Автоматизация производства платформы с арретиром оптического устройства
Содержание
Введение
1. Анализ состояния вопроса. Цели и задачи вкр
1.1 Анализ платформы с арретиром оптического устройства
1.2 Анализ методов и систем автоматизированной
конструкторской подготовки производства
1.3 Анализ методов и систем автоматизированной
технологической подготовки производства
1.4 Анализ систем автоматизированного проектирования
технологического процесса
1.5 Основные требования, предъявляемые к системам
автоматизированного проектирования
1.6 Цели и задачи выпускной квалификационной работы
2. Разработка методики автоматизированной разработки
конструкции и технологии изготовления платформы с арретиром оптического
устройства
2.1 Способы
создания графических изображений в САПР К и ТП
2.2 Создание трехмерных моделей деталей
2.3 Создание трехмерной модели сборки
2.4 Создание разнесенной модели сборочной единицы
2.5 Создание каталога сборки платформы с арретиром
оптического устройства
3. Автоматизированная разработка конструкции узла платформы с
арретиром оптического устройства
4. Автоматизированный инженерный анализ элементов конструкции
платформы с арретиром оптического устройства
5. Автоматизированная разработка технологии изготовления и
сборки платформа с арретиром оптического устройства
5.1 Описание конструкции и назначения детали
5.2 Анализ технологичности конструкции детали
5.3 Выбор метода изготовления и формы заготовки
5.4 Выбор и расчет припусков на обработку
5.5 Определение типа производства
5.6 Выбор технологического оборудования и режущего
инструмента
5.7 Расчет и выбор режимов резания
6. Автоматизированная разработка программы обработки детали
на станке с ЧПУ
Заключение
Список использованных источников
Введение
Ускорение научно-технического прогресса и интенсификация производства
невозможны без применения средств автоматизации. Характерной особенностью
современного этапа автоматизации состоит в том, что она опирается на революцию
в вычислительной технике, на самое широкое использование микропроцессорных
контроллеров, а также на быстрое развитие робототехники, гибких
производственных систем, интегрированных систем проектирования и управления,
SCADA-систем. Сегодня без компьютерной автоматизации уже невозможно производить
современную сложную технику, требующую высокой точности. Во всем мире
происходит резкий рост компьютеризации на производстве и в быту.
Применение современных средств и систем автоматизации позволяет решать
следующие задачи:
– вести процесс с производительностью, максимально достижимой для
данных производительных сил, автоматически учитывая непрерывные изменения
технологических параметров, свойств исходных материалов, изменений в окружающей
среде, ошибки операторов;
– управлять процессом, постоянно учитывая динамику
производственного плана для номенклатуры выпускаемой продукции путем
оперативной перестройки режимов технологического оборудования,
перераспределения работ на однотипном оборудовании и т. п.;
– автоматически управлять процессами в условиях вредных или опасных
для человека.
– значительно сократить время разработки проектов конструкций,
оснастки и технологических процессов их изготовления, использовав накопленный
опыт предприятия, опыт подразделений.
– упорядочивание документооборота, своевременное получение заданий,
оперативность выполнения [13].
В данной выпускной квалификационной работе рассматривается автоматизированное
проектирование конструкции и технологии изготовления сборки и деталей платформы
с арретиром оптического устройства. Задачей проектирования является увеличение
производительности создания конструкторской и технологической документации, а
так же создание трехмерных моделей деталей и сборки. Трехмерное твердотельное
моделирование выходит на ведущие роли проектирования конструкций в современных
условиях.
1. Анализ
состояния вопроса. цели и задачи ВКР
Автоматизация проектирования - новый прогрессивный развивающийся процесс,
ведущий к значительному изменению существующей технологии в машиностроительном
проектировании. Изменяются существующая последовательность и время выполнения
отдельных операций в проектировании, форма представления информации, эффективность
при автоматизированном проектировании значительно зависит от организации
взаимодействия человека с вычислительной машиной, системы представления
справочно-информационного материала.
Основное направление автоматизированного проектирования является применение
систем автоматизированного проектирования (САПР), представляющих собой
совокупность технических средств (ЭВМ, алфавитно-цифровые и графические
дисплеи, кодировщики графической информации и др.), математического,
программного и информационного обеспечения.
Современные САПР К и ТП играют важную роль в проектировании конструкций и
технологических процессов. В процессе проектирования они обеспечивают
значительное повышение эффективности производственного цикла изготовления
изделий и увеличение производительности [13].
1.1 Анализ
платформы с арретиром оптического устройства
Арретирование платформы проводится для обеспечения жесткой связи
платформы и, соответственно, линии прицеливания прибора с пушкой и башней танка
при ее согласованном положении. Для платформы на ее осях вращения (собственная
ось вращения - горизонтальная, ось внешней рамы - вертикальная) есть кулачки со
специальным профилем и пазом, механизмы вертикального и горизонтального, штоки
которых в момент арретирования заходят в пазы соответствующих кулачков [2].
Шток каждого арретира выдвигается при повороте рукоятки. При повороте
рукоятки вращательное движение передается через зубчатый редуктор и карданные
валики и соответствующим рычагом каждого арретира превращается в поступательное
движение штока.
Вертикальный арретир через механизм выверки линии прицеливания по высоте
и параллелограмный привод жестко связан с пушкой.
При арретированном положении платформы линия прицеливания 1Г46 жестко
связана параллелограммным приводом с пушкой.
Горизонтальный арретир через механизм выверки линии прицеливания по
направлению (Г) жестко связан с корпусом стабилизирующего блока, а
следовательно - с башней танка.
Вертикальный арретир через механизм выверки линии прицеливания по высоте
и параллелограмный привод жестко связан с пушкой.
При арретированном положении платформы линия прицеливания 1Г46 жестко
связана параллелограммным приводом с пушкой.
Горизонтальный арретир через механизм выверки линии прицеливания по
направлению (Г) жестко связан с корпусом стабилизирующего блока, а,
следовательно, с башней танках [12]. Механизмами выверки линии прицеливания
прибора по высоте и направлению производится компенсация рассогласования линии
прицеливания с осью канала ствола пушки, который возникает после монтажа 1Г46 в
танк и в процессе эксплуатации. Сборочная единица «Платформа с арретиром»
представлена на рисунке 1.1.
Цель выверки - развороты главного зеркала головки и нижнего зеркала
(блока зеркал) стабилизирующего блока достигается разворотом гирорамы по
горизонтали и по высоте. Для этого механизмы вертикального и горизонтального
установлены не непосредственно в корпусах правого рычага и стабилизирующего
блока, а на поворотных кронштейнах, которые проворачиваются при вращении ключом
выверки соответствующего механизма.
Рисунок 1.1 - Платформа с арретиром
.2 Анализ
методов и систем автоматизированной конструкторской подготовки производства
Конструкторское проектирование - реализация принципиальных схем
проектируемых объектов, компоновка узлов и агрегатов, оформление
конструкторской документации.
Основными этапами по разработке конструкторской подготовки производства
новых и модернизации производившихся изделий являются:
– разработка технического задания;
– разработка технического предложения;
– составление эскизного проекта;
– разработка технического проекта;
– разработка технической документации.
Техническое задание - это документ, содержащий исходные данные для
проектирования объекта. Это важный этап, выделяемый из непосредственно
конструкторских работ, осуществляется разработчиком на основе исходных
требований к продукции.
Техническое задание включает изучение патентов, литературных источников,
установление основных параметров нового изделия, планирование конструкторской
подготовки производства, составление сметной калькуляции по разрабатываемой
теме, предварительный анализ экономической эффективности проектируемой
конструкции. Техническое задание в установленном порядке согласуется с
заказчиком и предопределяет возможность начала процесса конструирования.
Техническое предложение - совокупность конструкторских документов,
отражающих расчеты технических параметров и технико-экономическое обоснование
целесообразности разработки документации изделия на основе технического
задания. Расчеты выполняются по различным вариантам возможных решений их оценки
с учетом конструкторских и эксплуатационных особенностей разрабатываемого
изделия и существующих изделий. Техническое предложение разрабатывается обычно
в случаях, когда это предусмотрено техническим заданием. Целью его разработки
является выявление дополнительных и уточненных требований к изделию
(технических характеристик, показателей качества и др.), которые не могли быть
указаны в задании, но это целесообразно выполнить на основе предварительной
конструкторской проработки и анализа различных вариантов изделия.
В процессе разработки эскизного проекта создается конструкторская
документация, в которой содержатся принципиальные конструктивные решения,
дающие общее представление об устройстве и принципе работы изделия, а так же
данные, определяющие назначение, параметры и габаритные размеры изделия.
Цель его разработки - установление принципиальных ( конструктивных,
кинематических и др.) решений, дающее общее представление о принципах работы и устройстве
нового изделия, когда это целесообразно сделать до разработки технического
проекта и рабочей конструкторской документации.
Технический проект должен содержать окончательные технические решения,
дающие полное представление об устройстве нового изделия, и исходные данные для
разработки рабочей документации. При его разработке уточняется общий вид нового
изделия, выполняются чертежи основных узлов и агрегатов, их спецификации,
монтажные и сборочные схемы с расчетами на прочность, жесткость, устойчивость,
технологичность, а также способы упаковки, возможности транспортировки и
монтажа на месте использования, степень сложности изготовления, удобство
эксплуатации, способы упаковки, целесообразность и возможность ремонта и др.
Рабочая конструкторская документация составляется после утверждения и на
основе технического проекта. В состав рабочей документации входят: чертежи всех
деталей и сборочных единиц, схемы сборочных единиц и комплексов, спецификации
сборочных единиц, технические условия, документы, регламентирующие условия
эксплуатации и ремонта машины.
Обязанность выполнения стадий и этапов разработки конструкторской
документации устанавливается техническим заданием на разработку. Выполнение
всех стадий конструкторской подготовки производства с обязательным проведением
после изготовления опытного образца испытаний нового изделия рекомендуется лишь
для более сложных конструкторских работ с высокой степенью новизны. При
модернизации существующих конструкций машин, оборудования, приборов
объединяются стадии эскизного и технического проектов. Если новая техника
разрабатывается по результатам законченной научно-исследовательской работы, то
отчет по новой теме может заменить первую стадию разработки конструкторской
документации - техническое предложение.
Требования, предъявляемые к проектированию новой и модернизации основной
продукции:
– непрерывное совершенствование качества продукции - повышение ее
мощности, надежности, долговечности, прочности легкости, улучшения внешнего
вида и т.п.;
– повышение уровня технологической конструкции, под которой
понимается облегчение процесса изготовления продукции и возможность применения
прогрессивных методов изготовления при заданном объеме производства.
– снижение себестоимости новой продукции, достигаемое за счет
упрощения и совершенствования конструкции, замены дорогих материалов более
экономичными, снижение эксплуатационных затрат, связанных с применением
продукции;
– использование при проектировании продукции существующих
стандартов и унифицированных полуфабрикатов.
Системы автоматизированного проектирования (САПР) в настоящее время
полностью себя оправдывают и являются во многих случаях единственно возможными
методами при конструировании новых видов изделий (например, интегральных
микросхем).
Под автоматизацией проектирования понимается автоматизированный
конструкторский синтез устройства с выпуском необходимой конструкторской
документации (КД).
В отличие от проектирования вручную, результаты которого во многом
определяются инженерной подготовкой конструкторов, их производственным опытом,
профессиональной интуицией и т. п., автоматизированное проектирование позволяет
исключить субъективизм при принятии решений, значительно повысить точность
расчетов, выбрать варианты для реализации на основе строгого математического анализа,
значительно повысить качество конструкторской документации, повысить
производительность труда проектировщиков, снизить трудоемкость, существенно
сократить сроки конструкторской и технологической подготовки производства в
цикле СОНТ, эффективнее использовать технологическое оборудование с ЧПУ.
САПР представляет собой организационно-техническую систему, состоящую из
комплекса средств автоматизации проектирования, взаимосвязанного с
проектировщиками и подразделениями проектной организации. Проектировщик (конструктор,
технолог) входит в состав любой САПР и является ее пользователем, так как без
человека автоматизированная система не может функционировать. Объектом
автоматизации в САПР являются действия проектировщиков, разрабатывающих изделия
или технологические процессы. САПР нельзя создать вне конкретного производства,
на котором она будет использована.
Программно-технический комплекс САПР машиностроительных конструкций
должен обеспечивать решение следующих задач:
- интерактивное проектирование конструкций и технологических
процессов изготовления деталей общемашиностроительного назначения;
- формирование исходных данных для обеспечения производства
материальными ресурсами;
- классификация и кодирование деталей и изделий в соответствии
с классификатором ЕСКД;
- создание и ведение машинного архива конструкторской и
технологической информации;
- формирование и выдача необходимой конструкторской и
технологической документации;
- ввод, накопление, модификация и поиск информации, требующейся
для решения задач, перечисленных выше.
Общей информационной платформой САПР является информационно-поисковая
система. Она включает в себя ГОСТы, классификаторы, нормативы по труду и
материалам и другую условно-постоянную и оперативную информацию. САПР
объединяет технические средства, математическое и программное обеспечение,
параметры и характеристики которых выбирают с максимальным учетом особенностей
задач инженерного проектирования и конструирования [3].
.3 Анализ
методов и систем автоматизированной технологической подготовки производства
Технологическая подготовка производства (ТПП) - совокупность мероприятий,
обеспечивающих технологическую готовность производства, т.е. наличие на
предприятиях полных комплектов конструкторской и технологической документации и
средств технологического оснащении (основного и вспомогательного оборудования,
организационной оснастки) для осуществления заданного объема выпуска продукции
с установленными технико-экономическими показателями. При этом комплект
технологической документации включает совокупность документов технологических
процессов, необходимых и достаточных для их выполнения при изготовлении и
ремонте изделия или его составных частей.
Согласно Единой системе технологической документации (ЕСТД)
технологическая подготовка производства должна включать следующие стадии:
. Технологический анализ рабочих чертежей и их контроль на предмет
технологичности конструкции деталей и сборочных единиц.
. Разработка прогрессивных технологических процессов.
. Проектирование специальных инструментов, технологической оснастки и
оборудования для изготовления нового изделия.
. Выполнение планировок цехов и производственных участков с расстановкой
оборудования согласно разработанным технологическим маршрутам.
. Выверку, отладку и внедрение технологических процессов.
. Расчеты производственной мощности предприятия.
Технологическая подготовка производства включает решение общих задач,
группируемых по следующим основным функциям:
– обеспечение технологичности конструкции изделия - совокупности ее
свойств, проявляемых в возможности оптимальных затрат труда, средств,
материалов и времени при ТПП, изготовлении, эксплуатации и ремонте, по
сравнению с совокупностью соответствующих свойств однотипных изделий того же
назначения при обеспечении установленных значений показателей качества,
конкурентоспособности и принятых условий изготовления, эксплуатации и ремонта;
– разработка технологических процессов;
– проектирование и изготовление средств технологического оснащения;
– совокупности орудий производства, необходимых для осуществления
технологического процесса;
– организация управления технологической подготовкой.
Степень детализации технологических процессов определяется типом
производства. На предприятиях производственной сферы в технологическую
документацию включают производственные нормы и нормативы расходов сырья,
материалов, топлива и энергии, методы контроля качества продукции, нормы
производственных отходов, описание транспортных маршрутов, перечень рабочих
инструкций, сертификации оборудования и инструментов.
(АСТПП) - совокупность технических средств и методов автоматизированного
проектирования и реализации технологической системы, обеспечивающих возможность
производства летательных аппаратов и других изделий с заданным уровнем качества
и в заданных количествах с наименьшими затратами ресурсов в конкретных условиях
производства с учётом Отраслевой системы технологической подготовки
производства. АСТПП совместно с системой автоматизированного проектирования
(САПР) является частью производственной системы и обязательна для гибкого
автоматизированного производства (ГАП). Количество выполняемых функций и объём
решаемых АСТПП задач в составе ГАП значительно возрастают в связи с переходом
от проектирования и изготовления отдельных единиц технологического оснащения к
проектированию, изготовлению, вводу в действие и модернизации сложных
автоматизированных технологических комплексов (АТК), а также проектированию
технологических процессов, выполняемых с помощью АТК, с высокой степенью
детализации и программированию действий АТК.
Функции АСУ ТП подразделяют на управляющие, информационные и
вспомогательные управляющие. Это функции, результатом которых является
выработка и реализация управляющих воздействий на технологический объект
управления.
К управляющим функциям АСУ ТП относят регулирование (стабилизацию)
отдельных технологических переменных, логическое управление операциями или
аппаратами, программное логическое управление группой оборудования, оптимальное
управление установившимися или переходными режимами или отдельными стадиями
процесса, адаптивное управление объектом в целом, например управление участком
станков с ЧПУ, оперативная коррекция суточных и сменных плановых заданий и др.
Информационные функции АСУ ТП - это функции системы, содержанием которых
является сбор, обработка и представление информации для последующей обработки.
К информационным функциям АСУ ТП относят централизованный контроль и измерение
технологических параметров, косвенное измерение, вычисление параметров процесса
(технико-экономических, внутренних переменных), формирование и выдала текущих и
обобщающих технологических и экономических показателей оперативному персоналу
АСУ ТП, подготовка и передача информации в смежные системы управления,
обобщенная оценка и проверка состояния ГПС и его оборудования.
Вспомогательные функции состоят в обеспечении контроля над состоянием
функционирования технических и программных средств системы. АСУ ТП как
компонент общей системы управления промышленным предприятием предназначена для
целенаправленного ведения технологических процессов и обеспечения смежных и
вышестоящих систем управления оперативной и достоверной технико-экономической
информацией. АСУ ТП, созданные для объектов основного и вспомогательного
производства, представляют низовой уровень АСУП [2].
.4 Анализ систем
автоматизированного проектирования технологического процесса
автоматизация
производство арретир трехмерный
САПР ТП «ВЕРТИКАЛЬ»
Система «ВЕРТИКАЛЬ» предназначена для автоматизации процессов
технологической подготовки производства. В системе «ВЕРТИКАЛЬ» реализован
качественно новый подход к организации данных о технологических процессах,
базирующихся на объектной модели представления и обработки информации. Основным
компонентом программного комплекса является «ВЕРТИКАЛЬ-Технология». Система
«ВЕРТИКАЛЬ-Технология» позволяет пользователю оперировать
конструкторско-технологическими элементами (КТЭ). «Технологическая» часть
модели содержит сведения об операциях, переходах, оснастке. «Конструкторская» -
отображает состав и структуру обрабатываемых поверхностей деталей.
В системе «ВЕРТИКАЛЬ-Технология» реализованы следующие методы
проектирования технологических процессов:
– диалоговый
режим проектирования с использованием баз данных системы;
– заимствование
технологических решений из ранее разработанных технологий;
– проектирование
на основе техпроцесса-аналога;
– проектирование
с использованием библиотеки часто повторяемых технологических решений;
– проектирование
с использованием библиотеки КТЭ.
В системе «ВЕРТИКАЛЬ-Технология» предусмотрена возможность работы с
трехмерными моделями изделий и всеми видами графических документов (чертежами,
эскизами). Пользователь может подключить к технологическому процессу документы
и модели, созданные на этапе конструирования, и использовать их при
проектировании ТП.
САПР ТП «ВЕРТИКАЛЬ» позволяет:
– проектировать
технологические процессы в нескольких автоматизированных режимах;
– рассчитывать
материальные и трудовые затраты на производство;
– рассчитывать
режимы резания, сварки и другие технологические параметры;
– автоматически
формировать все необходимые комплекты технологической документации в
соответствии с ГОСТ РФ и стандартами, используемыми на предприятии (требуется
дополнительная настройка);
– вести
параллельное проектирование сложных и сквозных техпроцессов группой технологов,
в реальном режиме времени;
– осуществлять
проверку данных в техпроцессе (на актуальность справочных данных, а также
нормоконтроль);
– формировать
заказы на проектирование специальных средств технологического оснащения и
создание управляющих программ;
– поддерживать
актуальность технологической информации с помощью процессов управления
изменениями;
– поддерживать
процесс построения на предприятии единого информационного пространства для
управления жизненным циклом изделия от разработки до утилизации.
Одним из основных преимуществ «ВЕРТИКАЛЬ» является возможность
модернизации системы без участия разработчика. Корректируется состав и
структура всех баз данных, настраиваются формы технологических документов,
подключаются новые программные модули. Гибкость программного и информационного
обеспечения позволяет быстро адаптировать систему к любым производственным
условиям.
.5 Основные
требования, предъявляемые к системам автоматизированного проектирования
Основные требования к САПР связаны в основном с их эксплуатационными
характеристиками, универсальностью САПР, а также возможностью адаптации к
быстроменяющимся условиям проектирования и производства. К основным требованиям
относятся:
- Простой доступ пользователя к САПР. Под простым доступом
понимается возможность реализации проектной процедуры, необходимой
пользователю, на основе специальных языковых средств, ориентированных на
пользователя. Система автоматизированного проектирования снимает с пользователя
трудоемкие задачи создания математического описания и программирования модели.
Чем выше «интеллект» системы, тем более прост и лаконичен язык общения
пользователя с САПР. Основой простоты взаимодействия пользователя с системой
САПР является программное обеспечение. Внешне эта простота проявляется в виде соответствующих
языков, ориентированных на взаимодействие пользователя с САПР [4].
- Прямой доступ пользователя к САПР. Под прямым доступом
понимается возможность непосредственного обращения пользователя к
программно-информационным средствам САПР, иначе говоря, возможность
оперативного ввода данных и отображение результатов проектирования. В подобном
режиме прямого доступа пользователь может формировать и отлаживать программу,
вводить новые данные, получать в виде распечаток и графических результатов
проектные и расчетные операции.
Интерфейс пользователя является важнейшим параметром системы,
определяющий ее производительность, привлекательность и влияющий на
утомляемость пользователя и длительность периода освоения системы. Нередко
привлекательность интерфейса может вступать в конфликт с его эргономичностью.
Так, при использовании многоуровневых ниспадающих меню пользователь быстро
утомляется. Использование пиктограмм вместо текстовых меню значительно упрощает
освоение системы и ускоряет работу с системой.
- Инженерные расчеты. Необходимость оперативных инженерных
расчетов в процессе проектирования является очевидной. Наиболее часто требуется
производить расчет геометрических характеристик площадей, моментов инерции и
сопротивления, координат центра тяжести, периметров [4].
.6 Цели и
задачи выпускной квалификационной работы
Цель выпускной квалификационной работы - автоматизированная разработка
конструкции и технологического процесса изготовления платформы с арретиром
оптического устройства.
Исходя из заданной цели, необходимо решить ряд следующих задач:
- разработка методики автоматизированной разработки конструкции
и технологии изготовления платформы с арретиром;
- автоматизированная разработка конструкции механизма платформы
с арретиром;
- автоматизированный инженерный анализ элементов конструкции
платформы с арретиром;
- автоматизированная разработка технологии изготовления и
сборки платформы;
- автоматизированная разработка программы обработки детали на
станке с ЧПУ.
.7 Выбор систем автоматизированного проектирования для выполнения
выпускной квалификационной работы
Заданием является - автоматизированная разработка конструкции и
технологического процесса изготовления платформы с арретиром оптического
устройства.
На основании анализа для выполнения задач проектирования были выбраны
следующие системы автоматизированного проектирования:
– «КОМПАС-3D» -
создание трехмерных моделей деталей, оформление конструкторской документации
согласно ЕСКД и ГОСТ (чертежи, спецификации);
– SolidWorks - исследование напряженно-деформированного состояния
деталей и узлов;
– САПР ТП «ВЕРТИКАЛЬ» - автоматизация процессов технологической подготовки
производства.
В результате анализа методов и систем автоматизированного проектирования
конструкций и технологических процессов, был определён необходимый и
достаточный набор САПР для успешного выполнения поставленных задач.
2. Разработка
методики автоматизированной разработки конструкции и технологии изготовления
платформы с арретиром оптического устройства
Рассмотрим методику проектирования с использованием САПР. На выбор
методики влияет возможности выбранных систем и приемы работы в них.
При разработке методики автоматизированного проектирования
конструкторско-технологической документации необходимо максимально использовать
возможности и приемы работ используемой среды.
.1 Способы
создания графических изображений в САПР К и ТП
Графические изображения с САПР создаются проектировщиком с использованием
специальных программных систем, так называемых, графических редакторов. В
процессе выполнения данного дипломного проекта использовались системы
«КОМПАС-3D» и «SolidWorks» для создания трехмерных геометрических моделей
деталей, сборочных единиц и чертежей.
В настоящее время рассматривают три основных способа автоматизированного
создания графических изображений в САПР К и ТП:
- графическое редактирование (создание графических изображений в САПР К и
ТП осуществляется проектировщиком с использованием специальных программных
систем - графических редакторов);
- графическое программирование (предварительно разрабатывается
и отлаживается программа на специальном языке программирования, предназначенном
для этой цели; результат работы такой программы - числовые данные и графические
изображения);
- параметризация изображений (создание параметрических моделей
объектов).
При проектировании использовалось сочетание данных способов.
.2 Создание
трехмерных моделей деталей
Графические изображения деталей осуществляется способом графического
редактирования. Этот способ еще называют иначе способом "электронного кульмана".
Основу этого способа составляет графический редактор, обеспечивающий создание
графических изображений методом синтеза из элементов и фрагментов.
Элементами выступают так называемые графические примитивы. Для того чтобы
построить двумерные изображения применяются такие примитивы: точка, отрезок,
окружность, дуга, кольцо, эллипс, многоугольник и т. д. Для построения
трехмерных изображений используются следующие примитивы: параллелепипед, конус,
вогнутая полусфера и другие.
Создание геометрической модели начинается с основания. Выбирается базовая
плоскость, на которой строится эскиз основания. Эскиз должен быть полностью
определен, т. е. проставлены все размеры, взаимосвязи и ограничения элементов
эскиза (состояние эскиза определяется по его цвету).
При создании контура нет необходимости точно выдерживать требуемые
размеры. Самое главное на этом этапе - задать положение его элементов, затем,
благодаря тому, что создаваемый эскиз полностью параметризован, можно
установить для каждого элемента требуемый размер.
Трёхмерные твёрдотельные геометрические модели проектируемых деталей
создаются с помощью операций выдавливания, вращения, построение за счет
листового тела [5].
Построение тела начинается с создания его основания путем выполнения
операции над эскизом (или несколькими эскизами). При этом доступны следующие
типы операций:
Выдавливание эскиза в направлении, перпендикулярном его плоскости
(рисунок 2.1).
а)
б)
Рисунок 2.1 - Выдавливание эскиза:
а - эскиз; б - элемент, образованный операцией выдавливания
Вращение эскиза вокруг оси, лежащей в его плоскости (рисунок 2.2).
Режимы визуализации полученной модели позволяют просматривать ее
каркасное или реалистичное изображение. Для повышения качества тонированных
изображений могут быть изменены физические характеристики поверхности детали
(текстуры) и назначены дополнительные источники света.
Таким образом, при помощи системы «КОМПАС 3D» были построены трехмерные твердотельные модели всех
необходимых деталей, на основе которых в дальнейшем можно создавать виды,
разрезы и сечения для последующего использования их на чертежах, эскизах и т.д.
а)
б)
Рисунок 2.2 - Вращение эскиза:
а - эскиз; б - элемент, образованный операцией вращения.
Построение за счет элемента листового тела (рисунок 2.3).
Рисунок 2.3 - Построение листового тела:
а - эскиз; б - элемент, построенный операцией листового тела
Рассмотрим создание модели «Втулка». Создание модели начинается с
создания эскиза (рисунок 2.4). Как правило, эскиз представляет собой сечение
объемного элемента.
Рисунок 2.4 - Эскиз 1
Команда «Операция выдавливания» позволяет выдавливать контур, которым
является эскиз (рисунок 2.4), в определенном направлении на заданное расстояние
(рисунок 2.5).
Рисунок 2.5 - Операция вращения
Создаем следующий эскиз (рисунок 2.6)
Рисунок 2.6 - Эскиз 2
Используем « Операцию вырезать выдавливанием». Выдавливаем эскиз (рисунок
2.6), в определенном направлении на заданное расстояние (рисунок 2.7).
Рисунок 2.7 - Вырезать элемент выдавливания
Далее строим третий эскиз(рисунок 2.8).
Рисунок 2.8 - Эскиз 3
Повторяем «Операцию вырезать выдавливанием» к другому элементу детали
(рисунок 2.9).
Рисунок 2.9 - Вырезать выдавливанием
Следующим шагом будет создание отверстий (рисунок 2.10).
Рисунок 2.10 - Эскиз 4
Применяем «Операцию вырезать выдавливанием» на расстояние толщины детали
и получаем сквозные отверстия (рисунок 2.11).
Рисунок 2.11 - Вырезать выдавливанием
Затем создаем резьбу, для этого выполняем операцию «Условное изображение
резьбы», применив на грань отверстия (рисунок 2.12) и при помощи команды
«Фаска» создаем фаски (рисунок 2.12).
Рисунок 2.12 - Модель «Втулка»
Параметры всех созданных конструктивных элементов доступны для изменения,
так что в любой момент работы можно изменить произвольный параметр эскиза или
базового тела и выполнить затем полную перестройку модели.
.3 Создание
трехмерной модели сборки
Средства САПР позволяют объединять в одной сборке большое количество
разнотипных деталей и подсборок.
Виртуальные сборки создаются с целью проверки созданной конструкторской
документации (сборочных и деталировочных чертежей и спецификаций) путем
создания контрольных сборок или непосредственно в процессе проектирования
конструкций.
Существует два способа создания трехмерных моделей сборочных единиц.
"Снизу-вверх" - модели деталей создаются независимо от сборки,
после чего осуществляется сборка их в изделие. Этот способ используется при
создании контрольных сборок и разнесенных сборок - для создания каталогов
изделий и графических изображений для инструкций по их эксплуатации.
"Сверху вниз" - когда возможно создание деталей непосредственно
в среде сборки, осуществляя привязку к элементам соседних деталей. В любой
момент структура сборки доступна для изменения, при этом непосредственно в
режиме сборки могут быть изменены любые параметры отдельных деталей [13].
Такой тип проектирования позволяет инженеру-конструктору проектировать
сборку, используя компоновочные эскизы, которые часто используются при
традиционном проектировании. Можно построить один или несколько эскизов,
показывающих, где находится каждый компонент сборки. Затем можно создать и
изменить проект перед созданием деталей. Кроме этого, можно в любое время
использовать компоновочный эскиз для внесения изменений в сборку.
Модель сборочной единицы создается в следующем порядке:
- добавление компонентов;
- размещение компонентов;
- взаимная ориентация деталей.
При добавлении компонента в сборку (либо отдельной детали, либо узла
сборки) в сборку файл детали связывается с файлом сборки. Компонент появляется
в сборке, однако данные о компоненте остаются в его исходном файле.
Как только компонент добавлен, то можно фиксировать его положение,
перемещать, вращать. Это полезно для приблизительного расположения компонентов
в сборке. Затем можно точно расположить компоненты, используя взаимосвязи
сопряжения.
Когда добавляются взаимосвязи сопряжения, компоненты можно перемещать в
пределах неограниченных степеней свободы и наблюдать за поведением механизма.
Взаимосвязи сопряжения позволяют точно расположить компоненты в сборке
относительно друг друга. Они позволяют определить, как компоненты перемещаются
и вращаются относительно других деталей. Можно перемещать компоненты в нужное
положение, последовательно добавляя взаимосвязи сопряжения [7].
Сопряжение создает геометрические взаимосвязи, такие как совпадение,
перпендикулярность, соосность, касание и т.д. Каждая взаимосвязь сопряжения
действительна для определенных сочетаний геометрических форм.
Основные виды сопряжений:
- параллельность элементов;
- совпадение элементов;
- перпендикулярность элементов;
- расположение элементов под заданным углом;
- расположение элементов на заданном расстоянии;
- касание элементов;
- соосность элементов.
Рассмотрим создание сборки «Платформы с арретиром оптического
устройства».
Сборка создается в следующем порядке:
– вставка компонентов в сборку;
– размещение компонентов в сборке;
– условия сопряжения деталей в сборке.
После того, как разработаны модели всех деталей сборочных единиц станции,
создается контрольная сборка методом «Снизу-вверх». Этот способ используется
для создания контрольных сборок и разнесенных сборок - для создания каталогов
изделий и графических изображений для инструкций по их эксплуатации.
Выбирается режим "новая сборка". В окно сборки последовательно
вставляем собранные детали и узлы, причем одну из них фиксируем. С помощью
команд поворота и перемещения "свободные детали" устанавливаем в
необходимое для сборки положение, выбираем соответствующие поверхности для
сопряжения и выполняем команды, обеспечивающие требуемые взаимосвязи этих
поверхностей в сборке (параллельность, концентричность, расстояние и др.).
Затем создаем новый файл трехмерной модели сборки, вызывая из меню Файл
команду «Создать - Сборку» или нажимая кнопку «Новая сборка» на Панели
управления.
Вызываем из меню Операции команду «Добавить компонент из файла» или можно
нажать соответствующую кнопку на Инструментальной панели для того, чтобы
добавить в сборку деталь «Корпус», существующий в файле на диске. После вызова
команды на экране появляется диалог выбора файлов. Выбираем в нем нужный
каталог и указываем имя файла, содержащего компонент. Изображение указанного компонента
появится в окне просмотра диалога.
Указываем точку вставки детали «Корпус». Точку вставки можно указать в
окне сборки произвольно или используя привязку (например, к началу координат
или к вершине). Начало координат детали совмещается с указанной точкой вставки,
направление осей его системы координат совпадет с направлением осей системы
координат текущей сборки.
Так как вставленный компонент - первый в сборке, он автоматически
фиксируется в том положении, в котором был вставлен. Зафиксированный компонент
не может быть перемещен в системе координат сборки (рисунок 2.13).
Вставляем детали в окно сборки. Так как в состав текущей сборки должны
входить подсборки «Арретир горизонтальный», «Блок шестерен» то вставляем их
следующим образом:
- вставляем в сборку подсборки;
- затем в окне модели устанавливаем курсор на детали, нажимаем
левую кнопку мыши и перемещаем курсор. На экране появится фантом вставляемой
детали;
- указываем курсором положение детали в окне модели и отпускаем
кнопку мыши;
- Подсборки будут вставлены в текущую сборку.
Вставленные подсборки будут ориентированы относительно системы координат
сборки так же, как первая.
Следующим этапом будет установка выбранных деталей в нужной ориентации
друг относительно друга. Для этого последовательно добавляем сопряжения
«Соосность» и «Совпадение» (рисунок 2.14).
После вставки деталей в сборку задаем их приблизительное положение и
ориентацию в ней.
Рисунок 2.13 - Добавление детали из файла
Рисунок 2.14 - Сопряженные детали
Затем вставляем в сборку стандартные изделия. Стандартные изделия
выбираем из библиотеки программы. В параметрах стандартных изделий проставляем
нужные размеры согласно чертежу.
Результатом всех вышеописанных действий является готовая модель сборки
«Платформа с арретиром оптического устройства» (рисунок 2.15).

Рисунок 2.15 - Модель сборки
.4 Создание
разнесенной модели сборочной единицы
Компоненты сборки отделяют друг от друга, чтобы зрительно просмотреть их
взаимосвязи. Разнесение сборки позволяют просмотреть ее, когда компоненты
отделены друг от друга. Эта функция оказывается полезной при разработке
каталогов запасных частей. При разнесении сборки все взаимосвязи сопряжения
сохраняются.
При пошаговом разнесении для каждого компонента или группы компонентов
указываются направление и расстояние, на которое следует разнести детали.
Вид с разнесенными частями состоит из одного или нескольких шагов
разнесения и хранится с конфигурацией сборки, в которой он создается. Каждая
конфигурация содержит один вид с разнесенными частями (рисунок 2.15).
Последовательность создания разнесенной сборки:
- открываем модель сборки;
- для разнесения вида служит команда «Создать разнесенный вид».
При ее вызове появляется диалоговое окно. Разнесенная сборка может быть создана
автоматически или по отдельным шагам разнесения.
Рисунок 2.15 - Разнесенный вид модели сборочной единицы
.5 Создание
каталога сборки платформы с арретиром оптического устройства
Каталог сборки - это справочное техническое пособие при изучении
конструкции изделия, а также пособие при разборке и сборке узлов [7].
Каталог содержит развернутые иллюстрации сборочных единиц, деталей и
стандартизированных изделий, сгруппированных по конструктивному и
функциональному признаку.
В таблице указаны номера всех сборочных единиц и деталей, их количество
на одну сборочную единицу и наименование. Обозначение оригинальных узлов и
деталей соответствует единой системе.
Для создания каталога требуется видеть сборку в «разобранном» виде. Далее
создается чертеж требуемого формата. На компактной панели выбираем
«произвольный вид». На панели свойств нажимаем кнопку «разнесенный вид». Далее
проставляем позиции и создаем таблицу, где указаны позиция, обозначение,
наименование детали и количество. Окончательный вид каталога представлен
(рисунок 2.16).
Рисунок 2.16 - Каталог сборочной единицы
3.
Автоматизированная разработка конструкции узла платформы с арретиром
оптического устройства
Конструкторская разработка с применением САПР заключается в
проектировании изделия, а также создании полного комплекта документации на него
(деталировочные и сборочные чертежи, спецификации). Использование компьютеров
повышает производительность труда инженера-конструктора за счет того, что
вычислительная техника берет на себя решение нетворческих задач и освобождает
человека для решения сложных задач. Таким образом, ЭВМ не подменяет человека, а
служит средством подъема творческого уровня его труда.
В системе «Компас-3D»
имеется возможность создания ассоциативных чертежей трехмерных моделей. В нем
создаются выбранные нами ассоциативные виды трехмерной модели (детали или
сборки):
- стандартный вид (спереди, сзади, сверху, снизу, справа,
слева);
- вид модели;
- проекционный вид (вид по направлению, указанному относительно
другого вида);
- вспомогательный вид;
- разрез/сечение (простой, ступенчатый, ломаный);
- местный вид;
- вырыв детали;
- линия разрыва;
- обрезанный вид;
- наложенный вид.
Рассмотрим создание чертежа детали «Втулка» (рисунок 3.1). Ассоциативная
связь проявляется в следующем: если изменяется модель детали, то изменяется её
чертеж.
Рисунок 3.1 - Модель детали «Втулка»
Изображение формируется в обычном чертеже «Компас-3D». Открывается лист чертежа и
настраивается для данной детали (формат, ориентация). В нем создаются
ассоциативные виды трехмерной модели с помощью команд «Операции - Создать новый
чертеж из модели». На экране появляется фантом изображения, масштаб которого
можно настроить (рисунок 3.2).
Чтобы настроить параметры вида, в котором будет размещаться изображение,
нажимаем кнопку «Параметры вида» на специальной панели управления и
устанавливаем масштаб 2:1. Указываем видимость линий переходов и невидимых
линий. Заключительным этапом формирования чертежей является простановка размеров.
Далее вводим технические требования и обозначения в основную надпись (рисунок
3.3).
Рисунок 3.2 - Создание вида с модели
Рисунок 3.3 - Чертеж детали «Втулка»
Аналогично создаются остальные чертежи сборки и деталей.
Таким образом, была разработана конструкторская подготовка производства
платформы с арретиром оптического устройства. Сформирован полный комплект
конструкторской документации (чертежи деталей и сборочных единиц, спецификации,
каталоги) с использованием САПР, что позволило связать все необходимые
документы в единый проект с понятной топологией.
Комплект конструкторской документации представлен в Приложении 1.
4.
Автоматизированный инженерный анализ элементов конструкции платформы с
арретиром оптического устройства
Имитационное моделирование - это метод исследования, основанный на том,
что изучаемая система заменяется моделью и с ней проводятся эксперименты с
целью получения информации об этой системе. Экспериментирование с моделью
называют имитацией (имитация - это постижение сути явления, не прибегая к
экспериментам на реальном объекте).
Имитация в САПР - наблюдение за функционированием объекта с целью
нахождения его рациональных параметров до его изготовления. Различают
кинематическую и динамическую имитацию.
Кинематическая имитация дает возможность предсказать поведение сложных
механизмов сборок и изделий во время процесса проектирования.
Динамическая имитация позволяет проверять долговечность конструкции,
действие прикладываемых сил, вибрацию, потерю устойчивости и поведение при
применении температурных нагрузок на отдельные компоненты и сборки.
В практике расчетов используют как аналитические, так и численные методы
расчета прочностной надежности. Надежностью называют свойство изделия выполнять
свои функции в заданных пределах в течение требуемого промежутка времени.
Прочностной надежностью называют отсутствие отказов, связанных с разрушением
или с недопустимыми деформациями.
Имитационное исследование элементов конструкции изделия, до ввода в
производство, необходимо для отработки конструкции на технологичность и
безопасность, с последующим ее изменением. Имитационные исследования экономят
огромные материальные средства, повышают качество изделий в процессе
эксплуатации. С появлением ЭВМ и систем инженерного анализа стало возможным
создание математической модели, имитирующей связанные процессы деформирования
деталей, изменения параметров нагружения, кинетики теплового состояния,
развития повреждений [8].- программный комплекс САПР для автоматизации работ
промышленного предприятия на этапах конструкторской и технологической
подготовки производства. Обеспечивает разработку изделий любой степени
сложности и назначения.позволяет решать следующие задачи:
- линейный статический анализ;
- определение собственных форм и частот колебаний;
- расчет критических сил потери устойчивости;
- тепловой анализ;
- статический анализ в нелинейной постановке задачи;
- расчет долговечности конструкции;
- расчет падения конструкции на абсолютно жесткую поверхность;
- анализ сосудов давления (процедура линеаризации напряжений,
предусмотренная нормативами при проектировании сосудов давления);
- нелинейный динамический анализ;
- оптимизация параметров конструкции.
При определении напряженно-деформированного состояния системы наиболее
часто используется линейная постановка при неизменных нагрузках (линейная
статика). SolidWorks позволяет работать как с деталями,
так и со сборками. При этом для сборочных узлов существует возможность
применять различные типы контактных условий, что обеспечивает проведение того
или иного вида анализа с различной точностью.
Поддержка конфигураций SolidWorks позволяет более гибко подходить к процессу проведения численных
испытаний. Есть возможность сравнивать результаты, полученные в SolidWorks, и данные реального физического
эксперимента. Таким образом, можно корректировать расчетную модель для
увеличения достоверности результатов[1].
В SolidWorks можно определить различные виды
нагружения, начиная от стандартных для всех систем (силы, моменты,
распределенные нагрузки, как постоянные, так и переменные) и заканчивая
специальными. Ко второй группе можно отнести контактную нагрузку в паре «вал -
отверстие»; учет осей, шпилек, болтов без их наличия в расчетной модели. Причем
для болтового соединения можно учитывать усилие затяжки, что дает более точный
результат.
В SolidWorks представлены различные типы
конечных элементов, в том числе оболочечные и объемные элементы. Таким образом,
для расчета тонкостенных конструкций можно использовать оболочечные элементы,
что сократит вычислительные потребности при сохранении точности расчета. По
умолчанию генерация конечно-элементной сетки идет в автоматическом режиме. К
тому же пользователь может управлять не только настройками генератора, но и
вручную указывать области, в которых необходимо достигнуть более высокого
разрешения конечно-элементной сетки [1].
В пошаговом режиме произведем процесс создания расчетной модели и анализа
результатов для вилки шарнира. Для вызова команд будем использовать Manager (Менеджер) SolidWorks. Большинство действий может
выполняться также посредством панелей инструментов Toolbars:
- Создаем модель SolidWorks (рисунок 4.1).
Рисунок 4.1 - Исследуемая модель изделия «Втулка»
Выбираем тип анализа - Статический.
- Назначаем материал. В соответствии с чертежом выбираем Сталь 20 ГОСТ
1050-88.
- Назначаем кинематические граничные условия. В нашем случае
это фиксация указанных на рисунке поверхностей (рисунок 4.2).
Рисунок 4.2 - Фиксация
- Задаем нагрузки. К указанным поверхностям втулки прикладываем силу 1Кн
(рисунок 4.3).
Рисунок 4.3 - Нагрузки
- Из контекстного меню вызываем команду построения сетки. Строим сетку с
параметрами по умолчанию (рисунок 4.4).
Рисунок 4.4 - Сетка конечных элементов
Запускаем расчет командой «Выполнить».
В случае удачного расчета в менеджере появляется папка Результаты.
Двойным щелчком активируем необходимую нам диаграмму (рисунок 4.5 - рисунок
4.8).
Рисунок 4.5 - Напряжение
Рисунок 4.6 - Перемещение
Рисунок 4.7 - Деформация
По диаграмме определяем, что максимальное напряжение не превышает
допустимого, а максимальная деформация не критична.
Рисунок 4.8 - Запас прочности
Коэффициент запаса прочности получился равным 1,777, это не превышает 1,9
значит, материал выбран и использован рационально.
Решение дифференциальных уравнений, описывающие деформации представляет
большую сложность или не всегда возможно без значительных упрощений расчетной
модели, что зачастую уводит от реальных результатов. Применение программного
расчета, реализующего конечно-элементный метод, в данном случае наиболее
эффективно и оправдано.
5. Автоматизированная разработка технологии изготовления и сборки платформа
с арретиром оптического устройства
Технологический процесс - это все действия по изменению геометрической
формы, размеров, внешнего вида, внутренних свойств объектов производства, их
контролю, транспортированию, складированию, маркировке, удалению отходов
производства, замене инструментов и приспособлений. При разработке ТП создаются
модели, которые являются сокращенными их описаниями в технологических
картах.[3]
.1 Описание
конструкции и назначения детали
Деталь, разрабатываемая в дипломном проекте - Втулка АЛ8.228.309,
является составной частью сборочной единицы «Арретира горизонтального».
Деталь представляет собой тело вращения и состоит из простых
конструктивных элементов. «Втулка» - деталь машины, механизма, прибора
цилиндрической или конической формы (с осевой симметрией), имеющая осевое
отверстие, в которое входит сопрягаемая деталь. Чертеж представлен на рисунке
5.1.
Материал, из которого изготовлена втулка Сталь 20. Она конструкционная
углеродистая качественная, поэтому ее довольно часто применяют для изготовления
осей, цилиндров, коленчатых валов, втулок, звездочек и других деталей. Детали
получаются невысокой прочности, испытывающие небольшие напряжения [6].
Рисунок 5.1 - Чертеж детали «Втулка»
.2 Анализ
технологичности конструкции детали
Основной задачей анализа является проработка технологичности конструкции
обрабатываемой детали, снижение трудоёмкости, возможность обработки
высокопроизводительными методами.
Втулка - массовая деталь в машиностроении, поэтому вопросы
технологичности приобретают для них особое значение.
Замена материала на менее дорогой не рекомендуется. Сталь 20 - недорогой
и недефицитный материал, обеспечивающий весь комплекс свойств, необходимых для
втулки.
.3 Выбор
метода изготовления и формы заготовки
Метод получения исходных заготовок деталей машин определяется
конструкцией детали, объемом выпуска и планом производства, а также
экономичностью изготовления. Выбирают несколько методов, которые технологически
обеспечивают возможность получения заготовки данной детали и позволяют
максимально приблизить конфигурацию исходной заготовки к конфигурации готовой
детали. Выбрать заготовку - значит выбрать способ ее получения, наметить
припуски на обработку каждой поверхности, рассчитать размеры и указать допуски
на неточность изготовления. Главным при выборе заготовки является обеспечение
заданного качества готовой детали при ее минимальной себестоимости. Правильное
решение вопроса о выборе заготовок, если с точки зрения технических требований
и возможностей применимы различные их виды, можно получить только в результате
технико-экономических расчетов путем сопоставления вариантов себестоимости
готовой детали при этом или другом виде заготовки. Технологические процессы
получения заготовок определяются технологическими свойствами материала,
конструктивными формами и размерами деталей и программой выпуска. Предпочтение
следует отдавать заготовке, характеризующейся лучшим использованием металла и
меньшей себестоимостью [10].
Возьмем два метода получения заготовок и проанализируем каждый. Выберем
нужный метод получения заготовок:
) получение заготовки из проката (рисунок 5.2).
) получение заготовки штамповкой (рисунок 5.3).
Прокат может применяться в качестве заготовки для непосредственного изготовления
деталей либо в качестве исходной заготовки при пластическом формообразовании.
Sзаг=
М+åСо.з., (5.1)
где М - затраты на материал заготовки, руб;
åСо.з - технологическая себестоимость операций правки,
калибрования прутков, разрезки их на штучные заготовки находим по формуле
(5.2.):
Со.з = (Сп.з ∙ Тшт(ш-к))/60×100, руб, (5.2)
где Сп.з - приведенные затраты на рабочем месте, руб/ч;
Тшт(ш-к) - штучное или штучно калькуляционное время выполнения
заготовительной операции (правки, калибрования, разгрузки и др.)
Рисунок 5.2 - Заготовка из проката
По данным приведенные затраты, приходящиеся на 1 ч работы оборудования,
имеют следующие значения:
- резка заготовок на отрезном станке, работающих ленточным
ножовочным полотном 2360∙19∙0,9, руб/час 280,2.
- правка на автоматах, руб/ч 20...25.
Затраты на материал определяются по массе проката, требующегося на
изготовление детали, и массе сдаваемой стружки. При этом необходимо учитывать
стандартную длину прутков и отходы в результате не кратности длины заготовок
этой стандартной длине:
руб., (5.3)
где Q - масса заготовки, кг;цена 1 кг материала заготовки, руб.;- масса
готовой детали, кг;отх - цена 1 т отходов, руб.
Данную формулу (5.3) можно преобразовать в следующий вид формула (5.4):
руб., (5.4)
где Qмет - масса металла на изготовление
партии деталей, кг;
Qдет -
масса партии деталей, кг.
В качестве заготовки используем сортовой фасонный прокат: круг
горячекатаный по квалитету h14,
ГОСТ 2590-88. Диаметр проката назначаем Æ133 мм. Стандартный прокат поставляется длиной l = 6 м.
Круг 133 - В ГОСТ2590 - 88 /Сталь 20 ГОСТ 1050 - 88
Определим стоимость материала, необходимого на изготовление партии
заготовок.
Заготовка нарезается штучно из стандартного проката длиной l = 16,5 мм (предусмотрен припуск на
чистовую подрезку и шлифовку торцев по 2,0 мм на сторону). Толщина пропила Lп = 0,9 мм.
Определим число заготовок из одного прутка длиной l = 6 м:
n =
6000 : (16,5+0,9) =344,828 шт
Принимаем n = 344 шт.
Для изготовления партии необходимо следующее количество прутков,
определяемое по формуле (5.5):
Z = N:n, шт, (5.5)
где Z - количество прутков;
N -
годовой выпуск деталей;
n -
число деталей из одного прутка.
Z =
600:344 = 1,75
Для изготовления партии деталей необходимо Z = 2 прутка.
Общая масса металла, требуемая для изготовления партии деталей
рассчитывается по формуле (5.6):
Qмет=
(p∙D2∙lå∙r):4, кг, (5.6)
где D - диаметр проката, м;
lå = l∙Z - общая длина проката, м;
r = 7858 кг/м3 - плотность металла.
Получаем:
Qмет=
(p∙0,1332∙
(6∙2) ∙7858):4 = 1309,382 кг;
Определим общую массу партии деталей.
Масса деталей партии
Qдет =
Q∙N = 600∙0,2348 = 160,88 кг.
Масса отходов (концевые, стружка), кг
Qотх =
Qмет - Qдет = 1309,382 - 160,88 = 1148,502 ≈1 149 кг
Стоимость металла
Стоимость тонны материала (Сталь 20 ГОСТ 105 - 88) S = 26500 руб.
Стоимость тонны стружки Sотх =
450 руб.
По формуле (5.4) определяем себестоимость материала партии деталей:
М = (1309,982∙26500)/1000-(1149∙450):1000 = 34662,818 руб.
Стоимость материала на одну деталь
М1=34662,818:600 = 57,771 руб.
Стоимость получения заготовки (технологическая себестоимость) включает в
себя стоимость отрезки на станке ленточнопильном станке, которую находим по
формуле (5.7):
Тшт = 0,15∙D2∙10-3,
мин, (5.7)
где Тшт - штучное время;
D -
наибольший диаметр.
Тшт = 0,15∙1332∙10-3 = 2,65 мин.
Со.з.= (280,2∙2,65):60 = 11,8618 = 11,87 руб.
Стоимость заготовки из проката составляет
Sпр =
57,771 + 11,87 = 69,64 руб.
Стоимость заготовок (рисунок 5.3), получаемых таким методом, как ковка на
ГКМ можно с достаточной точностью определить по формуле (5.8):
S2заг=
((Сi×Qз×kt×kc×kb×km×kn):1000)-(Qз-Q) ∙Sотх:1000, руб., (5.8)
где Сi - базовая стоимость 1т заготовок,
руб.;
kt, kc, kb, km, kn - коэффициенты зависящие от класса
точности, группы сложности, массы, марки материала и объема производства
заготовок.
Стоимость кованых заготовок (полученных на молотах, прессах, ГКП и
электровысадкой) определяется следующим образом. За базу принимаем стоимость 1
тоны поковок С = 28000 руб. (поковки из конструкционной углеродистой стали
массой 0,2…4 кг., нормальной степени точности по ГОСТ 7505-73, 3й группы
сложности, 2-й группы серийности. Коэффициенты: kt = 1 коэффициент зависящий от точности; kc = 0,84; kb = 1,33; km =
1,2 коэффициент материала; kn =
1,2; Масса заготовки Qзаг =
0,43 кг.
Рисунок 5.3 - Заготовка полученная штамповкой
Стоимость заготовки получаемой на ГКМ определим исходя из себестоимости:
Sков =
(28000∙0,43∙0,84∙1,33∙1,2∙1,2:1000)-(5,42-0,43) ∙45:1000=19,1
руб.
Таким образом, получается, что стоимость одной заготовки из проката
дороже, чем заготовка получаемая штамповкой примерно в 3,65 раза.
.4 Выбор и
расчет припусков на обработку
Выбор заготовки для дальнейшей механической обработки и установление
величин рациональных припусков и допусков на обработку является одним из весьма
важных этапов проектирования технологического процесса изготовления детали. От
правильности выбора заготовки зависит характер и число операций или переходов,
трудоемкость изготовления детали, величина расхода материала и инструмента и в
итоге - стоимость изготовления детали.
Определим припуск на обработку внешней цилиндрической поверхности Æ110h6( -0,13). Шероховатость данной поверхности должна быть не
грубее чем Ra 1,25. По таблицам экономической
точности обработки на металлорежущих станках для получения заданной точности
обработки и шероховатости обработанной поверхности при обработке наружной
цилиндрической поверхности необходимо предусмотреть следующий состав технологических
операций: точение предварительное; точение чистовое; шлифование чистовое.
Технологический процесс для выполнения Æ 110h6( -0,13)в нашем случае следующий:
предварительное точение; чистовое точение; шлифование чистовое.
При такой последовательности технологических операций точность обработки
- 6 - 7 квалитет, параметр шероховатости Ra 0,4 - Ra
1,25 мкм.
Закрепление при токарной обработке - заготовка одной стороной
закрепляется в трех кулачковом токарно-фрезерном самоцентрирующемся патроне,
консольно.
Суммарное пространственное отклонение определяем по формуле(5.9):
(5.9)
где
=8 мм- длина вылета деталь из патрона;
=0,12 мкм- удельная кривизна заготовок из проката диаметрами
от 25 до 50 мм после правки.
Остаточное пространственное отклонение:
- после предварительного точения
- после окончательного точения
Минимальный припуск:
- под предварительное растачивание:
- под чистовое растачивание:
под шлифование:
Расчетный размер» (dp)
заполняется, начиная с конечного (в данном случае чертежного) размера последовательным
прибавлением расчетного минимального припуска каждого технологического
перехода.
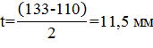
Таким образом, имея расчетный (чертежный) размер, после последнего
перехода (в данном случае шлифовки 109,987) для остальных переходов получаем:
Записав в соответствующей графе расчетной таблицы значения допусков на
каждый технологический переход и заготовку, в графе «Наибольший предельный
размер» определим их значения для каждого технологического перехода, округляя
расчетные размеры увеличением их значений. Округление производим до того же
знака десятичной дроби, с каким дан допуск на размер для каждого перехода.
Наибольшие предельные размеры вычисляем прибавлением допуска к округленному
наименьшему предельному размеру:
Предельные значения припусков
определяем как разность наибольших
предельных размеров и
- как разность наименьших предельных размеров предшествующего
и выполняемого переходов:
Общие припуски
и
рассчитываем так же, как и в предыдущем примере, суммируя
промежуточные припуски и записывая их значения внизу соответствующих граф.
Проводим проверку правильности выполненных расчетов:
Технологический маршрут изготовления данного вала записываем в таблице
5.1. В таблицу также записываем соответствующие заготовке и каждому
технологическому переходу значения элементов припуска.
Таблица 5.1 - Расчет припусков и предельных размеров по технологическим
операциям
|
Технол. переходы обработки
поверхности Æ110 h6( -0,13)
|
Элементы припуска, мкм
|
Расчетный припуск 2Zmin
|
Расч. размер dр,
мм
|
Допуск , мкм
|
Предельный размер, мм
|
Предельные значения
припусков, мкм
|
|
R
|
T
|
|
|
|
|
dmin
|
dmax
|
|
|
|
Заготовка (Js14)
|
150
|
250
|
960
|
|
110,539
|
520
|
110,539
|
111,059
|
|
|
|
Точение черновое (Js11)
|
50
|
50
|
57,6
|
|
110,267
|
130
|
110,267
|
110,397
|
272
|
662
|
|
точение чистовое (Js9)
|
30
|
30
|
38,4
|
|
110,075
|
52
|
110,075
|
110,127
|
192
|
270
|
|
Шлифовка
|
5
|
15
|
|
|
109,987
|
13
|
109,987
|
110
|
88
|
127
|
|
ИТОГО
|
|
|
|
|
|
|
|
|
522
|
1059
|
.5
Определение типа производства
Необходимо выполнить выбор типа производства по коэффициенту загрузки
технологического оборудования. Для серийного производства рассчитать количество
деталей в партии. Выбрать форму организации производства.
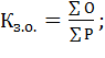
Тип производства по ГОСТ 3.1108-74 характеризуется коэффициентом
закрепления операций
, показывает отношение всех различных технологических операций,
выполняемых или подлежащих выполнению подразделением в течение месяца к числу
рабочих мест.
Так как в задании регламентирована годовая программа выпуска
(изготовления), то условие планового периода, равного одному месяцу здесь не
применимо.
На основании определения расчетного числа станков по каждой операции
определяем коэффициент закрепления операций согласно формуле:
(5.10)
где ΣО - количество операций выполняемых на рабочем месте;
ΣР- установленное число рабочих мест.
Выполним нормирование операций, пользуясь приближенными формулами:
Определим основное время для одного перехода токарно-фрезерной операции
предварительного точения ø131 с ø133 мм на длину
=4,5мм;
Расчет основного времени для остальных переходов токарно-фрезерной
операции сводим в таблицу 5.2.
Штучно - калькуляционное время определяем по формуле(5.11):
мин, (5.11)
где
- коэффициент;
= 1,43- токарно-фрезерная операция;
=1,72- круглошлифовальная операция.
Таблица 5.2 - Основное время для токарно-фрезерной операции
|
Токарно-фрезерная операция
|
Диаметр участка, мм
|
Глубина резания, мм
|
Длина обр-ки мм
|
Формула для расчета
основного времени, мм
|
То, мин
|
|
До Обр-ки
|
После обр-ки
|
|
|
|
|
|
1
|
2
|
3
|
4
|
5
|
6
|
7
|
|
Токарно-фрезерная операция
1 установ
|
2,224
|
|
Подрезка торца
|
133
|
0
|
2
|
133
|
|
0,092
|
|
Точение предв-ное по
контуру
|
133
|
131
|
2
|
16,5
|
|
0,082
|
|
131
|
112
|
9
|
10,5
|
|
0,3
|
|
Точение чистовое
|
112
|
110
|
2
|
10,5
|
|
0,29
|
|
Сверление отверстий
|
|
6 отв. Æ 4,5
|
0
|
4,5
|
4,5
|
4,5
|
|
0,19
|
|
7 отв. Æ 2,8
|
0
|
2,8
|
4,5
|
4,5
|
|
0,15
|
|
Нарезание резьбы
|
|
7 отв.М3-6H
|
2,8
|
3
|
0,4
|
4,5
|
|
0,34
|
|
Точение фасок
|
|
|
|
|
|
0,320
|
|
Продолжение таблицы 5.2
|
|
1
|
2
|
3
|
4
|
5
|
6
|
7
|
|
Токарно-фрезерная операция
2 установ
|
1,72
|
|
Точение предварительное
|
133
|
112
|
9
|
100
|
|
0,50
|
|
Точение чистовое
|
112
|
110
|
2
|
10
|
|
0,45
|
|
Фрезерование
|
65,5
|
59
|
6,5
|
15
|
|
0,45
|
|
Токарно-фрезерная операция
3 установ
|
0,542
|
|
Подрезка торца
|
133
|
131
|
2
|
100
|
|
0,092
|
|
Сверление отверстий
|
|
6 отв. Æ8
|
4,5
|
8
|
3,5
|
14,5
|
|
0,45
|
|
Итого по операции
|
|
4,486
|
Круглошлифовальные операции сводим в таблицу 5.3
Таблица 5.3 - Основное время для круглошлифовальной операции
|
Круглошлифовальная операция
|
Диаметр участка, мм
|
Глубина резания, мм
|
Длина обработки, мм
|
Формула для расчета
основного времени, мин
|
, мин
|
|
До обработки
|
После обработки
|
|
|
|
|
|
Шлифовальная операция
|
110,5
|
110
|
0,5
|
10
|
|
0,25
|
Расчет коэффициента закрепления операций сводим в таблицу 5.4.
Таблица 5.4 - Коэффициент закрепления операций (коэффициент серийности)
|
Наименование операции
|
, мин
|
|
, мин
|
|
Кол-во станков, р
|
|
О
|
|
|
Токарно-фрезерная
|
4,486
|
1,43
|
6,415
|
0,023
|
1
|
0,007
|
100
|
51,02
|
|
Круглошлифовальная
|
0,25
|
1,72
|
0,43
|
0,0015
|
1
|
2,04
|
|
Тип производства- мелкосерийное.
.6 Выбор
технологического оборудования и режущего инструмента
Оборудование для выполнения операций осуществляется на основании таких
данных, как метод обработки, точность обработки, расположение размеров
обрабатываемых поверхностей, габаритных размеров заготовки, количество
инструментов в наладке станка, обеспечение заданной производительности,
эффективность использования станка по времени, мощности, программы выпуска
деталей и др. Состав операции (т.е. перечень поверхностей, обрабатываемых на
операции) зависит от возможностей оборудования, и наоборот, оборудование
выбирается в зависимости от состава операции, поэтому эти задачи решаются
параллельно.
Выбор режущих инструментов осуществляется в зависимости от метода
обработки, формы и размеров обрабатываемой поверхности, ее точности,
шероховатости, от обрабатываемого материала, заданной производительности и
периода стойкости. Режущие инструменты, особенно для станка с ЧПУ, должны
обладать высокой режущей способностью (стабильной размерной стойкостью при
высоких режимах резания), обеспечить возможность быстрой и удобной замены,
наладки в процессе работы, формировать транспортабельную стружку и отводить ее
от зоны обработки без нарушения нормальной работы оборудования [9].
При выборе инструмента используются стандартные режущие инструменты. В
таблице 5.5 приведены данные о режущем инструменте, применяемом при обработке
детали, по справочным данным [10].
Таблица 5.5 - Металлорежущие станки и инструменты
|
№ операции
|
Операция
|
Модель станка
|
Инструмент
|
|
1
|
2
|
3
|
4
|
|
05
|
Заготовительная
1)Абразивно-отрезная 2)Торцеподрезная-центровальная
|
8242 16К20Ф3
|
Центр А-1-4-Н ГОСТ 8742-75
Круг 34.0 - h12 ГОСТ 7417-75 МР - 78 Фрезерование торцов МР - 78
Сверление торцов
|
|
010
|
Токарная с ЧПУ
|
16К20Ф3
|
Патрон SL13T6L30
1548 ГОСТ 10902-77 Резцедержавка 142111 резец Т15К6 ТУ 2-035-892-82
Резцедержавка 142311 резец 11 А - 25 х16 - 300 ГОСТ 6743 - 81 Резцедержавка
142711 резец проходной, угол 450 ГОСТ 18882-73
|
|
020
|
Фрезерная
|
ВМ-130
|
Концевая фреза ГОСТ 6648-79
|
|
030
|
Сверлильная
|
2Н106П3
|
Сверло 2300-0128 ГОСТ
10902-77
|
|
040
|
Шлифовальная
|
3У10В
|
Абразивный круг Круг ПП
350х40х76 15А 50 СМ2 ГОСТ 2424-83
|
Маршрутная
карта представлена в Приложении 2.
.7 Расчет и
выбор режимов резания
Режим резания устанавливаем, исходя из особенностей обрабатываемой детали
и характеристики режущего инструмента и станка. Приведём расчет на примере
технологического перехода - черновое точение.
Длина рабочего хода находится по формуле (5.12):
, мм, (5.12)
где
- длина резания, мм.;
y-
подвод, врезание, перебег инструмента, мм.;
- дополнительная длина хода, вызванная в отдельных случаях
особенностями наладки и конфигурации детали, мм.
Глубина резания вычисляется по формуле (5.13):
t=(D-d):2, мм, (5.13)
где D- наибольший диаметр заготовки, мм.;
d-
наименьший диаметр заготовки, мм.
Так как для черновой обработки глубину резания принимают t = 3 - 5 мм, то
черновую на этом участке выполним 3 раза.
Для черновой обработки принимают s = 0,3-1,5
, для чистовой - 0,1 -0,4 мм/об.
Ориентировочные значения скорости резания для наружного точения по стали
приведены в таблицу 5.6.
Таблица 5.6 - Скорости резания для наружного точения, м/мин
|
Материал резца
|
Обрабатываемый металл
|
Вид обработки
|
|
|
Черновая
|
Чистовая
|
|
Твердый сплав Т15К6
|
Сталь
|
100-140
|
150-200
|
Рассчитываем режимы резания, полученные данные сводим в таблицу 5.7.
Таблица 5.7 - Режимы резания
|
Технологические переходы
|
Элементы режимов резания
|
|
L, мм
|
t, мм
|
S, мм/об
|
V, м/мин
|
n, об/мин
|
S, мм/мин
|
|
1
|
2
|
3
|
4
|
5
|
6
|
7
|
|
Подрезка торца
|
16,5
|
1
|
1,5
|
141
|
250
|
900
|
|
Черновое точение
|
14,5
|
2
|
1
|
118,4
|
250
|
250
|
|
Чистовое точение
|
14
|
1
|
0,2
|
141
|
250
|
120
|
|
Сверление отверстия
|
4
|
0,08
|
0,08
|
17,3
|
250
|
480
|
|
Сверление отверстия
|
4
|
1,3
|
0,08
|
17,3
|
250
|
480
|
|
Сверление отверстия
|
4
|
2,25
|
0,08
|
17,3
|
250
|
480
|
|
Сверление отверстия
|
20
|
5
|
0,08
|
16,8
|
250
|
480
|
|
Нарезание резьбы
|
8
|
0,4
|
0,06
|
15,52
|
250
|
360
|
|
Зенкерование отверстия
|
2
|
1,5
|
0,4
|
120,56
|
250
|
240
|
|
Продолжение таблицы 5.7
|
|
1
|
2
|
3
|
4
|
5
|
6
|
7
|
|
Расточка
|
2
|
1
|
0,5
|
17,68
|
250
|
30
|
|
Подрезка торца
|
16,5
|
5
|
1,5
|
141
|
250
|
900
|
|
Черновое точение
|
14,5
|
4
|
1
|
118,4
|
250
|
250
|
|
Чистовое точение
|
14
|
1
|
0,2
|
118,4
|
25
|
120
|
|
Чистовая расточк
|
1
|
1
|
0,25
|
118,8
|
250
|
150
|
|
Фрезерование поверхности
|
10
|
2
|
1,5
|
118,4
|
250
|
900
|
|
Шлифование
|
10
|
0,08
|
0,25
|
1238,4
|
250
|
490
|
6. Автоматизированная разработка программы обработки детали на станке с
ЧПУ
Создание обработки детали в ПО SprutCAM.- современная полнофункциональная CAM-система,
предназначенная для разработки управляющих программ для обработки деталей
различной сложности на фрезерных, токарных, режущих станках, токарно-фрезерных
обрабатывающих центрах с ЧПУ c количеством непрерывных осей до 5 и
электроэрозионных станков с 2-x и 4-х координатной обработкой. SprutCAM
используется при изготовлении штампов, пресс-форм, литейных форм, прототипов
изделий, мастер-моделей, деталей машин и конструкций, оригинальных изделий,
шаблонов; при гравировке и вырезке надписей и изображений.
Рисунок 6.1 - Чертеж детали «Втулка»
Используя чертеж (рисунок 6.1) строим 3Д-модель детали в «КОМПАС-3Д» и
затем конвертируем ее в SprutCAM 10, либо сразу строим модель в SprutCAM10. Получившийся результат на рисунке 6.2.
Рисинук 6.2 - 3Д-модель детали
Следующим шагом будет задание заготовки для выбранной детали (рисунок
6.3). Заготовки в SprutCAM можно задать несколькими способами. Методом
использования примитивов (брусок, цилиндр, труба) , вращением модели вокруг
оси, созданием 3D оболочки вокруг модели детали, по 3D модели и, наконец,
распознанием результата суммарной обработки в предыдущих операциях.
Рисунок 6.3 - Заготовка
Перед началом работы с проектом следует выбрать описание станка, которое
наиболее похожи по параметрам на реальные станки (рисунок 6.4).
Рисунок 6.4 - Выбор станка
Создаем новую операцию, заполняем и редактируем параметры рабочего
инструмента, задаем режимы резания (рисунок 6.5)
Рисунок 6.5 - Создание операции
Создаем необходимое количество операций по технологии изготовления детали
(рисунок 6.6).
Рисунок 6.6 - Дерево операций
Производим расчет траектории обработки. Траектория инструмента при 3Д
обработке представляет собой кривую, при движении вдоль которой, инструмент
касается задающего контура модели одновременно в нескольких точках. Координата
Z инструмента определяется исходя из геометрии инструмента и расстояния до
контура модели в каждой точке (рисунок 6.7).
Рисунок 6.7 - Траектория обработки
Запускаем моделирование процесса обработки заготовки. Режим предназначен
для визуализации процесса обработки, спроектированного в режиме «Технология».
Кроме реалистичного отображения процесса обработки производится контроль на
столкновение инструмента и оправки с деталью и оснасткой и контроль на
превышение допустимых значений технологических параметров (рисунок 6.8).
Управляющая программа (УП) - это записанная на программоноситель в
закодированном цифровом виде маршрутная операционная технология на конкретную
деталь с указанием траекторий движения инструмента.
Для обрабатываемой детали программа представлена для токарного станка
16К20Ф3 и проходит в коде NC-210.
Рисунок 6.8 - Процесс обработки
Деталь обрабатывается за три установа. Обрабатывается внешний контур
детали «Втулка». Для переходов требуется 2 инструмента.
Коды, которые используются в программе:
% - начало программы;
NØØØ - номер кадра;
G71-подготовительная
функция, использование абсолютной системы координат;
Т1.1 - вывод первого инструмента;
S43.9
- установление скорости вращения шпинделя в 800 об/мин;
М06 - вспомогательная функция, включение шпинделя;
G95 -
подготовительная функция, смещение нуля;
F0.7 -
перемещения;
X±ØØØØØØ,
Z±ØØØØØØ
- перемещение вдоль осей
координат;
G96 -
подготовительная функция, обнуление погрешности;
G01 -
подготовительная функция, линейная интерполяция;
L31 -
коррекция по трём направлениям первого инструмента;
G40 -
подготовительная функция, отмена коррекции;
F10060
- подача величиной 60 мм/мин;
G71 -
подготовительная функция, возврат в абсолютный ноль;
МØØ - вспомогательная функция, остановка
шпинделя;
М93 - вспомогательная функция, конец программы
Текст программы для чернового точения детали «Втулка»:
% Установ 1 «нуль» 116мм от упора 155мм от оси шпинделя
№ 001 G 27 S046 M 104 T 101
№ 002 G 58 Z + 000000 F 70000
№ 003 Х + 000000
№ 004 G 26
№ 005 G 10 F 10200 L 31
№ 006 Х - 002000 F
10600
№ 007 Z - 001250
№ 008 Х - 029000 F
10210 (при S = 1,5 мм/об; n = 140 об/мин)
черновая подрезка торца со скоростью подачи 210 мм/мин
№ 009 Х + 031000 F
10600
№ 010 Z + 001250 F 70000
№ 011 G 40 F 10200 L 31
№ 012 T 102
№ 013 G 26
№ 014 G 10 F 10200 L 32
№ 015 Х - 002000 F
10600
№ 016 Z - 001300
№ 017 Х - 029000 F
10200 (S = 1,0мм/об; n = 200об/мин)
чистовая подрезка торца
№ 018 Х + 031000 F
10600
№ 019 Z + 001300 F 70000
№ 020 G 40 F 10200 L 32
№ 021 T 103
№ 022 G 26
№ 023 G 10 F 10200 L 33
№ 024 Х - 015100 F
10600
№ 025 Z - 000800
Полная управляющая программа представлена в Приложении 3.
Заключение
В данной выпускной квалификационной работе была проведена методика
автоматизированной разработки конструкции и технологии изготовления платформы с
арретиром оптического устройства. Разработана конструкторская и технологическая
документация деталей и сборочных единиц платформы с арретиром оптического
устройства при помощи средств автоматизированного проектирования. САПР
позволила сократить время на выполнение моделей, чертежей, спецификаций,
оснастки, технологических процессов изготовления деталей и сборочных единиц. В
ходе выполнения работы созданы трехмерные геометрические модели деталей,
спроектированы модели сборочных единиц в собранном и разнесенном виде, созданы
сборочные и деталировочные чертежи по трехмерным моделям.
В работе проведен инженерный анализ элемента конструкции платформы с
арретиром. Расчет проводился в программе SolidWorks. Наглядно представлены
результаты анализа.
В технологической части проекта разработан технологический процесс
изготовления детали «Втулка» с применением САПР «ВЕРТИКАЛЬ» и сформирован
комплект соответствующей документации. Написана управляющая программа для
станка с ЧПУ.
Список
использованных источников
1. «SolidWorks-Russia»
[Электронный ресурс]: офиц. сайт. - Режим доступа: http://www.solidworks.ru/.
. Вологодский
оптико-механический завод [Электронный ресурс]: Офиц сайт.- Режим доступа
http://www.shvabe.com/about/company/vologodskiy-optiko-mekhanicheskiy-zavod/about-vomz/.
. Иванов,
А.А. Автоматизация тезнологических процессов и производств: учеб. пособие /
А.А. Иванов. - М.: Форум, 2012. - 224 с.
. Кондаков,
А.И. Курсовое проектирование по технологии машиностроения., изд., доп.- М.:
Кнорукс 2012. - 400 с.
. Логиновский,
А.Н. Инженерная 3D-компьютерная графика: Учебник / А.Н. Логиновский. - М.:
Юрайт, 2013. - 464с.
. Марочник
сталей и сплавов / под ред. Ю. Г. Драгунова ; А. С. Зубченко. - 4-е изд.,
перераб. и доп. - Москва: Машиностроение, 2015. - 1201 с.
. Официальный
сайт САПР «КОМПАС» [Электронный ресурс]: офиц. сайт. - Режим доступа:
http://kompas.ru/.
. Пантелеев,
В.Н. Основы автоматизации производства [Электронный ресурс]: учеб. пособие /
В.Н. Пантелеев, В.М. Прошин. - М.: ИЦ Академия, 2013. - 208 с. - Режим доступа:
http://www.academia-moscow.ru/ftp_share/_books/fragme..
. Режущий
инструмент. Учебник. Изд. 4-е переработанное и дополненное / Д.В.Кожевников,
В.А.Гречишников, С.В.Кирсанов [и др.] - Москва: Машиностроение, 2014. - 520 с.
. Справочник
технолога-машиностроителя. В 2Т; Т2. / под ред. А.Г. Косиловой - Москва:
Машиностроение, 2012 - 496 с.
. Схиртладзе,
А.Г. Автоматизация производственных процессов в машиностроении: Учебник / А.Г.
Схиртладзе, В.Н. Воронов, В.П. Борискин.. - Ст. Оскол: ТНТ, 2012. - 600с.
. Тактико-техническая
характеристика прицела- дальномера 1Г46 [Электронный ресурс]: Офиц.сайт.- Режим
доступа: http://studopedia.ru/16_82054_taktiko-tehnichna-harakteristika-pritsilu-dalekomira-g.html.
. Шкарин,
Б. А. Основы систем автоматизированного проектирования машиностроительных
конструкций и технологических процессов: учеб. пособие / Б. А. Шкарин. -
Вологда: ВоГУ, 2011. - 127 с.