Технико-экономический расчёт производственного участка по сборке Руля направления самолёта АН-140

  • Вид работы:
    Курсовая работа (т)
  • Предмет:
    Другое
  • Язык:
    Русский
    ,
    Формат файла:
    MS Word
    279,74 Кб
  • Опубликовано:
    2017-04-19
Вы можете узнать стоимость помощи в написании студенческой работы.
Помощь в написании работы, которую точно примут!

Технико-экономический расчёт производственного участка по сборке Руля направления самолёта АН-140

Авиационный техникум государственного образовательного учреждения высшего профессионального образования

Самарский государственный аэрокосмический университет имени академика С.П. Королева

Самарский авиационный техникум

Специальность 160203



Пояснительная записка к курсовой работе

по дисциплине «Экономика отрасли»

Тема:

Технико-экономический расчёт производственного участка по сборке Руля направления самолёта АН-140


Содержание

Введение

1.   Проектирование и расчет технико-экономических показателей производственного участка

1.1 Исходные данные

1.2    Расчет годовой программы производственного участка

1.3 Расчет потребного количества оборудования

1.4    Расчет производственной площади участка

.5      Расчет потребного количества основных, вспомогательных рабочих, ИТР и служащих

2.   Технико-экономические расчеты производственного участка

2.1 Определение годового фонда заработной платы всех категорий работников, работающих на участке

2.2 Определение стоимости основных материалов

2.3 Определение расходов на содержание и эксплуатацию оборудования

2.4 Определение общецеховых накладных расходов

2.5    Определение цеховой себестоимости руля направления самолёта АН-140

.6      Оценка технико-экономической эффективности спроектированного участка

3. Научная организация труда

Заключение

Список литературы

Введение

К началу 2000-х годов большая часть среднемагистральных и региональных авиаперевозок в России совершалась на самолетах Ту-123, Ту-154 и Як-42. При этом серийное производство Ту-123 и Як-42 закончилось в 1984 и в 2000 году соответственно. Эти типы самолетов (за исключением Ту-154М и Як-42) не соответствует современным требованиям ИКАО по выхлопам вредных веществ в атмосферу и шумовому загрязнению. При стремительном устаревании авиапарка российского/советского производства авиакомпании вынуждены были закупать самолеты (чаще всего бывшие в употреблении) за рубежом. В 2007году рост объема производства в авиационной промышленности составил 16,6% в реальном исчислении, из них в гражданском авиастроении - 10,2%, в военном - на 19,7%.

В настоящее время по линии Минпром торга России реализуется ряд механизмов государственной поддержки авиационной промышленности:

.   Взносы в уставной капитал ведущих авиастроительных холдингов страны с целью финансового оздоровления их дочерних и зависимых обществ;

2.      Субсидии на возмещение предприятиям авиационной промышленности на техническое перевооружение;

.        Субсидии предприятиям отрасли в целях предупреждения банкротства;

.        Другие виды господдержки.

Проектом Федерального закона «О Федеральном бюджете на 20011 год и на плановый период 2012 и 2013 годов» предусмотрено продолжение государственной поддержки авиастроении в рамках действующих механизмов. Только в 2011 году по федеральным целевым программам и внепрограммным мероприятиям, оказываемым Минпром торгом России игнорированным структурам и предприятиям авиационной промышленности авиационной промышленности, будет направленно более 70 млрд. руб.

По поручению Правительства Российской Федерации с целью повышения эффективности расходов федерального бюджета Минпром торгом России, Минфином России, Минтрансом России, Минэкономразвития России, Минобороны России совместно с интегрированными структурами и государственными научными центрами разрабатывается структурами и государственными научными центрами разрабатывается государственная программа развития авиационной промышленности до 2025 года. В рамках разработки этой программы проводится анализ планов интегрированных структур авиационной промышленности по разработке, производству и поставкам гражданской авиационной техники, необходимого объема прикладных НИОКР в обеспечение создания конкурентоспособной авиационной техники, объемов работ по техническому перевооружению и развитию экспериментальной базы НИИ и ОКБ, производственной базы промышленных предприятий. А также осуществляется выработка комплекса мер государственной поддержки авиационной промышленности на период до 2025 года.

В целях сближения реализуемых в Российской Федерации по поддержке авиационной промышленности с нормами, принятыми в странах - членах Организации экономического развития и сотрудничества (ОЭСР), ОАО «Объединенная авиастроительная корпорация» разработана и представлена в заинтересованные федеральные органы исполнительной власти корпорация системы финансирования продаж авиатехники в России. Вопрос внедрения этой системы будет также рассмотрен в ходе подготовки и рассмотрения проекта государственной программы развития авиационной промышленности до 2025 года.

Раздел 1. Проектирование участка и расчет технико-экономических показателей производственного участка

.1 Исходные данные

Сборка руля направления самолета Ан-140:

. Среднесерийное

. Режим работы участка-односменный 8 часов.

. Трудоемкость изготовления сборочной единицы - 1533,9 н.ч.

Для того чтобы рассчитать годовую программу производственного участка необходимо учитывать трудоемкость подготовительно-заключительных работ. (tп.з.) Она составляет 10% от штучной трудоемкости изготовления сборочной единицы

tштп.з= tшт+ tп.з=153,39+1533,9=1685,6н.ч.

При расчете годовой программы учитывается мощность производственного участка. Производственная мощность участка - максимально возможный выпуск продукции за единицу времени, при полном использовании производственного оборудования, производственных площадей, с учетом применения передовых технологий.

.2 Расчет годовой программы производственного участка.

Для того чтобы работники производственного участка были загружены и получали достойную зарплату необходимо чтобы годовая трудоемкость (Тгод) производственного участка составляла от 90000 до 115000 Н.ч.

n - количество оборудования на производственном участке (шт.),

N - годовая программа (шт.),

Fэф - эффективный годовой фонд единицы работы единицы оборудования (часы),

Kв.н - коэффициент выполнения норм;

tштп.з - трудоемкость изготовления сборочной единицы, учитывая подготовительно-заключительные работы

шт

Принимаю годовую программу  шт.

Расчет годовой трудоемкости производственного участка по формуле №1:


Трудоемкость - затраты труда в единице времени.

Такая годовая программа в количестве 60 шт. сборочных единиц руля направления, необходима для создания кооперации со смежными предприятиями страны, а также ближнего и дальнего зарубежья.

По операциям трудоемкость участка распределяется согласно технологическому процессу по форме таблицы 1

Таблица 1

Распределение трудоемкости по операциям

Наименование сборочной единицы

Кол-во изделий, шт

Трудоемкость, н.ч

Трудоемкость по видам работ, н.ч

Кол-во одновременно работающих человек



На ед.

На компл.

СП

КП

СУ

Верстак


Руль направления

1

1685,6

-

842,8

421,4

252,84

168,56

2

Итого

1

1685,6

-

842,8

421,4

252,84

168,56

2

Таблица 2

Распределение трудоемкости по разрядам работ

Вид работ

Профессия

Общая трудоемкость, н.ч.

Трудоемкость по разрядам




3

4

5

СП

Слесарь-сборщик

842,8

__

337,12

505,68

СУ

Слесарь-сборщик

252.84

101,15

151,7

___

КП

Сборщик-клепальщик

421,4

168,56

252,84

___

Верстак

Слесарь-сборщик

168,56

67,2

101,14


Итого


1685,6

336,91

842,8

505,68


1.3 Расчет потребного количества оборудования на участке

Оборудование на участке состоит из:

. СП - сборочное приспособление для сборки руля направления, а также СП облегчает сборку этих узлов. Удельная площадь СП 16 м 2 маркировка: (140ПГ-00028.000)

. КП - предназначен для групповой клепки различных самолетных узлов: шпангоутов, лонжеронов, панелей малого и среднего габаритов, как плоских, так и имеющих одинарную кривизну (КП-204)

. СУ - предназначена для сверления отверстий определенного диаметра (СМ-21-9-2500)

. Верстак - рабочий стол для обработки вручную изделий из металла, дерева и других материалов

. Пневмодрель - инструмент для сверления, зенкерования и развертки отверстия в деталях

. Пневмомолоток - используется для выполнения таких работ, как протяжка, осадка и т.п

Определяем потребное количество оборудования на производственном участке по формуле №2:

, где

Tгод - годовая трудоемкость

 -эффективный годовой фонд времени работы оборудования, час.

 - коэффициент выполнения норм, принимаем

 - количество одновременно работающих человек на одном рабочем месте.

Формула 3:

, где

 - максимальный годовой фонд рабочего времени работы оборудования

 - коэффициент использования оборудования

Формула 4:

, где

 - % потери времени на ремонт и профилактику оборудования за год равный 10-12 %

Принимаем  =10%, тогда

Максимальный фонд времени работы оборудования рассчитывается по формуле 5:

, где

 - количество дней в году (365 дней)

 - количество праздничных и выходных дней (115 дней)

 - количество предпраздничных дней (7дней)

 - время смены, час (8 часов)

 - количество смен (1 смена)



Общее количество оборудования принимаю

Рассчитываем количество оборудования на участке и сводим расчёты в таблицу 3

Таблица 3

Наименование оборудования

Трудоемкость, н.ч.

, час

, шт.


На единицу

На год



расчетное

принятое


СП

842,8

50568

1,1

1793,7

12,81

13

0,93

КП

421,4

25284

1,1

1793,7

6,5

7

0,92

СУ

252,84

15120

1,1

1793,7

3.8

4

0,9

Верстак

168,56

10113,6

1,1

1793,7

2,.6

3

0,83

ИТОГО

141,46

101851,2

-

-

25.71

27

-


Количество оборудования по каждому виду рассчитываем отдельно.

СП:

КП:


СУ:

Верстак:


Общее количество оборудования на участке

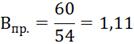
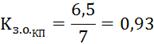
Определим коэффициент загрузки оборудования () формуле №6:


Определим средний коэффициент загрузки оборудования на участке по формуле 7:


Строим график загрузки оборудования:


1.4 Расчет производственной площади участка

Производственная площадь участка определяется по удельной площади на единицу оборудования по формуле 8:

, где

 - общая площадь участка.

 - площадь на единицу.

- принятое количество оборудования на участке из таблицы №3

 - коэффициент, который учитывает проход на участке и принимается от 2 до 2,5

Таблица 4

Сводная ведомость оборудования и инструментов на участке

Наименование оборудования

Количество оборудования

Цена, руб.

Затраты на единицу оборудования, руб.

Общие затраты, руб.

СП

13

13,5

700000

770000

10010000

КП

7

6

400000

440000

3080000

СУ

4

4

600000

660000

3300000

Верстак

3

3

110000

121000

363000

СМ

4

-

40000

44000

176000

КМ

5

-

40000

44000

176000

Итого

36

-

1854000

2079000

17105000


Затраты на единицу оборудования берутся с монтажом, стоимость монтажа 10% от цены оборудования.


1.5 Расчет потребного количества основных, вспомогательных рабочих, ИТР и служащих

Промышленно-производственный персонал подразделяется на:

. Рабочие - это работники, непосредственно участвующие в производстве продукции, а также ремонте и уходе за оборудованием, перемещением предметов труда и готовой продукции.

. МОП - работники, осуществляющие функции по уходу за служебными помещениями, обслуживающие рабочих и специалистов.

. Служащие - это работники, осуществляющие подготовку и оформление документов, учет и контроль, хозяйственное обслуживание.

. Специалисты - это работники, занятые инженерно-техническими, экономическими, бухгалтерскими, юридическими и другими видами деятельности.

. Руководители - работники, занятые на руководящих должностях разного уровня.

К основным производственным рабочим относятся работники, непосредственно создающие товарную продукцию предприятий и занятые осуществлением технологических процессов.

К вспомогательным относятся рабочие, занятые обслуживанием оборудования и рабочих мест в производственных цехах.

Расчет потребного количества основных производственных рабочих.

Количество основных производственных рабочих рассчитывается по формуле 9:

, где

 - эффективный годовой фонд времени работы одного рабочего.

Таблица 5

Расчет годового действительного фонда времени работы одного производственного рабочего на 2017 год

Категория времени

Расчет

Календарный фонд времени

365* 8 = 2920 ч.

Потеря рабочего времени в связи с выходными и праздниками ()

115 * 8 = 920 ч.

Потеря рабочего времени в связи с сокращением рабочего дня в предпраздничные дни ()

7* 1 = 7ч.

Очередной отпуск

24 * 8 = 192 ч.

Потери времени по уважительным причинам (4% от)

Эффективный фонд ()

 


Принимаем

Рассчитываем количество основных производственных рабочих по разрядам и профессиям.

Таблица 6

Расчет численности основных производственных рабочих по разрядам и профессиям

Наименование профессии

Трудоемкость

Количество рабочих


На ед.

На год



расчетное

принятое

Слесарь-сборщик3р-да

336,91

20214,6

1,1

1684,2

10,9

11

Сборщик-клепальщик 4 р-да

842,8

50568

1684,2

27,3

27

Сборщик-клепальщик 5р-да

505,68

30340,8

1.1

1684,2

16,37

16

Итого

1685,6

101123,4

-

-

54,57

54


Определим количество основных производственных рабочих по разрядам:

, Принимаем

, Принимаем

, Принимаем

Принимаем общую численность основных производственных рабочих

Определим средний разряд основных производственных рабочих по формуле:


Расчет количества вспомогательных рабочих на производственном участке

Вспомогательные рабочие могут быть подразделены на следующие функциональные группы:

. Тракторно-погрузочная

. Контрольная

. Ремонтно-инструментальная

. Складкая

Рассчитываем количество вспомогательных рабочих по формуле №10:

, где

 - % численности вспомогательных рабочих, для самолетостроительных предприятий берется

Принимаем вспомогательных производственных рабочих в количестве 16 человек. Принятое количество необходимо разделить по специальностям и разрядам в таблице №7.

Таблица 7

Распределение вспомогательных рабочих по специальностям и разрядам

Специальность

Разряд

Количество

Контролер

4

3

Комплектовщик

3

2

Инструментальщик

4

2

Слесарь по ремонту оборудования

4

2

Кладовщик

3

1

Распределитель работ

3

3

Транспортировщик

3

2

Раздатчик инструментов

4

1

Итого


16


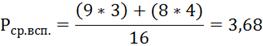
Рассчитываем средний разряд вспомогательных рабочих по формуле 11:

, где

 - средний разряд вспомогательных рабочих.

 - разряд вспомогательных рабочих.

 - количество вспомогательных рабочих.


Расчет численности ИТР и служащих

ИТР - инженерно-технические рабочие, имеющие высшее и средне-специальное образование, осуществляющие инженерно-технологическую деятельность. К ИТР относятся: старший мастер, мастер, контрольный мастер, инженер, техник-технолог.

Служащие - работники, осуществляющие подготовку и оформление документации, учет и контроль, а также хозяйственное обслуживание.

К служащим относятся: делопроизводитель, табельщик.

Определяем и рассчитываем количество ИТР и служащих по формуле 12:

, где

 - % численности ИТР и служащих.

Для самолетостроительных предприятий .

Принимаем количество ИТР и служащих  человек

Принятое количество ИТР и служащих распределяем в соответствии со штатным расписанием и сводим в таблицу 8

Таблица 8

Штатное расписание ИТР и служащих

Должность

Количество человек

Оклад, руб.

Сумма окладов за год, руб.

Старший мастер

1

25000

300000

Мастер

2

20000

480000

Инженер

2

22000

792000

Техник-технолог

3

18000

648000

Делопроизводитель

2

11000

264000

Табельщик

1

12000

144000

Итого

11

108000

2628000


Расчет количества МОП

МОП - работники, осуществляющие функции по уходу за служебными помещениями и производственными участками.

МОП рассчитывается по формуле 13:

, где

 - 3% численности МОП.

Для самолетостроительных предприятий .

Принимаем количество МОП  человек.

Численность всех категорий работников производственного участка гермошпангоута АН-140 сводится в таблицу 9

Таблица 9

Наименование категорий работников

Количество человек

Основные производственные рабочие

54

Вспомогательные рабочие

16

ИТР и служащие

11

МОП

2

Итого

83




Раздел 2. Технико-экономические расчеты производственного участка

.1 Определение годового фонда заработной платы всех категорий работников, работающих на производственном участке

Расчет годового фонда заработной платы основных производственных рабочих.

Для оплаты труда основных производственных рабочих используется сдельно - премиальная оплата труда.

При сдельной форме заработной платы заработок зависит от количества произведенных единиц продукции с учетом их количества, сложности и условий труда. Заработная плата рабочих повышается в прямой зависимости от произведенной продукции, исходя из твердых сдельных расценок, установленных с учетом необходимой квалификации.

Сдельно - премиальная оплата труда предусматривает премирование за перевыполнение норм выработки и конкретные показатели их производственной деятельности. При исчислении оплаты труда в соответствии с премиальной системой, принятой на предприятии, все премии, предусмотренные Положением о премировании, будут являться составной частью фактического заработка работника. Размер премии, как правило, устанавливается в процентном отношении к заработной плате.

Процент премии составляет 40%. Все цены и тарифные ставки берутся на 2016-2017 годы.

Тарифная ставка 3 разряда - 101,3 руб.

Тарифная ставка 4 разряда - 118,90 руб.

Тарифная ставка 5 разряда - 130,60 руб.

Годовой фонд заработной платы основных производственных рабочих рассчитывается по формуле 14:

, где

 - Полный годовой фонд заработной платы основных производственных рабочих.

 - годовой основной фонд заработной платы.

-годовой фонд дополнительной заработной платы. Принимается от 7% до 9%.

Дополнительный фонд заработной платы необходим для выплаты за непроработанное время: очередной отпуск, выполнение гос. обязанностей, а также за трудовые успехи, изобретательность и особые условия труда.

Я принимаю 8% дополнительной заработной платы.

Рассчитываем основную годовую заработную плату по формуле 15:

, где

 - суммарная расценка по всем операциям и разрядам на сборку единицы продукции.

 - годовая программа производственного участка.

 - коэффициент премии, который составляет ()

Рассчитываем суммарную расценку по всем операциям и разрядам по формуле 16:

единицы продукции по формуле:

, где

 - трудоемкость сборки единицы изделия

 - тарифная ставка разряда.

руб.

 руб.

руб.

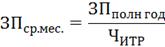
Рассчитываем среднемесячную заработную плату основного производственного рабочего по формуле 17:

 руб.

Расчет отчислений на социальные страхования по формуле №18

Единый социальный налог (ЕСН) составляет 30% от полного годового фонда заработной платы

руб.

Таблица 10

Технико-экономические показатели основных производственных рабочих

Наименование показателей

Значение, руб.

Полный годовой фонд заработной платы

Годовой основной фонд заработной платы

Дополнительный годовой фонд заработной платы

ЕСН


Расчет годового фонда заработной платы вспомогательных рабочих.

Поскольку рабочий день вспомогательных рабочих загружен не равномерно, то для оплаты труда применяется повременно-премиальные формы. технический экономический себестоимость руль самолет

Повременно-премиальная система оплаты труда - это такая оплата, при которой учитывается качество труда, усиливается ответственность, и личная материальная заинтересованность в результатах работы, так как премирование производится за ликвидацию простоев оборудования и рабочих, экономию времени, безаварийную работу машин и оборудования, экономию материалов.

Годовой фонд заработной платы вспомогательных рабочих рассчитывается по формуле 19:

, где

 - количество вспомогательных рабочих.

 - средняя тарифная ставка вспомогательных рабочих.

 - эффективный фонд времени работы одного рабочего.

 - коэффициент премий.

Премия - 35%

Тарифная ставка 3 разряда - 93,8 руб.

Тарифная ставка 4 разряда - 115,6 руб.

Средняя тарифная ставка рассчитывается по формуле №20:

руб.

руб.

Рассчитываем дополнительную заработную плату вспомогательных рабочих, которая составляет от 5% до 8% от  по формуле 21

Я принимаю 6% дополнительной заработной платы.

1 = 241321,88 руб.

Годовой фонд заработной платы вспомогательных рабочих определим по формуле 22:1

 руб.

Рассчитываем среднемесячную заработную плату по формуле 23:

 руб.

Рассчитываем ЕСН для вспомогательных рабочих по формуле 24:

 руб.

Таблица 11

Технико-экономические показатели вспомогательных производственных рабочих

Наименование показателей

Значение, руб.

Полный годовой фонд заработной платы вспомогательных производственных рабочих

4263353,18

Годовой фонд заработной платы вспомогательных производственных рабочих

,31

Дополнительный годовой фонд заработной платы

241321,88

ЕСН


Расчет технико-экономических показателей ИТР и служащих

Для специалистов, служащих и руководителей используется система должностных окладов.

Должностной оклад - абсолютный размер заработной платы устанавливаемый в соответствии с занимаемой должностью.

Должностные оклады устанавливаются администрацией предприятия в соответствии с должностью и квалификацией работника. Предприятия могут устанавливать для руководителей, специалистов, служащих и других, формы оплаты в процентах от выручки или в долях от прибыли.

Труд ИТР и служащих оценивается исходя из объема работы, качества и своевременности выполнения должностных обязанностей.

Рассчитываем полный годовой фонд ИТР и служащих по таблице №8

 руб.

Рассчитываем социальные отчисления по формуле №25:

 руб.

Рассчитываем среднемесячную заработную плату по формуле №26:

 руб.

Расчетные данные сводим в таблицу №12

Таблица 12

Технико-экономические показатели ИТР и служащих

Наименование показателей

Значение, руб.

Полный годовой фонд заработной платы ИТР и служащих

2628000

ЕСН

788400

Среднемесячная заработная плата

18250


Расчет технико-экономических показателей МОП

Оклад МОП принимаю 9000 руб. ()

Определим полный годовой фонд заработной платы МОП по формуле 27:

 руб.

Определим отчисления на социальное страхование.

 руб.

Сводим данные в таблицу 13.

Таблица 13

Технико-экономические показатели МОП

Наименование показателей

Значение, руб.

Полный годовой фонд заработной платы МОП

216000

ЕСН

69120

Среднемесячная заработная плата

9000


2.2 Определение и расчет стоимости основных материалов

Затраты на основные материалы на стадии проектирования производственного участка по принятым расчетам определить затруднительно, поэтому их можно определить по среднестатистическим данным по формуле 28:

, где

 - % материальных затрат, который составляет от 40% до50%.

Принимаю

 руб.

2.3 Определение расходов на содержание и эксплуатацию оборудования

Расходы на содержание и эксплуатацию оборудования включают затраты на техническое обслуживание машин и механизмов, расходы на текущий и капитальный ремонт оборудования, цехового транспорта и инструментов, а также на амортизацию основных средств, закрепленных за участком и рассчитывается по формуле 29:

, где

 - расходы на содержание и эксплуатацию оборудования.

 - составляет от 100% до 250%. Принимаю.

руб.

2.4 Определение общецеховых накладных расходов

В составлении цеховых расходов включается затраты на управление цехами основного производства: заработная плата цехового персонала, амортизация, расходы на отопление, освещение, уборку цеховых помещений, износ инвентаря и определяется по формуле №30:

, где

 - расходы накладные общецеховые.

 - составляет от 100% до 200%. Принимаю.

 руб

2.5 Определение цеховой себестоимости руля направления самолета АН-140

Себестоимость - один из важнейших экономических показателей деятельности промышленных предприятий и объединений, выражающий в денежной форме все затраты предприятий, связанные с производством и реализации продукции.

В себестоимость включается перенесенные на продукцию затраты прошлого труда и расходы на оплату труда работников предприятия. Себестоимость продукции является не только важнейшей экономической категорией, но и качественным показателем, так она характеризует уровень использования всех ресурсов находящиеся в распоряжении предприятия.

Виды себестоимости:

. Технологическая себестоимость, включающая в себя только прямые затраты на производство по таким статьям как: сырье, материалы, возвратные отходы, топливо, энергия на технологические цели, заработную плату основных производственных рабочих.


. Цеховая себестоимость - образуется путем добавления к технологической себестоимости калькуляционных статей затрат, формирующихся на уровне цеха: дополнительной заработной платы основных производственных рабочих, отчислений на социальные нужды основных производственных рабочих и общепроизводственных расходов.


. Производственная себестоимость - кроме цеховой себестоимости, включает в себя общезаводские расходы и затраты вспомогательного производства.


. Полная себестоимость или себестоимость реализованной продукции - показатель, объединяющий производственную себестоимость продукции и расходы по ее реализации.


М - затраты на материалы и сырье.

 - заработная плата основных производственных рабочих.

W - затраты на топливо и энергию.

 - Дополнительная заработная плата основных производственных рабочих.

ОТЧ - социальные отчисления (ЕСН) составляет 30% от полного фонда заработной платы ().

 - расходы на содержание и эксплуатацию оборудования.

НЦ - накладные цеховые расходы.

 - Накладные общепроизводственные расходы, направляются на покрытие затрат по управлению и обслуживанию общехозяйственных нужд предприятия: аппараты управления, содержание территории предприятия.

Рассчитываем себестоимость сборочной единицы по цеховой себестоимости по формуле 31:


Таблица 14

Калькуляция цеховой себестоимости руля направления самолета АН-140

Статьи затрат

Сумма, руб.

Основные материалы

Основная заработная плата основных производственных рабочих

Дополнительная заработная плата основных производственных рабочих

Отчисления на социальное страхование

Расходы на содержание и эксплуатацию оборудования

Накладные цеховые расходы

ИТОГО:

.6 Оценка технико-экономической эффективности спроектированного участка

Экономическая оценка проектируемой сборочной единицы осуществляется на основе комплекса показателей сравнительной экономической эффективности, основными показателями являются: годовой экономический эффект и срок окупаемости дополнительных.

Экономическая эффективность - это отношение результата к затратам на его достижение.

Производственный эффект, полученный в какой-либо период месяца, года; от внедрения новейших технологий и вложения капитальных затрат.

Существует две категории производственных затрат: текущие и капитальные.

Текущие затраты представляют собой расходы предприятия на производство и реализацию продукции. В денежной форме они выступают как себестоимость.

Капитальные затраты представляют собой средства, направленные на создание новых производственных фондов.

Капитальные вложения - это единственное вложение денежных средств на строительно-монтажные работы по возведению зданий, модернизацию действующего оборудования, на закупку нового оборудования и машин, а также изыскательские проектно-конструкторские работы.

Эффективнее всего осуществлять капитальные вложения на реконструкцию и техническое перевооружение действующего производства, что позволяет значительно сократить сроки ввода в действие производственных мощностей. Окупаться будут такие затраты в среднем в 3 раза быстрее чем при вложении капитальных затрат в новое производство. Необходимость капитальных вложений обусловлено долгосрочными прогнозами сбыта, которые определяют мощность и форму производственных процессов на несколько лет.

Таблица 15

Наименование данных

Базовый вариант

Проектируемый вариант

Типовой узел

Руль направления самолета АН-140

Руль направления самолета АН-140

Годовая программа, шт.

60

60

Оснастка.

СП

СП

Число единиц СП.

15

13

Трудоемкость на СП.

788,6

842,8

Цена единицы оборудования.

770000

770000

Площадь единицы оборудования.

13,5

13,5

Общее количество основных производственных рабочих, чел.

64

54

Сборщик-клепальщик 4 разряда.

35

27

Сборщик-клепальщик 5 разряда.

29

16

Средний разряд основных производственных рабочих.

5

4,45


Для сравнения базового варианта с проектируемым, базовый вариант увеличивается на 14%

Годовой экономический эффект определяется по формуле 32:

, где

Э - Экономический эффект рубля.

 - технологическая себестоимость базового варианта.

 - технологическая себестоимость проектируемого варианта.

 - нормативный коэффициент экономической эффективности. Для авиационной промышленности .

 - капитальные затраты базового варианта.

 - капитальные затраты проектируемого варианта.

Технологическая себестоимость годового объема выпуска продукции определяется по формуле 33:

, где

 - затраты на основные материалы, они не измеряются поэтому

 -зарплата производственных рабочих, в нее входит основная, дополнительная и социальный отчисления.

, где

 - стоимость разряда, на данный момент.

 руб.

 руб.

 руб.

 руб.

 - расходы на содержание и эксплуатацию оборудования, определяем по формуле 34:

, где

 - стоимость машинного часа.

Определим расходы на содержание и эксплуатацию производственных площадей по формуле 35

, где

 - годовые расходы на содержание 1площади (.)

 - удельная площадь единицы оборудования.

 - количество оборудования.

 - коэффициент дополнительной площади. ()

Определяем заработную плату наладчиков по формуле №36:

, где

 - количество запусков изделий в производство за год.

 - часовая заработная плата наладчика. ()

 - трудоемкость, берется 10%

Определяем количество запусков изделий по формуле №37:

137376,4


Рассчитываем капитальные затраты.

Капитальные затраты определяются как сумма следующих вложений:

. Стоимость оборудования.

. Стоимость производственных площадей.

. Стоимость служебных, бытовых помещений.

Определяется по формуле №38:


Стоимость оборудования определяется по формуле №39:


,1 - коэффициент, учитывающий затраты на транспортировку и монтаж оборудования.

 - стоимости оборудования.

 - цена оборудования.

Капитальные вложения на производственной площади определяются по формуле 40:


 - одного 1 производственной площади. (

 - удельная площадь оборудования.

 - коэффициент проходов и проездов. ()

Капитальные вложения на служебно-бытовые помещения рассчитываются по формуле 41:

, где

 - цена 1 служебно-бытовых помещений. (

 - удельная площадь бытовых помещений на 1 производственного рабочего.

 - количество основных производственных рабочих.

Определим капитальные затраты.

Определим годовой экономический эффект.

Снижение себестоимости сборочной единицы при сравнении проектируемого и базового вариантов определяется по формуле 42:


Количество высвободившихся рабочих определяем по формуле 43:

.

Рост производительности труда определяем по формуле 44:


- выработка продукции на одного рабочего по базовому и проектируемому вариантам определяем по формуле 45:

Определяем процент снижения трудоемкости по формуле 46:

, где

 - снижение трудоемкости.

 - общая трудоемкость подготовительно-заключительных работ на сборочную единицу.


Рассчитываем срок окупаемости капитальных вложений.

, где

 - срок окупаемости в годах.

 - базовые капитальные вложения.

 - проектируемые капитальные вложения.

Результаты всех технико-экономических расчетов сводятся в таблицу 16

Таблица 16

Сводная ведомость технико-экономических показателей производственного участка по сборке гермошпангоута №1 самолёта АН-140

Наименование показателей

Единица измерения

Показатели

Годовая программа выпуска.

Шт.

60

Годовая трудоемкость производственного участка.

Н.час.

101136

Годовой эффективный фонд времени работы рабочих.

Час.

1684,2

Годовой эффективный фонд времени работы единицы оборудования.

Час.

1793,7

Общее количество оборудования на производственном участке.

Шт.

27

Средний коэффициент загрузки оборудования.

Доля единицы.

0,83

Общее количество рабочих на производственном участке.

Чел.

83

Средний разряд основных производственных рабочих.

-

4,01

Средний разряд вспомогательных рабочих.

-

3,68

Среднемесячная заработная плата основных производственных рабочих.

Руб.

284053,15

Среднемесячная заработная плата вспомогательных рабочих.

Руб.

22204,96

Среднемесячная заработная плата ИТР и служащих.

Руб.

18250

Среднемесячная заработная МОП.

Руб.

9000

Цеховая себестоимость сборочной единицы.

Руб.

1459886,33

Снижение себестоимости сборочной единицы.

%

22,7

Рост производительности труда.

%

12,5

Процент снижения трудоемкости.

%

3.11

Годовой экономический эффект.

Руб.

2150247,84

Срок окупаемости капитальных вложений.

Год.

1,29


3. Научная организация труда на производственном участке по сборке руля направления самолета АН-140

Условия труда определяются уровнем развития производительных сил обществ существующими в нем экономическими отношениями и формируются в зависимости от особенностей производственной обстановки: технических, технологических, санитарно-гигиенических и социально-психологических условий.

Условия труда - совокупность факторов производственной среды, которая оказывает влияние на здоровье и работоспособность человека в процессе труда. Научная организация труда(НОТ) - процесс совершенствования организации труда на основе достижения науки и передового опыта НОТ характеризует улучшение организационных форм использования живого труда в рамках производственного участка. Необходимо использовать такие системы рабочих мест и их обслуживание, которые обеспечивали бы ритмичность производства, синхронизацию производственных операций.

Задачи, которые решает НОТ:

)   Совершенствование форм разделения труда.

2)      Улучшение организации рабочих мест.

)        Рационализация методов труда.

Чтобы трудовой процесс протекал успешно необходимо определить организацию рабочих мест:

Правильная планировка и оснащение их в соответствии с характером работы. Чем рациональнее организовано рабочее место, чем оно удобнее, тем выше уровень производственного труда рабочих.

Рабочее место - участок производственных площадей, оснащенных оборудованием и другими средствами труда, соответствующие характеру работ, выполняемых на этом рабочем месте.

Оснащение рабочего места:

)   Основное техническое оборудование (стапель и т.п)

2)      Техническая оснастка

)        Инструменты (КМП, СМ и т.п)

)        Вспомогательное оборудование (подъемники, оборудование и т.п)

)        Защитные устройства (ограждение и т.п)

Организация рабочих мест должна осуществляться с учетом эргономических требований и требований технической эстетики. На производственном участке для человека вредными факторами являются:

Шум

Вибрация

С точки зрения техники безопасности для предупреждения профилактических заболеваний применяются индивидуальные средства защиты (перчатки, беруши и т.п) и вытяжная вентиляция.

Планировка рабочих мест должна удовлетворять:

)   Рациональной организации рабочих мест

2)      Созданием оптимальных условий труда и отдыха

)        Удобным положением рабочего места

)        Строгое соблюдение правил техники безопасности, противопожарной безопасности и требований промышленной санитарии.

Система мер обеспечивающие качество продукции

Совокупность свойств, обуславливающих ее пригодность, удовлетворяющие определенные потребности в соответствии с назначением. Улучшение качества выпускаемых самолетов - важная задача самолетостроительного производства, а уровень качества является важнейшим показателем всей работы участника. Для обеспечения качества на предприятии разрабатываются и внедряются комплексные системы управления качеством продукции, которые представляют собой совокупность технических, организационных, экономических и социальных мероприятий, направленных на установление, обеспечение, поддержания высокого качества выпускаемых изделий.

Организация разработки управляющих программ

Эта система осуществляет управление качеством продукции на всех стадиях цикла от проектирования до эксплуатации. Особое внимание при организации выпуска продукции высокого качества, следует обращать на следующие мероприятия, комплексных систем управления качества продукции:

1) На аттестацию продукции

2)      На технологическое обеспечение точности и достоверности измерения качества продукции.

)        На подбор, расстановку, воспитание и обучение кадров.

)        На обеспечение стабильного качества продукции.

)        На стимулирование качества продукции (моральное и материальное стимулирование работников с целью создания продукции высокого качества)

Технический контроль - одна из функций комплексных систем, управляющих качеством продукции, которая осуществляется отделом технического контроля (ОТК).

Выбор транспортных средств

Транспортные средства применяются на участке по сборке руль направления самолета АН-140, должны соответствовать объему и характеру перевозимого груза, и учитывать расстояние перевозок, габариты и свойства перевозимой сборочной единицы.

Мероприятия по охране труда, противопожарной защите и техники безопасности на производственном участке

Предусмотрены специальные централизованные системы пожаротушения, которые находятся в местах, расположенных у входа. Система отопления цеха должна обеспечивать температуру помещения не менее 18 градусов, в открытых проемах должны стоять воздушные калориферы, обеспечивающие воздушный заслон для проникающего холодного воздуха. Для ликвидации вредных выбросов в атмосферу должны быть предусмотрены воздушные фильтры на вытяжных устройствах. В цехе используют индивидуальные средства защиты, а также механизированный инструмент с пониженным уровнем вибрации.

Заключение

Показатели, полученные в результате расчетов, являются оптимальными для ведения хозяйственной деятельности производственного участка по сборке руля направления самолета АН-140.

Проектируемый вариант технологического процесса по сборке руля направления самолёта АН-140 является экономически целесообразным, так как позволяет снизить затраты на производство по сравнению с базовым вариантом.

Затраты снизились за счет внедрения и применения более прогрессивных технологий.

Себестоимость сборочной единицы снизилась на 22,7%, также снизилась трудоемкость сборки на 3,11%, а рост производительности труда составил 12,5%.

Заработная плата работников производственного участка является достаточной для того, чтобы заинтересовать их в выполнении качественной, конкурентоспособной продукции в установленные сроки.

Участок спроектирован с учетом требований промышленной санитарии, охраны труда и техники безопасности.

Список используемой литературы:

1. Н.Н Кожевников, «Экономика и управление в машиностроении», издательский центр «АКАДЕМИЯ» 2004 год.

2.      С.В Загородников, М.Г Миронов, «Экономика отрасли (машиностроения)», издательство «ФОРУМ» 2008 год.

.        Н.А Сафронов, «Экономика организации», издательство «ЭКОНОМИСТЪ» 2004 год.

.        Д.Э Старик, «Экономика, организация и планирование авиационного производства», издательство «МАШИНОСТРОЕНИЕ» 1987 год.

Похожие работы на - Технико-экономический расчёт производственного участка по сборке Руля направления самолёта АН-140

 

Не нашли материал для своей работы?
Поможем написать уникальную работу
Без плагиата!
Без нейросетей!