Разработка гидравлической схемы гидропривода очистного угольного комбайна-полуавтомата

  • Вид работы:
    Курсовая работа (т)
  • Предмет:
    Другое
  • Язык:
    Русский
    ,
    Формат файла:
    MS Word
    446,83 Кб
  • Опубликовано:
    2016-12-28
Вы можете узнать стоимость помощи в написании студенческой работы.
Помощь в написании работы, которую точно примут!

Разработка гидравлической схемы гидропривода очистного угольного комбайна-полуавтомата

Введение

Данная работа была проведена с целью разработки гидравлической схемы гидропривода очистного угольного комбайна-полуавтомата на основе требований заказчика, расчёта параметров элементов схемы, а также анализа эффективности различных схемных решений на основе массово-экономических показателей в краткосрочной, среднесрочной и долгосрочной перспективе.

1. Описание работы гидравлической системы

.1 Исходные данные

1.      Перечень приводов, реализующих перемещения звеньев станка:

а.       привод ведущей шестерни комбайна;

б.      приводы буровых головок;

в.       приводы системы продольного перемещения буров;

.        Виды исполнительных устройств, реализующих требуемые движения выходных звеньев системы:

а.       высокомоментный гидромотор или высокооборотный гидромотор и планетарный редуктор;

б.      гидромотор;

в.       гидромотор и винтовая передача;

.        Стопорение выходных звеньев:

а.       фиксация осевого положения буровых головок осуществляется гидрозамками;

б.      для фиксации остальных гидрофицированнных звеньев могут применяться направляющие распределители.

.        Движение выходного звена первого привода:

а.       быстрое перемещение:

§  ход 5м;

§  потребное тяговое усилие на цепи 15кН;

б.      рабочее перемещение:

§  ход 50м;

§  потребное тяговое усилие на цепи 200кН.

.        Движение выходного звена второго привода:

§  частота вращения буров 3об/мин;

§  момент трения при вращении 1.2 кНм;

§  максимальный развиваемый момент при резании породы 15кНм;

§  осевое усилие при вхождении в породу 20кН;

.        Движение выходного звена третьего привода:

§  ход буровых головок при перемещении на один шаг 0,8 м;

§  усилие трения в направляющих 150 Н;

§  усилие трения в направляющих 150 Н;

КПД насоса для всех режимов работы принимается равным ηн = 0,85

КПД приводного электродвигателя ηэ = 0,8

Потери на каждом направляющем гидроаппарате принимаются равным , на каждом схемном участке гидролинии , на каждом гидроузле , на сливе , потеря давления на редукционном клапане , потеря давления на дросселе ругелятора расхода .

.2 Описание работы гидравлической системы

Привод ведущей шестерни комбайна предлагается укомплектовать гидромотором, так как ход комбайна при рабочем перемещении составляет 50 м. привод буровых головок так же предлагается укомплектовать гидромотором.

Для привода системы продольного перемещения буровых головок предлагается рассмотреть три варианта: выдвижение буровых головок реализуется с помощью гидромотора и механической передачи «винт-гайка», выдвижение буровых головок реализуется за счет гидроцилиндра, выдвижение буровых головок реализуется за счет телескопического гидроцилиндра. Для начала опишем работу системы для варианта, где используется гидромотор и механическая передача «винт-гайка».

В исходном состоянии системы Р7, Р9 находятся в среднем положении. После нажатия на рукоять «ПУСК» распределитель Р11 перемещается вправо, питание подается на клапан выдержки времени КВ2, который пропускает жидкость через себя только через 120 секунд за счет соответствующей настройки дросселя на клапане. Тем самым мы удовлетворяем требование заказчика - нахождение системы в исходном состоянии после нажатия рукояти «ПУСК» 120 секунд. После срабатывания клапана КВ2 формируется гидравлический сигнал, который переводит распределитель Р7 в крайнее правое положение. Питание привода ведущей шестерни комбайна включено. Через регуляторы расхода РР1, РР2, которые обеспечивают быстрое и рабочее перемещение соответственно, рабочее тело поступает к мотору М1. Когда комбайн заканчивает быстрое перемещение, срабатывает кулачковый механизм К1, который переводит распределитель в правое положении и направляет поток через регулятор расхода, который настроен на рабочее перемещение, но этот сигнал возвращает распределитель Р7 в исходное положение, распределитель Р8 в левое положение, привод ведущей шестерни робота временно отключен. В то же время сигнал К1 переводит распределитель Р9 в правое положение, тем самым подается питание на привод продольного перемещения буровых головок. После выдвижения буровых головок на шаг, задействуется кулачковый механизм К2, который возвращает распределитель Р9 в исходное положение. Питание привода продольного перемещения буровых головок прекращается. В то же время сигнал К2 переводит распределитель Р4 в левое положения, тем самым обеспечивая питание привода буровых головок. Заказчик требует, чтобы буровые головки вращались свободно 15 секунд. Это осуществляется за счет установки клапана выдержки времени КВ1, который формирует гидравлический сигнал на распределитель Р8, заставляя принять его правое положение. Тем самым гидравлический сигнал на Р7 восстановлен, распределитель принимает правое положение. Начинается рабочее перемещение комбайна вдоль пласта породы. Клапан предохранительный КП9 защищает систему от мотор от перегрузок. Клапан обратный КО2 обеспечивает прохождение потока только в одном направлении и выполняет защитные свойства сливной линии.

Когда рабочее перемещение заканчивается, срабатывает кулачковый механизм К3, который перемещает распределитель Р7 в центральное положение, а распределитель Р8 в левое, питание привода ведущий шестерни комбайна прекращается. В то же время сигнал К3 перемещает распределитель Р9 в правое положение, происходит выдвижение приводных головок еще на один шаг. После выдвижения еще на один шаг срабатывает кулачковый механизм К4, который возвращает распределитель Р9 в исходное положение. Распределитель Р7 перемещается в левое положение, начинается обратное рабочее перемещение комбайна. Поток жидкости идет через регулятор расхода РР3, который обеспечивает рабочее перемещение (регулятор РР4 обеспечивает быстрое перемещение). Когда заканчивается рабочее обратное перемещение, срабатывает кулачковый механизм К5, сигнал подается на распределитель Р7 - он занимает исходное (центральное) положение, на распределитель Р6 - он занимает левое положение, и на распределитель Р9, перемещая его в левое положение, а так же на распределитель Р4, перемещая его в правое положение. Таким образом, питание снимается с привода буровых головок, происходит обратное продольное перемещение буровых головок. Когда заканчивается обратное продольное перемещение, срабатывает кулачковый механизм К6, этот сигнал возвращает распределитель Р9 в исходное (центральное) положение. Питание с привода продольного перемещения привода снято. В то же время сигнал К6 перемещает распределитель Р7 в левое положение. Распределитель Р6 был ранее переключен сигналом К5, и направляет поток в регулятор расхода РР4, настроенный на быстрое перемещение. Комбайн быстро перемещается до исходного положения.

Когда комбайн возвращается в исходное положение, срабатывает кулачковый механизм К7, который возвращает распределитель Р7 в исходное положение, распределители Р5 и Р6 в левое (исходное) положение, распределитель Р11 в исходное положение, тем самым снимая питание с клапана КВ2. Система находится в исходном положении и готова к новому циклу.

В проекте реализована возможность перехода на ручное управление в аварийном режиме (при защемлении буровых головок). В этом случае респределители Р1,Р2 и Р3 обеспечивают реверс мотора буровых головок. Клапаны КП3 и КП4 так же защищают мотор буровых головок от резких перегрузок. Двусторонний гидрозамок ЗМ1 обеспечивает стопорение жидкости при аварийной потере питания. На схеме блок А1 - привод продольного перемещения буровых головок, А2 - привод вращения буровых головок. Количество буровых головок - 4 штуки. Гидроочистители привода имеют резервирование, обеспечивающее автоматическое подключение исправной группы фильтроэлементов при одновременном отключении загрязнённых. Реализуется это с помощью распределителя Р10 и предохранительных клапанов КП12 и КП13. Напорная линия защищается предохранительным клапаном КП11.

В следующем варианте предлагается разбить прямое перемещение буровых головок на 2 этапа, и реализовать это отдельными гидроцилиндрами, т.е. за каждый цилиндр будет отвечать за выдвижение буровых головок на один шаг. При этом цилиндр, который выполняет перемещение на второй шаг, крепится на гидроцилиндр, который отвечает за перемещение на второй шаг, а трубопровод делается подвижным.

В третьем варианте предлагается использовать телескопический гидроцилиндр. С одной стороны, этот ход существенно упростил бы конструкцию системы, но во время обратного хода на шток гидроцилиндра не воздействует нагрузка, а это является неблагоприятным фактором, так как телескопический гидроцилиндр плохо работает в режиме обратного хода без нагрузки. Этот вариант реализации в дальнейшем рассматриваться не будет.

Гидравлические схемы для первых двух вариантов приведены в прил. 1.

1.3 Циклограмма работы системы робота

Циклограмма системы для комплекта 1 (привод продольного перемещения буров - гидроцилиндр) изображена на рис.1.1.

Рис.1.1

Циклограмма системы для комплекта 2 (привод продольного перемещения буров - гидромотор) изображена на рис.1.2.

Рис.1.2

2. Расчёт гидравлических двигателей и регулирующей аппаратуры

.1 Варианты комплектации привода продольного перемещения буровых головок

Необходимо рассмотреть два варианта реализации заданного движения толкателей: с помощью гидроцилиндра и с помощью гидромотора с механической передачей «винт-гайка».

.1.1 Выбор гидроцилиндра для привода продольного перемещения буровых головок

Предлагается, что выдвижение на каждый шаг осуществляет один гидроцилиндр, как показано в схеме в прил.1

Определим нагрузки в режимах прямого и обратного ходов. Тогда нагрузки:

,

где, - усилие трения в направляющих буровой головки,  - осевое усилие на буровой головке при ее вхождении в породу

,

,

Для расчёта силовой части выберем наиболее энергозатратный режим, т.е. режим прямого хода. Схема включения гидроцилиндра приведена на схеме в прил.1.

Определим давление питания  перед дросселем:

,

где  - давление насоса, определяемое настройками предохранительного клапана; - падение давления на направляющей гидроаппаратуре;  - падение давления на схемном участке гидролинии;  - падение давления на гидроузле. При определении потерь использовалась гидравлическая схема. Принимая всё это во внимание для  можно записать:

.

Давление в штоковой области цилиндра  в режиме прямого определяется следующим соотношением:

,

где  - давление в открытом гидробаке системы;  потери на фильтре.

.

Из уравнений (2.1) и (2.2),определим необходимую минимальную площадь поршня  из соображений энергодостаточности [3]:


Зная площадь, найдём диаметры поршня  и штока , подставив её в следующие соотношения:


Найденные диаметры поршня и штока гидроцилиндра округлим до стандартизированного значения согласно ГОСТ 6540-68: D=32 мм, d=25 мм.

Руководствуясь полученными значениями диаметров и максимальным возможным давлением в гидролинии, из каталога фирмы Bosch Rexroth [6] был подобран гидроцилиндр, наиболее подходящий под наши параметры, c круглым корпусом из линейки CDMF3/Н3 с диаметрами  для поршня и штока соответственно.


Найдём скорость движения поршня в режиме прямого хода:


Определим расход прямого хода:


Вычислим мощность, развиваемую гидроцилиндром при прямом ходе:


Найдём скорость движения поршня в режиме обратного хода:

Определим расход обратного хода:


).

Вычислим мощность, развиваемую гидроцилиндром при прямом ходе:


).

Данный расчет действителен для всех гидроцилиндров, используемых в схеме.

.1.2 Выбор гидромотора для привода продольного перемещения буровых головок

Чтобы выбрать гидромотор, нужно определить его объёмную постоянную, скорость вращения выходного вала, а также рабочее давление. Для расчёта силовой части выберем наиболее энергозатратный режим, т.е. режим прямого хода. Схема включения приведена на рис. 2.1.

Рис. 2.1

Для линейного перемещения первого толкателя с помощью гидромотора применим схему с использованием передачи «винт-гайка». Определим частоты вращения выходного вала гидромотора, обеспечивающие заданные линейные скорости, из следующих соотношений:


где  - шаг ходового винта.



Из (2.3) выразим моменты:


Определим объемную постоянную мотора из следующих уравнений [3]:


Где  потери на редукционном клапане регулятора расхода.


,

).

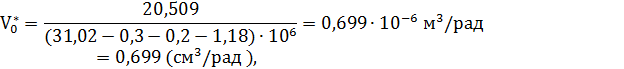
Приняв во внимание величины объемной постоянной и максимальной частоты вращения вала, был подобран гидромотор фирмы Bosh Rexroth аксиально-поршневой A2FM10/61W-VBB030 [6] с рабочим объемом

Определим расход в режиме прямого хода:


Вычислим мощность, развиваемую гидроцилиндром при прямом ходе:


Определим расход в режиме обратного хода:


Вычислим мощность, развиваемую гидроцилиндром при обратном ходе:



.2 Выбор гидромотора для привода ведущей шестерни комбайна

Для осуществления вращения ведущей шестерни необходимо рассмотреть варианты приводов с высокомоментным гидромотором, а также высокооборотным гидромоторам и планетарными редукторами. Схема включения гидромотора приведена на схеме в прил.1.

Определим потребный момент гидромотора:


где R-потребное тяговое усилие при рабочем перемещении комбайна; D-диаметр делительной окружности ведущей шестерни комбайна.

Определим давление питания  перед регулятором расхода:

,

.

Давление в сливной области мотора  определяется следующим соотношением:


.

Определим объемную постоянную мотора из следующих уравнений [3]:


где  потери на редукционном клапане регулятора расхода;  потери на дросселе.


,

).

Скорость:


Частота вращения:


Мощность:


Высокомоментный гидромотор с подходящими характеристиками подобрать не удалось. Рассмотрим вариант комплектации привода высокооборотным гидромотором с планетарной передачей.

Посчитаем Момент с учетом одной ступени:


где -передаточное отношение одной ступени планетарной передачи, -КПД планетарной передачи.

Определим значение объемной постоянной, частоты вращения и мощности в соответствии с новым моментом:



Добавим еще одну ступень:

Добавим еще одну ступень



Приняв во внимание величины объемной постоянной и максимальной частоты вращения вала, был подобран высокооборотный гидромотор фирмы Poclain Hydraulics MS05 8 14A F05 [6].

Определим расход в режиме прямого хода:


Определим расход в режиме обратного хода:

Определим мощности:


2.3 Выбор гидромотора для привода буровых головок

Буровые головки вращаются в свободном режиме и в режиме резанья породы. При этом момент трения при вращении буровых головок , Максимальный развиваемый момент при резании породы буром . Схема включения гидромотора приведена на схеме в прил.1.

Определим потребный момент:


Определим давление питания  перед регулятором расхода:

,

.

Давление в сливной области мотора  определяется следующим соотношением:


.

Определим объемную постоянную мотора из следующих уравнений:

,

).

Частота вращения в режиме резанья породы и в режиме свободного вращения

Скорость вращенья буров:


Определим мощности:


Приняв во внимание величины объемной постоянной и максимальной частоты вращения вала, был подобран высокооборотный гидромотор аксиально-поршневой Poclain Hydraulics MK35 0 121 A18 1140 [6] с рабочим объемом

Определим расход в режиме резанья работы:


Определим расход в режиме свободного вращения:


.4 Расчет дросселей и регуляторов расхода

Через дроссель ДР5 течёт жидкость в режиме прямого перемещения гидроцилиндра.

Расчётная модель представлена на схеме в прил.1.

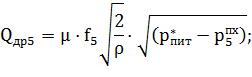
Расход жидкости, протекающей через дроссель, можно выразить следующими соотношениями [3]:


где m - коэффициент расхода рабочей жидкости через дроссель регулятор расхода;

f5 - проходная площадь дросселя;

ρ - плотность рабочей жидкости.

Так как используемые в гидросистеме дроссели относятся к турбулентным, то можно принять m = 0,7.

В качестве рабочей жидкости примем минеральное масло МГЕ-10Е в соответствии с ГОСТ 20799-75. Для данного масла кг/м3.

Уравнение равновесия выходного звена имеет вид:

Подставляя численные значения, найдём из записанных уравнений проходную площадь дросселя ДР5:


Эквивалентный диаметр отверстия диафрагмы можно найти по формуле:


Подставив численные значения, получим:  

Через дроссель ДР6 жидкость течет в режиме обратного хода гидроцилиндра. Расчётная модель представлена на схеме в прил.1.

Расход жидкости, протекающей через дроссель, можно выразить следующими соотношениями:


Уравнение равновесия выходного звена имеет вид:


Подставляя численные значения, найдём из записанных уравнений проходную площадь дросселя ДР6:


Эквивалентный диаметр отверстия диафрагмы можно найти по формуле:


Подставив численные значения, получим:

Через регулятор расхода РР5 течет жидкость в режиме прямого хода поворотного гидродвигателя.

Запишем выражения для расхода жидкости, протекающей через дроссель регулятора расхода:


Подставляя численные значения, найдём из записанных уравнений проходную площадь дросселя РР7:


Эквивалентный диаметр отверстия диафрагмы:

Для РР6 те же значения напорых и сливных величин. Так как угловая скорость обратного хода гидродвигателя.


Эквивалентный диаметр отверстия диафрагмы:

Через дроссель регулятора расхода РР2 течет жидкость в режиме рабочего хода поворотного гидродвигателя (см. рис. 2.2).

Запишем выражения для расхода жидкости, протекающей через дроссель регулятора расхода:


Подставляя численные значения, найдём из записанных уравнений проходную площадь дросселя РР7:


Эквивалентный диаметр отверстия диафрагмы:

Через дроссель регулятора расхода РР1 течет жидкость в режиме быстрого хода поворотного гидродвигателя.

Запишем выражения для расхода жидкости, протекающей через дроссель регулятора расхода:


Подставляя численные значения, найдём из записанных уравнений проходную площадь дросселя РР7:


Эквивалентный диаметр отверстия диафрагмы:

Через дроссель ДР1 течет жидкость в режиме резанья порода и свободного вращения поворотного гидродвигателя.

Запишем выражения для расхода жидкости, протекающей через дроссель регулятора расхода:


Подставляя численные значения, найдём из записанных уравнений проходную площадь дросселя РР7:


Эквивалентный диаметр отверстия диафрагмы:

.6 Подбор насоса и гидробака

На основании циклограммы потребных расходов, заключаем, что требуемая подача насоса, равная максимальному из потребных расходов за цикл работы робота, составляет 80 л/мин.

Требуемое давление в гидросистеме составляет 40 МПа.

Исходя из этих условий, подбираем Аксиально-плунжерный насос с наклонным баком фирмы Bosch Rexroth E-А4F028/60-PZB06 [6].

Основные параметры насоса:

Рабочий объёмсм3;

- Подача номинальная= 110 л/мин;

Давление максимальное= 32 МПа;

Частота вращения номинальная = 597 об/мин;

мощность максимальная = 75 кВт;

Масса m =18 кг.

Минимальный объём гидробака определяется формулой:

 л.

В соответствии с ГОСТ 12448-80 выберем объём бака равным 160 литрам.

Насос подходит для двух возможных вариантов исполнения.

2.7 Расчет среднего КПД привода и суммарной потребляемой электрической мощности

Суммарная мощность за цикл определяется формулой:

.

На основании циклограммы полезных мощностей

По условию полный КПД насоса принимается равным ηн = 0,85, а полный КПД электродвигателя насоса равен ηэ = 0,8.

Электрическая мощность, потребляемая от электросети электродвигателем насоса за цикл работы гидросистемы определяется по формуле:


Подставляя числовые данные, получаем .

Средний КПД привода за цикл работы можно оценить по формуле:



2.8 Расчет диаметров трубопроводов

Расход, проходящий через всасывающий участок гидролиний, найдём по формуле:


По условию заданы следующие допустимые средние скорости движения жидкости:

для всасывающей гидролинии , для напорной гидролинии , для сливной гидролинии

Диаметры трубопроводов определим по формуле:


Выполняя унификацию диаметров трубопроводов 1 комплекта, примем для гидролиний:

всасывающей  

сливной гидроцилиндра, гидромотора и в бак  

напорной насоса, гидроцилиндра и напорной гидромоторов  

Выполняя унификацию диаметров трубопроводов 2 комплекта, примем для гидролиний:

всасывающей  

сливной гидромоторов и в бак  

напорной гидромоторов и насоса  

.9 Основные статические характеристики регулируемой части привода

Здесь и ниже под удельной нагрузкой будем подразумевать величину


где  - перепад давлений на дросселе регулятора расхода РР, - минимальный перепад давлений на редукционном клапане регулятора.

Зависимость давления питания цилиндра от удельной нагрузки  определяется уравнением:


Считаем, что при  потребный расход не зависит от нагрузки и равен , а при , подчиняется квадратичному закону [3]:


Скорость движения выходного звена определяется из элементарных соображений:


Зависимость мощности привода от удельной нагрузки определяется выражением:


А КПД может быть найден как:

Вращение буровых головок регулируется дросселем

Здесь и ниже под удельной нагрузкой будем подразумевать величину


Зависимость давления питания цилиндра от удельной нагрузки вытекает напрямую из уравнения статического равновесия выходного звена:


причём, данная зависимость выходит на насыщение при заторможенном выходном звене:


Потребный расход в данном случае проходит через дроссель ДР, поэтому он может быть определён из формулы:


где  - площадь проходного отверстия дросселя ДР,  - перепад на дросселе. Выполняя необходимые преобразования, получаем:


Скорость движения выходного звена определяется из следующего выражения:


Зависимость мощности привода от удельной нагрузки определяется выражением:


А КПД может быть найден как:


Гидроцилиндр регулируется с помощью дросселя.

Здесь и ниже под удельной нагрузкой будем подразумевать величину


Зависимость давления питания цилиндра от удельной нагрузки вытекает напрямую из уравнения статического равновесия выходного звена:


причём, данная зависимость выходит на насыщение при заторможенном выходном звене:


Потребный расход в данном случае проходит через дроссель ДР, поэтому он может быть определён из формулы:


где  - площадь проходного отверстия дросселя ДР,

 - перепад на дросселе.

Выполняя необходимые преобразования, получаем:



Скорость движения выходного звена определяется из элементарных соображений:


Зависимость мощности привода от удельной нагрузки определяется выражением:


А КПД может быть найден как:


Входная мощность определяется из зависимости Q(r):



3. Оптимизация системы с точки зрения стоимостных и массовых показателей

.1 Расчет стоимости затрат на закупку и эксплуатацию

В данной главе проводится расчет стоимости затрат на закупку и эксплуатацию оборудования разрабатываемой гидросистемы, исходя из статистических данных по массовым и стоимостным показателям гидрооборудования силовых гидроприводных систем промышленных роботов.

Подобранное гидрооборудование для первого комплекта приведено в табл.3.1. Для второго комплекта гидрооборудование приведено в табл.3.2.

Таблица 3.1

Наименование

Количество

Масса 1 шт m, кг

Стоимость 1 шт, евро

Ресурс

Ц1 М1 М2

 8 1 4

 12,4 50 175

 1237 6437 16548

4 млн. ц. 5000 ч 5000 ч

Р5,Р6

 2

3,6

388


Р8

1

1,5

419

 6 млн.ц.

Р11

1

2,0

388

6 млн.ц

Р7,Р9

2

3,6

388

6 млн. ц.

Р10

1

3,6

388

6 млн.ц.

Р1,Р2

2

2

367

6 млн.ц

Р12,Р13,Р3,Р4

4

2

367

6 млн. ц.

Гидробак Б1

1

101

930

Неогран.

КП9,КП10,КП12КП13

4

1,5

130

3500 ч

КП3,КП4,КП11

9

1,5

108

3500 ч

КО1,КО2

2

0,8

149

3 млн. ц.

Др1..Др6

32

0,8

169

3000ч

ЗМ

8

0,63

183

1 млн. ц.

РР1-РР4

4

11,3

977

8000 ч

КВ1,КВ2

2

1,5

45

3 млн. ц.

Ф1,Ф2

2

7,5

143

3000 ч

Планетарная передача

1

195

2400

Неогран.


Таблица 3.2

Наименование

Количество

Масса 1 шт m, кг

Стоимость 1 шт, евро

Ресурс

М3 М1 М2

 4 1 4

 5,4 50 175

 1269 6437 16548

5000 ч 5000 ч 5000 ч

Р5,Р6

 2

3,6

388


Р8

1

1,5

419

 6 млн.ц.

Р11

1

2,0

388

6 млн.ц

Р7,Р9

2

3,6

388

6 млн. ц.

Р10

1

3,6

388

6 млн.ц.

Р1,Р2

2

2

367

6 млн.ц

Р3,Р4

2

2

367

6 млн. ц.

Гидробак Б1

1

101

930

Неогран.

КП9,КП10,КП12КП13

4

1,5

130

3500 ч

КП3,КП4,КП11

9

1,5

108

3500 ч

КО1,КО2

2

0,8

149

3 млн. ц.

Др1..Др4

32

0,8

169

3000ч

ЗМ

8

0,63

183

1 млн. ц.

РР1-РР4

4

11,3

977

8000 ч

КВ1,КВ2

2

1,5

45

3 млн. ц.

Ф1,Ф2

2

7,5

143

3000 ч

Планетарная передача

1

195

2400

Неогран.

Механическая передача «винт-гайка»

1

1,21

625

Неогран.

 Итого:

809,7

99713

 


Данные для двигателей, цилинда, регуляторов расхода, распределителей, фильтров, дросселей, клапанов обратных и предохранительных, планетарной передачи и передачи «винт - гайка» были получены из каталогов Bosch Rexroth и прайс листа Bosch Rexroth за 2005 год. Для того, чтобы узнать цену на двигатели фирмы Poclain Hydraulics, были сделаны прямые запросы в представительство фирмы в России, но ответов так и не последовало. Поэтому цены взяты с различных источников в интернете. Данные для гидрозамков были взяты с официального сайта фирмы «Еврогидравлика». Данные для клапанов выдержки реле времени и гидробака так же были взяты с различных источников в интернете. Ссылки предоставлены в Перечне используемой литературы [6].

Рассмотрим пять случаев эксплуатации системы:

Один насос постоянной подачи (расчетный вариант);

Два насоса различных, рационально подобранных подач;

Один насос переменной подачи, регулируемый по напорному давлению (машинно-дроссельное управление);

Один насос постоянной подачи и дополнительно установленный пневмогидравлический аккумулятор;

Один насос постоянной подачи, вал которого приводится в движение с помощью асинхронного электродвигателя типа АИМ с частотным преобразователем частоты (ЧПЧ), обеспечивающим требуемую подачу насоса за счет изменения частоты вращения ротора двигателя.

Ранее был выбран Аксиально-плунжерный насос с наклонным баком фирмы bosch Rexroth E-А2F0107/60-PZB06. Основные параметры насоса:

Рабочий объёмсм3;

- Подача номинальная= 110 л/мин;

Давление максимальное= 40 МПа;

Частота вращения номинальная = 597 об/мин;

мощность максимальная = 75 кВт;

Масса m =18 кг.

Стоимость S = 3341 у.е.;

Ресурс Т = 3000 ч.

Основные параметры насоса PGH2-2X/040 фирмы Bosch Rexroht. Основные параметры насоса [6].

Рабочий объём= 40,1 см3;

Подача номинальная= 57,6 л/мин;

Давление номинальное= 31,5 МПа;

Частота вращения номинальная = 2400 об/мин;

Мощность номинальная = 32 кВт;

Массаm =16 кг;

СтоимостьS = 1585 у.е.;

РесурсТ = 3000 ч.

Основные параметры насоса PGH2-2X/050 фирмы Bosch Rexroht. Основные параметры насоса [6].

Рабочий объём= 50,7 см3;

Подача номинальная= 72,8 л/мин;

Давление номинальное= 31,5 МПа;

Частота вращения номинальная = 2400 об/мин;

Мощность номинальная = 26 кВт;

Массаm =16 кг;

СтоимостьS = 1719 у.е.;

РесурсТ = 3000 ч.

Основные параметры насоса HFB-A10VSO45DFLR фирмы Bosch Rexroht. Основные параметры насоса [6].

Рабочий объём=45 см3;

Подача номинальная= 117 л/мин;

Давление номинальное= 31,5 МПа;

Частота вращения номинальная = 2500 об/мин;

Мощность номинальная = 56 кВт;

Массаm=20 кг;

СтоимостьS = 2867 у.е.;

РесурсТ = 3000 ч.

Основные параметры насоса PGH2-2X/040 фирмы Bosch Rexroht. Основные параметры насоса [6].

Рабочий объём= 40,1 см3;

Подача номинальная= 57,6 л/мин;

Давление номинальное= 31,5 МПа;

Частота вращения номинальная = 2400 об/мин;

Мощность номинальная = 32 кВт;

Массаm =16 кг;

СтоимостьS = 1585.;

РесурсТ = 3000 ч.

Для нашей системы выберем гидроаккумулятор Bosch Rexroht HAD 2,8-250-10 [6].

Вместимость 2800 cм3;

Номинальное давление = 31,5МПа;

Масса m = 15,6 кг;

РесурсТ = 0.5 млн. циклов.

СтоимостьS = 436 у.е.;

Ранее был выбран Аксиально-плунжерный насос с наклонным баком фирмы bosch Rexroth E-А2F0107/60-PZB06. Основные параметры насоса [6].

Рабочий объёмсм3;

Подача номинальная= 110 л/мин;

Давление максимальное= 40 МПа;

Частота вращения номинальная = 597 об/мин;

мощность максимальная = 75 кВт;

Масса m =18 кг.

Стоимость S = 3341 у.е.;

Ресурс Т = 3000 ч.

Параметры электродвигателя АИР 250 М4 [6].

- Частота вращения номинальная = 600 об/мин;

Мощность номинальная = 90 кВт;

НапряжениеU = 220/380 В;

СтоимостьS = 1590 у.е.

Массаm = 485 кг.

Мощность номинальная = 100 кВт;

СтоимостьS = 650 у.е.;

Массаm = 3,8 кг.

Частотный преобразователь является внешним устройством, крепящимся в непосредственном удалении от электродвигателя. Массой частотного преобразователя можно пренебречь, так как его масса несопоставима с массой гидравлического привода, проводкой и прочим гидрооборудованием.

.2 Зависимость эксплуатации для разных временных отрезков

Масса, стоимость и ресурс элементов гидросистемы приведена в табл. 3.3.

Таблица 3.3

Наименование

Кол-во

Параметр

Масса (кг)

Стоимость (у.е.)

Ресурс, часы,

 

Варианты подключаемых насосных установок

E-А2F0107/60-PZB06.

1

V0 = [см3]

18

3341

3000

 

PGH2-2X/040  PGH2-2X/050

1 1

16 16

1585 1719

3000 3000

 

HFB-A10VSO45DFLR

1

V0 = 45 [см3]

20

2867

3000

 

PGH2-2X/040  HAD 2,8-250-10

1 1

V0 = 40,1 [см3] V0 = 2,8 [дм3]

16 15,6

1585 436

3000 500000

 

E-А2F0107/60-PZB06 АИР 250 М4 Mitsubishi FR-A 740 IP20              1 1 1       V0 =  [см3] = 90 кВт

= 100 кВт18

,83341


5000





Для указанных вариантов комплектации системы рассчитаем их закупочно-эксплуатационные стоимости. Считаем, что станок эксплуатируется непрерывно в трёхсменный рабочий день, затраты на эксплуатацию системы включают в себя только стоимость потреблённой электроэнергии, а закупка и замена оборудования происходят по мере истечения его заводского ресурса; режим работы трёхсменный, время простоя оборудования не учитывается. В этом случае, затраты на закупку и эксплуатацию гидросистемы могут быть определены из соотношения:


где  - стоимость электроэнергии, потреблённой системой за рассматриваемый промежуток,  общая стоимость закупки оборудования. В свою очередь


где  - тариф на электроэнергию, а суммарная работа сети  за рассматриваемый промежуток времени выражена в кВтч. Например, работа  может быть найдена через среднюю мощность, потребляемую из сети за цикл:


где  - время работы сети в часах, , кВт:


Закупочная стоимость оборудования:


где  - число замен устройств, в связи с истечением их срока службы, а  - закупочная стоимость устройства.

Предлагается определить закупочно-эксплуатационные затраты на нескольких временных промежутках:

;

;

;

;

.

.3 Расчет проектной массы системы

Ранее произведён расчёт параметров различных вариантов гидросистем. Результаты подсчёта масс приведены ниже. Проектная масса гидросистемы для первого варианта комплектации представлена в табл.3.4. Для второго варианта комплектации проектная масса представлена в табл.3.5.

Таблица 3.4

Номер варианта

Вариант гидросистемы

Масса, кг

 1

Один насос постоянной подачи

18 + 892,1

 2

Два насоса различных, рационально подобранных подач

32 + 892,1

 3

Один насос переменной подачи, регулируемый по напорному давлению (машинно - дроссельное управление)

20 + 892,1

 4

Один насос постоянной подачи и дополнительно установленный пневмогидравлический аккумулятор

31,6 + 892,1

 5

Один насос постоянной подачи, вал которого приводится в движение с помощью асинхронного электродвигателя типа АИМ с частотным преобразователем частоты (ЧПЧ)

506,8 + 892,1


Таблица 3.5

Номер варианта

Вариант гидросистемы

Масса, кг

 6

Один насос постоянной подачи

18+ 809,7

 7

Два насоса различных, рационально подобранных подач

32+ 809,7

 8

Один насос переменной подачи, регулируемый по напорному давлению (машинно - дроссельное управление)

65 + 809,7

 9

Один насос постоянной подачи и дополнительно установленный пневмогидравлический аккумулятор

31,6 + 809,7

 10

Один насос постоянной подачи, вал которого приводится в движение с помощью асинхронного электродвигателя типа АИМ с частотным преобразователем частоты (ЧПЧ)

506,8 + 809,7


.4 Построение областей строго допустимых и нехудших проектных решений

Для указанных вариантов комплектации построим графики зависимости их эксплуатационно-закупочной стоимости от времени работы системы при 1-м, 2-х, 3-х, 5-ти 10-ти годах непрерывной трёхсменной эксплуатации. Также на плоскости «C - m», где C - полная стоимость, m - проектная масса, отмечены соответствующие точки для указанных временных промежутков. Сводка данных графиков приведена ниже.

По положению изображающих точек на плоскости «C - m» были определены нехудшие решения. Оптимальное решение определялось по критерию наименьшего нормированного радиус-вектора изображающей точки на данной плоскости [4].

Подведем итог. В краткосрочной перспективе нехудшими являются варианты комплектования системы приводов насосом постоянной подачи, одним насосом переменной подачи, регулируемым по напорному давлению (машинно - дроссельное управление) или одним насосом постоянной подачи и дополнительно установленного пневмогидравлического аккумулятора; привод продольных перемещений буров укомплектован гидромотором М3 с механической передачей «винт-гайка». В долгосрочной перспективе к данным нехудшим решениям присоединяютя вариант 4 - питание одним насосом постоянной подачи и дополнительно установленного пневмогидравлического аккумулятора, но привод продольных перемещений буров укомплектован гидроцилиндрами. Это связано с тем, что цилиндр Ц1 обладает почти вдвое большим ресурсом, чем мотор М3. Указанные приводы с насосом постоянной подачи менее массивны, но несколько более дороги, чем приводы с аккумуляторами, которые экономичнее с точки зрения энергозатрат.

С точки зрения критерия минимального нормированного радиус-вектора предпочтительным является комплектование привода одним насосом постоянной подачи и дополнительно установленного пневмогидравлического аккумулятора. Оптимальность данного варианта была установлена на всём сроке эксплуатации системы.

3.5 Обобщенный аддитивный функционал


Вычислим аддитивный функционал для построения гистограммы по формуле:


где  - взвешенное условие, которое находится по формуле:



где  есть коэффициент малозначимости. Далее по этим формулам построены гистограммы для различных значений весового коэффициента  для конкурсных вариантов комплектации системы.

Вариант 4 - питание одним насосом постоянной подачи и дополнительно установленного пневмогидравлического аккумулятора, привод продольных перемещений буров укомплектован гидроцилиндрами.

Вариант 6 - питание одним насосом постоянной подачи, привод продольных перемещений буров укомплектован гидромотором с механической передачей «винт гайка».

Вариант 8 - питание одним насосом переменной подачи, регулируемым по напорному давлению (машинно - дроссельное управление), привод продольных перемещений буров укомплектован гидромотором с механической передачей «винт гайка». -Вариант 9 - питание одним насосом постоянной подачи и дополнительно установленного пневмогидравлического аккумулятора, привод продольных перемещений буров укомплектован гидромотором с механической передачей «винт гайка».

В табл.3.6. приведены массы и стоимости в зависимости от варианта исполнения.

Таблица 3.6


m,кг

С,евро

9 вариант

841,3

101734

8 вариант

829,7

102589

4 вариант

923,7

95884

6 вариант

841,7

103017


Нормированная масса гидросистемы находится по формуле [4]:


Нормированная стоимость гидросистемы находится по формуле:


Пользуясь формулами (3.2) и (3.3) определим значения нормированной массы и стоимости для каждого варианта и составим аддитивный функционал конкурентоспособности.

Сводка значений аддитивного функционала для различных значений коэффициента a представлена в табл.3.7.

Таблица 3.7


a=0.3

a=0.7

a=0.5

0.332

0.612

0.472

0.279

0.651

0.465

0.7

0.3

0.5

0.389

0.738

0.563


Для данного сегмента рынка с весовым коэффициентом массы 0,3 масса системы является менее важным показателем, нежели стоимость. На гистограмме четко выделяется функционал  - он принимает наименьшее значение, следовательно, больше удовлетворяет желаниям заказчика.

Для данного сегмента рынка с весовым коэффициентом массы 0,7 масса системы является более важным показателем, нежели стоимость. На гистограмме четко выделяется функционал  - он принимает наименьшее значение, следовательно, больше удовлетворяет желаниям заказчика.

3.6 Анализ увеличения напорного давления до 40 МПа

Увеличения напорного давления до 40 МПа, позволит снизить масса - габаритные показатели. Снижение масса - габаритных показателей будет существенным плюсом для привода комбайна - полуавтомата в связи со спецификой области применения робота и сложности установки его на рабочем месте.

В главе 1 подробно описана процедура выбора гидромоторов и гидроцилиндра.

 Согласно параграфу 2.1.1, определим усилия, действующие на буровые головки:

,

,

Определим давление питания  перед дросселем:

,

.

Давление в штоковой области цилиндра  в режиме прямого перемещения остается без изменений:

.

Уравнение статического равновесия поршня имеет вид:


где  - площадь поршня;  - отношение рабочих площадей штоковой и поршневой области;  - давление в поршневой области цилиндра, определяемое следующим уравнением:


где  определяется из среднестатистических данных.

Из уравнений (3.4) и (3.5),определим необходимую минимальную площадь поршня  из соображений энергодостаточности:


Зная площадь, найдём диаметры поршня  и штока , подставив её в следующие соотношения:


Найденные диаметры поршня и штока гидроцилиндра округлим до стандартизированного значения согласно ГОСТ 6540-68: D=32 мм, d=20 мм.

Габаритные показатели уменьшились, но работоспособные гидроцилиндры при таких давлениях подобрать не удалось. Далее этот вариант рассматриваться не будет.

Значения моментов для прямого и обратного хода, мощностей, а так же значения частот вращения и угловых скоростей, идентичны значениям, полученным в пункте 2.1.2.

Определим значение объемной постоянной:

,

).

Гидродвигатель Bosh Rexroth аксиально-поршневой A2FM10/61W-VBB030 с рабочим объемом  подходит для напорного давления 32 МПа и 40 МПа.

В пункте 2.2 было установлено, что использование высокомоментного гидромотора невозможно, а использование высокооборотного гидромотора возможно с использованием планетарного редуктора с 3 ступенями. Значения моментов для быстрого и рабочего перемещения, а также значения частот вращения и угловых скоростей, идентичны значениям, полученным в пункте 1.2

Определим давление питания  перед регулятором расхода:

,

.

Давление в сливной области мотора  определяется следующим соотношением:

.

Определим объемную постоянную мотора, учитывая 3 ступени


Приняв во внимание величины объемной постоянной и максимальной частоты вращения вала, был подобран высокооборотный гидромотор фирмы Poclain Hydraulics MS05 6 14A F05 [6].

Определим расход в режиме прямого хода:




Определим мощности:

Значения моментов для свободного вращения и для вращения в режиме резанья породы, мощностей, а также значения частот вращения и угловых скоростей, идентичны значениям, полученным в пункте 2.3

Определим давление питания  перед регулятором расхода:

,

.

Давление в сливной области мотора  определяется следующим соотношением:


.

Определим объемную постоянную мотора из следующих уравнений:

,

).

Приняв во внимание величины объемной постоянной и максимальной частоты вращения вала, был подобран высокооборотный гидромотор фирмы Bosh Rexroth аксиально-поршневой Poclain Hydraulics MKE18 2 121 A18 1340 с рабочим объемом  [6].

Определим расход в режиме резанья работы:


Определим расход в режиме свободного вращения:

Реализация гидропривода рассматриваемого робота при напорном

Требуемое давление в гидросистеме составляет 40 МПа.

Исходя из этих условий, подбираем Аксиально-плунжерный насос с наклонным баком фирмы bosch Rexroth E-А4F028/60-PZB06 [6].

Основные параметры насоса:

Рабочий объёмсм3;

- Подача номинальная= 81 л/мин;

Давление максимальное= 40 МПа;

Частота вращения номинальная = 3000 об/мин;

мощность максимальная = 56 кВт;

Масса m =13,5 кг.

Минимальный объём гидробака определяется формулой:

 л.

В соответствии с ГОСТ 12448-80 выберем объём бака равным 100 литрам.

Расход, проходящий через всасывающий участок гидролиний, найдём по формуле


На основании циклограммы потребных расходов (рис.42.) и максимальной подачи насоса, имеем следующие максимальные расходы в гидролиниях предоставлены в табл.3.8.

Таблица 3.8

во всасывающей насос Н1

86,0 л/мин

в напорной насоса Н1

81,0 л/мин

в сливной в бак

81,0 л/мин

в напорной гидромотора М3 (комплект 2)

6,04 л/мин;

в сливной гидромотора М3 (комплект 2)

6,04 л/мин;

в напорной гидромотора М2

8,42 л/мин

в сливной гидромотора М2

8,42 л/мин

в напорной гидромотора М1

42,10 л/мин

в сливной гидромотора М1

42,10 л/мин


По условию заданы следующие допустимые средние скорости движения жидкости:

для всасывающей гидролинии , для напорной гидролинии , для сливной гидролинии

Подставляя числовые данные в формулу (6), получаем значения диаметров для гидролиний, приведенных в табл.3.9.

Таблица 3.9

Участок гидролинии

Полученное значение

Гостированное значение

во всасывающей насос Н1

в напорной насоса Н1

в сливной в бак

в напорной гидромотора М3 (комплект 2)

в сливной гидромотора М3 (комплект 2)

в напорной гидромотора М2

в сливной гидромотора М2

в напорной гидромотора М1

в сливной гидромотора М1


Выполняя унификацию диаметров трубопроводов, примем для гидролиний:

всасывающей  

сливной гидроцилиндра, гидромотора и в бак  

напорной насоса, гидроцилиндра и напорной гидромоторов  

Выше был описан подбор гидромоторов. Подбор остального гидрооборудования полноценно провести не удалось, так как давление питания очень велико. Например, подавляющее количество распределителей, имеющихся в каталогах передовых компаний, выпускающих гидравлическое оборудование, рассчитано на максимальное давление в 350 бар (35 МПа). Такая же ситуация сложилась и с обратными клапанами, дросселями и регуляторами расхода.

Из всего этого можно сделать вывод, что переход на давление питания 40 МПа невозможен. Гидромоторы подобрать все же удалось, а все остальное гидрооборудование можно сделать на заказ, что понесет за собой две основные проблемы: увеличение стоимости системы и сложность в монтаже. Поэтому вариант перехода на давление питания в 40 МПа является неконкурентоспособным.

Заключение

Для любого рассматриваемого срока эксплуатации гидросистемы промышленного робота наибольшие затраты приходятся на случай комплектации системы гидропитания двумя насосами постоянной подачи, а наименьшие - на случай комплектации системы гидропитания насосом постоянной подачи и дополнительно установленным пневмогидравлическим аккумулятором.

Вариант комплектации системы гидропитания одним насосом постоянной подачи, вал которого приводится в движение с помощью асинхронного электродвигателя типа АИМ с частотным преобразователем частоты (ЧПЧ), является самым тяжёлым, и в то же время наиболее дорогим в эксплуатации. Вариант с насосом постоянной подачи является наиболее экономичным, и в то же время обладает наименьшей массой, то есть обладают лучшими показателями конкурентоспособности.

Переход на давление питания 40 МПа невозможен и неконкурентоспособен.

Таким образом, наилучшей комплектацией системы гидропитания для данного промышленного робота является «Один насос постоянной подачи и дополнительно установленный пневмогидравлический аккумулятор».

двигатель буровой комбайн насос

Перечень библиографических источников


1.       Свешников В.К., Усов А.А. Станочные гидроприводы: Справочник. М.: Машиностроение, 1988. 512 с.

2.      Зуев Ю.Ю., Зубкова А.Г., Черкасских С.Н. Расчет и проектирование силовых гидросистем промышленных роботов. Методическое пособие. -М.: Изд-во МЭИ, 1999.

.        Голубев В.И., Зуев Ю.Ю. Методические указания к типовому расчету по курсу “Объемный гидропривод”. -М.: Изд-во МЭИ, 1986.

.        Статистические данные по стоимостным и массовым показателям силового гидрооборудования промышленных роботов.

.        ГОСТ 7.32 - 2001. Отчет о научно-исследовательской работе. Структура и правила оформления.

Похожие работы на - Разработка гидравлической схемы гидропривода очистного угольного комбайна-полуавтомата

 

Не нашли материал для своей работы?
Поможем написать уникальную работу
Без плагиата!
Без нейросетей!