Создание холодильного предприятия для хранения мяса вместимостью 340 тонн

  • Вид работы:
    Курсовая работа (т)
  • Предмет:
    Другое
  • Язык:
    Русский
    ,
    Формат файла:
    MS Word
    475,8 Кб
  • Опубликовано:
    2017-08-07
Вы можете узнать стоимость помощи в написании студенческой работы.
Помощь в написании работы, которую точно примут!

Создание холодильного предприятия для хранения мяса вместимостью 340 тонн

Оглавление

Введение

1. Определение размеров охлаждаемых помещений и размеров холодильника

1.1         Определение размеров коридора, рампы, и толщины стены

1.2 Определение размеров холодильника

. Определение толщины теплоизоляционных конструкций

3. Расчет теплопритоков

3.1 Сводный расчет теплопритоков

4. Расчет двухступенчатого холодильного цикла

5. Подбор оборудования

5.1 Подбор компрессоров

5.2 Подбор воздухоохладителей

5.3 Подбор конденсатора

5.4 Подбор линейного ресивера

5.5 Расчет трубопроводы

6. Описание схемы холодильной установки

Список использованной литературы

Приложения

Введение


Холодильник - это промышленное предприятие, предназначенное для охлаждения, замораживания и хранения скоропортящихся продуктов. Главными задачами холодильного предприятия в пищевой промышленности является создание условий для обработки и хранения продуктов. Эта задача может быть успешно решена созданием комплекса технических средств, обеспечивающих необходимую температуру для обработки и хранения. В них обрабатываются и хранятся продукты, требующие для своего сохранения поддержания заданных температур ниже температуры окружающей среды и определённой относительной влажности.

Холодильники бывают многоэтажными и одноэтажными. В нашем случае мы будем рассматривать проектирование модульного одноэтажного холодильника вместимостью 340 т. Важным достоинством является широкая возможность комплексной механизации грузовых работ, в результате чего не только облегчается труд рабочих, но и значительно уменьшаются затраты ручного труда и стоимость проведения грузовых работ.

Целью курсового проекта является создание холодильного предприятия для хранения мяса. Наша задача создать холодильные камеры для 340 т рыбы, охладить его от минус 12 °С до минус 25 °С и поддержание данной температуры для его хранения.

1. Определение размеров охлаждаемых помещений и размеров холодильника


Примечание: максимальная высота укладки груза - 4 яруса;

·        Груз хранится на паллетах, укладывается на стеллажи из металлической конструкции в 2-4 яруса;

·        Используем европаллет - 1200 х 800 х 150 мм;

·        Высота укладки на паллетах 1350 мм;

·        Определяем массу паллета с грузом:

 


·        Определяем количество паллетов;


·        Определяем вместимость каждой камеры;

Камеры разной вместимости: выбираем второй вариант из рекомендуемых заданных схем, размещения камер.

Камера 1 => 85 т;

Камера 2 => 85 т;

Камера 3 =>170 т;

·        Определяем количество паллетов в каждой камере;


·        Расставим паллетов в камеру;

Рисунок 1 Расположение паллетов камере 1, 2

Рисунок 2 Расположение паллетов в камере 3

·        Определяем размеры стеллажей;

Груз укладывается на двуярусный стеллаж. Количество рядов груза на стеллаж не больше двух;

·        Стеллажи из металлических конструкций;

х 100 мм;

·        Рассматриваем одну камеру (камера 1);

·        Размер, занимаемой одной ячейкой груза;

Рисунок 3 Схема ячейки груза

150 мм -место для циркуляции воздуха;

мм -место для металлических конструкций;

·        Количество паллетов в одном ярусе;

·        Для камеры 1 и 2:

Для камеры 3:

Количество паллетов в одном ряду;

·        Для камеры 1,2:

Для камеры 3:


·        Определяем длину стеллажа;

·        Для камеры 1,2:



Определяем размеры камеры №1 и 2;


2000 мм оставим для разворот и свободное движение тележки.


1000 мм -место для циркуляции воздуха;

         -место для оборудования (воздухоохладитель);

 х  х  => 11900х 12300 х 5500 мм;(рисунок 1)

·        Определяем размеры камеры №3


2000 мм место для разворот и свободное движение тележки.


1000 мм -место для циркуляции воздуха;

         мм-место для оборудования (воздухоохладитель);

 х  х  => 11900х24800х 5500 мм;(рисунок 2)

1.1    Определение размеров коридора, рампы, и толщины стены


·        Определяем размер стен;

Принимаем предварительно: толщина стены => δст = 200 мм;

Ширина коридора => Вкор = 3000 мм;

Ширина рампы => Врампы = 4500 мм;

·        Суточное поступление груза;


·        Количество принимаемых автомобилей за сутки;

 

Принимаем одновременно 4 автомобиля;

·        4 ворот;

Расстояние между воротами до 1500 мм;

·        Определяем длину рампы;


·        Определяем длину коридора;


1.2 Определение размеров холодильника


·        Определяем длину холодильника;

·       

 

·        Определяем ширину холодильника без учета рампы;

 


·        Определяем ширину холодильника с учетом рампы;

 

 

·        Определяем высоту холодильника;

Рисунок 5 Определение высоты холодильника

 

 

. Определение толщины теплоизоляционных конструкций


·        Три слоя - металл - изоляция - металл;

·        Сталь - пенополеуретан - сталь ;

Рисунок 6 Конструкция стены

·        Принимаем толщину металла;

δм = 2 мм;

Материал: выбираем в качестве теплоизоляционного материала, высокоэффективный, не поддерживающий горения, материал с закрытыми порами;

·        Пенополистирол

·       

λ = 0,05 Вт/м К - коэффициент теплопроводности;[2]

αн = 23 Вт/м2 К - коэффициент теплоотдачи от наружного воздуха;[2]

αвн = 10 Вт/м2 К - коэффициент теплоотдачи от внутреннего воздуха;[2]

λметалла = 14 Вт/м К; металл: 08Х18Н9 - закалка при 1100 о С; [3]

Rн - термическое сопротивление; [8]

Среднегодовая температура города Кострома - tср. г = 2,8 о С; [9]

Наружная стена; [8, таблица 4]

Rн = 6,2 мС/Вт;

Для внутренних ограждений; [8, таблица 4]

Rн = 6,2 мС/Вт;

Для пола; [8, таблица 7]

Rн = 6,0 мС/Вт;

Для потолка; [8, таблица 2]

Rн = 6,8 мС/Вт;

·        Наружная стена;

·        Для внутренних ограждений;

Берем толщину наружной стены равной:

·        Для пола

Берем толщину пола равной:

·        Для потолка;

Берем толщину потолка равной:

·        tкор = +6 оС;

·        tрампы = +6 оС;

·        Пересчитаем размеры холодильника с учетом полученной стены толщиной  = 0,32 м;

Lхол = 31680 мм;

Вхол = 30260 мм - с учетом рампы;

Вхол = 25440 мм - без учета рампы;

Нхол = 7200 мм; Планировка Холодильника (Чертеж)

3. Расчет теплопритоков


·        Определяем наружную расчетную температуру;

 (для легких конструкций)[1]

Полученное значение округляем до целых градусов.

tср.м и tа.м; [2, прил. 26] для города Кострома

tср.м = 17,6 оС;

tа.м = 36 оС;

 оС;

·        Географическая широта города Самары примерно 58 о;

·        Расчет теплопритоков;

·       

 [1,стр 48] см.таблица 1

 

3.1 Сводный расчет теплопритоков


·        Теплоприток при термической обработке;

Поступающий груз требуется охладить от температуры поступления до температуры хранения.


R = 1,2 - коэффициент неравномерности тепловой нагрузки;

 = 20% от Е = 0,2 - суточное поступление груза;

Принимаем суточное поступление груза равномерно по всем камерам.

Рыба жирная:

tпост = -12 оС; tхран = -25 оС;

i = 5,84,19 =24,3 кДж/кг; i = -3,44,19 =-14,3 кДж/кг;

·        Расчет теплопритока с воздуха при вентиляции;

Подача свежего воздуха для дыхания продуктов не требуется, подача воздуха для постоянных работающих людей не требуется.

Q3 = 0;

·        Расчет эксплуатационных теплопритоков;


а) Камера 1;

 = 350 Вт;  = 3;


 = 1 Вт/м2 - мощность светильников;

 - площадь пола;

 = 10÷20 Вт/м2 - относительная мощность электродвигателей с воздухоохладителями;


 = 7÷9 кВт;



β - коэффициент, учитывающий длительность и частоту проведения грузовых операций;

β = 0,3 - для распределительных холодильников;

- площадь дверного проема;

 - коэффициент эффективности средств защиты дверного проема;

 = 0,5 для пластиковых завес;

 - плотность теплового потока среднего за времени грузовой операции на 1 м2 дверного проема при отсутствии средств тепловой защиты;

 = 7800 Вт при Δt =30оС; [2, прил. 31]

б) Камера 2;

в) Коридор;

г) Камера 3;

д) Рампа;

·        Проверочный расчет;

 = 500 Вт/м2 - удельный теплоприток на площадь м2 помещения;

[2, прил. 35]

·        Суммирование Q4;

а) На оборудование;

Полностью включаются эксплуатационные теплопритоки;

Q4об = ∑ Q4;

б) На общий компрессор;

Принимают одновременно возникающие эксплуатационные теплопритоки;

Q - на камере, в коридоре, в рампе;

 - от всех помещений;

 - от двух погрузчиков;

Q4осв - на камере, в коридоре, в рампе;

Q4двери - на камере, в рампе;

Q для общего компрессора;

Стены;

С=> 0;

В=> Qmax = 199,45 Вт;

Ю=> Qmax = 352,7 Вт; - берем по южной стене при суммирование;

З=> Qmax = 239,23 Вт;



4. Расчет двухступенчатого холодильного цикла


Принимаем цикл с двухступенчатым сжатием, промежуточным охлаждением в промсосуде и однократным дросселированнием хладагента.

Рисунок 7 Схема двухступенчатой холодильной установки

Рисунок 8 Цикл двухступенчатой холодильной установки

·        Выбираем параметры цикла;

= θ = (3 ÷ 5) К;

оС;

 = (7÷10) К;

 оС;

 оС;  = (5÷7) К;

 оС;

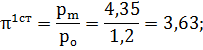
pк = 15,8 МПа; pо = 1,2 МПа;


π > 8 => следовательно перейдем к двухступенчатому циклу;

tm = 0 оС;

 = (5÷10) К при

 = (10÷15) К при

оС;

оС;

оС;

оС;

·        Удельная холодопроизводительность;

 

 

·        Удельная теплота конденсации;

 


·        Удельные работы на сжатие;


·        Холодильный коэффициент;

·       


·        Степень сжатия;

·       


 1 Параметры точек цикла


1

2

3

4

5

6

6’

7

8

P,МПа

0,12

0,44

0,435

1,58

1,58

0,435

0,435

1,58

0,12

t, оС;

-20

68

10

103

38

0

0

5

-30

i,кДж/кг

1440

1625

1490

1675

375

375

200

230

230

1

0,42

0,3

0,11

0,04

0,001566

0,001583

0,125


Строим цикл в p-i диаграмма состояния аммиака.Параметри точек цикла сводим в таблицу 3(см.Приложения А1)

 

 

. Подбор оборудования


5.1 Подбор компрессоров


Выбираем сальниковые (открытые) компрессоры;

·        Определяем расчётную холодопроизводительность компрессора;


 - общая тепловая нагрузка на компрессоре;

 = 1,02 ÷ 1,12 - коэффициент, учитывающий потери во всасывающем трубопроводе (нагрев, гидравлические потери и расширение пара в трубе);

b - коэффициент рабочего времени;

b = 0,76 ÷ 0,95 - для крупных установок;

·        Массовый расход хладагента;


·        Объемный расход хладагента;

     = ;

·        Теоретическая объемная подача компрессора;


·        Выбираем поршневой компрессор; [4]

Марка: RCU412E;

Фирма: Grasso;

Количество: 2 - 1 рабочий, 1 для резервирования;

 = 768 м3/ч при n = 1450 об/мин;

Длина: L = 2900 мм;

Высота: Н = 1700 мм;

Ширина: В = 1400 мм;

·        Рассчитаем компрессор для второй ступени;

·       

     = ;

Выбираем поршневой компрессор; [4]

Марка: RCU212E;

Фирма: Grasso;

Количество: 2 - 1 рабочий, 1 для резервирования;

 = 310 м3/ч при n = 1171 об/мин;

Длина: L = 2350 мм;

Высота: Н = 1400 мм;

Ширина: В = 1300 мм;

·        Проверка подобранных компрессоров;

а) Баланс на промсосуде;


Баланс промсосуда строго не выполняется.

Для первой ступени;

холодильник теплоизоляционный конденсатор компрессор

 

·        Проверка установленной мощности;

Nдв > Nе; Nдв > 54,28 кВт;


Nдв > Nе; Nдв > 60,4 кВт;

5.2 Подбор воздухоохладителей


·        Выбираем тип воздухоохладителей;

Потолочные подвесные;

·        Выбираем материалы для хладагента;

Вещество: аммиак (R717);

Материалы: стальные трубы;

·        Выбор количество воздухоохладителей;

4 - для большой камеры;

по 2 - для маленьких камер;

- для рампы;

- для коридора;

·        Выбор шаг оребрения;

t0 < -20, тогда шаг принимаем больше 10 мм;

Шаг принимаем 12 мм; [5]

·        Площадь воздухоохладителя для камеры 3;

 = 7÷10 К;  = 49855,3 Вт;

 - рассчитывается из каталога [4] по формуле:

Принимаем типоразмер GHP 065B/116

= 10 К

 =46,1 м2

 = 12,9 кВт


·        Требуемая расчетная площадь для камеры 3;

·       

 

·        Выбираем воздухоохладитель для камеры 3; [5]

Типоразмер: GHP080C/116;

Номинальная мощность: Q = 27,2 кВт;

Поверхность: 96,4 м2;

Производительность по воздуху: 16600 м3/ч;

Длина факела вентилятора: 33 м;

Количество вентилятора: 1;

Длина: L = 1960 мм;

Ширина: В = 1236 мм;

Высота: Н = 1263 мм;

Объем труб: V = 64,1 л;

Вес: М = 482 кг;

·        Площадь воздухоохладителя для камеры 1, 2;

Типоразмер: GHP065C/112;

Δtм = 10 К;

F = 73,9 м2;

Q = 19,4 кВт;



·        Требуемая расчетная площадь для камеры 1, 2;


·        Выбираем воздухоохладитель для камеры 1, 2; [5]

Типоразмер: GHP080С/112;

Номинальная мощность: Q = 34,0 кВт;

Поверхность: 123,5 м2;

Производительность по воздуху: 16200 м3/ч;

Длина факела вентилятора: 32 м;

Количество вентилятора: 1;

Длина: L = 1960 мм;

Ширина: В = 1236 мм;

Высота: Н = 1263 мм;

Объем труб: V = 64 л;

Вес: М = 526 кг;

·        Площадь воздухоохладителя для коридора;

Шаг оребрения принимаем 5мм; [5]

Типоразмер: GHP045E/15;

Δtм = 10 К;

F = 56,5 м2;

Q = 12,7 кВт;


·        Требуемая расчетная площадь для коридора;

 

·        Выбираем воздухоохладитель для коридора; [5]

Типоразмер: GHP065A/15;

Номинальная мощность: Q = 22,5 кВт;

Поверхность: 98,8 м2;

Производительность по воздуху: 8700 м3/ч;

Длина факела вентилятора: 21 м;

Количество вентилятора: 1;

Длина: L = 1660 мм;

Ширина: В = 762 мм;

Высота: Н = 1005 мм;

Объем труб: V = 22,4 л;

Вес: М = 342 кг;

·        Площадь воздухоохладителя для рампы;

Типоразмер: GHP065А/15;

Δtм = 10 К;

F = 98,8 м2;

Q = 22,5 кВт;


·        Требуемая расчетная площадь для рампы;

 

·        Выбираем воздухоохладитель для рампы; [5]

Типоразмер: GHP080A/15;

Номинальная мощность: Q = 39,7 кВт;

Поверхность: 165,1 м2;

Производительность по воздуху: 17100 м3/ч;

Длина факела вентилятора: 34 м;

Количество вентилятора: 1;

Длина: L = 1960 мм;

Ширина: В = 1006 мм;

Высота: Н = 1245 мм;

Объем труб: V = 38,6 л;

Вес: М = 515 кг;

·        Определяем общую вместимость по хладагенту;

Для камеры 3;


Для камеры 1, 2;


Для коридора;


Для рампы;


·        Проверяем допустимые рабочие параметры;

Tmin < Tраб <Tmax; Tраб = -40 ÷ 45 оС;

Pmax = 25 Бар;

Способ оттайки: горячими парами хладагента.

5.3 Подбор конденсатора


Выбираем воздушные конденсаторы.

·        Тепловая нагрузка на конденсатор;


·        Выбираем два конденсатора для обеспечения резервирования;



·        Расчетная тепловая нагрузка на конденсатор; [6]


 = 0,75 при tk = 40 оС; tн.р = tв1 = 29 оС; берем с каталога [6]

 = 0,99;

 = 0,96 при tгор.пара = t4 = 103 оС;

1,2 - 20 процентов запаса для частичного резервирования;

·        Выбираем конденсатор; [6]

Фирма: Güntner;

Типоразмер: AGVH080.1B/3L;

Номинальная мощность: Q = 230,9 кВТ;

Расход воздуха: 48000 м3/ч;

Общее потребление электроэнергии: 2,8 кВт;

Уровень звукового давления - 54 дБА;

Количество секции - 22;

Количество ножек - 4

Исполнения - 3;

Длина: L= 6900 мм;

Ширина: В = 1141 мм;

Высота: Н = 1480 мм;

5.4 Подбор линейного ресивера


·        Определяем вместимость ресивера для крупных аммиачных установок по формуле, учитывая 25 % запаса;


 - суммарная вместимость испарительной системы

+


·        Выбираем линейный вертикальный аммиачный ресивер; [7]

Типоразмер: AGBV250;

Фирма: Güntner;

Объем: V = 250 л;

Длина: L = 2140мм

Ширина: В=295 мм;

Вес: М = 240 кг;

Смотровые стекла - 3;

Расположения - 1, 2, 3;

Сварное соединения;

5.5 Расчет трубопроводы


Трубопроводы холодильной установки рассчитываем по рекомендуемой скорости движения среды.

а) Всасывающая аммиачная паровая труба (низкого давления) компрессора первой ступени;

·        Массовый расход в трубе;

·        Объемный расход в трубе;

 

 =

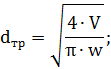
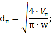
·        Диаметр трубы;


 - скорость движения в трубе; [1, таблица 6.1]

·        Выбираем стальную бесшовную трубу диаметром; [2, прил. 62]

 108 х 4 мм;

·        Действующая скорость движения в трубе;


б) Нагнетательная аммиачная паровая труба (высокого давления) компрессора первой ступени;

·        Массовый расход в трубе;

·        Объемный расход в трубе;

 

 =

·        Диаметр трубы;

·        Выбираем стальную бесшовную трубу диаметром;

 76 х 3,5 мм;

·        Действующая скорость движения в трубе;


в) Всасывающая аммиачная паровая труба (низкого давления) компрессора второй ступени;

·        Массовый расход в трубе;

·        Объемный расход в трубе;

 

 =

·        Диаметр трубы;

·        Выбираем стальную бесшовную трубу диаметром;

·        76х 3,5 мм;

·        Действующая скорость движения в трубе;

г) Нагнетательная аммиачная паровая труба (высокого давления) компрессора второй ступени;

·        Массовый расход в трубе;

·        Объемный расход в трубе;

 

 =

·        Диаметр трубы;

·        Выбираем стальную бесшовную трубу диаметром;

 38 х 2,0 мм;

·        Действующая скорость движения в трубе;

д) Жидкостная аммиачная труба (высокого давления) после конденсатора;

·        Массовый расход в трубе;

·        Объемный расход в трубе;

 

 =  = 1,583 10-3 м3/кг; [3]

·        Диаметр трубы;

·        Выбираем стальную бесшовную трубу диаметром;

 38 х 2,0 мм;

·        Действующая скорость движения в трубе;


е) Жидкостная аммиачная труба (низкого давления) после насоса в испаритель;

·        Массовый расход жидкости в трубе;

 = 6 ÷ 12;

·        Объемный расход в трубе;

 =  = 1,459 10-3 м3/кг; [3]

·        Диаметр трубы;

·        Выбираем стальную бесшовную трубу диаметром;

 57 х 3,5 мм;

·        Действующая скорость движения в трубе;


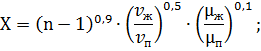
ж) Аммиачная парожидкостная труба возврата из испарителя в циркуляционный ресивер (низкого давления); [1, страница 219]

·        Массовый расход жидкости в трубе;

 = 6 ÷ 12;

·        Находим величину Х по формуле; [1]

·       


 [3]

Δpсм/Δpп = 5,43 при Х = 0,276;

·        Диаметр трубы двухфазной смеси (парожидкостной смеси);

 - диаметр трубы, что предположительно по трубе протекает только пар;


·        Выбираем стальную бесшовную трубу диаметром;

 273х 8 мм;

·        Действующий диаметр ;


·        Действующая скорость движения в трубе;



6. Описание схемы холодильной установки

Данная холодильная установка предназначена для поддержания определенных низких температур. Холодильная установка включает в себя испарительную систему, где необходимо поддерживать температуру кипения to и низкое давление ро для определенного хладагента. Получение наиболее низкой температуры приводит к увеличению значения отношения рк0 и к трем нежелательным явлениям: увеличению температуры нагнетания компрессора, возрастанию объемных потерь в компрессоре и увеличению дроссельных потерь в регулирующем вентиле, что вызывает уменьшение холодопроизводительности установки.

При рк0 >8 приходится применять многоступенчатое сжатие, в нашем случае двухступенчатое, в котором участвуют два поршневых компрессора. Для того чтобы ограничить роста температуры нагнетания, первой ступени сжатия дополнительно охлаждается в промсосуде. После испарителя и перед компрессором первой ступени устанавливают циркуляционный ресивер, как показано на схеме, что позволяет в первую очередь обеспечивать подачу хладагента в испаритель и к тому защищает компрессор от гидравлического удара.

После сжатия в компрессоре первой ступени, пар поступает в промсосуд, где дополнительно охлаждается, барботируя через слой жидкости. Выходя из промсосуда, пар перегревается во всасывающем трубопроводе перед компрессором второй ступени (высокого давления) и в перегретом состоянии поступает в него. После сжатия в компрессоре второй ступени до давления конденсации рK, пар конденсируется в конденсаторе , после чего жидкость высокого давления разделяется на два потока . Основной поток поступает в змеевик промсосуда, где переохлаждается, отдавая теплоту жидкости, и в состоянии переохлаждения поступает через регулирующий вентиль РВ2 в испаритель. Другой поток жидкости дросселируется в РВ1 от рK до промежуточного давления рпр и поступает в промежуточный сосуд.

Маслоотделители предназначены для отделения масла, уносимого холодильным агентом из компрессора. Масло увлекается агентом, как в виде капель, так и в парообразном состоянии. Уменьшение масляной пленки приводит к повышению эффективности теплообменных аппаратов. Линейные ресиверы предназначены для компенсации различия в заполнении испарительного оборудования жидкостью при изменении тепловой нагрузки. Они освобождают конденсатор от жидкости и создают равномерный поток жидкого агента к регулирующему вентилю. Линейный ресивер устанавливают между конденсатором и регулирующим вентилем. Постоянно поддерживаемый уровень жидкого холодильного агента является гидравлическим затвором, который препятствует перетеканию пара высокого давления в испаритель. Линейный ресивер является хорошим сборником воздуха и масла. Насосы холодильных установок предназначены для циркуляции охлаждающей воды в оборотных системах водоснабжения, промежуточного хладоносителя (рассол или ледяная вода), а также жидкого аммиака в насосно-циркуляционных системах. Для жидкого аммиака применяют специальные аммиачные бессальниковые насосы.

Заключение

В результате проведенной работы было рассмотрено камерное оборудова-ние для охлаждения и хранения рыбы. Произведены расчеты, по которым было выбрано оборудование для создания и поддержания заданных усло-вий:

Компрессоры: фирмы Grasso марка RCU412E и RCU212E

Воздухоохладители: фирмы GUNTNER тип GHP 080С/112 ,GHP 080D/112 и GHP065A/15

Конденсаторы: фирмы GUNTNER тип AGVH090.1B/2N

Линейный ресивер: фирмы Güntner тип Z0434/1:L

 

Список использованной литературы


1.      Курылев Е.С., Оносовский В.В., Румянцев Ю.Д. “ Холодильные установки” - СПб: Политехника, 1999. - 576 с.

.        Бараненко А.В., Калюнов В.С., Румянцев Ю.Д. “Практикум по холодильным установкам”. - СПб: Профессия, 2001. - 272 с.

.        Богданов С.Н., Бурцев С.И., Иванов О.П., Куприянова А.В. ”Холодильная техника. Кондиционирование воздуха: Справ./ Под ред. С.Н. Богданов. 4-е изд., перераб. и доп. - СПб.: СПбГАХПТ, 1999. - 320 с.

.        Каталог фирмы Grasso «Компрессоры поршневые»;

.        Каталог фирмы GUNTNER «Конденсаторы воздушные аммиачные »;

.        Каталог фирмы GUNTNER «Ресиверы аммиачные»;

.        СП 109.13330.2012. Холодильники;

.        131.13330.2012. Строительная климатология;

Приложения


Холодильная установка с двухступенчатым сжатием, промежуточным охлаждением в промсосуде и однократным дросселированнием хладагента. Схема функцанальная

Похожие работы на - Создание холодильного предприятия для хранения мяса вместимостью 340 тонн

 

Не нашли материал для своей работы?
Поможем написать уникальную работу
Без плагиата!
Без нейросетей!