / Заводская лаборатория. 1991, Т. 53, № 3.

. Зимон А.Д. Адгезия теста на шероховатых поверхностях. // Хранение и переработка сельхозсырья, 1995, № 4.

12. Стекло безопасное для наземного транспорта. Общие технические условия [Текст]: ГОСТ 32565-2013. - Взамен ГОСТ 5727-88; введ. 01.01.15.

13. Методика измерения оптической плотности (коэффициента пропускания) и мутности пластин и пленок из полимерных материалов [Текст]: ГОСТ 8.829-2013.  ̶ Изд. сент.2013.

14. Малышева, Ж.Н. Теоритическое и практическое руководство по дисциплине «поверхностные явления и дисперсные системы»: учеб. пособие / Ж.Н. Малышева, И.А. Новикова; ВолгГТУ.  ̶ Волгоград, 2007.  ̶ 344 с.

15. Метод определения электропроводности (с Поправкой) [Текст]: ГОСТ 31770-2012. .  ̶ Изд. окт.2013.

Похожие работы на - Разработка и изучение на основе научных исследований усовершенствованного антиадгезионного покрытия, обладающего повышенными термическими и механическими свойствами, повышенной адгезией к подложке и отсутствием токсичности

 

Не нашли материал для своей работы?
Поможем написать уникальную работу
Без плагиата!
Без нейросетей!