Теория обработки материалов давлением
Содержание
Введение
Интерпретация
кривой упрочнения металлов с позиций теории дислокаций
Условие
пластичности Г. Треска - Б. Сен-Венана
Задача
№6
Задача
№26
Анализ
процесса«Листовая вытяжка»
Заключение
Список
использованной литературы
Приложение
А
Введение
Курс «Теория обработки материалов давлением»
предваряет основные технологические дисциплины и является базой и основой для
их изучения.
Теория ОМД включает в себя элементы физики
твердого тела, материаловедения, механики деформируемой сплошной среды. Она
базируется на физике и химии металлов, теории упругости, ползучести и
пластичности.
Главной задачей теории ОМД является анализ и
разработка принципиальных основ обработки металлов давлением для получения
изделий требуемой формы и соответствующего качества.
Цель курсовой работы - систематизация,
углубление и расширение
знаний, а также применение этих знаний к
комплексному решению задач по моделированию процессов ОМД, их анализу и
оптимизации технологических параметров.
Задачами курсовой работы являются: рассмотрение
физико-химических условий, необходимых для протекания процесса формоизменения
металлов и сплавов; формулирование основных законов пластической деформации
металлов; анализ напряженно-деформированного состояния в процессах ОМД;
освоение методик расчета напряжений, деформаций и усилий, действующих в очаге
деформации, а также работ и мощностей процессов ОМД.
Интерпретация кривой упрочнения металлов с
позиций теории дислокаций
давление формоизменение
деформированный дислокация
Кривые упрочнения дают зависимость величины
напряжения, действующего в пластически деформируемом теле при линейном
напряжённом состоянии, от величины деформации.
Так как напряжения, вызывающие пластическую
деформацию, зависят от многих факторов, в том числе от температурно-скоростных
условий деформирования, то кривые упрочнения для каждого металла и сплава
следует устанавливать применительно и конкретным температурно-скоростным
условиям деформирования.
Меняющиеся в зависимости от величины деформации
напряжения, вызывающеепластическую деформацию при линейном напряженном
состоянии при данных температурно-скоростных условиях деформирования, называют
напряжения текучести и обозначают σs.
Для экспериментального определения σs
необходимо создать такие условия деформирования, при которых деформации
равномерно распределены по деформируемой части заготовки, а напряженное
состояние - линейное. Наиболее подходящим для построения кривых упрочнения
являются данные, получаемые из испытания на растяжение или сжатие (осадку).
Если в этих испытаниях имеет место линейное напряженное состояние, то
напряжение текучести определяется как частное от деления усилия деформирования
на истинную площадь поперечного сечения образца в данный момент деформирования.
В зависимости от принятого показателя степени
деформации различают кривые упрочнения первого и второго рода. В кривых
упрочнения первого рода напряжение текучести даётся в зависимости от
относительного
удлинения, а в кривых второго
рода - от относительного сужения.
Заметим, что при построении кривых упрочнения по
данным испытания на осадку деформацией первого рода является относительное
увеличение диаметра образца, а второго рода - относительное уменьшение высоты
образца. Эти деформации эквивалентны по упрочняющему эффекту деформациям
относительного удлинения и относительного сужения при испытании на растяжение.
При отыскивании приближенных зависимостей,
учитывающих влияние упрочнения на процесс деформирования, в теории обработки
металлов давлением часто используют линейную аппроксимацию кривой упрочнения.
В качестве прямой, приближенно характеризующей
изменения напряжения текучести в зависимости от деформации, чаще всего
принимают касательную, проведённую к кривой упрочнения в точке, соответствующей
окончанию этапа равномерного удлинения при линейном растяжении и началу
образования шейки. Известно, что этому моменту соответствует максимум на кривой
усилие - деформация или условное напряжения -деформация, где под условным
напряжением понимается частное от деления растягивающего усилие Р на исходную площадь
поперечного сечения F0:
(1.1)
В то же время усилие в любой момент
деформирования можно выражать через напряжения текучести σs
и действительную площадь поперечного сечения образца F в данный момент
деформирования :
Р=σsF
(1.2)
Кривыми упрочнения можно пользоваться для
анализа характера и степени влияния упрочнения на величину необходимых для
деформирования усилий при обработке металлов давлением. Для облегчения
аналитического решения задачи по установлению влияния упрочнение на величину
усилия деформирования и на распределение напряжений в деформируемом теле
необходимо кривую упрочнения представить в виде уравнения, связывающего
напряжение текучести со степенью деформации. С целью упрощения функциональной
зависимости напряжений текучести от степени деформации кривую упрочнения
заменяют прямой линией или степенной кривой.
Условие пластичности Г. Треска - Б. Сен-Венана
На основании опытных данных Треска (1864 г.)
установил ,что для начала пластической деформации максимальное касательное
напряжения должно достигнуть определённой, постоянной для данного металла
величины .
Сен-Венан на основании опытов Треска предложил
условие пластичности, состоящее в то, что тело тогда начинает деформироваться
пластически, когда максимальное касательное напряжения достигнет некоторого
определённого значения независимо от схемы напряжённого состояния. При линейном
напряженном состоянии, например при растяжении стержня, появляются касательные
напряжения:
(2.1)
где а -угол между осью стержня и нормалью к
площадке.
Касательное напряжение достигнет максимального
значения,а=45,

(2.2)
При объёмном напряжении состояния на
площадках, проходящих через одну из главных осей и наклоненных под углом 45 к
двум другим, появляются максимальные касательные напряжения:
(2.3)
При
наибольшую
величину имеет
и достижение им
предельного значения
определяет начало
пластической деформации:
(2.4)
Итак, теория пластичности Сен-Венана может быть
сформулирована так: пластическая деформация наступит тогда, когда максимальная
разность главных нормальных напряжений достигнет величины сопротивления
деформации. Согласно условию постоянства максимального касательного напряжения,
переход тела из упругого состояния в пластическоеопределяется только разностью
максимального σ1 и минимального σ3
напряжений и не зависит от величины среднего напряжения σ2.
М. Губер (1904 г.), З. Мизес (1913 г.), Г. Генки
(1924 г.) предложил новое условие пластичности, имеющее несколько формулировок.
Одна из формулировок следующая: пластическая деформация наступит тогда, когда
интенсивность напряжений достигает величины, равной пределу текучести
(сопротивлению деформации) прилинейном напряжённом состояния. Условие
пластичности может быть получено из энергетического условия: пластическая
деформация тела наступит тогда, когда потенциальная энергия
упругой
деформации, направленная на изменение формы тела, достигнет определённого
значения независимо от схемы напряженного состояния.
Исключение энергии, затраченной на изменение
объёма, из условия перехода тела в пластическое состояние понятно, так как
изменение объёма обусловлено шаровым тензором, не изменяющим форму.
Задача №6
Определить энергию дислокации U, приходящуюся на
единицу её длины, если модуль упругости материала E=1,2
МПа, коэффициент Пуассона m = 0,32 и вектор Бюргера b = 2
2,55
= 5,1
.
Решение:
Формула для определения энергии дислокации:
U=
;
Находим модуль сдвигаGпо следующей формуле:
G =
;
G =
=
=
0.45
Па;
Подставляем все известные и полученные значения
в формулу, для определения энергии дислокации:
U =
Дж.
Ответ: U = 5.85
Дж.
Задача №26
При некоторой операции ОМД главные напряжения
оказались равными:
МПа,
МПа,
МПа.
Установить вид схемы главных деформаций.
Решение:
, следовательно,
условие постоянства объёма выполняется.
Рисунок 4.1. - Схема главных деформаций
Схема главных деформаций: с одной отрицательной
деформацией и двумя положительными, то есть сжатие.
Анализ операции «Листовая вытяжка»
Таблица 5.1 - Характеристика
материала
|
Марка
|
М4
|
|
Классификация
|
Медь
|
|
Применение
|
Пластины,
контакты, прокладки,шайбы неответственные токопроводящие.
|
Таблица 5.2 - Физические свойства
материала
|
Модуль
упругости E, МПа
|
Модуль
сдвига
G,
МПа
|
Плотность
P, кг/куб.м
|
|
115000
|
42400
|
8940
|
Таблица 5.3 - Механические свойства
материала
|
Состояние
|
Временное
сопротивление σв, МПа
|
Предел
текучести σt, МПа
|
Относительное
сужение ψ, %
|
Относительное
удлинение после разрыва δ, %
|
Твёрдость
по Бринеллю HB
|
|
отожженная
|
220
|
70
|
70
|
50
|
40
|
|
деформированная
|
450
|
380
|
55
|
5
|
120
|
Таблица 5.4 - Химические состава
материала, (%)
|
Марка
|
Cu
|
Примеси
(не более)
|
|
|
Bi
|
Sb
|
As
|
Fe
|
Ni
|
Pb
|
Sn
|
S
|
O2
|
Zn
|
P
|
Ag
|
Всего
|
|
99,0
|
0,005
|
0,2
|
0,2
|
0,1
|
-
|
0,3
|
-
|
0,02
|
0,15
|
-
|
-
|
-
|
1,0
|
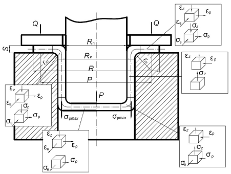
Анализ процесса листовой вытяжки начинается с
изучения схемы этого процесса и механической схемы деформации (схемы главных
напряжений и деформаций), приведенных на рисунке 5.1.
Исходные данные
Исходный
радиус заготовки, мм………………………………….R0 = 40
Радиус
пуансона, мм……………………………………………….Rp= 22
Толщина
заготовки, мм…………………………………………….S = 3
Радиус
матрицы и пуансона, мм.........................................................Rn=rm
Материал……………………………………………………………М4
Температура
обработки, ºС………………………….......................Т
= 20
t = 380 МПа - напряжение текучести материала; =
450МПа - предел прочности материала;
ᴪ0 = 0.55 - предел относительного сужения
площади поперечного сечения образца при шейкообразовании.
Рисунок 5.1 - Схема процесса листовой вытяжки
При вытяжке плоской заготовки (рисунок 5.1)
пластическую деформацию получает фланец заготовки и часть заготовки на
скругленной кромке матрицы. Остальная часть заготовки деформируется упруго.
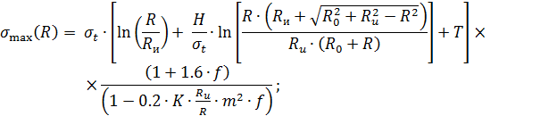
Определение радиальных напряжения в опасном
сечении
Радиальные напряжения pmax определяются следующим
образом:
;
;
;
;
;
,(5.1)
где R - переменный радиус в диапазоне отR0 доRu.
Для определения экстремального значения emax
строим график зависимости max в функции от R.
Данный диапазон для R разбивается на 4-5 точек,
и рассчитывается
величина maxпо выражению (5.1),
после чего строится зависимость
max = f (Ri) (рисунок 5.2).
Рисунок 5.2 - График зависимости max = f
(Ri)
Из рисунка 5.2 определяем экстремальное значение
радиального напряжения в опасном сечении emax= 436.34, которому
соответствует экстремальное значение радиуса Rе= 35.05.
Определение усилия прижима
Минимальная величина усилия прижима,
необходимого для предотвращения складкообразования при вытяжке цилиндрических
стаканов:
,
(5.2)
Распределение контактных напряжений на прижиме
Данное распределение определим для стадии
вытяжки, когда возникает экстремальное значение радиального напряжения в
опасном сечении emax, которому соответствует экстремальное значение радиуса Rе.
;
,
(5.3)
Переменная величина p изменяется в диапазоне
[Rи;Rе ].
В соотношении (5.1) для установления зависимости
необходимо вместо p подставить 4-5 значений радиуса на прижиме из указанного
диапазона и построить требуемый график (рисунок 5.3).
Рисунок 5.3 - Распределение контактных
напряжений на прижиме
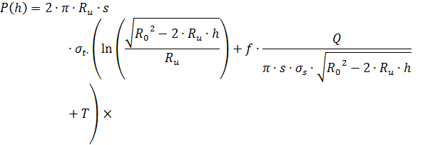
Определение зависимости усилия вытяжки от хода
пуансона
Зависимость усилия вытяжки без упрочнения от
пути пуансона при
малых
по сравнению с размерами заготовки значениями Rnи rm записывается в виде:
; (5.4)
В данном выражении необходимо найти конечную
высоту стакана hk, вытягиваемого из заготовки диаметром D0 = 2R0 , для
построения графика P = f (hi) . Максимальная величина хода пуансона будет равна
этой высоте.
Величину hk определяем по формуле:
; (5.5)
В результате подстановки численных значений
находим h.
В зависимость подставляем значения высоты стакана
в диапазоне [0; hr], разбив его на равное количество интервалов. После чего
можно построить зависимость P = f (h) (рисунок 5.4).
Рисунок 5.4 - Зависимость усилия вытяжки от хода
пуансона
Заключение
В ходе выполнения курсового проекта рассмотрели
вопросы понятие об упругой и пластической деформациях металлов. Основные
механизмы упругой и пластической деформаций металлов. Все виды
деформаций.Основные особенности пластического контактного трения, его отличия
от не пластического контактного трения. Работали в среде Mathcad.
Список использованной литературы
Сторожев
М.В. и Попов Е.А. «Теория обработки материалов давлением» Машиностроение, 1978
г.
Смирнов
В.С. «Сборник задач по обработке материалов давлением» Металлургия, 1973 г.
Северденко
В.П. «Лабораторный практикум по теории машин и технологий обработки материалов
давлением» Минск, Вышэйшая школа, 1975 г.
Громов
Н.П. «Теория обработки материалов давлением». Металлургия, Москва, 1978 г.
Данилин
Г.А «Теория и расчеты пластического формоизменения» -2004г.
Качанов
Л.М «Основы теории пластичности» - 1969 г.