Проектирование системы автоматизированного управления технологическими процессами котельной 'Заводская' в г. Покровск Республики Саха (Якутия)
Негосударственное
образовательное учреждение
высшего
образования
Московский
технологический институт
Направление
Теплоэнергетика и теплотехника
Профиль
Автоматизация технологических процессов и производств в теплоэнергетике и
теплотехнике
Форма
обучения - заочная
ВЫПУСКНАЯ
КВАЛИФИКАЦИОННАЯ РАБОТА
на
тему: «Проектирование системы автоматизированного
управления технологическими процессами котельной «Заводская» в г. Покровск
Республики Саха (Якутия)»
2017
Содержание
Введение
Глава 1. Предпосылки разработки
автоматических систем регулирования потребления тепла в котельных
1.1 Тепловой контроль и автоматика
.2 Параметры, подлежащие контролю
при работе котлоагрегата
.3 Параметры, подлежащие контролю
при работе паротурбинной установки
Глава 2. Расчет тепловой нагрузки и
выбор технологического оборудования котельной
2.1 Определение теплоты сгорания
топлива
.2 Расчёт объёмов воздуха и
продуктов сгорания
.3 Расчет энтальпий воздуха и
продуктов сгорания
.4 Тепловой расчет котла ПК-39-II M
(1050 т/ч) при сжигании смеси углей
.5 Аэродиамический расчет котла
ПК-39-II M. Расчет тяги и дутья
Глава 3. Обоснование и выбор
аппаратуры учета, контроля, регулирования и диспетчеризации котельной
3.1 Автоматизация технологического
процесса
3.1.1 Объекты и объемы автоматизации
котельной установки
.1.2 Контур регулирования давления
пара в барабане котла
.1.3 Контур регулирования
соотношения "газ-воздух"
.1.4 Контур регулирования разрежения
.1.5 Контур регулирования уровня в
барабане котла
3.2 Выбор и обоснование технических
средств автоматизации
Глава 4. Технико-экономическое
обоснование проекта, анализ безопасности и экологичности
4.1 Комплексная оценка экономической
эффективности
.2 Расчет затрат на разработку
программного обеспечения
.3 Затраты на изготовление, внедрение
и отладку системы
.4 Выводы по разделу
.5 Безопасность и экологичность
проекта
Заключение
Список использованной литературы
Введение
Одним из важнейших направлений в создании
материально-технической базы является комплексная механизация и автоматизация
производственных процессов.
При комплексной механизации ручной труд как на
основных, так и на вспомогательных участках производственного процесса
заменяется работой механизмов.
Вручную выполняются только работы, связанные с
управлением механизмами. Комплексная механизация не только повышает
производительность труда, но и облегчает труд человека.
Следующим этапом совершенствования
производственных процессов является их автоматизация. Автоматизация - это
применение комплекса средств, позволяющих осуществлять производственные
процессы без непосредственного участия человека, но под его контролем.
Автоматизация производственных процессов
приводит к увеличению выпуска, снижению себестоимости и улучшению качества
продукции, уменьшает численность обслуживающего персонала, повышает надежность
и долговечность машин, дает экономию материалов, улучшает условия труда и
техники безопасности.
При комплексной автоматизации на автоматическое
управление переводятся как основные, так и вспомогательные процессы, участки и
агрегаты цеха или предприятия. При этом используются всевозможные средства
автоматизации, в том числе и управляющие вычислительные машины, если применение
их обосновано экономически.
Автоматизация освобождает человека от
необходимости непосредственного управления механизмами. В автоматизированном
процессе производства роль человека сводится к наладке, регулировке,
обслуживанию средств автоматизации и наблюдению за их действием.
Техническое перевооружение с заменой
оборудования позволило обеспечить производственные цеха теплоносителем с
необходимыми параметрами без содержания кислорода и углекислоты. Автоматизация
котельной позволяет стабильно поддерживать давление в паропроводе, но самое
главное преимущество в том, что исключены аварийные остановки. Технологическая
цепочка производственных цехов в момент аварийной ситуации в системе
пароснабжения, вынуждена останавливать выпуск продукции в момент не законченной
операции, что приводило к высокому проценту брака от общего объема
производства.
При реконструкции особое внимание уделено
вопросам установки приборов безопасности. Система защиты и оповещения о
пожарной опасности и загазованности помещения котельной, надежно защищает и
предотвращает возгорание.
Используемые современные изоляционные материалы,
примененные при реконструкции паропроводов, позволяют обеспечить низкую
травмоопасность, повысить энергоэффективность предприятия.
Новейшие разработки в области автоматизации,
позволяют архивировать текущее состояние всего оборудования, что удобно для
анализа работы оборудования и для поиска причины неисправности в случае
аварийной ситуации.
Оперативный и быстрый анализ ускорит процесс
ремонта и восстановления узлов и механизмов системы пароснабжения.
Основное назначение системы пароснабжения
состоит в обеспечении потребителя необходимым количеством теплоты требуемых
параметров, с учетом технологических процессов и сложности операций, зависящих
от качественного обеспечения паром. Замена оборудования позволяет поддерживать
давление и температуру пара в широком диапазоне в зависимости от тепловой
нагрузки потребителя. После реконструкции, предприятие автономно и независимо
от городской электросети и тепловой энергии, что является приоритетным условием
реализации данного проекта.
В нашем государстве работают огромное количество
разных по проекту и оснащению котельных. На данный момент все больший интерес
проявляется к котельным на газовом топливе. Важным фактором является более
простая транспортировка, несложный технологический процесс сжигания газа и
степень загрязнения окружающей среды значительно ниже.
Отопительные и отопительно-производственные
котельные имеют существенные позиции среди потребителей топливных ресурсов,
расходуя вплоть до половины добываемого в России топлива. На данный момент
деревнях и городах насчитывается больше 120 000 котельных, из их числа свыше
100 000 функционируют на мазуте и газовом топливе.
Технологический уровень автоматизации
технологических установок на котельных по прежнему считается весьма невысоким.
Котельные главным образом эксплуатируются с обслуживающим персоналом напрямую
участвующим в управлении технологическим процессом. Используемые способы
автоматизации и оборудование, приборы главным образом непосредственного
воздействия без применения технологического контроллера.
Техническая эксплуатация
отопительно-производственных котельных неразрывно сопряжена с сложными и
изнурительными для ручного применения процедурами. Нарушения стандартного хода
технологических процессов на котельных могут спровоцировать аварии отопительных
конструкций и тяжкие последствия. По этой важной причине обязательным условием
использования котельных признано считается автоматизирование процессов
функционирования вспомогательного и основного оборудования, которое
обеспечивает поддержку материального и энергетического равновесия установки при
рациональном значении КПД, наименьшим загрязнении экологии, наименьших
потребностях топливно-энергетических ресурсов, не опасном функционировании при
различных нагрузках.
Усовершенствование приборов, устройств и методов
измерения дает возможность получать более верные результаты измерений, в
частности существенно уменьшить погрешность измерения расхода газа, что даст
возможность потребителю экономить значительные финансовые средства. При
автоматизации и управлении технологическими объектами достаточно широко
используют микропроцессорные средства контроля и управления.
Источники литературы, на основе которых
выполнена выпускная квалификационная работа, позволили произвести расчеты.
Тепловой расчет котла произведен на основе
издания -Тепловой расчет котлов: нормативный метод - 3-е изд., перераб. и доп.
- СПб.: Издательство НПО ЦКТИ, 1998. и «Тепловой расчет промышленных
парогенераторов» коллектив авторов: В.И. Частухин, Е.Л. Заречанский, С.М.
Константинов, А.А. Лабутин, В.П. Тройно.
Перечисленная литература является главным руководящими документом для
выполнения одной из самых важных частей проекта. Для приведения коэффициентов
пересчета теплосодержания и других величин использованы издания; Александров
А.А., Григорьев Б.А. Таблицы теплофизических свойств воды и водяного пара. -
М.: Изд-во МЭИ, 2006.
Долговечность и работоспособность основного
оборудования зависит от качества котловой воды, и этот фактор предопределяет в
итоге эффективность работы котло-агрегатов, в том числе деаэраторов и
теплообменных аппаратов. При выборе установок ХВО использовалась
литература-Копылов, А.С. Водоподготовка в энергетике/ А.С. Копылов, В.М.
Лавыгин, В.Ф. Очков. - М.: Изд-во МЭИ, 2006.
Источником исходных данных для проведения
расчетов оборудования послужили руководства по эксплуатации, заводские чертежи
и рекомендации производителей. Для определения нормативных показателей
параметров использовались следующие своды правил СП 61.13330.2012 «СНиП
41-03-2003 Тепловая изоляция оборудования и трубопроводов», СП 74.13330.2012
«СНиП 2.04.86 Тепловые сети», СП 131.13330.2012 «СНиП 23-01-99 Строительная
климатология».
Основной целью выпускной квалификационной работы
является: проектирование системы автоматизированного управления
технологическими процессами котельной «Заводская» в г. Покровск Республики Саха
(Якутия).
В основу данной работы положены теоретические и
экспериментальные исследования. При анализе процесса горения топлива
использован нормативный метод теплового баланса котла.
Работа состоит из введения, 4 глав, заключения и
списка использованной литературы.
Глава 1. Предпосылки разработки автоматических
систем регулирования потребления тепла в котельных
1.1 Тепловой контроль и автоматика
автоматизированный
управление диспетчеризация котельная
Современная энергетика развивается
преимущественно за счет строительства паротурбинных и атомных энергоблоков. К
ним предъявляются повышенные требования по надежности и экономичности в работе.
Работать они должны в условиях неравномерного графика электрической нагрузки в
течение суток и недели. Это вызывает необходимость глубокой разгрузки
энергоблоков тепловых электростанций или останова их с последующим пуском после
кратковременного простоя.
Такие режимы работы паротурбинного энергоблока
требуют от обслуживающего персонала выполнения большего числа операций,
особенно в периоды плановых остановов и последующих пусков. Поскольку
традиционные средства не обеспечивают автоматизацию режимов пуска и останова,
возникла необходимость создания и внедрения систем всережимной автоматизации
энергоблоков.
В связи с этим были развернуты работы по
созданию и внедрению автоматизированных систем управления (АСУ).
АСУ представляет собой целесообразную
совокупность средств управления, обеспечивающих эффективное управление
энергоблоком во всех эксплуатационных режимах. Роль оператора в
автоматизированной системе возрастает, так как он является ее главнейшим
командным звеном.
По выполняемым функциям АСУ энергоблока может
быть расчленена на следующие подсистемы: информационно-вычислительную,
автоматического регулирования, функционально-группового управления,
технологических защит, дистанционного управления.
Информационно-вычислительная подсистема собирает
и обрабатывает обширную информацию о протекании технологических процессов и
состоянии оборудования; регистрирует срабатывания защит, показатели наиболее
важных параметров и сигнализирует об их отклонениях; рассчитывает
технико-экономические показатели работы оборудования.
Важнейшие параметры, характеризующие режим и
безопасность работы оборудования, контролируются обслуживающим персоналом с
блочного щита управления Дежурный персонал имеет возможность оперативного
вмешательства в работу оборудования, если возникает необходимость изменения
режима работы, а также в аварийных ситуациях. Для этого на блочный щит
управления выведена необходимая информация и установлены средства
дистанционного управления.
Подсистема автоматического регулирования
обеспечивает требуемые значения технологических параметров в регулируемом
диапазоне нагрузок, а также при пуске, останове оборудования и в аварийных
ситуациях. Важнейшая задача этой подсистемы - обеспечить поддержание требуемой
мощности энергоблока, либо ограничить его нагрузку в соответствии с состоянием
основного и вспомогательного оборудования. В состав подсистемы входят
всережимные и пусковые регуляторы. Всережимные регуляторы вводятся в действие
при пуске оборудования и действуют в широком диапазоне изменений нагрузок.
Пусковые регуляторы вводятся в действие только на период пуска оборудования.
Подсистема функционально-группового управления
осуществляет автоматический пуск и останов оборудования, а также управляет им
при изменениях режима работы энергоблока. Для этого оборудование энергоблока
(парогенераторная и турбинная установки, генератор и общеблочные устройства)
разбивается на ряд технологических узлов - функциональных групп. Каждая
функциональная группа решает определенную технологическую задачу. Так,
например, оборудование мощного газомазутного прямоточного парогенератора может
быть разбито на следующие функциональные группы: температура первичного пара,
температура вторичного пара, питание водой, пускосбросной узел, газовоздушный
тракт, подача топлива.
Функциональная группа объединяет механизмы,
запорную и регулирующую арматуру, а также автоматические регуляторы, средства
контроля, технологической защиты и сигнализации. Действует функциональная
группа автономно, так как она оснащается собственной системой управления,
которая условно делится на уровни. Количество уровней - 2, 3 и более.
Управляющие воздействия поступают от вышестоящего уровня к нижестоящему, а
информация о выполнении команд - от нижестоящего уровня к вышестоящему.
Если система управления состоит из трех уровней,
то к первому (нижнему) уровню относится управление отдельными исполнительными
органами, работающими в режиме включен-отключен, открыто-закрыто и т. п. Сюда
относятся электродвигатели собственных нужд, запорные органы и др.
Вторым (более высоким) уровнем является
логическое устройство (логический автомат) управления. По заданной программе
это устройство управляет группой взаимосвязанных исполнительных органов,
автоматически включают резервный механизм при отключении работающего, формирует
сигналы отсчета времени и др. При отказе логического устройства подчиненные ему
исполнительные механизмы могут управляться дежурным персоналом.
Третьим уровнем является логическое устройства
управления функциональной группой. Это логическое устройство формирует команды
на нижестоящие уровни управления, осуществляя этапно-шаговый способ выполнения
заданной программы.
Устройства функциональной группы осуществляют
пуск и останов оборудования по заданной программе. Для некоторых функциональных
групп предусматривается программа управления при изменениях режима работы
оборудования.
Программа состоит из шагов. Каждый шаг
соответствует элементарной технологической операции. Совокупность нескольких
шагов образует этап, который охватывает законченную технологическую операцию.
При выполнении каждого шага логическое устройство проверяет исходную
информацию, в зависимости от которой формируются команды. Шаг состоит из одной
или нескольких команд, выполняемых одновременно. Выполнение каждой команды
проверяется по сигналу, поступающему в логическое устройство.
Программа, разбитая на шаги, может выполняться
как поэтапно, так и непрерывно. При поэтапном выполнении программы разрешение
на выполнение каждого этапа дает оператор. Такой порядок выполнения программы
называется полуавтоматическим. При непрерывном выполнении программы оператор
задает лишь конечную цель и разрешает начало операции. При этом программа
выполняется автоматически.
Подсистема технологической защиты предназначена
для выполнения операций управления оборудованием при возникновении аварийной
ситуации. Действие защиты должно предотвратить развитие аварии, поэтому оно
имеет приоритет над всеми видами управления оборудованием. Приоритет
обеспечивается устройствами управления первого и второго уровней, которые
воспринимают воздействия защит.
Подсистема дистанционного управления
обеспечивает дежурному персоналу возможность воздействия в необходимых случаях
на исполнительные органы. Дистанционное управление отдельными исполнительными
органами осуществляется через устройства первого уровня. Дистанционное
управление группой механизмов и исполнительных органов выполняется посредством
устройств второго уровня.
АСУ в процессе управления производством давно
признано одним из важнейших факторов увеличения технико-экономической
эффективности производства.
Автоматизация технологических процессов в
котельных преследует главную цель - улучшение исправности и рационального
функционирования оборудования, а кроме этого также снижение числа необходимого
обслуживающего персонала и создание лучших условий его трудовой деятельности.
АСУ непосредственно состоит в автоматическом функционировании
всех постоянно осуществляемых процессов ( питание котла, горение и т.д.), и
помимо этого автоматическом управлении другими некоторыми отдельными
операциями.
Система автоматического управления при
осуществлении стандартной процедуры функционирования котельной не нуждается в
использовании обслуживающего персонала; функцией персонала является лишь
мониторинг за итогами функционирования устройств и их нормальным состоянием.
Автоматизация на некоторых вспомогательных
участках осуществляется в том объеме, который призван обеспечить работу данных
участков в отсутствии постоянного обслуживающего персонала.
С целью обеспечения надежной и непрерывной
эксплуатации множества технологически непростых компонентов оборудования
тепловой котельной используются предназначенные для этого приборы теплового
контролирования. Подобные приборы имеют функции наглядной демонстрации в каждый
момент времени характеристики функционирования некоторых агрегатов, элементов,
механизмов, конструкций или узлов на электростанции и дают возможность
определять появляющиеся отклонения от характеристик при обычной эксплуатации
абсолютно всех компонентов оборудования электростанции.
Технологические процессы протекают в
разнообразных объектах (аппаратах, машинах, двигателях и др.). Любой
технологический процесс характеризуется одним или несколькими показателями
(параметрами процесса). Такими показателями служат различные физические,
химические или другие величины, например уровень воды в баке, температура в
печи, содержание кислорода в дымовых газах парогенератора, частота вращения
вала машины и т. п.
Во время работы объект, в котором протекает
процесс, несет необходимую нагрузку. Для большинства объектов нагрузка
изменяется во времени. Колебания нагрузки влекут за собой изменения параметра,
характеризующего протекание процесса в объекте. Условия протекания процесса
могут измениться также в результате нарушений, возникающих при работе объекта.
Задача регулирования состоит в том, чтобы
поддерживать требуемые условия протекания процесса, восстанавливая их каждый
раз, когда они нарушаются. Регулирование может осуществляться вручную
обслуживающим персоналом или автоматически. Непрерывно протекающие
технологические процессы, как правило, регулируются автоматическими
регуляторами.
Автоматическим регулятором называется
устройство, предназначенное для регулирования объекта без непосредственного
участия человека. Объект, в котором протекает регулируемый процесс, принято
называть регулируемым объектом (объектом регулирования).
Системой автоматического регулирования
называется совокупность регулируемого объекта и управляющих им автоматических
регуляторов.
Бак и регулятор, поддерживающий уровень жидкости
в баке, являются примером простейшей системы автоматического регулирования.
Изображается простейшая система автоматического
регулирования в виде замкнутого контура, состоящего из регулируемого объекта и
регулятора. Назначение системы - поддерживать на заданном значении регулируемый
параметр <р. Заданное значение регулируемого параметра вводится в регулятор
в виде задающего воздействия г), вырабатываемого специальным устройством -
задатчиком.
В регуляторе происходит сравнение величины
регулируемого параметра с заданным значением.
Если эти величины в течение некоторого времени
равны, регулятор не оказывает воздействия на объект, состояние системы
автоматического регулирования называется установившимся. Установившееся
состояние системы нарушается при возникновении возмущений.
Возмущением принято называть воздействие,
нарушающее установившееся состояние системы регулирования, в результате
которого регулируемый параметр отклоняется от заданного значения.
Возмущающие воздействия, нарушая нормальный ход
процесса, приводят систему регулирования в неустановившееся состояние. При этом
регулируемый параметр отклоняется от заданного значения. На входе регулятора
появляется сигнал разности между заданным и действительным значениями
регулируемого параметра, который называют ошибкой регулирования, или сигналом
рассогласования. При наличии сигнала рассогласования на входе регулятора на
выходе его вырабатывается сигнал, определяющий управляющее воздействие р,
возвращающее систему в установившееся состояние.
Элементы, входящие в систему автоматического
регулирования, обычно обладают свойством направленного действия. Поступающие
сигналы передаются лишь в одном направлении, например с выхода объекта на вход
регулятора и т. д.
Виды систем автоматического регулирования
В зависимости от требуемого закона изменения
регулируемого параметра системы автоматического регулирования принято делить на
системы стабилизации, программного регулирования и следящие. Перечисленные
системы используются для автоматизации тепловых процессов на электростанциях.
Наибольшее распространение получили системы
стабилизации, в которых регулируемый параметр поддерживается постоянным в
течение длительного промежутка времени. Величина регулируемого параметра и
любой момент может отклониться от заданного значения вследствие влияния
возмущений. Основная задача системы стабилизации состоит в том, чтобы свести к
наименьшему значению сигнал рассогласования, восстановив тем самым заданное
значение регулируемого параметра. Для парогенератора, например, постоянными
поддерживаются температура пара, уровень воды в барабане и др.
В системах программного регулирования значение
регулируемого параметра изменяется во времени по заранее заданной программе.
Выполнение программы регулирования с заданной точностью - такова главная задача
системы программного регулирования. Кроме того, система программного
регулирования должна устранять влияние возмущений, отклоняющих регулируемый
параметр от значения, заданного программой. Программное регулирование находит
применение, например, при автоматизации регулирования перегрева пара в процессе
пуска парогенератора.
В следящих системах регулируемая величина
измеряется в зависимости от какой-либо другой величины, характер изменения
которой заранее неизвестен.
Примером следящей системы может служить
регулирование подачи воздуха в топку парогенератора в зависимости от расхода
топлива.
Одной из существенных характеристик систем
автоматического регулирования является зависимость между установившимся
значением регулируемого параметра и положением регулирующего органа. По виду
таких характеристик различают статические и астатические системы.
Система автоматического регулирования называется
линейной или нелинейной в зависимости от того, линейной или нелинейной является
математическая зависимость, связывающая между собой выходные и входные величины
системы.
Любая система автоматического регулирования должна
быть устойчивой и обеспечивать требуемое качество регулирования.
В общем случае независимо от конструкции
автоматический регулятор состоит из следующих основных элементов:
Измерительного устройства, регулирующего
прибора, управляющего устройства, исполнительного механизма и регулирующего
органа.
Основной частью измерительного устройства
является чувствительный элемент, воспринимающий отклонение регулируемого
параметра. В измерительном устройстве отклонение регулируемого параметра
преобразуется в сигнал, поступающий в регулирующий прибор.
В регулирующем приборе сигнал от измерительного
устройства сравнивается с заданием, усиливается. На выходе прибора
вырабатывается сигнал, с помощью которого приводится в действие исполнительное
устройство, состоящее из исполнительного механизма и регулирующего органа.
Исполнительный механизм предназначен для
перемещения регулирующего органа.
Примером регулирующего органа может служить
клапан, управляющий поступлением воды в парогенератор.
Регулирующий орган в комплекте с исполнительным
механизмом называется исполнительным устройством. Характеристики исполнительных
устройств в значительной мере определяют качество регулирования..
Классификация автоматических регуляторов
Существенным признаком, характеризующим
автоматические регуляторы, является отсутствие или наличие подвода к ним
вспомогательной энергии от внешних источников. В соответствии с этим различают
регуляторы прямого и непрямого действия.
У регуляторов прямого действия при изменении
регулируемого параметра регулирующий орган приходит в действие непосредственно
от усилий, возникающих в чувствительном элементе без использования
вспомогательной энергии.
Регуляторы прямого действия просты по
устройству, надежны и требуют незначительных эксплуатационных расходов. Вместе
с тем они обладают невысокой чувствительностью и развивают незначительные
усилия для правления регулирующими органами.
Регуляторы прямого действия применяются в тех
случаях, когда чувствительный элемент развивает достаточное усилие для
непосредственного перемещения регулирующего органа.
У регуляторов непрямого действия для перемещения
регулирующего органа при изменении регулируемого параметра используется энергия
внешнего источника.
В зависимости от вида энергии регуляторы
непрямого действия делятся на электрические, гидравлические, пневматические и
комбинированные
Электрические регуляторы компактны, имеют малые
массу и габариты. Применяемые в них сигналы можно усиливать, преобразовывать и
передавать на значительные расстояния. Основными недостатками этих регуляторов
являются громоздкость и сложность исполнительных механизмов электрического
типа. Стоимость электрических регуляторов выше стоимости пневматических и
гидравлических регуляторов.
Гидравлические регуляторы характеризуются
высокой надежностью в работе. Исполнительные двигатели регуляторов развивают
значительные усилия при высоком быстродействии. Однако эти регуляторы
пожароопасны при применении масел в качестве рабочей жидкости. В случае
применения воды они быстро изнашиваются из-за коррозии.
Пневматические регуляторы в сравнении с
гидравлическими взрывопожаробезопасны. Однако они требуют установки весьма
громоздких и дорогих компрессорных установок и тщательной очистки воздуха.
В процессе совершенствования появились
комбинированные регуляторы, у которых измерительная часть выполняется
электрической, а исполнительные механизмы - гидравлические или пневматические.
В зависимости от характера связи между
отдельными элементами регуляторы бывают непрерывного и прерывистого действия.
У регуляторов непрерывного действия непрерывное
изменение входных сигналов приводит к непрерывному изменению выходных величин.
К регуляторам непрерывного действия относятся
все регуляторы прямого действия, а также гидравлические и пневматические
регуляторы.
В конструкции регулятора прерывистого действия
имеется элемент, работающий в режиме «включено - выключено». К этим регуляторам
относится большая часть электрических регуляторов.
Регуляторы часто называют по наименованию
управляемых ими процессов, например регуляторы горения, перегрева пара и т. д.,
или по названию регулируемого параметра: регулятор давления, температуры и т.
д.
Однако наиболее важно деление регуляторов в
зависимости от реализуемых ими законов регулирования.
1.2 Параметры, подлежащие контролю при работе
котлоагрегата
Котельные агрегаты оснащают регулярно
функционирующими приборами, призванными осуществлять контроль важнейших
характеристик, представленных в таблице 1.1.
Таблица 1.1. Важнейшие характеристики
|
Характеристики,
которые контролируются приборами котельных агрегатов
|
Уровень
воды в барабане котла. Для необходимого контроля нахождения уровня воды к
рабочему месту машиниста котла выводят непременно два пониженных указателя
уровня
|
|
Давление
пара в барабане котла либо на выходе из пароперегревателя, а кроме того
давление питательной воды до регулирующей задвижки
|
|
Паропроизводительность
котельного аппарата, характеризуемую значениями паромеров, которые
установлены непосредственно на паропроводах котла
|
|
Температура
пара за пароперегревателем
|
|
Потребление
питательной воды на котел, которое определяется с помощью водомера
|
|
Разрежение
в верхней части топки
|
|
Температура
высвобождаемых из котельного аппарата дымовых газов - с целью исследования
загрязнений внешних поверхностей нагрева и определения значений КПД котельного
аппарата
|
|
Содержание
кислорода (О2) или углекислого газа (СО2) в газоходах с целью уточнения
правильности процесса горения
|
|
Давление
жидкого горючего после регулирующих клапанов - с целью исследования
функционирования мазутных форсунок
|
|
Давление
первичного воздуха перед предтопком
|
|
Температурные
показатели горячего воздуха перед предтопком
|
|
Показатели
силы тока практически всех электродвигателей топливоподающго агрегата и т.д
|
Регулирование тепловой нагрузки котла.
Давление пара приходит в стабильное состояние в
границах регулирования 4 МПа.
Изменение температуры дымовых газов из предтопка
950-1050 оС.
Ограниченный диапазон направляющего аппарата ВГД
40 - 60 %
Показатель давления природного газа на 1 горелке
топки - 25 кПа.
Значение давления мазута на 1 горелке топки -
2,5-1,7МПа
Показательно влажности твердого топлива
предпочтительно в диапазоне 55-65%.
Значение давления пара в паровой магистрали либо
расходование пара из котла регулируется с помощью перемены подачи твердого
горючего в предтопок и расхода природного газ либо мазута, который сжигается в
горелках топки.
Температурные показания дымовых газов приводятся
в стабильность с помощью горелки (форсунки). Осуществляется автоматическое
разжигание горелок предтопка и топки. Оператору показывается сообщение о
включении либо выключении горелки. Регулируется соотношение топливо-воздух на
каждой горелке.
.3 Параметры, подлежащие контролю при
работе паротурбинной установки
Паротурбинные конструкции оснащают устройствами,
служащими с целью измерения ниже перечисленных характеристик:
· показатель количества оборотов
турбины;
· значение температурных показаний
пара в одних и тех же точках;
· показатель давления пара перед
основными пусковыми задвижками, за регулирующими и перегрузочными клапанами, стопорными
клапанами, перед эжектором, в камерах отборов, и пусковым масляным
турбонасосом;
· показатели объема выработанной
энергии и частоты тока;
· значения давления и температуры
масла непосредственно по всей масляной системе;
· температурные
показатели воздуха до и после охладителя генератора и т.д.
Все аппараты собственного расхода,
редукционно-охладительную установку, питательную установку, химводоочистку
также оснащают нужными устройствами с целью замера самых главных характеристик
важнейших параметров, от каждодневного контролирования показателей и значений
которых находится в прямой зависимости безопасная эксплуатация электростанции.
Автоматическое регулирование и защита турбины.
Турбина оснащена системой автоматического
регулирования, которая призвана обеспечить ниже перечисленные режимы
функционирования:
· автоматическое
сохранение показателей давления пара в производственном отборе;
· автоматическая
регулировка частоты вращения ротора;
· удержание турбины
на холостом ходу при отключении генератора от питания;
· автоматическое
сохранение параметров давления пара за турбиной (противодавления).
Автоматизированное регулирование показателя
частоты вращения ротора обеспечивается трансформатором давления и осуществляет:
1) автоматическое сохранение установленной нагрузки в регулировочном диапазоне
при одновременной работе; 2) изменение частоты вращения ротора турбины на
холостом ходу во время синхронизации генератора; 3) автоматическое поддержание
частоты вращения ротора при перемене нагрузки в ситуации функционирования на
индивидуальную электросеть.
Уровень погрешности автоматизированного
регулирования показаний частоты вращения ротора турбины - 4-5% номинальной.
Уровень нечувствительности системы
автоматизированной регулировки показаний частоты вращения не больше 1/3%
номинальной частоты вращения ротора.
Диапазон синхронной работы - 1/10 номинальной
частоты вращения.
Степень неравномерного регулирования показаний
давления пара: в производственном отборе - 1/10 поминальной величины; за
турбиной (противодавление) - 1/5 номинальной величины. Управление
синхронизирующим механизмом устройства автоматического регулирования частоты
вращения ротора осуществляется с помощью использования электрического
двигателя, расположенного на щите управления, или же вручную с помощью
маховика.
Управление регуляторами давления пара в отборе и
противодавлении производится с помощью электрического двигателя, находящегося
на щите щита управления, или же вручную с помощью нужного маховика.
На турбине располагаются такие приборы защиты:
стопорных клапана, которые в автоматическом
режиме останавливают нового пара в турбину в случае падения показателя давления
масла в быстрозапорных приборах до значения меньше 0,3МПа (3 кгс/см2) изб. В то
же время прикрывается быстрозапорный клапан-захлопка на производственном отборе
пара и при содействии реле закрытия клапанов совершается закрывание
регулирующих клапанов и поворотной диафрагмы; регулятор безопасности, который
осуществляет с помощью автоматического затвора закрывание стопорных клапанов при
увеличении значения частоты вращения ротора турбины до 56,0 1/с (3360 оборотов
в минуту).
В автоматическом режиме затвор также действует в
случае нажимания кнопки ручного выключателя автоматического затвора.
Турбина оснащена прибором, который дает возможность
осуществлять испытание регулятора безопасности на функционирующей турбине без
использования увеличения частоты вращения ротора и срабатывания стопорных
клапанов;
гидравлическое реле давления в смазочной
системе, которое обеспечивает автоматизированное закрывание стопорных клапанов
в ситуации падения показателей давления в смазочной системе до 25кПа (0,2
кгс/см2) изб;
дистанционный выключатель с электромагнитным
приводом, который обеспечивает автоматизированное закрывание стопорных клапанов
в ситуациях поступления электрического сигнала в таких вариантах:
· сдвига с оси ротора
от рабочего положения на + - 0,8 мм;
· снижения показателя давления
основного масляного насоса-регулятора до 25 кПа (0,25 кгс/см2) изб;
· снижении значения давления в
смазочной системе до 25 кПа (0,25кгс/см2) изб;
· увеличении показаний давления масла
в системе регулирования до 1,18 МПа (11.8кгс/см2 ) изб;
· увеличении числа
частоты оборотов ротора до 55 1/с (3300 об/мин);
· повышение вибрации заднего либо
переднего подшипника турбины до 11,2 мм/с (равно двойной амплитуде
виброперемещений 100 мкм);
· снижение температурного показателя
поступающего пара до 410 °С;
· путем нажимания кнопки внизу
таблички "Остановка турбины", расположенной на щите контроля и
управления турбины.
· реле закрывания
регулирующих клапанов, которое предназначено для обеспечения возможности в одно
время закрывать стопорные клапаны, регулирующие клапаны и попоротой диафрагмы.
· датчик-реле
давления пускового масляного электронасоса (ПМН), который в автоматическом
режиме включает ПМН при прекращении работы турбины и выключает ПМН при запуске
турбины уже после, соответственно, снижения и повышения показателей давления на
нагнетании ГМН до установленных параметров;
· датчик-реле
давления аварийного масляного электронасоса, который служит для возможности
автоматизированного включения аварийного либо стояночного насоса при снижении
показателей давления в смазочной системе до 25 кПа (0.25 кгс/см:) изб:
· быстрозапорный
клапан-захлопка на паропроводе производственного отбора, предназначен для
устранения обратного потока пара в турбину из коллектора тепловой сети;
· паровое
импульсно-предохранительное устройство (импульсный и предохранительный
пружинные клапаны), служит для возможности автоматизированного сброса пара в атмосферу
в ситуации при повышения значения абсолютного давления пара в производственном
отборе до 1,57 МПа (16,5 кгс/см2);
· паровые
предохранительные клапаны (2 клапана рычажно-грузового типа), служат для
автоматизированного выброса пара в атмосферу при увеличении показателя
абсолютного давления пара за турбиной до 0,32 МПа (3,2 кгс/см2).
Глава 2. Расчет тепловой нагрузки и выбор
технологического оборудования котельной
.1 Определение теплоты сгорания топлива
Определяем низшую теплоту сгорания твердого топлива
,
по формуле
.2 Расчёт объёмов воздуха и продуктов
сгорания
Определяется теоретический объем воздуха, необходимого
для полного сгорания при сжигании твёрдого топлива V0,
м3/кг, по формуле
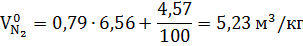
Определяется теоретический объем азота в
продуктах сгорания при сжигании твёрдого топлива
,
м3/кг, по формуле
0,79∙ V0+
Определяется объем трехатомных газов при
сжигании твёрдого топлива
, м3/м3, по формуле
Определяется теоретический объем водяных паров
при сжигании твёрдого топлива
,
по
формуле
Определяется избыточное количество воздуха
,
,
по формуле
Определяется действительный объем водяных паров
для угля
,
,
по формуле
Определяется действительный суммарный объем
продуктов сгорания
,
,
по формуле
Определяются объемные доли трехатомных газов
,
по формуле
Определяется объемная доля водяных паров
,
по формуле
Определяется суммарная объемная доля
,
по формуле
Определяется концентрация золовых частиц в
продуктах сгорания
по формуле
Результаты расчета
действительных объемов воздуха и продуктов сгорания по газоходам котлоагрегата
сводятся в таблицу 2.1.
Таблица 2.1. Объёмы продуктов сгорания, объёмные
доли трёхатомных газов, концентрация золы
|
Величина
|
Теоретические
объемы: ; ; ;
|
|
Газоход
|
|
топка
|
Пароперегреватель
1оч.
|
Пароперегреватель
2оч.
|
Пароперегреватель
3оч.
|
Пароперегреватель
4оч.
|
Экономайзер
2оч.
|
Воздухоподогреватель
2оч.
|
Экономайзер
1оч.
|
Воздухоподогреватель
1оч.
|
|
1
|
2
|
3
|
4
|
5
|
6
|
7
|
8
|
9
|
10
|
|
Коэффициент
избытка воздуха после поверхности нагрева
|
1,2
|
1,2
|
1,23
|
1,26
|
1,29
|
1,37
|
1,40
|
1,48
|
1,51
|
|
Средний
коэффициент избытка воздуха в газоходе поверхности нагрева
|
1,23
|
1,23
|
1,245
|
1,26
|
1,275
|
1,295
|
1,325
|
1,345
|
1,375
|
|
Объем
водяных паров, м3/кг
|
0,6
|
0,6
|
0,626
|
0,627
|
0,629
|
0,631
|
0,634
|
0,636
|
0,639
|
|
Полный
объем продуктов сгорания, м3/кг
|
8,5
|
8,5
|
8,598
|
8,697
|
8,796
|
8,928
|
9,127
|
9,259
|
9,457
|
|
Объемная
доля трехатомных газов
|
0,14
|
0,14
|
0,141
|
0,139
|
0,138
|
0,136
|
0,133
|
0,131
|
0,128
|
|
Объемная
доля водяных паров
|
0,07
|
0,07
|
0,07
|
0,069
|
0,068
|
0,067
|
0,066
|
0,065
|
0,064
|
|
Суммарная
объемная доля
|
0,21
|
0,21
|
0,211
|
0,208
|
0,206
|
0,203
|
0,199
|
0,196
|
0,192
|
|
Концентрация
золы в продуктах сгорания, г /м3
|
18,44
|
18,44
|
18,23
|
18,02
|
17,82
|
17,56
|
17,18
|
16,93
|
16,58
|
|
|
|
|
|
|
|
|
|
|
|
2.3
Расчет энтальпий воздуха и продуктов сгорания
Определяется энтальпия теоретического объема
воздуха для температуры 22000С
, кДж/кг, по
формуле

Определяем энтальпию теоретического объема
продуктов сгорания для температуры 22000С
,
кДж/кг, по формуле
Определяем энтальпию избыточного количества
воздуха для температуры 2200
С
,
кДж/кг, по формуле
Определяем энтальпию золы при температуре 2000
0С
,
кДж/кг, по формуле
Определяем энтальпию продуктов сгорания при
температуре 2200 0С
, кДж/кг, по
формуле
Аналогично проводим расчет энтальпий продуктов
сгорания для всего выбранного диапазона температур, результаты расчетов
сводятся в таблицу 2.2.
Таблица 2.2. Расчет энтальпий продуктов сгорания
|
Поверхность
нагрева
|
|
|
|
|
|
Н
|
|
|
1
|
2
|
3
|
4
|
5
|
6
|
7
|
|
|
верх
топочной камеры фестон α=1,23
|
2200
|
22165,00
|
26254,62
|
5097,95
|
-
|
31352,57
|
|
|
2100
|
21073,00
|
24933,01
|
4846,79
|
-
|
29779,8
|
|
|
2000
|
19981,00
|
23286,5
|
4595,63
|
459,9045
|
28342,03
|
|
|
1900
|
18889,00
|
22317,44
|
4344,47
|
395,01
|
27056,92
|
|
|
1800
|
17797,00
|
21005,47
|
4093,31
|
343,596
|
25442,38
|
|
|
1700
|
16731,00
|
19715,39
|
3848,13
|
324,4725
|
23887,99
|
|
|
1600
|
15671,50
|
18431,67
|
3604,445
|
294,8468
|
22330,96
|
|
|
1500
|
14605,50
|
17150,62
|
3359,265
|
276,507
|
20786,39
|
|
|
1400
|
13539,50
|
15896,03
|
3114,085
|
248,7623
|
19258,88
|
|
|
1300
|
12473,50
|
14619,78
|
2868,905
|
213,9638
|
17702,65
|
|
|
1200
|
11440,00
|
13375,43
|
2631,2
|
189,5108
|
16196,14
|
|
|
1100
|
10400,00
|
12155,35
|
2392
|
172,425
|
14719,78
|
|
|
1000
|
9360,00
|
10938,55
|
2152,8
|
154,7123
|
13246,06
|
|
900
|
8352,50
|
9732,36
|
1921,075
|
137,6265
|
11791,06
|
|
|
800
|
7371,00
|
8538,21
|
1695,33
|
120,5408
|
10354,08
|
|
|
пароперегреватель
1-й степени α=1,23
|
1400
|
13539,50
|
15896,03
|
3114,085
|
248,7623
|
19258,88
|
|
|
1300
|
12473,50
|
14619,78
|
2868,905
|
213,9638
|
17702,65
|
|
|
1200
|
11440,00
|
13375,43
|
2631,2
|
189,5108
|
16196,14
|
|
|
1100
|
10400,00
|
12155,35
|
2392
|
172,425
|
14719,78
|
|
|
1000
|
9360,00
|
10938,55
|
2152,8
|
154,7123
|
13246,06
|
|
|
900
|
8352,50
|
9732,36
|
1921,075
|
137,6265
|
11791,06
|
|
|
800
|
7371,00
|
8538,21
|
1695,33
|
120,5408
|
10354,08
|
|
|
700
|
6383,00
|
7370,79
|
1468,09
|
104,082
|
8942,962
|
|
|
пароперегреватель
2-й степени α=1,26
|
1300
|
12473,50
|
14619,78
|
3243,11
|
213,9638
|
18076,85
|
|
|
1200
|
11440,00
|
13375,43
|
2974,4
|
189,5108
|
16539,34
|
|
|
1100
|
10400,00
|
12155,35
|
2704
|
172,425
|
15031,78
|
|
|
1000
|
9360,00
|
10938,55
|
2433,6
|
154,7123
|
13526,86
|
|
|
900
|
8352,50
|
9732,36
|
2171,65
|
137,6265
|
12041,64
|
|
|
800
|
7371,00
|
8538,21
|
1916,46
|
120,5408
|
10575,21
|
|
|
700
|
6383,00
|
7370,79
|
1659,58
|
104,082
|
9134,452
|
|
|
600
|
5408,00
|
6232,48
|
1406,08
|
88,0935
|
7726,654
|
|
|
1200
|
11440,00
|
13375,43
|
3317,6
|
189,5108
|
16882,54
|
|
|
пароперегреватель
3-й степени α=1,29
|
1100
|
10400,00
|
12155,35
|
3016
|
172,425
|
15343,78
|
|
|
1000
|
9360,00
|
10938,55
|
2714,4
|
154,7123
|
13807,66
|
|
|
900
|
8352,50
|
9732,36
|
2422,225
|
137,6265
|
12292,21
|
|
|
800
|
7371,00
|
8538,21
|
2137,59
|
120,5408
|
10796,34
|
|
|
700
|
6383,00
|
7370,79
|
1851,07
|
104,082
|
9325,942
|
|
|
600
|
5408,00
|
6232,48
|
1568,32
|
88,0935
|
7888,894
|
|
|
500
|
4459,00
|
5130,21
|
1293,11
|
72,105
|
6495,425
|
|
|
пароперегреватель
4-й степени α=1,32
|
1100
|
10400,00
|
12155,35
|
3328
|
172,425
|
15655,78
|
|
|
1000
|
9360,00
|
10938,55
|
2995,2
|
154,7123
|
14088,46
|
|
|
900
|
8352,50
|
9732,36
|
2672,8
|
137,6265
|
12542,79
|
|
|
800
|
7371,00
|
8538,21
|
2358,72
|
120,5408
|
11017,47
|
|
|
700
|
6383,00
|
7370,79
|
2042,56
|
104,082
|
9517,432
|
|
|
600
|
5408,00
|
6232,48
|
1730,56
|
88,0935
|
8051,134
|
|
|
500
|
4459,00
|
5130,21
|
1426,88
|
72,105
|
6629,195
|
|
|
400
|
3529,50
|
4043,1
|
1129,44
|
56,58675
|
5229,127
|
|
|
500
|
4459,00
|
5130,21
|
1783,6
|
72,105
|
6985,915
|
|
|
водяной
экономайзер 2-й ступени α=1,4
|
400
|
3529,50
|
4043,1
|
1411,8
|
56,58675
|
5511,487
|
|
|
300
|
2626,00
|
2989,02
|
1050,4
|
41,382
|
4080,802
|
|
|
200
|
1735,50
|
1966,76
|
694,2
|
26,6475
|
2687,608
|
|
|
500
|
4459,00
|
5130,21
|
1917,37
|
72,105
|
7119,685
|
|
|
воздухоподогреватель
2 ступени α=1,43
|
400
|
3529,50
|
4043,1
|
56,58675
|
5617,372
|
|
|
300
|
2626,00
|
2989,02
|
1129,18
|
41,382
|
4159,582
|
|
|
200
|
1735,50
|
1966,76
|
746,265
|
26,6475
|
2739,673
|
|
|
|
|
|
|
|
|
|
|
|
|
|
|
|
|
|
Определяется энтальпия теоретического объема
воздуха для температуры 22000С
, кДж/кг, по
формуле
Определяем энтальпию теоретического объема
продуктов сгорания для температуры 22000С
,
кДж/кг, по формуле
Определяем энтальпию избыточного количества
воздуха для температуры 2200
С
,
кДж/кг, по формуле
Определяем энтальпию золы при температуре 2000
0С
,
кДж/кг, по формуле
Определяем энтальпию продуктов сгорания при
температуре 2200 ºС
,
кДж/кг, по формуле
.4
Тепловой расчет котла ПК-39-II M (1050 т/ч) при сжигании смеси углей
Тепловой баланс котлоагрегата
Определяем располагаемую теплоту смеси топлива
,
кДж/кг, по формуле
кДж/кг
Определяем энтальпию теоретического объема
холодного воздуха при температуре 30оС, Н0х. в, кДж/кг, по формуле
кДж/кг
Определяем энтальпию уходящих газов при
температуре 160оС Hух, кДж/кг,
по формуле
где
-
энтальпия большая, соответствующая 200оС, кДж/м3;
- температура, для
которой вычисляется энтальпия, оС,
=
160оС;
- температура,
соответствующая меньшей энтальпии, оС,
=
100оС.
кДж/кг
Определяем потерю теплоты с уходящими газами q2,
%, по формуле
где
-
коэффициент избытка воздуха в уходящих газах,
=1,375;
- потери теплоты
от механической неполноты горения, %,
.
Применяются потери от химической неполноты
горения
,
по формуле
Определяются потери теплоты от наружного
охлаждения
, %, по формуле
где
-
потери теплоты от наружного охлаждения при номинальной нагрузке парового котла,
%,
;
- расчетная
нагрузка парового котла, т/ч,
;
- номинальная нагрузка
парового котла, т/ч,
.
Определяется полезная мощность парового котла
,
кВт, по формуле
где hп.в
- энтальпия питательной воды, кДж/кг, hп.в=1039,1 кДж/кг;
hкип - энтальпия
кипящей воды в барабане котла, кДж/кг, hкип=1616,1 кДж/кг;
P - непрерывная
продувка парового котла, %, P=2.
кВт
Принимаем потери тепла в виде физической теплоты
шлака q6шл = 0, так как АР
< 2,5
.
Определяется КПД парового котла по уравнению
обратного баланса
, %, по формуле
Определяется расход топлива, подаваемого в топку
парового котла
, кг/с, по формуле
кг/с
Определяется расчетный расход топлива Вр, кг/с,
по формуле
кг/с
Определяется коэффициент сохранения теплоты
,
по формуле
.5 Аэродиамический расчет котла ПК-39-II M.
Расчет тяги и дутья
Аэродинамический расчет газового тракта
Расчет конвективного пароперегревателя (по ходу
газов)
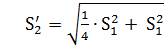
Определяется коэффициент сопротивления 1-й части
пароперегревателя
, по формуле
Определяется сопротивление 1-й ступени
пароперегревателя
,
,
по формуле
где
-
динамическое.
.
Определяется коэффициент сопротивления 2-й
ступени пароперегревателя
, по формуле
Определяется сопротивление 2-й части
пароперегревателя
,
,
по формуле
Определяется коэффициент сопротивления 3-й
ступени пароперегревателя
, по формуле
Определяется сопротивление 3-й части
пароперегревателя
,
,
по формуле
Определяется коэффициент сопротивления 4-й
ступени пароперегревателя
, по формуле
Определяется сопротивление 4-й части
пароперегревателя
,
,
по формуле
Определяется сопротивление конвективного
пароперегревателя,
,
,
по формуле
где K
- коэффициент, K=1,2.
Расчет поворотной камеры
Определяется динамическое давление в повороте
,
,
по формуле
Определяется сопротивление поворотной камеры
,
,
по формуле
где
-
коэффициент сопротивления резкого поворота на 90
,
.
Расчет 1-й части водяного экономайзера (по ходу
газов)
Определяется диагональный шаг труб в пучке
,
мм, по формуле
Определяется сопротивление 1-й части водяного
экономайзера,
, кг/
,
по формуле
где K
- поправочный коэффициент, K=1,2;
- сопротивление
пучка,
.
кг/
Расчет 1-й ступени воздухоподогревателя (по ходу
газов)
Определяется отношение живого сечения труб к
площади газохода
, по формуле
где
-
внутренний диаметр труб в воздухоподогревателе,
Определяется сопротивление 1-й ступени
воздухоподогревателя
,
по
формуле
,
где
-
динамическое давление,
;
- коэффициент
сопротивления входа и выхода.
;
- сопротивление
трения в трубах трубчатых воздухоподогревателей,
.
Расчет 2-й ступени водяного экономайзера (по
ходу газов).
Определяется сопротивление пучка 2-й части
водяного экономайзера
,
,
по формуле
где
-
коэффициент формы шахматного пучка,
;
- коэффициент
диаметра шахматного пучка,
;
- число рядов труб
в экономайзере,
.
Определяется сопротивление 2-й ступени водяного
экономайзера с учетом поправочного коэффициента
,
,по
формуле
где K
- поправочный коэффициент, K
= 1,2.
Расчет 2-й ступени воздухоподогревателя (по ходу
газов).
Определяется отношение живого сечения труб к
площади газохода
, по формуле
Определяется сопротивление 2-й ступени
воздухоподогрева- теля,
,
,
по формуле
где K
- поправочный коэффициент, K=1,1;
- динамическое
давление,
;
- коэффициент
сопротивления входа и выхода.
;
- сопротивление
трения в трубах трубчатых воздухоподогревателей,
.
Расчет суммарного сопротивления котлоагрегата
Определяется суммарное сопротивление котла
,
,
по формуле
Расчет участка выход из воздухоподогревателя,
дымосос
Определяется коэффициент резкого поворота
диффузора на 135
по
формуле
где
-
коэффициент, учитывающий влияние шероховатости стенок,
B - коэффициент,
определяемый в зависимости от угла поворота, B=0,52;
С - коэффициент, определяемый для отводов и
коленьев с закруглением кромок в зависимости от отношения размеров поперечного
сечения, C = 1,0;
- исходный
коэффициент сопротивления поворота, зависящий от формы и относительной кривизны
его,
Определяется скорость газов в расчетном сечении
,
м/с, по формуле
Определяется сопротивления резкого поворота
конфузора на 135
,
,
,
по формуле
Определяется коэффициент резкого поворота
диффузора на 45
,
по формуле
Определяется сопротивление поворота диффузора на
45
,
,
,
по формуле
Определяется коэффициент резкого поворота
диффузора на 35
,
по формуле
Определяется скорость газов при повороте конфузора
на 35
,
м/с,
по формуле
Определяется сопротивление поворота конфузора на
35
,
,
,
по формуле
Определяется сопротивление порота диффузора на
55
,
по формуле
Определяется скорость газов перед шибером
,м/с,
по формуле
Определяется сопротивление шибера
,
, по формуле
Определяется сопротивление собирающего короба с
боковым отводом
,
, по формуле
Определяется скорость газов в меньшем сечении
резкого поворота на 45
,
,
,
по формуле
Определяется сопротивление резкого поворота на
45
,
,
, по формуле
Определяется скорость газов в перед шибером,
,
,
по формуле
Определяется сопротивление шибера ,
,
, по формуле
Определяется скорость газов в меньшем сечении
конфузора,
,
,
по формуле
Определяется сопротивление конфузора в прямом
канале
,
, по формуле
Определяется суммарное сопротивление тракта котел
- дымосос
,
,
по формуле
,
где
-
сопротивление гравитационного очистителя,
.
Сопротивление трака «дымосос выход в атмосферу»
Определяется скорость газов в меньшем сечении
диффузора за дымососом
,
,
по формуле
Определяется сопротивление конфузора за
дымососом
,
, по формуле
Определяется скорость газов в меньшем сечении
плавного поворота диффузора на 45
,
,
по формуле
Определяется сопротивление плавного поворота
диффузора на 45
,
, по формуле
Определяется скорость газов в резком повороте на
30
,
,
по формуле
Определяется сопротивление резкого поворота на 30
,
, по формуле
Определяется скорость газов в сборном канале
симметрично собирающего тройника
,
,
по формуле
Определяется сопротивление симметрично
собирающего тройника
,
, по формуле
Определяется сопротивление плавного поворота на
90
,
,
по формуле
Определяется эквивалентный диаметр газохода
,
м, по формуле
Определяется сопротивление трения газохода
,
,
по формуле
,
где
-
коэффициент сопротивления для кирпичных и бетонных труб,
;
- длина
рассчитываемого участка.
Определяется скорость газов при выходе в дымовую
трубу
,
,
по формуле
Определяется сопротивление входа в дымовую трубу
,
, по формуле
Определяется выходное сечение дымовой трубы
,
,
по формуле
Определяется скорость газов при выходе из
дымовой трубы
,
,
по формуле
Определяется сопротивление выхода из дымовой
трубы
,
по формуле
Определяется сопротивление трения в дымовой
трубе
,
,
по формуле
Определяется суммарное сопротивление тракта
,
,
по формуле
Расчет суммарного сопротивления
Суммарное сопротивление котлоагрегата
,
,
по формуле
Расчет и выбор гравитационного очистителя
Определяется часовой объем газов на входе в
гравитационный очиститель
,
,
по формуле
м3/ч
Определяется входная скорость в аппарат,
,м/с,
по формуле
м/с
По объему продуктов сгорания за
воздухоэлементами в качестве очистного устройства к установке принимаем
гравитационный очиститель, техническая характеристика которых представлена в
таблице 2.3.
Таблица 2.3. Техническая характеристика
гравитационного очистителя
|
№
|
Показатели
|
Значение
|
|
1
|
Производительность,
м3/ч
|
250000
|
|
2
|
Габаритные
размеры, ДхШхВ, м
|
50х10х5
|
|
3
|
Объём
камеры, м3
|
2500
|
|
4
|
Площадь
одной полки, м2
|
10
|
|
5
|
Длина
одной полки, м
|
5
|
|
6
|
Ширина
одной полки, м
|
2
|
|
7
|
Скорость
газов в камере, м/с
|
2
|
|
8
|
Количество
полок в длину, шт.
|
8
|
|
9
|
Количество
полок в высоту, шт.
|
18
|
Определяется секундный объём газов, поступающих
в камеру ( при рабочих условиях )
,
м3/с, по формуле
м3/с
Определяется скорость осаждения частиц при
температуре 1600С
, м/с, по формуле
где d - диаметр частиц, мкм, d = 40 мкм;
- плотность дымовых
газов, г/м3,
=150 г/м3;-
ускорение свободного падения, м/с2, g = 9,81 м/с2;
- динамическая
вязкость среды, Па
с,
Па
с.
м/с
Выбирается высота гравитационного очистителя,
равного 5 метрам, при этом его ширина составит 10 метров и длина 50 метров.
Определяется количество полок в длину
,
штук, по формуле
где
длина
одной полки, м,
м.
штук
Определяется количество полок в высоту в один
ряд
,
штук, по формуле
где
высота
занимаемых полок, мм,
мм;
толщина одной
полки, мм,
мм;
расстояние между
полками, мм,
мм.
штук
Определяется площадь одной полки S, м2, по
формуле
где
ширина
одной полки, м,
м.
м2
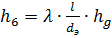
Глава 3. Обоснование и выбор аппаратуры учета,
контроля, регулирования и диспетчеризации котельной
3.1 Автоматизация
технологического процесса
Структура АСУ ГК
АСУ ГК предназначена для реализации задач
автоматизированного управления технологическими процессами общегородской
котельной с котлами типа КВ-ГМ-20-150, ДКВР-20-13 и другими.
АСУ ГК комплектуется специальным программным
обеспечением автоматизирующим пуско-наладочные работы и проведение режимных
испытаний котлов.
АСУ ГК выполняет следующие основные функции:
· сбор,
предварительная обработка и архивация данных от датчиков технологического
процесса;
· представление
информации о текущем состоянии и об истории процесса на цветном видеомониторе
АРМа оператора с выдачей твердой копии печатающим устройством;
· регистрация
аварийных ситуаций (по отдельному заказу);
· сигнализация о
выходе значений технологических параметров из аварийных и предаварийных границ
(аварийная и предупредительная сигнализации);
· автоматическое и
дистанционное управление работой оборудования и технологическими группами
оборудования (пуски, остановы, поддержание заданных параметров);
· защиты и
блокировки;
· расчет
технико-экономических показателей;
· автоматическое
ведение документации, включая ведомость событий;
· автоматический учет
отпуска тепловой энергии и теплоносителя потребителям и собственного
потребления природного газа и холодной воды с выдачей соответствующих
коммерческих документов;
· автоматическая
диагностика программно-технических средств АСУ ГК;
· статистика работы
оборудования;
· автоматизированное
проведение пуско-наладочных работ и режимных испытаний.
Характеристика объекта автоматизации
Объектом автоматизации является городская
котельная, в состав которой входят:
· водогрейные котлы
КВ-ГМ-20-150, ДКВР-20-13 и др. - до 8 шт. ;
· газораспределительный
узел;
· вспомогательное
тепломеханическое оборудование в составе:
· насосные установки;
· вакуумный
деаэратор;
· водоподогреватели и
охладители;
· баки рабочей и
подпиточной воды;
· баки для герметика;
· приточные и
вытяжные системы;
· тепловой пункт;
· общекотельные
трубопроводы.
· Характер
технологического процесса - непрерывный.
Характеристика системы в целом
Структура АСУ ГК
Структура технических средств АСУ ГК включает в
себя:
Верхний уровень - автоматизированное рабочее
место (АРМ) оператора;
Средний уровень - подсистемы контроля и
управления;
Нижний уровень - датчики и силовые
исполнительные устройства;
Полевая информационная шина, обеспечивающая
обмен данными между верхним и средним уровнями системы.
Верхний уровень
Основные функции
АРМ оператора обеспечивает
выполнение следующих основных функций:
· Предварительная
обработка данных;
· Графический
интерфейс с оператором;
· Технологическая
сигнализация;
· Регистрация
аварийных ситуаций;
· Создание
архивов истории процесса;
· Контроль
состояния и настройка системы;
· Дистанционное
управление.
Программное обеспечение
верхнего уровня базируется на SCADA программе СТАЛКЕР, функционирующей в среде
ОС WINDOWS NT.
Средний уровень
Состав и основные функции
Средний уровень системы включает в себя:
· до восьми подсистем
контроля и управления котлами, каждая из которых управляет одним котлом и
включает в себя шкаф контроллеров и шкаф приборов;
· подсистему контроля
и управления вспомогательным оборудованием в составе двух шкафов контроллеров и
двух шкафов регуляторов.
· подсистему
коммерческого учета отпущенной тепловой энергии и потребленного природного газа
в составе шкафа коммерческого учета, ультразвуковых расходомеров, счетчика
расхода газа.
Основными функциями контроллеров являются:
· ввод сигналов от
датчиков технологического процесса и оборудования (дискретные сигналы типа
«сухой контакт» и аналоговые (ток 4-20 mA);
· передача данных и
сообщений на АРМ оператора;
· прием данных и
команд от АРМа оператора;
· выдача сигналов
управления (типа «сухой контакт») технологическим оборудованием;
· реализация
алгоритмов управления технологическим оборудованием, технологических блокировок
и защит и т.д.
Подсистемы контроля и управления котлами
Подсистемы контроля и управления котлами
обеспечивают выполнение следующих основных функций:
· сбор и первичная
обработка сигналов датчиков параметров технологического процесса;
· автоматическое
регулирование технологических параметров и поддержание заданной мощности котла;
· логическое
управление в соответствии с запрограммированными алгоритмами;
· реализация защит и
блокировок в соответствии с нормативной документацией на водогрейные котлы
· передача значений
контролируемых параметров на АРМ оператора;
· прием и исполнение
команд дистанционного управления от АРМа оператора и местного пульта
управления;
· диагностика
состояния технических средств подсистемы.
Регулирование технологических параметров
выполнено на регуляторах, программно реализованных в контроллерах подсистемы.
Каждый контроллер реализует следующие регуляторы:
· регулятор давления
газа к горелке;
· регулятор давления
воздуха к горелке;
· регулятор
разрежения в топке котла;
· регулятор
соотношения «газ-воздух».
· Первые три
регулятора имеют два режима работы:
· режим поддержания
заданного значения параметра;
· режим управления
регулирующим клапаном по положению.
В первом случае в качестве обратной связи
используется сигнал с датчика параметра. Данный режим используется при штатном
режиме работы. Второй режим используется при проверке работы регулирующего
клапана и его датчика положения, а также для установки регулирующего клапана в
заданное положение.
Для обеспечения безопасной работы котла
реализованы следующие защиты, действующие на останов котла:
· защита по погасанию
факела;
· защита на повышение
и понижение давления газа к горелке;
· защита на понижение
давления воздуха к горелке;
· защита по
отключению дутьевого вентилятора и дымососа;
· защита по повышению
давления в топке котла;
· защита по повышению
и понижению давления воды за котлом;
· защита по понижению
расхода воды через котел;
· защита по повышению
температуры воды за котлом;
· защита по
невоспламенению при растопке.
Подсистема контроля и
управления вспомогательным оборудованием
Подсистема контроля и
управления вспомогательным оборудованием обеспечивает выполнение следующих
основных функций:
· сбор и
первичная обработка сигналов датчиков параметров технологического процесса;
· автоматическое
регулирование технологических параметров;
· логическое
управление в соответствии с запрограммированными алгоритмами;
· реализация
защит и блокировок;
· передача
значений контролируемых параметров на АРМ оператора;
· прием и
исполнение команд дистанционного управления от АРМа оператора и местного пульта
управления;
· диагностика
состояния технических средств подсистемы.
В подсистеме программно
реализованы 14 следующих регуляторов:
· Регулятор
температуры воды в подающем магистральном трубопроводе в зависимости от
температуры наружного воздуха.
· Регулятор
давления подпиточной воды.
· Регулятор
температуры обратной сетевой воды перед котлами.
· Регулятор
давления воды на всасе сетевых насосов.
· Регулятор
разрежения в деаэраторе.
· Регулятор
температуры очищенной воды за подогревателем.
· Регулятор
температуры очищенной воды перед деаэратором.
· Регулятор
температуры в деаэраторе.
· Регулятор
температуры воды в системе горячего водоснабжения.
· Регулятор
температуры газа в котельную.
· Четыре
регулятора воздуха приточной вентиляции.
· Программное
обеспечение подсистемы обеспечивает функционально - логическое управление
следующим оборудованием котельной:
· Сетевые
насосы (4 шт.);
· Задвижки на
напоре сетевых насосов (4 шт.);
· Насосы
рециркуляции (4 шт.);
· Насосы
рабочей воды (2 шт.);
· Насосы
деаэрируемой воды (2 шт.);
· Насосы
подпиточной воды (2 шт.);
· Насос
откачки воды и герметика;
· Насос
герметизирующей жидкости;
· Магистральные
задвижки (2 шт.);
· Клапан
подачи воды в бак чистой воды;
Кроме этого обеспечивается
контроль загазованности в помещении ГРУ и котельной.
Структура АСУ ТП
Нижний уровень содержит в своей структуре
датчики давления, термометры сопротивления, исполнительные механизмы, блоки
питания, а кроме них еще устройства дистанционного управления исполнительными
приборами с задвижками и клапанами, которые дают возможность оператору при
возникновении потребности осуществлять технологический процесс вручную, при
аварийном порядке работы.
Средняя ступень системы управления
спроектирована на базовой основе технологического микропроцессорного
управляющего контроллера SLC-5/04 компании "ALLEN-BRADLEY" и призвана
осуществлять главные свои функции:
· собирание и обрабатывание аналоговых
показаний;
· нахождение и обрабатывание цифровых
сигналов аварийных ситуаций, предупреждающей сигнализации и состояний
технологического устройства;
· осуществление контролирование выхода
за допустимые границы технологических значений и осуществление определенных
аварийных либо предупредительных сигналов;
· обеспечение управляющей деятельности
воздействия на разные устройства;
· обмен данными и
информацией со другими ступенями управления;
· автоматизированное
регулирование.500 от Allen-Bradley - это небольшое семейство программируемых
контроллеров, дискретных, аналоговых и специальных модулей ввода/вывода и
периферийных устройств, устанавливаемых на шасси. Семейство SLC 500 обладает
мощью и гибкостью благодаря широкому спектру сетевых конфигураций,
функциональных возможностей и различным опциям памяти. Пакет программирования
релейной логики RSLogix 500 предоставляет гибкие редакторы, конфигурирование
ввода/вывода по принципу «укажи и щелкни» и мощный редактор баз данных, а также
средства диагностики и устранения неисправностей, помогающие вам сэкономить
время разработки проекта и максимально повысить производительность.
Мощные, но при этом доступные по цене -
программируемые контроллеры SLC 500 применимы для широкого спектра приложений,
включая автоматические линии, управление отоплением, вентиляцией и
кондиционированием воздуха, высокоскоростные сборочные операции, управление
небольшими процессами, управление простым перемещением и системы SCADA
(диспетчерского управления и сбора данных).
Модульность - модульные процессоры, источники
питания, устройства ввода/вывода, различные варианты запоминающих устройств и
коммуникационные интерфейсы обеспечивают возможность конфигурирования и
наращивания системы. Вы можете сконфигурировать свою систему на необходимое вам
число модулей ввода/вывода, объем памяти и коммуникационные сети. Впоследствии
систему можно наращивать, добавляя модули ввода/вывода, память или
коммуникационные интерфейсы.
Расширенный набор инструкций - включает
косвенную адресацию, широкие математические возможности и инструкцию вычисления.
Гибкость коммуникационной сети - богатый выбор
интегрированных Ethernet, DH+ или DH-485, а также вариантов коммуникаций
посредством ControlNet, DeviceNet или Remote I/O.
Широкий выбор устройств ввода/вывода - выбор из
более чем 60 модулей для работы с цифровыми, аналоговыми и температурными
сигналами. Также от партнеров по программе Encompass можно получить
специализированные модули третьих фирм для различных решений по управлению в
соответствии с требованиями вашего приложения.
Продукт, рассчитанный на производственные
условия - способен выдерживать вибрацию, экстремальные температуры и
электрические шумы в условиях производства.
Пакет программирования на платформе Windows -
пакет программирования RSLogix 500 максимизирует производительность, упрощая
разработку и отладку программ.
Наличие до 64 К конфигурируемой памяти для
данных/программ и более 60 типов модулей ввода/вывода, а также богатый выбор
сетевых возможностей позволяют системе SLC обеспечить мощное решение для
автономного или распределенного управления производственным процессом.
Локальные системы
Минимальная конфигурация модульной системы
управления на базе SLC 500 включает процессорный модуль и модули ввода/вывода
на одном шасси 1746 с блоком питания.
Распределенные системы
Более сложные системы могут использовать:
· распределенный ввод/вывод
· несколько контроллеров, соединенных
по сетям
· модули ввода/вывода на нескольких
платформах, расположенные в разных местах и соединенные посредством нескольких
каналов ввода/вывода.
Планирование системы
Для планирования системы определите необходимый
объем ввода/вывода, сетевые конфигурации и размещение компонентов в каждом
месте. На этом этапе необходимо решить, будет ли в каждом шасси собственный
контроллер, или вы выбираете сетевое решение.
Процессоры SLC 500 поставляются в большом
диапазоне размеров (от 1 до 64 К) и могут обрабатывать до 4096 входных и 4096
выходных сигналов. Все модульные процессоры, кроме SLC 5/01, способны управлять
удаленными устройствами ввода/вывода.
Добавив модуль сканирования ввода/вывода, вы
можете использовать эти процессоры для управления/контроля удаленных модулей
ввода/вывода по каналам ControlNet, DeviceNet и Universal Remote I/O.
Процессоры SLC 500 представляют собой
одноместные модули, устанавливаемые в крайнем левом слоте шасси ввода/вывода
1746.
Для модуля ввода/вывода, расположенного удаленно
от процессора, используется адаптер - одноместный модуль, устанавливаемый в
крайнем левом слоте шасси ввода/вывода. Модульные системы SLC 500 имеют
отдельные блоки питания, которые должны устанавливаться непосредственно на
левом торце шасси ввода/ вывода 1746.
Шасси ввода/вывода 1746 разработаны для монтажа
на задней панели и имеются в исполнениях с 4, 7, 10 или 13 слотами для модулей.
Модули ввода/вывода 1746 имеются в исполнениях с различным количеством каналов,
максимально до 32 каналов на модуль.
Коммуникации
Оцените, какие средства связи вам понадобятся.
Исходя из требований по коммуникациям, вы можете определить, какой процессор и
какие коммуникационные устройства потребуются для вашего приложения.
Процессор SLC обменивается данными по задней
шине шасси 1746, с модулями ввода/вывода 1746 расположенным в локальном шасси.
Различные модели процессоров SLC имеют разные встроенные порты для обмена
информацией с другими процессорами или компьютерами. Также имеются отдельные
модули, позволяющие получить дополнительные коммуникационные порты для обмена
данными с другими процессорами, компьютерами и удаленными модулями
ввода/вывода.
Каждый процессор имеет один или два встроенных порта
для коммуникаций EtherNet/IP, DH+, DH-485 или RS-232 (протоколы DF1, ASCII,
DH-485).
В дополнение к встроенным портам процессоров
SLC, вы можете организовать внешний коммуникационный порт для процессора SLC,
добавив коммуникационный модуль.
Модули адаптеров ввода/вывода 1746 имеются для
каналов Control-Net и Universal Remote I/O. Модуль адаптера ввода/вывода,
устанавливается в шасси с модулями ввода/вывода и обеспечивает взаимодействие
модулей ввода/вывода с каналом ввода/вывода для коммуникации с портом сканера
для удаленного процессора.
Высший уровень системы управления выполнен на
базовой основе ПЭВМ промышленного производства и призван выполнять ниже
перечисленные функции:
· выполнение обрабатывание поступившей
информации, формирование базы данных измерений, сохранение информации по
предыстории ситуаций и аварий;
· обеспечение постоянного, в течении
всех суток обмена информации с контроллером;
· создание и сохранение массивов
информации по указанным значениям;
· отображение поступивших данных в
виде таблиц либо на мнемосхемах с перспективой демонстрации, как всего списка
характеристик, так и характеристик по интересующей технологической подсистеме;
· отображение в виде графиков перемен
значений физических величин с помощью кривых;
· обеспечение создание и печать
отчетно-учетной документации.
3.1.1 Объекты
и объемы автоматизации котельной установки
Объёмы и необходимость внедрения автоматизации
котельной установки формируются исходя из возможности в плане обеспечения её
работы без необходимого кадрового состава, с определением аварийных сигналов
оповещения и аварийной остановке котла в случаях формирования аварийных
происшествий либо пожаре.
На рассматриваемой котельной установке
комплексного сборного пункта имеются технологическая и аварийная сигнализации.
Технологическая сигнализация предназначена для
цели оповещения обслуживающего персонала об отклонении значений показателей от
нормы. Звуковым сигналом служит звонок. Звуковое оповещение отключается
дежурным сотрудником, тогда как световой (световые таблички расположены на
щитах контроля и управления) светится вплоть до ликвидации нарушения.
Аварийная сигнализация предназначена для уели
уведомления оператора об аварийном пребывании электродвигателей главного
оборудования. Для звукового сигнала используется ревун, а аварийная световая
сигнализация исполняется красной лампочкой, которая находится над ключом
управления электроприводом.
Защита котлоагрегата в ситуации аварийного
функционирования признается одной из главных задач автоматизации котельных
установок. Аварийные режимы происходят главным образом по причине неверных
операций постоянного обслуживающего персонала, чаще всего при запуске
котлоагрегата. Модель защиты гарантирует реализацию установленной очередности
процедур при растопке котла и автоматическое отключение подачи топлива в случае
появления аварийного режима.
Растопка котла должна производится последующим
способом:
· растопка котельной
установки производится 2 работниками с обязательной регистрацией в
"Журнале газоопасных работ, выполняемых без наряда-допуска";
· запуск в работу котельной установки
при отсутствии включения приборов защиты и контроля строго запрещено;
· растопка котла
осуществляется при малом огне, уменьшенной тяге (-0,1-(-0,15) МПа), закрытой
паровой задвижке и открытом вентиле. Нагрузка должна быть 10 - 15% номинальной
производительности котла. Запорную арматуру на газопроводе перед горелкой
допускается открывать лишь после запуска запального устройства либо поднесения
к ней горящего запальника;
· при растопке котла
следует проводить более-менее равномерный прогрев его элементов и
заблаговременно запустить прибор для нагрева воды в нижнем барабане с помощью
вентиль;
· перед тем, как
осуществить розжиг газовых горелок следует обеспечить хотя бы на протяжении
10-15 минут вентилирование топки котла, с помощью запуска дымососа и
вентилятора котла. Устройства дымососа и вентилятора в обязательно порядке
должны находится в открытом состоянии. После осуществления процедуры вентиляции
в обязательном порядке нужно удостовериться в том, что в топке отсутствует
взрывоопасная газо-воздушная смесь, для этого осуществляется сбор проб
газоанализатором с непременной письменной регистрацией итогов проверки анализа
проб и нумерацией газоанализатора в "Журнале газоопасных работ выполняемых
без наряда-допуска". Только после этих процедур можно приступать
непосредственно к розжигу газовой горелки;
· если при процедуре
разжигания горелки либо во время регулировки случился проскок либо затухание
пламени, доставка газа на горелку и запальное приспособление в обязательном
порядке незамедлительно должна быть прервана. К следующей попытки разжигания
допускается приступать только после процедуры вентилирования газоходов на
протяжении 10-15 мин, а обязательной ликвидации причин неисправностей;
· если из открытого воздушника котла
начнет выходить пар, то следует обязательно прикрыть воздушник и дренаж;
· при давлении пара
0,05-0,1 МПа выполняется продувание водоуказательных устройств и сильфонной
трубки манометра, а кроме того контроль продувочных линий путем ощупывания
(линия обязательно должна быть холодной). При продувании водоуказательных
стекол:
) необходимо открыть продувочный кран, это
приведет к продуванию стекла;
) прикрыть водяной кран, тогда произойдет
продувание стекла и паровой трубы;
) далее повернуть водяной кран, прикрыть паровой
кран и повернуть продувочный кран, произойдет продувание водяной трубы;
) открытием парового крана и закрытием
продувочного анализируется уровень воды в стекле.
· После окончания
процедуры продувания уровень в стекле обычно достаточно быстро увеличивается, а
после немного колеблется. Когда же уровень в стекле увеличивается очень
медленно, то в таком случает необходимо заново провести процедуру продувания
водяного крана;
· при растапливании
котла очень важно контролировать расширение комплектующих котла.
Перед процедурой запуска котла для работы
обязательно нужно исследовать:
) надежность действия предохранительных клапанов
посредством их принудительного раскрытия (они в обязательном порядке должны
отрегулироваться перед началом процедуры открытия; контрольный - 1,32 МПа,
рабочий - 1,33 МПа) водоуказательных устройств, манометра продувания,
питательных приборов, недолгим включением;
) анализ и запуск автоматизированной
безопасности, сигнализаторов и устройств автоматизированного регулирования
работы котла;
) исследование значений сниженных указательных
параметров уровней воды по показателям уровня воды прямого действия;
) строго запрещен запуск котла для работы при
поврежденной арматуре, устройств КИПиА, автоматизирвания безопасности,
устройств блокировки и сигнализации;
) запуск котла в паропровод производится
постепенным приоткрыванием задвижки уже после процедуры тщательного прогревания
и продувания паропровода посредством дренажа;
) перед процедурой запуска котла в общий паропровод
следует осуществить процедуру периодического продувания. Процедура
периодического продувания осуществляется постепенно с передней части нижнего
барабана, задней части нижнего барабана и бокового коллектора. При проведении
процедуры периодического продувания сперва раскрываются ближний, а после него
дальний вентиль относительно котла, окончание процедуры продувания производится
в противоположном порядке;
) при процедуре запуска котла в функционирующий
общий паропровод показатель давления в нем в обязательно порядке должен быть
равным или несколько ниже (0,05 МПа) показателя давления в паропроводе. В
ситуации, когда при запуске в паропроводе станут появляться толчки, сотрясения
и гидроудары, в таком случае запуск необходимо прекратить и повысить дренирование;
) при процедуре растапливания котла в
обязательном порядке следует контролировать расширение комплектующих котла;
) период процедуры растапливания и ее завершение
в обязательном порядке записываются в сменном журнале.
Схема защиты дает возможность выполнять функции:
· контролирование
правильность проведения предпусковых процедур;
· запуск тягодутьевых приборов,
наполнение котла водой и др;
· контролирование
оптимальных показаний характеристик;
· дистанционная
процедура разжигания запальника со щита управления;
· автоматизированное
окончание поступления газа к запальникам уже после недолгой взаимной работы
запальника и главной горелки, в ситуации, когда факелы запальника и горелки
обладают единым устройством контролирования.
Паровые котлы в независимости от показателей
давления и паропроизводительности при процедуре сжигания газообразного и
жидкого горючего в обязательном порядке должны быть оснащены приборами,
останавливающими поступление топлива к горелкам в таких ситуациях:
· уменьшение либо увеличение
показателя давления газообразного горючего непосредственно перед горелками;
· уменьшения давления жидкого горючего
непосредственно перед горелками;
· уменьшение либо увеличение значений
уровня воды в барабане;
· понижение разряжения в самой топке;
· увеличение давления пара (лишь при
функционировании котельных в отсутствии постоянного обслуживающего персонала);
· уменьшение показателей давления
воздуха непосредственно перед горелками (для котлов, которые оснащены горелками
с подачей воздуха в принудительном порядке);
· угасания факела горелок, прекращение
работы которых при работе котла ни в коем случае не разрешается;
· неполадки цепей защиты, в том числе
утрате напряжения.
Система автоматизированого регулирования котла
имеет в своем составе 4 регулятора и разделяется на 2 части:
· регулятор уровня
воды в барабане котла;
· регуляторы
процедуры горения.
Процедурой горения напрямую управляют 3
регулятора: соответствия "топливо-воздух" и разрежения в самой топке,
показателей давления пара.
Регулирование процедуры горения - это система
сопряженного управления, так как при перемене нагрузки на котёл происходит
перемена расходования топлива, воздуха и отсасываемых веществ сгорания. Эта
процедура урегулирования в обязательном порядке призвана отвечать на внутренние
и внешние изменения. К внутренним причисляются изменения, которые имеют связь с
динамикой показаний подачи горючего, износом приборов регулирования, а к
внешним причисляются изменения, сопряженные с расходованием пара с котла и
подобные.
В устройствах отопительных и
отопительно-производственных котельных, которые работают на газовом топливе, в
основном используются комплексные системы автоматизации, любая из них в
соответствии со своими функциями и мощности котельной, давления газа, типа и
характеристик теплоносителя имеет собственную направленность и область
использования.
Важнейшие условия к автоматизированию
отопительных котельных учитывают функцию обеспечения безопасного их
использования и оптимальное управление использования горючего.
Характеристиками качества используемых устройств
автоматизирования признается их самоконтроль, т.е. поступление сигнала об
аварийном прекращении работы всей котельной либо любого из котлов и
автоматизированное сохранение причины, которая привела к аварийной остановке.
Иные из массово производимых устройств систем
автоматизации дают возможность производить полуавтоматический запуск либо
останов котлоагрегатов, функционирующих на газовом и жидком горючем. Одна из
отличительной характеристик устройств автоматики газифицированных котельных
считается возможность тщательного контролирования за бесперебойной и безопасной
работы приборов, оборудования, аппаратов и агрегатов. Устройство
специализированных предохранительных блокировок призвана гарантировать
остановку подачи горючего при:
· ситуациях нарушения правильного
порядка пусковых действий;
· выключение дутьевых вентиляторов;
· сбои тяги в топке котла;
· уменьшении (увеличении) показаний
газа ниже (выше) нормативных границ;
· угасания факела;
· снижении уровня воды в котле;
· и в иных ситуациях
изменения характеристик работы котлоагрегатов от нормативных показателей.
По этой причине инновационные устройства системы
автоматики оснащены аппаратами и приборами, которые должны обеспечить единое
управление режимами и безопасностью их функционирования. С целью
диспетчеризации котельных нужен оптимальный уровень бесперебойности и
безопасности функционирования исполнительных устройств и приборов систем
автоматики. В некоторых ситуациях ограничиваются использованием котельных
автоматизации в минимальном объеме имеющей своей целью контролирование только
важнейших характеристик (частичная автоматизация).
К производимым и новым создаваемым устройствам
автоматизирования отопительных котельных предоставляются множество
дополнительных технологических условий:
· блочность, иными
словами обеспечение возможности относительно простой смены вышедшего из работы
блока;
· агрегатность,
другими словами обеспечение возможности комплектации каждой схемы из
ограниченного количества унифицированных комплектующих.
Наличие приборов, которые дают возможность
производить видеоуправление автоматическими устройствами по минимизированому
числу каналов передачи наименьшая инерционность и скорейший возврат к норме при
любой вероятной разбалансировке устройства.
Полное автоматизирование работы дополнительного
оборудования:
· регулировка
давления в обратном коллекторе (подпитывание теплосети), давления в
головке-деаэратора, уровня воды в баке-аккумуляторе деаэратора и др.
3.1.2 Контур
регулирования давления пара в барабане котла
Функция - поддержание неизменного заданного
параметра давления пара в границах допустимого значения регулирования
посредством перемены подачи горючего при изменениях потребления пара с котла в
пределах 20 - 120% его мощности.
Нижний порог (20%) обуславливается началом
границы регулировки горелок, которые служат для регулирования котлов ДЕ.
Верхний порог (120%) обусловлен, что непродолжительное время возможна
перезагруженность котла.
Импульс согласно давлению пара с целью
регулирования действует из барабана котла. При подобных обстоятельствах
регулятор старается обеспечить относительно постоянное давление пара в
барабане; он кроме того принимает непосредственное участие и в регулировки
общей нагрузки котельной.
3.1.3 Контур
регулирования соотношения "газ-воздух"
Функция значение - сохранение установленного
соответствия между объемом горючего и воздуха во всем границам перемены
поступления горючего, которое формируется в соответствии с графиками.
Необходимые сведения поступают при теплотехнической отладке котла.
Для полноценного сжигания горючего применяются
некоторые технологические связи между горючем и воздухом. Отталкиваясь от
этого, производятся схемы автоматизированной регулировки: "давление
топлива - давление воздуха"; "расход пара - расход (давление)
воздуха"; "положение РО топлива - расход (давление) воздуха" и
"количество кислорода 02 в уходящих газах - количество воздуха".
Допустимый объем воздуха будет поддерживаться в
процессе измерения не только лишь использования горючего, но и также качественные
характеристики: состав, температурные показатели влажность и др. Более
конкретно это предусматривается САР поступления воздуха, придерживающей излишек
(1,0-1,5%) кислорода в высвобождающихся газах. Но в связи трудности замера
кислорода чаще часто используется модель регулировки пропорции "топливо -
воздух".
Измерение объема горючего состоит в замере
давления напрямую газовой горелке при непрерывном сечении их выводных
отверстий. Подобный способ анализа учитывает и режимная карта котла.
Объем воздуха, которое поступает в топку,
стандартно исследуется по по давлению воздуха в воздуховоде находящего перед
котлом. В случае отсутствия на воздуховоде к котлам ручных заслонок, то есть
горелка одна, тогда целесообразно исследовать объем воздуха по показателям
величины давления в едином воздуховоде к котлам. В иной ситуации если закрыть
ручные заслонки на горелках, тогда давление воздуха в едином воздухопроводе
увеличится, что указывает на повышение объема воздуха от первоначального
положения ручных заслонок и регулятор станет закрывать регулирующее устройство
вентилятора, несмотря на то, что на горелки
поступает меньше воздуха и необходимо напротив
повысить поступление.
3.1.4 Контур
регулирования разрежения
Функция - тщательное устранение сгорания в независимости
от параметров нагрузки котла. Этого возможно получить при соответствующей
производительности дымососа в любой период производительности вентилятора и
объему горючего. Признаком такого соотношения считается разрежение в топочной
камере котла.
Излишнее давление в топке может повлечь за собой
высвобождение газов и пламени из топки в помещение самой котельной. С
повышением же разрежения в топке быстро повышаются присосы воздуха, которые в
значительной степени рациональность работы котла в результате расхода с
высвобождающимися газами и повышение затрат электроэнергии на тягу.
На регулятор разрежения ложится функция
поддержки бесперебойного с высокой точностью. Определенная характеристика
разрежения находится в зависимости от устройства топки и места отборки
импульса. Проблема заключается в том, что в самых различных по характеристикам
высоте уровнях топки разрежение неоднородно. Для топок котлов вида ДЕ позиция
отборки разрежения находится с фронтальной зоны котла в верхней области топки
над самой горелкой.
Важнейшее условие к работе регулятора - самое
вероятное возможное быстродействие, по причине того, что сама топка как объект
регулировки разрежения в реальности не меняет своего положения.
При повышении объема воздуха, поступающего в
топку, разрежение в ней понижается, вместе с тем уменьшается потоке воздуха
сквозь неплотности обмуровки. Данное обстоятельство о существенном
самовыравнивании топки как объекта регулировки параметров разрежения.
Из вышеописанного сделан вывод, что сам
регулятор не должен обладать лишней неравномерностью и способен быть достаточно
простым согласно закону регулировки. Принято за норму, что котлов вида ДЕ
устанавливают интегральный одноимпульсный регулятор разрежения.
3.1.5 Контур
регулирования уровня в барабане котла
Функция - сохранение уровня воды в барабане
неизменным в границах 5 мм при изменении потребления пара с котла в пределах
10-120%.
Уровень воды в барабане считается одним из
важнейших контролируемых характеристик паровых котлов. В оптимальном состоянии
место питания котла определяется равным соотношением между объемом прибывающей
воды и использованием пара с котла. Когда данное требование обеспечивается,
тогда уровень воды будет постоянным. Изменение соотношения происходит по
следующим факторам: перемены в подаче воды, использования, теплонапряжения
топки и давления пара в барабане. Изменения уровня от оптимального положения
при его регулировки не могут быть выше 20 - 30 мм, тогда как в ситуациях отказа
регулятора хватит 3 - 4 мин до выхода воды из барабана или его перепитки.
Запуск воды может стать причиной разрыва экранных труб и поломки котла;
перепитка барабана котла служит причиной увеличения давления пара, к попаданию
воды в паропровод, гидравлическим ударам и допустимым повреждениям
паропроводов.
Одновременно с этим барабанный котел имеет
некоторые характеристики, которые мешают поддерживать сохранение уровня в
переходных процедурах. При возникновении неисправностей процедура изменения
уровня определяется запаздыванием, "набуханием" и отсутствием самостоятельного
регулирования. В барабане котла производится выравнивание уровень смеси пара и
воды (эмульсии), удельная плотность которой меньше плотности воды. По этой
причине в котлах вида ДЕ, функционирующих на газе и мазуте, в случае внезапной
перемены нагрузки возникает перемена уровня в ту же сторону, в этом и
проявляется процесс - "набухания". Иными словами, при увеличении
нагрузки повышается объем пара в экранных трубках, в виду этого повышается и
объем воды, перенесенной паром в барабан котла, что влечет за собой увеличение
уровня. "Набухание" тем выше, чем интенсивнее экранирован котел и
ниже давление пара.
"Набухание" негативно влияет на
процедуру регулировки. Таким образом, при снижении нагрузки поступление воды
следует снизить, но одновременно с этим уровень уменьшается, и регулятор
оказывает прямое влияние на повышение подачи воды. Дополнительно приток порции
воды, обладающей более меньшей температурой, приводит к дополнительному
уменьшению уровня. Изначальное отклонение уровня в сторону, обратному знаку изменения,
становится причиной к торможению регулировки.
По этой причине возможность регулировки уровня в
виду отсутствия самостоятельного регулирования, присутствия
"набухания" и тормажения существенно усложняется.
Для котлов типа ДЕ производительностью до 25 т/ч
и давлением 1,4 МПа (14 кгс/см2) в реальности используется чаще одноимпульсный
изодромный регулятор питания водой барабана котла.
Питательная вода из деаэратора с уровнем
давления 0,02 МПа (0,2 кгс/см2) поступает на питательный насос, повышающий уровень
давления воды до 1,5..2,0 МПа (15..20 кгс/см2), чтобы отрегулировать давление
пара в барабане котла. После этого вода посредством регулировки отправляется в
экономайзер, затем она доводится до температуры на 20..30°С ниже, чем
температура котловой воды. С этого места вода отправляется в барабан котла.
Для оповещения обслуживающего сотрудника
(сотрудников) об изменениях важнейших технологических характеристик от
допустимых норм используется технологическая светозвуковая сигнализация. Модель
технологической сигнализации котельной делится, в основном, на схемы
сигнализации котлоагрегатов и дополнительный приборов котельной. В котельных с
неизменным обслуживающим персоналом в обязательном порядке иметься
сигнализация:
· прекращение работы котла (при
срабатывании защиты);
· факторы запуска защиты;
· уменьшение температуры и давления
жидкого горючего в едином трубопроводе ведущего к котлам;
· уменьшение либо повышение давления
воды в обратном трубопроводе тепловой сети;
· уменьшение давления воды в
питательной магистрали;
· увеличении либо уменьшения уровня в
емкостях (деаэраторных, аккумуляторных устройств горячего водоснабжения,
конденсатных, питательной воды, хранения жидкого горючего и т.д.), а также
уменьшения уровня в емкостях проточной воды;
· увеличение температуры в емкостях
нахождения жидких присадок;
· поломка устройств для обеспечения
котельных жидким горючим;
· увеличение температуры нагревания
подшипников электродвигателей в соответствии с рекомендациями производителя;
· уменьшение показателя рН в используемой
воде (в схемах водоподготовки с подкислением);
· увеличение давления (ухудшения
вакуума) в деаэраторе;
· увеличение либо уменьшение или
понижения давления газа.
3.2 Выбор
и обоснование технических средств автоматизации
Главным аспектом подбора принято считать его
интеллектуальность. Под ней подразумевается не банальное нахождение в датчике
микропроцессора, а программируемая универсальность датчика, мобильность его
устройства, нахождение в нем интерфейсов к стандартным цифровым полевым сетям.
Назначение инновационного датчика стандартно
включает:
· создание архива измеренных
показателей;
· первоначальная
переработка измеренных показаний, контролирование их изменений за оптимальные
параметры;
· оформление показаний в необходимые
технические единицы с правкой по факторам точности анализа;
· самоанализ и
исследование с показанием уведомлений оператору о наличии имеющейся поломке
датчика;
· дистанционное, с
пульта оператора настраивание шкалы датчика, установка его нуля и градуировка.
Для замера показателя воды применяем датчик ТСПУ
Метран-276.
Термопреобразователь ТСПУ Метран-276 специально
служит для анализа температуры нейтральных и агрессивных сред, для которых
материал защитной арматуры обладает коррозийной устойчивостью.
Чувствительная деталь первичного преобразователя
и интегрированный в головку датчика измерительный преобразователь превращает
измеряемые показатели температуры в стандартный исходящий сигнал постоянного
тока, что способствует формированию АСУТП без использования вспомогательных нормирующих
преобразователей.
Для измерения температуры дымовых газов
используем датчик ТСП Метран-206.
Термопреобразователь ТСП Метран-206 создан для
целей замера температурных показаний жидких и газообразных химически
неагрессивных сред, а также агрессивных, не приводящих к повреждению материал
защитной арматуры.
Для замера температурных параметров подшипников
насосов применяют преобразователь ТСП Метран-246. Для анализа температурных
показателей подшипников вентиляторов в основном используют преобразователь ТСМ
Метран-243. Функции: для анализа температурных параметров небольших по величине
подшипников и поверхности твердых тел. Для анализа кавитации потока воды на
выходе из насосов рекомендуется применять прибор ДМ - 2005 - Сг - 1Ех.
Манометры сигнализирующие ДМ - 2005 - Сг - 1Ех
рекомендовано использовать для исследования чрезмерного вакуумметрического
давления разнообразных сред и управлений наружными электрическими цепями от
сигнализирующего прибора непосредственного воздействия.
Устройства создаются защищенными от взрывов с
типом взрывозащиты "взрывонепроницаемая оболочка". Для анализа
показателей давления газа рекомендуется применять прибор Метран-100-ДИ. Данный
прибор служит для цели преобразования чрезмерного давления в оптимальный
токовый сигнал дистанционного метода в устройствах автоматического
контролирования, регулировки и управления.
В приборах, как правило, исследуемое чрезмерное
давление осуществляет прямое воздействие на мембрану и изменяется в давление на
жестком центре, передающееся посредством штока на рычаг тезопреобразователя. На
мембране (измерительной) расположены тензорезисторы. Деформирование
измерительной мембраны приводит к перемене показателей сопротивления
тензорезисторов и разбалансу мостовой схемы. Электрический сигнал, который создается
при разладке мостовой схемы, отправляется в электронный преобразователь,
которые меняет электрический сигнал от тензопреобразователя на обычный токовый
исходящий сигнал.
Прибор +Метран-100-ДД служит для целей анализа
разности давлений, а кроме этого для исследования уровня потребления в наборе с
ДКС (диафрагма каменная типовая).
Мембраны соединены с помощью сварки по внешнему
контуру к основанию и прикреплены друг к другу центральным штоком, связанным с
концом рычага преобразователя посредством тяги. Движение анализируемой разности
давлений приводит к прогибанию мембран, изгибания мембраны тензопреобразователя
и перемена параметров сопротивления тензорезисторов. Электросигнал от
тензопреобразователя переходит из измерительного блока в электропреобразователь.
Оповещатель загазованности СТМ-30 рекомендовано
применять для целей постоянного контролирования наличия взрывоопасных
концентраций в составе воздуха, находящегося в помещения и открытых
пространств, горючих газов, паров и их примесей.
Принцип работы прибора базируется на анализе
теплового эффекта в результате окисления горючих газов и паров, находящихся на
каталитически активном элементе датчика.
Используется мостовая модель анализа, поступает
напряжение питания и выходное напряжение. УЗС-207 (АД-102И - акустический
датчик) - служит для целей контролирования 1 либо 2-х предельных положений в
разных технологических емкостях либо резервуарах. Функционирование
акустического датчика (АД) базируется на анализе временном показании
прохождения ультразвукового сигнала посредством рабочего зазора прибора.
Для цели контролирования присутствия огня
рекомендуют применять прибор фотоэлектрический ФД - 1 ТУ1-586-0019-92. Он нужен
для целей формирования пульсации световой энергии пламени в динамике
сопротивления прибора и используется в моделях защиты и сигнализации при
угасании факела в топках котлов.
Индукционный расходомер модели ЭРИС-ВТ нужно
использовать для целей анализа использования подтоварной воды (с разных
устройств ДНС, УПН), речной, озерной воды на водозаборных и водонапорных
станциях.
Функционирование базируется на появлении
электродвижущей силы в приборе жидкости, пересекающей магнитное поле.
Для анализа показаний разрежения в барабане
котла рекомендуется применять многопредельный прибор измерителя давления/разрежения
АДР-0.25.2.
Измерители давления многопредельные с цифровой и
линейной дискретной индикацией величины показателей давления служат для цели:
постоянного анализа показаний абсолютного и избыточного давления воздуха,
природных и других газов, неразрушающих материалы контактных элементов
(кремний, сталь); создания дискретных исходящих сигналов при достижении
показаний давления установленных значений (уставок).
Прибор-счетчик вихревой газовый СВГМ,
рекомендуется использовать для целей оперативного и коммерческого анализа
природного газа. Прибор включает: датчик измерения расхода (ДРГ. М); датчик
анализа избыточного давления; датчик анализа температуры.
Принцип функционирования: тело пребывающее в
пути обтекающих его потоков меняет параметры давление потока до тела обтекания
и после него, по этой причине совершается срыв вихрей. Формирование вихрей
осуществляется в свою очередь, создается получается дорожка Кармана.
Для целей анализа объёма пара и показателей
количества тепловой энергии, которая переносится с паром, рекомендуется
применять прибор - счётчик пара вихревой СВП - 2500.
Он включает в себя датчик расхода газа (пара)
вихревого ДРГ.М, датчика расхода конденсата, датчиков температуры, давления с
электрическим исходящим сигналом 0-5 мА или 4-20 мА, блока контроля показаний
теплоты микропроцессорного БКТ.М.
Исследуемая среда - насыщенный или перегретый
пар с показаниями температуры в границах 100-2500С. Прибор расхода изменяет
величину проходящего пара при нормальных показаниях давления в упорядоченный
ряд электрических импульсов ценой каждого 1∙10-3 или 0,1∙10-3
м3/имп в зависимости от типоразмера.
Прибор анализа использования может применяться
при температурных показаниях воздуха в границах - 40- + 50°С.
Устройства исполнительные электрические однооборотные
(МЭО) стабильной скорости рекомендуется применять для изменения местоположения
контролирующих органов в моделях автоматизированной регулировки
технологическими процедурами в согласовании с командными сигналами
автоматизированых регулирующих и управляющих приборов.
Устройства включают в себя основные конструкций:
электропривода, редуктора, штуцерного ввода, блока сигнализации положения.
Принцип функционирования устройств состоит в
переустройстве электрического командного сигнала во вращательное передвижение
исходящего органа.
Электрическое питание устройств исполняется
трехфазным током напряжением: 220/380, либо 240/415В с частотой 50Гц, либо
220/380В с частотой 60Гц.
Электрическое питание выносного блока БП-10
обеспечивается от 220В с частотой 60Гц, возможное отклонение напряжения питания
в рамках -15 - +10%, частоты питания ±2%.
Для обеспечения электро всех преобразователей
рекомендуется применять блок питания Метра-602.
Блок питания Метран-602 служит для цели
преобразования сетевого напряжения 220В в стабилизированное напряжение 24 либо
36В и питания датчиков с унифицированным выходным сигналом:
· датчиков давления
серии Метран и др.;
· датчиков
температуры серии Метран-270, Метран-270МП, Метран-280 и др.
Блок питания Метран-602 включает в себя сетевой
трансформатор и 2 независимых канала, имеющих стабилизатор, схему электронной
защиты.
Модель электронной защиты служит для цели защиты
блока питания от перегрузок и коротких замыканий в нагрузке. Блок питания
автоматизировано выходит на рабочий режим после ликвидации замыкания в
нагрузке.
Глава 4. Технико-экономическое обоснование
проекта, анализ безопасности и экологичности
4.1 Комплексная оценка экономической
эффективности
Расчет показателей
экономической эффективности проекта
Для обоснования эффективности единовременных
затрат широко используется метод дисконтирования или чистой текущей стоимости.
Метод дисконтирования или чистой текущей
стоимости базируется на дисконтных вычислениях по приведению связанных с
реализацией проекта доходов и расходов к некоторому моменту времени (к
расчетному году).
Чистый дисконтированный доход рассчитывается по
формуле:
ЧДД = 
,
где ЧДt - чистый доход в году t, тыс.р.;-
коэффициент дисконтирования (приведения), доли ед.;н,tк - соответственно
начальный и конечный годы расчетного периода.
Если ЧДД имеет положительное значение, то проект
можно считается прибыльным, а если нет, то убыточным. Отдельный член денежного
потока наличности равен разности между ожидаемой величиной доходов от
реализации проекта и всеми видами затрат и может отличаться от другого как по
знаку (т.е. быть отрицательным), так и по величине, и рассчитывается по
формуле:
ЧДt = П
+ At - Ht - Kt ,
где П - прибыль, обеспечиваемая внедрением
системы в году t.
Аt - амортизационные отчисления от стоимости
системы, тыс.р.;t - сумма налогов, выплачиваемых предприятием из прибыли в
бюджет, тыс.р.;
Кt - единовременные затраты в году t, тыс.р.
При анализе эффективности инвестиций рассчитывается
рентабельность капитальных вложений по формуле:
где К - общие единовременные затраты.
.
Считается, что если Р=100%, то рентабельность
проекта равна заданной, если Р > 100%, то имеет место сверх рентабельность,
если Р < 100 проект не обеспечивает заданный уровень рентабельности.
Коэффициент дисконтирования определяется по
формуле:
t = (1 + Eн)tp-
t ,
где Ен - нормативный коэффициент эффективности
капитальных вложений, равный ставке банковского процента за долгосрочный
кредит, выраженный в долях единиц;- расчетный год;- год, затраты и результаты
которого приводятся к расчетному году.
В качестве расчетного года берется самый ранний
из всех рассматриваемых вариантов календарный год, предшествующий началу
использования в организации разрабатываемой системы.
В качестве начального года расчетного периода
берется год начала финансирования работ по созданию проекта, включая проведение
научных исследований.
Конечный год расчетного периода определяется
моментом заключением цикла АС, прекращением его использования на производстве.
Для анализа эффективности единовременных затрат
на разработку и внедрение системы используется показатель - внутренняя норма
доходности (коэффициент эффективности единовременных затрат ВНД), определяемый
из соотношения:
.
Коэффициенты эффективности судя по различным
проектам показывает об общем и минимальном уровне эффективности капитальных,
осуществляемых в организации и выбрать к реализации наиболее эффективные из
них. Другим показателем ВНД является оценка возможности привлечения заемных
средств на разработку и внедрение АС. Расчетное значение ВНД равно максимально
допустимому проценту за кредит, который может быть применен для полного
финансирования капитальных вложений по данной АС.
Если величина ВНД соответствует проценту за
кредит, тогда текущая стоимость равна нулю.
Таким образом, вычисляемое значение позволяет
судить о приемлемости для предприятия условий кредитования.
Показатель период возврата, используется для
анализа эффективности единовременных затрат. Экономическое содержание этого
показателя заключается в определении момента времени, необходимого для покрытия
единовременных затрат в проект. Период возврата единовременных затрат (Ток)
определяется последовательным сложением величин:
.
Полученная сумма не сравняется с величиной
единовременных затрат, приведенных к расчетному году. Количество произведенных
сложений равняется периоду возмещения капитальных вложений.
Сумма налогов на прибыль и имущество
рассчитывается по формуле:
Н = Нпр + Ним ,
где Нпр - налог на прибыль, тыс.р.;
Ним - налог на имущество, тыс.р.
,
где СТпр - ставка налога на прибыль.
,
где Коt - остаточная стоимость внедряемой
системы в году t, тыс.р. ;
СТим - ставка налога на имущество.
Расчет единовременных затрат
Единовременные затраты предприятия-заказчика на
приобретение устройства включают единовременные затраты
предприятия-изготовителя и его прибыль, а также НДС, т.е. определяются по
формуле:
Коб = К*(1+r)*(1+НДС),
где К - единовременные затраты на создание
системы автоматизации, р.;коэффициент рентабельности предприятия разработчика,
доли ед.;
НДС- ставка налога на добавленную стоимость,
доли ед.
В общем случае единовременные затраты на
создание системы определяются по формуле:
К=Краз + Кпрог + Кизг,
где Краз - затраты на проектирование
(разработку) системы, руб.;
Кпрог - затраты на программирование, руб.;
Кизг - затраты на изготовление, руб.
.Затраты на разработку
Затраты на разработку можно представить в виде
Краз = Зо × Траз ×
(1+Кд) ×
(1+Кр) ×
(1+Ксн) ×
(1+Кн.раз) ,
где Зо - месячный оклад разработчика, р.;
Траз - трудоемкость разработки проекта и
проектной документации, чмес.;
Кд, Кр - соответственно коэффициенты доплат к
заработной плате и районный, доли ед.;
Ксн - коэффициент отчислений на социальные нужды,
доли ед.;
Кнраз - коэффициент накладных расходов, доли ед.
Данные для расчета единовременных затрат
предприятия разработчика приведены в таблице 4.1.
Данные для расчета трудоемкости представлены в
таблице 4.2.
Таблица 4.1. Данные для расчета единовременных
затрат предприятия разработчика
|
Показатель
|
Значение
|
|
Заработная
плата разработчика, руб.
|
20000
|
|
Заработная
плата программиста, руб.
|
20000
|
|
Заработная
плата мастера, руб
|
20000
|
|
Коэффициент
доплат к заработной плате, доли ед.
|
0,5
|
0,7
|
|
Единый
социальный налог
|
0,26
|
|
Трудоемкость
программирования, чел. мес.
|
0,5
|
|
Трудоемкость
монтажа системы, чел. мес.
|
1
|
|
Коэффициент
накладных расходов, доли ед.
|
0,15
|
|
Коэффициент
затрат на монтаж, доли ед.
|
0,18
|
|
Годовой
фонд работы ПК, час
|
2208
|
|
Зарплата
персонала, обслуживающего ПК, руб
|
1000
|
|
Норма
амортизационных отчислений ЭВМ, доли ед.
|
0,2
|
|
Норма
амортизационных отчислений здания, доли ед.
|
0,04
|
|
Площадь
занимаемая ЭВМ, м2
|
4
|
|
Стоимость
одного м2 здания (операторная - 14,2 м2), руб.
|
12000
|
|
Стоимость
ЭВМ, руб.
|
32000
|
|
Коэффициент
накладных расходов на эксплуатацию ПК, доли ед
|
0,15
|
|
Потребляемая
мощность ЭВМ, кВт
|
0,35
|
|
Стоимость
кВт/часа, руб.
|
1,2
|
|
Коэффициент
затрат на ремонт ЭВМ (от стоимости), доли ед.
|
0,05
|
|
Коэффициент
затрат на транспортировку разработанной системы, доли ед.
|
0,08
|
|
Коэффициент
интенсивного использования мощности ПК, доли ед
|
0,7
|
|
Коэффициент
затрат на изготовление, доли ед.
|
0,15
|
|
Коэффициент
перевода единиц времени
|
184
|
Таблица 4.2. Данные для расчета трудоемкости
разработки
|
Стадии
разработки
|
Трудоемкость,
чел.месяц
|
|
1.
Изучение патентов
|
0,2
|
|
2.
Изучение литературных источников
|
0,3
|
|
3.
Разработка технического задания
|
0,2
|
|
4.
Разработка технического проекта
|
0,3
|
|
5.
Разработка рабочего проекта
|
0,2
|
|
6.
Внедрение проекта
|
0,3
|
|
ИТОГО
|
1,5
|
Краз = 20000 × 1,5 × (1+0,5)
× (1+0,7) × (1+0,26) × (1+0,15) = 110848,5 руб.
.2 Расчет затрат на разработку программного
обеспечения
Расчет затрат на разработку программного
обеспечения проводится по формуле:
Кпрог=Зо × Тпрог ×(1+Кд)×(1+Кр)×(1+Ксн)×(1+Кн.прог) +Смч × Тпрог × Кч
где Зо - месячный оклад программиста, тыс.р;
Тпрог - трудоемкость разработки программного
обеспечения, ч/мес;
Кн.прогр - коэффициент накладных расходов, доли
ед. ;мч - стоимость машино-часа ЭВМ, р.;
Кч - коэффициент перевода единиц времени.
Стоимость машино-часа ЭВМ рассчитывается по
формуле:
где Sэкс - годовые эксплуатационные расходы,
связанные с обслуживанием ЭВМ, р.;
Тпол - годовой фонд работы ЭВМ, час.
Эксплуатационные расходы рассчитываются по
формуле:
экс =12×Зо ×(1+Кд)×(1+Кр)×(1+Ксн)+А+Тр+Э+М+Нрэкс
где Зо - месячная оплата труда обслуживающего
персонала, р.;
А - амортизационные отчисления от стоимости ЭВМ
и здания, р/год ;
Тр - затраты на ремонт, р/год;
Э - затраты на электроэнергию, р/год;
М - затраты на материалы, р.;
Нрэкс - накладные расходы, связанные с
эксплуатацией ЭВМ, р/год.
Затраты на амортизацию вычисляются по формуле:
А = Кэвм Нэвм+Сзд×Sзд×Нзд
где Кэвм - балансовая стоимость ЭВМ, р.;
Нэвм - норма амортизационных отчислений от
стоимости ЭВМ, доли ед.;
Сзд - стоимость 1 м2 здания, р/м2;зд - площадь,
занимаемая ЭВМ, м2;
Нзд - норма амортизационных отчислений от
стоимости здания, доли ед.
Затраты на ремонт вычислим по формуле:
Тр = Кэвм × Ктрэвм
где Ктрэвм - коэффициент, учитывающий затраты на
ремонт ЭВМ.
Подставив данные из табл.4 в формулы получаем
затраты на амортизацию (А) и затраты на ремонт (Тр) соответственно.
А = 32000 × 0,2 + 12000 × 4
× 0,04 = 8320 руб.
Тр = 32000 × 0,05 = 1600 руб. (21)
Затраты на ремонт могут быть определены другим
способом, основой которого является составление сметы затрат на проведение
ремонта.
Затраты на электроэнергию, потребляемую ЭВМ за
год эксплуатации определяем по формуле:
Э = Ц × Тпол × N ×
Км
где Ц - цена за один кВт/ч электроэнергии, р.;-
потребляемая мощность, кВт ;
Км - коэффициент интенсивного использования
мощности вычислительной техники.
Подставив данные из табл.5.1 в формулу получаем
затраты на электроэнергию (Э).
Э = 1,2 × 2208 × 0,35 ×
0,7 = 649 руб. (23)
Затраты на материалы определяем по формуле :
,
где i - вид материала;
Цi - цена i-того материала, р.;
Мi - количество i-го материала.
Расчет затрат на материалы представлен в табл.
4.3.
Таблица 4.3. Перечень и стоимость материалов,
используемых для ЭВМ
|
Наименование
материала
|
Ед.
изм.
|
Количество
в год
|
Цена
за ед., руб.
|
Стоимость,
р.руб.
|
|
Упаковка
бумаги (500 листов)
|
шт.
|
5
|
120
|
600
|
|
Чистящий
набор для компьютера
|
шт.
|
1
|
150
|
150
|
|
Тонер
|
шт.
|
2
|
1000
|
2000
|
|
Итого
|
2750
|
В годовые эксплуатационные затраты по
обслуживанию ЭВМ входят также накладные расходы, которые рассчитываются по
формуле:
Нрэкс = 12 × Зо × (1 + Кд) × (1 + Кр) × Кнэкс,
где Кнэкс - коэффициент накладных расходов,
связанных с эксплуатацией ЭВМ.
Подставив данные из табл.4 в формулу получим
Нрэкс.
Нрэкс = 12 × 1000 × (1 + 0,5)
× (1 + 0,7) × 0,15 = 4590 руб. (26)экс =
12×1000×(1+0,5)×(1+0,7)×(1+0,26) + 8320 + 1600 + 1974,5
+ 2575 + 4590 = 56465 руб.(27)
Вычислим стоимость одного машино-часа (Смч),
подставив данные из табл.4 в формулу Смч = 56465 руб/2208 ч = 26 руб./ч.
Вычислим капитальные затраты на разработку
программного обеспечения Кпрог, по формуле и исходных данных табл.4
Кпрог=20000×0,5×(1+0,5)×(1+0,7)×(1+0,26)×(1+0,15)
+26×0,5×184=39302 руб
.3 атраты на изготовление, внедрение и
отладку системы
Затраты на основную заработную плату при
изготовлении устройства равны:
= Тм×Зо×(1+Кд) (1+Кр)×(1+Ксн),
где Зо - месячная зарплата изготовителя
устройства, р.;
Тм - трудоемкость изготовления устройства, чел
мес.0=1 × 20000×(1+0,5)
×(1+,0,7) ×(1+0,26)=46620 руб.
Учитывая коэффициент транспортных затрат
определим транспортные расходы по формуле:
Ртрп =Цоб × Ктрп
где Ктрп - коэффициент, системы учитывающий
транспортные расходы, доли ед.;
Цоб - сметная стоимость вводимой системы, руб.;
Для подсчета стоимости оборудования составим
таблицу 4.4.
Таблица 4.4. Смета затрат на материалы и
покупные комплектующие изделия
|
№
п/п
|
Наименование
|
Ед.изм
|
Колво
|
Цена
|
Полная
стоимость, руб. (без НДС)
|
|
1
|
Контроллер
|
шт.
|
6
|
186000
|
200000
|
|
2
|
Блок
бесперебойного питания SMART-UPS2200
|
шт.
|
7
|
7000
|
49000
|
|
3
|
РУК-304
|
шт.
|
7
|
4250
|
29750
|
|
4
|
ДТ-1
- Р -- 1
|
шт.
|
5
|
12600
|
63000
|
|
5
|
Метран
серии 5400
|
шт.
|
5
|
7320
|
36600
|
|
6
|
Метран
серии 8800
|
шт.
|
17
|
7450
|
26650
|
|
7
|
Метран-331
|
шт.
|
6
|
8180
|
49080
|
|
8
|
Альбатрос
ДУУ4-10-ТВ
|
шт.
|
6
|
14040
|
84240
|
|
9
|
Метран
100-ДИ
|
шт.
|
1
|
6710
|
6710
|
|
10
|
ТСМУ
Метран 205
|
шт.
|
5
|
1500
|
7500
|
|
11
|
Метран
100-ДД
|
шт.
|
5
|
9130
|
45650
|
|
12
|
Кабели
|
м.
|
20000
|
15
|
30000
|
|
13
|
СТМ-30
|
шт.
|
11
|
5500
|
60500
|
|
14
|
ВК-310-316
|
шт.
|
10
|
1370
|
13700
|
|
Итого
|
702380
|
Ртрп = 702380× 0,08= 25278,5 руб.
Стоимость монтажных и работ по формуле :
Рм = Цоб × Км ,
где Км - коэффициент,
наладочных учитывающий стоимость монтажных и наладочных работ, доли ед.
Рм = 702380× 0,18 = 126428,4 руб.
Накладные расходы, связанные с изготовлением и
отладкой проектируемой системы, рассчитаем по формуле :
Нризг = Тмон × Зраз × (1 + Кпр) × (1 + Кр) × Кнризг ,
Подставив данные в получаем накладные сумму
расходы (Нризг).
Нризг = 1 × 20000 × (1 + 0.5)
× (1 + 0.7) × 0.15 = 7650 руб.
Полученные результаты заносим в таблицу 4.5 и
находим общую сумму капитальных затрат на изготовление системы.
Таблица 4.5. Результирующая таблица для расчетов
по статьям калькуляции
|
№
п/п
|
Статьи
затрат
|
Затраты
на изготовление, руб
|
|
1
|
Материалы
и покупные комплектующие изделия
|
702380
|
|
2
|
Производственная
заработная плата
|
46620
|
|
3
|
Транспортные
расходы
|
56190,4
|
|
4
|
Накладные
расходы
|
7650
|
|
5
|
Монтажные
и наладочные работы
|
126428,4
|
|
Итого
|
939268
|
Итого:
К=Краз + Кпрог + Кизг = 110849+ 39302+ 939268=
1089419 руб.
Годовые эксплуатационные затраты в условиях
функционирования системы могут быть определены как сумма:
С = Сэл + Срем + Са
где Сэл - затраты на электроэнергию,
потребляемую системой, р.;зп - зарплата обслуживающего персонала с
начислениями, р.;рем - затраты на ремонт, р.;а - затраты на амортизацию, р.
Исходные данные для расчета представлены в
таблице 4.6.
Таблица 4.6. Исходные данные для расчета затрат
на эксплуатацию
|
Показатель
|
Значение
|
|
Мощность
потребляемая системой, Вт
|
250
|
|
Норма
амортизации системы, %
|
20
|
|
Годовой
фонд работы системы при выполнении задачи, ч
|
4380
|
Расчет годовых затрат на электроэнергию производим
по формуле:
эл = N × Цэл × Тзад × Кинт
где N - мощность, потребляемая системой, кВт;
Цэл - стоимость одного кВтч
электроэнергии, р.;
Тзад - годовой фонд работы системы при
выполнении задачи, час;
Кинт - коэффициент интенсивного использования
мощности оборудования.
Годовые затраты на электроэнергию действующего
варианта системы:
эл = 0,25 × 1,2 × 4380 ×
0,7 = 920 руб. (41)
Текущие затраты на ремонт системы находим по
формуле:
где Кобор - балансовая стоимость устройства, р.;
Кпр - норма отчислений на ремонт, %.пр = 702380
0,05 = 35119 руб.
Затраты на амортизацию оборудования находим по
формуле :
а = Кобор × На
где Кобор - балансовая стоимость системы, р.;
На - норма амортизационных отчислений, % .
Са = 702380 × 0,2 = 140476 руб.
Введение в работу новой системы позволяет
сократить 1 человека (снимается необходимость обслуживания системы слесарем
КИПиА).
Таблица 4.7. Исходные данные действующей и
проектируемой системы
|
Обслуживающий
персонал
|
Действующая
система
|
Проектируемая
система
|
Оклад,
руб.
|
Месячный
оклад персонала действующей системы, руб.
|
Месячный
оклад персонала проектируемой системы, руб.
|
|
Мастер
|
1
|
1
|
12000
|
12000
|
12000
|
|
Слесарь
КИПиА
|
6
|
5
|
10000
|
60000
|
50000
|
|
Инженер
|
3
|
3
|
13000
|
39000
|
39000
|
|
Руководитель
группы
|
1
|
1
|
14000
|
14000
|
14000
|
|
Итого
|
1110125000115000
|
|
|
|
|
Сокращение персонала влечёт за собой сокращение
расходов на заработную плату:
э = 12 × 25000 × (1+0,5)
× (1+0,7) × (1+0,26) = 963900 руб.
Для полного расчета годовых эксплуатационных
затрат в условиях функционирования системы нужно подставим полученные значения
в формулу :
С = 705,18+ 35119 + 140476 руб.= 176515 руб.
Экономия составляет: Э=
Cэ-С=963900-176515=787385 руб.
Показатели эффективности проекта приведены в
таблице 4.8.
Таблица 4.8. Показатели эффективности проекта
|
Показатель
|
2014
|
2015
|
2016
|
|
Единовременные
затраты в проекте, руб.
|
1089420
|
-
|
-
|
-
|
787385
|
787385
|
|
Амортизационные
отчисления, руб. (20%)
|
-
|
217884
|
217884
|
|
Налог
на имущество, руб. (2,2%)
|
-
|
4793
|
0,00
|
|
Налог
на прибыль, руб (20%)
|
-
|
156518
|
157477
|
|
Чистый
доход, руб.
|
-1089420
|
40190
|
412024
|
|
Коэффициент
дисконтирования (Е=10,6%)
|
1
|
0,668
|
0,604
|
|
Накопленный
чистый дисконтированный доход, руб.
|
-1089420
|
168351
|
417322
|
Точка пересечения линии ЧДДН и оси абсцисс
позволяет определить период окупаемости единовременных затрат. При вложении
собственных средств предприятия в реализацию проекта срок окупаемости составит
- 3,4 года.
Рисунок. 4.1. Определение срока окупаемости проекта
Рентабельность составляет:
R = (НЧДД + К) × 100 / К,
R = (417322+ 1089420) × 100/ 1089420= 138 %
Для построения кривой зависимости текущей
дисконтированной стоимости и коэффициента эффективности капитальных вложений
зададимся несколькими значениями Ен, рассчитаем для них т , определим
НЧДД и по полученным точкам построим кривую. Расчет необходимых показателей
приведен в таблице 4.9.
Таблица 4.9. Данные для построения графика
текущей дисконтированной стоимости
|
Ен,
%
|
ЧДДН,
тыс. р
|
|
10
|
441
|
|
20
|
116
|
|
30
|
-109
|
На рисунке 4.2 точка пересечения НЧДД с
горизонтальной осью показывает значение ВНД. Она составляет 25%.
Рисунок. 4.2. Зависимость ЧДДН от нормы дисконта
Это значит, что при финансировании проекта
автоматизации производства за счет заемных средств (т.е. с привлечением
банковского кредита) реализация этого проекта целесообразна при ставке за
кредит не больше 25%.
При большей ставке ЧДДН<0, то реализация
проекта будет убыточной.
Для выявления устойчивости проекта к риску,
проведем анализ чувствительности. В результате экспертной оценки было выявлено,
что наиболее нестабильными параметрами, влияющими на эффективность проекта
являются:
· капитальные затраты [-20%; +20%];
· экономия эксплуатационных затрат [-10%; +20%];
· налоги [-20%;
+20%].
Для построения прямой, отображающей зависимость
ЧДДпр от изменения параметра, достаточно двух точек. Пересчет показателя
эффективности осуществляется для крайних значений вариации фактора. Данные для
построения диаграммы "паук" представлены в таблице 4.10.
Таблица 4.10. Данные для оценки чувствительности
проекта к риску
|
Параметр
|
Изменение
параметра
|
ЧДДпр,
тыс. руб.
|
|
Капитальные
затраты
|
-20%
|
804
|
|
0
|
417
|
|
+20%
|
30
|
|
Экономия
эксплуатационных затрат
|
-10%
|
182
|
|
0
|
417
|
|
+20%
|
888
|
|
Налоги
|
-20%
|
533
|
|
0
|
417
|
|
+20%
|
301
|
По данным таблицы 4.10 построим диаграмму
чувствительности, отображающую зависимость ЧДДпр от изменения указанных
параметров. Диаграмма представлена на рисунке 4.3.
Рисунок 4.3. Диаграмма чувствительности проекта
Степень чувствительности проекта к изменению
того или иного параметра определяется углом наклона прямой к оси абсцисс.
Рассматриваемый проект наиболее чувствителен к изменению капитальных затрат и
экономии эксплуатационных затрат. Наименьшее влияние на значение ЧДДпр окажет
изменение налоговых отчислений.
Изменения ЧДД при заданной вариации параметров
находятся в положительной области, поэтому проект не имеет риска.
.4 Выводы по разделу
На основании полученных данных экономического
расчета дипломного проекта можно сделать следующие выводы:
· экономия
эксплуатационных затрат равна 963900 руб. ежегодно;
· период возврата
капитальных вложений составит 3,4 года;
· внутренняя норма
доходности 25%.
Основные экономические показатели сведены в
таблицу 4.11.
Таблица 4.11. Обобщающие показатели
экономической эффективности проекта
|
Показатель
|
Величина
|
|
Единовременные
затраты, руб.
|
1089420
|
|
Экономия
эксплуатационных затрат, руб.
|
963
900
|
|
Накопленный
чистый дисконтированный доход, руб.
|
417322
|
|
Рентабельность,
%
|
138
|
|
Срок
окупаемости, годы
|
3,4
|
|
Внутренняя
норма доходности, %
|
25
|
4.5 Безопасность и экологичность проекта
Базовой основой абсолютно любого производства
признан технологический процесс, представляющий собою комплекс производственных
взаимоотношений, провоцирующий к поочередным изменениям характеристик и
параметров сырья, в результате чего появляется продукция с предварительно
установленными свойствами. Из определенного технологического процесса следуют
реальные требования к каждому сотруднику производства. Они прописываются в
технологическом регламенте - документе, являющемся главным из технологических.
Строгое выполнение технологического распорядка призвано гарантировать высокую
производительность, безопасность промышленных устройств, здоровые критерии
труда обслуживающего персонала. Несоблюдение требований эксплуатации устройств,
превышение показателей технологического режима может привести к крайне тяжелым
последствиям, среди которых могут быть и вовсе печальные, такие как пожары и
даже взрывы.
При неукоснительном исполнении всех руководств
по технике безопасности, противопожарным мероприятиям, возможно избежать
подобных угроз и опасностей на паровой котельной.
Во время научно-технического прогресса, быстро
развивающегося производства, освоения новых и альтернативных разработок и
технологий, увеличение влияния и социальной значимости человека на производстве
и необходимости безопасности труда, проблема безопасности жизнедеятельности
становится особо актуальной.
При эксплуатации основного и вспомогательного
оборудования в котельной возникают различные, опасные и вредные
производственные факторы (далее-ОВПФ), которые могут вызвать у человека
различные заболевания, создать травмоопасные и аварийные ситуации.
В соответствии с ГОСТ 12.0.002 - 80 «ССБТ.
Опасные и вредные производственные факторы» и Р 2.2.2006-05 «Руководство по
гигиенической оценке факторов рабочей среды и трудового процесса. Критерии и
классификация условий труда» в помещении, в котором установлено основное и
вспомогательное котельное оборудование, вредными производственными факторами
для оперативного персонала, являются:
. Физические факторы:
· повышенная температура поверхностей
трубопроводов пара и горячей воды;
· повышенная температура воздуха в
котельном зале, вызванная теплопередачей от работающего оборудования;
· низкая влажность воздуха (до 37 %);
· повышенный уровень шума (гидроудары,
срабатывание сбросных клапанов, движение топочных газов и воздуха в трубах с
большой скоростью, шум работы насосного, горелочного и водоподготовительного
оборудования);
· общая вибрация (при работе
котло-агрегатов и насосов);
.Химические факторы:
· окислы азотов;
· окись углерода;
· химические реагенты для повышения рН
и удаления остаточного кислорода;
· метан.
Концентрация ПДК, зависящая от содержания
вредных веществ в воздухе рабочей зоны не должна превышать предельно допустимых
норм.
По содержанию загрязняющих веществ, территория
котельной относится:
· к 3 классу опасности, по которому
классифицируется предельно допустимая концентрация (ПДК) оксида азота в
атмосфере рабочей зоны - 1,1-10 мг/м 3 .;
· к 4 классу опасности, по которому
классифицируется предельно допустимая концентрация ПДК оксид углерода в воздухе
рабочей зоны - более 10 мг/м 3 .;
Возможными последствиями химических факторов
могут быть:
· раздражение глаз, дыхательного
тракта и кожи в результате контакта с реагентами и его производными,
используемыми в качестве добавок к воде в котлах. Продолжительный контакт может
вызвать временную слепоту ;
· раздражение верхних дыхательных
путей и кашель в результате вдыхания оксида серы, особенно при сжигании
горючего с высоким содержанием серы.
· пневмокониозы от пыли при работе с
изоляционным асбестом при обслуживании и ремонтных работах с вдыхаемым с
воздухом, контакта с содержащей ванадий пылью.
· дерматозы от контакта с реагентами и
щелочами, вводимыми в теплоноситель для приведения к нормам качества воды.
.Психические и физиологические факторы:
· сложность, трудоемкость
технологического процесса (физические - динамическая и статическая нагрузки);
· напряженность труда
(интеллектуальные, эмоциональные).
Для повышения комфорта и улучшения условий труда,
запроектирована автоматизация и визуализация работы оборудования. Рабочее место
операторов оборудовано кондиционером.
Возможные аварийные ситуации:
. Разрывы котлов и барабанов вследствие
перегревания, или повышенного давления, неисправности основных механизмов из-за
усталости металла, приводящие к пожарам, летящим обломкам и травмам от взрывной
волны, возникновения огня, ожоги паром, и т. д. (ПБ 10-574-03).
В случае разрушения котлов, сосудов, и другого
оборудования, находящегося под давлением, опасным источником разрушения
является не пар, содержащийся в паровом пространстве, а насыщенная вода,
которая при контакте с атмосферой мгновенно превращается в пар. Перегрев воды
зависит от давления, что влечет повышение температуры кипения. При давлении 0,5
МПа эта температура соответствует 151,1°С.
. Взрывы газо-воздушной смеси (особенно при
утечках газа); горение оксида углерода в виде сажи; взрывы газо-воздушной смеси
вследствие нарушения герметичности газопровода и других не плотностей в системе
газораспределения и газопотребления.
Возможные последствия:
· утечка газа и загазованность
атмосферы в помещении, образование взрывоопасных концентраций газо-воздушной
смеси;
· отравление операторов и другого
персонала;
· возгорание газовой смеси и
возникновение пожара;
· взрыв газо-воздушной смеси.
Действия обслуживающего персонала:
· отключить с пульта электромагнитный
отсечной газовый клапан;
· закрыть вентили и краны;
· включить вытяжной вентилятор;
· предотвратить доступ газо-воздушной
смеси из помещения котельной в топки и газоходы с целью предотвращения взрыва
газо-воздушной смеси в топках котлов и газоходах, (закрыть шиберы газохода);
· вызвать ответственного за
эксплуатацию, сообщить МЧС (профессиональная аварийно-спасательная служба, с
которой заключен договор);
· не допускать посторонних лиц в
котельную. При воспламенении газо- воздушной смеси вызвать пожарную команду по
тел.01;
· не применять открытый огонь;
· отобразить время остановки
оборудования и механизмов в оперативном журнале;
· если есть пострадавшие среди
обслуживающего персонала, необходимо вызвать скорую помощь по тел.03;
. Нарушение герметичности системы
газораспределения до входной задвижки.
Возможные последствия:
· утечка газа и загазованность
котельного зала;
· отравление обслуживающего персонала;
· скопление взрывоопасной концентрации
газо-воздушной смеси;
· воспламенение газа, возникновение
очага пожара;
· взрыв газо-воздушной смеси в
котельном зале.
Действия персонала:
· с помощью отсечного
электромагнитного клапана на ГРУ прекратить подачу газа к котлам;
· закрыть вентили и краны;
· закрыть задвижку вводного
газопровода на фасаде котельной и все последующие задвижки по ходу движения
газа до котлов, открыть краны продувочных свечей;
· включить вытяжной вентилятор
(открыть окна, двери);
· закрыть доступ газо-воздушной смеси
из помещения котельной в топки и газоходы с целью предотвращения взрыва
газо-воздушной смеси в топках или газоходах;
· вызвать ответственного за
эксплуатацию;
· не допускать посторонних лиц в
котельную;
· не применять открытый огонь;
· при возгорании газовой смеси вызвать
пожарную команду по тел.01, принять меры по тушению пожара;
· время остановки котельной
зарегистрировать в журнале;
· если обслуживающий персонал
чувствует себя плохо, то необходимо вызвать скорую помощь по тел.03;
· если произошел взрыв газо-воздушной
смеси в топке котла, персонал
· котельной должен полностью отключить
котельную от газоснабжения по Правилам аварийной остановки котельной, вызвать
ответственное лицо, сообщить оперативному дежурному МЧС.
. Пожар вблизи или непосредственно в самой
котельной.
Возможные последствия:
· возможные ожоги обслуживающего
персонала.
Действия персонала:
· перекрыть подачу газа к котлам с
помощью отсечного электромагнитного клапана в ГРУ;
· закрыть задвижку на вводе вне котельной
и все последующие задвижки по ходу газа до котлов, открыть краны продувочных
свечей.
. Закрыть запорные устройства до котлов, открыть
краны продувочных свечей;
· вызвать пожарную команду по тел.01,
вызвать ответственное лицо;
· приступить к ликвидации пожара
имеющимися средствами пожарной защиты. Действия ответственного лица;
· принять участие в тушении пожара;
· оказать обслуживающему персоналу
первую помощь, при надобности вызвать скорую помощь по тел.03;
· после устранения последствий пожара
вызвать представителей газового участка для пуска и розжига котлов.
. Взрыв газо-воздушной смеси в котельной (при
концентрации СН 4 от 5 до 16 %).
Действия персонала:
· полностью отключить котельную от
газоснабжения по Правилам аварийной остановки котельной;
· вызвать оперативные службы,
ответственное лицо и сообщить оперативному дежурному МЧС.
Обеспечение безопасности технологических
процессов и производств
Травмоопасность.
Высокая травмоопасность связана с расположением
на высоте некоторых элементов управления оборудованием и элементов требующих
технического контроля и обслуживания.
Согласно приказу №116 от 25.03.2014г. об
утверждении Федеральных норм и правил в области промышленной безопасности
паровые котлы относятся к оборудованию, работающему под избыточным давлением
более 0,07 Мпа и должны регистрироваться в органах Ростехнадзора.
Особое внимание уделяется механической прочности
оборудования, которая обеспечивается средствами разрушающего и неразрушающего
контроля качества сварных швов и гидравлических испытаний.
При эксплуатации котла, для исключения
коррозионного разрушения элементов котла, путем удаления агрессивных газов,
растворенного кислорода и углекислого газа из питательной воды, для чего ее
подвергают деаэрации.
Все трубопроводы имеют в нижних точках
конденсатоотводчики и дренажные устройства.
Приказом по организации назначаются лица,
ответственные за содержание и безопасную эксплуатацию паровых котлов.
Администрация предприятий должна обеспечить подготовку квалифицированных кадров
для обслуживания котлов путем обучения их на специальных курсах.
В соответствие с приказом № 551н от 17.08.2015г.
об утверждении «Правил по охране труда при эксплуатации тепловых
энергоустановок» к обслуживанию котлов допускаются лица не моложе 18 лет,
прошедшие медицинское освидетельствование, обученные по соответствующей
программе и имеющие удостоверение квалификационной комиссии учреждения. Эти
лица не реже одного раза в 12 месяцев, а также при переходе с одного
предприятия на другое или перед допуском к обслуживанию других котлов проходят
переаттестацию.
Для обеспечения безопасности обслуживающего
персонала котельной предусмотрены следующие защитные устройства:
· манометр, показывающий давление пара
и горячей воды;
· указательные приборы для наблюдения
за уровнем воды;
· электрофицированнаяводозапорная
арматура для регулирования расхода воды на котел;
· манометр, показывающий давление
насыщенного пара;
· спускные и продувочные вентили;
· воздушные клапана для удаления
воздуха из котла;
· предохранительные клапана для сброса
избыточного давления.
Трубопроводы пара и горячей воды являются
источником опасности для обслуживающего персонала, вследствие высокой
температуры на поверхностях.
Для предотвращения термических травм, необходимо
следить за состоянием фланцевых соединений и тепловой изоляции, а персонал
должен использовать в рабочее время спецодежду и средства индивидуальной
защиты. Необходимо минимизировать время нахождения работающих возле
травмоопасных мест.
Сигнальные цвета и знаки безопасности
предназначены для привлечения внимания работающих и их предупреждения о
непосредственной опасности.
На пульте управления красным сигнальным цветом
обозначены рукоятки отключающих устройств, механизмов, рукоятки аварийного
останова котла, а также сигнальные лампы, извещающие о нарушении
технологического процесса.
Жёлтым цветом обозначены постоянные и временные
ограждения или элементы ограждения, устанавливаемые на границе опасных зон;
подъёмно-транспортное оборудование. Синий сигнальный цвет применяется для
предписывающих знаков.
Зелёный сигнальный цвет применяется на пульте
для световых табло, сигнальных ламп, извещающих о нормальном режиме работы.
Трубопроводы и паропроводы котельной окрашены
согласно ГОСТу 12.4.026 - 2001. «ССБТ. Цвета сигнальные и знаки безопасности».
) Воздух - синий
) Вода - зеленый
Отключающие, аварийные, открытые токоведущие
части оборудования обозначены красным цветом.
Помещение котельной, согласно СНиП 23-05-95*
«Естественное и искусственное освещение» должно быть освещено таким образом,
чтобы гарантировать возможность правильного и безопасного обслуживания котлов.
В здании котельной предусмотрено совместное
освещение. Естественное боковое освещение обеспечивается за счет оконных
проемов.
Кроме рабочего освещения предусмотрено аварийное
освещение зон работ от самостоятельного источника питания электроэнергии,
независимое от общей электроосветительной сети котельной, которое должно
обеспечить работу котельной в случаях перебоев с электроэнергией.
В котельной предусмотрена защита оборудования,
сигнализация, автоматическое регулирование и контроль параметров при
эксплуатации.
Котёл должен быть немедленно остановлен и
отключен действием защит или персоналом вручную при отказе в работе защитных
средств в следующих случаях:
· повышение давления пара вкотле;
· понижение уровня воды в котле;
· сигнал неисправности горелочного
устройства;
· обнаружение какого-либо нарушения
целостности элементов котла.
Анализ опасных и вредных
производственных факторов
Мероприятия, проводимые для целей поддержании
безопасности труда, в обязательном порядке должны учитываться еще на стадии
проектирования и при вводе в эксплуатацию объектов и устройств системы.
Инновация системы требуется для целей снижения
оператора и для целей оперативного уведомления об аварийных моментах. Контролирование
показаний выполняется посредством 3 компьютеров.
Вредные условия, оказывающие воздействие
организм человека при работе с компьютером;
· заметное мерцание и излучение
экрана;
· недостаточность
контрастности и четкость экрана;
· непрерывная подстройка зрения глаз
при просмотре экранов разных параметров;
· недостаточное освещение места
работы, или его неравномерность;
· неблагоприятные
факторы микроклимата;
· не учитываются
эргономичные параметры обустройства рабочего места;
· не обеспечен нормативный уровень
шума;
· опасность пожарных ЧП;
· неравномерная яркость рабочей и
окружающих поверхностей.
.Организация рабочего места
Для целей оптимального пользователя с процессом
существенная роль принадлежит процедурам, которые совершенствуют рабочее место
диспетчера.
При обустройстве рабочего места в первую очередь
нужно учитывать такие факторы:
· Формирование качественной связи
между оператором и устройствами;
· Важно наличие свободного места;
· Рабочее место самым удобным способом
расположено в помещении, а кроме того удобные проходы для сотрудников;
· Обеспечение нужными средствами
защиты сотрудников от вероятный опасных и вредных условий (физических,
психологических, биологических и психофизиологических);
· Обеспечены мероприятия, для снижения
переутомления сотрудника, а также для снижения возможности возникновения
стресса;
· Организация дополнительного
источника освещения;
· Организация вытяжной и
шумопоглащающей вентиляции;
· Операторская должна быть на
расстоянии от помещений с повышенным уровнем шума и вибрации.
При создании рабочего места диспетчера очень
важно соблюдать нормы всех составляющих рабочего места и их оптимального
местанахождения в соответствии с эргономическими параметрами с учетом
особенностей функций сотрудника, комплектования технических устройств,
конфигураций организации труда и основного месторасположения сотрудника.
Конструкция самого рабочего стола должна
способствовать эргономичному расположению на рабочей поверхности необходимых
устройств в соответствии с их параметрами, характера производимой работы.
Параметры высоты рабочей поверхности стола для
сотрудников должна регулироваться и соответствовать границам норм 70-80 (дм). В
ситуациях, когда это невозможно, стандартная высота рабочей поверхности стола,
как правило, должна быть 72,5 (дм).
Под рабочим столом должно быть нужное место для
расположения ног сотрудников высотой не меньше 0,6 мм, а шириной как минимум
0,5 м, глубиной на высоте колен - как минимум 0,45 м и на уровне вытянутых ног
- минимум 0,65 м.
Форма и характеристики рабочего стула должны
поддерживать оптимальную позу сотрудника при работе на компьютере, обеспечивать
перемену позиции для уменьшения статического напряжения мышц спины и
шейно-плечевого отдела для снижения риска переутомления.
Конфигурация рабочего стула в обязательном
порядке учитывать параметры, функции и время работы на компьютере, при этом еще
и учитывать роста сотрудника. Лучше использовать с подъемно-поворотным
механизмом с регулировкой в соответствии с ростом и характеристикам наклона
сиденья и спинки, а также параметрам спинки, при этом регулирование любого
параметра должна быть легкой и с надежной фиксацию.
Сама поверхность сиденья, спинки и иных
составляющих стула желательно, чтобы была полумягкой, нескользской, не
статической и обеспечивать воздухообмен, и в то же время достаточно легко
очищаться.
Непосредственно экран компьютерного монитора
иметь расстояние до глаз сотрудника на положенном нормами отдалении 6-7 дм, но
меньше 5 дм при учете самого размера знаков на изображении монитора.
Для целей внутреннего обустройства интерьера
комнат с компьютерами в обязательном порядке должны применяться
диффузионно-отражающие материалы с значением коэффициента отражения от потолка
- 0,6-0,7; для стен - 0,4-0,5; для пола - 0,3; для иных отражающих поверхностей
в рабочей мебели 0,3-0,4. Полимерные материалы, применяемые для внутреннего
оформления помещений с компьютерами в обязательном порядке подлежат
согласованию с целью использования органами и учреждениями Государственного
санитарно-эпидемиологического надзора.
Микроклимат
Работа в котельной требует от оператора
предельной концентрации и мобилизации физических сил. Какими факторами
обусловлены данные требования? Основным фактором можно назвать особенный
микроклимат рабочей зоны оператора. Основными характеристиками микроклимата
котельной необходимо назвать высокую температуру воздуха в помещении,
пониженную влажность воздуха, тепловое облучение, скорость движения воздуха.
Согласно требований нормативных документов по
охране труда оптимальной температурой в помещении принято считать температуру
от +21 до +23 градусов. При этой температуре жизненные процессы в человеческом
организме происходят в обычном режиме, без каких-либо нарушений . Допустимой
температурой необходимо считать показатель до 26 градусов тепла ( в некоторых
случаях- до 28 градусов ). По самому термину "допустимая" можно с
легкостью понять, что этот температурный показатель является нежелательным, но
при этом такая температура в исключительных случаях допускается. Какие
последствия может иметь нарушение температурных показателей? Во-первых , при
постоянном пребывании человека в помещении с очень повышенной температурой
возможен тепловой удар, ослабление скорости реакции головного мозга, проявление
симптомов отравления, головокружение, обмороки и другие нежелательные
последствия, которые могут привести к травмам или к угрозе потери жизни.
Фактор влажности по своей важности в оптимальном
микроклимате в котельной, да и в любом другом помещении, занимает то же
определяющее место, что и фактор температурный. Существует один неписанный
закон, не указанный ни в одном из нормативных документов: влажность в котельной
должна быть такой, как и в жилых помещениях. Это требование выполнить довольно
легко, потому что для нормализации влажности достаточно исправно работающий
системы вентиляции. Если обратить внимание на цифры, то документы по поводу
влажности в помещениях котельной говорят такое: допустимая влажность составляет
от 15 до 75 %, оптимальной для организма оператора специалисты считают
влажность от 40 до 60 %. Какими могут быть последствия нарушения этих норм? При
высокой влажности возможен перегрев организма из-за нарушения процесса
теплоотдачи. Также специалисты выделяют такие возможные последствия как
снижение иммунитета и угроза развития заболеваний почек, туберкулеза и т.д. При
низкой влажности могут быть такие последствия как носовое кровотечение.
Оператор котельной в процессе работы постоянно
подвергается тепловому облучению. В следствие чего это происходит? Для того,
чтобы в наших квартирах зимой в лютые морозы было достаточно тепло и комфортно,
котельная должна работать интенсивно. Если котлы будут работать на полную
мощность, то естественно, они будут прилично нагреваться. Согласно требованиям
безопасности, приборы, выделяющие тепловую энергию, должны быть оснащены
теплоизоляцией. Она по идее и в идеале максимально удерживает тепло от
попадания в воздух котельной. Но никакая теплоизоляция не может удержать все
тепло. Медики подчеркивают, что человек нормально выдерживает облучение в
эквиваленте 350 Вт/м2 . При более высоком облучении ( до 1000 Вт) повышается
температура кожи и человек может ощущать легкое жжение на коже, будто после
нескольких часов на солнце во время пребывания на пляже в августе. При более
высоком тепловом облучении резко увеличивается частота пульса. Частое
облучение, которое приводит к увеличению частоты пульса, может иметь плохие
последствия: возникновение или обострение сердечных заболеваний, инфаркт,
инсульт. Если человек получил облучение тепловом в размере свыше 3500 ват/квадр.
метр- значительные ожоги ему гарантированы.
Ну и последним определяющим фактором
микроклимата в котельной назовем скорость движения воздуха в котельной. Принято
считать, что в помещении ( а котельная - не исключение) оптимальной будет
скорость воздуха 0,2 м/с , а допустимая- от 0,1 до 0,3 м/с. Тут и без
объяснения все понятно. Когда начинается быстрое движение воздуха- это тоже
вредный процесс. Что может быть причиной? Скорее всего, сквозняк. А это же
плохо для человека?! Конечно! Может заболеть голова, ухо, бок или еще что-то.
Может внезапно возникнуть насморк, простуда. Вообщем, симптомы знакомы всем и
каждому.
Едино верным способом борьбы со всеми
вышеперечисленными явлениями есть правильная вентиляция помещения котельной.
Система вентиляции в котельной служит для
удаления избытков тепла и соблюдения чистоты в помещении. Отмечают
необходимость двух видов вентиляции: вытяжной и приточной. Главная функция
первой- она должна обеспечить минимум трехкратный обмен воздуха в час. Для
безопасности здоровья оператора, да и для оборудования тоже , это очень важно.
Почему? Из помещения будет удаляться горячий воздух, который мог навредить
здоровью оператора или сбить четкий процесс функционирования оборудования и
всей системы. в целом. А что же делает приточная вентиляция? Во-первых, она
комплексно взаимосвязана с вытяжной. В процессе своей работы она обеспечивает
поступление в помещение воздуха в том объеме, который вышел из котельной через
вытяжку плюс она также обеспечивает воздух для сгорания топлива в котлах.
Конечно, желательно обеспечить в помещении
природную вентиляцию (вытяжные трубы, форточки). Но это не во всех помещениях
возможно из-за их технологических идли архитектурных особенностей. Для
обеспечения вентиляции этих помещений используются промышленные кондиционеры .
Также в котельных используются тягодутьевые вентиляторы. Они фактически
выполняют функции вытяжки и подачи воздуха в котлы.
Работа такого рода объектов должна быть
максимально безопасной, поэтому необходим постоянный контроль за микроклиматом
в помещении. Это одна из главных задач оператора, потому что в первую очередь
он несет ответственность за работу системы.
Соблюдение всех норм- гарантия безопасности
окружающей среды и максимально низкого воздействия системы котлов на здоровье
оператора.
В служебном помещении в обязательном порядке
нужно поддерживать оптимальные метеорологические параметры производственной
среды (микроклимат). Сюда относятся: параметры влажность и температуры воздуха,
его скорость перемещения. Согласно ГОСТ 30494-96 оптимальные параметры в
холодный и переходный период года:
· Оптимальная влажность воздуха -
60-40 %;
· Значение температуры воздуха - 22-24
°С;
· Допустимая скорость движения воздуха
- 0,1 м/с.
Температура может изменяться в границах 21- 25
°С при условии соблюдения других характеристик микроклимата в выше
перечисленных параметрах.
Допустимые параметры в теплый период года:
· Значение температуры воздуха - 23-25
°С;
· Оптимальная влажность воздуха -
60-40 %;
· Оптимальная скорость движения
воздуха - 0,1-0,2 м/с.
Температура может изменяться в границах 21- 25
°С при условии соблюдения других характеристик микроклимата в выше
перечисленных параметрах.
В помещениях с излишком повышенных температурных
условий важно использовать регулировку поступления теплоносителя для обеспечения
требуемых характеристик микроклимата. В качестве нагревательных устройств в
машинных залах ЭВМ и хранилищах баз данных важно использовать панели лучистого
отопления либо регистры из гладких труб.
Освещение
Для оптимального освещения помещения, в котором
непосредственно трудится, применяется разнородное освещение, т.е.
комбинирование естественного и искусственного освещения.
Естественное освещение происходит само по себе
посредством окон во внешних стенах помещения.
Искусственное освещение применяется в ситуации,
когда естественного освещения недостает и реализуется с использованием 2
систем: местного и общего освещения. Местное - освещение, специально созданное
для конкретного рабочего места. Общее создается единым освещением светильниками
всей территории помещения.
Для помещения, где непосредственно располагается
рабочее место диспетчера, применяется модель общего освещения.
Нормативами согласно СНиП 23-05-95 для такого
вида работ определены требования к освещению рабочего места ЕН=200 лк (для работ
средней точности, в случае когда минимальный объекта различения в границах 0.5
- 1.0 мм).
Расчёт модели освещения выполняется с помощью
коэффициента использования светового потока, отражающего отношением светового
потока, попадающего на расчётную поверхность, к суммарному потоку всего числа
ламп. Его величина зависит от характеристик светильника, размеров помещения,
окраски стен и потолка, характеризуемой коэффициентами отражения стен и
потолка.
Основная формула для расчетов имеет вид:
F
где:
-
нормируемая освещенность, лк;
- коэффициент
запаса;
- освещаемая
площадь,
;
- коэффициент
неравномерности освещения;
- число ламп в
светильнике;
- число
светильников;
- коэффициент
использования светового потока.
При классе и подклассе зрительной работы 4В
=200
лк, для газоразрядных светильников
=1,5,
=60
,
для люминесцентных ламп
=1,1,
=2,
=6.
Находим индекс помещения:
где:
-
длина, ширина, высота подвеса светильников над рабочей поверхностью.
Для данных условий
.
Коэффициент отражения потолка
принимаем
70 %.
Коэффициент отражения стен
принимаем
50 %.
Для освещения операторной предположительно
возьмем потолочные светильники типа ЦНИПС-ОД-9, каждый с диффузно рассеивающим
отражателем и с двумя люминесцентными лампами.
В соответствии с полученными значениями выбираем
коэффициент использования светового потока (для светильников, снабженных люминесцентными
лампами)
%.
F
В данном случае подходят люминесцентные лампы ЛБ
40. Ее характеристики:
мощность 40 Вт;
световой поток 3000 лм;
световая отдача 75 лм/Вт.
Шум в производственных
помещениях
Максимально допустимые параметры звукового давления
для самых стандартных видов трудовой деятельности и рабочих мест определены в
СН 2.2.4/2.1.8.562-96. Для работы с большим числом принимаемых предписаний и
звуковыми сигналами, деятельности связанной непрерывным слуховым
контролированием, операторской работы по конкретному графику, в помещениях
просмотра и дистанционного регулирования степень эквивалентного звука не должен
быть выше 65 дБА.
Уменьшение уровня шума, который возникает на
рабочем месте внешними источниками, а кроме того уровня шума снаружи
организуется такими способами методами:
· грамотной планировкой помещения;
· снижение уровня шума в источнике;
· снижение уровня шума по всему пути
его следования.
Рекомендуется применять оборудование с
минимальным уровнем шума. Уменьшение уровня шума в источнике его формирования
целесообразно сократить и использованием перегородок и противошумных панелей.
Допустимо применение амортизирующих прокладок (подкладки под принтеры,
ксероксы, мебели). Главным для уменьшения шума в ходе использования считается оптимальное
и актуальное регулирование, смазывание либо смены механических узлов шумящего
устройства. Эргономичная планировка помещения, расположение устройств - главное
условие, дающее возможность уменьшение шума при имеющемся техническом оснащении
ЭВМ.
Электробезопасность
Электробезопасность - это система
организационных и технических мероприятий, направленных на защиту персонала от
поражения электрическим током, на всех режимах работы.
Правила по охране труда при эксплуатации
электроустановок утверждены приказом Министерства труда и социальной защиты
Российской Федерации от 24 июля 2013 года № 328н.
Источником поражения электрическим током служат
распределительные устройства и электро-приемники котельной.
Технические мероприятия по обеспечению
электрозащиты персонала котельной, включают в себя:
· заземление и зануление;
· применение защитных средств,
отключающих напряжение при отклонение параметров от номинальных, тепловые реле,
дифференциальные автоматические выключатели, использование негорючей
электропроводки в многослойной изоляции.
Схема автоматизации и электроснабжения исключает
контакт эксплуатационного персонала с элементами, представляющими опасность
поражения электрическим током. Доступ в шкафы электроснабжения имеют
специалисты проводящие регламентные работы и имеющие соответствующую группу
допуска. Организационные мероприятия включают в себя выбор оптимальных режимов
работы персонала по обслуживанию электроустановок, минимизация мест и времени
пребывания персонала в зоне воздействия электрического тока.
Опасное и вредное воздействие на людей
электрического тока проявляется в виде электротравм и профзаболеваний.
Для предотвращения поражения электрическим током
при прикосновении к металлическим нетоковедущим частям, которые могут оказаться
под напряжением в результате повреждения изоляции, используется двойное
заземление электроустановок. Первичное заземление через одну из жил кабелей,
подключаемых к источникам питания, вторичное заземление в виде соединения
многожильным проводом металлических корпусов всего вспомогательного и основного
котельного оборудования к стальной шине смонтированной по периметру помещения.
В качестве индивидуальных средств защиты от
электрического тока применяются экранирующие комплекты (костюмы, перчатки,
обувь), диэлектрические коврики, подставки.
К коллективным методам защиты относятся плакаты,
ограждения и знаки безопасности, установленные на всех электроустановках в
котельной.
Паровая котельная относится к третьему классу
помещения по электроопасности, т.е. это помещение без повышенной опасности.
Электрооборудование котельной обеспечивается
питанием напрямую от сетей, имеющих напряжение 6 кВ либо посредством понижающих
трансформаторов с номинальным напряжением во вторичной обмотке 400 В либо 525
В. Для этого для производства применяется электрооборудование как низкого (до
1000 В), так и высокого напряжения (более 1000 В).
Для целей сохранения электробезопасности во
время работы с компьютерной техникой целесообразно осуществлять
предупредительные мероприятия по электробезопасности. К ним надлежит причислить
инструктаж, обучение, экзамен по технике безопасности, грамотная планировка
места и режима труда, использование защитных средств, предупреждающих вывесок и
сигнализации, подбор сотрудников с учетом профессиональных характеристик и т.д.
При функционировании электрооборудования в
обязательном порядке нужно учитывать требования:
· допуск к работе на электроустановках
в обязательном порядке должны иметь сотрудники, которые прошли инструктаж с
обязательно сдали экзамен по технике безопасности, получившие III группу по ТБ,
с возможностью использования в конкретных ситуациях и согласно типу работы
средств индивидуальной защиты. Решение о допуске принимает сотрудник из
управленческого персонала, на котором лежат полномочия и ответственность за
электробезопасность в конкретном отделе, с квалификационной группой не ниже IV;
· в лабораториях
(отделе) возможна установка электроприборов лишь в закрытом виде;
· обязательно ограждение токоведущих
элементов электрооборудования. С целью предотвращения вероятности прикасаний
голые и изолированные токоведущие элементы прикрываются постоянно или временно
с помощью ограждений.
· при ремонте или
монтаже электрооборудования в строгом порядке нужно пользоваться инструментами
лишь с изолированными ручками;
· электрические провода в обязательном
порядке должны устанавливаться лишь при соблюдении норм ПУЭ. При монтажных
работах с проводами важно обратить отдельное внимание качеству и надежности
соединений;
· важно осуществлять контролирование
изоляции электропроводки не менее одного раза за полгода. Проверка изоляции
должна включать замеры ее сопротивлений, они не должны быть больше нормативов;
· электрооборудование, перед вводом
его в непосредственную эксплуатацию, в обязательном порядке необходимо подвергнуть
приемо-сдаточным тестированиям, исследованиям и испытаниям. Решение о
возможности использования в производстве делается после тщательного
обследования и анализа итогов проверок. дается на основании рассмотрения
результатов всех испытаний.
Пожаровзрывобезопасность
Действующим нормативным документом для котельных
в сфере пожарной безопасности является ГОСТ 12.1.004. 91 «ССБТ. Пожарная
безопасность. Общие требования». Рассматриваемая паровая котельная по пожарной
безопасности относится к категории «Г», по огнестойкости строительных
конструкций степень огнестойкости здания котельной ІІ, класса В - 1А.
Категория «Г» означает негорючие вещества и
материалы в горячем, раскаленном или расплавленном состоянии, процесс обработки
которых сопровождается выделением лучистого тепла, искр и пламени, горючие газы
и жидкости, которые сжигаются в качестве топлива. Класс В - 1А - зоны,
расположенные в помещениях, в которых при нормальной эксплуатации взрывоопасные
смеси горючих газов или паров легко воспламеняющихся жидкостей с воздухом не
образуется, а образование таких смесей возможно только в результате аварий и
неисправностей.
Источниками пожара могут быть утечка и скопление
газа в котельной; неисправности электрооборудования, осветительных приборов;
выход из строя приборов автоматики. При нарушении целостности газопроводов
уходящих газов, или при разрушении обшивки и обмуровки котла, уходящие газы,
имеющие высокую температуру, могут послужить причиной пожара.
Работе с газообразным топливом уделяется особое
внимание, большая доля автоматики безопасности работает на контроль сжигания
топлива. Контроль герметичности газопроводов, производится на всем протяжении
технологического процесса, от подачи в котельную, до сжигания в топке котла.
Над участками газопроводов, на которых установлены отсекающие клапана,
комплексы учета расхода газа и регуляторы давления газа, установлены
сигнализаторы загазованности помещения по метану, по сигналу которых,
прекращается подача топлива, с одновременной звуковой и световой сигнализацией
на шкафах управления. На уровне 1,8 м, в углах помещения котельной, установлены
сигнализаторы загазованности по монооксиду углерода, также связанные с
автоматикой защиты.
Также, в качестве защитного барьера установлена
пожарная сигнализация Сигнал 20, с установленными тремя типами датчиков
предупреждения о пожаре, построенных на различных принципах. Установлены
сигнализаторы задымленности, тепловые датчики, реагирующие на высокую
температуру воздуха в помещении и фотодатчики реагирующие на мерцание пламени
открытого огня.
По сигналу с системы пожарной сигнализации также
прекращается подача топлива, с одновременным звукосигнальным оповещением
оперативного персонала. После выдачи сигналов о пожаре, если в течении двух
минут, не будет квитирована, центральный контроллер, посредством GSM - модема
отправит СМС-сообщение техническому руководству и пожарной охране.
Для немедленного оповещения персонала о пожарной
опасности и принудительной отсечки топлива, по периметру помещения котельной,
около всех входных и выходных дверей и проемов установлены ручные извещатели.
Для борьбы с пожаром котельная оборудована противопожарным
инвентарем.
В состав этого инвентаря входят:
· пенные химические огнетушители, в
количестве 12 ед.;
· порошковые огнетушители ,в
количестве 12 ед.;
· гидранты, в количестве 4 ед.;
· ящики с песком - 2 ед.;
· щит с инструментом (лопаты, ведра,
багор, топор) - 2 ед.
Весь инвентарь расположен в доступном месте у
входных проемах в котельную.
Пожарную безопасность целесообразно сделать
более надежной с помощью эффективной пожарной защиты и мероприятиями по
поддержанию пожарных профилактических процедур. Они состоят из совокупности
процедур, используемых для значительного снижения вероятности возникновения
пожарных происшествий либо снижения его печальных и нежелательных последствий.
Рациональная пожарная защита - процедуры, направленные на оптимальное
обеспечение плодотворной борьбу с возможными пожарными ситуациями или
взрывоопасными происшествиями.
Нормативы пожаровзрыво-опасносности веществ и
материалов определены согласно ГОСТ 12.1.044-89 (ИСО 4589-84).
Параметры взрывопожарной опасности котельной
установки оформлены в таблице 4.12.
Таблица 4.12. Характеристика взрывопожарной
опасности котельной установке
|
Наименование
производственных зданий, помещений, наружных установок
|
Класс
взрывоопасной зоны
|
Категория
и группа взрывоопасных смесей
|
Группа
производственных процессов
|
Категория
взрывопожарной опасности
|
|
Котельная
установка
|
В
- 1а
|
2А
Т3
|
2
|
Г
|
Практически все производственные помещения
оснащены приточно-вытяжной и аварийной вентиляцией с целью уменьшения
вероятности создания взрывоопасных смесей, а также сигнализаторами
довзрывоопасных концентраций смесей, которые связаны с автоматическим запуском
аварийной вентиляции. Монтажные, демонтажные, профилактические работы с
электрическими проводами, электрическим оборудованием, смена электроламп в светильниках
цехов необходимо осуществлять лишь при отключенном напряжении с обязательным
наличием оформленного наряда-допуска. Непременно нужно развешивать на
отключающие ключи, рубильники предупреждающие баннеры, таблички о том, что
линия и участок отключены от тока и на них производятся ремонтные работы.
Профилактические процедуры уменьшения пожарной
опасности:
Организационные - грамотное содержание
помещений, выпуск документов и приказов для целей улучшения пожарной
безопасности, противопожарный инструктаж сотрудников и др.
Технические - обязательное соблюдение всеми
работниками противопожарных нормативов, правил, начиная начального этапа
проектирования помещений, при наладке электропроводов и устройств, отопления,
системы вентиляции и освещения.
Режимные - строгое запрещение курения помимо
специальных оборудованных местах, осуществление пожароопасных работ в помещении
и т.д.
Эксплуатационные: вовремя проводимые
профилактические работы и обследования, ремонты оборудования.
Очень важно подготовить эвакуацию людей, если
вдруг произойдет пожарное происшествие. Чтобы при возникновении опасности
сотрудники мокли как можно быстрее выбраться из здания. Согласно нормативам
СНиП 11-2-80 количество эвакуационных выходов из помещения не должно быть
меньше 2. Оптимальные мероприятия предупреждения пожарных ситуаций:
· Ликвидация поступления воздуха к
очагу пожара посредством твердых веществ (чаще всего используют песок, реже
-покрывала и др);
· Обеспечение снижение температуры
очага пожара, путем охлаждения с применением воды, но ее не всегда
целесообразно использовать. По этой причине рекомендуется использовать
углекислый газ, снижающий температуру аж до -78°C;
· Активное замедление быстроты
химической реакции в очаге возгорания. Как правило, для этого хорошо
использовать порошковые средства;
· Механическое нарушение пламени
посредством использования мощного потока газа либо воды.
Оценка экологичности проекта
Под загрязнением экологии принято понимать любой
искусственное или естественное влияние на химические, физические и биологические
параметры окружающей среды, в частности земли, атмосферы и воды, в результате
влияния коих происходит ухудшение показателей жизнедеятельности животных или
растительных организмов сразу или же после некоторого времени. Постоянное
повышение мощностей промышленных предприятий, как уже давно установленно,
напрямую сопряжено с активным употреблением природного сырья, огромными
растратами воды и повышением выбросов в атмосферу планеты загрязняющих смесей.
По этой причине ни в коем случае не стоит преуменьшать значение последствий
возрастающего влияния человека на природу и сопряженной с таким положением
угрозы для нарушения экологического равновесия.
Выбросы вредных веществ в атмосферу
Список загрязняющих веществ, которые образуются
в выбросах котельной и предельные разовые выбросы при работе котельной
оформлены в таблице 4.13.
Таблица 4.13. Суммарные выбросы котельной
|
Наименование
выброса
|
Код
|
Класс
опасности
|
ПДК
мг/м3
|
Максимально-разовый
выброс [г/с] на 1 котел
|
Максимально-разовый
выброс [г/с] на 2 котла
|
|
Диоксид
азота
|
301
|
2
|
0,085
|
0,0168555
|
0,033711
|
|
Оксид
азота
|
304
|
3
|
0,4
|
0,0027390
|
0,005478
|
|
Оксид
углерода
|
337
|
4
|
5,0
|
0,0549065
|
0,109813
|
|
Бенз(а)пирен
|
703
|
1
|
1,0∙10-6
|
1,67∙10-8
|
3,34∙10-8
|
Расчет выбросов оксидов азота при сжигании
природного газа:
Расчетный расход топлива
:
16,39
[л/с] = 0,01639 [м3/с];
Низшая теплота сгорания топлива (Qr):
Qr = 33,5 [МДж/м3];
Удельный выброс оксидов азота при сжигании газа
(Кno2, Кno2’);
Фактическая тепловая мощность котла по
введенному в топку теплу
(QT,
QT’):
[МВт],
[г/МДж];
Коэффициент, учитывающий температуру воздуха
:
температура горячего воздуха tгв
= 30 [0С],
= 1+0,002∙(tгв
- 30) = 1;
Коэффициент, учитывающий влияние избытка воздуха
на образование оксидов азота
: котел работает в
соответствии с режимной картой, поэтому
=1;
Коэффициент, учитывающий влияние рециркуляции
дымовых газов через горелки на образование оксидов азота
:
степень рециркуляции дымовых газов r
= 0 [%],
= 0,16∙(r∙0,5)
= 0;
Коэффициент, учитывающий ступенчатый ввод
воздуха в топочную камеру
: доля воздуха,
подаваемая в промежуточную факельную зону
[%],
=0,022∙
=0;
Выброс оксидов азота (Mnox,
Mnox’, Mno,
Mno’, Mno2,
Mno2’): kп
= 1 (для максимально-разового):
Mnox’=Bp’∙Qr∙Kno2’∙
∙
∙
∙
(1 -
)*(1
-
)∙kп,
Mnox’ =0,01639∙33,5∙0,03837∙1∙1∙1∙
(1-0) ∙ (1-0) = 0,0210694 [г/с],
Mno’ = 0,13∙
Mnox’ = 0,002739 [г/с],
Mno2’ = 0,8∙
Mnox’ = 0,0168555
[г/с].
Для целей уменьшения выбросов в атмосферу
осуществляют разнообразные процедуры, к примеру, такие:
· Создание
современных технологий функционирования устройств;
· Использование
беспродувочных технологий;
· Обеспечение
герметичного состояния запорной арматуры;
· Неукоснительное
соблюдение технологической дисциплины.
Загрязнение водной среды
В перечень главных источников загрязнения
поверхностных и подземных вод входят такие:
· загрязненные или
мало очищенные производственные и бытовые канализационные воды;
· исходящие с
ливневок сточные воды. В них максимально распространенными и вредными
элементами признаны взвешенные смеси, продукты нефтепераработки, примеси
металлов, азот- и фосфорсодержащие составы;
· неочищенные
дренажные воды;
· фильтрационные
протекания опасных примесей из емкостей, баков, трубопроводов и иных устройств;
· осадки, которые
попадают на поверхность объектов водной среды и в своем составе имеющие пыль и
загрязняющие примеси от выбросов промышленных производств.
Сточные и канализационные воды от помещения
котельной выливаются производственно-бытовую канализацию с дальнейшим очищением
их на имеющихся в помещении очистных устройствах и сооружениях. Стоки
производственных вод подлежат полноценному химическому очищению на устройстве
химического очищения канализационных вод.
Строго недопустимо сливание в канализацию
опасных смесей в концентрации и объеме, которые больше установленных норм
санитарии. Для работ по сливанию опасных примесей в обязательном порядке должны
иметься соответствующие емкости и создан инструктаж по снижению их вредного
воздействия и уничтожения. Контроль за использованием очистных устройств в
обязательном порядке должен в соответствии с нормативами, а также должны
обязательно осуществляться процедуры по созданию их постоянной работы с
оптимальным уровнем очищения канализационных стоков. Сложноочищаемые стоки
следует сливать в поглощающие специальные скважины, разработанные в рамках
проектирования либо подвергнуть сжиганию на устройствах термической обработки
промышленных сточных вод.
В открытые водоемы и на поверхность земли
газовой промышленностью высвобождается примерно половина всего объема сточных и
канализационных вод, примерно 7% закачивается в подземные горизонты. В
накопители, пруды - испарители и на поля фильтрации сливается примерно 30%
сточных вод, остальной объем сливается в иные водохозяйственные системы.
Основными факторами, влияющими на процессы
самоочищения водоемов, являются: температура воды, минералогический состав
примесей, концентрация кислорода, водородный показатель рН воды, концентрация
вредных примесей. Наличие последних в водоемах ведет к снижению качества воды,
затрудняет ее очистку и иногда делает ее непригодной для дальнейшего
использования.
Особо важное влияние на процессы самоочищения
оказывает кислородный режим водоема. Расход кислорода на минерализацию
органических веществ (при участии бактерий) принято выражать величиной
биохимической потребности кислорода (БХПК). При избыточном сбросе органических
загрязнений в водоем наблюдается дефицит содержания кислорода в водоеме, в результате
чего происходит загнивание органических примесей и, как следствие, ухудшение
качества воды.
Водные объекты подразделяются на государственные
водоемы питьевого, культурно-бытового назначения и водоемы, предназначенные для
рыбоводства. В зависимости от этого устанавливаются нормы сброса сточных вод в
водоемы. Допустимый сброс сточных вод определяется соотношением
∑ni=1ciПДКi≤1∑i=1nciПДКi≤1
где ci - концентрация i -го компонента в
водоеме;
ПДКi - его предельно допустимая концентрация в
водоеме;- количество загрязняющих компонентов в стоках.
При сбросе сточных вод котельных предельно
допустимыми концентрациями (ПДК) вредного вещества в водоеме называются его
концентрации, которые при ежедневном воздействии в течение длительного времени
на организм человека не вызывают каких-либо патологических изменений и
заболеваний, а также не нарушают биологического оптимума в водоеме.
В настоящее время определены ПДК далеко не всех
вредных веществ, сбрасываемых в водоемы, что объясняется длительностью и
большими трудностями в их определении. Трудность определения ПДК связана с тем,
что кроме санитарного ее величина имеет и большое экономическое значение, так
как неоправданное занижение ПДК может привести к большим затратам на очистку
воды.
Сброс в водоемы новых веществ, ПДК которых не
определена, запрещен. В табл. 4.14 приведены значения ПДК в водоемах.
Для сточных вод величины ПДК не нормируются, так
что необходимая степень их очистки определяется только по состоянию водоема
после сброса в него сточных вод. При этом содержание вредных веществ должно
соответствовать санитарным нормам в водоемах для питьевого и культурно-бытового
водопользования в створе, расположенном на 1 км выше ближайшего по течению
пункта водопользования, а на непроточных водоемах - на расстоянии 1 км по обе
стороны от пункта водопользования.
Для рыбохозяйственных водоемов санитарные нормы
относятся к участкам в створе или ниже спуска сточных вод с учетом возможной
степени их смешения от места спуска до границы рыбохозяйственного участка
водоема.
Таблица 4.14. Предельно допустимые концентрации
вредных веществ в водоемах, мг/кг
|
Вещество
|
Для
водоемов санитарно-бытового водопользования
|
Для
рыбохозяйственных водоемов
|
|
По
общесанитарному лимитирующему показателю вредности
|
|
Аммиак
(по азоту)
|
2,0
|
0,05
|
|
Хлор
активный
|
-
|
-
|
|
Цинк
|
1
|
-
|
|
Соли
серной кислоты
|
500
|
-
|
|
Нефть
высокосернистая
|
0,1
|
-
|
|
Нефть
и нефтепродукты в растворенном и эмульгированном состоянии
|
0,5
|
0,05
|
|
Фенолы
|
0,001
|
0,001
|
При сбросе воды в черте любого населенного
пункта требования, предъявляемые к составу и свойствам воды водоема, должны
относиться к самим сточным водам.
При сбросе сточных вод должно быть установлено
предельное количество сбрасываемых примесей (предельно допустимый выброс - ПДВ)
в единицу времени, которое определяется условиями сброса, характером примесей,
их количеством, режимом сброса, дебитом водоема и другими конкретными
особенностями водоема и сброса. Предельно допустимые выбросы должны быть
рассчитаны для конкретных условий и во многом определяют требуемую степень
очистки сточных вод.
Большое значение имеет способ сброса сточных
вод. При рассредоточенных сбросах сточных вод интенсивность их смешения
минимальна. Наилучшие результаты дает сброс сточных вод в глубинные слои
водоема через перфорированные трубы.
Сточные воды промышленных предприятий
подразделяются на сильно загрязненные, которые требуют сильного разбавления при
сбросе в водоем, чтобы не превысить ПДК; слабозагрязненные; условно чистые
воды, которые практически не загрязняются в технологических процессах
(например, вода, используемая для охлаждения оборудования); кубовые остатки и
маточные растворы, являющиеся исключительно концентрированными стоками, не
подлежащими очистке и направляемыми на уничтожение или утилизацию, или
захораниваются на специальных полигонах; бытовые и фекальные стоки, которые
направляются непосредственно на биохимическую очистку.
Котельные являются источниками следующих
загрязнений: сточных вод водоподготовительных установок; сточных вод,
загрязненных нефтепродуктами; сточных вод, образующихся после смыва
поверхностей нагрева котлов, работающих на мазуте; сточных вод после химической
очистки и расконсервации оборудования; сточных вод систем гидрозолоудаления;
коммунально-бытовых вод.
В промышленно-отопительных котельных чаще
применяется такой метод водоподготовки, как Na-катионирование. Сточные воды
водоподготовительных установок (ВПУ) условно подразделяются на солесодержащие и
пресные. Первые составляют 3,5 %, вторые - 7 % общего количества обработанной
воды. Пресные воды образуются при промывании осветлителей и осветлительных
фильтров. Эти воды являются высокощелочными (рН = 11,5). Вследствие этого сброс
их у поверхности водоемов не допускается, поскольку в водоемах рН = 6,5 - 8,5,
а содержание взвешенных веществ не должно превышать 0,75 мг/кг воды.
Схема очистки пресных сточных вод ВПУ проста.
Стоки направляются в шламонакопители, в которых происходит их отстаивание.
Рекомендуется иметь два таких резервуара. В одном из них происходит
отстаивание, другой при этом заполняется стоками. Вместимость каждого из них
должна обеспечивать отстаивание стоков в течение не менее 1 - 2 часов. После
отстаивания вода равномерно подается в осветлитель. Шлам, накопившийся в
отстойниках, содержит 92 - 95 % карбонатов кальция, влажность шлама после
шламонакопителя составляет 97 - 98 %. С помощью шламовых насосов он подается на
фильтр-прессы, в которых его влажность снижается до 46 - 60 %. После
фильтр-прессов он не является вредным и может складироваться под открытым небом
и использоваться для приготовления известкового молока. Вода после
фильтр-прессов подается в осветлителели. Таким образом, сточные воды
осветлителей и осветлительных фильтров могут быть полностью утилизированы в
водоподготовительных установках.
Солесодержащие сточные воды образуются в
основном при регенерации Na-катионитных фильтров хлористым натрием. Они
содержат 0,5 - 2 % хлористого кальция, магния и натрия. Солесодержащие стоки
образуются также при продувке котлов. Сброс этих стоков у поверхности водоемов
не допускается.
Наиболее эффективным способом обезвреживания
сточных вод Na-катионитных фильтров является умягчение стоков известковым
молоком с выпадением в осадок гидрата окислов магния и последующего их
выпаривания в трубчатых выпарных аппаратах или в аппаратах мгновенного
испарения, далее - в роторных выпарных аппаратах и обезвоживания в центрифугах.
В результате такой обработки образуются товарные продукты: кристаллический
хлористый натрий, возвращаемый в водоподготовительную установку; жидкий 40%-й
раствор хлористого кальция (потребитель - холодильная промышленность) и гидрат
окиси магния, который может быть использован при производстве строительных
материалов.
Заслуживает внимания выпаривание солесодержащих
стоков в аппаратах с погружными горелками и в барботажных выпарных аппаратах. В
последних могут быть использованы высокотемпературные уходящие газы. В таких
аппаратах выпаривание стоков может осуществляться до превращения их в сухой
остаток с содержанием солей 800 - 1000 кг/м3.
Сооружение выпарных установок в котельных с
котлами низкого давления экономически не оправдано. В таком случае оправдывают
себя методы и схемы водоподготовки, позволяющие снизить содержание вредных
примесей в стоках.
Для очистки сточных вод от нефтепродуктов
применяются методы отстаивания, флотации и фильтрации. В основе метода
отстаивания лежит принцип выделения нефтепродуктов под действием разности
плотностей частиц нефтепродуктов и воды. Отстаивание нефтепродуктов
осуществляется в специальных нефтеловушках. Сточная вода, поступающая в
приемную камеру, проходит затем под заглубленной перегородкой, попадает в
отстойную камеру, в которой происходит разделение нефтепродуктов и воды.
Очищенная вода проходит под следующей заглубленной перегородкой и отводится из
нефтеловушки по трубопроводу. Частички нефтепродуктов всплывают вверх, образуя
пленку, и выводятся из нефтеловушки с помощью скребков по нефтезаборным трубам.
Всплывание нефтепродуктов происходит при температуре воды около 40оС, а при
30оС нефтепродукты оседают в нефтеловушке. Плотность высоковязких
крекинг-остатков превышает плотность воды при любой температуре, и поэтому они
не могут всплывать на поверхность воды. При отстаивании капли нефтепродуктов
всплывают с малой скоростью.
Интенсификация процесса разделения воды и
нефтепродуктов достигается при флотации сточных вод, сопровождающейся удалением
из воды частичек нефтепродуктов с пузырьками воздуха, всплывающими в воде и к
поверхности которых частички нефтепродуктов прилипают под действием сил
поверхностного натяжения. Скорость всплывания пузырьков воздуха в воде превышает
скорость всплывания частичек нефтепродуктов в 102- 103 раз. Различают напорную
и безнапорную флотацию.
При напорной флотации сточные воды поступают в
камеру, из которой насосом подаются в специальную напорную емкость по
трубопроводу насосом. В трубопровод, до насоса, закачивается воздух под
избыточным давлением 0,5 МПа. Водо-воздушная смесь из емкости поступает во
флотационную камеру, в которой происходит сброс давления, в результате чего из
воды выделяются пузырьки воздуха и всплывают вверх, образуя пену на поверхности
воды с повышенным содержанием нефтепродуктов. Пена собирается в пеносборнике, а
очищенная вода отводится из флотационной камеры.
При безнапорной флотации пузырьки воздуха
образуются в процессе барботажа. Воздух подается в воду через перфорированную
трубу, расположенную у дна флотационной камеры.
Фильтрация сточных вод осуществляется на
заключительной стадии их очистки. Процесс основан на эффекте прилипания
эмульгированных частичек нефтепродуктов к поверхности зерен фильтрующего
материала. В качестве последнего используется кварцевый песок, антрацит или
сульфоуголь, отработанный в Na-катонитовых фильтрах. Регенерацию насыпных
фильтров рекомендуется проводить перегретым паром. В результате происходит
разогрев нефтепродуктов, и они удаляются под давлением из засыпки. Затраты пара
на регенерацию в пересчете на конденсат не больше двух объемов фильтрующего
слоя. Конденсат, загрязненный нефтепродуктами, подается в нефтеловушки или
флотаторы.
Каждый из методов очистки сточных вод от
нефтепродуктов наиболее эффективен в определенном диапазоне дисперсного состава
нефтепродуктов. Нефтеловушки эффективно улавливают частицы большого размера,
флотаторы - более мелкие частицы. Самые мелкие частицы удаляются из сточных вод
фильтрованием. Степень очистки воды по такой схеме выше 95 % и слабо зависит от
начальной концентрации нефтепродуктов в сточной воде. Очищенная вода чаще всего
подмешивается к свежей воде, направляемой на химводоочистку.
Воды после обмывки наружных поверхностей
теплообмена котлов, работающих на мазуте, являются кислыми (рН = 1 - 3) и
содержат грубодисперсные твердые вещества (окислы железа, кремниевую кислоту,
нерастворившиеся частицы золы), которые легко удаляются при отстаивании, а
также примеси в виде слабых растворов (разбавленную серную кислоту, сульфат
железа, соединения ванадия, никеля, меди и др.). Для этих вод целесообразно
наряду с очисткой обеспечить выделение таких ценных продуктов, как ванадий и
никель.
Одним из способов очистки сточных вод после
обмывки оборудования является их нейтрализация в баках-нейтрализаторах
щелочными растворами (например, гидроксидом натрия) до состояния выпадения
вредных примесей в осадок и последующего его извлечения из воды. Осветленная
вода используется повторно на обмывку поверхностей нагрева котлов, а шлам
подается на обезвоживание в пресс-фильтрах.
Для очистки котлов от накипи и отложений
проводится химическая промывка. Содержание примесей в сточных водах после
химической промывки зависит от технологической схемы промывки и типа котла. 70
- 90 % загрязнений составляют реагенты, используемые при промывке. Для приема
этих стоков предназначены бассейны-отстойники, рассчитанные на весь объем воды,
сбрасываемой в бассейны после трехкратного ее разбавления. В бассейнах
происходит частичная нейтрализация кислых и щелочных стоков. Затем вода
подается в баки-нейтрализаторы, в которых происходит выделение вредных примесей
после обработки стоков известью или другими реагентами. Осевший шлам
направляется в шламоотвалы, а осветленная вода после подкисления до рН = 7,5 -
8,5 поступает на биохимическую очистку.
Сточные воды после гидравлического
золошлакоудаления из котельных, работающих на твердом топливе, образуются при
транспортировании золы и шлака технической водой на золошлакоотвалы. При
прямоточной системе золошлакоудаления в водоемы сбрасываются все примеси в
растворенном состоянии и в грубодисперсной форме, которые не успели осесть в
золошлакоотвалах. При оборотной схеме гидравлического золошлакоудаления часть
вредных примесей может быть задержана в результате фильтрации через
золошлакоотвалы.
К наиболее важным показателям качества
осветленной воды являются щелочность, содержание сульфатов, а также
концентрация вредных примесей. Первые два показателя показывают возможность
появления отложений в оборотной системе золошлакоудаления, что свидетельствует
о возможности ухудшения состояния водоема.
Значение водородного показателя рН для водоемов
после сброса в них сточных вод после гидрозолошлакоудаления не должно превышать
6,5 - 8,5, а концентрация вредных веществ не должна быть выше предельно
допустимых концентраций, что достигается соответствующим подбором соотношения
расходов воды и золы, а также поддержанием необходимого значения рН.
Заключение
В данной выпускной квалификационной работе
показана автоматизированная система управления котельной комплексного сборного
пункта с котлоагрегатами ДЕ-6,5/14-ГМ на основе программируемого логического
контроллера серии SLC-500 на базе процессора SLC-5/04 фирмы
"Allen-Bradley".
Использование этой модели контроллера дает возможность
производить такие операции: сборку и анализ аналоговых показателей; собирание и
исследование цифровых сигналов аварийных ситуаций, предупредительного
сигнализирования и параметров технологических устройств; формирование
управляющих операций на разные механизмы; автоматизированую регулировку;
взаимообмен данными с вершим звеном управления.
Были применены инновационные преобразователи и
датчики нижнего уровня российских производителей, которые соответствуют нормам
автоматизирования, приведена модель их соединения с контроллером.
Осуществлен подбор и пояснение технических
устройств автоматизирования. Важнейшим параметром при подборе инновационного
принята его интеллектуальность, иными словами, не простой факт присутствия в
датчике микропроцессора, а именно удобная и программируемая многозадачность,
модульность его устройства, оснащение его интерфейсами к стандартным цифровым
полевым сетям.
Проведено исследование и анализ российских и
иностранных устройств контроллеров. Выбор пал на программируемый интеллектуальный
контроллер SLC-500. Подобранна необходимая структура и параметры, осуществлен
расчет энергопотребления контроллера. Разработана структура АСУ ТП.
Работы по программированию и налаживание
программ изготовителя осуществляется посредством персонального компьютера на
языке лестничной логики Ladder Logic с специализированного применением
программного обеспечения RSLogix 500.
Осуществлена разработка высшей ступени
управления - рабочее место диспетчера-оператора. Оно оснащено персональным
компьютером с использованием программного пакета продукта RSView 32. Главным
параметром принятия такого решения стал анализ рынка программного обеспечения.
Высшая ступень системы управления реализует осуществление следующих задач:
визуализацию и регистрирование; управление и регулировку показателей
технологических процедур; анализ и хранение данных; аварийное сигнализирование;
создание и вывод изображений на экран с актуальными параметрами, в виде
мнемосхем, трендов, таблиц.
Осуществлены вычисление и анализироване системы
автоматической регулировки параметров уровня воды в барабане котлоагрегата при
ступенчатом изменении положения регулирующего органа, выяснены оптимальные
показания ПИ-регулятора: Кр = 0,99, Ти = 14с. Характеристики качества процедуры
регулировки регулирования: перерегулирование 18%, время регулирования 27,5с -
удовлетворяют производственным нормам.
Исследованы проблемы безопасности и
экологичности проекта. Произведены вычисления выбросов оксидов азота при
сжигании природного газа. Предложенная модель дает возможность организовать
более надежное и качественное управление технологическим процессом котельной,
выполнять функции по автоматизации и оптимизации процедур технологического
режима, улучшить экологическую безопасность и защиту труда с помощью мониторинга
технологического процесса и, как причина, более раннего предотвращения и
локализации вероятных аварий.
Произведены вычисления экономической
эффективности проекта, рассчитана рентабельность капитальных инвестиций - 201%.
С помощью построенных графиков вычислена внутренняя норма доходности - 45% и
срок окупаемости системы - 2,2 года. Полученные выводы позволяют подтвердить
экономическую эффективности внедрения проекта.
Список использованной литературы
1. Смирнова,
М.В. Теплоснабжение [Текст]: Учебное пособие для средних специальных учебных
заведений / М.В. Смирнова - М.: Издательский дом «ИН - ФОЛИО», 2009. - 320с.
2. Соколов
Е.Я. Теплофикация и тепловые сети [Текст] / Е.Я. Соколов - М.: Издательство
МЭИ, 2001. - 472с.
3. Теплотехника
[Текст]: / Под ред. В.Н. Луканина. - М.: Высшая школа., 2005. - 671с.
4. Хижняков
С.В. Промышленные расчёты тепловой изоляции промышленного оборудования и
трубопроводов [Текст] / С.В. Хижняков - М.: Издательство «Энергия», 1994 -
144с.
5. Ривкин,
С.Л. Термодинамические свойства воды и водяного пара [Текст] / С.Л. Ривкин,
А.А. Александров. - М.: Энергоатомиздат, 1984. - 80с.
6. СНиП
41-03-2003 Тепловая изоляция оборудования и теплопроводов [Текст] / 2003 - 64с.
7. Грибов,
В.П. Экономика организации (предприятия) [Текст]: учебное пособие / В.Д.
Грибов. В.П. Грузинов. В.А. Кузьменко.- 6-е изд., стер.- М.: КНОРУС. 2012.-
416с.
8. Ящура,
А.И. Система технического обслуживания и ремонта энергетического оборудования:
Справочник. [Текст] / А. И. Ящура. - М.: Изд-во НЦ ЭНАС, 2006. - 506 с., ил.
ISBN 5-931
9. Технологический
регламент котельного агрегата ДЕ-6,5/14-ГМ.
10. Приборы
и средства автоматизации: [Текст]: Каталог. Т.1. Приборы для измерения
температуры. - М.: ООО Издательство "Научтехлитиздат", 2004. - 276 с.
11. Приборы
и средства автоматизации. [Текст]: Каталог. Т.2. Приборы для измерения
давления, перепада давления и разряжения. - М.: ООО Издательство
"Научтехлитиздат", 2004. - 168с.
12. Приборы
и средства автоматизации. [Текст]: Каталог. Т.3. Приборы для измерения расхода
и количества жидкости, газа, пара и учета тепловой энергии. - М.: ООО
Издательство "Научтехлитиздат", 2004. - 238с.
13. Приборы
и средства автоматизации. [Текст]: Каталог. Т.4. Приборы для измерения и
регулирования уровня жидкости и сыпучих материалов. - М.: ООО Издательство
"Научтехлитиздат", 2004. - 176с.
14. Приборы
и средства автоматизации. [Текст]: Каталог. Т.5. Приборы для определения
состава и свойств газа, жидкости, твердых и сыпучих веществ. - М.: ООО
Издательство "Научтехлитиздат", 2005. - 368с.
15. Приборы
и средства автоматизации. [Текст]: Каталог. Т.7. Приборы регулирующие.
Сигнализаторы температуры, давления, уровня. Датчики реле. Исполнительные
механизмы отечественного и зарубежного производства. М.: ООО Издательство
"Научтехлитиздат", 2005. - 488с.
16. Ротач
В. Я. Теория автоматического управления: [Текст]: Учебник для вузов. - М.:
Издательство МЭИ, 2004. - 400с.
17. Онищенко
Н. П. Эксплуатация котельных установок. [Текст]: - М.:
"Агропромиздат", 1987. - 352с.
18. Плещев
В.В. Выбор средств разработки программного обеспечения АСУ [Текст]: //
Промышленные контроллеры, 2003.-.№8.- с.32-34.
19. Бессонов
А.А., Мороз А.В. Надежность системы автоматического регулирования. [Текст]: -
Л: "Энергоатом", 1984. - 216 с.
. Соколов,
Е.Я. Теплофикация и тепловые сети: учебник для вузов / Е.Я. Соколов. - М.: МЭИ,
2009. - 472 с.
. Тепловой
расчет котельных агрегатов. Нормативный метод / Коллектив авторов; под ред.
Н.В. Кузнецова и др. - 2-е изд., перераб. / (РЕПРИНТ) - М.: ЭКОЛИТ, 2011. - 296
с.
. Шумилин,
Е. В. Расчет тепловых схем и подбор основного оборудования котельных: учебное
пособие / Е. В. Шумилин. - Хабаровск: Изд-во ТОГУ, 2013. - 39 с.
. Шумилин,
Е.В. Тепловой расчет котла: практикум / Е.В. Шумилин, С.А. Псаров. - Хабаровск:
Изд-во ТОГУ, 2013. - 77 с.
. Энергосбережение
при производстве и распределении тепловой энергии: учебное пособие / А.Б.
Гаряев, И.В. Яковлев, Г.П. Шаповалова, В.С. Агабабов - М.: МЭИ, 2012. - 64 с.
. Правила
технической эксплуатации тепловых энергоустановок. - http://www.ecomgaz.ru/doc/PTE_TE.pdf
. Сайт
Министерства природных ресурсов и экологии - Госпрограмма Российской Федерации
"Охрана окружающей среды" на 2012 - 2020 годы". -
http://www.mnr.gov.ru/upload/iblock/34e/Gosprogramma_OOS.pdf
. Кудинов,
А. А. Энергосбережение в теплоэнергетике и теплотехнологиях: учебное пособие /
А. А. Кудинов, С. К. Зиганшина. - М.: Машиностроение, 2011. 374 с.
. Наладка
и эксплуатация водяных тепловых сетей: Cправочник. Изд. 4 / В.И. Манюк, Я.И.
Каплинский, Э.Б. Хиж и др. - М.: Изд-во Либроком, 2009. - 432 с.
. Ненишев,
А.С. Расчет тепловой схемы и отдельных элементов производственной котельной:
учебное пособие / А.С. Ненишев, В.В. Максимов. - Омск: СибАДИ, 2010. - 100 с.
. Основы
современной энергетики. Том 2. Современная электроэнергетика/ Ю.К. Розанов,
В.А. Старшинов, С.В. Серебрянников и др. - М.: МЭИ, 2010. - 632 с.
. Палей,
Е.Л. Проектирование котельных: справ.-практ. пособие / Е.Л. Палей. - СПб.:
Изд-во Петерб. ун-та, 2015. - 216 с.
. Плетнев,
Г.П. Автоматизация технологических процессов и производств в теплоэнергетике:
учебник для вузов / Г.П. Плетнев. - М.: МЭИ, 2009. - 352 с.
. Расчет
тепловой схемы и отдельных элементов производственной котельной: учебное
пособие - Омск: СибАДИ, 2010. - 100 с.
. Ривкин,
А.С. Тепловой расчет котлоагрегата: учеб. пособие / А.С. Ривкин. - Иваново:
ФГБОУ ВПО «Ивановский государственный энергетический университет имени В.И.
Ленина», 2011. - 144 с.
. Родионов,
В. Г. Энергетика: проблемы настоящего и возможности будущего / В. Г. Родионов.
- М.: ЭНАС, 2010. - 352 с.
. Руководство
по монтажу, пуску и эксплуатации горелочного устройства R520
Cib Unigas.
http://www.cibitalunigas.ru
. Сазанов,
Б.В. Промышленные теплоэнергетические установки и системы: учебное пособие /
Б.В. Сазанов, В.И. Ситас. - М.: МЭИ, 2014. - 275 с.
. Сидельковский,
Л.Н. Котельные установки промышленных предприятий: учебник для вузов / Л.Н.
Сидельковский, В.Н. Юренев - М.: Изд-во Бастет, 2009. - 528 с.
. Федеральный
закон РФ от 23 ноября 2009 года № 261-ФЗ. Об энергосбережении и о повышении
энергетической эффективности и о внесении изменений в отдельные законодательные
акты Российской Федерации. - «Российская газета» N 226 от 27 ноября 2009.
. Федеральный
закон от 27 июля 2010 г. № 190-ФЗ «О теплоснабжении». - «Российская газета» N
168 от 30 июля 2010.
. ГОСТ
12.1.007-76 «ССБТ. Вредные вещества. Классификация и общие требования
безопасности». - М.: Стандартинформ, 2007. - 7 с.
. ГОСТ
12.1.005-88 «ССБТ. Санитарно-гигиенические требования к воздуху рабочей зоны».
- М.: Стандартинформ, 2008. - 50 с.
. ГОСТ
31607-2012 «Энергосбережение. Нормативно-методическое обеспечение. Основные
положения». - М.: Стандартинформ, 2014. - 11 с.
. Приказ
№551н от 17 августа 2015 года, Министерства труда и социальной защиты РФ Об
утверждении Правил по охране труда при эксплуатации тепловых энергоустановок.
http:// www.pravo.gov.ru/
. Приказ
№ 328н от 24 июля 2013 года, Минтруда России Об утверждении правил по охране
труда при эксплуатации электроустановок. http://www.garant.ru/
. СП
131.13330.2012 Строительная климатология. Актуализированная версия. СНиП
23-01-99. - М.: Минрегион России, 2012. - 109 с.
. СанНиП
2.2.4.548-96 «Гигиенические требования к микроклимату производственных
помещений». М.: Минздрав России, 2001. - 20 с.
. СП
124.13330.2012 Тепловые сети. Актуализированная редакция СНиП 41-02-2003. - М.:
Минрегион России, 2012. - 73 с.
. СТО
ЮУрГУ 04-2008 Стандарт организации. Курсовое и дипломное проектирование. Общие
требования к содержанию и оформлению / сост.: Т.И. Парубочая, Н.В. Сырейщикова,
В.И. Гузеев, Л.В. Винокурова. - Челябинск: Изд-во ЮУрГУ, 2008. - 55 с.
. Александров,
А.А Теплофизические свойства рабочих веществ теплоэнергетики / А.А.
Александров, В.Ф. Очков, К.А. Орлов. - М.: МЭИ, 2009. - 224 с.
. Аэродинамический
расчет газовоздушного тракта котла: методические указания / сост. А.Н.
Хуторной, С.В. Хон. - Томск: Изд. ТГАСУ, 2010. - 40 с.
. Булкин,
А.Е. Автоматическое регулирование энергоустановок: учебное пособие для вузов /
А.Е. Булкин. - М.: Изд-во МЭИ, 2009. - 512 с.
. Быстрицкий,
Г.Ф. Основы энергетики: учебное пособие / Г.Ф. Быстрицкий. - М.: КноРус, 2011.
- 352 с.
. Виленский,
Т.В. Компоновка и тепловой расчет парового котла: учебное пособие для вузов /
Т.В. Виленский, Ю.М. Липов, Ю.Ф. Самойлов. - М.: Альянс, 2012. - 208 с.
. Газовые
топлива и их компоненты. Свойства, получение, применение, экология / В.Н.
Бакулин, Е.М. Брещенко, Н.Ф. Дубовкин, О.Н. Фаворский. - М.: МЭИ, 2009. - 614
с.
. Данилов,
О.Л. Энергосбережение в теплоэнергетике и теплотехнологиях: учебник / О.Л.
Данилов - М.: МЭИ, 2010. - 424 с.
. Дюкова,
И.Н. Топливо. Тепловой баланс котельного агрегата: учебное пособие / И.Н.
Дюкова, А.И. Куликов, А.Ф. Смоляков и др. - СПб: СПбГЛТУ, 2012. - 64 с.
. Копылов,
А.С. Процессы и аппараты передовых технологий водоподготовки и их
программированные расчеты: учебное пособие / А. С. Копылов, В. Ф. Очков, Ю. В.
Чудова. - М.: МЭИ, 2009. - 222 с.
. Котельные
установки и парогенераторы: учебник для студентов вузов / В.М. Лебедев, А.С.
Заворин, С.В. Приходько, В.В. Овсянников. -М.: Учеб.-метод. центр по образованию
на ж.д. тр-те, 2013. - 376 с.