Проект прядильной фабрики в системе льнокомбината
МИНИСТЕРСТВО ОБРАЗОВАНИЯ И НАУКИ РОССИИ
Федеральное государственное бюджетное образовательное учреждение
высшего профессионального образования
«Костромской государственный университет».
(ФГБОУ ВПО КГУ)
Тема:
«Проект прядильной фабрики в системе льнокомбината»
Задание
Проект прядильной фабрики в системе л/к,
вырабатывающей одну льняную пряжу БК 56 ОЛ с микродобавками полиэфира и одну
оческовую пряжу. Мощность прядильной фабрике около 13 тыс. веретен.
ВВЕДЕНИЕ
Испокон веков лён являлся национальной гордостью
и «визитной карточкой» России. Его заслуженно называли исконно русской
культурой.
За годы Великой Отечественной войны льняной
комплекс был очень сильно разрушен. Но решением февральского 1947 года Пленума
ВКП (б) ставилась задача довести посевы льна к 1948 году до 1580 тыс. га, а
выработку льноволокна к 1950 году - до 800 тыс. т (для сравнения: в 2010 году в
России посеяно всего около 50 тыс. га).
Для переработки льна была построена сеть
льнозаводов, дальнейшее развитие получила текстильная промышленность,
работающая на льноволокне.
Увеличение производства льна является неотложной
национальной задачей.
С начала 90-х годов прошлого столетия при
проведении разрушительных социально-экономических реформ определилась
устойчивая тенденция к сокращению посевных площадей, снижению производства
льноволокна в льносеющих регионах, уменьшению выпуска льняных тканей,
возобладали закупки льносырья и готовых изделий по импорту.
1. ВЫБОР СЫРЬЯ И ОБОСНОВАНИЕ ВЫБРАННЫХ СМЕСОК
прядильный льняной мотальный сушильный
1.1 Выбор
смески для льняной пряжи БК
56
ОЛ
Из отраслевых норм расхода выбираем
плановую смеску льняной пряжи [1].
Таблица 1. Плановая смеска для пряжи
БК 56 ОЛ
|
Пряжа
|
N
|
Куд
|
Смеска,
%
|
|
|
|
№16
|
ПЭ
|
|
БК
56 ОЛ
|
16,00
|
1,370
|
95
|
5
|
Из типовой разработки выходов чесаного льна
определяем какой номер трепаного льна следует разрабатывать, чтобы выработать
ленту чесаного льна номером около 17 (табл. 2)
Таблица 2 Типовая разработка трепаного льна
|
N тр льна
|
Средне
Nчесальное
в ленте
|
Общий
выход чесальное а,%
|
Средне.N очеса
|
Общий
выход очеса, %
|
Угар,
%
|
|
|
|
|
|
|
|
11
|
15,3
|
46,8
|
5,6
|
47,9
|
5,3
|
|
12
|
16,0
|
49,3
|
6,5
|
45,6
|
5,1
|
Смешивание чесаных лент номеров 16,0 и 16,9
осуществляется на ленто смешивающем агрегате АС-600-Л1 на питании 24 ленты.
Средний номер смеси определяется по формуле

< меньше 0,5 N.
Согласно отраслевым нормам в смесь
должно входить 5%, лавсанового волокно. На втором этапе смешивание натурального
и химического компонента осуществляется лентами на первом переходе ленточных
машин ЛЧ-2-Л1.
Таблица 3. Фактическая смеска для
пряжи БК
56
ОЛ
|
Номинальная
линейная плотность  тексГруппа качества Смеска,%
|
|
|
|
|
|
|
|
|
N15,3
|
N16
|
ПЭ
|
|
БК
56
|
ОЛ
|
15,65
|
1,374
|
47,5
|
47,5
|
5
|
Далее определяется расход
фактической смеси. Для расчета требуется 
для номеров 15,3 и лавсана .Из
нормативных документов [3] :
N=14-
=1,402
N=16 - 
=1,390
N - 0,012
,3 N - Х
х=1,3

х=1,402+0,0078=1,3942
1.2 Выбор
смески для оческовой пряжи Б
86
ОО
По разработке трепаного льна
получены очесы номеров 5,6 и 6,5. Из отраслевых норм расхода выбираем оческовую
пряжу со средним номером.
№5,6 - 50% - 1к
№6,5 - 50% - 1к

=
Таблица 4. Плановая смеска для
оческовой пряжи
|
Номинальная
линейная плотность  Группа качества Смеска ,%
|
|
|
|
|
|
|
|
|
N6
|
N8
|
|
Б
86
|
ОО
|
6,50
|
1,48
|
75
|
25
|
Таблица 5. Фактическая смеска
|
Номинальная
линейная плотность  Группа качества Смеска, %
|
|
|
|
|
|
|
|
|
N5,6
|
N6,5
|
|
Б
86
|
ОО
|
6,05
|
1,492
|
50%
|
50%
|
N4=1,539
N6=1,495
- 0,044
,6 - Х
Х=

- 0,0352 = 1,5038
2N-0,058
,5N -
Х=
1.3
Эффективность фактических смесок льняной и оческовой пряжи
.3.1 Расчет
стоимости смески льняной пряжи
Плановая смеска
а) Определяется количество сырья 
, кг, необходимого для выработки
1000 кг пряжи.
б) Определяется количество
компонентов 
, кг, в составе массы сырья
где 
компонентов в смеси , %
в) Определяется стоимость, 
компонента смески, тыс. руб/кг, за
тонну.

;
Ц16
84,8 тыс. руб.
Цпэ
68,99 тыс. руб.
Ц14 
80 тыс.руб
Ц16 
84,8 тыс.руб
N=4,8
N=Х
Х=
3,12

=
Х =80+3,12=83,12 тыс.руб

тыс.руб

тыс.руб
Фактическая смеска
где 
Определяется стоимость 
каждого компонента смески, тыс/руб
за тонну.
Найдем цену для номера 16 методом
интерполяции:
ПЭ=5%
С=
=
1.3.2
Расчет стоимости оческовой пряжи
Плановая смеска
а) Определяется количество сырья Qi,
необходимое для выработки 1000 кг пряжи
Q=1000
б) Определяется количество компонентов, кг, в
составе массы сырья
где 
компонентов в смеси , %
в) Определяется стоимость, 
компонента смески, тыс. руб/кг, за
тонну
ЦN6
28,8 тыс. руб
ЦN8
33,6 тыс. руб.

тыс. руб

=44400 тыс.руб
Фактическая смеска
а) Определяется количество сырья Qi,
необходимое для выработки 1000 кг пряжи
б) Определяется количество компонентов, кг, в
составе массы сырья
в) определяется стоимость 
каждого компонента смеси ,тыс.
руб/кг за тонну.

;
Определим цену для номеров 5,6 и
6,5методом интерполяции
N5,6=50% ЦN5,6=27,8
тыс.руб
N6,5=50% ЦN6,5=30
тыс.руб
2. ВЫБОР И ОБОСНОВАНИЕ
ТЕХНОЛОГИЧЕСКИХ ЦЕПОЧЕК И ОБОРУДОВАНИЯ
2.1 Выбор и
обоснование технологической цепочки для льняной пряжи БК
56
ОЛ
Технологическая цепочка для выработки льняной
пряжи представлена на рис. 1
Первым переходом в получении пряжи из трёпаного
льна является Льночесальная машина Ч-302-Лагрегированный с автораскладчиком,
предназначенный для чесания горстей трёпаного льна и формирования ленты из
длинного льняного волокна.
Ленто смешивающий агрегат АС-600-Л1 завершает
операцию подготовки ленты из чёсаного льна. Основное назначение агрегата
выравнивать ленту по линейной плотности и производить смешивание чесальных
льноматериалов. За счёт большого числа сложений (24), наличие авторегулятора,
агрегат позволяет осуществлять более интенсивное смешивание волокнистого
материала на первых стадиях процесса, повысить ровноту начального
полуфабриката, поддержать стабильность развеса ленты и отказаться от подбора
тазов в ставке по массе, существенно увеличить качество полуфабриката,
увеличить производительность труда на 30-40%. На агрегате производится
автоматическая смена тазов. Работа авторегулятора основана на изменении
величины вытяжки пропорционально линейной плотности поступающего продукта.
Ленточные машины ЛЧ-2-Л1, ЛЧ-3-Л1,ЛЧ-4-Л1
предназначены для постепенного утонения ленты, выравнивания по линейной
плотности, распрямления, параллелизации, дробления волокон, очистке от сорных
примесей.
На ровничной машине РМ-216-Л осуществляются
процессы: утонения, кручения, наматывания. Машина имеет цельнометаллическую
рогульку без прорези, масса рогульки уменьшена. Рогулька имеет пониженную
заправочную скорость с целью снижения обрывности.
Машина выполнена секциями, съем катушек
осуществляется автоматически, также машина отличается большей длиной гребенного
поля, неподвижными питающими роликами и некоторыми сменными элементами
кинематики.
Создание новых ровничных машин преследовало
следующие цели: повышение производительности ровничных машин на 10-15%,
улучшение конструкции технологической линии и работы гребенного механизма для
повышения качества ровницы, улучшение условий труда обслуживающего персонала.
Ровница подвергается интенсивной химической
обработке, при которой удаляется значительная часть пектиновых веществ. Для
обработки ровницы применяется аппарат АКДН. Аппарат имеет более мощную
циркуляционную систему и систему нагрева отбельной ванны, он рассчитан на
загрузку 550-580 кг (вместо 450 кг.на старых аппаратах) и обеспечен полуавтоматической
и дистанционной системами управления технологическим процессом.
Процесс прядения осуществляется на машине
ПМ-88-Л5. На машине осуществляются процессы вытягивания, кручения, наматывания.
Особенностью является применение специальных механизмов для прекращения питания
вытяжного прибора ровницей при обрыве пряжи.
Наличие на машинах механизма автоматического
отключения питания освобождает прядильщицу от трудоёмкой операции по снятию
намотов волокна с вытяжного валика, делая ее труд более легким, позволяет
сохранить дорогостоящее льняное сырье и за этот счет увеличить на 1.5% выпуск
доброкачественной пряжи, производительность машины повышается на 4-5%.
Полученную пряжу сушат в сушилках типа СП-8-Л2
коридорного типа, предназначенную для сушки пряжи мокрого прядения на патронах.
Производительность машины по высушенной пряже 430-550 кг/ч.
Машина МЛМ-2 предназначена для перематывания
льняной высушенной до 10%-й влажности пряжи мокрого прядения с паковок в виде
початков в плотные конические бобины.
В процессе перематывания решаются задачи:
получение паковок с нитью по возможности большей длины, получение заданной и
постоянной плотности намотки, необходимой для жидкостной обработки пряжи,
снижение неравноты нити путем устранения утонений и утолщений.
2.2 Выбор и обоснование
технологической цепочки для оческовой прядения
Рис. 2. Технологическая цепочка для выработки
оческовой пряжи
Поступающее на льнопредприятия в кипах короткое
льняное волокно и очесы подготавливаются к прядению. Подготовку будем
осуществлять на поточной линии ПЛ-150-П.
Здесь осуществляется механизированная разборка
кип волокна, его рыхление, смешивание, формирование равномерного слоя волокна,
очистка, формирование ленты, ее эмульсированные и сматывание в рулоны.
Применение поточной линии для подготовки короткого льняного волокна и очесов к
прядению и установок АКУ позволяет механизировать весь комплекс работ от
разборки до получения чесаной ленты.
Далее, используем чесальный агрегат Ч-600-Л1,
предназначенный для чесания короткого льняного волокна, льняного очеса, их
смесей и для формирования ленты заданной линейной плотности.
Следующие переходом будет 3перехода ленточных
машин ЛЛ-1-Ч, ЛЛ-2-Ч, ЛЛ-3-Ч, которые предназначены для постепенного утопления
ленты, выравнивания по.
Далее лента поступает на ровничную машину
РМ-216-Л, предназначенную для утонения ленты, превращая ее в ровницу путем
скручивания и наматывания ровницы на катушку. Ровницу наматываем на
перфорированную катушку, причем плотность намотки должна быть такой, чтобы
химические реактивы свободно проходили через слои ровницы.
Процесс химической обработки ровницы
осуществляем на аппарате АКДН-601-Л. Цель химической обработки ровницы
заключается в снижении обрывности в прядении и улучшения качества пряжи.
Прядение обработанной ровницы будет
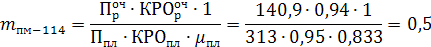
осуществляться на прядильной машине ПМ-114-Л8. Здесь происходит утонение
ровницы, кручение мычки и наматывание на патрон.
После пряжу необходимо высушить, т.е. довести до
кондиционной нормы. Для этого, используем машину СП-8-Л2. Имеющиеся в пряже
прядильные пороки, во избежание последующей обрывности, должны быть заранее
удалены. Это наиболее рационально производить в процессе перематывания.
Используем машину МЛМ-2, предназначенную для перематывания пряжи из льняных волокон
Линейной плотности, распрямления,
параплелизации, дробления волокон, очисте от сорпонпринимаетпосле сушки с
паковок машин мокрого прядения в конусные бобины плотной крестовой намотки.
2.3 Выбор параметров
прядильных машин
Параметры прядильного оборудования выбираются в
зависимости от линейной плотности пряжи, вида химической обработки ровницы из
регламентированного режима.
Параметры прядильных машин ПМ-88-Л5 сведены в
табл. 6.
Параметры прядильных машин ПМ-114-Л8 сведены в
табл. 7.
Таблица 6. Выбор параметров
прядильных машин ПМ-88-Л5 для выработки льняной пряжи БК
56
ОЛ
|
Наименование
параметров
|
Рекомендуемые
диапазон
|
Принятая
величина
|
Сменные
детали
|
Частота вращение веретён 
5500-56005560
Вытяжка,
17,0-20,017,6
|
|
|
|
|
|
Коэффициент
крутки , 3000-32603150
|
|
|
|
Крутка,
кр/м17-20420
|
|
|
|
|
|
N бегунка
|
210
|
200
|
-
|
С = 68;
Таблица 7. Выбор параметров
прядильных машин ПМ-114-Л8 для выработки оческовой пряжи Б
86
ОО
|
Наименованное
параметров .
|
Рекомендуемые
диапазон
|
Принятая
величина
|
Сменные
детали
|
Частота вращение веретен 
4500-50004990
Вытяжка ,
12-1413
Коэффициент крутки ,
3220-33803300
; 
zd /zc
=90/40
|
|
|
|
|
Крутка
, кр/м394394
|
|
|
|
|
Nбегунка .
|
212
|
210
|
_
|

=355,9

227,1
2.4
Определение отходов на химическую обработку ровницы
.4.1 Отходы
на химическую обработку ровницы при выработке льняной пряжи

100

удельный расход смеси сырья без
использования химически обработка ровницы.

удельный расход смеси сырья с
использования химической обработки ровницы..
N15,3
- 47,5%
N16 - 47,5%
ПЭ - 5%
N14-1.158-
1.14
N - 0.018
.3N - Х
Х=
Найдем линейную плотность суровой
ровницы:
2.4.2
Отходы на химическую обработку ровницы при выработке оческовой пряжи
Определение 
N5,6 - 50%
N6,5 - 50%
N4 - 1,296
N6 - 1,255
N - 0,041
,6N -Х
Х=
Найдем линейную плотность суровой
ровницы:
2.5 Выбор
параметров ровничного оборудования
Параметры ровничного оборудования
выбираются в зависимости от линейной плотности ровницы, вида химической
обработки ровницы из регламентированного режима [3]. Параметры прядильных машин
РМ-216-Л сведены в табл. 8 и 9.
К=
кр/м

м/мин

м/мин

уд/мин
Таблица 8
Выбор параметров работы ровничных
машины РМ-216-Л (льняная)
|
Наименованное
параметров
|
Рекомендуемый
диапазон
|
Принятая
величина
|
Сменные
детали
|
|
Частота
вращение веретен, 860-1250860
|
|
|
|
|
Крутка,
К, кр/м
|
18
|
18
|
|
|
Вытяжка,
Е
|
8-14
|
10,96
|
|
|
Коэффициент
крутки,  569-632600
|
|
|
|
|
nгр,уд/мин
|
<480
|
448
|
|
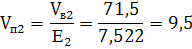
Таблица 9
Выбор параметров работы ровничных машин РМ-216-Л
(оческовая)
|
Наименованное
параметров
|
Рекомендуемый
диапазон
|
Принятая
величина
|
Сменные
детали
|
|
Частота
вращение веретен, 860 - 1250860
|
|
|
|
|
Крутка,
К, кр/м
|
5
- 8
|
7,16
|
|
|
Вытяжка,
Е
|
26,7
|
32
|
|
|
Коэффициент
крутка , 1106-11691130
|
|
|
|
|
nгр,уд/мин
|
480
|
441,81
|
|
К=
кр/м

=1145

м/мин

=
уд/мин
3. РАСЧЕТ СОПРЯЖЕННОСТИ ОБОРУДОВАНИЯ
Расчет заправочной строчки для
льняной системы
БК
56
ОЛ
Расчет заправочной строчки для
оческовой система Б
86
ОО

|
Параметры
|
РМ-216-Л
|
ЛЧ-4-Л1
|
ЛЧ-3-Л1
|
|
Число
машин в системе, в
|
1
|
1,5
|
2,5
|
|
Число
головок в машине, а
|
10
|
2
|
2
|
|
Число
ручьев в головке, m
|
8
|
8
|
4
|
|
Число
выпусков в головке,d
|
8
|
2
|
0,5
|
|
Вытяжка,
Е
|
11,5
|
10,3
|
9,5
|
Число сложений: -на выпуске, 
на питание, 
1
Линейная плотность на выпуске, 



Удельная линейная плотность, 



Скорость выпуска, 
Таблица11. План координации приготовительных
машин для оческовой системы
|
Параметры
|
РМ-216-Л
|
ЛЛ-3-Ч
|
ЛЛ-2-Ч
|
|
Число
машин в системе, в
|
1
|
2
|
2
|
|
Число
головок в машине, а
|
10
|
1
|
1
|
|
Число
ручьев в головке, m
|
8
|
12
|
10
|
|
Число
выпусков в головке,d
|
8
|
3
|
2
|
|
Вытяжка,
Е
|
7,16
|
6,052
|
7,522
|
Число сложений: -на выпуске, 
на питание, 
1
Линейная плотность на выпуске, 



Удельная линейная плотность, 



Скорость выпуска, 
4. Расчет
производительности прядильных машин
БК
56
ОЛ
Производительность определяется для
каждого вида прядильных машина и для каждой выпускаемой пряжи:
) Весовая производительность , кг/ч
где 
частота вращения веретена 
;

линейная плотность пряжи ,текс ;

крутка пряжи ,кр/м;
) Производительность в км на 1000
вер.в час
3) Производительность в съемах в
смену;
где 
;

м

м
V - объем
паковки ,
y- объемная
плотность паковки ,г/
;
4.1 Расчёт
производительности ровничных машин
Производительность определяется для
каждого вида ровничных машин и для каждой выпускаемой ровницы :
Лен
1)Весовая производительность , кг/ч
Где 

;
) Производительность в съемах в
смену
Очёс
1) Весовая производительность, кг/ч
2) Производительность в съемах в смену
4.2.
Льночесальная машина Ч
Скорость выпуска автораскладчика, 
Скорость настильного полотна или
транспортера 
Скорость питающей пары, 
Величина вытяжки
Удельная линейная плотность, 
Производительность по трепаному
льну, 
Производительность по чесаному льну,

Производительность лентоформирующей
машины АР - 500 - Л3, 
4.3 Расчет
производительности Ч
600
Л
Определяем минутную
производительность, 
и скорость выпуска, 
Определяем скорость рабочих валиков
1-3 и 4-7 исходия из соответствующей мощности потока, 
Определяем минутную
производительность, 
и скорость выпуска, 
Определяем скорость рабочих валиков
1-3 и 4-7 исходия из соответствующей мощности потока, 
Определяем скорость съемных валиков
исходя из соответствующей мощности потока, 
Определяем скорость барабана
предпрочеса, 
Определяем скорость рабочего валика
передпрочеса (
)
Определяем число качаний сбивного
гребня, 
Определяем скорость выпуска в
машине, 
Определяем вытяжку в чесальной
машине:
Расчет вытяжной головки:
скорость первого питающего валика,
Скорость вытяжных цилиндров головки,
Вытяжка в вытяжной головке агрегата
Общая вытяжка агрегата
Развес настила на питании, 
Масса 1м ленты в рулоне, 
Масса рулона, кг

=122
Весовая производительность, 
Производительность в тазах в смену
4.4 Расчёт
производительности ПЛ
150
Л1
Поточные линии
Поточные линии
Вытяжка лентоформирующей машины
Скорость питания кипного разборщика,

определяется по формуле
4.5 Расчет
ЛРШ 
БК 56 5%
ПЭ
Лен
1Т=
Рекомендуем значение с ЛРШ-70
5. РАСЧЁТ КОЭФФИЦИЕНТОВ КООРДИНАЦИИ И
КОЭФФИЦИЕНТОВ РАБОТАЮЩЕГО ОБОРУДОВАНИЯ
5.1 Составление таблицы
дифференцированных отходов по переходам и определение коэффициентов координации
льняной системы
Составляем таблицу дифференцированных отходов
для определения выхода полуфабриката по переходам. Распределяем отходы по
переходам прядильного производства
Для пряжи БК 56 ОЛ
Таблица 12. Распределение отходов по переходом в
льняной системе
|
|
|
|
|
Распределение
отходов по переходом ,%
|
|
Б
56 ОЛ
|
1,143
|
1,374
|
27,2
|
Чесальная
машина
|
Приготов.
лент ровл
|
Химическая
обработка
|
Пряд.
машина
|
|
Выход
продукта по переходом  ,%09,615%2,6
|
|
|
|
|
|
100-0=100%
|
100-9,6=90,4
|
90,4-15=75,4
|
75,4-2,6=72,8
|
27,2
5.2 Составление таблицы
дифференцированных отходов по переходам и определение коэффициентов координации
оческовой системы
Составляем таблицу дифференцированных отходов
для определения выхода полуфабриката по переходам. Распределяем отходы по
переходам прядильного производства
Для пряжи Б 86 ОО
Таблица 13. Распределение отходов по переходом в
оческовой системе
|
|
|
|
|
Распределение
отходов по переходом ,%
|
|
Б
86 ОО
|
1,253
|
1,492
|
33
|
Чесальная
машина
|
Чесальная
льняная
|
Приготовь.
лент ,ровл
|
Химически
обработка
|
Пряд.
машина
|
|
Выход
продукта по переходом  ,%197,413%2,6
|
|
|
|
|
|
|
100-1=99
|
99-9=90
|
90-4,79=82,6
|
82,6-13=69,6
|
69,6-2,6=67
|
5.3 Определение
коэффициента рабочего оборудования (КРО)
Определение коэффициент работающего оборудование
КРО определяйся как отношения отработана времени ко всему времени планирования
периода.
КРО=

% простой оборудования в процентах

капитальный ремонт
Рекомендованные значения простоев
Льночесальные агрегаты 
5 % (5%)
Поточные линии 
(5%)
Кардочесальные агрегаты 
5
(5%)
Приготовление
Льняная система - 5 
7 % (6%)
Оческовая система - 5
8 % (6%)
Химические обработки 10 
12 % (10%)
Прядильные машины 4 
6 % (5%)
Сушильные машины 5 
(5%)
ЛРШ -70 
(4%)
Льняная система
6. КООРДИНАЦИЯ ОБОРУДОВАНИЯ НЕ ВХОДЯЩЕГО В
ТАБЛИЦУ КООРДИНАЦИИ

6.1. Расчёт
числа прядильных машин ПМ
88
Л10
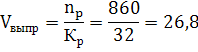
Примем 18
6.2 Расчёт
числа прядильных машин ПМ
114
Л8
Примем 9,5
6.3.
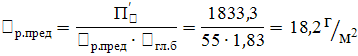
Количество поточных линий ПЛ
150
Л1
Количество Ч
7. ОПРЕДЕЛЕНИЕ ОБЪЕМА ПРОИЗВОДСТВА. БАЛАНС СЫРЬЯ
7.1. Мощность льняной
системы
1) Определение количество пряжи на одну льняную
систему
2) Определение потребности сырья на 1 льняную
систему
3) Определение потребности компонентов

;
4) Определение количество трепаного
льна
5) Определение количества очесов
которое будем иметь на одну льняную систему
6) Определение число систем
Принимаю 2 система
) Определение уточненного количества
трёпаных льнов
7.2
Мощность оческовой системы
1)Определение количества пряжи на
одну оческовую систему
2) Определение потребности сырья
3)Определение количества компонентов
4) Определение количества оческовых
систем
Принимаю 3 систему
Таблица 14. Потребность сырья
Пряжа Число прядильных машина
одну систему Число систем 
Общее число прядильных машин
Кг/см
Кг/см
|
Кг/см
|
|
|
|
|
|
|
|
|
БК56
ОЛ
|
18
|
2
|
18 10,010,9536 1,3742738
|
|
|
|
|
|
|
Б
86 ОО
|
9,5
|
3
|
9,5 11,90,9528,5 1,4922577
|
|
|
|
|
|
|
Требуемое
сырье кг/см
|
|
Очес
|
Лен
|
|
5,6
|
6,5
|
15,3
|
16
|
ПЭ
|
|
-
|
-
|
3762 3762 3762
|
|
|
|
3844 3844 ---
|
|
|
|
|
|
|
|
|
|
|
|
|
|
|
|
Таблица 15. Разработка трепаного льна
|
N=тр.л
|
|
 Кг/ч Кг/см  Кг/см
|
15,3
|
16
|
|
6,5
|
7,3
|
|
|
|
|
|
10
|
|
110,1
|
|
0,95
|
3818,16
|
46,8
|
1786,9
|
|
47,9
|
|
|
|
11
|
|
110,1
|
|
0,95
|
3624,5
|
49,3
|
|
1786,9
|
45,6
|
|
|
Таблица 16. Баланс сырья
|
Показатель
|
Очес
|
Чесаная
лента
|
|
5,6
|
6,5
|
15,3
|
16
|
ПЭ
|
|
Имеется
по разработке, кг/см
|
1925
|
1739
|
1786,9
|
1786,9
|
181,1
|
|
Требуется
,кг/см
|
1922
|
1922
|
1786,9
|
1786,9
|
|
|
Недостаток
,кг/см
|
|
|
|
|
|
|
Излишек
,кг/см
|
|
|
|
|
|
8. РАСЧЕТ КОЛИЧЕСТВА АППАРАТОВ АКДН, СУШИЛЬНЫХ И
МОТАЛЬНЫХ МАШИН, МАШИН ЛРШ-70
8.1 Количество АКДН
Лен
Очёс
8.2 Количество
мотальных машин
8.3 Количество
сушильных машин
8.4 Количество ЛРШ-70
9. ПОТРЕБНОСТЬ ОБОРУДОВАНИЯ
Таблица 17. Потребность оборудования
|
Марка
машина
|
Льняная
пряжа
|
Оческовая
пряжа
|
Всего
|
|
Число
машина 1 система
|
Число
система
|
Итог
|
Число
машина 1 система
|
Число
система
|
Итог
|
|
|
Ч-302-Л1
|
|
|
4,5
|
|
|
4,3
|
9
|
|
ПЛ-150-Л
|
|
|
|
0,5
|
3
|
1,5
|
2
|
|
Ч-600-Л
|
|
|
|
1,4
|
3
|
4,2
|
5
|
|
АС-600-Л
|
1,5
|
2
|
3
|
|
|
|
3
|
|
ЛЧ-2-Л1
|
2
|
2
|
4
|
|
|
|
4
|
|
ЛЧ-3-Л1
|
2
|
2
|
4
|
|
|
|
4
|
|
ЛЧ-4-Л1
|
1,5
|
2
|
3
|
|
|
|
3
|
|
ЛЛ-1-Ч
|
|
|
|
2
|
3
|
6
|
6
|
|
ЛЛ-2-Ч
|
|
|
|
2
|
3
|
6
|
6
|
|
ЛЛ-3-Ч
|
|
|
|
2
|
3
|
6
|
6
|
|
РМ-216-Л
|
1
|
2
|
2
|
1
|
3
|
3
|
5
|
|
ПМ-88-Л10
|
18
|
2
|
36
|
|
|
|
36
|
|
ПМ-114-Л8
|
|
|
|
9,5
|
3
|
28,5
|
29
|
|
МЛМ
|
|
|
2,8
|
|
|
1,8
|
5
|
|
СП-8-Л
|
|
|
0,7
|
|
|
0,7
|
2
|
|
АКДС
|
|
|
3,6
|
|
|
2,2
|
7
|
|
ЛРШ-70
|
|
|
0,3
|
|
|
|
1
|