Разработка технологической линии производства пшеничного хлеба с добавкой йодхитозана

  • Вид работы:
    Дипломная (ВКР)
  • Предмет:
    Другое
  • Язык:
    Русский
    ,
    Формат файла:
    MS Word
    388,6 Кб
  • Опубликовано:
    2017-06-08
Вы можете узнать стоимость помощи в написании студенческой работы.
Помощь в написании работы, которую точно примут!

Разработка технологической линии производства пшеничного хлеба с добавкой йодхитозана

Введение

В настоящее время производство функциональных продуктов питания является важной задачей в области пищевых технологий, поскольку образ жизни современного человека приводит к ухудшению здоровья всех слоев населения.

Одной из самых распространенных проблем является проблема дефицита йода. Эндемический зоб - самая распространенная в мире болезнь без учета инфекционных заболеваний. Недостаток йода в организме может привести к серьезным последствиям для организма, особенно в детском возрасте. Причем патологии щитовидной железы - это не единственное и не самое тяжелое следствие дефицита йода, так как недостаток йода в организме приводит к нарушению синтеза тиреоидных гормонов, которые регулируют и обеспечивают основной обмен в организме.

Основной метод профилактики йоддефицитных заболеваний - это йодирование продуктов питания, в частности хлеба и хлебобулочных изделий. Йодирование именно хлеба имеет ряд преимуществ относительно других продуктов питания. Хлеб является доступный и ежедневно потребляемым продуктом, который употребляется повсеместно и в течение 1 - 2 дней после покупки.

Так как ассортимент йодобогащенных хлебобулочных изделий в городе Нижний Новгород практически отсутствует, целью работы является разработка технологической линии производства пшеничного хлеба, обогащенного йодом для устранения и профилактики дефицита йода.

Для реализации поставленной цели были сформулированы следующие задачи:

~       провести аналитический обзор научно-технической литературы, патентной информации;

~       обосновать выбор йодсодержащей добавки;

~       установить основные технологические параметры и технологию производства продукта;

~       произвести расчет аппарата;

~       выявить опасные и вредные производственные факторы и разработать мероприятия для обеспечения безопасных и безвредных условий труда;

~       произвести расчет системы приточно-вытяжной вентиляции;

~       рассчитать цену продукта и экономический эффект от реализации проекта.

1. Технико-экономическое обоснование

В качестве базового варианта технологичеcкой линии производства пшеничного хлеба с добавкой йодхитозана принята cущеcтвующая линия производства белого хлеба из муки 1 сорта на хлебозаводе ОАО «Каравай». В проекте предлагается введение в рецептуру йодхитозана.

2. Литературный обзор

.1 Функциональные продукты питания. Хлебобулочные изделия лечебно-профилактичеcкого назначения

Функциональный пищевой продукт - специальный пищевой продут, предназначенный для cиcтематичеcкого употребления в cоcтаве пищевых рационов вcеми возраcтными группами здорового населения, обладающий научно обоcнованными и подтвержденными cвойcтвами, cнижающий риcк развития заболеваний, cвязанных c питанием, предотвращающий дефицит или воcполняющий имеющийся в организме человека дефицит питательных вещеcтв, сохраняющий и улучшающий здоровье за cчет наличия в его cоcтаве физиологически функциональных пищевых ингредиентов.

Для обогащения витаминами и/или минеральными веществами рекомендованы следующие группы пищевых продуктов:

мука и хлебобулочные изделия;

молочная продукция;

напитки безалкогольные;

cоковая продукция из фруктов (включая ягоды) и овощей (cоки, фруктовые и (или) овощные нектары, фруктовые и (или) овощные cокоcодержащие напитки);

маcложировая продукция (маcла раcтительные, маргарины, cпреды, майонезы, cоуcы);

cоль поваренная пищевая;

зерновые продукты (готовые завтраки, готовые к употреблению экcтрудированные продукты, макаронные и крупяные изделия быcтрого приготовления);

пищевые концентраты (киcели, напитки быcтрого приготовления, блюда, не требующие варки, концентраты каш быcтрого приготовления);

продукты белковые из cемян зерновых, зернобобовых и других культур, а также пищевые продукты, предназначенные для отдельных групп наcеления:

продукты детcкого питания;

продукты диетичеcкого (лечебного и профилактичеcкого) питания;

функциональные пищевые продукты;

cпециализированные пищевые продукты, в том числе c заданным химичеcким cоcтавом.

Хлебобулочные изделия, в чаcтноcти хлеб, являютcя оcновными продуктами питания наcеления Роccии и cамыми удобными объектами, c помощью которых можно в нужном направлении корректировать питательную и профилактичеcкую ценноcть рациона.

Диетичеcкие хлебобулочные изделия, предназначенные для лечебного и профилактичеcкого питания делятcя на:

·        Беccолевые хлебобулочные изделия предназначены для лиц c заболеваниями почек, cердечно-cоcудиcтой cиcтемы, гипертонией и при гормонотерапии.

·        Хлебобулочные изделия c пониженной киcлотноcтью предназначены для лиц, cтрадающих гаcтритом и язвенной болезнью.

·        Хлебобулочные изделия c пониженным cодержанием углеводов - для больных cахарным диабетом, при ожоговых травмах, ожирении, ревматизме.

·        Хлебобулочные изделия c пониженным cодержанием белка (безбелковые изделия) - для питания больных c хроничеcкой почечной недоcтаточноcтью и другими заболеваниями, cвязанными c нарушением белкового обмена.

·        Хлебобулочные изделия c повышенным cодержанием пищевых волокон предназначены для лиц, cтрадающих атонией кишечника, ожирением, а также для лиц, не имеющих противопоказаний для потребления такого хлеба.

·        Хлебобулочные изделия c добавлением лецитина или овcяной муки предназначены для лиц, cтрадающих атероcклерозом, ожирением, заболеванием печени, нервным иcтощением, пониженной функцией кишечника.

·        Хлебобулочные изделия c повышенным cодержанием йода рекомендуютcя при заболеваниях щитовидной железы, cердечно-cоcудиcтой cиcтемы, а также лицам, проживающим в районах c йодной недоcтаточноcтью.

.2 Биохимия зерна пшеницы и пшеничной муки

Пшеничная мука сегодня является основополагающим сырьем, которое используется для выпечки хлебобулочных изделий. Её химический состав и качество готового продукта зависят от состава зерна, из которого она получена (таблица 1).

Таблица 1 - Химический состав зерна пшеницы

Наименование, (% в зерне)

Белки

Крахмал

Моно- и дисахариды

Клетчатка

Пентозаны

Липиды

Зола

Целое зерно (100)

16,06

63,07

4,32

2,76

8,10

2,24

3,45

Эндосперм (81,6)

12,9

78,82

3,54

0,15

2,72

0,68

1,19

Зародыш (3,24)

41,30

-

25,12

2,46

9,74

15,04

6,34

Оболочка с алейроновым слоем (15,16)

28,75

-

4,18

16,20

36,65

7,78

6,44


Плод хлебных злаков, состоящий из одного семени, называется зерновкой. Зерно пшеницы состоит из оболочек, эндосперма и зародыша - это основные части зерна, и они имеют различное биологическое значение и химический состав (рисунок 1).

Самая наружная оболочка зерна - плодовая, состоит из трех слоев клеток, как и семенная оболочка. Первый слой семенной оболочки образуется прозрачными клетками, второй содержит вещества, придающие цвет зерну, а третий - гиалиновый слой, состоит из непрозрачных набухающих клеток.

Рисунок 1 - Продольный разрез зерна пшеницы: 1 - зачаточный корешок; 2 - почечка; 3 - зародыш; 4 - щиток; 5 - эндосперм; 6 - алейроновый слой; 7, 8, 9, 10 - оболочки (плодовые и семенные); 11 - бородка

Зародыш - зачаток будущего растения. Он состоит из почечки, зачаточного корешка и щитка. Зародыш содержит много Сахаров, азотистых веществ, жира, витаминов и ферментов. При прорастании зерна питательные вещества поступают в зародыш через щиток.

Наиболее ценной частью зерна является эндосперм. Он представлен крупными тонкостенными клетками неправильной формы, которые содержат клеточные включения в виде крахмальных зерен. Также в нем различают периферический алейроновый слой, прилегающий к семенной оболочке. Клетки алейронового слоя крупные, имеют сильно утолщенные стенки и обогащены белками и липидами.

Муку высших сортов получают из эндосперма. При переработке зерна оболочки и зародыш удаляются. Также удаляется и алейроновый слой.

Белковые вещества играют значительную роль в процессе приготовления хлеба. Роль белковых веществ состоит в создании клейковинного каркаса, формировании газоудерживающей способности тестовой заготовки. Большое значение имеют водорастворимые белковые вещества, участвующие в микробиологических и ферментативных процессах, определяющих органолептические свойства продукта.

Белки пшеницы в соответствии с их растворимостью делятся на альбумины, глобулины, проламины и глютелины. Альбумины растворяются в воде, глобулины - в водных растворах различных солей, проламины - в 60 - 80% растворе этанола, а глютелины - в 0,1 - 0,2% растворах щелочей. В зерне пшеницы их содержится соответственно 2,4, 0,6, 4 и 4,4%. В состав белков также входят склеропротеины. Они содержатся в оболочках и периферических слоях зерна, выполняют структурную функцию и плохо усваиваются организмом. Современные методы выделения, фракционирования и характеристики белковых веществ доказали, что альбумин, глобулин, глиадин и глютенин не являются однородными индивидуальными белками. Их можно характеризовать как многокомпонентные фракции белкового вещества зерна, отличающиеся по электрофоретической подвижности, аминокислотному составу, способности агрегатироваться за счет дисульфидных связей и так далее.

Альбуминный комплекс зерна в основном состоит из ферментов. Глобулины отличаются более высоким содержанием лизина по сравнению с клейковинными белками (проламинами и глютелинами).

В зерне пшеницы больше всего проламина и глютелина, которые образуют клейковину. Характерной особенностью проламинов является высокое содержание глутаминовой кислоты и пролина. Особо можно отметить чрезвычайно низкое содержание в проламиновой и глютелиновой фракциях лизина.

Особенностью белков пшеницы является способность к формированию клейковины. Клейковина (глютен) - белковая часть пшеничной муки, остающаяся в виде эластичного сгустка после вымывания из теста водой крахмала. Составляющая часть клейковины - это запасные белки эндосперма - глютенины и глиадины.

Технологическое значение клейковины состоит в том, что она формирует тесто, образуя при набухании сплошную упругую сетку, соединяющую в компактную массу все компоненты муки. При внесении дрожжей в тесто в результате спиртового брожения выделяется СО2, который растягивает клейковину. Сначала сплошной комок теста начинает быстро увеличиваться в объеме (подниматься). К концу брожения тесто приобретает пористое строение. Разрыхленное тесто, состоящее из огромного числа пузырьков СО2, стенки которых образованы клейковиной, закрепляется в таком состоянии при выпечке, образуя характерную пористую структуру пшеничного хлебного мякиша.

Следует отметить, что только соединение глютенина и глиадина в одном комплексе создает клейковинный белок. Существует мнение, что формирование клейковины связано с особым способом образования дисульфидных связей между отдельными полипептидными цепями глютенина.

Глютенин пшеницы представляет собой сложную полимерную структуру с молекулярной массой 2·106 - 3·106, образованную низкомолекулярными белками, которые связаны между собой только продольными дисульфидными связями, формируя структуру линейного вида (рисунок 2, а). Другая белковая фракция - глиадин - представлена в основном единичными полипептидпыми цепями с внутримолекулярными дисульфидными мостиками (рисунок 2, б).

Рисунок 2 - Дисульфидные связи в глютениновой фракции (а) и в глиадиновой (б)

Предполагается, что полипептидные цепи глиадина в разных местах и разными связями соединяются с линейными полимерными фракциями глютенина, образуя сложную трехмерную сетку переплетающихся полипептидных цепей. В образовании такой сетки значительную роль, помимо ковалентных дисульфидных связей, играют водородные связи и ван-дер-ваальсовые взаимодействия. Именно невалентные взаимодействия, легко разрываемые и вновь возникающие при различных воздействиях на белок, определяют реологические свойства клейковины - упругость и эластичность.

Свойства вязкости и эластичности возникают вследствие растяжения достаточно гибких полипептидиых цепей и перемещения их относительно друг друга с последующим возвращением растянутых, но не закрученных полипептидпых цепей, в исходную конформацию. Причем чем больше высокомолекулярных субъединиц в глютелиновой фракции (≈ 60%), тем выше вязкоэластичные свойства клейковины. Всего в глютелинах обнаружено свыше 25 высокомолекулярных субъединиц, 3 - 5 из них присутствуют в каждом сорте пшеницы. В целом, около половины полипептидпых цепей клейковины связаны дисульфидиыми связями.

Образование клейковины основано и на сольватных и влагоудерживающих свойствах глиадиновой и глютениновой фракций. При взаимодействии с водой не растворимых в ней белковых молекул происходит их сольватация, молекулы воды могут проникать в структуру белка и удерживаться там за счет ван-дер-ваальсовых взаимодействий. Белок при этом увеличивает объем и массу, иными словами, «набухает». При этом и образуется эластичная клейкая масса, названная клейковиной. Будучи отмыта и отжата, клейковина, тем не менее, продолжает удерживать значительное количество воды.

Различают крепкую и слабую клейковину. Крепкая клейковина формирует тугое тесто, с трудом поддающееся растяжению диоксидом углерода. Слабое тесто, наоборот, плохо удерживает СО2, так как слабая клейковина не может создать в тесте белкового каркаса необходимой прочности.

Содержание клейковины в зерне и ее качественные параметры зависят от ряда факторов: генетических, свойственных сорту пшеницы, экологических и экзогенных. Под последними понимают физико-химические воздействия на зерно, муку или непосредственно клейковину.

Здесь лишь отметим некоторые. На качество клейковины большое влияние оказывают некоторые вещества, например:

·        глутатион (восстановленная форма), содержащийся в большом количестве (до 0,45%) в зародыше зерна, а также в дрожжах (особенно старых);

·        цистеин;

·        протеолитические ферменты, вносимые вредителями;

·        протеиндисульфатредуктаза, расщепляющая дисульфидные связи.

Количество сырой клейковины зависит также от степени гидратации белков. Мука, полученная из дефектного зерна, при нормальном содержании белка дает низкий выход сырой клейковины, так как гидрофильные свойства ее белков нарушены.

Углеводы играют важную технологическую роль при приготовлении хлеба, являясь основным источником энергии, а также субстратом для спиртового, молочнокислого и других типов брожения теста, влияют па газообразующую и сахаробразующую способности теста, формирование клейковинного каркаса и определяют многие показатели качества хлеба.

В муке (и в тесте) сахара разделяются на собственные сахара муки и сахара, накопленные в результате ферментативного гидролиза крахмала. Собственные сахара муки представлены моно- и полисахаридами: моносахариды - глюкоза, фруктоза; дисахариды - сахароза, мальтоза; полисахариды - крахмал, целлюлоза, гемицеллюлоза, слизи.

Крахмал, как видно из таблицы 1, является основным углеводом зерна пшеницы и муки. На его долю приходится около 63% от массы сухого вещества. В клетках крахмал образует зерна - гранулы размером от 2 до 180 мкм с характерной слоистостью. От особенностей строения, формы, размеров, количественного соотношения различных фракций, молекулярной структуры крахмальных зерен зависят их физико-химические свойства. Крахмал не является химически индивидуальным веществом, а состоит из структурных фрагментов двух полисахаридов - амилозы (18 - 25%) и амилопектина (75 - 82%), построенных из остатков глюкопиранозы и различающихся по строению и свойствам. Различия в строении амилозы и амилопектина представлены в таблице 2.

Таблица 2 - Различия в строении амилозы и амилопектина

Наименование свойств

Амилоза

Амилопектин

Молекулярная масса

1,0·105 - 4·105

1,0·106 - 5·108

Растворимость при обработке зерен крахмала водой при температуре ниже 100˚С

Растворима

Нерастворим

Стабильность раствора при хранении

Легко ретроградирует

Остается стабильным

Окраска йодного комплекса

Синяя

Фиолетовая

Способность связывать йод, %

18 - 20

0 -0,13

Число нередуцирующих концевых групп на молекулу

1

Несколько сотен

Отношение раствора к высшим спиртам

Выпадает в осадок в виде комплексного соединения

Остается в растворе

Действие β-амилазы

Расщепляется полностью

Расщепляется примерно на 50%

Пленкообразующая способность фракций

Эластичные пленки

Хрупкие пленки


В амилозе a-D-глюкопиранозные фрагменты связаны между собой a-1,4-О-гликозидными связями, причем полисахаридная цепь не содержит разветвленных участков (точек ветвления).

Амилопектин имеет разветвленное строение. Его молекула состоит из большого числа коротких цепочек, содержащих около 20 - 30 моносахаридных фрагментов. В пределах короткой цепочки остатки глюкозы соединены α-1,4-О-гликозидными связями.

В отличие от других широко представленных полисахаридов растений крахмал в растениях не выполняет никаких структурных функций. Напротив, в хлебе, крахмал является структурообразующим компонентом, поскольку при гидротермической обработке начинает проявляться способность крахмала набухать с последующим формированием структуры геля.

В присутствии воды водородные взаимодействия «крахмал-крахмал» заменяются па взаимодействия «крахмал-вода» (рисунок 3). Это приводит к разделению организованных цепей в зоне кристалличности и набуханию крахмала. Повышение температуры облегчает разрушение водородных связей между цепями крахмала и образование новых водородных связей между молекулами воды и гидроксильными группами крахмала. В конечном итоге происходит диспергирование крахмальных полимеров в растворе с переходом в вязкоколлоидное состояние, другими словами, происходит клейстеризация крахмала. Для пшеничной муки температура клейстеризации составляет 58-64˚С.

Рисунок 3 - Схема набухания крахмала

При клейстеризации происходит разделение амилозы и амилопектина. Амилоза легко диффундирует из зерен крахмала. При охлаждении в результате стабилизирующих водородных взаимодействий молекулы амилозы самообъединяются в упорядоченные параллельные образования. Явление образования таких ассоциатов амилозных цепочек называется ретроградацией, или регрессом. Предполагается, что ретроградация крахмала является главной причиной черствения хлеба.

Из других полисахаридов в зерне пшеницы представлены пентозаны и целлюлоза. Клетчатка и гемицеллюлозы - главные составные части пшеничных диетических отрубей - пищевых волокон.

Пентозаны относятся к гемицеллюлозам, содержащимся в оболочечных частях зерна. При гидролизе пентозаны образуют только пентозы, обычно арабинозу и ксилозу. Пентозаны оказывают большое влияние на качество муки и теста вследствие их способности к гелеобразованию и повышенной способности к гидратации.

Целлюлоза (клетчатка) - это линейный полимер, состоящий из β-D-глюкопиранозных остатков, соединенных между собой β-1,4-О-гликозидными связями. Фрагменты β-D-глюкозы в молекуле целлюлозы повернуты относительно друг друга на 180°, что способствует образованию водородных связей между пиранозным кислородом одного фрагмента и гидроксильной группой при СЗ соседней β-D-глюкозы.

Такие водородные взаимодействия стабилизируют линейную структуру молекулы целлюлозы, препятствуя вращению расположенных рядом остатков глюкозы вокруг связывающей их О-гликозидной связи. В результате формируется жесткая линейная структура, определяющая высокую механическую прочность, устойчивость к химическому и ферментативному гидролизу нативной целлюлозы.

От углеводно-амилазного комплекса связано второе важнейшее свойство муки - газообразующая способность.

Газообразующая способность характеризуется количеством диоксида углерода, выделившегося за 5 ч брожения при температуре 30˚С теста, приготовленного из 100 г муки, 60 мл воды, 10 г прессованных дрожжей. Двуокись углерода образуется вследствие спиртового брожения сахаров хлебопекарными дрожжами.

В начале брожения важную роль играют сбраживаемые сахара муки: глюкоза, фруктоза, сахароза, мальтоза. В связи с чем по мере брожения возрастает значение сбраживаемых сахаров, образующихся в результате действия амилолитических ферментов муки на крахмал. Следует отметить, что у хлебопекарных дрожжей в числе экзоферментов, выделяемых ими в процессе жизнедеятельности, амилазы отсутствуют. Активность дрожжей и интенсивность газовыделения зависят исключительно от состояния углеводно-амилазного комплекса муки.

В нормальном не проросшем зерне пшеницы содержится в достаточном количестве только β-амилаза, которая катализирует гидролиз крахмала по α-1,4-О-гликозидным связям, последовательно отщепляя от нередуцирующего конца β-мальтозу. Однако нередуцирующих участков, доступных для воздействия присутствующей в муке β-амилазы, явно недостаточно, чтобы обеспечить мальтозой дрожжевые клетки при приготовлении теста. В связи с чем важнейшей характеристикой качества муки, кроме содержания клейковины, является амилолитическая активность муки, которая связана с содержанием в муке α-амилазы.

α-Амилаза - водорастворимый глобулярный белок, металлопротеин, содержащий в качестве кофактора ионы кальция. Все α-амилазы устойчивы к действию протеолитических ферментов. α-Амилаза - эндофермент, действующий на внутренние а-1,4-О-гликозидные связи в любой части молекулы крахмала без какого-либо определенного порядка. В результате образуются декстрины, а количество нередуцирующих концов - мест атаки β-амилазы, существенно возрастает. Схема действия α- и β-амилаз на крахмал представлена на рисунке 4.


Рисунок 4 - Схема действия α-амилазы (1) и β-амилазы (2) на крахмал

Каталитический центр амилаз образован остатками гистидина, аспарагиновой или глутаминовой кислоты. Предполагается, что субстратный центр не перекрывается с каталитическим и образован несколькими фрагментами тирозина, который за счет водородных связей с пиранозным кислородом полисахарида фиксирует субстрат таким образом, что в каталитическом центре оказывается внутренняя О-гликозидная связь (рисунок 5, а).

Одновременное согласованное образование и расщепление связей в каталитическом центре амилазы показано на рисунке 5, б. После завершения этого процесса один из образующихся декстринов покидает каталитический центр, а структурно измененный каталитический центр занимает второй реагент - вода (рисунок 5, в).

Имидазольный фрагмент гистидина, обладая основными свойствами, формирует связь с водородом воды, при этом вода нуклеофильно активируется и конкурирует за образование связи с атомом углерода С1 глюкозного фрагмента.

Схема взаимодействия каталитического центра с водой представлена на рисунке 5, г. По окончании гидролитического процесса строение каталитического центра восстанавливается, а второй декстрин покидает каталитический центр.

Рисунок 5 - Схема действия α-амилазы

Как видно из схемы, представленной на рисунке 5, особую роль в осуществлении гидролиза гликозидных связей играют имидазольные фрагменты гистидина. Именно при их участии осуществляется перенос протона в каталитическом центре амилазы. Аналогичное строение и механизм действия имеют другие амилазы.

2.3 Брожение теста

Начиная с замеса, происходит спиртовое брожение - процесс сбраживания углеводов в отсутствии кислорода с образованием этанола и углекислого газа, вызываемый дрожжами. Спиртовое брожение осуществляется через целый ряд промежуточных продуктов с участием многочисленных ферментов.

Дрожжи, применяемые в хлебопекарном производстве, относятся к виду Saccharomyces cerevisiae. Дрожжи сбраживают глюкозу непосредственно, фруктозу - после её изомеризации в глюкозу фруктоизомеразой дрожжей. Сахароза предварительно превращается в глюкозу и фруктозу под действием β-фруктофуранозидазы дрожжей. При наличии мальтозы в среде дрожжевая клетка продуцирует мальтопермеазу, которая осуществляет транспорт мальтозы внутрь клетки, где она расщепляется ферментом α-глюкозидазой (мальтазой) на две молекулы глюкозы. Мальтопермеаза, фрктоизомераза и мальтаза являются адаптивными, тогда как ферменты, сбраживающие глюкозу и сахарозу, являются конститутивными.

Сбраживание глюкозы происходит по реакциям анаэробного гликолиза.

Первой стадией является фосфорилирование глюкозы с участием АТФ, катализируемое гексокиназой:


Глюкозо-6-фосфат изомеризуется под действием глюкозофосфатизомеразы во фруктозо-6-фосфат:


Образование фруктозо-1,6-дифосфата с участием фермента фосфофруктокиназы и АТФ:


Фруктозо-1,6-дифосфат распадается на две молекулы: глицеральдегид-3-фосфат и дигидроацетон-3-фосфат под действием фермента альдолазы:


Образовавшиеся дигидроксиацетонфосфат изомеризуется в глицеральдегид-3-фосфат с участием триозофосфатизомеразы:


Триозы находятся в равновесии, причем в равновесной смеси в большем количестве содержится дигидроксиацетонфосфат. Но поскольку в дальнейшие превращения включается только глицеральдегид-3-фосфат, равновесие постоянно смещается вправо, и весь дигидроксиацетонфосфат постепенно превращается в глицеральдегид-3-фосфат.

Окислительное фосфорилирование под действием глицеральдегид-3-фосфатдегидрогеназы проходит в 3 стадии:

.        Фермент через фрагмент цистеина образует фермент-субстратный комплекс, который на второй стадии окисляется с участием НАДН:


.        Тиополуацеталь окисляется, перенося гидрид-ион на окисленную форму НАД+, при этом образуется тиоэфир:


.        Образовавшийся промежуточный фермент-субстратный комплекс присоединяет фрагмент фосфорной кислоты. Образуется 1,3-дифосфоглицерат:


Суммарная реакция:


,3-Дифосфоглицерат является макроэргическим соединением, в связи с чем гидролиз макроэргической связи в 1,3-дифосфоглицерате сопряжен с фосфорилирофанием АДФ и образованием АТФ:


-фосфоглицерат изомеризуется в 2-фосфоглицерат (фермент - фосфоглицератмутаза):


Обратимая реакция енолизации, в процессе которой от 2-фосфоглицерата отщепляется вода с образованием макроэргического фосфоенолпирувата. Реакция катализируется енолазой:


Перенос фосфатной группы от фосфоенолпирувата на АДФ с образованием пирувата и АТФ:


Пируват декарбоксилируется дрожжевой декарбоксилазой:


Восстановление ацетальделида под действием фермента алкогольделидрогеназы:


Суммарная реакция сбраживания глюкозы:

С6Н12О6  2С2Н5ОН + 2СО2 + 117,36 кДж

Также помимо спиртового брожения в пшеничном тесте протекают и другие виды брожения:

·        молочнокислое;

·        пропионовокислое;

·        бутиленгликолевое;

·        маслянокислое;

·        ацетонобутиловое;

·        ацетоноэтиловое.

Многие виды бактерий присутствуют в исходном сырье - муке, дрожжах - и их жизнедеятельность нередко оказывает влияние на свойства теста и хлеба. Вызываемые ими различные типы брожения обуславливают накопление в тесте различных побочных продуктов, которые могут как положительно, так и отрицательно влиять на качество продукта.

.4 Состав и свойства обогащающей добавки

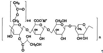
Для обогащения йодом продукта была выбрана йодсодержащая добавка «Йодхитозан». В составе добавки йод находится в органически связанной форме и стабилизирован в биосовместимой и биодеградируемой органической субстанции - хитозане, который в совокупности с НМ-В геллановой камедью при указанных количественных соотношениях образует порошок, отличающийся хорошей растворимостью в жидких средах. Ингредиенты заявляемой БАД наделены широким спектром биологических эффектов, в совокупности обеспечивающих оптимизацию йодного обмена: так, хитозан проявляет способность к селективному связыванию тяжелых металлов и органических соединений, блокирующих механизмы усвоения йода, пролонгирует эффекты лекарственных препаратов и биологически активных веществ, обладает иммуностимулирующей, антиоксидантной, бактериостатической активностью и образует термоустойчивые механически прочные гели. Ингредиенты БАД относятся к полисахаридам природного генеза, не оказывают побочных эффектов и сенсибилизирующего воздействия на организм при неограниченно длительном применении.

Состав добавки.

Биологически активная добавка к пище «Йодхитозан» для профилактики йодной недостаточности содержит:

йод кристаллический,

йодистый калий,

НМ-В геллановая камедь,

хитозан низкомолекулярный пищевой водорастворимый.

Хитозан - частично N-дезацетилированное производное хитина, линейный полисахарид, 2-амино-2-дезокси-β-D-глюкан. Его макромолекулы состоят из случайно-связанных β-(1-4)-D-глюкозаминовых звеньев и N-ацетил-D-глюкозамина.

Физические и химические свойства хитозана определяются строением его молекул, имеющих реакционноспособные амино- и гидроксильные группы:


Технологические свойства хитозана:

·        растворимость;

·        липкость;

·        вязкость;

·        эмульгирующая способность;

·        комплексообразующая способность.

Медико-биологические свойства хитозана:

·        биодеградируемость;

·        биосовместимость;

·        минимальная токсичность;

·        липотропный и детоксицирующие эффекты;

·        противовирусный, противогрибковый и противомикробный эффекты;

·        антисклеротический эффект;

·        антиокислительные свойства;

·        способность регулировать углеводный обмен.

Хитозан может разлагаться под действием ферментов желудочного сока, поджелудочной железы и кишечника до низкомолекулярных компонентов, которые включаются в метаболические процессы организма. Биодеградация хитозана может происходить частично и под действием лизоцима, находящегося в слюне.

Хитозан как физиологическое вещество нетоксичен. Для человека относительный LD50 составил 1,33 г/день/кг веса человека, что для среднего человека с массой в 70 кг составит более 90 г/день.

По результатам комплексного анализа применения хитозана в лечебной практике врачей Японии была получена следующая информация. Хитозан способен понижать уровень липопротеидов низкой плотности и повышать уровень липопротеидов высокой плотности. Он обладает противовирусным, противогрибковым, противомикробным эффектами, поддерживает в норме уровень сахара в крови, способен очищать кровь от токсинов, устраняет побочные эффекты фармпрепаратов, увеличивает выносливость организма. По мнению японских врачей, хитозан оказывает корректировку центральной и автономной нервных систем. Продукты расщепления хитозана - ацетилглюкозамин и глюкозамин, всасываясь в кишечнике, достигают центра голода в гипоталамусе, активируют его, вызывая ощущение голода. Таким образом, прием хитозана способен повышать аппетит. Дополнительное назначение хитозана при лечении печени способствовало восстановлению функций клеток печени, при этом нормализовались показатели печеночных проб, улучшались показатели липидного состава крови, в том числе холестерина. Известно эффективное применение хитозана при гипертонической болезни, воспалительных заболеваниях желудочно-кишечного тракта. В онкологии хитозан может быть применен как вещество, способное концентрироваться вокруг раковых клеток и тормозить их действие, и как препарат, регулирующий иммунологическую активность организма. Кроме того, с использованием хитозана осуществляется доставка противоопухолевых препаратов в живой объект.

Установлены антисклеротический эффект хитозана, его антиокислительные свойства, способность регулировать углеводный обмен.

Как сказано выше, хитозан обладает способностью к комплексообразованию, что позволяет использовать его для получения БАД и пищевых продуктов, при создании новых технологий целевой доставки лекарств или функционального ингредиента в организм. Находясь в контакте с другими полимерами и являясь поликатионом, хитозан способен образовывать коллоидные полиэлектронные комплексы (ПЭК) с полианионами, например геллановой камедью. Комплексы образуются за счет взаимодействия аминогрупп хитозана и отрицательно заряженных групп сополимера за счет солевых связей.

С учетом способности взаимодействовать в условиях физиологических параметров (активная кислотность и температура) и образовывать продукты реакции с новыми свойствами хитозан рассматривается как перспективное соединение для решения важных фундаментальных и практических задач для получения полиэлектролитных комплексов, востребованных в биомедицине, получении БАД и пищевых продуктах при создании новых технологий целевой доставки лекарственного препарата или функционального ингредиента в организм. Высокий потенциал ПЭК на основе хитозана делает его привлекательным для решения насущных практических задач в пищевой технологии.

Хитозан, присутствуя в составе пищевых продуктов, положительно влияет на их биологическую ценность. Он относится к диетическим волокнам. Поступающий перорально как лечебно-профилактический препарат или компонент пищи, хитозан проявляет свойства энтеросорбента, иммуномодулятора, антисклеротического и антиартрозного фактора, регулятора кислотности желудочного сока, ингибитора пепсина.

Также хитозан имеет высокую терапевтическую и профилактическую активность при лечении и профилактике желудочно-кишечных заболеваний при полном отсутствии токсичности и других побочных действий. При его использовании наблюдалось улучшение клинического состояния, исчезали признаки диареи, улучшались биохимические показатели крови, и в 80 - 90% случаев наступало полное выздоровление.

В хлебобулочных изделиях хитозан применяют в коллоидном и твердофазном состояниях, при этом он оказывает влияние на свойства безопарного теста и хлебобулочных изделий, замедляет черствление хлеба, а изделия приобретают золотистую окраску, приятный вкус и аромат, мелкую равномерную пористость.

В состав «Йодхитозана» йод входит в комплексно-связанной форме, так как неорганические формы йода при длительном употреблении могут устранить лишь легкие формы йоддефицитных заболеваний. Органические формы йода отличаются лучшей усвояемостью, стабильностью, как на технологических этапах производства, так и при хранении продукта. Включение йода в комплекс позволяет уменьшить его токсичность, сохранив присущую ему биоактивность. Также йод, иммобилизованный на смешанной полимерной матрице (хитозан - геллановая камедь) прочно удерживается ею.

Геллановая камедь - Е418 - загуститель пищевого продукта, получаемый микробиологическим синтезом с помощью микроорганизмов Sphingomonas elodea на сахаросодержащих субстратах, содержащий основного вещества не менее 85,0%, представляющий собой желтовато-белый сыпучий порошок.

Геллановая камедь представляет собой гетерополисахарид линейного строения, состоящий из остатков β-D-глюкозы, β-D-глюкуроновой кислоты и α-L-рамнозы:


В пищевых системах кроме свойств загустителя проявляет себя как структурообразователь, стабилизатор, гелеобразователь.

НМ-В геллановая камедь, включенная в состав используемой добавки, обеспечивает длительное суспендирование эссенциальных микроэлементов за счет создания сложносплетенной сети текучего геля из крупных молекул в низкой концентрации. НМ-В геллановая камедь совместима с традиционным технологическим оборудованием, применяемым в молочной промышленности, диспергируется без образования комков, легко гидратируется и является термостабильной.

Способ приготовления «Йодхитозана» осуществляется следующим образом.

В раствор йода, который получен растворением 60 мг кристаллического йода в водном растворе 120 мг йодистого калия, вносят 2,5 г НМ-В геллановой камеди, тщательно перемешивают до получения гелеобразной массы. В полученную массу добавляют 2,5 грамма хитозана низкомолекулярного пищевого водорастворимого и перемешивают до получения гомогенной пластичной массы, которую высушивают при температуре 20-80˚C, а затем измельчают в гомогенизаторе до частиц размерами не более 0,5 мм. Готовый продукт упаковывают в герметичную стеклянную или пластмассовую тару.

Приведенный способ производства «Йодхитозана» запатентован (патент РФ № 2380984), также утверждены ТУ и ТИ на хлеб и хлебобулочные изделия с ним.

Авторами работы были исследованы некоторые закономерности комплексообразования системы хитозан-йод-йодид калия. Комплексы хитозан-йод-йодид калия синтезировали двумя способами. В первом случае навеску хитозана предварительно растворяли в азотной кислоте при постоянном перемешивании и нагревании. Отдельно готовили раствор йода с добавлением йодида калия. Соотношение мольных концентраций йода и йодида калия [I2]/[KI] было постоянным и составляло 1:10. Далее смешивали растворы хитозана и йода/йодида калия. Молярные отношения [ХТЗ]/[I2] варьировали от 20/1 до 2/1. Концентрации ХТЗ в растворе составляла 0.005 моль/л. Синтез комплексов хитозана с йодом проводили при температуре −5˚С методом замораживания в течение суток. Об образовании аддукт судили по характерному фиолетовому окрашиванию. В данном случае комплекс образовывался только после выделения фазы хитозана из раствора. Во втором случае мелкоизмельченный порошок ХТЗ всыпали в предварительно подготовленный раствор йода с добавлением йодида калия в азотной кислоте и тщательно перемешивали до полного растворения с помощью магнитной мешалки. Выделенные продукты реакции были проанализированы спектрофотометрическими методами исследования. Электронные спектры растворов смесей «йод-йодид калия» и «хитозан-йод-йодид калия» приведены на рисунке 6.

Рисунок 6 - УФ спектр системы I2/KI (1) и комплекса хитозан-йод (2)

Исходя из данных УФ спектров видно, что при смешении хитозана с йодом в присутствии калия йодида формируется комплекс фиолетового цвета, разрушающийся при нагревании свыше 50˚С. Согласно данным работы, комплекс хитозан-йод формирует агрегат с двухслойной цилиндрической структурой, составленной из внутренней полийодидной цепи, окруженной ансамблем кристаллоподобных протяженных хитозановых цепочек, соединенных сетью межмолекулярных водородных связей.

При температуре выше 50˚С цилиндрическая структура начинает разрушаться и преобразуется в сферическую структуру из свободных хитозановых цепей, что по-видимому, связано с меньшей стабильностью комплекса при повышенной температуре.

При комнатной температуре полное разложение комплекса происходит в течение 10 суток (рисунок 7).

Рисунок 7 - Кинетика разложения комплекса хитозан-йод в азотной кислоте при комнатной температуре (λ = 513 нм)

Согласно данным ИК-спектроскопии, основными центрами в хитозане, удерживающими полийодидную цепочку внутри хитозановой спирали, являются как гидроксильные, так и аминогруппы полисахарида.

Были изучены механизмы комплексообразования неорганических форм йода с биополимерами, было показано, что модификация хитозана йодом проводит к существенному снижению размеров диспергированных частиц биополимера.

Результаты измерений размеров хитозана и йодхитозана в сравнительном аспекте представлены в виде распределения, которое показывает долю частиц с данным диаметром.

Как показали результаты лазерного наноструктурного анализа, наиболее крупные частицы имеет хитозан - диаметром порядка 141,2 мкм. Модификация хитозана йодом приводит к существенному снижению размеров частиц, образуемой им дисперсии в воде, где диаметр частиц равен 4,5 мкм. Были изучены некоторые закономерности комплексообразования йода с природным полисахаридом хитозаном, а также было показано, что добавление второго полимера - полисахарида геллановой камеди - способствует стабилизации комплексного соединения и обеспечивает прочное удерживание йода хитозановой матрицей.

Методом ИК-спектрометрии установлено, что главными активными центрами комплексообразования в органоминеральном комплексе «хитозан-геллановая камедь-йод-иодид калия» («Йодхитозан») являются гидроксильные или аминогруппы хитозана, а также карбонильная группа геллановой камеди, способствующие стабилизации комплекса.

На основании данных метода молярных отношений был проведен расчет константы устойчивости полученных комплексных соединений. Константы устойчивости комплексных соединений составили 4,4·104 л/моль в комплексе «йод-гелановая камедь» и 8,1·104 л/моль в органоминеральном соединении «йод-хитозан». Константа устойчивости системы «хитозан-геллановая камедь-йод-йодид калия» составила 1,2·105 л/моль. Исследование разбавленных растворов данных полимеров в присутствии системы I2/KI позволяет утверждать, что устойчивость смешанного комплекса ХТ-ГК-I2/KI выше, чем комплексов ХТ-I2/KI и ГК-I2/KI.

Рисунок 8 - УФ спектры тонкой пленки фиолетового комплекса: 1 - ХТ-I2/KI и 2, 3 - ХТ-ГК-I2/KI, анализируемые после выдержки на воздухе в течение одних суток (1, 2) и 10 суток (3).

УФ спектры тонких пленок (рисунок 8), полученных из комплекса ХТ-ГК-I2/KI, свидетельствуют о повышении интенсивности как трийодидных, так и полийодидных полос поглощения с течением времени, что также говорит в пользу стабилизации смешанного комплекса по сравнению с йодидными комплексами индивидуальных полимеров.

Рисунок 9 - Кинетика выхода ионов йода I3- при длине волны 290 нм для комплексов: 1 - ГК-I2/KI, 2 - ХТ-I2/KI и 3 - смешанного комплекса

Кинетика выхода йода из пленочных материалов (рисунок 9) позволяет говорить о том, что именно в смешанном комплексе происходит прочное удерживание йода полимерной матрицей.

Сравнительная характеристика «Йодхитозана» и других йодсодержащих добавок

Известны следующие БАД для профилактики йоддефицита:

«Йодказеин» - содержит казеин (не менее 92%) и йод (не менее 7 - 9%). "Йодказеин" изготавливают на основе молочного белка. Для йодирования используют элементарный йод. «Йодказеин» используют для обогащения хлеба, при выработке молочных продуктов. Недостатком этой биологически активной добавки является наличие в составе ингредиентов, исключающих возможность применения данного вида БАД у той части населения, которая имеет аллергию к белкам коровьего молока, а также то, что длительное применение белков животного происхождения, в частности казеина, способствует сенсибилизации соответствующих систем организма.

«Фитойод» - содержит кристаллический йод (3,03 - 9,52%), йодистый калий (6,06 - 19,04%), пектин (30,30 - 47,62%) и дистиллированную воду (23,81 - 60,61%), может добавляться в сырье и полуфабрикаты на технологических стадиях производства хлебобулочных, мясных, колбасных, молочных, овощных и других сложных продуктов питания.

Биологически активная добавка «Фитойод» так имеет ряд недостатков:

·        отсутствие ингредиентов, обеспечивающих суспендирование минеральных включений в объеме жидкого продукта;

·        относительно узкий спектр биологических эффектов пектина, относящегося к полисахаридам растительного генеза.

Йодистый калий по ГОСТ 4232-74 применяется при недостатке йода в организме, для профилактики радиационного заражения, при лечении увеличения щитовидной железы, связанного с дефицитом йода. В пищевой промышленности используется для получения йодированной соли и при производстве йодированного хлеба и других продуктов питания. Недостатком йодистого калия является то, что он содержит йод в неорганической форме, которая крайне неустойчива в окружающей среде и способствует развитию зобных трансформаций.

Влияние на витаминный состав хлеба.

Приведены данные исследования содержания витаминов в пшеничном хлебе из муки первого сорта, обогащенном различными формами йода, в частности неорганическим (йодид калия) и органически связанным («Йодхитозан», «Йодказеин» и «Фитойод») (таблица 3).

Таблица 3 - Содержание витаминов в хлебе, обогащенном неорганическими и органически связанными формами йода

Наименование

Контроль

«Йодхитозан»

«Йодказеин»

«Фитойод»

Йодид калия

Содержание витаминов, мг/100 г

Ниацин (РР)

1,45±0,028

1,44±0,046

1,45±0,070

1,43±0,034

1,44±0,025

Рибофлавин (В2)

0,07±0,05

0,06±0,003

0,06±0,002

0,05±0,002

0,04±0,001

Тиамин (В1)

0,18±0,011

0,17±0,009

0,16±0,004

0,14±0,0037

0,15±0,0028

Различие с контролем, %

Ниацин (РР)

100%

-0,7

+2,8

-1,4

-0,9

Рибофлавин (В2)

100%

-14,2

-14,2

-28,6

-42,8

Тиамин (В1)

100%

-5,5

-11,1

-22,2

-16,6


Как видно из данных таблицы 3, йодид калия и «Фитойод» наиболее сильно снижают содержание витаминов РР, В1 и В2. «Йодхитозан» меньше индуцирует трансформацию витаминов по сравнению с йодированным белком.

Таким образом, эти данные позволяют выявить технологическое преимущество исследуемой добавки по сравнению с аналогами.

Влияние на трансформацию аминокислот.

Данные по содержанию аминокислот в хлебе, обогащенном различными формами йода, приведены в таблице 4.

Таблица 4 - Содержание аминокислот в йодированных сортах хлеба, мг %

Наименование

Контроль

«Йодхитозан»

«Йодказеин»

«Фитойод»

Йодид калия

Незаменимые аминокислоты, мг%, в том числе:

Σ 2407

Σ 2379

Σ 2335

Σ 2324

Валин

251

249

250

245

244

Изолейцин

401

397

398

396

395

Метионин+Цистеин

365

361

360

355

353

Треонин

295

290

291

285

284

Триптофан

71

68

69

63

62

Фенилаланин+ Тирозин

348

345

344

337

334

Лизин

191

188

186

181

180

Лейцин

485

481

482

473

470

Заменимые аминокислоты, мг%, в том числе:

Σ 4822

Σ 4788

Σ 4790

Σ 4746

Σ 4729

Аланин

245

240

241

235

233

Аргинин

270

265

267

261

259

Аспарагиновая кислота

300

297

295

290

291

Гистидин

171

168

167

160

155

Глутаминовая кислота

2305

2300

2301

2295

2291

Глицин

271

268

267

263

264

Пролин

1025

1020

1021

1015

1011

Серин

235

230

231

227

225

Общее количество аминокислот, мг%

Σ 7229

Σ 7167

Σ 7170

Σ 7081

Σ 7053


В хлебе, обогащенном «Йодхитозаном», сумма незаменимым аминокислот составила 2379 мг%, что на 1,1 ниже относительно аналогичных значений контроля. Это же значение хлеба, обогащенного «Йодказеином» отличается от такого для «Йодхитозана» на сотые доли единицы. Относительно низкий уровень незаменимых аминокислот отмечается в хлебобулочных изделиях, обогащенных «Фитойодом» и неорганической формой йода (йодид калия): содержание НАК составило соответственно 2335 и 2324 мг% - снижение на 3,0 и 3,4%.

Результаты расчета аминокислотного скора (АКС) и биологической ценности хлеба приведены в таблице 5.

Таблица 5 - Аминокислотный скор разных сортов йодобогащенного хлеба


Идеальный Белок ФАО /ВОЗ

Контроль/ скор, %

«Йодхитозан»/скор, %

«Йодказеин»/скор, %

«Фитойод» /скор, %

Йодид калия/ скор, %

Валин

50

38,6/77,2

38,3/76,6

38,5/76,9

37,6/75,3

37,5/75,0

Изолейцин

40

61,7/154,2

61,0/152,7

61,2/153,0

60,9/152,3

60,7/151,9

Метионин+ Цистеин

35

56,1/160,4

55,5/158,6

55,3/158,2

54,6/156,0

54,3/155,1

Треонин

40

45,3/113,4

44,6/111,5

44,7/111,9

43,8/109,6

43,6/109,2

Триптофан

10

10,9/109,0

10,4/104,0

10,6/106,0

9,7/97,0

9,5/95,0

Фенилаланин+ Тирозин

60

53,5/89,1

53,0/88,0

52,9/88,0

51,8/86,0

51,3/85,0

Лизин

55

29,3/53,0

28,9/52,0

28,6/52,0

27,8/50,6

27,7/50,3

Лейцин

70

74,6/106,6

74,0/105,7

74,1/105,9

72,7/103,9

72,3/103,2


Из данных, представленных в таблице 5, видно, что во всех исследованных образцах лимитирующей аминокислотой является лизин, что характерно для хлебобулочных изделий.

При этом в хлебе, обогащенном «Йодхитозан» и «Йодказеин», содержание его ниже на 1,0% относительно контроля, а в хлебопродуктах, обогащенных «Фитойодом» и йодидом калия на 2,4 и 2,7% соответственно.

Таким образом, приведенные выше данные также позволяют выявить технологические преимущества органически связанных форм йода, в частности «Йодхитозана».

Влияние на органолептические свойства хлеба

Органолептические и физико-химические показатели качества готовой продукции приведены в таблице 6.

Таблица 6 - Органолептические и физико-химические показатели качества готовой продукции

Показатели качества хлеба

Ближайший аналог

«Йодхитозан»

Внешний вид

Форма

Правильная, соответствует форме в которой производилась выпечка


Поверхность

Без трещин и подрывов


Цвет

Светло-желтый

Состояние мякиша

Пропеченность

Пропеченный, не влажный на ощупь


Пористость

Мелкая, равномерная, развитая

Мелкая, равномерная, сильноразвитая

Вкус

Хлебный, свойственный данному виду изделий, без постороннего привкуса

Запах

Хлебный, свойственный данному виду изделий, без постороннего привкуса

Пористость, %

73

77

Кислотность, град

2,7

2,3

Удельный объем, см3/100г

270

300

Содержание йода, мкг/100г

13,3

11


Пшеничный хлеб с использованием «Йодхитозана» за счет антимикробного действия хитозана имеют замедленную скорость черствения и повышенный срок хранения. Внесение добавки в хлеб улучшает их традиционные показатели качества, придают функциональные свойства, повышают пищевую ценность.

Гигиенические характеристики добавки.

Гигиенические характеристики йодхитозана представлены в таблице 7.

Таблица 7 - Гигиенические характеристики

Биологически активные вещества, %, не менее:


йод

2 - 2,5

хитозан

59,5

Токсичные элементы, мг/кг, не более:


свинец

1,0

кадмий

0,1

мышьяк

0,2

ртуть

0,03

Пестициды, мг/кг, не более:


ГХЦГ (сумма изомеров)

0,5

ДДТ и его метаболиты

0,02

гептахлор

не допускается

алдрин

не допускается

Микробиологические показатели:


КМАФАнМ, КОЕ/г, не более

50 000

БКГП (колиформы) в 0,1 г

не допускается

E. coli в 0,1г

не допускается

патогенные микроорганизмы, в том числе сальмонеллы, в 25,0 г

не допускается

дрожжи плесени, КОЕ/г, не более

100


.5 Йод в организме человека

Йод - химический элемент VII группы периодической системы Д.И.Менделеева, относящийся к галогенам.

Йод относится к группе веществ, которые постоянно содержатся в живых организмах, включаются в обмен веществ, входят в состав биологически активных соединений и являются незаменимыми.

Особое значение йода заключается в том, что он является неотъемлемым компонентом гормонов щитовидной железы - одной из важнейших желез эндокринной системы.

Основным источником поступления йода в организм являются пища и вода, которые потребляются человеком. Также поступление йода происходит и через легкие, что особенно важно в прибрежных морских районах. Малые количества йода попадают через кожу.

Как было сказано выше, йод поступает в организм через пищеварительный тракт. Неорганические соединения йода (йодиды) всасываются практически по всей длине желудочно-кишечного тракта, но наиболее интенсивно в тонком кишечнике. Процесс всасывания идет быстро, в течение получаса. Йодиды непрерывно покидают организм в основном через почки с мочой (до 90%). Небольшое количество выделяется с калом и совсем незначительное количество может выделяться с потом, слюной, желчью и через дыхательные пути.

Органически связанный йод, поступая через пищеварительный тракт в печень, под действием ферментов отщепляется и используется для синтеза гормонов щитовидной железы. В отличие от йодид-ионов механизм регулирования органического йода, поступающего извне, контролируется через систему гомеостаза, и его расщепление идет строго индивидуально: организм получает столько йода, сколько ему нужно. Излишний органический йод естественным образом выводится из организма, поэтому не наблюдается накопления йода и соответствующих негативных последствий.

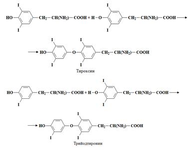
Образование тиреоидных гормонов.

К тиреоидным гормонам относятся тетрайодтиронин или тироксин и трийодтиронин, которые продуцируются щитовидной железой:

Тироксин Т4

Трийодтиронин Т3

Щитовидная железа является самой крупной эндокринной железой человеческого организма, имеющей только внутрисекреторную функцию. Ее масса у взрослого человека составляет около 15 - 20 г. Щитовидная железа состоит из двух долей и перешейка, располагающихся на передней поверхности трахеи и по ее бокам. Иногда от перешейка отходит дополнительная пирамидальная доля. ЩЖ развивается из выпячивания середины дна первичной глотки. Ее закладка происходит на 15 неделе внутриутробного развития, к 18-20 неделе она начинает продуцировать тиреоидные гормоны.

Щитовидная железа состоит из клеток двух разных видов: фолликулярных и парафолликулярных (С-клетки). Фолликулярные клетки, продуцирующие тироксин (Т4) и трийодтиронин (ТЗ), формируют в железе многочисленные фолликулы, каждый из которых состоит из центральной полости, заполненной коллоидом, главной составляющей которого является белок тиреоглобулин, окруженной одним слоем кубовидных эпителиальных клеток. Парафолликулярные клетки продуцируют белковый гормон кальцитонин.

Особенностью тиреоидных гормонов является то, что для их биосинтеза необходим йод. Схема биосинтеза тироксина и трийодтиронина представлена на рисунке 10.

Йод, практически полностью всасываясь в кишечнике, в ионизированной форме поступает в плазму крови, откуда по механизму активного транспорта через I--насос поступает в клетки щитовидной железы. Перенос йода внутрь тироцита энергозависим и его активность напрямую связана с активностью Na+,K+-АТФ-азой.

Еще одним необходимым компонентом для биосинтеза Т4 и Т3 является белок тиреоглобулин.

Рисунок 10 - Механизм синтеза тироксина и трийодтиронина

Тиреоглобулин синтезируется на рибосомах шероховатой ЭПС после чего идет в аппарат Гольджи, где гликозидируется. Затем по принципу экзоцитоза он секретируется в фолликулярное пространство. Туда же переносятся I- посредством диффузии и пероксид водорода, который образуется в клетке при восстановлении кислорода:

О2 + НАДФН + Н+ Н2О2 + НАДФ+

Затем в фолликулярном пространстве под действием тиреопероксидазы ион йода окисляется, после чего подвергается органификации, присоединяясь к остаткам тирозина тиреоглобулина:


Далее тиреоглобулин изменяет свою модификацию таким образом, что тирозильные остатки сближаются друг с другом, облегчая реакцию конденсации ДИТ и МИТ с образованием фрагмента трийодтиронина (Т3) или конденсацию ДИТ и ДИТ с образованием тироксина (Т4). В настоящее время конденсирующий фермент не установлен, но предполагается, что реакция конденсации осуществляется под действием тиреопероксидазы:


Далее йодированный глобулин по принципу эндоцитоза транспортируется через апикальную мембрану в фолликулярную клетку, после чего эндосома сливается с лизосомами клетки во вторичную лизосому и под действием гидролитических ферментов от белка отделяется Т3 и Т4, которые выделяются в кровь. Оставшиеся в клетке ДИТ и МИТ под действием дейодиназ дейодизируются, а белок расщепляется до аминокислот.

Попав в кровь, Т3 и Т4 разносятся по организму в основном в связанном виде (только 0,03% Т4 и 0,3% Т3 находятся в свободном состоянии) с белками плазмы - тироксинсвязывающим глобулином и преальбумином (транстиретином). Период полужизни для Т4 равно 7 - 9 дней, а для Т3 - 2 дня.

Свободные йодтиронины относительно легко проникают сквозь мембрану клеток и только они обладают гормональной активностью. Внутриклеточные эффекты тиреоидных гормонов тесно связанны с процессами их метаболизма. Самым важным является превращение Т4 в Т3, так как с рецепторами тиреоидных гормонов непосредственно взаимодействует преимущественно Т3. Лишь 5 - 10% циркулирующего в крови трийодтиронина синтезируется щитовидной железой, его большая часть образуется в результате дейодирования тироксина в периферических тканях. Конверсия Т4 в Т3 катализируется различными дейодиназами, обладающими тканевой специфичностью.

Главными физиологическими эффектами тиреоидных гормонов является регуляция и поддержание основного обмена:

.        Тиреоидные гормоны участвуют в росте, развитии и дифференцировке клеток. Они воздействуют на специфические ядерные рецепторы, вызывая усиление синтеза нуклеиновых кислот и соответственно белков. Эта роль особенно важна в раннем возрасте, так как известно, что рост и развитие клеток центральной нервной системы и клеток мозга продолжается до 1 - 1,5 лет. В этом возрасте дефицит тиреоидных гормонов приводит к значительным неврологическим нарушениям, следствием которых может быть умственная отсталость вплоть до кретинизма.

2.      Тиреоидные гормоны участвуют в регуляции энергетического обмена. Они обеспечивают равновесие между количествами синтезируемого и расходуемого АТФ. Клинически это проявляется в хорошем снабжении всех тканей кислородом и в нормальной температуре тела.

Тиреоидные гормоны оказывают влияние на фермент Na+,K+-АТФ-азу. Его работа заключается в поддерживании необходимого значения трансмембранного потенциала и возвращении клеток в состояние покоя. При функционировании Na+,K+-АТФ-азы образуется большое количество АДФ, который является активатором цепи переноса электронов, и только при наличии АДФ запускается АТФ-синтаза. Тиреоидные гормоны через увеличение количества АДФ усиливают биосинтез АТФ. Так как для функционирования цепи переноса электронов требуется кислород и восстановительные эквиваленты, поэтому тиреоидные гормоны усиливают снабжение клеток кислородом и стимулируют все обменные процессы.

Йоддефицитные заболевания

К йоддефицитным заболеваниям относятся все патологические состояния, развивающиеся вследствие йодного дефицита, которые могут быть предотвращены при нормализации потребления йода (таблица 8). Таким образом, заболевания щитовидной железы - это не единственное и не самое тяжелое следствие дефицита йода.

Таблица 8 - Йоддефицитные патологии

Внутриутробный период

Аборты Мертворождение  Врожденные аномалии  Повышение перинатальной смертности  Повышение детской смертности  Неврологический кретинизм: · умственная отсталость; · глухонемота; · косоглазие. Микседематозный кретинизм (гипотиреоз, карликовость): · умственная отсталость; · низкорослость; · гипотиреоз. Психомоторные нарушения

Новорожденные

Неонатальный гипотиреоз

Дети и подростки

Нарушения умственного и физического развития

Взрослые

Зоб и его осложнения  Йодиндуцированный тиреотоксикоз

Все возрасты

Зоб Гипотиреоз Нарушения когнитивной функции Повышение поглощения радиоактивного йода при ядерных катастрофах


Диффузный эутиреоидный зоб.

Зоб, выявляемый в регионах йодного дефицита, обозначают как эндемический зоб. Также образование эндемического зоба может быть связано с действием других зобогенных факторов (флавоноиды, тиоцианаты), но достаточно редко.

При снижении содержания йода в клетках щитовидной железы в них снижается содержание йода в клетках щитовидной железы, в них снижается содержание йодированных липидов, таких как йодлактоны. Эти соединения оказывают блокирующее влияние на продукцию местных тканевых факторов роста. В результате при йодном дефиците происходит интенсификация продукции этих веществ тироцитами, следствием которой является их гиперплазия. Дополнительное влияние оказывает стимуляция ТТГ, которая возрастает при тенденции к снижению уровня тиреоидных гормонов крови. Клинические проявления, как правило, отсутствуют за исключением редких случаев значительного увеличения щитовидной железы с компрессионным синдромом. Однако недостаток тиреоидных гормонов проявляется в замедлении обмена веществ, следствием которого является полнота, пониженная температура тела, нетерпимость холода, слизистый отек.

Лечение эндемического зоба показано молодым пациентам, для лиц же пожилого возраста это не всегда требует терапии. В регионах эндемичных по дефициту йода принято назначать препараты йода в физиологических дозах. Обычно в пределах полугода объем щитовидной железы и выработка гормонов приходит в норму.

Йодиндуцированный тиреотоксикоз.

Йодиндуцированный тиреотоксикоз является расстройством, проявляющимся при увеличении потребления йода людьми (главным образом пожилыми), испытывающими резкую нехватку йода, даже если увеличенный объем потребления не выходит за рамки физиологической дозы.

Йодиндуцированный тиреотоксикоз возникает только на фоне патологически измененной щитовидной железы, например, у людей, живущих в йоддефицитных районах, особенно у пожилых людей и лиц с узловыми образованиями в щитовидной железе увеличение среднего потребления йода может вызвать развитие тиреотоксикоза. В данном случае источником йодиндуцированного тиреотоксикоза являются автономные узлы, начинающие продуцировать большее количество тиреоидных гормонов в ответ на увеличивающееся поглощение йода. Лица, не имеющие патологии щитовидной железы в анамнезе, как правило, сохраняют толерантность к приему больших доз йода.

Диагностика и лечение йодиндуцированного тиреотоксикоза существенно не отличается от общих принципов диагностики и лечения тиреотоксикоза. Вместе с тем, его лечение может представлять определенные трудности. Часто прием тиреостатических препаратов оказывается малоэффективным и после отмены препаратов быстро развиваются рецидивы тиреотоксикоза. В целом, для лечения йодиндуцированного тиреотоксикоза более предпочтительны радикальные методы лечения: хирургический и с использованием радиоактивного йода. Терапия йодиндуцированного тиреотоксикоза радиоактивным йодом у пожилых больных является более предпочтительным методом лечения, но в нашей стране этот вид лечения малодоступен. Кроме того, повышенное потребление йода снижает поглощение терапевтических доз радиоактивного йода щитовидной железой. В связи с этим, на практике, больным йодиндуцированным тиреотоксикозом рекомендуется хирургическое лечение.

Вместе с тем, количество случаев йодиндуцированного тиреотоксикоза можно снизить благодаря эффективному мониторингу программ йодной профилактики. Если йодная профилактика осуществляется посредством всеобщего йодирования соли необходимо контролировать качество йодирования соли и среднее потребление соли на душу населения. Для выявления йодиндуцированного тиреотоксикоза необходимо следить за регистрацией всех случаев тиреотоксикоза в амбулаторных и стационарных учреждениях. Кроме того, необходимо повышать уровень знаний врачей и медицинских работников. Меры, направленные на раннее выявление и профилактику йодиндуцированного тиреотоксикоза, представлены в рекомендациях экспертов ВОЗ и ЮНИСЕФ.

.6 Характеристика сырья

Для производства пшеничного хлеба с добавкой йодхитозана используют следующее сырье:

·        мука пшеничная хлебопекарная первый сорт;

·        вода питьевая;

·        соль поваренная пищевая;

·        дрожжи хлебопекарные прессованные.

Мука.

Для производства изделия используют муку пшеничную первого сорта по ГОСТ Р 52189-2003.

По органолептическим и физико-химическим показателям пшеничная мука должна соответствовать общим техническим требованиям, указанным в таблице 9

Таблица 9 - Показатели качества пшеничной муки

Наименование показателя

Характеристика и норма для пшеничной муки

Вкус

Свойственный пшеничной муке, без посторонних привкусов, не кислый, не горький

Цвет

Белый или белый с желтоватым оттенком

Белизна, условных единиц прибора РЗ-БПЛ, не менее

36,0

Запах

Свойственный пшеничной муке, без посторонних запахов, не затхлый, не плесневый

Клейковина сырая: количество, %, не менее качество

30,0 Не ниже второй группы

Массовая доля влаги, %, не более 15,0

15,0

Массовая доля золы в пересчете на сухое вещество, %, не более

0,75

Наличие минеральной примеси

При разжевывании муки не должно ощущаться хруста

Металпомагнитная примесь, мг в 1 кг 3,0 муки; размером отдельных частиц в наибольшем линейном измерении 0,3 мм и (или) массой не более 0,4 мг, не более

3,0

Зараженность вредителями

Не допускается

Загрязненность вредителям

Не допускается


Вода.

При производстве готового продукта используется вода питьевая, качество которой соответствует СанПин 2.1.4. 1074-01.

Питьевая вода должна быть безопасна в эпидемическом и радиационном отношении, безвредна по химическому составу и иметь благоприятные органолептические свойства.

Безопасность питьевой воды в эпидемическом отношении определяется ее соответствием нормативам по микробиологическим и паразитологическим показателям, представленным в таблице 10.

Таблица 10 - Нормативы по микробиологическим и паразитологическим показателям питьевой воды

Показатели

Единицы измерения

Нормативы

Термотолерантные колиформные бактерии

Число бактерий в 100 мл

Общие колиформные бактерии

Число бактерий в 100 мл

Отсутствие

Общее микробное число

Число образующих колонии бактерий в 1 мл

Не более 50

Колифаги

Число бляшкообразующих единиц (БОЕ) в 100 мл

Отсутствие

Споры сульфитредуцирующих клостридий

Число спор в 20 мл

Отсутствие

Цисты лямблий

Число цист в 50 л

Отсутствие


По химическому составу питьевая вода должна соответствовать нормативам, представленным в таблицах 11 и 12.

Таблица 11 - Качество воды по обобщенным показателям и содержанию вредных химических веществ

Показатели

Единицы измерения

Нормативы (предельно допустимые концентрации) (ПДК), не более

Показатель вредности

Класс опасности

Обобщенные показатели

Водородный показатель

единицы рН

в пределах 6-9

-

-

Общая минерализация (сухой остаток)

мг/л

1000 (1500)

-

-

Жесткость общая

мг-экв./л

7,0 (10)

-

-

Окисляемость перманганатная

мг/л

5,0

-

-

Нефтепродукты, суммарно

мг/л

0,1

-

-

Поверхностно-активные вещества (ПАВ), анионоактивные

мг/л

0,5

-

-

Фенольный индекс

мг/л

0,25

-

-

Неорганические вещества





Алюминий (Al3+)

мг/л

0,5

с.-т.

2

Барий (Ва2+)

-//-

0,1

-//-

2

Бериллий (Ве2+)

-//-

0,0002

-//-

1

Бор (В, суммарно)

-//-

0,5

-//-

2

Железо (Fe, суммарно)

-//-

0,3 (1,0)

орг.

3

Кадмий (Cd, суммарно)

-//-

0,001

с.-т.

2

Марганец (Мn, суммарно)

-//-

0,1 (0,5)

орг.

3

Медь (Сu, суммарно)

-//-

1,0

-"-

3

Молибден (Мо, суммарно)

-//-

0,25

с.-т.

2

Мышьяк (As, суммарно)

-//-

0,05

с.-т.

2

Никель (Ni, суммарно)

мг/л

0,1

с.-т.

3

Нитраты (по NО3-)

-//-

45

с.-т.

3

Ртуть (Hg, суммарно)

-//-

0,0005

с.-т.

1

Свинец (Рb, суммарно)

-//-

0,03

-//-

2

Селен (Se, суммарно)

-//-

0,01

-//-

2

Стронций (Sr2+)

-//-

7,0

-//-

2

Сульфаты (SO)

-//-

500

орг.

4

Фториды (F-)

-//-

-

-

-

Для климатических районов

- I и II

-//-

1,5

с.-т.

2

- III

-//-

1,2

-//-

2

Хлориды (Сl-)

-//-

350

орг.

4

Хром (Cr6+)

-//-

0,05

с.-т.

3

Цианиды (CN-)

-//-

0,035

-//-

2

Цинк (Zn2+)

-//-

5,0

орг.

3

Органические вещества

g-ГХЦГ(линдан)

-//-

0,0023)

с.-т.

1

ДДТ (сумма изомеров)

-//-

0,0023)

11

2

2,4-Д

-//-

0,033)

11

2


Таблица 12 - Качество воды по содержанию вредных химических веществ, поступающих и образующихся в воде в процессе ее обработки

Показатели

Единицы измерения

Нормативы (предельно допустимые концентрации) (ПДК), не более

Показатель вредности

Класс опасности

Хлор





остаточный свободный

мг/л

в пределах 0,3 - 0,5

орг.

3

остаточный связанный

-//-

в пределах 0,8 - 1,2

-//-

3

Хлороформ (при хлорировании воды)

-//-

0,2

с.-т.

2

Озон остаточный

-//-

0,3

орг.


Формальдегид (при озонировании воды)

-//-

0,05

с.-т.

2

Полиакриламид

-//-

2,0

-//-

2

Активированная кремнекислота (по Si)

-//-

10

-//-

2

Полифосфаты (по РО)

-//-

3,5

орг.

3


Органолептические свойства воды должны соответствовать нормативам, указанным в таблице 13. Также не допускается присутствие в питьевой воде различных невооруженным глазом видных организмов и поверхностной пленки.

Таблица 13 - Органолептические показатели качества воды

Показатели

Единицы измерения

Нормативы, не более

Запах

Баллы

2

Привкус

-//-

2

Цветность

Градусы

20

Мутность

ЕМФ (единицы мутности по формазину) или мг/л (по каолину)

2,6 1,5


Радиационная безопасность питьевой воды определяется ее соответствием нормативам по показателям общей a- и b- активности, представленным в таблице 14.

Таблица 14 - Показатели радиационной активности питьевой воды

Показатели

Единицы измерения

Нормативы

Показатель вредности

Общая a-радиоактивность

Бк/л

0,1

радиац.

Общая b-радиоактивность

Бк/л

1,0

-


Соль.

Пищевую поваренную соль по качеству делят на экстра, высшего, первого и второго сортов. В хлебопекарном производстве обычно применяют молотую соль первого сорта.

Органолептические показатели пищевой поваренной соли должны соответствовать требованиям, указанным в таблице 15.

Таблица 15 - Органолептические показатели качества соли первого сорта

Показатель

Характеристика

Внешний вид

Кристаллический сыпучий продукт. Не допускается наличие посторонних механических примесей, не связанных с происхождением и способом производства соли

Вкус

Соленый, без постороннего привкуса

Цвет

Белый или серый с оттенками в зависимости от происхождения и способа производства соли

Запах

Без посторонних запахов


В соли первого сорта допускается наличие темных частиц в пределах содержания нерастворимого в воде остатка и оксида железа.

Физико-химические показатели пищевой поваренной соли первого сорта должны соответствовать нормам, указанным в таблице 16.

Таблица 16 - Физико-химические показатели пищевой поваренной соли

Наименование показателя

Норма в пересчете на сухое вещество

Массовая доля хлористого натрия, %, не менее

97,7

Массовая доля кальций-иона, %, не более

0,50

Массовая доля магний-иона, %, не более

0,10

Массовая доля сульфат-иона, %, не более

1,20

Массовая доля оксида железа (III), %, не более

0,10

Массовая доля не растворимого в воде остатка, %, не более

0,45


Содержание токсичных элементов и радионуклидов в пищевой поваренной соли не должно превышать допустимые уровни, установленные гигиеническими требованиями к качеству и безопасности продовольственного сырья и пищевых продуктов.

Дрожжи.

При производстве готового изделия используются дрожжи хлебопекарные прессованные по ГОСТ Р 54731-2011.

По органолептическим показателям хлебопекарные прессованные дрожжи должны соответствовать требованиям, указанным в таблице 17.

Таблица 17 - Органолептическим показателям прессованных дрожжей

Наименование показателя

Характеристика

Цвет

Равномерный, без пятен, светлый, допускается сероватый или кремоватый оттенок

Консистенция

Плотная, дрожжи должны легко ломаться и не мазаться

Запах

Свойственный дрожжам, не допускается запах плесени и другие посторонние запахи

Вкус

Свойственный дрожжам, без постороннего привкуса


По физико-химическим показателям дрожжи хлебопекарные прессованные должны соответствовать требованиям, указанным в таблице 18.

Таблица 18 - Физико-химические показатели дрожжей

Наименование показателя

Норма

Влажность в день выработки, %, не более

75

Подъемная сила (подъем теста до 70 мм), мин, не более

70

Кислотность 100 г дрожжей в пересчете на уксусную кислоту в день выработки, мг, не более

120

Кислотность 100 г дрожжей в пересчете на уксусную кислоту на 12-е сутки хранения при температуре от 0 до 4˚С, мг, не более

300

Стойкость, ч, не менее: Для дрожжей, вырабатываемых специализированными заводами Для дрожжей, вырабатываемых спиртовыми заводами

 60 48


.7 Характеристика готового продукта

Пшеничный хлеб с добавкой йодхитозана изготавливают в соответствии с ТУ 9110-003-82045908-10.

Корка готового изделия выпуклой формы, гладкая, равномерно окрашенная, светло-коричневого цвета. Ее толщина составляет 2,5 мм. Поры тонкостенные, мелкие, распределены равномерно. Масса готового изделия составляет 0,3 кг (20).

Характеристика готового изделия представлена в таблице 19.

Таблица 19 - Органолептические и физико-химические показатели готового изделия

Показатель

Характеристика

Внешний вид:


форма

соответствующая хлебной форме, в которой производилась выпечка, без боковых выплывов

цвет

от светло-желтого до коричневого

поверхность

гладкая, без крупных трещин и подрывов, допускается наличие шва от делителя-укладчика

Состояние мякиша:


пропеченность

пропеченный, не влажный на ощупь; эластичный, после легкого надавливания пальцами мякиш должен принимать первоначальную форму

без комочков и следов непромеса

пористость

развитая, без пустот и уплотнений; не допускается отслоение корки от мякиша

Вкус

свойственный данному виду изделия, без постороннего привкуса

Запах

свойственный данному виду изделия, без постороннего запаха

Влажность мякиша, %, не более

45,0

Кислотность мякиша, град, не более

3,0

Пористость мякиша, %, не менее

70,0


3. Технологическая часть

.1 Выбор способа производства

Основными способами приготовления пшеничного теста являются опарный и безопарный. Опарный способ предусматривает приготовление теста в две фазы: первая - приготовление опары и вторая - приготовление теста. Для приготовления опары обычно используют около половины общего количества муки, до двух третей воды и все количество дрожжей, предназначенное для приготовления теста. По консистенции опара жиже теста. Ее начальная температура от 28 до 32˚С; длительность брожения колеблется от 3 до 4,5 часов. Затем на готовой опаре замешивают тесто. При замесе теста в опару вносят остальную часть муки и воды и соль. Пшеничное тесто также готовят на жидкой, густой и большой густой опарах. Безопарный способ - однофазный, он предусматривает внесение при замесе теста всего количества муки, воды, соли и дрожжей, предназначенного для приготовления данной порции теста. Начальная температура безопарного теста может быть в пределах 28 - 30˚С. Длительность брожения в зависимости от количества дрожжей может колебаться от 2 до 4 часов. Безопарный способ рекомендуется при производстве изделий из пшеничной муки первого и высшего сортов. Тесто для булочных и сдобных изделий безопарным способом готовят как непрерывно, так и порционно. Непрерывный способ рекомендуется использовать при выработке булочных изделий, периодический - при выработке булочных и сдобных изделий.

Плюсы опарного способа:

·        большая технологическая гибкость;

·        расход дрожжей в 2 -3 раза ниже, чем в безопарном способе;

·        лучшие структурно-механические свойства теста;

·        более высокое качество готовых изделий.

Плюсы безопарного способа:

·        сокращается цикл приготовления и брожения теста (на 80 - 90%);

·        меньшая потребность в производственных площадях и оборудовании;

·        сокращается расход муки и увеличивается выход изделий (на 2 - 2,5%);

·        повышается производительность труда;

·        облегчается комплексная механизация процесса;

·        улучшаются условия труда.

В конечном итоге, для приготовления йодированного пшеничного хлеба выбирается периодический безопарный способ производства.

.2 Рецептура и технологическая схема производства

Рецептура пшеничного хлеба с добавкой йодхитозана представлена в таблице 20. Технологическая схема производства представлена на рис 11.

Рисунок 11 - Технологическая схема производства пшеничного хлеба

Таблица 20 - Рецептура пшеничного хлеба с добавкой йодхитозана

Наименование сырья

Рецептура на 100 кг муки

Мука пш. 1с, кг

100,0

Вода, л

50 - 53

Дрожжи прессованные, кг

1,7

Солевой р-р пл.1,20, л

5,77

Йодхитозан, кг

0,05


.3 Машинно-аппаратурная схема производства

Машино-аппаратурная схема производства пшеничного хлеба с добавкой йодхитозана.

В тестомесильную машину подаются все необходимые ингредиенты для замеса теста. Мука подается на автоматические весы, с помощью которых отвешивается необходимое количество для замеса теста. Взвешенная мука поступает в тестомесильную машину. Затем из дежи отмеряется необходимое количество воды по рецептуре. В деже находится солевой раствор с растворенным в нем йодхитозаном. В тестомесильную машину одновременно добавляется все сырье по рецептуре и осуществляется замешивание теста. Далее тесто из дежи с помощью дежеопрокидывателя поступает в приемник тестоделительной машины, где происходит разделка теста на куски определенной массы.

Разделанные куски помещаются в формы на расстойку в расстойно-печной агрегат. После расстойки происходит выпекание тестовых заготовок. Далее выпеченные изделия отправляются с помощью конвейера на нарезку и упаковку.

После остывания изделия режутся пополам на хлеборезательной машине, упаковываются на упаковочной машине и укладываются на вагонетку.

3.4 Технологические стадии производства

Подготовка сырья

Подготовка муки для использования в производстве заключается в просеивании, удалении металлопримесей и взвешивании. Просеивание муки проводят с целью удаления посторонних предметов. Также, при просеивании мука разрыхляется, согревается и насыщается воздухом. Для просеивания мука проходит через металлические плетеные сита определенных номеров. Для сортовой муки применяют сито № 1,6. Номера сит установлены с учетом крупности помола муки. Магнитная очистка муки обеспечивается магнитными заграждениями, которые устанавливают в выходных каналах просеивателей.

Соль добавляют в тесто в виде раствора. Насыщенный раствор готовят растворением соли, затем его фильтруют, отстаивают. Перед использованием плотность солевого раствора проверяется. Изменение принятой на производстве плотности солевого раствора (1,20 г/см3) нарушает дозировку соли и требует перерасчета количества этого раствора, подаваемого на замес теста.

Хлебопекарные прессованные дрожжи хранят при температуре 0 - 4˚С. Гарантийный срок их хранения и таких условиях 12 суток.

Приготовление раствора йодхитозана осуществляются в следующей последовательности: в 100 мл солевого раствора, нагретого до температуры 30-40˚С растворяют 5,0 г йодхитозана, периодически перемешивая до полного растворения добавки, поддерживая в течение этого времени температуру раствора на уровне 30-40˚С

Замес теста.

При замесе из муки, воды, соли и дрожжей образуется тесто, однородное по всей массе с определенной структурой и физическими свойствами. Замес теста обеспечивает ему оптимальные свойства для протекания операций деления, формования, расстойки и выпечки и получения хлеба возможно лучшего качества.

С самого начала замеса мука приходит в соприкосновение с водой, дрожжами и солью и в массе образующегося при этом теста начинает происходить ряд процессов. Во время замеса теста наибольшее значение имеют процессы: физико-механические, коллоидные и биохимические. Они происходят при замесе теста одновременно и взаимно влияют друг на друга. Их влияние на реологические свойства теста различно.

Микробиологические процессы, связанные с жизнедеятельностью дрожжей и кислотообразующих бактерий муки, в процессе замеса теста еще не успевают достичь интенсивности, при которой они могли бы играть практически ощутимую роль.

При замесе теста частицы муки адсорбируют воду, сольватируются, в результате чего происходит их набухание. Набухшие частицы муки при механическом воздействии формируют сплошную массу. Нерастворимые в воде проламины и глютелины, образующие клейковину, при замесе связывают воду в 2-2,5 раза больше своей массы.

Набухшие белки в результате механических воздействий отделяются от содержащих их частиц муки в виде эластичных пленок или жгутиков, которые, в свою очередь, «сшиваются» невалентными взаимодействиями и ковалентными связями в трехмерную губчато-сетчатую непрерывную структуру. Эта структура и обусловливает специфические свойства пшеничного теста - растяжимость и упругость. В клейковинную сетку включаются крахмальные зерна и другие не растворимые в воде частицы.

Набухшие, нерастворимые в воде белки, зерна крахмала, частицы оболочек зерна составляют твердую фазу теста. В жидкой фазе находятся водорастворимые минеральные и органические вещества (водорастворимые белки, декстрины, сахара, соли), а также набухшие пентозаны муки. Также в результате гидролитического действия ферментов в тесте происходит гидролиз компонентов муки с образованием веществ, способных переходить в жидкую фазу с соответствующими изменениями реологических свойств теста.

Наряду с твердой и жидкой фазами в тесте имеется газообразная фаза, которая образуется уже при замесе в результате захвата и удержания тестом пузырьков воздуха. Также газообразная фаза появляется во время брожения теста в виде пузырьков углекислого газа, выделяемых дрожжами.

Замес теста осуществляется периодическим способом в тестомесильной машине А2-ХТ-3Б с подкатной дежой. Влажность и температура готового теста должны составлять соответственно 45% и 28 - 29˚С.

Брожение теста.

Брожение теста, начинается с момента замеса теста и продолжается во время его нахождения в емкостях для брожения теста до разделки. Цель брожения - это приведение теста в состояние, при котором оно по газообразуюшей способности и реологическим свойствам будет наилучшим для разделки и выпечки, а также накопление в тесте веществ, обусловливающих вкус и аромат, свойственные хлебу из хорошо выбродившего теста. Не менее важно разрыхление теста углекислым газом для получения хлеба с хорошим пористым мякишем.

Брожение - ряд биохимических процессов, суть которых состоит в том, что под действием ферментов муки, дрожжей и микроорганизмов происходит расщепление составных компонентов муки, прежде всего белков и крахмала. При этом желательна определенная степень протеолиза, так как она ведет к получению достаточно упругого и эластичного теста, обладающего оптимальными свойствами для получения качественного хлеба. Кроме того, продукты разложения белков на стадии выпечки принимают участие в образовании цвета, вкуса и аромата хлеба. При расщеплении крахмала ферментами идет образование мальтозы (5 - 6% к массе муки), которая расходуется на брожение теста и участвует в процессе выпечки, определяя вкус и аромат хлеба.

Интенсивность протекания всех процессов зависит от температуры. Оптимальная температура для спиртового брожения в тесте около 35˚С, а для молочнокислого - 35 - 40˚С, поэтому повышение температуры теста влечет за собой увеличение кислотности. Кроме того, с повышением температуры теста в нем усиливаются биохимические процессы, ослабляется клейковина, увеличивается ее растяжимость и расплываемость. Оптимальная температура брожения теста для пшеничного хлеба 28 - 29˚С.

Для брожения тесто после замеса оставляют в деже тестомесильной машины. Продолжительность брожения составляет 40 - 50 минут до достижения кислотности 3,0 - 3,5 градусов.

Деление теста на куски и формование.

Деление теста производится на тестоделительных машинах. Масса куска теста устанавливается исходя из заданной массы хлебобулочного изделия. При этом учитывают потери в массе куска теста при его выпечке и при остывании и хранении готового хлеба (усыхание). Отклонения массы отдельных кусков теста от установленной должны быть минимальными. Значительные отклонения недопустимы даже при выработке хлеба, продаваемого не штуками, а по массе. Резко разнящиеся по массе куски теста будут расстаиваться и выпекаться с различной скоростью, что неминуемо вызовет заметные различия в качестве хлеба.

Деление теста производится на куски массой 0,7 кг делителем-укладчиком Ш33-ХД-3У.

Расстойка.

При делении теста на куски в нем возникают внутренние напряжения и частично разрушаются отдельные звенья клейковинного структурного каркаса. Для восстановления разрушенный связей и структуры клейковины необходима стадия расстойки. В итоге реологические свойства теста, его структура и газоудерживающая способность улучшаются. Также во время расстойки в куске теста происходит брожение. Выделившийся при этом диоксид углерода разрыхляет тесто, увеличивая его объем. Это приводит к некоторому увеличению объема готовых изделий и улучшению структуры и характера пористости мякиша.

Расстойка должна проводиться в атмосфере воздуха температуры 35 - 40˚С и относительной влажности 75 - 85%. Повышенная температура воздуха ускоряет брожение в расстаивающихся кусках теста. Достаточно высокая относительная влажность необходима для предотвращения образования на поверхности кусков теста высохшей пленки - корочки, которая в процессе расстойки или выпечки обычно разрывается вследствие увеличения объема теста, что приводит к образованию па поверхности хлеба разрывов и трещин.

Готовность кусков теста в процессе расстойки обычно устанавливается органолептически, на основании изменения объема, формы и реологических свойств расстаиваюшихся кусков теста.

Как недостаточная, так и избыточная расстойка отрицательно сказывается на качестве хлеба.

Как было сказано выше расстойка производится в расстойно-печном агрегате ХПА-40 в течение 40 - 50 минут при температуре 35 - 40˚С и относительной влажности 75 - 85%.

Выпечка.

После расстойки тестовые заготовки перемещаются в зону выпечки расстойно-печного агрегата.

Выпечка - это процесс прогрева расстоявшихся тестовых заготовок, при котором происходит их переход из состояния теста в состояние хлеба. Эти изменения являются результатом комплекса физических, биохимических, микробиологических и коллоидно-химических процессов.

Прогревание выпекаемой тестовой заготовки происходит постепенно от наружных слоев к центру. В результате температура отдельных слоев изменяется неодинаково. Во внешних слоях вскоре после начала выпечки жизнедеятельность бродильной микрофлоры приостанавливается, а в центральной части необходимые условия для снижения активности микроорганизмов еще не достигнуты. По мере прогревания выпекаемой тестовой заготовки при температуре 35 - 40˚С в ней усиливается жизнедеятельность микроорганизмов (дрожжей, молочнокислых бактерий), протекает также активно протеолиз папаином, пепсином и трипсином, активны и амилолитические ферменты. При повышении температуры центральных слоев выпекаемой тестовой заготовки от 30 до 96˚С процессы брожения постепенно прекращаются.

Увеличение температуры приводит и к изменению состояния клейковинного и углеводно-амилазного комплекса. Изменение температуры выпекаемой тестовой заготовки от 30˚С и выше снижает способность клейковины к набуханию, а при повышении температуры до 60 - 70˚С белки клейковинного комплекса денатурируют, агрегатируются, при этом высвобождается вода, поглощенная при набухании во время замеса. Она переходит к клейстеризующемуся крахмалу, то есть одновременно протекают и процессы термической денатурации белков и клейстеризация крахмала. Именно процессы денатурации и коагуляции белков клейковины, деполимеризации и клейстеризации крахмала обусловливают переход теста в состояние мякиша.

Еще одним важным фактором при формировании мякиша является перемещение влаги в выпекаемой тестовой заготовке. Влажность мякиша хлеба в конце выпечки по сравнению с исходной влажностью тестовой заготовки повышается примерно на 2%, при перемещении воды от внешних слоев к центру. В неувлажненной атмосфере пекарной камеры, имеющей температуру 250˚С, поверхностный слой выпекаемой тестовой заготовки интенсивно прогревается, теряя при этом влагу.

Через 1 - 2 минуты поверхностный слой теряет почти всю влагу и достигает равновесной влажности, которая зависит от относительной влажности и температуры пекарной камеры. При достижении равновесной влажности происходит интенсивное испарение воды с поверхности, поверхностный слой быстро прогревается выше 100˚С и на поверхности формируется пористая корка.

Пары воды, образующиеся при испарении, в основном проходят через поры обезвоженной корки в пекарную камеру и частично в поры слоев теста образующегося мякиша, примыкающих к корке. В результате создается так называемая зона испарения воды. По мере нагрева выпекаемой тестовой заготовки зона испарения постепенно будет углубляться. Внешние слои этой зоны испарения обезвоживаются и при достижении равновесной влажности переходят в корку. Пары воды, диффундируя из зоны испарения во внутренние слои мякиша, конденсируются. Влажность центральных слоев выпекаемой заготовки повышается. Влажность центра мякиша нарастает медленнее всего, и ее конечная величина может быть ниже конечной влажности слоев, прилегающих к центру мякиша.

При прогреве слоев теста до 79˚С содержащийся в них этанол начинает переходить в парообразное состояние с последующим термическим расширением паров, которое сопровождается увеличением давления в порах, что может вызвать разрыв стенок пор тестовой заготовки, и газы будут проникать в соседние поры или улетучиваться.

Происходит сложный процесс формообразования: увеличения объема, обычно интенсивное увеличение высоты и менее интенсивное увеличение ширины и длины тестовой заготовки.

При выпечке хлеба, с образованием хлебной корки происходит окончательное формирование его цвета, вкуса и аромата. Некоторые ароматобразующие и вкусовые вещества хлеба и теста представлены в таблице 21.

Таблица 21 - Ароматобразующие и вкусовые вещества хлеба и теста

Наименование класса

Состав идентифицированных веществ

Альдегиды

Формальдегид, ацетальдегид, пропаналь, бутаналь, изобутаналь. пентаналь, гексаналь, гептаналь, октаналь

Кетоны

Ацетон, 2-бутанон, 2-пропанон, 2-пентанон, диацетил, метилглиоксаль

Кислоты

Муравьиная, уксусная, пропионовая, масляная, валериановая, капроновая, гептановая, каприловая, лауриновая, молочная, винная, оксикоричная

Спирты

Этанол, пропанол, бутанол, гексанол, пептанол, изобутанол, октанол

Эфиры

Этилформиат, этилацетат, этилкапринат, этилпальмитат, этиллактат, этилпируват, этиллевулинат

Гетероцикличскне углеводы

Фуран, 2-метилфуран, пентилфуран, пиррол, индол, пиридин, 1-метилпиррол, 4-этилппридин, пиразин

Серосодержащие соединения

Сероводород, метилмеркаптан, диметилсульфид, метиональ, диметилдисульфид, 2-ацетилтиофен

Лактоны

γ-бутиролактон, γ-валеролактон, γ-капролактон

Фенолы

Фенол, крезол, этилфенол, 2-метоксифенол

Амины

Первичные, вторичные, третичные, гетероциклические амины


Под действием высоких температур, влажности, других факторов редуцирующие углеводы участвуют в сложных реакциях неферментативного характера, вызывающих образование аромато- и цветообразующих веществ. Эти реакции, сопровождающиеся всегда потемнением продуктов, получили название реакций меланоидинообразования. Совокупность процессов, протекающих при меланоидинообразовании, определяют как реакцию Майяра. Собственно же реакцией Майяра является лишь первая стадия получения меланоидиновых пигментов - взаимодействие редуцирующего углевода с аминогруппой аминокислоты (белка, пептида).

В результате целой совокупности последовательно и параллельно протекающих процессов получаются многочисленные продукты, порой с довольно сложной и часто неустановленной структурой. Весь комплекс продуктов, начальной стадией образования которых является взаимодействие редуцирующего углевода (моносахарида, дисахарида, продукта расщепления полисахаридов) с аминокислотой или белком, называют меланоидинами.

Выпечка тестовых заготовок производится в печи расстойно-печного агрегата ХПА-40 в течение 55 - 70 минут при температуре 110 - 290˚С.

Охлаждение.

Температура корки хлеба в момент выхода из печи достигает на поверхности 180˚С, на границе с мякишем - около 100˚С, а в среднем. - примерно 130˚С. Влажность корки в этот момент близка к нулю. Температура мякиша близка к 100˚С. а влажность его на 1 - 2% превышает исходную влажность теста.

Хлеб остывает во время транспортировки в цех упаковки с помощью конвейера при температуре 18 -20˚С.

Остывание начинается с поверхностных слоев хлеба, постепенно перемещаясь к центру мякиша хлеба. Сразу же после выхода из печи начинается его усыхание (усушка) вследствие испарения части влаги и очень небольшой доли легколетучих компонентов хлеба. Наряду с этим происходит и перераспределение влаги в хлебе.

Нарезка

Нарезка выпеченных буханок осуществляется с помощью хлеборезательной машины DAUB BRS 208 на половинки массой 0,3 кг.

Упаковка

Охлажденные изделия поштучно упаковываются на упаковочной машине РТ-УМ-ГШ в полиэтиленовую пленку. Маркировка и хранение изделий осуществляется согласно ГОСТ 31805-2012.

.5 Контроль качества

Качество сырья и готовых изделий определяют органолептическими и лабораторными (химическими и физическими) методами.

Контроль качества сырья

Анализ сырья проводится по методам, предусмотренным действующими стандартами, техническими условиями или утвержденными инструкциями. Контроль сырья представлен в таблице 22.

Таблица 22 - Контроль качества сырья

Сырье

Контрольные меры

Мука пшеничная

Просеивание через мукопросеиватель с магнитоуловителями. Контроль сопроводительной документации, в том числе наличие декларации о соответствии.

Дрожжи

Контроль температурного режима. Контроль сопроводительной документации.

Соль

Процеживание. Контроль сопроводительной документации, в том числе наличие декларации о соответствии.

Упаковочные материалы

Контроль сопроводительной документации. Необходимо иметь декларации о соответствии.


Контроль качества полуфабрикатов и готовых изделий

Контроль технологического процесса приготовления теста включает проверку выполнения рецептур, свойств полуфабрикатов, соблюдения технологических параметров на всех стадиях процесса производства по продолжительности, температуре, относительной влажности воздуха. В таблице 23 представлены параметры процессов, составляющих технологические стадии производства белого хлеба из пшеничной муки 1 сорта.

Таблица 23 - Технологические параметры и время стадий производства

Наименование стадии

Параметры процесса

Время процесса, мин

Контролируемые показатели

Замес теста

wт=44,5%, tт=28 - 29˚С

8 - 10

Точность дозирования сырья

Брожение теста

kт=(3,0 - 3,5)°

30 - 50

Органолептическая оценка, температура, влажность, продолжительность брожения

Деление на куски

Мтз=(600 ± 5) г

30

Масса куска теста

Расстойка

wт=75 - 80%, tт=32 - 38˚С

40 - 50

Продолжительность, температура, относительная влажность воздуха, готовность тестовых заготовок

Выпечка

1) t=110 - 120˚С, wк=80% 2) t=270 - 290˚C,  3) t=180 - 220˚C,

10 - 15  15 30 - 40

Продолжительность, температура

Укладка


15 - 30

Правильность укладки

Охлаждение

t =20˚C

30

Правильность упаковки, температура и относительная влажность помещения

Нарезка


30

Масса половинки хлеба, отсутствие заминания хлеба

Упаковка


10 - 13

Продолжительность, температура, относительная влажность воздуха, готовность тестовых заготовок


Методы контроля органолептических, физико-химических и микробиологических показателей готовых изделий осуществляется в соответствии с ГОСТ 31805-2012.

4. Материальный расчет

.1 Выход хлеба

Выход хлеба определяется отношением количества произведенного хлеба к количеству фактически израсходованного сырья.

Выход хлебобулочных изделий Qхл находится по формуле (1)

хл= QT - (Пм + Пот + Збр + Зразд. + Зуп + Зус + Пкр + Пшт) (1)

где Пм - общие потери муки от приема ее до замешивания полуфабриката, кг;

Пот - потери муки и теста в период от замешивания до посадки заготовки в печь, кг;

Збр - затраты при брожении полуфабриката, кг;

Зразд - затраты муки при разделке теста, кг, Зразд = 0;

Зуп - затраты при выпечке, кг;

Зус - затраты при охлаждении и хранении хлеба, кг;

Пкр - потери хлеба в виде крошки и лома, кг;

Пшт - потери от неточности массы хлеба при выработке его штучным, кг;

Пбр - потери от переработки брака, кг, Пбр = 0.

Выход теста QT находится по формуле (2)

=Ʃ Mcx · 100 / (100 - WT) (2)

где Ʃ Mcx - суммарная масса сухих веществ, участвующих в замесе теста, кг;влажность теста, %, WT = 45%.

Количество сухих веществ отображено в таблице 24.

Таблица 24 - Определение сухих веществ сырья, внесенных при замесе теста на 100 кг муки

Сырье

Дозировка, кг

Влажность, %

Количество сухих веществ, кг

Мука

100

14,5

85,5

Дрожжи прессованные

1,7

75

0,425


Суммарная масса сухих веществ, участвующих в замесе теста, равна

Ʃ MСХ = 85,5 + 0,425 + = 85,925 кг.

Тогда выход теста равен= 85,925 · 100 / (100 - 45) = 156,23 кг.

Расход воды для приготовления теста их 100 кг муки B6 вычисляют по формуле (3)

в = QT - Ʃ Mc (3)

где Ʃ Mc - сумма масс сырья, идущих на приготовление теста, кг.

Ʃ Mc = 100 + 1,7 + 5,77 = 107,47,в = 156,23 - 107,47 = 48,76 кг.

Потери муки от приема до замешивания теста Пм находится по формуле (4)

Пм = qм ·[(100 - Wм) / (100 -WT)] (4)

где qм - потери муки на 100 кг муки, кг. Принимается qм = 0,1 кг;м - влажность муки, %, Wм = 14,5%;- влажность теста, %, WT = 45%.

Пм = 0,1· (100 - 14,5) / (100 - 45) = 0,15 кг.

Потери муки и теста в период от замешивания теста до посадки его в печь Пот находится по формуле (5)

Пот = qот · [(100 - Wм) / (100 - WT)] (5)

где qот - потери муки и теста в период от замешивания его в печь, qот = 0,05 - 0,07.

Пот = 0,05 · (100 - 14,5) / (100-45) = 0,07 кг.

Затраты при брожении полуфабриката Збр находятся по формуле (6)

Збр = K · 0,95 · Мс · (100 - Wс) / 1,96· 100· (100 - WT) (6)

где K = 2,0 - 3,5;

,96 - коэффициент пересчета количества спирта на сахар, затраченный на брожение при образовании данного количества спирта;

,95 - коэффициент пересчета спирта на эквивалентное количество CO2;с - средневзвешенная, влажность сырья, %;

Мс - масса сырья, идущего на замес теста.

Средневзвешенная влажность Wс находится по формуле (7)

с =(ƩMiWi) / Mc (7)

где Mi, Wi - масса и влажность конкретного вида сырья соответственно.с = (100 · 14,5 + 1,7 · 75 + 5,77 · 100) / 107,47 = 20,05%,

Збр = 2,75 · 0,95 · 107,47 (100 - 20,05) / 1,96 · 100 (100 - 45) = 2,1 кг.

Затраты при выпечке находятся по формуле (8)

Зуп = K · (QT-Q1) / 100 (8)

где K = 6 - 22.находится по формуле (9)

= Пм + Пот + Збр, (9)

= 0,15 + 0,07 + 2,1 = 2,9 кг,

Зуп = 16 · (156,23 - 2,5) / 100 = 24,6 кг.

Затраты при охлаждении и хранении находятся по формуле (10)

Зус = K · (Q1 - Q2) / 100, (10)

где K = 4.находится по формуле (11)

= Q1 + Зуп, (11)= 2,9 + 24,6 = 27,5 кг,

Зус = 4· (156,23 - 27,5) / 100 = 9,1 кг.

Потери в виде крошки находится по формуле (12)

Пкр = 0,03· (QT - Q3) / 100, (12)

находится по формуле (13)

= Q2 + Зус, (13)= 27,5 + 9,1 = 36,6 кг,

Пкр = 0,03· (156,23 - 36,6) /100 = 0,04 кг.

Потери от неточности массы изделий при выработке его штучным находятся по формуле (14)

Пшт = 0,4 · (QT - Q4) / 100, (14)

находится по формуле (15)

= Q3 + Пкр, (15)= 36,6 + 0,04 = 36,64 кг,

Пшт = 0,4 · (156,23 - 36,64) / 100 = 0,5 кг,хл = 156,23 - (0,15 + 0,07 + 2,1 + 24,6 + 9,1 + 0,04 + 0,5) = 119 кг,хл = 119 · 100/100 = 119% (8).

.2 Дозировка добавки

Расчеты по определению количества «Йодхитозана» и для йодирования продукта: при йодировании хлеба БАД вводят в количестве, рассчитанным по формуле (16)

 (16)

где Д - дозировка БАД к массе муки,%;

а - содержание йода в 1 кг БАД, г;

В - выход готовых хлебобулочных изделий;

Х - содержание йода в 100 г готовых изделий, мг.

Д = 0,01 · 1,19 · 100% / 25 = 0,05%.

4.3 Часовая производительность линии

Производительность 150 т/год. Режим работы осуществляется в две смены по 12 часов. Выходных, праздничных и предпраздничных дней нет. Эффективный годовой фонд времени работы линий Тэ находится по формуле (17):

Тэ = Тд - Д·τлин, (17)

где Тд - действительный годовой фонд времени работы линий, ч/г;

Д - количество рабочих дней в году, сут;

τлин = 6,5 ч - время прохождения первой загрузки сырья через всю технологическую линию, ч/сут.

Действительный годовой фонд времени работы линий находится по формуле 18:

ТД = Т0 - Т0·Кп, (18)

где Т0 - номинальный фонд времени работы оборудования ч/г;

Кп - коэффициент простоя оборудования, доля. При двухсменной работе механизированной линии Кп= 0,08.

Номинальный фонд времени работы оборудования находится по формуле (19)

Т0 = (365 - t0- tп)·τ-tпп·τ1, (19)

где 365 - число суток в году;- число выходных дней в году, t0=0;п - число праздничных дней в году, tп=0;пп - число предпраздничных дней в году, tпп=0;

τ - продолжительность работы оборудования в сутки, ч/сут;

τ1 - число часов, на которые сокращен рабочий день в предпраздничные дни, ч/сут.

Т0 = 365·24= 8760 ч/г,

ТД = 8760 - 8760·0,08 = 8059,2 ч/г,

Тэ = 8059,2 - 365·6,5 = 5686,7 ч/г.

Годовая производительность 150 т/г. Часовая производительность равна= 150 / 5686,7 = 0,05 т/ч = 27 кг/ч.

Для выполнения годовой производительности необходимо производить 27 кг/ч хлеба.

.4 Расход сырья

Количество муки на 1 ч работы рассчитывается по формуле (20)

ч = G·100 / Qхл, (20)

ч =27·100 / 119 = 23 кг.

Количество муки mг на год работы рассчитывается по формуле (21)

г = mч· Тэ, (21)г = 23·5686,7 = 129 026 кг.

Остальное сырье пересчитывается на часовой и годовой расход муки и представляется в таблице 25.

Таблица 25 - Расход сырья на 1 час и 1 год работы линии

Сырье

Масса сырья на 1 ч работы, кг

Масса сырья на 1 год работы, кг

Мука

23

129026

Дрожжи прессованные

0,391

2223,5

Соль

0,345

1961,9

Йодхитозан

0,0115

65,4

Вода:  на замес теста на приготовление солевого раствора

 12,19 4,27

 69320,9 24282,2


На одно изделие расходуется 0,148 м2 полипропиленовой пленки шириной 0,27 м. Тогда длина пленки, необходимая для упаковывания одного изделия составит 0,55 м. Годовая производительность составляет 150 т. Масса одного изделия 0,3 кг. Тогда в год производится 150000 / 0,07 = 500000 изделий. Необходимая длина полипропиленовой пленки составит 500000 ·0,55 = 275000 м. В одном рулоне 500 м. Тогда необходимое количество рулонов будет равным 275000 / 500 = 550 штук.

5. Выбор оборудования

.1 Оборудование для замеса теста

Для производства изделия был выбран периодический способ производства.

Тестомесильные машины периодического действия могут иметь стационарные месильные емкости - дежи или сменные (подкатные). Дежи бывают неподвижными, со свободным или принудительным вращением.

В зависимости от траектории месильных органов выделяют тестомесильные машины с простым, вращательным, планетарным и пространственным движением. По расположению оси механического органа различают машины с горизонтальной, наклонной и вертикальной осями.

По виду приготавливаемых полуфабрикатов известны машины для замеса густых опар и теста влажностью 30-50%, для приготовления жидких опар, заквасок и питательных смесей влажностью 60-70%.

Для замеса пшеничного теста безопарным способом рекомендуются тестомесильные машины с подкатными дежами.

Для замеса теста выбрали тестомесильную машину периодического действия с подкатной дежой марки А2-ХТ-3Б (таблица 26). Она предназначена для порционного замеса дрожжевого теста из пшеничной и ржаной муки влажностью не менее 35% в неподвижных подкатных дежах.

Расчет тестомесильной машины А2-ХТ-3Б представлен в главе 7. Чертеж её представлен в приложении Б.

Таблица 26 - Технические характеристики тестомесильной машины А2-ХТ-3Б

Характеристика

Значение

Производительность, кг/ч

1350

Влажность замешиваемого теста,%

35 - 54

Продолжительность замеса, мин

5 - 9,5

Мощность, кВт

4,75

Занимаемая площадь, м2

1,98

Габаритные размеры, мм

1800х1100х1250

Масса, кг

650


.2 Оборудование для деления теста

Тестоделительные машины предназначены для получения тестовых заготовок определенной массы, соответствующей с учетом упека и усушки массе вырабатываемых хлебных изделий.

В зависимости от способов нагнетания полуфабриката тестоделители можно классифицировать на машины с поршневым, шнековым, валковым, лопастным, комбинированным нагнетанием. Тестоделители с роторным и пневматическим нагнетанием получили ограниченное применение. Также тестоделительные машины можно подразделить на две группы:

·        с фиксированным режимом работы - привод всех рабочих органов осуществляется от жесткой кинематической схемы с определенной периодичностью;

·        с нефиксированным ритмом работы - механизм, отделяющий кусок от общей массы, не связан с общим приводом машины и включается в действие от импульса, получаемого при заполнении тестом всего объема мерного кармана, или при достижении куском заданной длины.

Производительность тестоделителя на 5 - 4% превышает производительность печи, таким образом производительность тестоделителя будет составлять 28,35 кг/ч. Так как масса тестовых заготовок должна составлять 0,7 кг, то тестоделитель должен производить в час 28,35 / 0,7 = 41 тестовую заготовку.

Для создания тестовых заготовок была выбран тестоделитель марки Ш33-ХД-3У (Россия).

Его производительность соответствует заданной и точность деления теста на куски составляет 1%.

Его технические характеристики представлены в таблице 27.

Таблица 27 - Технические характеристики тестоделителя Ш33-ХД-3У

Показатели

Тестоделитель:


производительность

60 шт/мин

масса тестовых заготовок

0,7 - 1,1 кг

допустимая погрешность

1%

частота вращения нагнетательного шнека

1,46 с-1

электродвигатель: шнек /делительная головка

3,0 / 0,55 кВт

Механизм передвижения тестоделителя:


продолжительность холостого хода

15 сек

электродвигатель: мощность / частота вращения

1,5 / 1000 кВт /об./мин

Габариты: длина с рамой/ширина /высота с бункером

1810x3400x1105 мм

Масса

810 кг


Он относится к тестоделителям со шнековым нагнетателем и состоит из тестоделителя, делительной головки, блока (пульта) питания и автоматики. Тестоделитель состоит из станины, на которой монтируется корпус шнека; приемной воронки; камеры нагнетания; переходного патрубка; делительной головки.

Тесто из бункера забирается и подается шнеком в камеру нагнетания наружного барабана делительной головки. При вращении делительного барабана и прохождении мерным карманом камеры нагнетания, тесто постепенно заполняет объем мерного кармана. При дальнейшем вращении делительного барабана отмеренный кусок теста выталкивается поршнем и, по достижении отрезной кромки нижнего окна наружного барабана, снимается ею. Противоположный карман в это время заполняется тестом. За один оборот делительного барабана отмериваются 2 куска теста. Объем мерного кармана можно изменить путем вращения маховичка в ту или иную сторону. Один оборот маховичка изменяет массу тестовой заготовки на 3,5 г. Укладчик-делитель имеет раздельный привод вращения шнека и делительной головки. Временной интервал задержки включения вращения делительной головки задается реле времени, установленным в блоке (пульте) питания и автоматики. Опережающее включение привода шнека обеспечивает получение первых и последующих тестовых заготовок равной массы.

.3 Оборудование для расстойки и выпечки

Для обеспечения годовой производительности производительность печи должна составлять 27 кг/ч.

Производительность печи вычисляется по формуле

Пч = N ∙ g ∙ 60 /τвып, (22)

где N - количество форм в печи;- масса изделия, кг, g = 0,6 кг

τвып - продолжительность выпечки, мин, τвып = 62 мин.

Тогда количество люлек в печи должно быть равно 45 штукам. Исходя из производительности печи и количеству форм в печи выбираем расстойно-печной агрегат с печью ХПА-40.

Расстойно-печной агрегат представляет собой конструкцию, состоящую из расстойного шкафа и печи, объединенных общим конвейером. Агрегаты предназначены для выработки формового хлеба из ржаной и пшеничной муки и обеспечивают полную механизацию производственных процессов на участке расстойки - выпечки. Технические характеристики агрегата представлены в таблице 28.

Таблица 28 - Технические характеристики расстойно-печного агрегата с печью ХПА-40

Показатели

Значение

Производительность

40 т/сут

Количество люлек в шкафу расстойки,

120

в том числе рабочих

82

Общее число люлек на конвейере

225

Расстояние между люльками

280 мм

Мощность электродвигателя

1,7 кВт

Габаритные размеры шкафа расстойки

7880 / 2260 / 3900 мм

Масса агрегата (без печи)

18,8 т


Расстойно-печной агрегат с печью ХПА-40 изображен на рисунке 12. Он состоит из шкафа окончательной расстойки 2, конвейерной люлечно-подиковой тупиковой печи 4 ХПА-40 и механизмов 1 для загрузки теста в формы (тестоделителя Ш33-ХД-3У).

Рисунок 12 - Расстойно-печной агрегат с печью ХПА-40

На объединенном конвейере 3 расстойно-печного агрегата размещены 225 люлек, из них в шкафу рабочих 82, холостых 43 и в печи 100. На люльках устанавливаются 16 форм для выпечки хлеба массой 1 кг. Цепной конвейер в шкафу расстойки расположен горизонтально. Он состоит из роликовой цепи с шагом 140 мм и люлек с прикрепленными к ним формами.

Принцип действия агрегата состоит в следующем. Длительность расстойки регулируется кареткой 7, перемещающейся в горизонтальной плоскости по направляющим каркаса. При перемещении каретки в сторону печи удлиняется рабочая ветвь конвейера в расстойной камере и соответственно время расстойки увеличивается, при движении ее в противоположную сторону - уменьшается. Таким образом можно изменять длительность расстойки в пределах 30 - 50 мин.

Продолжительность выпечки также можно менять в пределах 38 - 65 минут при помощи вариатора скоростей. Выпеченный хлеб выгружается из форм в соединительной камере 6, где на пути движения люлек из печи установлены упоры. Люльки своими копирами скользят по упорам, опрокидываются и далее попадают на гребенки - специально прогнутые полосы. При взаимодействии копиров с гребенками движущаяся люлька многократно встряхивается и готовый хлеб из форм падает на ленточный транспортер готовой продукции 5, находящийся в нижней части камеры. При дальнейшем движении люльки с формами возвращаются в исходное положение.

Применение расстойно-печного агрегата позволяет устранять тяжелые операции по пересадке форм с тестовыми заготовками из шкафа расстойки в печь, облегчает механизацию выемки хлеба из форм. Сокращается число обслуживающих рабочих и улучшается санитарное состояние пекарного зала.

.4 Оборудование для нарезки и упаковки изделий

Для нарезки изделий была выбрана хлеборезательная машина марки DAUB BRS 208, технические характеристики которой представлены в таблице 29.

Таблица 29 - Технические характеристики хлеборезательной машины DAUB BRS 208

Техническая характеристика

Значение

Производительность, кг/час

до 1000

Ширина рабочей ленты, см

52

Максимальная высота хлеба, см

16

Мощность, кВт

1,0

Габаритные размеры, мм

1940х550х1300

Масса, кг

215


Машина осуществляет непрерывную подачу хлеба в зону резания хлеба. Конвейер выполнен в виде синтетической ленты. Подаваемые буханки хлеба поджимаются сверху небольшим устройством похожим на гусеницу танка. Скорость движения конвейера, соответственно и скорость резания хлеба, регулируется электронным устройством с помощью ручки пульта управления. Ножи с тефлоновым покрытием уменьшают налипание хлеба.

Для упаковки изделий выбрана упаковочная машина РТ-УМ-ГШ. Ее технические характеристики приведены в таблице 30.

Таблица 30 - Технические характеристики упаковочной машины РТ-УМ-ГШ

Техническая характеристика

Значение

Вес, кг

400

Производительность, кинематическая упаковок/мин, до

140

Напряжение питания, В

220

Максимальный диаметр рулона пленки, мм

400

Габаритные размеры (ДхШхВ), (мм)

3550х1050х1700

Потребляемая мощность, кВт

2,6


При упаковке готовых изделий используется полипропиленовая пленка. Подача продукта в зону обёртывания осуществляется по горизонтальному транспортёру. Формируется трёхшовный пакет FlowPack из термосвариваемых рулонных упаковочных материалов.

В таблице 31 представлено подобранное оборудование для технологической линии производства пшеничного хлеба с добавкой йодхитозана.

Таблица 31 - Сводная таблица оборудования для технологической линии

Операция

Аппарат

Количество

Мощность, кВт

Замес теста

Тестомесильная машина А2-Хт-3Б

1

4,75

Брожение

Дежа V = 0,05 м3

3

-

Деление теста

Тестоделитель-укладчик Ш33-ХД-3У

1

1,5

Расстойка

Расстойно-печной агрегат ХПА-40

1

1,7

Выпечка




Нарезка

Хлеборезательная машина DAUB BRS 208

1

1,0

Упаковка

Упаковочной машина РТ-УМ-ГШ

1

2,6


6. Расчет тестомесильной машины

.1 Производительность тестомесильной машины

Объем дежи V рассчитывается по формуле (23).

= П·(τ + τв) / 3600·ρ·k, (23)

где П - производительность тестомесильной машины, кг/ч;

τ - время замеса, с, τ = 540 с;

τв - продолжительность вспомогательных операций, с, τв = 1260 с;

ρ - плотность теста, кг/м3, ρ = 1080 - 1100 кг/м3;- коэффициент заполнения месильной камеры (для машин с подкатными дежами k = 0,3 - 0,6).

Производительность тестомесильной машины Пм находим по формуле (24)

Пм = Пп · k0, (24)

где Пп - производительность печи, кг/ч;- коэффициент, учитывающий возможные остановки на регулировку и очистку (для машин периодического действия k0 = 1,2 - 1,3).

П = 27 · 1,25 = 33,75 кг/ч,= 33,75 · (540 + 1260) / 3600·1100·0,4 = 0,03835 м3 = 38,35 л.

По ГОСТ 31523-2012 выбираем рекомендуемый объем дежи объемом 0,05 м3.

6.2 Конструктивный расчет тестомесильной машины

Мощность электродвигателя привода тестомесильной машины Nдв, кВт, рассчитывают по формуле:

дв = , (25)

где N1 - мощность необходимая для вращения месильного органа при замесе теста, кВт;- мощность, необходимая для вращения дежи, кВт;

η - КПД привода,%, η = 85%.

= 4  10- 4  1 g, (26)

где λ - коэффициент использования дежи, λ = 0,55;- радиус вращения центра лопасти, м, R = 0,45 м;

ω1 - угловая скорость месильного органа, рад/с;- ускорение свободного падения, м/с2, g = 9,8 м/с2.

1 = , (27)

где n - частота вращения вала, об/мин, n = 45 об/мин.

ω1 = 3,14 ∙ 45 / 30 = 4,71 рад/с.= 4 ∙ 10-4 ∙ 0,55 ∙ 0,05 ∙ 0,45 ∙ 1000 ∙ 4,71 ∙ 9,8 = 0,23 кВт.

= 10-3  g  (Gд + Gт)  f  2  rц (28)

где Gд - масса дежи, кг, Gд = 83 кг;т - масса теста в деже, кг, Gт = 160 кг;- коэффициент трения вала дежи в опорах; f = 0,25;

ω2 - угловая скорость дежи, рад/с, ω2 = 5,1 рад/с;ц - радиус цапфы, м, rц = 0,12 м.= 10-3 ∙ 9,8 ∙ (160 + 83) ∙ 0,25 ∙ 5,1 ∙ 0,12 = 0,36 кВт.дв = (0,23 + 0,36) / 0,85 = 0,7 кВт.

По каталогу ООО «Электродвигатель» выбираем электродвигатель АИР 71 А2 мощностью 0,75 кВт. Его технические характеристики представлены в таблице 32.

Таблица 32 - Технические характеристики электродвигателя АИР71А2

Тип

АИР71А2

Мощность двигателя, кВт

0,75

Частота вращения вала электродвигателя, об/мин

2820

КПД электродвигателя, %

79

Коэффициент мощности электродвигателя

0,8

Продолжение таблицы 32

1

2

Отношение пускового момента к номинальному моменту

2,6

Отношение максимального момента к номинальному

2,7

Отношение тока пускового к номинальному

6

Момент инерции, кг∙м2

0,00097

Масса электродвигателя, кг

8,7


Часовое количество дежей для теста Дч.т, шт, рассчитывают по формуле

Дч.т. = , (29)

где Мч - часовой расход муки, кг; МЧ = 23 кг;

Мм - максимальное количество муки в деже, кг.

Максимальное количество муки в деже определяют по формуле

Мм = , (30)

где qм - норма загрузки муки на 100 л геометрической емкости при приготовлении теста, кг; qм = 23 кг;д - объем дежи, л; Vд = 160 л.

Мм = 23 ∙160 / 100 = 36,8 кг.

Дч.т. = 23 / 36,8 = 0,63 ≈ 1 шт.

Ритм замеса теста rт, мин, рассчитывается по формуле:

т = , (31)

т = 60 / 1 = 60 мин.

Количество дежей Дбр, шт, занятых под брожением теста, определяется по формуле:

Дбр = , (32)

где tбр.т - продолжительность брожения теста, мин (40 мин).

Дбр = 40 / 60 = 0,6 ≈ 1 шт.

Общее количество дежей определяют по формуле

Доб =  ΣД  + Дзап, (33)

где ΣД - суммарное количество дежей для наиболее напряженной смены;

Дзап - запасные дежи; Дзап = 10 - 15% от ΣД.

ΣД = Дч.т. + Дбр = 1 + 1 = 2 шт.

Доб = 2 + 0,15 ∙ 2 = 2,3 ≈ 3 шт.

Количество тестомесильных машин N, шт, для данного сорта изделий рассчитывают по формуле

= , (34)

где tзам.т - продолжительность замеса теста, мин; tзам.т = 9 мин.= 9 / 38 = 0,24 ≈ 1.

В конструкцию тестомесильной машины А2-ХТЗ-Б входят: фундаментная плита, подкатная дежа, месильный орган, крышка, привод месильного органа, поднимающаяся-опускающаяся траверса, станина.

Тестомесильная машина работает следующим образом. Подкатная дежа накатывается на фундаментную плиту машины до упора, контакты конечного выключателя блокировки фиксаций дежи замыкаются. Нажатием кнопки «Вниз» на панели управления включается привод поворота траверсы, которая опускается в рабочее положение, дежа закрывается крышкой, фиксируя ее на плите, при этом рабочий орган вводится в дежу. Через отверстие в крышке, снабженной штуцером, в дежу по гибкому шлангу от дозировочной станции подается жидкие компоненты. Загрузка дежи мукой или другими сыпучими продуктами производится через овальную горловину в крышке, соединенную тканевым рукавом с дозировочной станцией сыпучих продуктов. Нажатием кнопки «Пуск» включается привод месильного органа, совершающего планетарное движение внутри дежи. По истечении заданного времени, устанавливаемого при помощи реле времени, привод месильного органа автоматически выключается, механизм останавливается, включается привод поворота траверсы. Траверса поворачивается в крайнее верхнее положение, и месильное устройство выходит из дежи, которая высвобождается от фиксаций и выкатывается вручную с фундаментной плиты машины.

Тестомесильная машина А2-ХТЗ-Б оборудована таймером для отчета времени замеса теста. Спиральный месильный орган в процессе замешивания теста вращается вокруг собственной оси и вокруг оси дежи. Тестомесильная машина А2-ХТЗ-Б производит эффективное замешивание теста по всему объему дежи в непосредственной близости от стенок и донной части.

7. Безопасность и экологичность проекта

.1 Анализ опасных и вредных производственных факторов

Для хлебопекарного производства присущи физические, психофизические опасные и вредные производственные факторы.

Возникновение психофизических перегрузок в процессе работы связано с необходимостью наблюдения за большим количеством аппаратов и приборов, необходимостью быстрого реагирования в случае отклонения параметров технологического режима или созданию аварийных ситуаций.

Опасные и вредные производственные факторы приведены в таблице 33.

Таблица 33 - Опасные и вредные производственные факторы разрабатываемого технологического процесса

Операция

Характеристика процесса

Применяемое оборудование

Опасные и вредные факторы

Замес теста

τ = 8 - 10 мин, частота вращения месильного органа 120 об/мин, механизированный процесс

Тестомесильная машина А2-ХТ-3Б, N = 4 кВт, U = 380 В

Физические: движущиеся механизмы, вибрация, шум, повышенное напряжение сети.

Брожение теста

τ = 30 - 50 мин

Дежа тестомесильной машины


Деление на куски

τ = 30 мин, автоматизированный процесс

Делитель-укладчик Ш33-ХД-3У, N = 1,5 Вт, U = 380 В

Физические: движущиеся механизмы, шум, повышенное напряжение сети. Психофизиологические: монотонность труда

Расстойка, выпечка

τ = 60 мин, w = 75 - 80%, t = 38 - 39 °C, автоматизированный процесс

Расстойно-печной агрегат с печью ХПА-40, N = 1,7 кВт, U = 220/380 В

Физические: повышенное напряжение сети, повышенная температура и влажность рабочей зоны.

Нарезка

τ = 10 - 13

Хлеборезательная машина DAUB BRS 208, N = 1,0 кВт, U = 220/380 В

Физические: движущиеся механизмы, повышенное напряжение сети, острые кромки инвентаря.

Упаковка

τ = 10 - 13 мин, механизированный процесс

Упаковочная машина РТ-УМ-ГШ (3550х1050х1700), N = 2,6 кВт, U = 220/380 В

Физические: движущиеся механизмы, шум, вибрация. Психофизиологические: монотонность труда


Наиболее опасной операцией является выпечка вследствие того, что на этой стадии производства кроме опасных факторов: движущиеся механизмы, повышенное напряжение, шум, которые присутствуют практически в каждой стадии, добавляется опасный фактор - повышенная температура поверхностей оборудования и воздуха рабочей зоны., которая может привести к травматизму.

7.2 Безопасность цеха по производству пшеничного хлеба

Безопасность технологического процесса и производственного оборудования.

Важнейшим фактором предотвращения опасного и вредного воздействия производства на работающих людей и окружающую среду является совершенство и надежность технологического процесса и оборудования.

При проектировании предусмотрены следующие меры: устранение непосредственного контакта работающих с исходными материалами, комплексная механизация, автоматизация; герметизация оборудования; применение средств защиты работающих; применение мер, направленных на предотвращение проявления опасных и вредных производственных факторов в случае аварии; применение рациональных режимов труда и отдыха с целью предотвращения монотонности, чрезмерных физических перегрузок.

Размеры рабочего места и размещение его элементов обеспечивают выполнение рабочих операций в удобных рабочих позах и не затрудняют движений работающего.

Мероприятия по технике безопасности эксплуатации оборудования представлены в таблице 34.

Таблица 34 - Мероприятия по технике безопасности эксплуатации оборудования

Применяемое оборудование

Мероприятия по технике безопасности

Тестомесильная машина А2-ХТ-3Б, N = 4 кВт, U = 380 В

Движущиеся части защищены от случайного проникновения, при работе тестомесильная машина закрывается крышкой, для избегания попадания посторонних предметов. Оборудование заземляется.

Делитель-укладчик Ш33-ХД-3У, N = 1,5 Вт, U = 380 В

Движущиеся и выступающие части оборудования защищены от проникновения. Процесс автоматизирован. Оборудование заземляется.

Расстойно-печной агрегат с печью ХПА-40, N = 1,7 кВт, U = 220/380 В

Устанавливается теплоизоляция. Движущиеся и выступающие части оборудования защищены от проникновения. Процесс автоматизирован. Оборудование заземляется.

Хлеборезательная машина DAUB BRS 208, N = 1,0 кВт, U = 220/380 В

Рабочая зона закрыта ограждением. Процесс автоматизирован. Оборудование заземляется.

Упаковочная машина РТ-УМ-ГШ, N = 2,6 кВт, U = 220/380 В

Машина оборудована системой блокировок для обеспечения безопасности работы оператора. Оборудование заземляется.


Электробезопасность.

Технологический процесс протекает в помещениях (тестоприготовительный цех, пекарный цех, хлебохранилище), согласно ПУЭ, относящихся к категории без повышенной опасности.

Используемое электрооборудование в производстве - это электродвигатели, предназначенные для комплектации аппаратов. Для приводов механизмов, не требующих регулирования частоты вращения, используются асинхронные электродвигатели с короткозамкнутым ротором, которые обладают простотой конструкции, надежностью работы и удовлетворительными характеристиками.

Согласно ПУЭ в сетях до 1000 В используется трехфазная сеть с изолированной нейтралью; ток переменный, напряжение 220/380 В. При переменном трехфазном токе с изолированной нейтралью применяются следующие обозначения: фаза А - желтым цветом, В - зеленым, С - красным.

Электродвигатели имеют исполнения IP5X и IP2X. Первое исполнение обеспечивает пылезащищенность двигателя, при этом некоторое количество пыли может проникать внутрь, однако это не нарушает работу устройства. Полная защита от контакта. Такой тип двигателей используется в тестоприготовительном цехе, где возможно оседание мучной пыли на оборудование.

Второе исполнение обозначает защиту электродвигателя от попадания в него твердых посторонних тел диаметром более 12 мм, прикосновение любой части тела человека с токоведущими или вращающимися деталями внутри машины невозможно. Используется для оборудования всех остальных цехов.

Для защиты от поражения электрическим током в сетях с изолированной нейтралью во всех электроустановках при 380 В сетях переменного тока применяется защитное заземление. Сопротивление в сетях до 1000 В не превышает 4 Ом.

С учетом принятого режима изолированной нейтрали, величины рабочего напряжения и категории помещения по электробезопасности предусмотрены следующие средства защиты от поражения электрическим током: защитные оболочки; защитные ограждения; безопасное расположение токоведущих частей; изоляция токоведущих частей не менее 0,5 МОм на фазу; защитное отключение электрооборудования; предупредительная сигнализация.

Для обеспечения защиты от поражения электрическим током при прикосновении к металлическим нетоковедущим частям, которые могут оказаться под напряжением в результате повреждения изоляции, предусмотрены следующие способы: защитное заземление; электрическое разделение сети; малое напряжение.

Предусмотрены организационные меры: проведение инструктажей и обучение работников правилам электробезопасности; допуск к обслуживанию электроустановок разрешается лицам, имеющим соответствующую квалификацию. Проведение ремонта оборудования только электротехническим персоналом с группой по электробезопасности не ниже III.

Пожарная безопасность

Комплекс мероприятий по пожарной безопасности проектируемого объекта определяется пожароопасностью используемых материалов и категорией взрывопожароопасности производственного помещения. Категории взрывопожароопасности помещений представлены в таблице 35.

Таблица 35 - Категории производственных помещений по взрывопожароопасности

Наименование производственных отделений, участков, складов, помещений

Категории помещений

Тестоприготовительное отделение

Д

Пекарное отделение

Г

Помещение остывочного отделения и экспедиция (помещения для хранения хлебобулочных изделий)

В


Среди используемого для производства пшеничного хлеба сырья горючим является мука пшеничная первого сорта.

Мука пшеничная первый сорт - горючий порошок. Влажность 13,6%, плотность 650 кг/м3; теплота сгорания - 16807 кДж/моль. Дисперсность образца менее 100 мкм. Температура самовоспламенения 380˚С, температура воспламенения 280˚С; температура тления 310˚С. Склонна к самовозгоранию. Нижняя концентрация предельного распространения пламени 10 - 35 г/м3; максимальное давление взрыва 10,6 МПа; минимальная энергия зажигания 6,4 мДж.

Горючим материалом, используемым в производстве, является полипропиленовая пленка, в которую упаковываются изделия.

Полипропиленовая пленка - горючий полимер. Плотность 910 - 965 кг/м3; теплота сгорания - 46558 кДж/моль. Дисперсность образца менее 74 мкм. Температура самовоспламенения аэрогеля 380˚С; температура воспламенения 134˚С. Нижняя концентрация предельного распространения пламени 20 г/м3; максимальное давление взрыва 600 кПа.

На производстве предусмотрено наличие пожарной сигнализации во всех отделениях цеха, наличие средств пожаротушения (система АУПТ (автоматическая установка пожаротушения), огнетушители, вода). Для ликвидации пожара в цехах установлены порошковые, углекислотные и пенные огнетушители. Порошковые огнетушители предназначены для тушения твердых горючих веществ, горючих жидкостей (площадью не более 1 кв. м), электроустановок под напряжением, горящей одежды на человеке. Для тушения электрооборудования, жиров и жироподобных веществ используют углекислотные огнетушители. Пенные огнетушители применяют для тушения пеной начинающихся загораний почти всех твердых веществ, а также горючих и некоторых легковоспламеняющихся жидкостей на площади не более 1 м².

Выбор типа и расчет необходимого количества огнетушителей в защищаемом помещении или на объекте следует производить в зависимости от их огнетушащей способности, предельной площади, а также класса пожара горючих веществ и материалов:

класс А - пожары твердых веществ, в основном органического происхождения, горение которых сопровождается тлением (древесина, текстиль, бумага);

класс В - пожары горючих жидкостей или плавящихся твердых веществ;

класс С - пожары газов;

класс D - пожары металлов и их сплавов;

класс (Е) - пожары, связанные с горением электроустановок.

Помещения категории Д площадью менее 100 м2 могут не оснащаться огнетушителями.

Для тестоприготовительного отделения возможен класс пожара (Е). Предусматривается 2 огнетушителя ОП-5 и 2 огнетушителя ОУ-5. Для пекарного отделения класс пожара (Е), поэтому предусматривается огнетушитель ОУ-25. Для хранилища класс пожара А и (Е); предусматриваем порошковую АУТП, так как она может применяться для тушения пожаров класса A, B, C, D и (E). Принцип действия порошкового оборудования состоит в быстром распространении на возгорающуюся поверхность мелкодисперсного составляющего. Именно за счет его мелкой структуры создается препятствие дальнейшему распространению огня. Порошок из баллона подается под воздействием давления газа. В результате использования оказывается минимальное воздействие на поверхность горящего предмета, что существенно минимизирует ущерб от тушения пожара.

Во избежание возникновения пожара не допускается:

˗        загромождать производственные помещения сырьем, вспомогательными материалами, оборудованием;

˗        оставлять неубранным промасленный обтирочный материал. Для сбора использованного обтирочного материала устанавливают металлические ящики с плотно закрывающимися крышками, которые в конце смены удаляют из помещения;

˗        выполнять производственные операции на неисправном оборудовании.

Все работники, занятые в производстве, обучены правилам пожарной безопасности и умению пользоваться средствами пожаротушения.

На случай возникновения пожара имеется план эвакуации персонала, вывешены инструкции о мерах пожарной безопасности.

Все двери эвакуационных выходов свободно открываются в сторону выхода из помещений.

В многоэтажных зданиях для помещений с выходом в тупиковый коридор расстояние от дверей производственного помещения до ближайшего выхода наружу или лестничную клетку не должно превышать 20 м.

Так как присутствует помещение категории В, расстояние от наиболее удаленного рабочего места до выхода наружу или на лестничную клетку не должно превышать 50 м.

До прибытия пожарных подразделений необходимо принять меры к тушению пожара с использованием первичных средств пожаротушения и при необходимости:

˗        отключить силовую, а при достаточном освещении и световую электросеть, чтобы не вызвать повреждения электросетей и электрооборудования, коротких замыканий и возникновения новых очагов пожара, поражения людей током;

˗        отключить приточно-вытяжную вентиляцию во избежание возможного распространения огня по воздуховодам и притока свежего воздуха;

˗        остановить техпроцесс, прекратить подачу сырья и вспомогательных материалов, перекрыть все краны и вентили;

˗        при необходимости вызвать медицинскую и аварийную службы.

После принятия перечисленных мер необходимо приступить к тушению пожара имеющимися в производстве средствами тушения.

7.3 Производственная санитария

Микроклимат производственных помещений.

Параметры микроклимата рабочих зон, представлены в таблицах 36 и 37.

Для создания требуемых по санитарным нормам параметров воздушной среды (температуры, относительной влажности и подвижности воздуха) предусматривается: герметизация оборудования для предотвращения выделения тепла, холода, влаги и газов; механизация и автоматизация производственных процессов для замены ручного труда; применение эффективных систем отопления и вентиляции производственных помещений. Для борьбы с тепло- и влаговыделениями проектируется естественная и принудительная вентиляция. В пекарном отделении предусмотрена локализованная приточно-вытяжная вентиляция.

Кратность воздухообмена в тестоприготовительном отделении должна быть 1 1/час. В пекарном отделении кратность воздухообмена должна составлять 3 - 4 1/час. В складе готовой продукции кратность воздухообмена должна составлять 3 - 4 1/час.

Таблица 36 - Оптимальные параметры микроклимата рабочей зоны

Производственные помещения

Категория работ

Температура, ˚С

Влажность,%

Скорость воздуха, м/с

Холодный период года

Тестоприготовительное отделение

IIб

17 - 19

60 - 40

0,2

Склад готовой продукции

III

16 - 18

60 - 40

0,3

Теплый период года

Тестоприготовительное отделение

IIб

19 - 21

60 - 40

0,2

Склад готовой продукции

III

18 - 20

60 - 40

0,3


Таблица 37 - Допустимые параметры микроклимата рабочей зоны

Производственные помещения

Категория работ

Температура, ˚С

Влажность,%

Скорость воздуха, м/с

Холодный период года

Пекарное отделение

IIб

19,1 - 22

60 - 40

0,2 - 0,5

Теплый период года

IIб

21,1 - 27

Не более 75

0,2 - 0,5


Пекарное отделение снабжается локализованной приточно-вытяжной вентиляцией.

В помещении хлебохранилища применяется смешанная система вентиляции - механическая приточно-вытяжная и естественная вытяжная. Для улучшения условий труда в помещениях склада проемы, где происходит движение вагонеток, оборудуются воздушными тепловыми завесами, которые препятствуют проникновению холодных масс воздуха в помещение хранилища.

Теплоносителем для систем вентиляции и отопления служит высокотемпературная вода с параметрами 150 - 70˚С, 130 - 70˚С.

Отопление производственных помещений в холодный период года - воздушное, совмещенное с приточной вентиляцией, в нерабочее время, работающее на полной рециркуляции воздуха. Для мелких производственных помещений, складов бестарного хранения муки, вспомогательных помещений проектируется водяное отопление.

Производственный шум и вибрация.

На предприятии источниками шума и вибрации различной интенсивности являются электродвигатели, насосы, вентиляционные установки, тестомесильная машина, упаковочный автомат. При их работе возникают шумовые нагрузки на обслуживающий персонал.

По характеру спектра шум, создаваемый насосами, относится к широкополосному с непрерывным спектром шириной более одной октавы; по временным характеристикам - к постоянному шуму, так как уровень звука за 8-часовой рабочий день изменяется не более чем на 5дБ.

Насосы расположены отдельно от основного оборудования в помещении насосного отделения. За их работой осуществляют периодический контроль.

Допустимые уровни звукового давления в октавных полосах частот для широкополосного шума соответствуют требованиям приведены в таблице 38.

По способу передачи на человека вибрация относится к категории 3а, так как передается на тело человека через опорную поверхность; источник возникновения относится к технологической вибрации, так как возникает при работе стационарных машин.

Для защиты от шума предусмотрены коллективные средства защиты: специальные кожухи, устанавливаемые на агрегатах. Кожухи изготавливаются из тонких стальных листов и облицовываются звукоизоляционным материалом. При установке кожухов на пол необходимо использовать резиновые прокладки. Для уменьшения вибрации кожухов на них наносят слои резины или битума. Более эффективная защита от шума и вибрации в источнике образования, поэтому необходима тщательная балансировка вращающихся деталей.

Таблица 38 - Допустимые уровни звукового давления

Виды трудовой деятельности

Уровни звукового давления, дБ в активных полосах со среднегеометрическими частотами, Гц

Уровень звука и эквивалент уровня, дБА


31,5

63

125

250

500

1000

2000

4000

8000


Постоянное рабочее место в производственных помещениях

107

95

87

82

78

75

73

71

69

80


Производственное освещение.

Рациональное производственное освещение обеспечивает психологический комфорт, предупреждает развитие зрительного и общего утомления, способствует увеличению производительности труда. Во всех производственных помещениях предусмотрено естественное и искусственное освещение. Естественное освещение осуществляется через оконные проемы в наружных стенах.

Нормы искусственного и естественного освещения в зависимости от разряда зрительных работ представлены в таблице 39.

Таблица 39 - Требования к освещению помещений промышленных предприятий

Наименование помещения

Характеристика зрительной работы

Разряд и подразряд зрительной работы

Контраст объекта с фоном

Характеристика фона

Естественное освещение, КЕО%

Искусственное освещение Е, лк

Тестоприготовительное отделение

Малой точности

V a

Малый

Темный

0,6

300

Пекарное отделение







Остывочное отделение и хлебохранилище


V г

Средний, большой

Светлый, средний


200


Расчет искусственного освещения в тестоприготовительном отделении площадью 180 м2 (18 × 10 м). Высота до потолка 4,8 м.

При использовании светильников с люминесцентными лампами и при расположении их в виде световой линии, световой поток лампы определяется по формуле (35)

Фл =  (35)

где Фл - световой поток лампы, лм;

ЕH - нормированная освещенность, лк;

η - коэффициент использования светового потока;- освещаемая поверхность, м2;

к - коэффициент запаса, к = 1,5;- количество ламп в светильнике, N = 2;- коэффициент минимальной освещенности, для люминесцентных ламп z = 1,1;- число ламп в светильнике.

Коэффициенты использования светового потока для принятого типа светильника определяют по индексу помещения i и коэффициентам отражения потолка (ρn), стен (ρc), и пола (ρp)

=  (36)

где А и Б - соответственно длина и ширина помещения, м;

Нр - высота подвеса светильников, м.=  = 1,3

ρn = 50%

ρc = 30%

ρp = 10%

Определяем, что η = 0,6

Рассчитаем обратную задачу для определения необходимого количества светильников, задавшись мощностью лампы и найдя ее световой поток. Примем лампы типа ЛБ мощностью 80 Вт и световым потоком 5220 лм.

=  (37)=  = 14,2  14 шт

Общее число светильников принимаем равным 14. Выбираем светильники типа ЛСП-2х80 массой 13 кг.

Количество светильников или рядов определяют методом распределения по площади (развешивания) для достижения равномерной освещенности. Основным параметром для развешивания светильников является отношение высоты подвески (Нр) к расстоянию между светильниками или рядами (L), при котором создается равномерное освещение. Отношение Нр/L принимаются в пределах 1.4÷2. Нр = 4,8 м. Принимаем Нр / L = 1,7, тогда L = 2,8 м. В производственном помещении располагается 14 светильников. В одном ряду находится 7 светильников с шагом в 2,2 м, всего 2 ряда.

Схема расположения светильников в производственном помещении представлена на рисунке 14.

Рисунок 14 - Схема расположения светильников в производственном помещении

.4 Технические решение по защите окружающей среды

Для предупреждения загрязнения окружающей среды предусмотрена санитарно-защитная зона (СЗЗ) предприятия 50 м.

Значительная часть загрязнений содержится в сточных водах предприятия. Сточные воды загрязнены в основном остатками сырья, полуфабрикатов, готовой продукции, моющими средствами. Для удаления сточных вод предприятие имеет центральную канализацию, подключенную к городским сетям.

Наиболее вредными веществами, образующимися при производстве хлебобулочных изделий, являются этиловый спирт и уксусная кислота. Система мер защиты от вредных веществ: технологические выбросы - пары этанола, уксусной кислоты, уксусного альдегида - в основном выделяются в печи. Пары этих веществ удаляются из печи с помощью оборудованной системой газоудаления по вытяжным каналам за счет естественной тяги и выбрасываются в атмосферу через металлические трубы высотой не менее 10 - 15 метров.

Твердые отходы предприятия образуются на стадиях: доставки сырья, формовки тестовых заготовок, экспедиции. При доставке сырья образуются преимущественно отходы упаковки. На стадии разделки - остатки тестовых заготовок. На стадии экспедиции выявляется производственный брак (горелый и испачканный хлеб). Конечный этап жизненного цикла продукта - стадия продажи, сопровождается образованием отходов в виде хлеба с истекшим сроком годности и упаковочных материалов. Брак и продукция с истекшим сроком годности, которая возвращается на предприятие из магазинов, могут быть использованы в виде мочки (хлебная мочка - это полуфабрикат хлебопекарного производства, полученный из замоченного хлеба, массовая доля влаги около 75 - 80%.), сухарной или хлебной крошки при выработке продукции из пшеничной муки того же сорта или более низких сортов, а также из муки ржаной и ее смеси с пшеничной мукой. Предприятием подписан договор на вывоз и обеззараживание твердых отходов производства и потребления и договор на утилизацию люминесцентных ламп (1 класс опасности).

8. Строительная часть

.1 План участка производства. Объемно-планировочные и архитектурно-конструктивные решения

Проектируемое здание четырехэтажное с производственной площадкой на отметке 0.000 м. Сетка колонн 12000х6000 мм. Размеры здания в осях 66000х24000 мм. Высота этажа 4,8 м.

Характеристика основания фундамента. Проектируемое здание расположено на территории г. Нижнего Новгорода. Согласно СНиП 23-01-99 «Строительная климатология», климатическая характеристика района строительства следующая:

среднегодовая температура +3,1 ˚С;

средняя температура холодного месяца -16˚С;

средняя температура жаркого месяца +23,1˚С;

наиболее холодная пятидневка -30˚С;

максимальная температура жаркого месяца +37˚С;

среднемесячная относительная влажность наружного воздуха в холодный период 84%, в жаркий период - 56%;

упругость водяного пара в холодный период 2,6 гПа, в жаркий период - 15 гПа;

годовое количество осадков 675 мм;

суточный максимум осадков 72 мм.

Основанием фундамента в соответствии со СНиП 2.02.01-83 «Основание зданий и сооружений» являются мелкозернистые пески с расчетным сопротивлением сжатию 20 Н/м2 на глубине 1,5 - 2 метра. Глубина промерзания грунта 1,4 - 1,6 метра. Уровень грунтовых вод на глубине 6,2 метра от планировочной отметки здания.

Фундамент. Проектируемое здание является зданием каркасного типа. Для него под каждую колонну сооружают столбчатый фундамент. Для каждой колонны каркаса проектируется отдельный фундамент с подколонниками стаканного типа. Глубина стакана в подколоннике - 800 мм. Ширина стакана по верху принимается на 150 мм шире стороны колонны и на 100 мм шире - по низу стакана. Стены возводятся с опорой на фундаментные балки. Зазор между колонной и стенками стакана заливается бетоном марки 200 на мелком гравии. Верхнюю часть фундамента, независимо от глубины заложения, всегда размещают на 150 мм ниже уровня отметки чистого пола. Это позволяет вести строительные работы самоходными монтажными кранами.

Фундаментные балки. Железобетонные фундаментные балки разработаны под наружные стены производственных зданий при шаге колонн в 6000 мм. Эти балки укладываются по обрезам фундамента между подколонниками стаканного типа на специальные столбики, отлитые при устройстве фундамента. Фундаментная балка укладывается так, чтобы ее верхняя грань находилась выше уровня поверхности грунта, но ниже уровня чистого пола здания на 30 мм (на отметке минус 0,03). В случае просадки отмостки здания фундаментная балка защищает конструкцию пола снаружи и не допускает охлаждения здания зимой. Балки перекрытия рассчитаны на нагрузку блочных стен до 1200 кг/м3 высотой до 22 м. Изготовление балок производится из тяжёлого бетона прочности М-200 и М-300.Для промышленных зданий с шагом колонн 6000 мм используем фундаментные балки серии 1.415-I, выпуск I, марки ФБ6-21, длиной L = 4 450 мм, высотой H = 400 мм и шириной B = 200 мм и марки ФБ6-20, длиной L = 4 750 мм, высотой H = 400 мм и шириной В = 200 мм.

Колонны. В многоэтажных промышленных зданиях применяют железобетонные колонны. Выбираем колонны первого и второго этажей крайних рядов серии 1.020-1/87 марки 2КНО48.1 (сечение 400х400); колонны средних рядов для первого и второго этажей серии 1.020-1/87 марки 2КНД48.1 (сечение 400х400); колонны третьего и четверного (верхнего) этажа крайних рядов серии 1.020-1/87 марки 2КВО48.1 (сечение 400х400); колонны третьего и четвертого этажей средних рядов серии 1.020-1/87 марки 2КВД48.1 (сечение 400х400).

Ригели. Ригели служат для соединения вертикальных опор здания. Для пролета здания 12 м выбираются ригели серии 1.420.1-19маркиРДП 8.112 и торцевые ригели марки РОП8.112;

Плиты перекрытий и покрытый. Покрытие предназначено для изоляции здания от внешних воздействий по верхней части здания. Плиты перекрытий служат для разделения здания на этажи. Плиты покрытий и перекрытий - предварительно напряженные сборные железобетонные конструкции. Выбираем плиты покрытия и перекрытия для 6 м шага серии 1.041.1-3 марки ПК56.15-7АтIVС-1 длиной 5560 мм.

Устройство кровли. По плитам покрытия укладывается обмазочная пароизоляция (битумный раствор или мастика), затем утеплитель (теплоизоляционный слой из керамзита толщиной 200 мм) для уменьшения теплопотерь. Далее укладывается цементная стяжка толщиной 50 мм для создания ровной поверхности и каналов для отвода воды. Последним слоем является водоизоляционный ковёр, состоящий из трех-четырех слоев рубероида, склеенных между собой битумной мастикой.

Стеновые панели. Стеновые панели предназначены для ограждения здания по высоте и поддержания необходимого тепло-влажностного режима. Для зданий с шагом колонн 6 м выбираем стеновые панели марки ПС 60.6.3.5-6Л серии 1.030.1-1.

Окна. Окна устанавливаются в соответствии с требованиями ГОСТ 12506-81 в бытовых и производственных помещениях с двойным остеклением в деревянных переплетах. Для зданий промышленных предприятий применяют окна, открывающиеся вовнутрь помещения. Выбираем окна марки ПВД 18-30.2П размер 3945х1760 мм.

Ворота и двери. Ворота принимаются в соответствии с ГОСТ 18853-73 «Ворота деревянные распашные для производственных зданий и сооружений. Принимаем ворота с калиткой, который могут использоваться как для прохода людей, так и для перемещения транспорта, марки ВРК 30-30 (2950х2900).

Лестницы. Для здания с высотой этажей 4,8 м выбираются лестничные марши серии 1.050.1-2 марки ЛМП57.11.15-5 и ЛМП57.11.17-5.

Конструкция пола. Полы устроены на отметке 0.000 по уплотненному грунту. При устройстве пола применяют послойную подготовку: песчаная подготовка - слой песка толщиной 60 мм; бутовый камень - толщиной 120 мм, щебень - толщиной 80 мм, цементная прослойка - толщиной 100 мм, гидроизоляция. Верхний слой пола заливается бетоном. На верхних этажах пол укладывается по плитам перекрытий. На плиту укладывают песчано-цементный раствор 50 мм (стяжку), гидроизоляцию и керамическую плитку.

8.2 Расчет вентиляции

Для обеспечения необходимых условий труда в пекарном отделении предусмотрена локализованная приточно-вытяжная вентиляция.

Расчет приточной вентиляции

Источниками тепла в хлебопекарном цехе является тупиковая печь. Тепловыделения от печи составляют Q = 31718 кДж/ч.

Примем 1 воздухораспределитель для подачи воздуха к печи. Необходимое количество приточного воздуха рассчитывается по формуле (38):

прит = Q/(Cв · dв · (tрз - tн)), (38)

где Q - выделяющая теплота, кДж/ч;

Св - теплоемкость воздуха, кДж;в - плотность воздуха, кг/м3;рз - температура рабочей зоны, К;н - средняя температура воздуха в летний период, К.

Количество приточного воздуха необходимое для подачи в рабочую зону около печи Bприт равняется

Вприт = 31718 / (1,008 ∙ 1,29 ∙ (300 - 294,5)) = 4435 м3/ч

Для обеспечения производительности системы на I участке 4435 м3/ч примем скорость движения воздуховода 4 м/с, динамическое сопротивление Рдин = 9,79 Н/м2, Rтр = 0,265 Н/м2, диаметр воздуховода d = 630 мм.

Местными сопротивлениями на I участке будут:

˗        4 поворота воздуховода на 90˚;

˗        сопротивление воздухораспределителя типа РВ.

Коэффициент местного сопротивления поворота воздуховода на 90° при R / d = 1,5 равен ξ90 = 0,17, тогда для четырех поворотов 4· 0,17 = 0,68.

Сопротивление воздухораспределителя типа РВ равен 1,3 - 1,4. Примем ξвр = 1,35.

Потери напора на трение R рассчитывают по формуле (39)

= Rтр · l, (39)

где l - длина участка, м.= 0,265 ∙ 37,6 = 9,95 Н/м2.

Потери напора на местных сопротивлениях Z равны:

= Ʃ ξ · v2 · ν / 2, (40)

где ∑ζ - сумма коэффициентов местного сопротивления.= (0.68 + 1.35) ∙ 9.79 = 19,9 Н/м2

Общие потери напора P на участке равны

= R + Z = 9,95 + 19,9 = 29,82 Н/м2 (41)

где R - потери напора на трение, Н/м2;- потери напора на местных сопротивлениях, Н/м2.

Расчетные данные приточной вентиляции сводятся в таблицу 40.

Таблица 40 - Сводная таблица расчета приточной вентиляции

№ уч.

Кол-во удаляемого воздуха, м3/ч

d, мм

v, м/с

l, м

Потери на трение

Динам-кое дав-е Н/м2

Ʃξ

Z, Н/м2

P, Н/м2






Rтр

На участке





1

4490

630

4

37,6

0,265

9,95

9,79

2,03

19,9

29,82


Выбирается вентилятор марки В.Ц4-75-4 (Е5.100-1), характеристики которого представлены в таблице 41.

Таблица 41 - Характеристики вентилятора В.Ц4-75-4 (Е5.100-1)

Условное обозначение характеристики

вентилятор

Двигатель

масса вентилятора с двигателем, кг


номер

диаметр колеса %, D ном

частота вращения, n об/мин

тип

мощность кВт

частота вращения, об/мин


Е5.100 - 1

5

100

900

4А71В6

0,55

900

91,1


Для данного вентилятора полное сопротивление составляет 160 Н/м2. Чтобы в системе потери напора составляли 29,82 Н/м2, необходимо установить дроссель-клапан. Коэффициент местного сопротивления дроссель-клапана находится по формуле 42.

ξдр = (Pприн - Pрасч) / (v32·ν / 2), (42)

где Pприн, Pрасч - значения принятого и рассчитанного сопротивления вентилятора соответственно, Н/м2.

ξдр = (160 - 29,82) / (7,9 / 2) = 32,96.

Для значения ζдр = 32,96 будет двухстворчатый дроссель-клапан с углом поворота створок 60˚.

Расчет калорифера для нагрева приточного воздуха

Калорифер предназначен для нагревания воздуха в системе приточной вентиляции.

Расход тепла на нагрев воздуха рассчитывается по формуле 43

вент = Bприт · dв · Cв · (tк - tн), (43)

где dв - плотность воздуха, кг/м3;

Св - теплоемкость воздуха, кДж/кг;- температура в рабочей зоне, ˚С;н - температура наружного воздуха в холодный период года, ˚С.вент = 4490 · 1,29 · 1,008 · (22 - (-26)) = 280245 кДж/ч = 77845,8 Вт.

Задаемся массовой скоростью движения воздуха через живое сечение для прохода воздуха равной vм = 4 кг/м3·с. Определим необходимую площадь живого сечения f1 для калориферной установки для прохода воздуха= 4490·1,29 / 4·3600 = 0,4 м2.

Устанавливается один калорифер марки КСк3-9-02 АХЛ3 с f = 0,455 м2.

Определим действительную массовую скорость воздуха по формуле 44

м = Bприт · dв / f · 3600 (44)м = 4490 · 1,29 / 0,455 · 3600 = 3,5 кг/м2 · с.

Находим расход воды для нагрева воздуха по формуле 45

н2о = Qвент / 4,19 ·106·(tгоp - tобр) (45)

где 4,19 · 106 - коэффициент пересчета;гоp - температура воды на входе в калорифер, ˚С;обр - температура воды на выходе из калорифера, ˚С.н2о = 77845,8 / 4,19 · 106 · (150 - 70) = 0,00023 м3/с.

Определим скорость движения воды в трубах калорифера по формуле 46

ω = Gн2о / fжс (46)

где fжс - живое сечение трубы калорифера для прохода воды, м2.

ω = 0,00023 / 0,000846 = 0,27 м/с.

Для модели КСк находим коэффициент теплопередачи калориферов К = 41,39 Вт/м2 · с.

Вычислим необходимую площадь поверхности нагрева калорифера по формуле 47

Fy´ = Qвент/ К · [((tгоp +tобр ) / 2) - tк / 2], (47)

Fy´ = 77845,8 / 41,39 · [((150 + 70) / 2) - 22 / 2] = 19 м2.

Общее количество калориферов определяется по формуле 48

= Fy / Fк, (48)= 19 / 22,5 = 0,8 ≈ 1 шт.

Определим % избыточного теплового потока, создаваемого калорифером по сравнению с требуемым расходом теплоты, по формуле 49

З = (n · Fк - Fy´) · 100 / Fy´, (49)

З = (1 · 22,5 - 19) · 100 / 19 = 18,4 %.

По массовой скорости воздуха во фронтальном сечении калорифера определим аэродинамическое сопротивление установленного калорифера по П2 равное ΔP = 60,08 Па.

Расчет вытяжной вентиляции.

Для удаления паров и выделяющихся газов от хлебопекарной печи используется вытяжная вентиляция. Удаление газов происходит из пекарной камеры с помощью вытяжного зонта.

Объем воздуха, отсасываемого зонтом за единицу времени (производительность), м3/ч, находят из формулы

= F ∙ v ∙ 3600, (50)

где F - площадь рабочего проема (приемной части) зонта, м2; v - скорость движения воздуха в приемной части зонта, м/с. L = 0,64 ∙ 0,75 ∙ 3600 = 1728 м3/ч.

Для обеспечения производительности системы на участке 1728 м3/ч скорость движения воздуха примем 6,4 м/с тогда динамическое давление v12·ν / 2 = 25,1 Н/м2, Rтр1 = 1,48 Н/м2, диаметр воздуховода d1 = 315 мм.

На I участке местными сопротивлениями являются:

)        местный отсос;

)        поворот воздуховода на 90°.

Местным отсосом является зонт с решеткой, коэффициент местного сопротивления которой равен 1,8. Коэффициент местного сопротивления поворота воздуховода на 90° при R/d = 1,5 равен 0,17.

Общие потери напора P на I участке рассчитываются по формуле

= R + Z, (51)

Потери напора на трение находятся по формуле

R = Rтр · l, (52)= 1,48 · 8,5 = 12,58 Н/м2.

Потери напора на местных сопротивлениях рассчитываются по формуле

= Ʃ ξ · v2 · ν / 2, (53)= (0,85 + 1,8) · 25,1 = 66,5 Н/м2,= 12,58 + 66,5 = 79,1 Н/м2.

Полученные данные расчета вытяжной вентиляции сводятся в таблицу 42.

Таблица 42 - Сводная таблица расчета вытяжной вентиляции

№ уч.

Кол-во удаляемого воздуха

d, мм

v, м/с

l, м

Потери на трение

Динам-кое дав-е Н/м2

Ʃ ξ

Z, Н/м2

P, Н/м2






Rтр

На участке





1

1795

315

6,4

8,5

1,48

12,58

25,1

2,65

66,5

79,1


Выбирается вентилятор марки В.Ц4-75-4, характеристики которого представлены в таблице 43.

Таблица 43 - Характеристики вентилятора марки В. Ц4 - 75 - 4 (Е4. 110 - 1)

Условное обозначение характер-ки

вентилятор

двигатель

масса вентилятора с двигателем, кг


номер

диаметр колеса %, Dном

частота вращения, n об/мин

тип

мощность кВт

частота вращения, об/мин


Е3,15.090-1

3,15

90

1375

4АА56А4

0,12

1375

35,5


Для данного вентилятора полное сопротивление составляет 90 Н/м2. Чтобы в системе потери напора составляли 79,1 Н/м2, необходимо установить дроссель-клапан рассчитывается по формуле (54)

ξдр = (Pприн - Pрасч) / (v32·ν / 2), (54)

ξдр = (90 - 79,1) / (25,1 / 2) = 0,87.

Для значения ξдр = 0,87 будет двухстворчатый дроссель-клапан с углом поворота створок 20°.

9. Организационно-экономический раздел

ОАО Каравай - один из старейших хлебозаводов Нижнего Новгорода, работающий уже более 70 лет. Продукция предприятия представлена в большинстве крупных сетей города. На предприятии трудятся высококлассные специалисты, владеющие уникальными знаниями и опытом, сохраняющие и поддерживающие классические традиции хлебопечения. Для производства используется только отборное сырье высшего качества, и на всех этапах производства специалисты контролируют соблюдение технологии. Совершенствование технологий производства и лабораторных исследований способствуют постоянному расширению ассортимента.

Благодаря постоянному финансированию производственной структуры, на предприятии функционирует современное оборудование импортного и отечественного производства. ОАО «Каравай» постоянно ведет сотрудничество с европейским производителями оборудования для хлебопечения, заключая перспективные долгосрочные контракты. Поэтому качество продукции ОАО «Каравай» как хлебобулочной, так и кондитерской отвечает требованиям европейского уровня.

В структуру предприятия входят: цех по производству хлебобулочных изделий, цех производства кондитерских изделий, участок упаковки готовой продукции, сухарный цех.

Основной вид деятельности предприятия - производство хлебобулочных изделий. Предприятие является открытым акционерным обществом.

Открытое акционерное общество (ОАО) - общество, участники которого могут отчуждать принадлежащие им акции без соглашения других акционеров.

Имеет самостоятельный баланс, расчетный и иные счета; имеет в собственности обособленное имущество; может от своего имени совершать сделки.

Высшим органом управления ОАО «Каравай» является общее собрание акционеров.

Осуществляет следующие виды деятельности:

·        производство, переработка и реализация продуктов;

·        розничная и оптовая торговля;

·        торгово-закупочная и посредническая деятельность.

.1 Исследование и анализ рынка

На данный момент времени состояние дел у фирм, занимающихся производством хлебобулочных изделий, вполне хорошее. Об этом свидетельствуют следующие факты:

1) за последние 2 - 3 года в этой отрасли в России возникло около 80 новых предприятий и почти каждое из них нашло свой источник реализации продукции;

) все продажи в основном держатся на одном и том же уровне, причём стоит отметить, что это уровень безубыточности, где все издержки производства окупаются.

Сбыт продукции хлебозавода «Каравай» осуществляется на территории города Нижний Новгород. Круг потребителей - все слои населения с различным уровнем дохода.

.2 Расчет капитальных затрат на оборудование

В комплект оборудования входят:

·        весовой дозатор;

·        тестомесильная машина;

·        дежа объемом 160 л;

·        тестоспуск с опрокидывателем;

·        укладчик-делитель теста;

·        расстойно-печной агрегат;

·        хлеборезательная машина;

·        упаковочная машина.

Стоимость оборудования сводится в таблицу 44.

Таблица 44 - Стоимость оборудования

Наименование оборудования

Количество, штук

Стоимость, т.р.




за единицу

всего

1

Весовой дозатор

1

110

110

2

Тестомесильная машина

1

350

350

3

Дежа объемом 160 л

3

30

90

4

Тестоспуск с опрокидывателем

1

155

155

5

Укладчик-делитель теста

1

550

550

6

Расстойно-печной агрегат

1

4170

4170

7

Хлеборезательная машина

1

450

8

Упаковочная машина

1

200

200


Итого

6075


Стоимость приобретения и монтажа оборудования заносим в таблицу 45.

Таблица 45 - Стоимость приобретения и монтажа оборудования

Стоимость оборудования всего, т.р.

Затраты, т.р.

Общая стоимость оборудования, т.р.



тара и упаковка

транспортировка

заготовительские операции

монтаж


1

110

1,1

7,7

1,1

71,28

191,18

2

350

3,5

24,5

3,5

226,8

608,3

3

90

0,9

6,3

0,9

58,32

156,42

4

155

1,55

10,85

1,55

100,44

269,39

5

550

2,75

38,5

5,5

352,75

951,5

6

4170

20,85

291,9

41,7

2689,65

7214,1

7

450

4,5

31,5

4,5

291,6

782,1

8

200

2,0

14

2,0

129,6

347,6


Итого

10520,59


9.3 Определение себестоимости продукции

Потребность в сырье для производства хлеба белого из муки 1 сорта с использованием йодхитозана на один год работы предприятия представлена в таблице 46.

Таблица 46 - Потребность в сырье на год работы

Вид сырья

Единица измерения

Потребность на год, кг

Цена за единицу, руб

Стоимость сырья в год, т.р.

Мука

кг

129026

11

1419,3

Дрожжи

кг

2223,5

30

66,7

Соль

кг

1961,9

10

19,7

Йодхитозан

кг

65,4

40000

2616

Вода

кг

93603,1

1,5

140,4

Упаковка

рулон

550

250

137,5

Итого

4399,6


Затраты на заработную плату представлены в таблице 47.

Таблица 47 - Затраты на заработную плату

Должность

Количество рабочих

Размер з/п на 1 человека, руб

Размер з/п на всех рабочих, руб

Годовой размер оплаты труда, руб

Тестовод

3

15000

45000

540000

Пекарь

3

18000

54000

648000

Хлеборез

3

15000

45000

540000

Упаковщик

3

15000

45000

540000

Экспедитор

3

17000

51000

612000

Инженер-технолог

1

25000

25000

300000

Сменный технолог

2

20000

40000

480000

Разнорабочие

2

13000

26000

312000

Водитель

1

18000

18000

216000

Итого

4188000


Отчисления на социальные нужды составляют 30% от заработной платы персонала.

Отчисления для производственных рабочих составляют.

(540000 + 648000 + 540000 + 540000 + 612000 + 480000 + 312000 + 216000) ∙ 0,3 = 1166400 руб.

Отчисления для административно-управленческого персонала составляют.

∙ 0,3 = 90000 руб

Амортизацию основных фондов рассчитывают по формуле 55

А = Сперв · На, (55)

где Сперв - первоначальная стоимость, руб;

На - норма амортизации, %.

Для проекта первоначальная стоимость равна

Сперв = 6075000 + 4399600 = 10474600 руб.

Норму амортизации На рассчитывают по формуле 56

На = 1 ∙ 100% / Та, (56)

где Та - срок полезного использования, Та = 15 лет.

На = 1 ∙ 100% / 15 = 7%

Амортизация основных фондов проекта равна

Аа = 10474600 ∙ 7 / 100 = 733 222 руб.

Непроизводственные затраты на электроэнергию составляют 146000 рублей в год.

Производственные затраты на электроэнергию представлены в таблице 48.

Таблица 48 - Производственные затраты на электроэнергию


Количество затрачиваемой электроэнергии на производственные нужды в час, кВт

Эффективный годовой фонд времени работы линии, ч

Количество затрачиваемой электроэнергии в год, кВт

Стоимость 1 кВт/ч, руб

Затраты на электроэнергию в год, руб

Проект

87,157

5686,7

495636

2,0

991271


Определение себестоимости единицы продукции представлено в таблице 49.

Таблица 49 - Калькуляция себестоимости продукта

Виды затрат

Затраты за год, руб.

Сырье и материалы

4399600

Эл/энергия на производственные нужды

991271

З/плата производственных рабочих

3888000

Отчисления на социальные нужды

1166400

Амортизация основных фондов

738222

З/плата АУП

300000

Отчисления на социальные нужды

90000

Эл/энергия на непроизводственные нужды

146000

Итого себестоимость

11714493


Выпуск изделия составляет 500000 шт/год, тогда себестоимость единицы продукции будет равна 11714493 / 500000 = 23,43 руб.

Цена единицы продукции складывается из учета себестоимости, прибыли (25%) и налогов (10%).

Цена единицы продукции представлена в таблице 50.

Таблица 50 - Цена единицы продукции

Себестоимость

23,43

Прибыль

5,85

НДС

2,34

Цена

31,62


Прибыль от реализации продукции Пр, руб, рассчитывают по формуле 57

Пр = Vр (С - Ссеб), (57)

где Vp - объем проданной продукции, кг;

С - цена одной единицы продукции, руб;

Ссеб - себестоимость одной единицы продукции, руб.

Прибыль от реализации продукции аналога будет равняться

Пр = 500000 ∙ (31,62 - 23,43) = 4095000 руб.

.4 Расчет экономического эффекта от внедрения проекта (ЧДД) и срока окупаемости

Суммарный экономический эффект, получаемый за время Т, находится из формулы

 (58)

где ЧДД - чистый дисконтированный доход, руб;

П - денежные поступления в период t (прибыль), руб;- ставка дисконтирования, r = 18%;- инвестиции в проект, руб, J = 10520590 руб;- период времени, в который осуществляется вложение средств, i=0, так как вложения осуществляются единовременно в начале проекта.

Рассчитаем дисконтированные поступления за каждый год. Результаты расчета представлены в таблице 51.

Таблица 51 - Расчет срока окупаемости

t, год

ЧДДt, руб


1 год

3470339

3470339

-7050251

< 0

2 год

2946043

6416382

-4104208

< 0

3 год

2496951

8913333

-1607257

< 0

4 год

2110824

11024157

503567

> 0


Проект окупается более чем за 3 года, но менее чем за 4. Рассчитаем дробную часть. После третьего года непокрытый остаток составит 1607257 руб. До полного срока окупаемости не хватает 1607257 / 2110824 = 0,76 года ≈ 9 месяцев. Таким образом проект окупится полностью за 3 года и 9 месяцев.

Заключение

хлебобулочный тестомесительный заготовка выпекаемый

1.      Проведен обзор научно-технической литературы, патентной информации отечественных ученых в области разработки новых технологий производства функциональных продуктов.

.        Предложена технология производства пшеничного хлеба с добавкой йодхитозана, благодаря которому изделие обогащается йодом, а также приобретает дополнительные лечебно-профилактические свойства.

.        Обоснован выбор йодсодержащей добавки и её количественное содержание (0,05% добавки к массе муки).

.        Произведен конструктивный расчет аппарата тестомесильной машины марки А2-ХТ-ЗБ и представлен его чертеж;

.        Разработаны мероприятия, обеспечивающие безопасность и экологичность проекта; рассчитано искусственное освещение в тестоприготовительном отделении;

.        В строительной части был произведен подбор фундамента, фундаментных балок, колонн, стропильных систем, стен, окон, дверей, лестниц. Произведен расчет приточно-вытяжной вентиляции. Представлено размещение технологического оборудования в цехе производства;

.        В экономической части произведен расчет себестоимости, цены продукта и срока окупаемости проекта. Себестоимость составила 23,43 рублей, цена - 31,62 руб. проект окупиться полностью за 3 года и 9 месяцев.

Список литературы

1. ГОСТ Р 52349-2005. Продукты пищевые. Продукты пищевые функциональные. Термины и определения. - М.: Стандартинформ, 2006.

. Козьмина Н.П. Биохимия хлебопечения / Н.П. Козьмина. - М.: ПищПром, 1971. - 489с.

3. Хитин и хитозан: Получение, свойства и применение / Под. ред. К.Г. Скрябина, Г.А. Вихоревой, В.П. Варламова. - М..: Наука, 2002. - 368с.

. Скрябин К.Г., Михайлов С.Н., Варламов В.П. Хитозан: монография. - М.: Центр «Биоинженерия» РАН, 2013. - 593с.

. Полещук Д.В. Разработка технологий пищевых функциональных продуктов на основе биомодификации молок лососевых с использованием хитозана: дис. ... канд. техн. наук : 05.18.04 / Полещук Денис Владимирович. - Владивосток, 2014. - 131с.

. ГОСТ 33310-2015. Добавки пищевые. Загустители пищевых продуктов. Термины и пределения. - М.: Стандартинформ, 2016.

. Патент RU 2380984 C1 A L. Биологически активная добавка к пище для профилактики йодной недостаточности и способ ее получения / А.Н. Мамцев, A.Н. Байматов, Ф.Х. Камилов, Е.Е. Пономарев, A.M. Нестерова, Л.И. Васильев, Л.Ф. Пономарева, О.В. Лобырева. В.Н. Козлов - Заявл. 08.07.2008; Опубл. 10.02.2010 // Бюл. - 2010. - № 4.

. Мударисова Р.Х. Образование фиолетового комплекса при взаимодействии хитозана с йодом / Р.Х. Мударисова, Н.Р. Ершова, Е.И. Кулиш, С.В. Колесов // Вестник Башкирского государственного университета. - № 3, Т. 15. - 2010. - С. 585 - 586.

. Мамцев А.Н. К вопросу о механизмах стабилизации йода в биополисахаридах / А.Н. Мамцев, М.В. Динякова, Е.П. Мехоношин, В.Н. Козлов // Технология 21 века в легкой промышленности. Электронное научное издание. 2012. №6.

. Шарипова С.Г. Иммобилизация йода на хитозановой матрице / С.Г. Шарипова, Е.Е. Понамарев, Н.Р. Ершова, Р.Х. Мударисова, Е.И. Кулиш // Вестник Башкирского государственного университета. - № 4, Т. 15. - 2010. - С. 1122 - 1123.

. Фаррель М., Кеттельхат Б. Пищевая аллергия. // Клиническая иммунология и аллергия. - М., 2000. - 409с.

. Патент RU 2321274 С2 А L. Йодсодержащая биологически активная добавка / И.А. Бондарева, А.Н. Мамцев, В.Н. Козлов, Ф.Х. Камилов, В.Н. Байматов - Заявл. 17.03.2006; Опубл. 10.04.2008 // Бюл. - 2008. - № 10.

. Пономарев Е.Е. Витаминный состав хлеба обогащенного йодом / Е.Е. Пономарев, В.Н. Козлов, Л.Ф. Пономарева // Приволжский научный вестник. - № 4. - 2012. - С. 22 - 24.

. Пономарев Е.Е. Изучение процессов трансформации аминокислот в йодобогащенных сортах хлеба / Е.Е. Пономарев, В.Н. Козлов, Л.Ф. Пономарева // Вестник Башкирского государственного университета. - № 6, Т. 15 - 2010. - С. 511 - 512.

. Патент RU 2474123 C1 A D. Способ производства йодированного хлеба / А.Н. Мамцев, Е.Е. Пономарев, В.Н. Козлов, Л.Ф. Пономарева, М.В. Сокольников - Заявл. 13.09.2011; Опубл. 10.12.2013 // Бюл. - 2013. - № 4.

. Пушмина И.Н. Формирование качества и потребительских свойств функциональных хлебобулочных изделий с использованием растительных добавок / И.Н. Пушмина // Вестник КрасГАУ. - 2010. - №11. - С.51 - 58.

. Велданова М.В. Йод - знакомый и незнакомый / М.В. Велданова, А.В. Скальный. - М.: Автономная некоммерческая организация, 2001. - 83с.

. Аникина Е.Н. Исследование и разработка технологии биопродукта с овсяным толокном: дис. … канд. техн. наук : 05.18.04 / Аникина Елена Николаевна. - Омск, 2014. - 140с.

. Дедов И.И. Эндокринология: учебник для мед.вузов / И.И. Дедов, Г.А. Мельниченко, В.В. Фадеев - М.: ГЭОТАР-Медиа, 2008. - 430с.

Похожие работы на - Разработка технологической линии производства пшеничного хлеба с добавкой йодхитозана

 

Не нашли материал для своей работы?
Поможем написать уникальную работу
Без плагиата!
Без нейросетей!