Проект газовой котельной мощностью 22,0 МВт

  • Вид работы:
    Дипломная (ВКР)
  • Предмет:
    Другое
  • Язык:
    Русский
    ,
    Формат файла:
    MS Word
    562,19 Кб
  • Опубликовано:
    2017-02-15
Вы можете узнать стоимость помощи в написании студенческой работы.
Помощь в написании работы, которую точно примут!

Проект газовой котельной мощностью 22,0 МВт

СОДЕРЖАНИЕ

ВВЕДЕНИЕ

. ХАРАКТЕРИСТИКА СУЩЕСТВУЮЩЕЙ СИСТЕМЫ ТЕПЛОСНАБЖЕНИЯ И АНАЛИЗ ЭФФЕКТИВНОСТИ ЕЕ РАБОТЫ

. ОПРЕДЕЛЕНИЕ РАСЧЕТНЫХ ЧАСОВЫХ РАСХОДОВ ТЕПЛОТЫ НА ОТОПЛЕНИЕ, ВЕНТИЛЯЦИЮ И ГОРЯЧЕЕ ВОДОСНАБЖЕНИЕ

.1 Расчет тепловых нагрузок на отопление по удельной тепловой характеристике

.2 Расчет тепловых нагрузок на вентиляцию по удельной тепловой характеристике

.3 Расчет тепловых нагрузок на горячее водоснабжения по удельной характеристике

. ОПРЕДЕЛЕНИЕ РАСЧЕТНЫХ ЧАСОВЫХ РАСХОДОВ СЕТЕВОЙ ВОДЫ

.1 Расчет расходов сетевой воды на отопление

.2 Расчет расходов сетевой воды на вентиляцию

.3 Расчетный расход сетевой воды

. ГОДОВЫЕ РАСХОДЫ ТЕПЛОВОЙ ЭНЕРГИИ

. ГИДРАВЛИЧЕСКИЙ РАСЧЕТ ВОДЯНОЙ ТЕПЛОВОЙ СЕТИ

.1 Расчет гидравлического режима тепловой сети

.2 Тепловые потери и величина охлаждения воды в трубопроводах

.3 Пьезометрический график

.4 Технические характеристики тепловой сети

.4.1 Общие данные тепловой сети

.4.2 Расчет тепловой изоляции

. РЕГУЛИРОВАНИЕ ТЕПЛОВОЙ НАГРУЗКИ

.1 Построение отопительно-бытового графика

.2 Построение графиков часового и годового расходов теплоты

. ПОДБОР ОСНОВНОГО ОБОРУДОВАНИЯ КОТЕЛЬНОЙ

.1 Расчет тепловой схемы котельной

.2 Подбор оборудования котельной

.2.1 Котельные агрегаты

.2.2 Подбор газовой горелки

.2.3 Подбор газового оборудования

.3 Вспомогательное оборудование

7.3.1 Подбор сетевого теплообменника для контура горячего водоснабжения

7.3.2 Подбор сетевых насосов контура горячего водоснабжения

.3.3 Подбор сетевых насосов

.3.4 Подбор подпиточных насосов системы теплоснабжения

.3.5 Подбор расширительного бака

.3.6 Химводоочистка

.3.7 Расчет дымовой трубы

. ТЕХНИКО-ЭКОНОМИЧЕСКОЕ ОБОСНОВАНИЕ ПРОЕКТА

.1 Оценка технико-экономического эффекта

.2 Расчет технико-экономического эффекта

. АВТОМАТИЗАЦИЯ КОТЛА МАРКИ ЗИОСАБ-5000

.1 Общие данные

.2 Контрольно-измерительные приборы

.2.1 Местные приборы

.2.2 Автоматические приборы

.3 Автоматическое регулирование

.3.1 Приборы

.3.2 Исполнительный механизм

.4 Защита и блокировка

.5 Спецификация технических средств автоматизации

.6 Технико-экономическая эффективность автоматизации

. БЕЗОПАСНОСТЬ ЖИЗНЕДЕЯТЕЛЬНОСТИ ПРИ ПРОИЗВОДСТВЕ САНИТАРНО-ТЕХНИЧЕСКИХ РАБОТ

.1 Техника безопасности при газовой сварке и резке металлов

.2 Техника безопасности при монтаже внутренних систем

10.3 Техника безопасности при проведении изоляционных работ

.4 Техника безопасности при проведении работ по испытанию и промывке теплопровода

.5 Противопожарные мероприятия

. ЭКОЛОГИЧНОСТЬ ПРОЕКТА И ЗАЩИТА ОКРУЖАЮЩЕЙ СРЕДЫ

.1 Выбросы загрязняющих и токсичных веществ с дымовыми газами в атмосферу

.2 Методы подавления образования окислов азота в топках котлов

.3 Сточные воды котельных и пути сокращения вредных выбросов

ЗАКЛЮЧЕНИЕ

СПИСОК ИСПОЛЬЗОВАННЫХ ИСТОЧНИКОВ

ПРИЛОЖЕНИЕ 1 Исходные данные для определения расчетных тепловых нагрузок абонентов ОАО «ТРАНС-АЛЬФА ЭЛЕКТРО»

ПРИЛОЖЕНИЕ 2 Определение расчетных тепловых нагрузок

на отопление и вентиляцию ОАО «ТРАНС-АЛЬФА ЭЛЕКТРО»

ПРИЛОЖЕНИЕ 3 Месячные расходы тепловой энергии на отопление и вентиляцию ОАО «ТРАНС-АЛЬФА ЭЛЕКТРО»

ПРИЛОЖЕНИЕ 4 Определение расчетных тепловых нагрузок на горячее водоснабжение ОАО «ТРАНС-АЛЬФА ЭЛЕКТРО»

ПРИЛОЖЕНИЕ 5 Результаты гидравлического расчета на отопление

тепловой сети ОАО «ТРАНС-АЛЬФА ЭЛЕКТРО»

ПРИЛОЖЕНИЕ 6 Характеристика труб для тепловых сетей и результаты гидравлического расчета тепловой сети ОАО «ТРАНС-АЛЬФА ЭЛЕКТРО»

ПРИЛОЖЕНИЕ 7 Характеристика тепловой сети ОАО «ТРАНС-АЛЬФА ЭЛЕКТРО»

ПРИЛОЖЕНИЕ 8 Расчетные тепловые потери в сетях отопления и горячего водоснабжения

ПРИЛОЖЕНИЕ 9 Расчет толщины тепловой изоляции

ПРИЛОЖЕНИЕ 10 Отопительно-бытовой график отпуска теплоты

ПРИЛОЖЕНИЕ 11 Расчетные данные для построения графика отпуска тепловой энергии в зависимости от наружной температуры

ПРИЛОЖЕНИЕ 12 Объем воды в трубопроводах в тепловой сети

ПРИЛОЖЕНИЕ 13 Расчет минимальной высоты дымовой трубы

ПРИЛОЖЕНИЕ 14 Исходные данные для расчета тарифа на тепловую энергию

ПРИЛОЖЕНИЕ 15 Результаты расчета тарифа на тепловую энергию

ВВЕДЕНИЕ

Энергоэффективность любой системы теплоснабжения связана с экономией топливных ресурсов, электрической энергии и воды.

Повышение эффективности системы теплоснабжения осуществляется для всех ее звеньев: источника теплоты (отопительной или отопительно-производственной котельной, ТЭЦ), тепловых сетей (системы отопления и горячего водоснабжения), а также потребителя тепловой энергии (внутренние системы отопления, вентиляции и горячего водоснабжения).

Выбор энергосберегающих мероприятий зависит от их технико-экономического обоснования. Возможным вариантом является децентрализация отдельных потребителей системы теплоснабжения посредством установки блочной котельной.

В выпускной квалификационной работе выполнен проект газовой котельной мощностью 22,0 МВт на ОАО «ТРАНС-АЛЬФА ЭЛЕКТРО» в городе Вологде. Ранее, данное предприятие потребляло тепловую энергию от муниципальной котельной, расположенной на территории Станкозавода, а теперь заинтересовано в снижении тарифа на тепловую энергию.

Главной целью дипломного проекта является переход от паровой производственной котельной на газовую котельную.

Основными задачами дипломного проекта являются:

- расчет тепловых потерь;

-       определение расходов теплоты на отопление, вентиляцию и горячее водоснабжение;

-       гидравлический расчет системы теплоснабжения;

-       подбор оборудования блочно-модульной котельной;

-       технико-экономическое обоснование проекта;

-       расчет тарифа на тепловую энергию;

-       автоматизация подобранного котла.

. ХАРАКТЕРИСТИКА СУЩЕСТВУЮЩЕЙ СИСТЕМЫ ТЕПЛОСНАБЖЕНИЯ И АНАЛИЗ ЭФФЕКТИВНОСТИ ЕЕ РАБОТЫ

Основное назначение любой системы теплоснабжения состоит в обеспечении потребителей необходимым количеством теплоты требуемых параметров при экономически обоснованных затратах на производство и передачу тепловой энергии.

В дипломном проекте в частности рассматривается вопрос децентрализации системы теплоснабжения от котельной Станкозавода в городе Вологда.

Тепловые сети от котельных снабжают жилые, административные здания.

Система теплоснабжения водяная, закрытая, четырехтрубная.

Существующий источник теплоты: муниципальная котельная Станкозавода в городе Вологда.

Теплоснабжение от котельной нельзя назвать эффективным. Выработка тепловой энергии характеризуется высокими удельными показателями потребления топливно-энергетических ресурсов (далее ТЭР). Установленная котельная работают не на полную мощность. Причинами такой неэффективной работы являются:

1.  Неправильный подбор котельных агрегатов.

2.      Отсутствие автоматического регулирования процессом горения.

.        Разрегулированность гидравлического режима тепловой сети, приведшая к завышению расхода сетевой воды и мощности сетевых насосов.

.        Плохое состояние тепловой изоляции, приводящее к чрезмерному остыванию теплоносителя у потребителей.

.        Отсутствие четкого учета и контроля потребления ТЭР на котельной.

Параметры теплоносителя в тепловой сети в промышленной зоне , в жилом секторе .

В дипломном проекте предлагается переход от существующей паровой котельной и строительство новой газовой котельной мощностью 22,0 МВт на ОАО «ТРАНС-АЛЬФА ЭЛЕКТРО» в городе Вологде для снижения тарифа на тепловую энергию.

2. ОПРЕДЕЛЕНИЕ РАСЧЕТНЫХ ЧАСОВЫХ РАСХОДОВ ТЕПЛОТЫ НА ОТОПЛЕНИЕ, ВЕНТИЛЯЦИЮ И ГОРЯЧЕЕ ВОДОСНАБЖЕНИЕ

1. Расчетная температура наружного воздуха для проектирования отопления .

. Средняя температура наружного воздуха в отопительный период .

. Продолжительность отопительного периода .

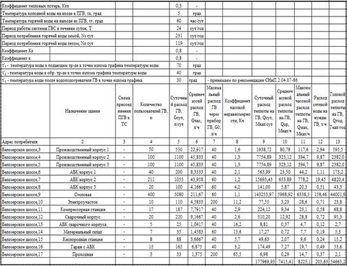
Исходные данные для расчетов представлены в приложении 1.

.1 Расчет тепловых нагрузок на отопление по удельной тепловой характеристике

Максимальный часовой расход теплоты на отопление , производственных и общественных зданий определяется по формуле [3]:

,(2.1)



где - коэффициент, учитывающий единицы измерения теплового потока, равный 4,19 ;

 - поправочный коэффициент, который находится по зависимости:

,(2.2)



где - удельная отопительная характеристика здания, ;

 - строительный объем здания по наружному обмеру,;

 - температура внутреннего воздуха в здании, ;

 - расчетная температура наружного воздуха для проектирования отопления (температура наиболее холодной пятидневки обеспеченностью 0,92), .

Уточненные тепловые нагрузки на отопление и вентиляцию приведены в приложении 2.

.2 Расчет тепловых нагрузок на вентиляцию по удельной тепловой характеристике

Максимальный часовой расход теплоты на вентиляцию , производственных и общественных зданий определяется по формуле [3]:

,(2.3)



где - коэффициент, учитывающий единицы измерения теплового потока, равный 4,19 ;

 - удельная вентиляционная характеристика здания, ;

 - строительный объем здания по наружному обмеру, ;

 - температура внутреннего воздуха в здании, ;

 - расчетная температура наружного воздуха для проектирования отопления (температура наиболее холодной пятидневки обеспеченностью 0,92), .

Уточненные тепловые нагрузки на вентиляцию приведены в приложении 2.

2.3 Расчет тепловых нагрузок на горячее водоснабжения по удельной характеристике

Определение расходов теплоты на горячее водоснабжение  является более сложным по сравнению с отоплением и вентиляцией. Особенно сложно вычислять расходы теплоты , если в одном здании имеется несколько подсистем, имеющих различные нормы потребления горячей воды.

Для решения различных задач, встречающихся при проектировании и эксплуатации систем теплоснабжения, необходимо знать два часовых расхода теплоты на горячее водоснабжение (ГВ): средний часовой  и максимальный часовой . Первый из них () требуется для определения мощности котельной, а также для расчета месячных и годовых расходов тепловой энергии на ГВ, по которым производятся платежи за тепловую энергию. Максимальный часовой расход () требуется для расчета подогревателей ГВ в зданиях и подбора диаметров трубопроводов тепловой сети, поэтому он нужен, в основном, на стадии проектирования системы или объекта теплоснабжения.

Расходы теплоты на горячее водоснабжение (средний часовой , максимальный часовой , суточный ) определяются по формулам:

;       (2.4)

; (2.5)

,    (2.6)

где - фактическое число потребителей горячей воды в здании;

 - суточная норма расхода горячей воды в литрах на одного потребителя при средней температуре разбираемой воды ;

 - средняя температура холодной воды ;

 - плотность горячей воды;

 - коэффициент, учитывающий долю потерь теплоты трубопроводами горячей воды от среднечасовой величины теплопотребления;

 - период работы систем горячего водоснабжения в течение суток;

 - коэффициент часовой неравномерности потребления горячей воды; результаты расчёта приведены в приложении 4.

3. ОПРЕДЕЛЕНИЕ РАСЧЕТНЫХ ЧАСОВЫХ РАСХОДОВ СЕТЕВОЙ ВОДЫ

.1 Расчет расходов сетевой воды на отопление

Расчетные расходы сетевой воды на отопление (т/ч) определяются по формуле:

,(3.1)



где - расчетный расход теплоты на отопление, ;

 - температура сетевой воды в подающей магистрали тепловых сетей при температуре наружного воздуха ;

 - температура сетевой воды в обратной магистрали тепловых сетей при температуре наружного воздуха .

Распределение расходов сетевой воды на отопление по потребителям приведено в приложении 2.

.2 Расчет расходов сетевой воды на вентиляцию

Расчетные расходы сетевой воды на вентиляцию (т/ч) определяются по формуле:

,(3.2)



где - расчетный расход теплоты на вентиляцию, .

Распределение расходов сетевой воды на вентиляцию приведено в приложении 2.

.3 Расчетный расход сетевой воды

Общий расход сетевой воды у потребителя находится по формуле:

,(3.3)



где - расчетный расход сетевой воды на отопление;

 - расчетный расход сетевой воды на вентиляцию;

 - расчетный расход сетевой воды на горячее водоснабжение.

Суммарные расходы сетевой воды у потребителей приведены в приложении 4.

4. ГОДОВЫЕ РАСХОДЫ ТЕПЛОВОЙ ЭНЕРГИИ

Количество тепла, потребленного на отопление, определяется по формуле:

,(4.1)



где - расчетная тепловая нагрузка на отопление, ;

 - продолжительность работы системы отопления за рассматриваемый период, ;

 - коэффициент, учитывающий снижение количества потребляемого тепла в зависимости от средней температуры наружного воздуха за рассматриваемый период, определяется по формуле:

,(4.2)



где - расчетная средняя температура воздуха в помещениях здания, ;

 - средняя температура наружного воздуха за рассматриваемый период, ;

 - расчетная температура наружного воздуха для отопления, ;

Годовое количество тепла, потребленное на отопление:

,(4.3)



где - коэффициент, определяемый при температуре наружного воздуха, равной средней температуре наружного воздуха за отопительный период;

 - продолжительность отопительного периода, .

Количество тепла, потребленного на вентиляцию, определяется по формуле:

,(4.4)



где - расчетная вентиляционная нагрузка, ;

 - коэффициент, учитывающий снижение количества потребляемого тепла в зависимости от средней температуры наружного воздуха;

 - продолжительность работы системы вентиляции за рассматриваемый период, .

Годовое количество тепла, потребленного на вентиляцию:

,(4.5)



где - коэффициент, учитывающий снижение потребляемого тепла, рассчитанный для среднегодовой температуры наружного воздуха;

 - продолжительность работы вентиляции за отопительный период, .

Продолжительность работы систем вентиляции в течение суток принимается в зависимости от назначения и режима работы предприятий, учреждений, но не более общего числа их работы в сутки.

Количество полезного (потребленного) тепла определяется по формуле:

.(4.6)



Результаты расчета потребления тепловой энергии по месяцам и в целом по году приведены в приложении 3.

5. ГИДРАВЛИЧЕСКИЙ РАСЧЕТ ВОДЯНОЙ ТЕПЛОВОЙ СЕТИ

.1 Расчет гидравлического режима тепловой сети

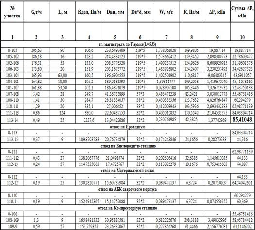
Задачей гидравлического расчета тепловой сети является определение диаметров трубопроводов и потерь давления на всех участках сети. Для выполнения гидравлического расчета составляется расчетная схема, на которой условно (без масштаба, без соблюдения конфигурации и в одну линию) показывается тепловая сеть с нанесением на ней номеров начала и конца участков, длин и расчетных расходов воды по всем участкам сети.

Нумерация участков производится следующим образом. Начальную точку сети обозначают цифрой 0. Точки присоединения потребителей (конечные точки) обозначают цифрами от 1 до N, где N - количество потребителей. Остальные узловые точки сети обозначают цифрами от 100+1 до M, где M - общее количество участков в тепловой сети.

Определение расчетных часовых расходов сетевой воды ведется в табличной форме. Предварительное определение диаметров трубопроводов , производится в зависимости от расхода воды на участке , и допустимой величины удельных потерь давления на трение , по приближенной формуле:

.(5.1)



Допустимые удельные потери давления на трение  от котельной до наиболее удаленного потребителя определяются в зависимости от располагаемого давления .

При подборе диаметров распределительных сетей и ответвлений допустимые удельные потери давления на трение  определяются в зависимости от располагаемого давления  на участке.

Допустимые удельные потери давления на трение , определяются по формуле:

.(5.2)



По найденному из выражения значению  подбирается трубопровод с ближайшим стандартным (условным) диаметром . Скорость воды, , фактические удельные потери давления на трение , и потери давления на участке , определяются по формулам:

;     (5.3)

;       (5.4)

,       (5.5)

где - вспомогательный коэффициент, принимаемый в зависимости от диаметра трубы;

 - характеристика гидравлического сопротивления трубопровода, принимаемая в зависимости от диаметра;

 - длина участка, ;

 - коэффициент, учитывающий долю потерь давления в местных сопротивлениях, принимаемый в зависимости от диаметра трубопровода и вида компенсаторов. В дипломном проекте установлены П-образные компенсаторы, в этом случае .

При расчете ответвлений следует стремиться к максимально возможному использованию располагаемого перепада давлений , однако полную увязку давлений по участкам производить не требуется. Полученные в результате расчета фактические значения  учитываются в насосных системах отопления при расчете диаметра отверстия дроссельной диафрагмы. Для увеличения использования располагаемого давления в системе на ответвлениях диаметры принимают: в подающих трубопроводах - ближайший меньший диаметр, в обратных трубопроводах - ближайший больший диаметр. Результаты гидравлического расчета представлены в приложениях 5 и 6.

.2 Тепловые потери и величина охлаждения воды в трубопроводах

При движении теплоносителя в трубопроводах от котельной до потребителя существуют тепловые потери, которые складываются из двух составляющих:

) Теплопотери участков трубопровода, не имеющих арматуры и фасонных частей - линейные потери.

) Теплопотери фасонных частей, арматуры, опорных конструкций, фланцев и т.д. - местные теплопотери.

Суммарные теплопотери трубопроводов определяются по формуле:

,(5.6)



где - удельные теплопотери изолированными теплопроводами; при подземной прокладке - суммарно по обоим трубопроводам, при надземной - по одному трубопроводу приведены для каждого наружного диаметра труб и разности среднегодовых температур воды и окружающей среды (грунта - при подземной прокладке и воздуха - при надземной прокладке);

 - длина участка тепловой сети, характеризующегося одинаковым диаметром трубопровода и типом прокладки (подземная или надземная);

 - коэффициент местных теплопотерь, для подземной прокладки .

Для определения величины остывания теплоносителя составим уравнение теплового баланса:

,(5.7)



где - расход теплоносителя на участке, ;

 - температуры теплоносителя в начале и в конце участка, .

Тогда величина остывания воды на участке при движении будет определяться по формуле:

.(5.8)



Характеристика тепловой сети представлена в приложении 7. Тепловые потери в сетях отопления и горячего водоснабжения представлены в приложении 8.

.3 Пьезометрический график

Пьезометрический график представляет собой графическое изображение напоров в тепловой сети относительно местности, на которой она проложена. На пьезометрическом графике в определенном масштабе наносят рельеф местности, высоту присоединенных зданий, величины напоров в сети. На горизонтальной оси графика откладывают длину сети, а на вертикальной оси - напоры. Линии напоров в сети наносят как для рабочего, так и для статического режимов.

Пьезометрический график строят следующим образом:

) Принимая за ноль отметку самой низкой точки тепловой сети, наносят профиль местности по трассе основной магистрали и ответвлений, отметки земли которых отличаются от отметок магистрали. На профиле проставляют высоты присоединенных зданий.

) Наносят линию, определяющую статический напор в системе (статический режим). Если давление в отдельных точках системы превышает пределы прочности, необходимо предусмотреть подключение отдельных потребителей по независимой схеме или деление тепловых сетей на зоны с выбором для каждой зоны своей линии статического напора. В узлах деления устанавливают автоматические устройства рассечки и подпитки тепловой сети.

) Наносят линию напоров обратной магистрали пьезометрического графика. Уклон линии определяют на основании гидравлического расчета тепловой сети. Высоту расположения линии напоров на графике выбирают с учетом вышеприведенных требований к гидравлическому режиму. При неровном профиле трассы не всегда возможно одновременно выполнять требования заполнения верхних точек систем теплопотребления, не превысив допустимые давления. В этих случаях выбирают режим, соответствующий прочности нагревательных приборов, а отдельные системы, залив которых не будет обеспечен вследствие низкого расположения пьезометрической линии обратного трубопровода, оборудуют индивидуальными регуляторами.

Линия пьезометрического графика обратного трубопровода магистрали в точке пересечения с ординатой, соответствующей началу теплосети, определяет необходимый напор в обратном трубопроводе водоподогревательной установки (на входе сетевого насоса);

) Наносят линию подающей магистрали пьезометрического графика. Уклон линии определяют на основании гидравлического расчета тепловой сети. При выборе положения пьезометрического графика учитывают предъявляемые к гидравлическому режиму требования и гидравлические характеристики сетевого насоса. Линия пьезометрического графика подающего трубопровода в точке пересечения с ординатой, соответствующей началу теплосети, определяет требуемый напор на выходе из подогревательной установки. Напор в любой точке тепловой сети определяется величиной отрезка между данной точкой и линией пьезометрического графика подающей или обратной магистрали.

По результатам гидравлического расчета строится пьезометрический график.

Результаты построения пьезометрического графика приведены в графической части дипломного проекта.

.4 Технические характеристики тепловой сети

.4.1 Общие данные тепловой сети

Температурный график , сеть четырехтрубная с П - образными компенсаторами, прокладка в непроходных каналах.

.4.2 Расчет тепловой изоляции

Теплоизоляционные изделия из стеклянного штапельного волокна «ISOTEC» производства компании «Сан-Гобен Изовер» являются современными высокоэффективными теплоизоляционными материалами для промышленной тепловой изоляции, соответствующими мировому уровню по теплофизическим и эксплуатационным характеристикам. Стеклянная вата для производства теплоизоляционных изделий «ISOTEC» изготавливается из расплава стеклообразующей смеси, основными компонентами которой являются стеклобой, песок, сода и известняк. Диаметр стекловолокна 4-6 мкм. Связывание волокон производится с помощью синтетического связующего, которое вводится в виде аэрозоли в процессе волокнообразования. Теплоизоляционные изделия «ISOTEC» не выделяют в процессе эксплуатации вредных неприятно пахнущих веществ, являются невзрывоопасным материалом и относятся к негорючим (группа НГ) или слабогорючим (группа Г1)материалам при испытаниях по ГОСТ 30244-94.

На теплоизоляционные изделия «ISOTEC» марок «KK-ALC», «KT-40», «KIM-AL», «KVM-50», «KLS-K» получены:

- технические свидетельства ФЦС Госстроя России;

-       гигиенические заключения Минздрава России;

-       сертификаты пожарной безопасности ВНИИПО России;

-       рекомендации ОАО «Теплопроект» по применению в конструкциях тепловой изоляции оборудования и трубопроводов с альбомом технических решений (ТР 12274-ТИ.2003).

Качество материалов соответствует требованиям ЕN ISО 9001:2000.

Теплоизоляционные изделия из стеклянного штапельного волокна «ISOTEC» марок KK-ALC, KT-40, KIM-AL, KVM-50,KLS-K предназначены для использования в конструкциях тепловой изоляции промышленного оборудования и трубопроводов объектов промышленности и ЖКХ, включая:

- вертикальные и горизонтальные цилиндрические технологические аппараты предприятий химической, нефтеперерабатывающей, газовой, пищевой и других отраслей промышленности с учетом допустимой температуры применения;

-       резервуары для хранения холодной воды в системах водоснабжения;

-       резервуары для хранения противопожарного запаса воды в системах пожаротушения;

-       резервуары для хранения горячей воды (баки-аккумуляторы) на тепловых электростанциях и котельных;

-       резервуары для хранения нефти и нефтепродуктов, химических веществ;

-       трубопроводы тепловых сетей при надземной (на открытом воздухе, подвалах, помещениях) и подземной (в каналах, тоннелях) прокладках;

-       технологические трубопроводы с положительными и отрицательными температурами всех отраслей промышленности. Изделия с облицовкой из алюминиевой фольги могут применяться на производствах, где есть повышенные требования к чистоте воздуха в помещениях при условии герметизации швов облицовки;

-       трубопроводов горячего и холодного водоснабжения в жилищном и гражданском строительстве, а также на промышленных предприятиях;

-       фланцевых соединений трубопроводов, муфтовой и фланцевой арматуры.

Рекомендуется применение скорлуп «ISOTEC-КК» в качестве теплоизоляционного слоя в полносборных и комплектных конструкциях, применяемых для изоляции трубопроводов, изготавливаемых по ТУ 36-1180-85 «Индустриальные конструкции для промышленной тепловой изоляции трубопроводов, аппаратов и резервуаров».

Конструктивные решения тепловой изоляции на основе теплоизоляционных изделий «ISOTEC» марок KK-ALC, KT-40, KIM-AL, KVM-50, KLS-K определяются параметрами изолируемого объекта, назначением тепловой изоляции, условиями эксплуатации теплоизоляционных конструкций и видом защитно-покровных материалов.

Расчет произведен по программе расчета тепловой изоляции «ISOVER».

Расчеты тепловой изоляции приведены в приложении 9.

6. РЕГУЛИРОВАНИЕ ТЕПЛОВОЙ НАГРУЗКИ

Системы теплоснабжения представляют собой взаимосвязанный комплекс потребителей тепла, отличающихся как характером, так и величиной теплопотребления. Режимы расходов теплоты абонентами неодинаковы. Тепловая нагрузка отопительных установок изменяется в зависимости от температуры наружного воздуха, оставаясь практически стабильной в течение суток.

В этих условиях необходимо искусственное изменение параметров и расходов теплоносителя в соответствие с фактической потребностью абонентов. Регулирование повышает качество теплоснабжения, сокращает перерасход тепловой энергии и топлива.

Наиболее распространенным способом регулирования является качественное регулирование. При качественном регулировании задача расчета состоит в определении температуры воды в зависимости от тепловой нагрузки. Расход воды остается постоянным в течение всего отопительного сезона.

.1 Построение отопительно-бытового графика

Расчет режимов регулирования основан на уравнениях теплового баланса.

Общее уравнение для регулирования отопительной нагрузки при зависимых схемах присоединения отопительных установок к тепловой сети имеет вид:

,(6.1)




где - относительный расход тепла на отопление, лежит в пределах 01;

 - расход тепла на отопление при текущей температуре наружного воздуха ;

 - соответственно температура сетевой воды в подающем и обратном трубопроводах тепловой сети;

 - коэффициент теплопередачи;

 - температурный напор в нагревательном приборе при тех же условиях;

 - те же величины при расчетной температуре наружного воздуха ;

 - температура воздуха в помещении.

Изменение коэффициента теплопередачи отопительных приборов описывается выражением:

,(6.2)



где - температурный напор;

 - средняя температура теплоносителя в приборе;

 - температура воздуха в помещении;

 - константы, зависящие от типа прибора и схемы его установки; принимают .

Для расчета отопительного графика используются следующие уравнения:

;(6.3)



;     (6.4)

,     (6.5)

где - температура воды в подающем трубопроводе при температуре наружного воздуха ;

 - температура воды на вводе в систему отопления;

 - температура воды после системы отопления;

 - расчетная температура в системе отопления, ;

 - расчетная температура внутреннего воздуха .

Отопительно-бытовой график представлен в приложении 10.

.2 Построение графиков часового и годового расходов теплоты

Годовой расход теплоты тем или иным теплоиспользующим объектом при переменных часовых расходах теплоты в течение года можно определить не только аналитическим, но и графоаналитическим методом путем построения графика повторяемости часовых расходов теплоты в течение года. Такой график необходим также для решения ряда вопросов централизованного теплоснабжения: выбора оборудования источника теплоты и режима загрузки или анализа режимов работы теплофикационного оборудования, выбора и анализа графика ремонта этого оборудования, а также выбора наивыгоднейших параметров теплоносителя, подсчета выработки теплоты и других плановых и технико-экономических расчетов. Для удобства построения график часового расхода теплоты, в зависимости от температуры наружного воздуха, совмещают с годовым графиком расхода теплоты по продолжительности стояния температур наружного воздуха. При этом по оси ординат откладывают часовой расход теплоты , а по оси абсцисс влево - температуры наружного воздуха , причем за начало отсчета принимаем расчетную температуру наружного воздуха для проектирования отопления , вправо - длительность стояния температур наружного воздуха n в часах от 0 до 8760 часов. Данные по длительности стояния температур наружного воздуха, , могут быть определены по формуле:

,(6.6)



где - продолжительность отопительного сезона, для Вологды составляет 231 суток или 5544 час/год;

 и  - текущая и расчетная температуры наружного воздуха соответственно для Вологды ;

 - показатель степени, зависящий от расчетной и средней температуры наружного воздуха. Определяется по формуле:

,(6.7)



где - средняя температура наружного воздуха за отопительный период .

Площадь образовавшейся фигуры, ограниченной осями координат и полученной кривой расходов теплоты, выражает в соответствующем масштабе годовой расход теплоты. Численное значение годового расхода теплоты, Гкал/год, находят по формуле:

,(6.8)



где - площадь указанной выше фигуры на графике,  или ;

 - масштабный коэффициент, выражающий количество теплоты, приходящегося на принятую единицу площади, Гкал/ед. площади. Результаты расчета приведены в приложении 11.

7. ПОДБОР ОСНОВНОГО ОБОРУДОВАНИЯ КОТЕЛЬНОЙ

.1 Расчет тепловой схемы котельной

Расчет тепловой схемы котельной ведется для трех наиболее характерных режимов работы:

А. Максимально зимний режим.

В. Режим работы для наиболее холодного месяца

С. Летний режим работы котельной.

В таблице 7.1 представлены исходные данные для расчета тепловой схемы котельной с водогрейными котлами, работающей на закрытую систему теплоснабжения.

Таблица 7.1 - Исходные данные для расчета тепловой схемы котельной с водогрейными котлами, работающей на закрытую систему теплоснабжения

Физическая величина

Обозначение

Обоснование

Значение величины при характерных режимах работы котельной




Максимально-зимнего

Наиболее холодного месяца

Летнего

1

2

3

4

5

6

Расход теплоносителя на отопление, т/ч

Gо

Прил. 2

221,21

188,93

-

Расход теплоносителя на ГВ, т/ч

Gгв

Прил. 4

205,63

205,63

168,2

Расход теплоты на нужды отопления и вентиляции, Мкал/ч

Qо.в.

Задан

9954,27

8502

-

Расход теплоты на ГВС, Мкал/ч

Qг.в.

Задан

7415,41

7415,41

Расчетная температура наружного воздуха для г. Вологды - при расчете системы отопления

tр.о.

Принята

-32

-25

+20

Температура подпиточной воды, оС

tподп

Принята

115

115

70

Температура сырой воды, оС

tс.в.

Принята

5

5

15


В таблице 7.2 представлены режимы работы котлоагрегатов.

Таблица 7.2 - Режимы работы котлоагрегатов

Режим теплопотребления

Теплофикационная нагрузка, кВт

Количество работающих котлов, шт.

Процент загрузки котлов

Максимально - зимний режим

5997

4

97%

Наиболее холодного месяца

5227

4

87%

Летний

397

2

80%


Коэффициент снижения расходов теплоты на отопление и вентиляцию для режима наиболее холодного месяца:

.(7.1)



По результатам расчетов для режима наиболее холодного месяца равен .

Коэффициент снижения расходов теплоты на отопление и вентиляцию для летнего месяца

Расход теплоносителя на собственные нужды котельной рассчитывается по формуле:

 ,(7.2)



где - расход теплоносителя на собственные нужды в % от расхода теплоносителя внешними потребителями (рекомендуется принимать 5 - 10 %).

А. Для максимально зимнего режима:

.

В. Для режима наиболее холодного месяца:

.

С. Для летнего режима работы:

.

.2 Подбор оборудования котельной

.2.1 Котельные агрегаты

Определяющими факторами при выборе котельного оборудования являются сроки, качество и стоимость строительства котельных или из модернизации, с последующей экономной эксплуатацией.

Выбор типа, количества и единичной производительности котлов зависит главным образом от расчетной тепловой производительности котельной [3].

В таблице 7.3 представлены технические характеристики подобранных котельных агрегатов.

Таблица 7.3 - Подбор котельных агрегатов

Характеристика

Отопление

ГВС

Номинальная мощность, кВт

12000

10000

Тип котлов

FR10-6

ЗИОСАБ-5000

Пароагрегатная мощность, кВт

6000

5000

Количество котлов

2

2

Расход воздуха на горение, м3 /час

7262,4

5600

Аэродинамическое сопротивление, Па

110

900

КПД, %

91

92,5

Габаритные размеры, м (не более)



Масса котла, кг

15200

16400

Водяная емкость котла, м3

14

13


7.2.2 Подбор газовой горелки

Горелка выполняет основную функцию в системе производства тепла. Задача горелки заключается в подготовке смеси топлива и воздуха и последующем ее сжигании. Этим достигается получение тепла в камере сгорания.

Среди газовых горелок принципиально различают два вида: атмосферные и воздуходувные. Выбираем воздуходувные горелки, их отличительными особенностями являются: принудительная подача воздуха при помощи вентилятора; точное регулирование количества воздуха; закрытая камера сгорания тепловой установки.

Горелка подбирается исходя из требуемой тепловой мощности, соответствия размеров пламени и камеры сгорания, вида топлива [2].

Расчет тепловой мощности горелки:

,(7.3)



где - расчетная тепловая мощность горелки;

 - номинальная мощность тепловой установки;

 - КПД тепловой установки.

В таблице 7.4 представлены технические характеристики подобранной газовой горелки.

Таблица 7.4 - Подбор газовой горелки

Характеристика

Отопление

ГВС

Расчетная тепловая мощность горелки, кВт

6593

5405

Номинальная мощность тепловой установки, кВт

6000

5000

КПД тепловой установки, %

91,0

92,5

Тип горелки

G70/2-A

G70/2-A

Мощность, кВт

1000…10500

1000…10500

Сопротивление камеры сгорания, мбар

+11,0

+11,0

Давление подключения газа, мбар

150

150

Диаметр газовой арматуры, мм

125

125

Минимальное давление подключения, мбар

103(92+11)

103(92+11)


7.2.3 Подбор газового оборудования

Установка газорегуляторная шкафная УГРШ (К) с одной линией редуцирования и байпасом. Предназначена для редуцирования давления газа и автоматического поддержания выходного давления в заданных пределах независимо от изменения входного давления и расхода газа [7].

Установка газорегуляторная шкафная УГРШ (К) сконструирована на базе нового комбинированного регулятора давления газа РДКН.

Преимущества регулятора РДКН:

В регуляторе применена система разгрузки клапана, которая позволяет:

- значительно снизить неравномерность регулирования; достичь высокой пропускной способности, что особенно актуально при сезонных понижениях давления газа в сетях;

-       при  пропускная способность составит ;

-       при  пропускная способность составит ;

-       рычажная система обеспечивает надежное закрытие клапана и низкий прирост давления газа при нулевом расходе («тупике»);

-       применение в клапане-отсекателе мембраны с большой активной площадью и минимального количества трущихся деталей повышает точность и надежность срабатывания;

-       блочная конструкция регулятора позволяет производить регламентные работы и ремонт прибора без снятия его с «нитки». При наличии на складе газового хозяйства отдельных блоков возможна оперативная замена вышедших из строя или подлежащих техническому обслуживанию элементов.

В таблице 7.5 представлены основные технические характеристики установки газорегуляторной шкафной УГРШ (К).

Таблица 7.5 - Основные технические характеристики установки газорегуляторной шкафной УГРШ (К)

Наименование параметра или размера

УГРШ (К) Н1-0,6

Регулируемая среда

Природный газ ГОСТ 5542

Диапазон входных давлений, МПа

0,6 - 1,2

Диапазон выходных давлений, МПа

0,002 - 0,0035

Пропускная способность при максимальном входном давлении

не менее 2700 м3/ч

Диапазон настройки давления клапана-отсекателя, МПа, не уже

- при повышении выходного давления

0,0025 - 0,0075

- при понижении выходного давления

0,001 - 0,0045

Стабильность поддержания выходного давления, не более

±10%

Диапазон настройки  предохранительного сбросного  клапана ПСК 25, МПа

1,15 от

Тип соединения с газопроводом:

фланцевый ГОСТ 12820

- вход, мм

50

- выход, мм

80

Масса, кг, не более

250


7.3 Вспомогательное оборудование

.3.1 Подбор сетевого теплообменника для контура горячего водоснабжения

Подбор оборудования производим с помощью каталога фирмы
ООО «Функе Омега». Сетевой пластинчатый теплообменник - FP 14-115-1-NH.

В таблице 7.6 представлены основные технические характеристики сетевого теплообменника FP 14-115-1-NH.

Таблица 7.6 - Основные технические характеристики сетевого теплообменника FP 14-115-1-NH

Наименование параметра и единицы измерения

FP -41-209-1-NH

Мощность, Мкал/ч

8225

Температура греющей воды на входе, °С

115

Температура греющей воды на выходе, °С

70

Расход греющей воды, кг/с м3/ч

50,77

Потери давления, кПа

1,968

Плотность греющей воды, кг/м3

963,27

Температура нагреваемой воды на входе, °С

5

Температура нагреваемой воды на выходе, °С

60

Расход нагреваемой воды, кг/с

41,59

Потери давления, кПа

1,958

Плотность нагреваемой воды, кг/м3

993,1

Поверхность теплообмена, мл

82,8

Запас поверхности, %

15,5


.3.2 Подбор сетевых насосов контура горячего водоснабжения

Сетевые насосы служат для создания циркуляции греющей воды между котлом и теплообменником. Подбираем согласно расходу и потерям давления греющей воды и каталогов фирмы WILO [11].

В таблице 7.7 представлены основные технические характеристики циркуляционных насосов контура горячего водоснабжения.

Таблица 7.7 - Основные технические характеристики циркуляционных насосов контура горячего водоснабжения

Наименование параметра и единицы измерения

Значение

Требуемый расход теплоносителя, м3/ч

183

Величина напора, м

1

Марка насоса

WILO-DP-E 80/2-15

Производительность, м3/ч

100

Напор, м

3

Количество насосов, шт

2


7.3.3 Подбор сетевых насосов

Сетевые насосы служат для перекачки (циркуляции) теплоносителя в водяных тепловых сетях. Для подбора насосов необходимо знать их производительность , и необходимую величину напора  в метрах водяного столба (м). Общая производительность сетевых насосов в котельной принимается равной расчетному расходу воды на головном участке сети. Требуемый напор сетевых насосов , принимается равным сумме потерь давления в установках источника теплоты , в подающем  и обратном  трубопроводах главной магистрали и в системе теплопотребления наиболее удаленного абонента . Количество сетевых насосов должно приниматься не менее двух, один из которых является резервным. Для обеспечения более гибкой и маневренной работы целесообразно устанавливать более 2 рабочих насосов. При пяти рабочих сетевых насосах в одной группе допускается резервный насос не устанавливать [10].

Необходимая производительность для сетей отопления 221 м3/час, для сетей горячего водоснабжения 206 м3/час и требуемое давление 40 м. По полученным данным подбираем сетевые насосы фирмы WILO [11].

В таблице 7.8 представлены основные технические характеристики сетевых насосов для контура систем отопления и горячего водоснабжения.

Таблица 7.8 - Основные технические характеристики сетевых насосов для контура систем отопления и горячего водоснабжения

Наименование параметра и единицы измерения

Отопление

ГВС

Требуемый расход теплоносителя, м3/ч

221

206

Величина напора, м

40

40

Марка насоса

WILO IPn 150/360-30/4

Производительность, м3/ч

150

Напор, м

40

Количество насосов, шт

2

2


7.3.4 Подбор подпиточных насосов системы теплоснабжения

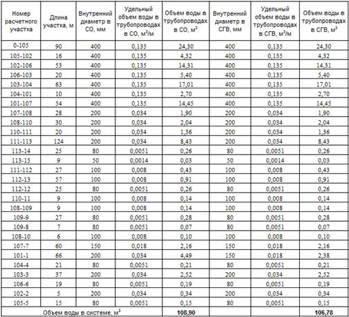
Подпиточные насосы, служат для восполнения утечек и разбора воды из тепловой сети. Количество подпиточных насосов в закрытых системах теплоснабжения принимается не менее двух один из которых является резервным. Расчетный расход воды, , для подпитки тепловых сетей следует принимать в закрытых системах теплоснабжения - численно равным 0,75% фактического объема воды в трубопроводах тепловых сетей и присоединенных к ним системах отопления и вентиляции зданий. Объем воды в трубопроводах систем отопления и горячего водоснабжения указан в приложении 12. Напор, который должен обеспечивать насос, принимается равным высоте самого высокого здания в системе плюс 3 метра [9].

В таблице 7.9 представлены основные технические характеристики подпиточных насосов.

Таблица 7.9 - Основные технические характеристики подпиточных насосов

Наименование параметра и единицы измерения

Отопление

ГВС

Расчетный расход воды, м3/ч

0,29

0,27

Требуемый напор, м

11

11

Тип насоса

WILO-IP-E 50/2-12

Производительность, м3/ч

0,5

Напор, м

18

Количество насосов, шт.

2

2


7.3.5 Подбор расширительного бака

Расширительный бак состоит из двух камер - для газа и для воды, которые разделены мембраной. Жидкостная камера, ограниченная мембраной, служит для хранения увеличивающегося объема жидкости при нагревании.

Давление в газовой камере сжимает при охлаждении теплоноситель, который переходит обратно в систему.

Объем расширительного бака определяется как отношение объема расширения к коэффициенту использования объема бака. На основании полученного объема расширительного бака, максимальной рабочей температуры и максимального рабочего давления из таблиц может быть подобран требуемый бак. При использовании нескольких расширительных баков в виде батареи, их следует подключить к общему трубопроводу, при этом предварительное давление всех баков будет одинаковым.

В котельной проведен подбор мембранных расширительных баков «Elro-flex EDER», которые используются для компенсации температурного расширения и обеспечения давления в закрытых системах горячего водоснабжения внутри котельной между котлом ЗИОСАБ-5000 и теплообменником. Содержание гликоля в жидкости не должно превышать 50%. При подготовке теплоносителя необходимо учитывать информацию производителя относительно допустимого количества примесей, в особенности их коррозионных свойств. Мембранные расширительные баки «Elro-flex EDER» не пригодны для использования с маслом и не могут применяться с ядовитыми веществами в качестве теплоносителя.

Подбор типа бака производиться по номинальному объему . Для схемы стандартного подключения расчет ведется в следующей форме:

1. Рассчитывается давление предохранительного клапана на теплогенератор:

.(7.4)



2. Расчет предварительного давления :

.(7.5)



3. Объем системы приблизительно считается для системы с секционными радиаторами:

,(7.6)



где - тепловая мощность системы, кВт.

В таблице 7.10 представлены характеристики расширительных баков систем.

Таблица 7.10 - Характеристики расширительных баков систем

Наименование параметра и единицы измерения

Отопление

Объем воды в системе, м3

15

Объем расширения, л

885

Номинальная емкость, л

1000

Предварительное давление, бар

1,3

Тип расширительного бака

Elko-flex EDER C1000

Количество расширительных баков, шт.

1

Полезная емкость, л

900


7.3.6 Химводоочистка

Назначение химводоочистки (ХВО) - подготовка подпиточной воды требуемого качества для восполнения потерь в тепловых сетях.

Установки обезжелезивания воды засыпного типа с безреагентной регенерацией (путем обратной промывки) должны применяться в сочетании с аэрационной, дозирующей или аэрационно-дозирующей системой. Выбор метода предварительной подготовки воды зависит от ряда условий, связанных с качеством исходной воды, других особенностей конкретного водоисточника. Система умягчения работает в непрерывном режиме: один корпус в работе, другой стадии регенерации или в режиме ожидания до окончания фильтроцикла первого корпуса.

Фильтры засыпного типа (установки обезжелезивания воды и умягчители) являются главными элементами системы очистки воды. Однако это не означает, что, установив только их, мы получим на выходе чистую воду. Для обеспечения правильной работы этих приборов необходимо обвязать их некоторым дополнительным оборудованием: системой предварительной подготовки воды, фильтрами-грязевиками и фильтрами контрольной очистки.

В таблице 7.11 представлена характеристика устройств химводоочистки.

Таблица 7.11 - Характеристика устройств химводоочистки

Наименование параметра и единицы измерения

Ионообменный фильтр LM1F-FMN

Установка удаления железа GENO-mat FE-Z

Расчетный расход воды, м3/ч

1,3-1,7

1,3-3


7.3.7 Расчет дымовой трубы

Загрязнение воздушной среды теплогенерирующими установками связано с выбросами в дымовую трубу мелкодисперсной золы, токсичных газов, таких как NO, NO2, SO2, CO и др. Количество образующихся вредных газов зависит от вида топлива и его состава, организации процесса горения в топочных устройствах, температуры горения и многих других факторов. Основным показателем, характеризующим загрязнение окружающей среды, является выброс вредных веществ в единицу времени.

При сжигании топлива c его расходом , в котлоагрегатах паропроизводительностью , образуются дымовые газы , направляемые через дымовую трубу высотой , и диаметром устья .

Расход топлива каждым котлом определяется по формуле:

.(7.7)



Суммарный расход топлива всеми котлоагрегатами составит:

,(7.8)



где - количество установленных котлоагрегатов одной марки, шт.

Действительный суммарный объем продуктов сгорания, , определяется по формуле:

.(7.9)



По выходу дымовых газов и их скорости рассчитывается диаметр устья дымовой трубы:

,(7.10)



где - скорость выхода дымовых газов из устья дымовой трубы, принимается 20 м/с.

Условием выбора высоты дымовой трубы является рассеивание вредных загрязняющих веществ на высоте 2 м от земли в атмосферном воздухе для каждого выброса.

1.  Расчет выбросов летучей золы и несгоревшего топлива, г/с:

,(7.11)



где - золосодержание топлива по рабочей массе, %;

 - КПД золоуловителей, %; для мазута - 83.

2.  Расчет выбросов оксидов углерода, г/с:

,(7.12)



где - коэффициент, учитывающий долю потери теплоты вследствие химической неполноты сгорания топлива, обусловленную наличием в продуктах неполного сгорания оксида углерода; принимается: для твердого топлива - 1; для мазута - 0,65; для газа - 0,5;

 - низшая теплота сгорания топлива, МДж/кг.

3.  Расчет выбросов оксидов серы, г/с:

,(7.13)



где - содержание серы по рабочей массе, %; доля оксидов серы, связываемая летучей золой; принимается 0,1;

 - доля оксидов серы, улавливаемой в золоуловителе; принимается 0.

4.  Расчет выбросов оксидов азота, г/с:

,(7.14)



где - удельный выброс оксидов азота при сжигании топлива на 1 МДж теплоты, г/МДж; рассчитывается по уравнению:

для природного газа:

;(7.15)



для мазута:

;(7.16)



для слоевого сжигания твердого топлива:

,(7.17)



где - характеристика гранулометрического состава угля - остаток на сите с размером ячеек 6 мм, %; при отсутствии данных принимается 30%;

 - тепловое напряжение зеркала горения, МВт/м2;

 - безразмерный коэффициент, учитывающий принципиальную конструкцию горелок: при сжигании газа для дутьевых горелок напорного типа - 2; для горелок инжекционного типа - 1,6; для горелок двухступенчатого сжигания - 0,7; при сжигании жидкого и твердого топлива - 1;

 - безразмерный коэффициент, учитывающий влияние избытка воздуха на образование оксидов азота: для твердого топлива ; для природного газа и мазута;

,(7.18)



где - безразмерный коэффициент, учитывающий влияние избытка воздуха на образование оксидов азота. Для газа и твердого топлива - 1.

Минимальная высота дымовой трубы , рассчитывается по следующей зависимости:

,(7.19)



где - количество выбросов i-го загрязняющего вещества из дымовой трубы, г/с;

 - предельно-допустимая максимальная разовая концентрация i-го вредного загрязняющего вещества в приземном воздухе, мг/м3;

 - коэффициент распределения температуры воздуха, зависящий от метеорологических условий местности и определяющий условия вертикального и горизонтального рассеивания вредных загрязняющих веществ в атмосферном воздухе;

 - коэффициент скорости оседания вредных веществ в атмосферном воздухе, равный: 1 - для газообразных выбросов; 2 - для пыли и золовых частиц при степени улавливания более 90%; 2,5 - для пыли и золовых частиц при степени улавливания менее 90%;

 - количество дымовых труб, шт;

 - разность температур уходящих газов  и температуры окружающего атмосферного воздуха, равной средней максимальной температуре наружного воздуха наиболее жаркого месяца года , принимаемой по [6].

Выбор высоты дымовой трубы делается для максимального значения из расчетов минимальной высоты дымовой трубы для рассеивания вредных веществ.

По расчетам дымовая труба от двух котлов «ЗИОСАБ-5000» - 13 м, , а от котла «FR10-6» - 14м, .

Результаты расчетов дымовых труб приведены в приложении 13.

8. ТЕХНИКО-ЭКОНОМИЧЕСКОЕ ОБОСНОВАНИЕ ПРОЕКТА

.1 Оценка технико-экономического эффекта

Удельную годовую экономическую эффективность системы теплоснабжения можно определить по формуле:

,(8.1)



где - годовое потребление тепловой энергии, Гкал/кВт;

 - тариф на тепловую энергию (себестоимость) в системе, руб/Гкал.

Исходные данные для расчета представлены в приложении 14. Результаты расчета тарифа представлены в приложении 15.

Срок окупаемости определяется по формуле:

,(8.2)



где - капитальные затраты (содержат стоимость оборудования, монтажа, пуско-наладочных работ и проектирования). По смете капитальные затраты составляют 42900100 руб.

Общий экономический эффект можно определить по формуле:

,(8.3)



где - годовой экономический эффект от использования котельной мощностью .

В дипломном проекте общая номинальная мощность котельной (4 котла) равна 22 МВт.

8.2 Расчет технико-экономического эффекта

Исходные данные для расчета технико-экономического эффекта представлены в таблице 8.1.

Таблица 8.1 - Исходные данные для расчета технико-экономического эффекта

Характеристика

Единицы измерения

Значение

Расчетное часовое теплопотребление составит

МВт

17,37

в том числе:



на отопление и вентиляцию

МВт

9,954

на горячее водоснабжение

МВт

7,415

Годовые теплопотери в сетях контура системы отопления

%

3

Годовые теплопотери в сетях контура системы горячего водоснабжения

%

7

Годовая выработка тепловой энергии

МВт

98476,77

Тариф на природный газ

руб/1000 м3

4761

Тариф (себестоимость) тепловой энергии в отопительной системе (с учетом НДС)

руб/Гкал

1237,1


Удельный годовой экономический эффект по формуле (8.1) составит:

.



Общий экономический эффект можно определить по формуле (8.3):

.


Срок окупаемости по формуле (8.2) составит:



9. АВТОМАТИЗАЦИЯ КОТЛА МАРКИ ЗИОСАБ-5000

.1 Общие данные

В дипломном проекте разработана автоматизация котла марки ЗИОСАБ-5000 (ЗАО «ЗИОСАБ», г. Подольск, Россия) в соответствии с разделом «Автоматизация». Составлена функциональная схема автоматизации, подобраны измерительные и регистрирующие приборы (температуры, давления, расхода), и автоматические регуляторы с исполнительными механизмами и регулирующими клапанами.

Задачей автоматизации является изменение давления газа, производительности дутьевых вентиляторов и дымососов, отсечение подачи газа при погасании факела, защита технологического оборудования и управление с диспетчерского пункта [25, 26].

В последующих подразделах приводятся проектные решения, позволяющие решить задачи автоматизации на современном уровне развития. При этом учтены требования правил эксплуатации теплопотребляющих установок, что создает возможность проведения наладочных работ в период эксплуатации в период эксплуатации оборудования и технических средств автоматизации.

Функциональная схема автоматизации выполнена в соответствии с [27].

.2 Общие данные

.2.1 Местные приборы

Местные приборы, установленные непосредственно на объекте, должны служить для эксплуатационной оценки приборов, а также использоваться при наладке приборов косвенного преобразования [25].

В соответствии с правилами эксплуатации на обратном и подающем трубопроводах установлены штуцеры для манометров и гильзы для термометров.

Манометры производят измерение избыточного давления и перепада давлений. Используются манометры общего назначения показывающие типа ОБМ.

Термометры производят измерения температуры теплоносителя в подающем и обратном трубопроводах. Установлены технические ртутные стеклянные термометры типа ТТ [26].

.2.2 Автоматические приборы

Измерение расхода и количества тепловой энергии, отпущенной из теплоисточника и потребленной теплопотребляющими установками осуществляется комплексом измерительных устройств под общим названием тепломер. Температура измеряемой среды: 60-150 °С и 30-70 °С. Основная погрешность прибора 1%.

Измерение расхода теплоносителя осуществляется с помощью диафрагмы и дифманометра типа ДТ.

Измерение температуры производится с помощью термопреобразователя сопротивления типа ТСП в качестве первичного прибора и логометра в качестве вторичного прибора. Действие термопреобразователя основано на использовании зависимости электрического сопротивления проводника от температуры. Вторичный прибор - устройство, воспринимающее сигнал от первичного прибора или передающего измерительного преобразователя, и преобразующего его в форму, удобную для восприятия измерительной информации диспетчером и обслуживающим персоналом [25, 26].

9.3 Автоматическое регулирование

.3.1 Приборы

Автоматическое регулирование производится в следующем порядке [25]:

. При изменении температуры теплоносителя на выходе из котла подается сигнал на изменение количества подаваемого в котел топлива и производительность дутьевого вентилятора, подающего в котел воздух.

. Температура подаваемой и обратной воды, а также ее расход определяются тепломером.

. Производительность дымососа определяется величиной разряжения в топке котла.

4. В качестве регулирующих приборов используются регулирующая система приборов «Сапфир 22» и «Контур-2». Группа регулирующих приборов «Контур-2» состоит из датчика Р-25 и корректирующих приборов. Регулирующие приборы позволяют формировать законы регулирования ПИ и ПИД.

.3.2 Исполнительный механизм

Для управления регулирующими органами применяются однооборотные электрические исполнительные механизмы типа МЭО, предназначенные для плавного перемещения регулирующих органов. Исполнительные механизмы управляются от регулирующих приборов.

Исполнительные механизмы состоят из электродвигателя, редуктора, конечных выключателей, датчиков положения и штурвала ручного управления.

9.4 Защита и блокировка

Аварийное отключение котла производится в случае выхода из строя дутьевого вентилятора или дымососа, если давления газа или теплоносителя станет выше или ниже установленных параметров, при погасании факела в топке котла или в случае других нарушений режима его работы. При этом подается сигнал на перекрытие подачи газа, остановку дымососа и дутьевого вентилятора, а также включается сигнализация на щите управления и в диспетчерской.

.5 Спецификация технических средств автоматизации

В таблице 9.1 представлена спецификация технических средств автоматизации котла марки ЗИОСАБ-5000.

Таблица 9.1 - Спецификация технических средств автоматизации котла марки ЗИОСАБ-5000

Позиция

Наименование и технические характеристика

Тип, марка оборудования

Кол.

Примечание

1

2

3

4

5

1 б, 10 б

Манометр общего назначения показывающий 0-0,4 МПа, класс точности 2,5


2


2 б, в,  4 б, в

Дифманометр типа ДТ прибор дифтрансформатор-ной схемы типа КСД; ; предел измерений 0,5 МПа, погрешность 2 кПа

ДТ-50

2


6 б

Манометр типа МЭД, предел измерения 0,4 МПа; класс точности 1

МЭД22364

2


6 в

Регистрирующий прибор типа КСУ

КСУ

1


7 б, 8 б,  14 б, 16 б, 17 б

Термопреобразователь сопротивления, пределы от -50 °С до +150 °С, класс точности К-1

ТСП-0879-1

5


7 б, 8 б

Логометр, класс точности 1,5

Ш 69000

2


9 б, в

Дифманометр типа ДТ; предел измерений 0,5 МПа, погрешность 2 кПа прибор схемы типа КСД

ДТ-50

1


11 б, в

Датчик погасания факела, устройство отсечения подачи газа


1


12 б

Термометр технический ртутный стеклянный №5 предел измерений от 0 до 160 °С; цена деления шкалы 1 °С

ТТ

1


13 б, 18 б, 19 б, 21 б

Магнитный пускатель


4


14 в

Регулирующий прибор системы Контур-2 РС.29.2

ТСП

1


15 б, в

Диафрагма тензометри-ческий преобразователь типа «Сапфир-22.ДД Автоматический прибор самопишущий» типа КСУ

Сапфир-22.ДД

2


16 в

Термопреобразователь сопротивления типа ТСП Вычислитель теплоты с жидкокристаллическим табло

ТСП

1


20 б, в

Дифманометр типа ДТ регулирующий прибор системы «Контур-2 РС.29.0»

Контур-2 РС.29.0

1

Регулятор разряжения


.6 Технико-экономическая эффективность автоматизации

Основными преимуществами автоматизации котла марки ЗИОСАБ-5000 можно считать следующие:

- снижение эксплуатационных расходов за счет уменьшения численности обслуживающего персонала;

-       экономия топлива, тепла и электроэнергии, снижение затрат на текущий ремонт, обусловленных улучшением эксплуатационного режима и защиты оборудования;

-       повышение качества теплоснабжения за счет постоянного автономного контроля и регулирования параметров системы;

-       обеспечение бесперебойности и надежности действия всей системы теплоснабжения за счет лучшего контроля и автоматического управления работой агрегатов и установок.

10. БЕЗОПАСНОСТЬ ЖИЗНЕДЕЯТЕЛЬНОСТИ ПРИ ПРОИЗВОДСТВЕ САНИТАРНО-ТЕХНИЧЕСКИХ РАБОТ

.1 Техника безопасности при газовой сварке и резке металлов

Основные причины травматизма при газосварочных работах и резке металла - неправильное обращение с газогенераторами, баллонами, бензобачками, шлангами и инструментом, а также невнимательное поведение рабочего [18].

При выполнении работ по газовой сварке и резке металла могут произойти: взрывы смесей горючих газов с воздухом и кислородом; взрывы ацетиленовых генераторов при обратном ударе пламени и попадании в них кислорода; взрывы карбидных барабанов при вскрытии вследствие содержания в них ацетилено-воздушной смеси; воспламенение кислородных шлангов при обратных ударах; взрывы кислородных редукторов из-за попадания в них песчинок или других твердых частиц, а также резкого открывания вентиля кислородного баллона; взрывы и воспламенение при соприкосновении находящегося под высоким кислорода с маслом или жиром; воспламенение бачка с горючим во время резки, близкого размещения бензобачка около источника огня, а также разрыва и неправильного подсоединения шланга, подающего горючее; взрывы баллонов и других сосудов, находящихся во время работы под высоким давлением вследствие нагревания, падения, ударов и других нарушений правил пользования баллонов под высоким давлением [19].

К производству работ по газопламенной обработке металла допускаются лица, достигшие 18 лет, прошедшие медицинское освидетельствование, специальное техническое обучение, проверку знаний по технике безопасности, имеющие соответствующее удостоверение и практические навыки газосварочных работ [20].

Газосварщик имеет право работать с той газосварочной аппаратурой и приборами, которые он получил на складе. Работать чужим аппаратом и передавать его другим газосварщикам запрещается. Во время перерыва на обед газогенератор должен быть разряжен, вентиль на кислородном баллоне закрыт, а редуктор снят, после окончания работы газогенератор и баллоны должны быть убраны в места хранения. Рабочее место должно быть освобождено от сгораемых легковоспламеняющихся материалов в радиусе не менее 5 м, а от взрывоопасных материалов - не менее 10 м. Производить газосварочные работы с приставных лестниц запрещается; разрешается применение лестниц со специальной ограждающей площадкой.

При сварке и резке вблизи токоведущих устройств места работы следует ограждать щитами. Перемещаться с зажженной горелкой (резаком) вне рабочего места, а также подниматься по трапам на леса не разрешается. Газосварщику запрещается: оставлять без присмотра сварочную аппаратуру, допускать в зону производства работ посторонних на расстояние ближе 5 м; касаться незащищенными руками нагретых мест; работать при недостаточной освещенности.

Применять бутан-пропановую резку в закрытых сосудах и невентилируемых помещениях запрещается. Баллоны следует располагать на расстоянии 1 м от токоведущих проводов и от места резки - не менее 10 м. Редуктор, регуляторы и переходные детали, применяемые при сжижении пропан-бутановой смеси, должны быть окрашены в красный цвет.

.2 Техника безопасности при монтаже внутренних систем

Работы по монтажу трубопроводов внутренних систем разрешается вести после приемки объекта (захватки) под монтаж. Монтаж трубопроводов должен производиться из укрупненных узлов, изготовленных в заводских условиях. Трубные заготовки, скомплектованные по этажесекциям, стоякам или осям, поступают на объект в контейнерах, а трубы - связанными в пакетах. Трубы и трубные заготовки должны быть уложены горизонтально, прислонять их к стенам не разрешается [17]. Монтаж трубопроводов вблизи действующих электрических сетей осуществляется только после снятия напряжения. Рабочие места и подходы к местам монтажа должны быть освещены; работать в плохо освещенных местах не разрешается.

Использование случайных непроверенных механизмов, блоков, строп и тросов запрещается. Пеньковые канаты, применяемые для оттяжек, не должны иметь перетертых или размочаленных мест. Не следует использовать в качестве грузовых пеньковые канаты. Подачу труб на высоту следует осуществлять при помощи оттяжки, один конец которой должен находиться в руках у стоящего внизу рабочего; он удерживает поднимаемый трубопровод от раскачивания. Снятие стропов с поднятого трубопровода допускается только после надежного его закрепления.

Монтажная зона по возможности должна быть ограждена; при монтаже должна строго соблюдаться технологическая последовательность работ; выполнять работы около не огражденных движущихся механизмов, под работающим мостовым краном, у открытых не огражденных люков, проемов не разрешается; выполнять работы вблизи неизолированных токоведущих проводов можно при условии отключения напряжения в проводах; включать и выключать любое электрооборудование в электросеть может только дежурный электромонтер; места сварки следует ограждать светонепроницающими экранами.

При обнаружении неисправности в инструменте, оборудовании, защитных средствах, а также при нарушении правил техники безопасности рабочим бригады необходимо немедленно прекратить работу и сообщить об этом своему бригадиру или мастеру.

К установке отопительных приборов (конвекторы, радиаторы, гладкие трубы) можно приступать после выполнения следующих предварительных работ: нанесены отметки чистого пола плюс 500 мм (наносятся в виде крашеных шашек размером 15*50 мм, верх шашки должен соответствовать отметке); отштукатурены места установки отопительных приборов; освещены места монтажа и подходы к ним; отопительные приборы завезены на объект в контейнерах, скомплектованные по этажам-секциям, стоякам, этажам.

Отопительные приборы поднимаются (опускаются) на проектные отметки подъемными механизмами, развозятся (разносятся) к месту монтажа и навешиваются (устанавливаются) на заранее установленные кронштейны, подвески. После навески ( установки ) отопительных приборов их следует обвязать трубопроводами [17].

.3 Техника безопасности при проведении изоляционных работ

При работе с битумом запрещается разводить огонь в радиусе 25 м от места работ. Над котлом для варки битума должен быть устроен несгораемый навес. При загрузке котла куски битума нужно плавно опускать вдоль его стенок. Котел следует загружать не более чем на 3/4 его емкости. В случае возгорания массы котел немедленно закрывают крышкой, топку прекращают, а вытекающую мастику засыпают песком или гасят огнетушителем. Вблизи котла должен постоянно находиться комплект противопожарных средств. Гасить воспламенившийся битум водой запрещается. Для транспортирования горячей мастики к месту производства изоляционных применяют конусные бачки [21].

.4 Техника безопасности при проведении работ по испытанию и промывке теплопровода

Рабочие, занятые на испытании и промывке теплопроводов должны быть предварительно проинструктированы. Перед испытанием должны быть выставлены дежурные посты, чтобы не пропустить посторонних лиц к испытываемому теплопроводу. Проверку теплопроводов на плотность и прочность при гидравлическом или пневматическом испытании разрешается производить строго ограниченному числу лиц [17].

Ликвидация дефектов, обнаруженных на испытываемом, на прочность и плотность теплопроводе, разрешается только после снятия в нем давления. Во время испытания строительно-монтажные работы на испытываемом теплопроводе производить не разрешается.

При испытании теплопровода в пределах камеры снаружи должны быть оставлены дежурные; при этом люки камеры необходимо открыть.

.5 Противопожарные мероприятия

Причинами возникновения пожаров на производстве, особенно на строительных площадках, могут быть: случайная искра, попавшая на горючие материалы; горящий окурок папиросы; неисправная электропроводка; неисправные электроприборы, неправильное хранение горючих материалов [21].

Во избежание пожаров необходимо осторожно обращаться с огнем и выполнять все противопожарные мероприятия. Курить разрешается только в специально отведенных местах; обтирочный материал надо убирать в железные ящики с крышками [22].

11. ЭКОЛОГИЧНОСТЬ ПРОЕКТА И ЗАЩИТА ОКРУЖАЮЩЕЙ СРЕДЫ

.1 Выбросы загрязняющих и токсичных веществ с дымовыми газами в атмосферу

При сжигании различных топлив, наряду с основными продуктами сгорания (СО2, Н2О, N2), в атмосферу поступают загрязняющие твердые (зола и сажа), а также газообразные токсичные вещества, а именно: сернистый и серный ангидриды (SО2 и SO3), окислы азота (NO и NO2), фтористые соединения и соединения ванадия. В случае недостаточно полного сгорания топлива в топках уходящие газы могут содержать окись углерода СО, углеводороды СН4, С2Н4, а также канцерогенные углеводороды, например бенз(а)пирен и др. [23].

Все продукты неполного сгорания являются вредными, однако при современной технике сжигания топлива их образование можно предотвратить или свести к минимуму; то же относится и к содержанию окислов азота в уходящих газах. Из всех окислов азота наиболее часто в дымовых газах содержится окись NO и двуокись NO2, причем двуокись является наиболее стойким продуктом. Высшие окислы - N2O2, N2O4 и N2O5 - существуют в атмосферных условиях только при низких температурах.

Суммарный выброс сернистых соединений (SO2 + SO3) определяется исходной величиной содержания серы в топливе и не может быть исключен за счет каких-либо мероприятий в организации топочного процесса. Таким образом, добиваться предельно допустимых концентраций сернистых и других соединений в атмосфере можно только выбором необходимой высоты дымовой трубы, обеспечивающей рассеивание оставшихся твердых частиц и вредных газов в атмосфере.

Критерием санитарной оценки является предельно допустимая концентрация (ПДК) вредного вещества в воздухе. Под ПДК следует понимать такую концентрацию различных веществ и химических соединений, которая при ежедневном воздействии в течение длительного времени на организм человека не вызывает каких-либо патологических изменений или заболеваний. Предельно допустимые концентрации атмосферных загрязнений устанавливаются в двух показателях: как максимально-разовые (за 20 мин) и среднесуточные (за 24 ч).

Из всех широко используемых видов топлива наиболее экологичным является природный газ. При сжигании в топках котлов природного газа наиболее вредными являются образующиеся при этом окислы азота. Существуют промышленные способы, позволяющие существенно снизить количество образующихся при сжигании топлива окислов азота. Кроме того, как и в других случаях, рассчитывается высота дымовой трубы, которая может рассеивать в слоях атмосферы эти вредные выбросы и, тем самым, не допускается превышение ПДК [23].

.2 Методы подавления образования окислов азота в топках котлов

Окислы азота вредно действуют на органы дыхания живых организмов и вызывают ряд серьезных заболеваний, а также разрушающе действуют на оборудование и материалы, способствуют образованию смогов и ухудшению видимости. Окислы азота чрезвычайно токсичны. Так, максимально-разовая предельно допустимая концентрация двуокиси азота почти в 6 раз ниже, чем ПДК для сернистого ангидрида, и в 30 раз меньше, чем для окиси углерода. (ПДК двуокиси азота: максимально-разовая и среднесуточная составляет 0,085 мг/м3).

Окислы азота образуются за счет окисления содержащегося в топливе азота и азота воздуха и содержатся в продуктах сгорания всех топлив - углей, мазутов и природного газа. Условием окисления азота воздуха является диссоциация молекулы кислорода воздуха под действием высоких температур в топке (1900 - 2000 оС). В результате реакций в топочной камере образуется в основном окись азота NO (более 95%). Образование двуокиси азота NO2 за счет доокисления NO требует значительного времени и происходит при низких температурах на открытом воздухе [23].

Образование окислов азота в процессе горения топлива уменьшается при снижении температуры горения, при сокращении времени пребывания азота и кислорода в высокотемпературной части факела, а также при уменьшении количества свободного кислорода в факеле. Анализ основных факторов, влияющих на образование окислов азота, позволяет наметить методы их подавления в топке.

Радикальным способом снижения образования окислов азота является организация двухстадийного сжигания топлива, т.е. применение двухступенчатых горелочных устройств. По этому методу в первичную зону горения подается 50-70% необходимого для горения воздуха, остальная часть воздуха (50-30%) поступает во вторую зону, где происходит дожигание продуктов неполного сгорания. Отвод теплоты из первичной зоны горения должен быть достаточно большим, чтобы заключительная стадия процесса горения происходила при более низкой температуре. Примерно тот же эффект происходит при получении растянутого по длине топочной камеры факела, что должно обеспечивать значительное снижение температурного уровня в топке и соответственно уменьшение образования окислов азота.

Вторым методом подавления образования окислов азота в топке является рециркуляция дымовых газов в топочную камеру. В этом случае дымовые газы при температуре 300 - 400 оС забираются из конвективной шахты котла и подаются в топочную камеру. Ввод газов в топочную камеру может осуществляться через шлицы под горелками, через кольцевой канал вокруг горелок или путем подмешивания газов в воздух перед горелками.

Как показали исследования, наиболее эффективным оказался второй способ, при котором происходит наибольшее снижение температуры в ядре факела. Подмешивая до 20-25% дымовых газов, удается снизить содержание окислов азота на 40-50%. Рециркуляция газа, наряду с уменьшением температуры горения, приводит к снижению концентрации кислорода, т.е. уменьшению скорости горения, растягиванию зоны горения и более эффективному охлаждению этой зоны топочными экранами [4].

Подача воды и пара в зону горения также приводит к снижению образования окислов азота. Ввод воды или водяного пара в количестве 5-10% всего количества воздуха снижает температурный уровень в топке, так же как и при вводе рециркулирующего газа. Снижение температуры подогрева и уменьшение избытка воздуха в топке тоже несколько уменьшает образование окислов азота как за счет снижения температурного уровня в топке, так и за счет уменьшения концентрации свободного кислорода.

Перечисленные способы при комплексном их использовании могут существенно снизить образование окислов азота в топке. В таблице 11.1 приведены возможные пределы снижения образования NO2 в топках котлов для разных видов топлив, %.

Таблица 11.1 - Пределы снижения образования NO2 в топках котлов

Методы снижения NO2

Топливо


Газ

Мазут

Уголь

Малые значения aт

33

33

25

Двухступенчатое горение

50

40

35

Двухступенчатое горение при малых значениях aт

90

73

60

Рециркуляция дымовых газов

33

33

33

Рециркуляция дымовых газов при малых значениях aт

80

70

50

Впрыск воды или пара

10

10

10


11.3 Сточные воды котельных и пути сокращения вредных выбросов

В котельных в зависимости от исходной воды и требований к качеству добавочной воды применяются различные схемы водоподготовительных установок. Все использованные на водоподготовительных установках реагенты и соли, извлеченные из воды, должны удаляться. Количество сбрасываемых солей при этом достигает значительных величин. Так, для установки химводоподготовки производительностью 7,5 т/ч со стоками сбрасывается 7,5-10 кг/ч различных солей, а на более мощных установках эти цифры многократно возрастают. Солевые сбросы водоподготовительных установок содержат нейтральные соли, кислоты и щелочи, не являющиеся токсичными. Однако эти сбросы приводят к существенному повышению солесодержания водоемов и изменению показателя рН. Со сточными водами предочистки сбрасываются также все уловленные органические вещества, повышающие биохимическую потребность водоема в кислороде, а также взвешенные вещества, поэтому непосредственный сброс этих вод в водоемы недопустим. По санитарным нормам в водоемах ограничено содержание ионов Cl до 350 мг/кг, ионов SO2- до 500 мг/кг, в то время как они в больших количествах содержатся в сбрасываемых водах из водоподготовительных установок [24].

Сточные воды, загрязненные нефтепродуктами, представляют особую опасность для водоемов в связи с малыми значениями их ПДК. Нефтепродукты наносят серьезный вред водоемам, так как пленка, образующаяся на поверхности воды, уменьшает аэрацию. Сточные воды от химических промывок котлов имеют резкопеременный расход, а также изменение концентраций и состава примесей во время сброса. В отработанных растворах после химических промывок котлов содержится до 70-90% применяемых реагентов.

В настоящее время сточные воды водоподготовительных установок в основном корректируются по показателю рН, и в некоторых случаях из них непосредственно выделяются грубодисперсные примеси. Воду при рН>9 целесообразно направлять на нейтрализацию кислых стоков ВПУ. Очистка сточных вод от нефтепродуктов в настоящее время осуществляется методом отстаивания, флотации и фильтрования. Способ очистки сточных вод химических промывок и консервации оборудования зависит от состава примесей в воде. При обезвреживании сточных промывочных вод основным являются разрушение образовавшихся при промывках комплексов металлов с реагентами, выделение этих металлов в осадок и разрушение органических соединений. Простейшим решением при очистке обмывочных вод является их нейтрализация щелочными растворами (гидрооксидом натрия, содой, известью) с целью выделения вредных веществ в осадок с последующим его отделением от воды [24].

ЗАКЛЮЧЕНИЕ

В выпускной квалификационной работе «Проект газовой котельной мощностью 22,0 МВт на ОАО «ТРАНС-АЛЬФА ЭЛЕКТРО» в г. Вологде» выполнены следующие этапы проектирования: определены расходы тепловой энергии потребителями; расходы теплоты на горячее водоснабжение; расчет и построение температурного графика отпуска тепловой энергии; гидравлический расчет тепловых сетей; определение расходов сетевой воды; построение пьезометрического графика; определение тепловых потерь; расчет тепловой схемы котельной; подбор котельных агрегатов, газовых горелок и газового оборудования; подбор вспомогательного оборудования (теплообменник, насосы, расширительный бак, химводоочистка, дымовая труба).

Также в дипломном проекте были разработаны следующие главы:

- технико-экономическое обоснование принятых в проекте решений: определены капитальные затраты на проектные работы, затраты на изготовление и установку котельной, а также посчитана себестоимость вырабатываемой теплоты;

-       автоматизация котла марки ЗИОСАБ-5000;

-       безопасность жизнедеятельности при производстве санитарно-технических работ;

-       экологичность проекта и защита окружающей среды.

СПИСОК ИСПОЛЬЗОВАННЫХ ИСТОЧНИКОВ

отопление теплообменник водоснабжение

1.            Строительные нормы и правила. Строительная климатология: СНиП 23-01-99: введ. 01.01.2000. - М.: ФГУП ЦПП, 2000. - 58.

2.      Информационно-справочный каталог «Weishaupt». Горелки газовые, жидкотопливные, комбинированные 12 - 17500 кВт.

.        Информационно-справочный каталог «Weishaupt». Котельные рационал от 200 кВт до 30 МВт. Печатный номер № 21R1-05.

.        Синицын, А.А. Методические указания к выполнению практических работ по дисц. «Теплогенерирующие установки»: - Вологда, ВоГТУ. Ч.2. - 2006. - 24 с.

.        Соколова, Е.И. Газоснабжение населенного пункта / Е.И. Соколова. - Методические указания по выполнению курсовых и дипломных проектов. - Вологда: ВоГТУ, 1999. - 32 с.

.        Строительные нормы и правила. Газоснабжение: СНиП 2.04.08-87*: Утв. Госстроем России. Изд. офиц. - М., 1999. - 91 с.

.        #"897700.files/image227.jpg">

ПРИЛОЖЕНИЕ 2

(обязательное)

Определение расчетных тепловых нагрузок на отопление и вентиляцию ОАО «ТРАНС-АЛЬФА ЭЛЕКТРО»


ПРИЛОЖЕНИЕ 3

(обязательное)

Месячные расходы тепловой энергии на отопление и вентиляцию ОАО «ТРАНС-АЛЬФА ЭЛЕКТРО»



ПРИЛОЖЕНИЕ 4

(обязательное)

Определение расчетных тепловых нагрузок на горячее водоснабжение ОАО «ТРАНС-АЛЬФА ЭЛЕКТРО»


ПРИЛОЖЕНИЕ 5

(обязательное)

Результаты гидравлического расчета на отопление тепловой сети ОАО «ТРАНС-АЛЬФА ЭЛЕКТРО»


ПРИЛОЖЕНИЕ 6

(обязательное)

Характеристика труб для тепловых сетей и результаты гидравлического расчета тепловой сети ОАО «ТРАНС-АЛЬФА ЭЛЕКТРО»



ПРИЛОЖЕНИЕ 7

(обязательное)

Характеристика тепловой сети ОАО «ТРАНС-АЛЬФА ЭЛЕКТРО»



ПРИЛОЖЕНИЕ 8

(обязательное)

Расчетные тепловые потери в сетях отопления и горячего водоснабжения


ПРИЛОЖЕНИЕ 9

(обязательное)

Расчет толщины тепловой изоляции


ПРИЛОЖЕНИЕ 10

(обязательное)

Отопительно-бытовой график отпуска теплоты



ПРИЛОЖЕНИЕ 11

(обязательное)

Расчетные данные для построения графика отпуска тепловой энергии в зависимости от наружной температуры



ПРИЛОЖЕНИЕ 12

(обязательное)

Объем воды в трубопроводах в тепловой сети



ПРИЛОЖЕНИЕ 13

(обязательное)

Расчет минимальной высоты дымовой трубы



ПРИЛОЖЕНИЕ 14

(обязательное)

Исходные данные для расчета тарифа на тепловую энергию



ПРИЛОЖЕНИЕ 15

(обязательное)

Результаты расчета тарифа на тепловую энергию


Похожие работы на - Проект газовой котельной мощностью 22,0 МВт

 

Не нашли материал для своей работы?
Поможем написать уникальную работу
Без плагиата!
Без нейросетей!