Расчет и проектирование привода общего назначения
ФЕДЕРАЛЬНОЕ АГЕНСТВО ЖЕЛЕЗНОДОРОЖНОГО
ТРАНСПОРТА
ФЕДЕРАЛЬНОЕ ГОСУДАРСТВЕННОЕ БЮДЖЕТНОЕ
ОБРАЗОВАТЕЛЬНОЕ
УЧРЕЖДЕНИЕ ВЫСШЕГО ПРОФЕССИОНАЛЬНОГО
ОБРАЗОВАНИЯ
"МОСКОВСКИЙ ГОСУДАРСТВЕННЫЙ
УНИВЕРСИТЕТ ПУТЕЙ СООБЩЕНИЯ" (МГУПС (МИИТ))
Кафедра "Теоретическая и прикладная
механика"
"ДЕТАЛИ МАШИН"
Курсовой проект
Расчет и проектирование привода
общего назначения
РОАТ 2017
ЗАДАНИЕ И ИСХОДНЫЕ ДАННЫЕ

Рисунок 1 - Кинематическая схема привода
-
Мощность на выходном валу привода - 
Режим
работы - легкий;
Срок
службы - 
(600
рабочих дней);
Число
смен работы - 
;
Частота
вращения выходного вала - 
Передаточное
число редуктора 
Первая
ступень редуктора (быстроходная) - прямозубая;
Вторая
ступень редуктора (тихоходная) - прямозубая.
Содержание
Введение
. Выбор электродвигателя и определение расчётных параметров
привода
.1 Выбор электродвигателя
.2 Расчетные параметры привода
.3 Кинематические и силовые параметры привода
. Расчет редуктора
.1 Материал для зубчатых колес
.2 Числа циклов перемены напряжения
.3 Допускаемые напряжения
.4 Расчет тихоходной (5-6) ступени редуктора
.5 Расчет быстроходной ступени (3-4) редуктора
. Расчет валов редуктора
.1 Предварительный расчет валов и подбор подшипников
.2 Основные размеры к эскизной компоновки редуктора
.3 Проектный расчет валов из условия статической прочности
(по эквивалентному моменту)
.4 Расчет подшипников качения промежуточного вала редуктора
.5 Расчет шпоночных соединений
.6 Основные размеры корпуса и крышки редуктора
.7 Смазка редуктора
. Расчет клиноременной передачи
.1 Исходные данные
.2 Диаметры шкивов и передаточное число
.3 Фактическое и отличное от заданного передаточное число
Заключение
Список использованной литературы
Введение
Современное
машиностроение применяет разнообразные узлы и механизмы как по конструктивным,
так и по технологическим свойствам. При всём разнообразии деталей, узлов и
механизмов в целом, расчёт и конструирования отдельных элементов машин во
многом аналогично. Так, например, при разработке элементов привода рабочих
органов машин является расчет передачи крутящего момента от тягового двигателя
к исполнительному органу. Наиболее важным из таких исполнительных промежуточных
элементов какого-либо привода является редуктор.
При проектировании, расчёте и конструировании редукторов различных типов
наиболее важными направлениями деятельности конструктора является:
выбор и применение современных материалов;
стремление к максимальному уменьшения массы изделия;
внедрение прогрессивных технологий изготовления деталей;
увеличение надёжности и безопасности изделия в эксплуатации;
применение унифицированных стандартных узлов и деталей.
В процессе изучения курса "Детали машин и основы
конструирования" постегаю: электродвигатель
привод редуктор
Основы расчета и конструирования наиболее распространенных в машиностроении
узлов и деталей;
Умение ведения анализа однотипных разработок других производителей,
выделение наиболее прогрессивное решение;
Умение работать со справочной литературой, ГОСТ амии, а так же
современными программными обеспеченьями, графическими материалами при решении
поставленных задач в процессе работы над курсовым проектом.
Цель и задача настоящего курсового проекта состоит в том, чтобы на
примере расчета, проектирования и конструирования двухступенчатого
горизонтального цилиндрического прямозубого для привода ленточного конвейера
получить необходимые навыки творческой самостоятельной работы над техническим
заданием, применяя на практике полученное знание по учебной программе
"Детали машин и основы конструирования".
1. Выбор электродвигателя и определение расчётных параметров
привода
.1 Выбор
электродвигателя
Общий коэффициент полезного действия привода:
где

- к.п.д.
ременной передачи;

- к.п.д.
ступеней 3-4 и 5-6 зубчатых передач привода;
(принято
согласно рекомендаций [2,с.3]).
Следовательно,
общий к.п.д. привода равен:
Потребляемая
мощность электродвигателя (на входном валу):
Выбираю
электродвигатель по табл. 1.1. [2,с.4]
Согласно
найденному значению 
из
условия обеспечения заданного передаточного числа редуктора и допускаемого
значения передаточного числа клиноременной передачи.
Тип
электродвигателя 4А 112МА 6У 3. Данные по электродвигателю свожу в таблицу 1.
|
Таблица 1
|
|
Тип двигателя
|
Мощность Р 1, кВт
|
Асинхронная частота
вращения n1, об/мин
|
Отношение вращающего
момента к номинальному
|
|
|
|
максималь-ного
|
пускового
|
минималь-ного
|
|
4А 112МА 6
|
3
|
955
|
2,2
|
2,0
|
1,6
|
1.2
Расчетные параметры привода
Передаточное число привода:
Передаточное число ременной передачи:
Передаточное число редуктора:
где u34 = uБ - передаточное число быстроходной ступени (u34).= uТ -
передаточное число тихоходной ступени (u56).
Передаточное число тихоходной ступени:
Приму
значение передаточного числа
Передаточное
число быстроходной ступени:
Результаты расчётов передаточного число ступеней привода свожу в таблицу
2.
|
Таблица 2
|
|
|
|
|
Uпр
|
|
2,65
|
4,5
|
4
|
47,7
|
1.3
Кинематические и силовые параметры привода
Частоты вращения валов:
Мощности на валах привода:
Вращающие моменты на валах привода:
Проверка:
Расчет выполнен точно. Результаты по валам свожу в таблицу 3.
Таблица 3
|
Вал №
|
P, кВт
|
n,об/мин
|
T, Нм
|
|
1
|
3
|
955
|
30
|
|
2
|
2,85
|
360,4
|
75,52
|
|
3
|
2,79
|
80
|
333,1
|
|
4
|
2,74
|
20
|
1308,4
|
2. Расчет редуктора
.1
Материал для зубчатых колес
Зубчатые колеса силовых редукторов обычно изготавливают из углеродистой
или легированной стали.
Контактная прочность, обуславливающая размеры передачи, определяется
главным образом твердостью поверхности зубьев.
Выбираю для изготовления зубчатых колес сталь 45 и назначаю твердость
рабочих поверхностей зубьев Н< НВ 350.
Для получения такой твердости колеса подвергаются нормализации или
улучшению (закалка с высоким отпуском). Для ускорения прирабатываемости и
выравнивания долговечности зубчатой пары с ведомым колесом среднюю твердость
рабочей поверхности шестерни НВш следует назначать выше твердости колеса НВк,
т.е. НВш-НВк>25..30.
Назначаю твердость материала рабочих поверхностей шестерен третьей НВ 3 и
пятой НВ 5 равными НВ 3=НВ 5=НВ 300, и поверхностей колес НВ 4=НВ 6=НВ 270, что
позволяет обеспечить условие прирабатываемости.
2.2 Числа
циклов перемены напряжения
Суммарное время работы привода:
где
- срок
службы редуктора (300 рабочих дней в году);

(8 часов
продолжительность рабочей смены):
Суммарное
число циклов перемены напряжения для зубчатых колес определяю по формуле:
где

-
суммарное число циклов перемены напряжений i-того колеса;

-угловая
частота вращения i-того вала.
Число
циклов перемены напряжений: третьего колеса (или второго вала):
Четвертого и пятого колес (или третьего вала):
Шестого колеса (или четвертого вала):
Эквивалентное число циклов перемены напряжений определяются:
при расчете на контактную выносливость:
при расчете на изгибную выносливость:
где

и 
-
коэффициенты приведения режима с переменной нагрузкой.
Для
расчета при постоянной нагрузке коэффициенты 
следовательно
.
Эквивалентное
число циклов перемены напряжений при расчете на контактную выносливость
и
изгибную выносливость 
.
Данные свожу в таблицу 4.
Таблица 4
|
Номер вала
|
II
|
III
|
IV
|
|
NHE
|
|
|
|
|
NFE
|
|
|
|
Базовые
числа циклов перемены напряжений 
соответствующие
длительному пределу выносливости при расчете на контактную прочность зависят от
величины твердости зубчатых колес и определяются по табл. 2.1 [2,с.12]:
твердость
третьей и пятой шестерен равны;
базовое
число циклов перемены напряжений:
твердость
четвертого и шестого колес равны:
базовое
число циклов перемены напряжений:
2.3
Допускаемые напряжения
Допускаемые
напряжения для расчета передачи на контактную выносливость:
где

-
допускаемое контактное напряжение при неограниченном ресурсе передачи:

-
длительный предел выносливости;

-
коэффициент безопасности при расчете на контактную выносливость, из табл.2.6
[2,с.15];

-
предельные допускаемые напряжения;

- предел
текучести для материала сталь 45.
Допускаемые
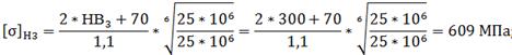
напряжения на контактную выносливость для зубчатых колес:
для
третьего зубчатого колеса 
Принимаю
.
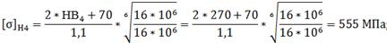
для
четвёртого зубчатого колеса 
Принимаю
.
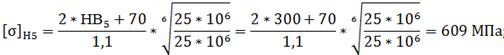
для
пятого зубчатого колеса 
Принимаю
.
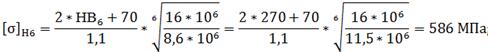
для
шестого зубчатого колеса условие 
не
соблюдается.
Формулу
оставляю без изменений:
Допускаемые
напряжения для расчета на изгибную выносливость:
При
расчете на изгибную выносливость значение
.
Принимают независимо от твердости материала [2,с.13], если:
где

-
допускаемое напряжение изгиба при неограниченном ресурсе передачи;

-
длительный предел выносливости при изгибе;

-
коэффициент безопасности при расчете на изгиб [2,с.13];

-
предельное допустимое напряжение.
Принимаю
это во внимание и получу:
т.к.

принимаю 
Учитывая
твердость 
напряжения
Т.к.

принимаю 
Учитывая
твердость 
напряжения

2.4 Расчет
тихоходной (5-6) ступени редуктора
Межосевое
расстояние для прямозубой цилиндрической передачи:
где

-
коэффициент ширины зубчатых колес, табл. 2.9[2,с.18].
Кн=2-
коэффициент нагрузки [2,с.21].
Полученное
значение 
округляю
до ближайшего большего значения, согласно табл. 3.2 [2,с.22]
Рабочая
ширина зубчатых колёс
Модуль
зубчатыхколёс (5-6)
Принимаю по табл. 3.3. [2,с.22] стандартное значение модуля:
Суммарное
число зубьев зубчатых колёс (5-6)
Числа зубьев ведущего (5) и ведомого (6) колес:
Принимаю
число зубьев 
.
Принимаю
число зубьев 
Фактическое
значение передаточного отношения
Процент
отклонения

(допустимо

).
Проверка
зубьев шестого колеса на выносливость при изгибе.
Для прямозубых колес:
где

-
коэффициент формы зуба из табл. 3.4 [2,с.25].

-
коэффициент нагрузки для развёрнутой схемы редуктора
[2,с.24].

условие
выносливости выполняется.
Определяюосновныепараметры
зубчатого зацепления тихоходной ступени (5-6)
Диаметры делительных окружностей:
Диаметры окружностей вершин:
Диаметры окружностей впадин:
Силы,
действующие в зацеплении тихоходной ступени (5-6):
- окружные силы:
радиальные силы:
2.5 Расчет
быстроходной ступени (3-4) редуктора
Определяю
межосевоерасстояние. Для прямозубой цилиндрической передачи
где

-
коэффициент нагрузки [2,с.21].

-
коэффициент ширины зубчатых колес, табл. 2.9 [2,с.18].
Полученное
значение 
округляю
до ближайшего большего значения, табл. 3.2 [2,с.22] 
.
Расчетная
ширина зубчатых колес
Определяю
модуль зубчатыхколес (3-4)
Принимаю по табл.3.3[2, с.22] стандартное значение модуля
Суммарное
число зубьев зубчатыхколес (3-4)
Число зубьев ведущего (3) и ведомого (4) колес:
Принимаю
число зубьев 
Принимаю
число зубьев 
Фактическое
значение передаточного числа
Процент
отклонения

допустимо

.
Проверка
зубьев четвертого колеса на выносливость при изгибе.
Для прямозубых колес
где

-
коэффициент формы зуба из табл. 3.4 [2,с.25].

-
коэффициент нагрузки для развёрнутой схемы редуктора
[2,с.25].

условие
выносливости выполняется.
Определяю
основные параметры зубчатого зацепления быстроходной (3-4) ступени.
Диаметры делительных окружностей


Диаметры окружностей вершин
Диаметры окружностей впадин
Силы,
действующие в зацеплении быстроходной ступени (3-4):
- окружные силы
радиальные силы
3. Расчет валов редуктора
.1
Предварительный расчет валов и подбор подшипников
Выполняю расчёт для ориентировочного определения
диаметров и размещения валов в корпусе редуктора вместе с подшипниками и
зубчатыми колесами.
Ориентировочные диаметры волов определяю по результатам расчетов на
кручение исходя из пониженых допускаемых напряжений.
Диаметр входного, быстроходного (II) вала:
С
учетом ослабления вала под шпонку принимаю диаметр входного участка 
. Диаметр
вала под подшипник 
Для
установки выбираю шариковый, радиальный, однорядный подшипник лёгкой серии 207.
Диаметр
промежуточного (III) вала:
С
учетом ослабления вала под шпонку принимаю диаметр вала под колесом 
.Диаметр
вала под подшипник 
Для
установки выбираю подшипник радиальный, шариковый, однорядный, лёгкой серии
210.
Диаметр
выходного, тихоходного (IV) вала:
С
учетом ослабления вала под шпонку принимаю диаметр вала под колесом 
Диаметр
вала под подшипник 
Для
установки выбираю подшипник радиальный, шариковый, однорядный, лёгкой серии
215.
Технические
характеристики подшипников свожу в таблицу 5.
Таблица
5
|
Обозначение
|
Размеры, мм
|
Грузоподъемность, кН
|
|
d
|
D
|
B
|
Cr
|
C0r
|
|
207
|
35
|
72
|
17
|
25,5
|
13,7
|
|
210
|
50
|
90
|
20
|
35,1
|
19,8
|
|
215
|
75
|
130
|
25
|
66,3
|
41
|
.2
Основные размеры к эскизной компоновки редуктора
размеры подшипников даны в таблице 5;
межосевые расстояния:
рабочая ширина зубчатых колес:
диаметры делительных окружностей:
-
расстояние между корпусом редуктора и телами вращения принимаю в диапазоне: 
:
расстояние
(зазор) между внутренним колесом и внутренней стенкой редуктора:
.3
Проектный расчет валов из условия статической прочности (по эквивалентному
моменту)
В
соответствии с заданием расчет провожу только для промежуточного (III) вала.
Составляю
общую схему сил, действующих в зацеплении зубчатых колес редуктора.
Схема сил, действующих в зацеплении зубчатых колес
Рисунок 2
Схема сил нагружения промежуточного вала
Рисунок 3
- силы действующие в зацеплении зубчатых колес:
-
реакция 
в опорных
точках А и В, в вертикальной плоскости;
реакция

в опорных
точках А и В, в горизонтальной плоскости;
расстояние
между зубчатыми колесами и опорными точками (подшипников), получены из
компоновочного чертежа редуктора.
Определяю реакции в опорах точек А и В вертикальной плоскости
Определяю реакции в опорах, в точек А и В, в вертикальной плоскости:
Построение эпюры изгибающих моментов вертикальной плоскости произвожу
методом сечения:
Проверка:
Определяю
реакции в опорах, в точек А и В, в горизонтальной плоскости:
Построение
эпюры изгибающих моментов в горизонтальной плоскости произвожу методом сечения:
Проверка:

Определяю
наибольшее значение суммарного изгибающего момента:
где
изгибающий момент в горизонтальной плоскости в опасном сечении вала
;
изгибающий
момент в вертикальной плоскости в опасном сечении вала
;
Определяю
эквивалентный момент:
Определяю
диаметр вала в опасном сечении:
где

-
допускаемое напряжение при изгибе[2,c.64];
опасное
сечение вала на чертеже
;
Определяю
реакции в опорных точках А и В вала (силы действующие на подшипник):
3.4 Расчет подшипников качения промежуточного вала редуктора
Номинальную
долговечность подшипников качения 
или
вычисляю
на основе эквивалентной нагрузки 
и
динамической грузо подъемности 
по
формулам:
где
показатель степени для шарикоподшипников m=3.
Для
радиальных шарикоподшипников величина эквивалентной нагрузки определяется по
формуле:
где

коэффициент
вращения (при вращении внутреннего кольца);

-
радиальная нагрузка действующая на подшипник;

- осевая
нагрузка действующая на подшипник;

коэффициент
безопасности, для редукторов;

температурный
коэффициент при температуре до 
;

-
коэффициентдля определения радиальных подшипников, динамической радиальной и
динамической осевой нагрузок;
При
предварительной компоновке редуктора мной подобранны подшипники для валов в том
числе и для промежуточного вала, подшипник 210 с параметрами:d=50 мм, D=90мм,
B=20мм, 
=35,1 кН,
С 0=19,8кН. Реакции на опоры RA=4212,8 Н, RВ=5169,6 Н.
Расчет
веду по наиболее нагруженному подшипнику. Эквивалентная динамическая нагрузка:
Ресурс
подшипника:
Выбранный
подшипник 210 удовлетворяет требуемым условиям.
.5 Расчет
шпоночных соединений
Расчет
шпоночного соединение на смятие
где

диаметр
вала под ступицей четвертого колеса определяю из компоновочного чертежа;

- длина
шпонки, определяю из компоновочного чертежа;

допускаемое
напряжение;

вращающий
момент.
По
табл. 10.1 [2,с.73] принимаю следующие параметры шпонки по ГОСТ 23360-78

- ширина
шпонки;

- высота
шпонки;

-
глубина паза;

-
глубина втулки.
Расчет
шпоночного соединения на срез
где
Условия
прочности выполняются.
.6
Основные размеры корпуса и крышки редуктора
Толщина стенки основного корпуса:
Принимаю

Принимаю

Диаметр
стяжного болта:

Принимаю

.
Диаметр
штифта:
Принимаю
Толщина
фланца по разъему:
Принимаю
Диаметр
фундаментного болта:
Принимаю
.7 Смазка
редуктора
Наиболее
простым способом смазки зубчатых передач, применяемых для редукторов общего
назначения, является картерная непроточная непрерывная смазка жидким маслом.
Уровень масла в картере редуктора должен обеспечить глубину погружения зубчатых
колес в диапазоне (0,8…2) высоты зубьев, но не менее 10 мм. Выбор масла основан
на опыте эксплуатации машин. При окружной скорости
иконтактных напряжениях до 600МПа рекомендуемая кинематическая вязкость масла
60мм 2/с подходит марка масла И-Г-А-68.
Объем
масленой смазки принимают таким, чтобы обеспечить отвод выделяющегося в
процессе работы тепла к стенки корпуса. Рекомендуемое количество масла из
расчета (0,5…0,8) литра на 1 кВт передаваемой мощности.
В
моём случае объем масла должен быть не менее, чем в диапазоне (2,0…3,2) литра.
Обычно подшипники смазывают брызгами масла. При окружных скоростях 
брызгами
масла покрыты все детали передачи. В моём случае использую для смазки
подшипников пластичный смазочный материал ЦИАТИМ-201.
4. Расчет клиноременной передачи
.1
Исходные данные
Передача состоит из двух шкивов, закрепленный на валах и ремнем
охватывающим шкивы. Нагрузка в клиноременной передаче передается силами трения,
возникающими между шкивами и ремнем в следствии натяжения последнего.
Основные преимущества клиноременной передачи:
возможность передачи движения на значительные расстояния;
плавность бесшумной работы;
предохранение механизмов от резких колебаний нагрузки и разгрузки;
простота конструкции и эксплуатации.
Основные недостатки клиноременной передачи:
повышенные габариты по сравнению с зубчатыми передачами;
некоторое непостоянство передаточного соотношения;
повышенная нагрузка на валы из-за натяжения ремней;
низкая долговечность ремней.
.2
Диаметры шкивов и передаточное число
Диаметр ведущего шкива:
С целью увеличения рабочего ресурса работы передачи из стандартного ряда
по табл.2 [4,с.16] принимаю ближайшее большее значение:
Расчётный диаметр ведомого (большего) шкива:
Диаметр ведомого шкива подбираю из стандартного ряда ближайший по
табл.2[4, с.16]
Номинальную мощность определяю по таб. 5 [4,с.21]
.3
Фактическое и отличное от заданного передаточное число
Фактическое передаточное число:
Отличное
от заданного передаточное число должно быть в диапазоне
:

В данном случае условия соблюдены.
Заключение
Курсовой проект по дисциплине: "Детали машин и основы
конструирования" на тему "Привод общего назначения" выполнен в
полном объеме в соответствии с заданием и обеспечивает работу редуктора в
соответствии с заданными параметрами.
При выполнении работы учтены основные принципы конструирования.
Результаты расчетов показали, что прочность деталей, узлов привода зубчатых
колес, валов, подшипниковых узлов и соединений обеспечена.
Чертежи (сборочный чертеж редуктора, рабочие чертежи) выполнены с учетом
требований ЕСКД.
Список использованной литературы
1. Детали машин и основы конструирования. Задание по
курсовому проекту.
2. Битюцкий Ю.И., Мицкевич В.Г., Платонов А.А. Детали
машин и основы конструирования. Методические указания к выполнению курсового
проекта. - М.: РГОТУПС, 2014.
. Дунаев П.Ф., Леликов О.П. Конструирование узлов и
деталей машин. - М.: ACADEMA, 2013.
. Платонов А.А.,Мицкевич В.Г. Детали машин и основы
конструирования. Расчёт ремённых передач. Расчёт цепных передач. Методические
указания методическое указание по выполнению курсового проекта. - М.: РГОТУПС,
2005.
. Иванов М.Н., Финогенов В.А, Детали машин. - М.:
Высшая школа. 2010.
. Леликов О.П. Основы расчёта и проектирования деталей
и узлов машин. М.: Машиностроение 2004.