Трехкорпусная вакуум-выпарная установка для концентрирования дрожжевой суспензии
«Трехкорпусная
вакуум-выпарная установка для концентрирования дрожжевой суспензии»
Задание
Рассчитать и запроектировать по следующим
данным:
. Начальная массовая концентрация - 15%;
. Конечная массовая концентрация - 25%;
. Количество поступающей суспензии - 30
т/ч
. Абсолютное давление греющего
насыщенного водяного пара - 3 ∙ 105 Па;
. Абсолютное давление в барометрическом
конденсаторе - 0,15 ∙ 105 Па;
. Взаимное направление пара и суспензии -
прямой ток;
. Выпарной аппарат - с выносной греющей
камерой;
. Температура раствора, поступающего на
установку - 30 °С;
. Температура раствора, поступающего из
теплообменника - 80 °С;
. Начальная температура охлаждающей воды
- 15 °С;
. Температура конденсата вторичного пара,
выходящего из барометрического конденсатора, ниже температуры конденсации на 4
°С.
Введение
Выпаривание - это процесс концентрирования
растворов твердых нелетучих веществ путем частичного испарения растворителя при
кипении жидкости.
Выпаривание применяют для концентрирования растворов
нелетучих веществ, выделения из растворов чистого растворителя (дистилляция) и
кристаллизации растворенных веществ, т.е. нелетучих веществ в твердом виде. При
выпаривании обычно осуществляется частичное удаление растворителя из всего
объема раствора при его температуре кипения. Поэтому выпаривание принципиально
отличается от испарения, которое, как известно, происходит с поверхности
раствора при любых температурах ниже температуры кипения. В ряде случаев
выпаренный раствор подвергают последующей кристаллизации в выпарных аппаратах,
специально приспособленных для этих целей.
Для нагревания выпариваемых растворов до кипения
используют топочные газы, электрообогрев и высокотемпературные теплоносители,
но наибольшее применение находит водяной пар, характеризующийся высокой
удельной теплотой конденсации и высоким коэффициентом теплоотдачи.
Процесс выпаривания проводится в выпарных
аппаратах. По принципу работы выпарные аппараты разделяются на периодические и
непрерывно действующие. Периодическое выпаривание применяется при малой
производительности установки или для получения высоких концентраций. При этом
подаваемый в аппарат раствор выпаривается до необходимой концентрации,
сливается и аппарат загружается новой порцией исходного раствора. В установках непрерывного
действия исходный раствор непрерывно подается в аппарат, а упаренный раствор
непрерывно выводится из него. Выпаривание может проводиться под вакуумом,
избыточным давлением и под атмосферным давлением. При выпаривании под вакуумом
существуют несколько преимуществ:
· Понижение температуры кипения
раствора;
· Увеличивается движущая сила
процесса;
· Возможно использования греющего пара
более низкого давления;
Вакуумная выпарная установка должна содержать
дополнительное оборудование: барометрический конденсатор, вакуум-насос,
вакуумсборники.
Выпаривание при атмосферном давлении
подразумевает, что вторичный пар выбрасывается в атмосферу, и этот способ
выпаривания наименее экономичен.
При выпаривании под повышенным давлением
температура раствора повышается (повышается температура вторичного пара), и его
используют для других целей.
В химической промышленности в основном применяют
непрерывно действующие выпарные установки с высокой производительностью за счет
большой поверхности нагрева (до 2500 м2 в единичном аппарате).
Наибольшее применение в химической технологии
нашли выпарные аппараты поверхностного типа, особенно вертикальные трубчатые
выпарные аппараты с паровым обогревом непрерывного действия.
В данном курсовом проекте для расчетов принята
прямоточная трехкорпусная выпарная установка. Конструкция выпарного аппарата: с
естественной циркуляцией и вынесенной греющей камерой. Выбор конструкции
обусловлен малой вязкостью выпариваемого раствора, повышенной интенсивностью
выпаривания не только за счет увеличения разности плотностей жидкости и
парожидкостной смеси в циркуляционном контуре, но и за счет увеличения длины
кипятильных труб.
Установка предназначена для концентрирования
дрожжевой суспензии. Дрожжи - одноклеточные грибы, являющиеся одним из самых богатых
источников органического железа. Они представляют собой великолепный источник
белка и превосходный источник натуральных витаминов группы В, один из
богатейших источников органического железа, минеральных веществ, микроэлементов
и аминокислот. Некоторые виды дрожжей с давних пор используются человеком при
приготовлении хлеба, пива, вина, кваса и др. В сочетании с перегонкой процессы
брожения лежат в основе производства крепких спиртных напитков. Полезные
физиологические свойства дрожжей позволяют использовать их в биотехнологии. В
настоящее время их применяют в производстве ксилита, ферментов, пищевых
добавок, для очистки от нефтяных загрязнений. Также дрожжи широко используются
в науке в качестве модельных организмов для генетических исследований и в
молекулярной биологии.
выпарной гидравлический дрожжевой
суспензия
1. Аналитический обзор
.1 Выпаривание
Выпариванием называется концентрирование
растворов практически нелетучих или малолетучих веществ в жидких летучих
растворителях.
Выпариванию подвергают растворы твердых веществ
(водные растворы щелочей, солей и др.), а также высококипящие жидкости,
обладающие при температуре выпаривания весьма малым давлением пара - некоторые
минеральные и органические кислоты, многоатомные спирты и др.
Также выпаривание применяют для выделения
растворителя в чистом виде: при опреснении морской воды выпариванием
образующийся из нее водяной пар конденсируют и воду используют для питьевых или
технических целей.
При выпаривании обычно осуществляется частичное
удаление растворителя из всего объема раствора при его температуре кипения.
Поэтому выпаривание принципиально отличается от испарения, которое, как
известно, происходит с поверхности раствора при любых температурах ниже
температуры кипения. В ряде случаев выпаренный раствор подвергают последующей
кристаллизации в выпарных аппаратах, специально приспособленных для этих целей.
Получение высококонцентрированных растворов,
практически сухих и кристаллических продуктов облегчает и удешевляет их
перевозку и хранение.
Тепло для выпаривания можно подводить любыми
теплоносителями, применяемыми при нагревании. Однако в подавляющем большинстве
случаев в качестве греющего агента при выпаривании используют водяной пар,
который называют греющим, или первичным. Первичным служит либо пар, получаемый
из парогенератора, либо отработанный пар, или пар промежуточного отбора паровых
турбин. Пар, образующийся при выпаривании кипящего раствора, называется
вторичным.
Тепло, необходимое для выпаривания раствора,
обычно подводится через стенку, отделяющую теплоноситель от раствора. В
некоторых производствах концентрирование растворов осуществляют при
непосредственном соприкосновении выпариваемого раствора с топочными газами или
другими газообразными теплоносителями.
Процессы выпаривания проводят под вакуумом, при
повышенном и атмосферном давлениях. Выбор давления связан со свойствами
выпариваемого раствора и возможностью использования тепла вторичного пара.
Выпаривание под вакуумом имеет определенные
преимущества перед выпариванием при атмосферном давлении, несмотря на то, что
теплота испарения раствора несколько возрастает с понижением давления и
соответственно увеличивается расход пара на выпаривание 1 кг растворителя
(воды).
При выпаривании под вакуумом становится
возможным проводить процесс при более низких температурах, что важно в случае
концентрирования растворов веществ, склонных к разложению при повышенных
температурах. Кроме того, при разрежении увеличивается полезная разность
температур между греющим агентом и раствором, что позволяет уменьшить
поверхность нагрева аппарата (при прочих равных условиях). В случае одинаковой
полезной разности температур при выпаривании под вакуумом можно использовать
греющий агент более низких рабочих параметров (температура и давление).
Вследствие этого выпаривание под вакуумом широко применяют для концентрирования
высококипящих растворов, например растворов щелочей, а также для
концентрирования растворов с использованием теплоносителя (пара) невысоких
параметров. Применение вакуума дает возможность использовать в качестве
греющего агента, кроме первичного пара, вторичный пар самой выпарной установки,
что снижает расход первичного греющего пара. Вместе с тем при применении
вакуума удорожается выпарная установка, поскольку требуются дополнительные затраты
на устройства для создания вакуума (конденсаторы, ловушки, вакуум-насосы), а
также увеличиваются эксплуатационные расходы.
При выпаривании под давлением выше атмосферного
также можно использовать вторичный пар как для выпаривания, так и для других
нужд, не связанных с процессом выпаривания.
Вторичной пар, отбираемый на сторону, называют
экстра-паром. Отбор экстра-пара при выпаривании под избыточным давлением
позволяет лучше использовать тепло, чем при выпаривании под вакуумом. Однако
выпаривание под избыточным давлением сопряжено с повышением температуры кипения
раствора. Поэтому данный способ применяется лишь для выпаривания термически
стойких веществ. Кроме того, для выпаривания под давлением необходимы греющие
агенты с более высокой температурой.
При выпаривании под атмосферным давлением
вторичный пар не используется и обычно удаляется в атмосферу. Такой способ
выпаривания является наиболее простым, но наименее экономичным.
Выпаривание под атмосферным давлением, а иногда
и выпаривание под вакуумом проводят в одиночных выпарных аппаратах
(однокорпусных выпарных установках). Однако наиболее распространены
многокорпусные выпарные установки, состоящие из нескольких выпарных аппаратов,
или корпусов, в которых вторичный пар каждого предыдущего корпуса направляется
в качестве греющего в последующий корпус. При этом давление в последовательно
соединенных (по ходу выпариваемого раствора) корпусах снижается таким образом,
чтобы обеспечить разность температур между вторичным паром из предыдущего
корпуса и раствором, кипящим в данном корпусе, т. е. создать необходимую
движущую силу процесса выпаривания. В этих установках первичным паром
обогревается только первый корпус. Следовательно, в многокорпусных выпарных
установках достигается значительная экономия первичного пара по сравнению с
однокорпусными установками той же производительности.
.1.1 Многокорпусные выпарные установки
В современных выпарных установках выпариваются
очень большие количества воды. Выше было показано, что в однокорпусном аппарате
на выпаривание 1 кг воды требуется более 1 кг греющего пара. Это привело бы к
чрезмерно большим расходам оного. Однако расход пара на выпаривание можно
значительно снизить, если проводить процесс в многокорпусной выпарной
установке. Как указывалось, принцип действия ее сводится к многократному
использованию тепла греющего пара, поступающего в первый корпус установки,
путем обогрева каждого последующего корпуса (кроме первого) вторичным паром из
предыдущего корпуса.
Установка состоит из нескольких (в данном случае
трех) корпусов. Исходный раствор, обычно предварительно нагретый до температуры
кипения, поступает в первый корпус, обогреваемый свежим (первичным) паром.
Вторичный пар из этого корпуса направляется в качестве греющего во второй
корпус, где вследствие пониженного давления раствор кипит при более низкой
температуре, чем в первом.
Ввиду более низкого давления во втором корпусе
раствор, упаренный в первом корпусе, перемещается самотеком во второй корпус и
здесь охлаждается до температуры кипения в этом корпусе. За счет выделяющегося
при этом тепла образуется дополнительно некоторое количество вторичного пара.
Такое явление, происходящее во всех корпусах установки, кроме первого, носит
название самоиспарения раствора.
Аналогично упаренный раствор из второго корпуса
перетекает самотеком в третий корпус, который обогревается вторичным паром из
второго корпуса. Предварительный нагрев исходного раствора до температуры
кипения в первом корпусе производится в отдельном подогревателе, что позволяет
избежать увеличения поверхности нагрева в первом корпусе. Вторичный пар из
последнего корпуса (в данном случае из третьего) отводится в барометрический
конденсатор, в котором при конденсации пара создается требуемое разрежение.
Воздух и неконденсирующиеся газы, попадающие в установку с паром и охлаждающей
водой (в конденсаторе), а также через неплотности трубопроводов и резко
ухудшающие теплопередачу, отсасываются через ловушку-брызгоулавливатель
вакуум-насосом.
С помощью вакуум-насоса поддерживается также
устойчивый вакуум, так как остаточное давление в конденсаторе может изменяться
с колебанием температуры воды, поступающей в конденсатор. Необходимым условием
передачи тепла в каждом корпусе должно быть наличие некоторой полезной разности
температур, определяемой разностью температур греющего пара и кипящего
раствора.
Вместе с тем, давление вторичного пара в каждом
предыдущем корпусе должно быть больше его давления в последующем. Эти разности
давлений создаются при избыточном давлении в первом корпусе, или вакууме в
последнем корпусе, или же при том и другом одновременно.
Применяемые схемы многокорпусных выпарных
установок различаются по давлению вторичного пара в последнем корпусе. В
соответствии с этим признаком установки делятся на работающие под разрежением и
под избыточным давлением.
.2 Области применения выпарных аппаратов
Конструкция выпарного аппарата должна
удовлетворять ряду общих требований, к числу которых относятся: высокая
производительность и интенсивность теплопередачи при возможно меньших объёме
аппарата и расходе металла на его изготовление, простота устройства, надёжность
в эксплуатации, легкость очистки поверхности теплообмена, удобство осмотра,
ремонта и замены отдельных частей.
Вместе с тем выбор конструкции и материала
выпарного аппарата определяется в каждом конкретном случае физико-химическими
свойствами выпариваемого раствора (вязкость, температурная депрессия,
кристаллизуемость, термическая стойкость, химическая агрессивность и др.)
Как указывалось, высокие коэффициенты
теплопередачи и большие производительности достигаются путём увеличения
скорости циркуляции раствора. Однако одновременно возрастает расход энергии на
выпаривание и уменьшается полезная разность температур, т. к. при постоянной
температуре греющего пара с возрастанием гидравлического сопротивления
увеличивается температура кипения раствора. Противоречивое влияние этих
факторов должно учитываться при технико-экономическом сравнении аппаратов и
выборе оптимальной конструкции.
Ниже приводятся области преимущественного
использования выпарных аппаратов различных типов.
Для выпаривания растворов небольшой вязкости -
около 8 ∙ 10-3 Па/с без образования кристаллов чаще всего
используются вертикальные выпарные аппараты с многократной естественной
циркуляцией. Из них наиболее эффективны аппараты с выносной нагревательной
камерой и с выносными необогреваемыми циркуляционными трубами.
Выпаривание некристаллизующихся растворов
большой вязкости, достигающей порядка 0,1 Па/с, производят в аппаратах с
принудительной циркуляцией, реже - в прямоточных аппаратах с падающей плёнкой
или в роторных прямоточных аппаратах.
В роторных прямоточных аппаратах, как
отмечалось, обеспечиваются благоприятные условия для выпаривания растворов,
чувствительных к повышенным температурам.
Аппараты с принудительной циркуляцией широко
применяются для выпаривания кристаллизующихся или вязких растворов. Подобные
растворы могут эффективно выпариваться и в аппаратах с вынесенной зоной
кипения, работающих при естественной циркуляции. Эти аппараты при выпаривании
кристаллизирующихся растворов могут конкурировать с выпарными аппаратами с
принудительной циркуляцией.
Для сильно пенящихся растворов рекомендуется
применять аппараты с поднимающейся пленкой.
. Технологическая часть
.1 Выбор конструкционного материала аппарата
Выбираем конструкционный материал, стойкий в
среде кипящего раствора NaNO3 в интервале изменения концентраций от 10 до 27 %.
В этих условиях подходит сталь марки X17 с коэффициентом теплопроводности λст
= 25,1 Вт/м˚К. Скорость коррозии ее менее 0,1 мм/год.
.2 Технологические расчеты
Основные условные обозначения:
с
- теплоемкость, Дж/(кг·К);- теплота парообразования кДж/кг;- диаметр, м;, t -
температура, град;- расход греющего пара, кг/с;
α -
коэффициент теплоотдачи, Вт/(м2·К);- ускорение свободного падения, м/с2;
ρ
- плотность,
кг/м3;- высота, м;μ
- вязкость,
Па·с;- энтальпия пара, кДж/кг;λ - теплопроводность, Вт/(м·К);-
энтальпия жидкости, кДж/кг;
σ
- поверхностное
натяжение, Н/м;
К
- коэффициент теплопередачи, Вт/(м2·К);
Р
- давление, МПа;- критерий Рейнольдса;- критерий Нуссельта;- критерий
Прандтля;- тепловая нагрузка, кВт;- удельная тепловая нагрузка, Вт/м2;
Индексы:
,
2, 3 - первый, второй, третий корпус выпарной установки;
ж
- жидкая фаза;
бк
- барометрический конденсатор;
к
- конечный параметр;
н
- начальный параметр;
в
- вода;
вп
- вторичный пар;
г
- греющий пар;
ср
- средняя величина;
ст
- стенка.
Расчет
выпарного аппарата
Определение
общее количество выпаренной воды в установке:
1. Расчет
концентрации упариваемого раствора по корпусам.
На
основании практических данных производительность по выпариваемой воде
распределяется между корпусами в соответствии с соотношением:
Тогда
количество выпаренной воды будет следующим:
корпус:
2 корпус:
3 корпус:
Концентрация
растворов в корпусах:
корпус:
корпус:
корпус:
. Определение
температуры кипения раствора по корпусам
Распределение
давлений по корпусам установки
Общий
перепад давлений в установке:
Распределим
общий перепад давлений между корпусами поровну:
Абсолютные
давления по корпусам будут равны
По
давлениям паров находим их температуры и энтальпии.
|
Давление,
МПа
|
Температура,
°С
|
Энтальпия,
кДж/кг
|
|
0,3
|
133
|
2730
|
|
0,205
|
121
|
2712
|
|
0,115
|
108
|
2680
|
|
0,015
|
54
|
2596
|
Значения температуры и энтальпии в соотношении с
давлением взяты из таблицы соответствующих значений для водяного пара.
Определение гидравлической депрессии. На
основании практических рекомендаций принимаем гидравлическую депрессию для
каждого корпуса Δ’’’ =
1 град, тогда температуры вторичных паров, давления и теплоты парообразования
их в корпусах будут иметь следующие значения:
Таблица
|
Температура,
°С
|
Давление,
МПа
|
Теплота
парообразования, кДж/кг
|
|
tв. п1
= 121 + 1 = 122
|
0,21
|
2200
|
|
tв. п2
= 108 + 1 = 109
|
0,11
|
2500
|
|
tв. п3
= 54 + 1 = 55
|
0,015
|
2370
|
Сумма гидравлических депрессий:
Определение гидростатической депрессии. Давление
в среднем слое кипятильных труб pср
определяется по уравнению
Для выбора высоты трубы
необходимо
ориентировочно определить площадь поверхности теплопередачи выпарного аппарата Fор,
выбрать параметры аппарата по ГОСТ 11987-85. Площадь поверхности теплопередачи
ориентировочно определяется по формуле:
Принимает для аппаратов с естественной
циркуляцией q = 30000 Вт/м2.
Тогда по корпусам (ориентировочно):
Принимаем по ГОСТ 11987-85 выпарной аппарат с
площадью поверхности теплопередачи 100 м2, длиной труб 5 м,
диаметром труб 38 × 2 мм. Таким
образом, значения давления в среднем слое кипятильных труб будут следующими:
Плотности растворов и воды в каждом корпусе
взяты при tв.п
в них.
Полученным данным соответствуют следующие
температуры кипения:
|
Давление,
МПа
|
Температура
кипения, °С
|
Теплота
парообразования, кДж/кг
|
|
0,22
|
124
|
2196
|
|
0,12
|
105
|
2248
|
|
0,05
|
81
|
2307
|
Определяем гидростатическую депрессию по
корпусам:
Сумма гидростатических депрессий будет равна
Определение температурной депрессии.
Температурная депрессия по корпусам при атмосферном давлении определяется по
табличным данным:
|
Корпус
|
Концентрация,
%
|
Температура
кипения, °С
|
Депрессия,
°С
|
|
1
|
15
|
105
|
5
|
|
2
|
20
|
110
|
10
|
|
3
|
25
|
120
|
20
|
Температурная депрессия по корпусам с учетом
давления в них определяется по формуле
Сумма температурных депрессий будет
Температура кипения раствора по корпусам:
Определение полезной разности температур. Общая
полезная разность температур определяется по формуле:
В данном случае, подставляя значения, получаем
Полезные же разности температур по корпусам
будут равны
Определение тепловых нагрузок по корпусам.
Исходные данные для расчета
Таблица
|
Корпус
|
2
|
3
|
|
Количество
исходного раствора, кг/с
|
8,3
|
4,9
|
4,1
|
|
Концентрация
исходного раствора, %
|
15
|
17,1
|
20,1
|
|
Температура
исходного раствора, °С
|
120
|
129,8
|
118,82
|
|
Температура
упаренного раствора, °С
|
129,8
|
118,82
|
107,59
|
|
Теплоемкость
исходного раствора, Дж/(кг∙К)
|
4049
|
4045
|
38,35
|
|
Энтальпия
вторичного пара, Дж/кг
|
2712
∙ 103
|
2680
∙ 103
|
2596
∙ 103
|
|
Теплота
парообразования греющего пара, Дж/кг
|
2182
∙ 103
|
2204
∙ 103
|
2179,5
∙ 103
|
Решая систему уравнений, определяем расход
греющего пара в первый корпус, количество выпаренной воды из каждого корпуса, а
также тепловые нагрузки по корпусам:
Итогом системы уравнений становится: Gг.п
= 1,2 кг/с, W1
= 1 кг/с, W2 =
1,11 кг/с, W3 =
1,21 кг/с.
Так как расхождения между вычисленными
значениями нагрузок по испаряемой воде в каждом корпусе и предварительно
принятыми не превышает 3%, не будем пересчитывать параметры процесса.
Рассчитываем тепловые нагрузки по корпусам:
Определение коэффициентов теплопередачи.
Коэффициент теплопередачи по корпусам определяют по следующему уравнению:
Выбираем конструкционный материал, стойкий в
среде раствора дрожжевой суспензии в интервале концентраций от 15 до 25% и
температур от 105 до 120 градусов. В этих условиях химически стойкой является
сталь марки X18H10T
с теплопроводностью λст
= 16,4 Вт/(м ∙ К).
Примем суммарное термическое сопротивление
равным термическому сопротивлению стенки λст/δст
и накипи λн/δн.
Термическое
сопротивление со стороны пара учитывать не будем.
Принимая для всех корпусов толщину слоя накипи δн
= 0,5 мм, λн
= 3,05 Вт/(м ∙ К), получаем:
С достаточной степенью точности для расчета
можно принять температуру пленки конденсата в греющих камерах выпарных
аппаратов равными температурам конденсации греющего пара.
Тогда в соответствии с нижеуказанной таблицей:
Коэффициент теплоотдачи α1
от конденсирующегося водяного пара к стенкам вертикальных труб в греющих камерах
выпарных аппаратов определяется по уравнению:
Коэффициент теплоотдачи от стенок труб к
кипящему раствору α2
определяется
по уравнению:
Необходимые для определения этого коэффициента
физико-химические свойства дрожжевой суспензии и водяного пара при температуре
кипения приведены в данной таблице:
|
Параметр
|
Корпус
|
|
1
|
2
|
3
|
|
Температура
t, °C
|
129,81
|
118,82
|
107,59
|
|
Концентрация
x, %
|
13,2
|
20,3
|
50
|
|
Теплопроводность
раствора λ, Вт/(м ∙ К)
|
0,579
|
0,559
|
|
Плотность
раствора ρ, кг/м3
|
1029,2
|
1122,6
|
1432
|
|
Вязкость
раствора μ, Па ∙ с
|
0,253
∙ 103
|
0,437
∙ 103
|
2,41
∙ 103
|
|
Поверхностное
натяжение σ, Н/м
|
69
∙ 10-3
|
77,8
∙ 10-3
|
128
∙ 10-3
|
|
Теплоемкость
раствора с, Дж/(кг ∙ К)
|
4075
|
3865
|
3202
|
|
Теплота
парообразования r,
Дж/кг
|
2082
∙ 103
|
2141
∙ 103
|
2207
∙ 103
|
|
Плотность
пара ρп,
кг/м3
|
3,424
|
2,12
|
1,12
|
|
Плотность
пара при p = 105
Па
|
|
0,579
|
|
Определим коэффициент В по корпусам:
Коэффициент теплоотдачи α1
при высоте труб l = 5м равен:
Расчет коэффициента теплопередачи приведен в таблице.
|
Величины
|
1 корпус
|
2
корпус
|
3
корпус
|
|
А1
= 314 ∙ 103 B1
= 11,16
|
А2
= 306 ∙ 103 B2
= 6,55
|
А3
= 295
∙
103 B3
= 5,04
|
|
q
|
6000 12000
|
9000 12000
|
5000 9000
|
|
q-0,333
|
5,52
4,38
|
4,82 4,38
|
5,86 4,82
|
|
α1
= 0,62Aq-0,333
|
10746 8527
|
9145 8310
|
10721,6
8816
|
|
q0,6
|
184,9
280,2
|
235,8 280,2
|
165,7 235,8
|
|
α2
=
Bq0,6
|
2063,5
3127
|
1544.5 1835,3
|
835,1 1188,4
|
|
K = 1/(1/α1
+ 2,86 ∙ 10-4 + 1/α2)
|
1158
1383
|
959 1051
|
635 806
|
|
Δt
= q/K
|
5,18
8,67
|
9,4 11,4
|
7,88 11,17
Из графика следует, что для предварительно
вычисленных значений полезных разностей температур по корпусам Δtпол1
= 7,6 °C; Δtпол2
= 11 °C; Δtпол3
=10,3 °C удельные тепловые
нагрузки соответственно равны: Коэффициенты
теплопередачи по корпусам равны:
Полезные разности температур в корпусах
установки находим из условия равенства их поверхностей теплопередачи:
Проверка суммарной полезной разности температур:
Площади поверхностей теплопередачи выпарных
аппаратов:
По ГОСТ 11987-85 принимаем выпарной аппарат со
следующей характеристикой: площадь поверхности теплообмена 450 м2;
диаметр труб 38 x 2 мм, длина
труб 5000 мм; диаметр греющей камеры не менее 1600 мм; диаметр сепаратора не
более 4000 мм; диаметр циркуляционной трубы не более 1000 мм; высота аппарата
не более 15000 мм; масса аппарата не более 31800 кг.
Площадь поверхности теплообмена принятого
выпарного аппарата больше ориентировочно выбранной поверхности. Однако
необходимости вносить коррективы в расчет нет, так как конструктивные размеры -
диаметр и высота труб - остались прежними.
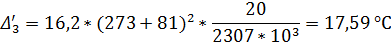
Уточним температуры кипения растворов, вторичных
паров и их давления по корпусам:
|
Корпус
|
Температура,
°С
|
|
кипения
|
вторичного
пара
|
|
1
|
129,81
- 7,5 = 122,31
|
129,81
- 2 - 5,81 = 122
|
|
2
|
118,82
- 8,6 = 110,22
|
118,82
- 1 - 13,82 = 104
|
|
3
|
107,59
- 12,8 = 94,79
|
107,59
- 26 - 17,59 = 64
|
Полезные разности температур различаются во 2-м
и 3-м корпусах, а в 1-м корпусе практически не изменяются. Поэтому при
уточненном расчете площади поверхности теплопередачи полезные разности
изменятся в основном для этих же корпусов, а для первого - практически не
изменятся, что делает необязательным дальнейшие расчеты по уточнению площади поверхности
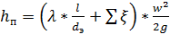
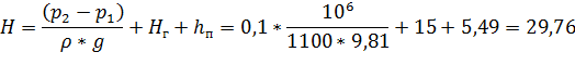
теплообмена. Расчет барометрического конденсатора. Расход охлаждающей воды Gв
определяют из теплового баланса конденсатора:
Iбк
- энтальпия паров в барометрическом конденсаторе, Дж/кг;
Св - удельная теплоемкость воды,
Дж/(кг ∙ К);
tн
- начальная температура охлаждающей воды, °С;
tк
- конечная температура смеси воды и конденсата, °С.
Диаметр барометрического конденсатора определяют
из уравнения расхода:
ρ - плотность
паров, кг/м3υ
- скорость паров, м/с (принимаем 20 м/с)
ОСТ 26717-73: выбираем конденсатор с dбк
= 600 мм, S = 5 мм; a
= 1300 мм; r = 1200 мм.
Расчет барометрической трубы
Скорость течения воды:
Высота трубы:
Определим режим течения в трубе:
Трубы выбираем гладкие, λ
= 0,0135. e труб будет 0,1 мм.
Длина - 9,12 м.
Расчет насосов. Выбираем диаметр трубопровода:
принимаем скорость раствора во всасывающем и нагнетательном трубопроводах для
перемещения жидкости одинаковой, равной 2 м/с. Тогда диаметр трубопровода
определяется по следующей формуле:
Q - объемный расход,
м3/с.
Принимаем трубопровод из стали марки X18H10T,
диаметром 45 ∙ 3,5 мм.
Уточняем скорость движения раствора:
.
Определяем величину критерия Рейнольдса:
.
Режим турбулентный. Принимаем абсолютную
шероховатость стенок e
=
0,2 мм, степень шероховатости dэ/е
= 190. Коэффициент трения λ = 0,031. Определяем
сумму коэффициентов местных сопротивлений:
Всасывающая линия:
Вход в трубу (края - острые): ξ
= 0,5Нормальный
вентиль: для d = 0,02 м ξ
= 8,0; для
d = 0,04 м ξ
= 4,9Интерполяцией
находим для d = 0,038 м ξ
= 5,2; тогда
Нагнетательная линия:
Выход из трубы: ξ = 1;Нормальный
вентиль: ξ = 5,2;Дроссельная
заслонка: ξ = 0,9 при α
= 15°;Колено
под углом 90°: ξ =1,6.
Следовательно:
Определяем потери напора по формуле:
Во всасывающей линии: В
нагнетательной линии:
Общие потери напора:

Полезная мощность насоса рассчитывается по
формуле:
Принимая ηп
= 1 и ηн
= 0,6 для насосов малой производительности, находим по формуле мощность на валу
двигателя:
ηп
и ηн
- КПД соответственно насоса и передачи от электродвигателя к валу.
С учетом коэффициента запаса мощности β
устанавливаем
двигатель со следующей мощностью:
Устанавливаем центробежный насос марки X8/30
со следующими характеристиками: производительность 2,4 ∙ 103 м3/с,
напор 30 м, КПД насоса 0,5. Насос снабжен электродвигателем 4A100S2
с номинальной мощностью 4 кВт, КПД 0,83 и частотой вращения вала 48,3 с-1.
Рассчитаем предельную высоту всасывания:
При 40 °C
pt = 7,39 ∙ 103
Па
Таким образом, центробежный насос может быть
расположен над уровнем раствора в емкости на высоте не мене 6,3 м.
Расчет емкостей. Рассчитаем объем жидкости в
приемном бункере: .
Тогда объем бункера будет равен отношению объема
жидкости к коэффициенту заполнения, который для приемника и выходного бункера
будет равен 0,8:
В третьем корпусе расход 4,1 кг/с.
Следовательно, он равен также (4,1*3600)/1000 = 15 т/ч.
Аналогично рассчитываем объем жидкости в
выходном бункере на основе данных третьего корпуса: .
Выбираем бункеры стандартных объемов: приемный
бункер на 2000 м3 и выходной бункер, соответственно, на 500 м3,
как наиболее близкие к номинальным значения объема.
Заключение
В данной курсовой работе представлен расчет
процесса выпаривания раствора дрожжевой суспензии по следующим исходным данным:
. Начальная массовая концентрация - 15%;
. Конечная массовая концентрация - 25%;
. Количество поступающей суспензии - 30
т/ч
. Абсолютное давление греющего
насыщенного водяного пара - 3 ∙ 105 Па;
. Абсолютное давление в барометрическом
конденсаторе - 0,15 ∙ 105 Па;
. Взаимное направление пара и суспензии -
прямой ток;
. Выпарной аппарат - с выносной греющей
камерой;
. Температура раствора, поступающего на
установку - 30 °С;
. Температура раствора, поступающего из
теплообменника - 80 °С;
. Начальная температура охлаждающей воды
- 15 °С;
. Температура конденсата вторичного пара,
выходящего из барометрического конденсатора, ниже температуры конденсации на 4
°С.
Список использованной литературы
1. Берман
Л. Д., «Теоретические основы хим. технологии», 1974, т.8, № 6, с. 811-22;
. И.Л.
Иоффе, «Проектирование процессов и аппаратов химической технологии», Ленинград,
«ХИМИЯ», Ленинградское отделение, 1991;
. А.М.
Карпов, А.В. Саруханов, «Теплофизические и физико-химические характеристики
продуктов микробиологического синтеза», Москва ВО «Агропромиздат», 1987;
. И.М.
Грачева, Л.А. Иванова, В.М. Кантере, «Технология микробных белковых препаратов,
аминокислот и биоэнергия», Москва, «Колос», 1992;
. К.А.
Калунянц, Л.И. Голгер, В.Е. Балашов, «Оборудование микробиологических
производств», Москва, «Агропромиздат», 1987;
. К.Ф.
Павлов, П.Г. Романков, А.А. Носков, «Примеры и задачи по курсу процессов и
аппаратов химической технологии» , Ленинград, «ХИМИЯ», Ленинградское отделение,
1981;
. Николаев
А.П. и др., «Процессы и аппараты пищевых производств. Примеры и задачи. Учебное
пособие», Киев: Вища школы, 1992.
Похожие работы на - Трехкорпусная вакуум-выпарная установка для концентрирования дрожжевой суспензии
|